Controlling magazin 9

Page 1


tema broja CENA KOŠTANJA intervju

NATALIJA JEGDIĆ

sasvim lično Bogdan Kravić SIEMENS

Matjaž Fajfar ADACTA

Milena Radosavljević Đorić CARNEX

Miloš Jauković DELEZ SRBIJA

konferencije

CAPEX CONTROLLING

ČETIRI PUTA
BROJ 09 OKTOBAR 2016.

MAGAZIN O CONTROLLINGU I FINANSIJAMA

IZLAZI ČETIRI PUTA GODIŠNJE

IZDAVAČ

MCB Menadžment Centar Beograd Beograd, Ustanička 189 011 304 7126, 063 850 0991 office@mcb.rs, www.mcb.rs

GLAVNI I ODGOVORNI UREDNIK

Bojan Šćepanović

UREDNIK

Aleksandar Duković

ZAMENIK UREDNIKA

Bojana Pejčić

REDAKCIJA

Sandra Šćepanović, Dada Jovanović, Marija Švigir, Bojana Jovanović, Biljana Peruničić, Miloš Cvetković, Jovo Stokić, Svetislav Jakovljević, Miloš Nedeljković, Ivan Đurić, Stefan Stojanović

GOSTI BROJA

Natalija Jegdić, Olivera Dostanić, Dragana Lukić, Bojan Pavlović, Vladimir Petković, Slaviša Lečić, Jovana Kondić, Aleksandar Predić, Ivana Višnjić, Petar Živković, Branislav Lončar, Aleksandar Nedeljković, Aleksandar Teofilović, Bogdan Kravić, Matjaž Fajfar, Milena Radosavljević Đorić, Miloš Jauković, Živorad Radovanović, Jelena Jovanović, Aleksandra Dutina, Bojana Vesić Anić, Ivana Vlahović, Nataša Kuzmanovski, Davor Sakač, Olivera Nikodijević, Lucija Vesić, Ivana Musin Pejčić, Saša Ćirić, Irina Zdravković, Snježana Pivaš

DIZAJN BlackBox

FOTO

Miroslav Petrović, Dalibor Danilović, Vladimir Miloradović, Goran Paucanović

MARKETING

Tomo Đeković

DISTRIBUCIJA

Makart, Beograd

ŠTAMPA

Rotografika, Subotica

TIRAŽ 10.000 komada

O NAMA Mi smo sanjari koji obožavaju controlling na nemački način. Naša vizija je da budemo broj 1 u Controllingu Srbije. Naši partneri su: Controller Akademie Munich, International Group of Controlling (IGC), International Controllers Association (ICV), International Business Communication Standards (IBCS). Podelite našu strast za controllingom.

ICV je Međunarodno udruženje controllera sa sedištem u Nemačkoj. ICV je osnovan 1975. godine i ima 8.000 članova. ICV Srbija ima 240 članova i najveće smo udruženje controllera izvan Nemačke.

Ovo izdanje je prijavljeno za odit kod ABC Srbija

005

Uvodnik

„Jedino ko voli promene je beba koja se ukakila, i kojoj se menjaju pelene“

Ja mrzim promene.

Rođen sam 27. septembra i to mi je uvek bio radostan dan. Ove godine sam bio tužan za svoj rođendan. Moja ćerka Milica je tog dana odlazila na studije u Englesku, a ja nisam mogao čak ni da je ispratim na aerodromu. Nisam bio ni u Beogradu već 400 kilometara dalje u Zagrebu držeći obuku. Tog dana sam održao sjajnu obuku i blistao sam na sceni, iako sam celo vreme plakao. U sebi. Kažu da je muška suza najteža, sada ih razumem.

Ove godine su mi dvoje glavnih konsultanata, Darko i Bokica, dali otkaz. Tri godine rada, truda, zezanja, teških i lepih trenutaka, građenje „zajedničke crkve“ se svelo na rečenicu: „Boki, mi idemo. 15 dana otkazni rok“. Kao grom iz vedrog neba. OK, srećan sam što idu u sjajne kompanije, no bol ostaje. Bol i praznina.

Ja mrzim promene. Ne volim promene. Ne volim što mi je ćerka napustila dom, ne volim što su mi dvoje zaposlenih i prijatelja dali otkaz. Želim da imam mirno i stabilno okruženje. Sa druge strane, zanimljivo je i kako reagujem na promene. Kada je Darko otišao, zaposlio sam još 10 novih ljudi. Kada mi je ćerka otišla, otvorio sam novu kompaniju Kaizen Institute Srbija. Kada mi je Bokica otišla, rešio sam da zaposlim još 20 ljudi.

Ja mrzim promene. Istovremeno, idem u susret promenama. Što više promena, to bolje. Što me život više bije, ja se više ispravljam. Idemo dalje.

“You, me, or nobody is gonna hit as hard as life, but it ain’t about how hard you hit, it’s about how hard you can get hit and keep moving forward, how much you can take and keep moving forward. That’s how winning is done”

Rocky Balboa

Izdavač ne odgovara za sadržaj objavljenih oglasa Bojan Šćepanović predsednik ICV i direktor MCB

CONTROLLING : magazin za profesionalce u controllingu i finansijama / urednik Aleksandar Duković. - 2014, br. 1, (sep.). - Beograd : MCB Menadžment Centar Beograd, 2014- ([Beograd] : Rotografika). - 30 cm Tromesečno

ISSN 2406-0283 = Controlling (Beograd) COBISS.SR-ID 209363212

sadržaj 09

TEMA BROJA – CENA KOŠTANJA

* Olivera Dostanić

Direktor sektora za controlling i upravljačko izveštavanje

NIS a.d 18

* Dragana Lukić

Controlling menadžer, Knjaz Miloš 21

* Bojan Pavlović

Senior Business Support Controller, Tigar Tyres 24

* Vladimir Petković

Finansijski direktor, Elixir Zorka Mineralna Đubriva 26

* Slaviša Lečić

Presales Manager SEE, SAP 30

* Ivana Višnjić

CFO, Bel Medic 32

* Jovana Kondić

Menadžer službe controllinga, Unisol Group 34

* Aleksandar Predić

Direktor, Step up executives 37

INTERVJU

* Natalija Jegdić

Izvršni direktor za privatne korisnike, Telekom Srbija 40

KONFERENCIJE

* 29. ICV Srbija sastanak 14

* Dan naftaša u znaku jubileja kompanije „LUKOIL“ 86

IZ PRVE RUKE

* Petar Živković

Menadžer korporativne strategije i PMO, Air Srbija 46

* Jovo Stokić

Konsultant, Menadžment Centar Beograd 50

* Branislav Lončar

CFO, Publicis One 54

* Miloš Cvetković

Konsultant, Menadžment Centar Beograd 57

* Aleksandar Nedeljković

Finansijski direktor, Mainstream i IT4BIZ 60

* Bojana Pejčić

Direktor konsaltinga, Menadžment Centar Beograd 62

* Aleksandar Teofilović

Cost Controller, West Pharmaceutical Services 66

EXCEL TRIKOVI

* Miloš Cvetković

Konsultant, Menadžment Centar Beograd 78

SASVIM LIČNO

* Snježana Pivaš

Tim lider, M&I Systems 70

* Bogdan Kravić

Head of Financing, Siemens 74

* Matjaž Fajfar

General Manager, Adacta 80

* Milena Radosavljević Đorić

CFO, Carnex 88

* Živorad Radovanović

Direktor odeljenja finansijskog controllinga, Komercijalna banka 92

* Miloš Jauković

Potpredsednik za logistiku i upravljanje poslovnim procesima i član izvršnog odbora, Delez Srbija 112

BIZNIS PANEL / HR

* Jelena Jovanović

HR menadžer, Johnson Control 94

* Aleksandra Dutina

Direktor za ljudske resurse, Air Serbia 98

* Bojana Vesić Anić

HR direktor, Piraeus banka 101

* Ivana Vlahović

Direktor ljudskih resursa, Bel Medic 104

BIZNIS PANEL / MARKETING

* Nataša Kuzmanovski

Direktorka Odeljenja identiteta i komunikacija, UniCredit Bank Srbija 106

* Davor Sakač

Direktor marketinga, Orion Telekom 108

* Olivera Nikodijević

Direktor marketinga, Carnex 110

SPOMENAR

* Lucija Vesić

Menadžer finansijskog controllinga za Srbiju i BiH, Henkel Srbija 117

* Ivana Musin Pejčić

Business Controller, Siemens 117

* Saša Ćirić

Direktor marketinga i razvoja, Frikom 118

* Irina Zdravković

Marketing and Communications Director, Bisnode 118

LIFESTYLE

* Longines Symphonette kolekcija 120

AKTUELNO

ODRŽAN 29. ICV SRBIJA SASTANAK NA TEMU „CAPEX CONTROLLING“

Krajem septembra 2016. godine, u hotelu Holiday Inn u Beogradu organizovan je 29. ICV sastanak, i to na temu „CAPEX Controlling – Da li se isplati da uložim u novi proizvod?“ Sastanku je prisustvovalo više od 100 controllera, kojima je predstavljen Invest for Excel, softver koji u velikoj meri olakšava i ubrzava ocenjivanje isplativosti projekata (CAPEX analizu).

BOARD GAME S-O-F (STRATEGIJA-OPERACIJE-FINANSIJE) STIGAO IZ NEMAČKE U SRBIJU!

Prvi put u Srbiji je predstavljen trening koji pomaže učesnicima da kroz igru nauče “Kako izgleda biti CEO?”

Board game S-O-F (strategija-operacije-finansije) je novi trening u ponudi Menadžment Centra Beograd. Trening je namenjen svima koji žele da razumeju vezu između tri ključne funkcije kompanije: strategije, operacija i finansija. Polaznici vode svoje kompanije tokom 7 godina i donose odluke kao CEO (proizvodi, tržišta, CAPEX, proizvodnja, zaduženost...). Trening je dinamičan i brz, a polaznici su izuzetno motivisani i veseli tokom čitavog treninga.

ICV Srbija

Klub profesionalnih controllera

KAIZEN INSTITUT DOBIJA SVOJE PREDSTAVNIŠTVO U SRBIJI!

Početkom oktobra 2016. godine Kaizen Institut je otvorio u Beogradu Kaizen Institut Srbije. Kaizen Institut (www.kaizen.com) je najveća globalna kompanija na svetu za implementaciju Kaizena. Kaizen Institut ima kompanije u preko 50 zemalja i njegovih 600 konsultanata od 1985. godine radi na implementaciji Kaizena.

Kaizen Institut Srbija organizovaće treninge i konsalting iz oblasti Kaizena. Radiće se na istraživanju, razvoju i objavljivanju različitih aspekata kontinuiranog napretka, a sve u skladu sa vizijom g. Masaki Imajia, osnivača Kaizen Instituta. Direktor Kaizen Instituta Srbije je Bojan Šćepanović, predsednik ICV Srbija i direktor Menadžment Centra Beograd.

PRESTIŽNE MEĐUNARODNE OSNOVNE STUDIJE IZ

„EKONOMIJE I FINANSIJA“, PREMA PROGRAMU UNIVERZITETA U LONDONU OD SADA NA EKONOMSKOM FAKULTETU U BEOGRADU

Ekonomski faklutet će od sada studentima nuditi mogućnost da završe osnovne studije iz oblasti ekonomije i finansija prema programu čuvene London School of Economics (LSE). LSE, kao fakultet-nosilac ovog programa biće nadležna za definisanje nastavnog programa, pripremu nastavne literature i ispitnu verifikaciju studenata, dok će Ekonomski fakultet u Beogradu biti nadležan za izvođenje nastave na engleskom jeziku i drugih pratećih aktivnosti. Studenti bi na taj način istovremeno ostvarili dve diplomejednu koju dodeljuje Univerzitet u Londonu i drugu, koju dodeljuje Univerzitet u Beogradu. Studije po ovom programu počinju u 2017. godini, a na fotografiji je prikazan LSE campus.

Kaizen

CAPEX CONTROLLING –

Da li se isplati da uložim u novi proizvod?

29. ICV SRBIJA SASTANAK

U ponedeljak, 26. septembra 2016. godine, u hotelu Holiday Inn održan je 29. ICV sastanak. Tema sastanka bila je „CAPEX Controlling – Da li se isplati da uložim u novi proizvod?“, a sastanku je prisustvovalo više od 100 controllera.

Sastanak je otvorio Bojan Šćepanović, predsednik ICV Srbija i direktor Menadžment Centra Beograd, koji je na samom počeku podsetio prisutne na to šta je suština controllinga, kada i gde je isti nastao, ali i kako je controlling stigao u Srbiju. Usledio je kratak opis 10 IGC procesa controllinga, sa posebnim osvrtom na CAPEX, što je bila i glavna tema ovog ICV sastanka. Bojan je pojasnio pod kojim sve nazivima CAPEX može da se sretne u relevantnoj literaturi i praksi, koje su to 4 vrste CAPEX-a, kao i razliku između ekonomskog i finansijskog toka projekta („od izvora dva putića“).

U nastavku, usledio je Bojanov „orkestrirani“ speed networking, na opšte iznenađenje svih prisutnih, koji su tako imali priliku da se upoznaju, razmene kontakte i da se pripreme za predstojeću vežbu.

Controlleri su imali interesantan zadatak: bilo je potrebno da ocene isplativost projekta „Uvođenje nove avio-linije, ali bez upotrebe laptopova i Excela“.

Razvrstani su u grupe i imali su 45 minuta da reše ovu vežbu, a ono što se najčešće moglo čuti, bilo je: „Uh, gde nam je sada Excel“.

Nakon što se vežba završila, controlleri su iskoristili pauzu za kafu za druženje i sticanje novih kontakata, ali i da prokomentarišu rezultate. Razgovaralo se o raznim temama, a naročito o nemogućnosti ocenjivanja projekta bez korišćenja Excela i sličnih alata.

Nakon pauze, Bojan je najavio Miloša Cvetkovića, trenera i konsultanta u Menadžment Centru Beograd, koji je u narednih sat vremena predstavio Invest for Excel (www.datapartner.fi), softver koji u velikoj meri olakšava i ubrzava ocenjivanje isplativosti projekata (CAPEX analizu).

On je na praktičnom primeru, istom onom koji su gosti pokušali da reše pre pauze, demonstrirao glavne prednosti i mogućnosti softvera. Neke od ključnih su: analiza profitabilnosti, izračunavanje racija performansi investicije: neto sadašnja vrednost (NPV), interna stopa prinosa (IRR), period povraćaja (payback), izračunavanje RONA, EVA, DCVA, komparacija različitih scenarija i investicionih alternativa, automatska konsolidacija različitih investicija, analiza osetljivosti, automatsko generisanje izveštaja, kao što su bilans stanja ili izveštaj o profitabilnosti konverzija različitih valuta, interfejs na više svetskih jezika (engleski, nemački, ruski, španski).

Nakon prezentacije softvera, Bojan se zahvalio prisutnima i najavio ponovno druženje na jubilarnom, 30. ICV sastanku.

Your Capital Budgeting Software invest FOR EXCEL

FOCUS ON WHAT MATTERS

With Invest for Excel®, you can focus on the actual projects figures, planning and analysis, rather than spending your valuable time building table layouts and checking formulas.

Invest for Excel® resides inside your Microsoft Excel®, so you already know how to use it. Continue using your previously built models if you prefer to. There is no compromise whatsoever.

Invest for Excel® incorporates over 25 years of best practices gathered while working with over 1,000 international corporations from 40 countries and from nearly every industry.

YOU HAVE TO SEE IT TO BELIEVE IT

Book a 30-minutes presentation to see how it can benefit you and your organization. Available in person or over the web.

Contact your local DataPartner representative now!

CENA KOŠTANJA

CONTROLLERI I IT SPECIJALISTI

SU NAJBOLJI PRIJATELJI

Olivera Dostanić

Direktor sektora za controlling i upravljačko izveštavanje NIS a.d

U današnje vreme, kada firme posluju u uslovima ubrzanog tehnološkog razvoja, globalizacije i borbe na visokokonkurentnom tržištu, njihov opstanak zavisi od efikasnog i mudrog upravljanja poslovanjem u pravcu dostizanja postavljenih ciljeva. Ostvarivanje ciljeva zavisi od kvaliteta poslovnih odluka koje donose menadžeri, a one se oslanjaju na informacije koje im daje upravljačko računovodstvo.

Često može da se čuje da je NIS grupa jedan od najvećih vertikalno integrisanih sistema u jugoistočnoj Evropi koji se bave istraživanjem, proizvodnjom i preradom nafte i prirodnog gasa, prometom širokog asortimana naftnih i gasnih derivata, kao i realizacijom projekata u oblasti petrohemije i energetike.

To sa aspekta controllinga znači da kompanija ima veliku organizacionu strukturu i da evidencija robnonovčanih tokova nije nimalo jednostavna. Biznis procesi su jasno definisani: proizvode se domaća nafta i prirodni gas koji se otpremaju u rafineriju, gde se zatim mešaju sa uvoznom naftom i drugim sirovinama i prerađuju radi dobijanja širokog spektra naftnih derivata. Proizvedeni naftni derivati se zatim preko veleprodajne i maloprodajne mreže plasiraju do krajnjih potrošača kako u zemlji, tako i u državama u regionu: BiH, Bugarskoj i Rumuniji. Teško je pratiti kretanje nafte i naftnih derivata a da ne postoji utvrđena metodologija obračuna cene koštanja. U zavisnosti od potreba izveštavanja i planiranja, razlikujemo sledeće cene koštanja:

1. Cene koštanja za finansijsko izveštavanje, 2. Cene koštanja za upravljačko izveštavanje,

3. Cene koštanja za planiranje poslovanja.

CENE KOŠTANJA ZA

FINANSIJSKO IZVEŠTAVANJE

Cilj obračuna CK za finansijsko izveštavanje je vrednovanje zaliha iz sopstvene proizvodnje i formiranje konsolidovanih finansijskih izveštaja. NIS koristi SAP integrisane module: finansije, controlling i logistiku za evidenciju poslovnih transakcija, odnosno praćenje robnonovčanih tokova. Kretanje zaliha bulk materijala u modulu logistika odvija se u realnom vremenu, što znači da je potrebno da svaki poluproizvod i gotov proizvod imaju cenu koštanja po kojoj se knjigovodstveno evidentiraju/vrednuju tokom meseca.

Kada govorimo o procesu obračuna cene koštanja proizvoda i poluproizvoda u NIS-u, važno je spomenuti da se proizvodni procesi prate kroz controlling preko proizvodnih mesta troška i proizvodnih naloga. Na proizvodne naloge direktno se unose količine ulaza i izlaza iz proizvodnje, dakle utrošenih sirovina i poluproizvoda i proizvedenih gotovih proizvoda i poluproizvoda. Ostali troškovi koji treba da opterete cenu koštanja proizvoda i koji su definisani „Metodologijom za obračun CK“, knjiže se na proizvodna mesta troška i ciklusima se alociraju na proizvodne naloge. Procenat alokacije pojedinih troškova zavisi od stepena iskorišćenosti kapaciteta.

Proces rafinerijske prerade i proizvodnje veoma je složen, jer se od iste grupe sirovina dobija veoma širok asortiman proizvoda čija cena koštanja treba da bude formirana u skladu sa odgovarajućim troškovima. Poseban izazov za controlling predstavlja pravilno raspoređivanje troškova na jedinicu proizvedenog naftnog derivata. U tu svrhu su definisani pariteti za svaki proizvod, prema kojima se raspoređuju ukupni troškovi.

Ovako izračunata cena koštanja gotovih proizvoda i poluproizvoda predstavlja cenu koštanja (CK_NIS) koja, ponderisana sa cenom proizvoda na početnom stanju zaliha i odmerena sa tržišnom cenom, služi za vrednovanje zaliha i dobijanje konsolidovanog finansijskog rezultata.

CENE KOŠTANJA ZA

UPRAVLJAČKO IZVEŠTAVANJE

Potreba menadžmenta je da svaki segment poslovanja ima svoj rezultat koji odražava njegov tržišni položaj, pa zato koristimo intersegmentne ili interne transferne cene. Po ovim cenama odvija se vrednovanje kretanja zaliha bulk materijala između segmenata poslovanja, odnosno knjiženje internih prihoda/rashoda.

Za vrednovanje zaliha u upravljačkim izveštajima koriste se tzv. cene koštanja sa transfernim dodatkom, koje se izračunavaju tako da obuhvataju, osim troškova za formiranje CK za finansijsko izveštavanje, i ulazne sirovine koje

su nabavljene od drugog segmenta NIS-a po transfernoj ceni. Na primer:

CK_REF: CK u Rafineriji sa transfernom cenom domaće nafte,

CK_PRO: CK u Prometu sa transfernom cenom naftnih derivata koji su proizvedeni u Rafineriji,

CK_PRO_INO: CK u INO zavisnim preduzećima sa transfernom cenom naftnih derivata koji su proizvedeni u Rafineriji i/ili Prometu Srbija.

Metodologija obračuna cene koštanja sa transfernim dodatkom, u smislu obuhvatanja vrsta troškova, u potpunosti odgovara metodologiji obračuna cene koštanja bez transfernog dodatka.

Relativno je jednostavno da se postavi proces kreiranja segmentnih rezultata po transfernim cenama, ali je veoma važno da se kod formiranja upravljačkih izveštaja viših konsolidacionih nivoa isključe interne marže i interkompanijski odnosi. Posebno složen proces predstavlja izbijanje interne marže sadržane u zalihama. Tu internu maržu nazivamo PUP (provision for unrealized profit) i ona predstavlja razliku između kretanja po transfernim cenama i ceni koštanja određenog nivoa konsolidacije.

Kretanja zaliha i njihovo vrednovanje po transfernim cenama veoma su nam važna za kreiranje upravljačkog izveštaja određenog segmenta, ali kada kreiramo upravljački rezultat segmenta višeg nivoa konsolidacije, potrebno je da se izvrši korekcija promene vrednosti zaliha do nivoa cene koštanja.

CENE KOŠTANJA ZA

PLANIRANJE POSLOVANJA

U uslovima žestoke konkurencije na tržištu naftnih derivata i u Srbiji i u zemljama u regionu, veoma je važno da se urade dobri biznis planovi. Od izbora tipa nafte koja se prerađuje u velikoj meri zavisi i asortiman naftnih derivata. Neophodno je da se dobro izračunaju planske cene koštanja naftnih derivata, kako bismo uporedili bruto i neto marže različitih proizvodnih programa i izabrali najoptimalniju varijantu.

Metodologija obračuna CK u prognoznim i planskim scenarijima usklađena je (u cilju obezbeđivanja uporedivosti podataka) sa metodologijom obračuna CK u scenarijima ostvarenja.

INFORMACIONI SISTEMI ZA OBRAČUN CENE KOŠTANJA I FORMIRANJE UPRAVLJAČKIH IZVEŠTAJA

U SAP informacionom sistemu radi se knjiženje svih poslovnih transakcija, obračun CK za finansijsko i upravljačko izveštavanje i formiraju se nekonsolidovani finansijski izveštaji za NIS grupu.

Dalji proces izrade i konsolidacije upravljačkih izveštaja nastavlja se u Hyperion planning sistemu. U ovom Oracle BI sistemu radimo i planiranje na godišnjem i trogodišnjem nivou.

Privilegija je raditi u kompaniji koja ima najmodernije informacione tehnologije, zahvaljujući kojima na raspolaganju imate veliku bazu podataka za analizu i pripremu raznih vrsta izveštaja. U projektima implementacije novih informacionih sistema controller mora obavezno da učestvuje i mora da ima jednu od ključnih uloga, jer je veoma važno da set-up sistema bude u skladu sa budućim potrebama planiranja, kontrole budžeta i praćenja ostvarenja. U fazi go-live, IT specijalisti, CCC-FI-CO-LOG (Customer Competence Center) postaju najbolji prijatelji controllerima, jer samo zajedničkim naporima mogu da se reše izazovi koji se pojavljuju u svakodnevnom radu.

Olivera Dostanić je zaposlena u NIS a.d. od 1996. godine na različitim pozicijama u okviru Direkcije ekonomike i korporativnog planiranja. Funkciju direktora sektora za controlling i upravljačko izveštavanje u ovoj kompaniji obavlja od 2007. godine. Oliveru možete kontaktirati imejlom olivera. dostanic@nis.eu

Uprošćena šema kretanja nafte i naftnih derivata

ZALJUBLJENI SMO U NJENO VELIČANSTVO – CENU KOŠTANJA!

„Krajevi se potroše, počeci uvek traju. Početak – eto šta je na kraju!“

Duško Radović

Kraj ere društvene svojine u kompaniji Knjaz Miloš, kao i novi početak u privatnom vlasništvu zahtevao je i novi opis posla, kao i organizaciju dotadašnje Službe plana i analize. Osnovali smo Odeljenje controllinga, u kome je uspostavljen novi koncept izveštavanja, obračuna i planiranja. Prvi izazov bio je da postojeće podatke „upakujemo“ u novi ERP (Oracle), u situaciji kada nismo imali cost centre, niti izveštaje u sistemu. Na tom novom početku svi smo znali teoriju, ali sada je bilo potrebno da je sprovedemo u praksi.

Kada želite da svaki trošak postavite na svoje mesto, to zahteva odlično poznavanje cele kompanije i svih procesa koji se u njoj odvijaju. Morali smo da znamo svaki detalj u vezi sa procesom proizvodnje, a neki od njih su:

koje su specifičnosti rada proizvodnih linija, kakvi se potrošni materijali koriste za njihovo pranje i održavanje, koji su rezervni delovi potrebni za mašine, koliko ljudi na njima radi.

Naš zadatak bio je da pronađemo način da sa planske cene koštanja pređemo na stvarnu. Nakon što smo sklopili sliku o našoj proizvodnji, započeli smo sa izradom koncepta novog obračuna. Cena koštanja podeljena je na 5 komponenti: raw material, overheads line, overheads other, depreciations line, depreciations other.

Prva komponenta cene koštanja, raw material, obuhvata sam repromaterijal koji je iskorišćen za proizvodnju svakog pojedinačnog SKU (stock keeping unit). Zato smo odmah uveli radne naloge proi-

Dragana Lukić Controlling menadžer KNJAZ MILOŠ

zvodnje za koje se vezuju svi utrošci. Obračun cene koštanja specifičan je zadatak u svakom biznisu i kompaniji. U našoj kompaniji koja se bavi proizvodnjom vode, sokova i energetskih napitaka, za sve proizvodne procese potrebna je voda, koju nemate na zalihama, ne može se istrebovati ili vratiti u magacin. Umesto toga, postoje izvori sa kojih se crpi i naknada koja se plaća državi, a i gradu. Trebalo je da svedemo cenu vode po litru i uključimo je u direktni materijal. Takođe, sekundarni repromaterijal, kao što je ugljen-dioksid, nije moguće meriti za svaki radni nalog, već je potrebno da se pronađe poseban način vezivanja za nosioce troška. Tek kada sve te uslove uspešno ispunimo, možemo da izračunamo cenu repromaterijala po jedinici konkretnog proizvedenog proizvoda u bilo kom periodu. Svi ovi troškovi inače su varijabilni i direktno alocirani.

Sledeće četiri komponente – overheads line, overheads other, depreciations line, depreciations other – ne možemo da dobijemo nijednom direktnom metodom. To znači da su nam potrebni ključevi za njihovo alociranje po nosiocima troška, tj. SKU. Isprobali smo dvadesetak raznih ključeva dok nismo pronašli odgovarajući. Uzgred, to je isti ključ koji se koristio i prilikom obračuna cene koštanja u prethodnoj eri.

U početku, naš obračun cene koštanja bio je više ručni rad u Excelu, nego sistematski obračun. To je izgledalo ovako: kada eksportujemo podatke iz radnih naloga i sa glavne knjige, sledio je obračun prema nosiocima u Excelu, kao i uprosečavanje, kako bismo došli do Cost Of Goods Sold (COGS). Evo jedne anegdote iz tog perioda: u poseti nam je bio kolega iz Crafta, koji nam je objasnio njihov proces rada. On je uveče pripremao podatke u Oraclu i do ujutru je imao obrađene i konsolidovane podatke za sve članice grupacije. Tada smo se našalili da mi imamo isto to: uveče sednemo za računar i do ujutru imamo u Excelu sve što i on, samo na malo teži način.

Možete da pretpostavite koliko nam je bilo lakše da kasnije ostatak kompanije podelimo prema cost centrima i da sve to konsolidujemo sa zavisnim preduzećima u jedan jednostavni P&L. Nikakav problem!

Sada smo znatno napredovali, imamo obračun cene koštanja u ERP-u, a uprosečavanje COGS-a radi se nakon svake proizvodnje, što nikako nije bilo izvodljivo ručno. Ipak, iz vremena kada se sve radilo ručno, u Excelu, uz pomoć štapa i kanapa, veći deo mog tima, a ja posebno, zaljubili smo se u cenu koštanja. Knjaz Miloš i dalje ima stvarnu uprosečenu cenu koštanja proizašlu iz tih mukotrpnih preračuna iz ranijeg vremena. To znači da dobri rezultati ne zavise toliko od tehnologija, koliko od strasti i stručnosti ljudi.

Knjaz Miloš je jedna od retkih kompanija koja ima sva knjiženja na kontima devetke. Obračun cene koštanja radi se jednom mesečno, zato što se obračun radi prema stvarnoj ceni koštanja, a većina operativnih troškova ne može da se knjiži svakodnevno. Zahvaljujući preciznom obračunu, imamo mogućnost izrade brojnih analiza koje umnogome pomažu prilikom donošenja važnih biznis odluka. Evo primera: Marketing planira uvođenje novog proizvoda. Da bi se započelo sa realizacijom projekta, potrebno je da se najpre preračuna njegova isplativost. Za tu analizu koriste se varijabilni troškovi kao deo cene

BUDGET

Gross sales

Discounts

COGS

DME

Shipping

Sales expenses

Marketing

G&A

Add back

ACTUAL

koštanja, čime se dolazi do marginal contributiona. Tek nakon preračunavanja marže kontribucije, preduzimaju se dalji koraci.

Knjaz ima veliki broj kupaca, što u key account što u traditional trade kanalu. Precizna cena koštanja omogućuje nam da za svakog kupca izračunamo profitabilnost, što znatno pomaže u određivanju uslova i sklapanju ugovora sa svakim od njih.

Ako imate precizan obračun cene koštanja, uvek možete tačno da identifikujete svako odstupanje od planirane (tj. budžetirane), odnosno od cene koštanja iz prethodnog perioda. Controlling, osim obračuna mesečnog P&L-a, Balance sheet-a, Cash flow-a, CAPEX-a i slično, ima obavezu izveštavanja i budžetiranja istih. Sastavni deo oba procesa jeste, naravno, i cena koštanja. Kada u izveštaju dobijemo sledeći prikaz, uvek moramo da imamo i objašnjenje za sva bitna odstupanja u procentima i procentnim poenima.

Izveštaji nam omogućuvaju da svim stejkholderima za svaki SKU u svakom trenutku možemo da predočimo odstupanja od budžeta i prethodnog perioda, kao i da predložimo način da se ta odstupanja koriguju i vrate u planirane okvire. Njeno veličanstvo – cena koštanja! Zato i ne čudi kada naš tim u neobaveznom ćaskanju u lokalnom kafeu ili kantini za zaposlene počne da preračunava cenu koštanja šoljice kafe, milk-šejka ili štiklica u obližnjem izlogu. Bez cene koštanja ne započinjemo nove projekte, niti radimo ozbiljne biznis analize.

Dragana Lukić je controlling menadžer u kompaniji Knjaz Miloš od aprila 2008. godine. U istoj kompaniji radi od 2001. godine i prošla je različite pozicije. Draganu možete kontaktirati imejlom dragana.lukic@knjaz.co.rs ili telefonom 064 870 0796.

KOLIKO KOŠTA

JEDAN TIGAR?

Bojan Pavlović

Senior Business Support Controller TIGAR TYRES

Cena koštanja proizvoda jedan je od ključnih elemenata za uspešno poslovanje svakog proizvodnog preduzeća. Ona predstavlja cenu po jedinici proizvoda, odnosno cenu koju proizvođač mora da plati kako bi proizveo neko dobro. Cena koštanja predstavlja trošak za preduzeće, a dobija se stavljanjem u odnos ukupnih troškova i proizvedene količine. Osnovni cilj obračuna cene koštanja jeste da bude smernica u donošenju poslovnih odluka menadžmenta, kao i preduzimanje planskih i korektivnih akcija koje treba da doprinesu željenom poslovanju u određenom planskom periodu.

Upravljanje troškovima jedna je od najvažnijih oblasti delovanja controllera. U savremenim uslovima poslovanja troškovi su faktor od presudnog značaja za poslovanje, opstanak i razvoj preduzeća. Sistematizovanje i klasifikovanje troškova ima svoje opravdanje i koristi pri

proučavanju, praćenju i analiziranju troškova, a u cilju donošenja racionalnih poslovnih odluka. Konkurencija na globalnom tržištu preduzećima ostavlja malo manevarskog prostora za određivanje prodajnih cena, tako da je kontrola i smanjenje proizvodnih troškova najbolji način kako bi se ostvarila ciljana dobit.

Obračun cene koštanja je značajan kako za bilans uspeha (realni obračun troškova za bilansiranje rezultata), tako i za bilans stanja (realni obračun troškova za vrednovanje stanja zaliha). Cena koštanja u savremenoj tržišnoj privredi služi kao osnova za određivanje prodajnih cena proizvoda. Ona pokazuje da li su ekonomično određena investiciona ulaganja i, kalkulišući vreme povraćaja investicije, utiče na donošenje odluke o kapitalnim investicijama u određenu zemlju ili preduzeće. Menadžment preduzeća mora da poredi vlastite stvarne troškove u

odnosu na planirane, ali i u odnosu na troškove iz prethodnih perioda i u odnosu na relevantnu konkurenciju.

U kompaniji Tigar Tyres, koja je deo Michelin grupe, obračun cene koštanja radi se na mesečnom nivou, a koristi se informacioni sistem ERP Microsoft Dynamics AX. Implementirali smo ERP krajem 2014. godine i sada koristimo sve prednosti ovog moćnog alata, koji nam omogućava da mesečni obračun cene koštanja završimo drugog radnog dana u mesecu i da rezultate pošaljemo centrali uvek na vreme. Implementacija ovog sistema bila je poseban izazov, s obzirom na to da smo jedina fabrika u Michelin grupi koja koristi ovaj sistem i da smo implementaciju radili paralelno sa proširenjem kapaciteta (investicija od 215 miliona evra u prethodne tri godine i upošljavanje više od 500 zaposlenih).

Paralelno sa implementacijom ERP-a implementirali smo i metod obračuna cene koštanja po standardnim troškovima. Standardna cena koštanja (standard CRI) računa se na bazi proračuna tehničkih podataka (materijalnog bilansa- bill of material i vremena potrebnog za izradu proizvoda- routing time ). Na kraju meseca obračunavaju se varijanse između stvarnih troškova proknjiženih u glavnoj knjizi i standardnih troškova na kojima se baziraju sve proizvodne transakcije. Navedene varijanse se nakon toga analiziraju i daju objašnjenja, ukoliko su varijanse značajnije. Cena koštanja je jedan od najvažnijih, ako ne i najvažniji KPI industrijskih performansi na nivou cele Michelin grupe. Postoji standardni izveštaj analize cene koštanja, koji industrijski controlling priprema svakog meseca i šalje ga centrali. Nakon toga se na redovnim mesečnim sastancima sa me -

nadžmentom centrale analiziraju najvažnije kategorije cene koštanja i odstupanja od plana ( forecasta ).

Varijanse između plana i realizacije iz prošlog meseca jesu važne, ali je u našoj kompaniji mnogo važnije da znamo šta nas očekuje u narednom periodu i svakog meseca radimo forecast cene koštanja za naredni period do kraja godine, a u fokusu su naredna tri meseca. Do ove godine smo godišnji plan radili po principu bottom-up, polazeći od svakog troškovnog centra, i konsolidovali smo plan i usvajali ga u oktobru zajedno sa centralom. Ovaj proces oduzimao je mnogo vremena kako controllerima, tako i velikom broju vlasnika cost centara iz proizvodnje. U sklopu simplifikacije na nivou grupe, od ove godine zvanično je ukinut proces izrade godišnjeg plana. Godišnji targeti su zadržani, ali se sada definišu na bazi forecasta i ove godine smo završili prvi put forecast “8+4+1” sredinom septembra, čime smo zatvorili plan za narednu godinu. Ovaj forecast bazira se na top-bottom i bottom-up principu sa povratnim vezama. Najpre se dobija target od strane grupe, a nakon toga se kroz makroplan odgovara grupi da li može da se postigne definisani target ili ne. Osim ovog forecasta, imamo još tri važna forecasta u januaru (do kraja tekuće godine), marta (do kraja tekuće godine) i juna (kada dajemo prvu viziju za narednu godinu). Ove promene su pojednostavile i ubrzale proces. Controlleri manje vremena gube na izradi plana cene koštanja, a mnogo više vremena mogu da posvete analizi rizika i akcijama koje su usmerene na uštede u troškovima, a koje će na kraju dovesti do smanjenja cene koštanja.

Bojan Pavlović je Senior Business Support Controller u kompaniji Tigar Tyres od februara 2016. godine. Prethodno je radio na poziciji Business Support Controller u istoj kompaniji (20142016) i Financial Analyst u kompaniji Tigar a.d. (2010-2014). Bojana možete kontaktirati imejlom bojan. pavlovic@michelin.com ili telefonom 064 845 1634.

KAKO UŠTEDETI 1% NA

MILION TONA SIROVINA?

„Nikada ne donosite važnu odluku ukoliko niste razmotrili makar dve mogućnosti izbora.“
Lee Iacocca

Vladimir Petković

Finansijski direktor

ELIXIR ZORKA

MINERALNA ĐUBRIVA

Globalno tržište se ubrzano menja i opstanak na tržištu zahteva od kompanija konstantnu promenu i inovacije, kako u proizvodnji tako i u prodaji proizvoda. Konkurentnost na savremenom tržištu ne zavisi više od tržišne cene, već od sposobnosti da se proizvede proizvod sa nižom cenom koštanja. Kompanija može da opstane na tržištu samo ukoliko dobro poznaje svoje troškove, kako bi svoju strategiju mogla da usmeri ka profitabilnim proizvodima. Cena koštanja je instrument koji omogućava menadžerima adekvatno upravljanje, kako bi se dostigli postavljeni ciljevi.

Cena koštanja proizvoda od koristi je našim menadžerima u mnogim segmentima, kao što su: planiranje poslovanja, procena alternativa i donošenje odluka, praćenje rezultata.

Cena koštanja se najpre koristi kako bi se videlo šta možemo da prodamo na tržištu a da pritom ostvarimo željeni nivo profita po toni proizvoda. Da bi odredio prodajnu cenu i

definisao prodajnu strategiju, direktor prodaje mora da ima preciznu cenu koštanja. Plan prodaje direktno utiče na plan proizvodnje, što se dalje reflektuje na plan nabavke sirovina a samim tim i na novčane tokove preduzeća. Procena alternativa i donošenje odluka u vezi sa pitanjem „koji proizvod treba da se proizvodi a koji ne“, nije moguća bez poznavanja cene koštanja.

Konkurentska prednost proizilazi iz velikog broja aktivnosti firme, pri čemu svaka aktivnost utiče na troškove. U našoj kompaniji odlučili smo se za obračun cene koštanja koji je kombinacija tradicionalnog obračuna i obračuna zasnovanog na aktivnostima (activity based costing). U procesu obračuna cene koštanja, sve poslovne troškove dovodimo u vezu sa nosiocima troškova i delimo ih u nekoliko grupa.

Najznačajniji varijabilni trošak u proizvodnji jeste trošak materijala, a koji zavisi od dve komponente:

normativi (količina utrošenog materijala za proizvodnju proizvoda), cene materijala.

Proizvodnja koristi najmanje dve, a često i više različitih sirovina , pa utvrđivanje cene koštanja zahteva tačno merenje količinskog utroška sirovine i obračunavanje za konkretan gotov proizvod. Proizvodnja velikog broja proizvoda od različitih sirovina jedna je od glavnih kvalitativnih konkurentskih prednosti naše kompanije. Da bi naša kompanija bila valorizovana na tržištu neophodno je dobro poznavanje cene koštanja, kako bismo proizvodili proizvode na kojima možemo da postignemo zadovoljavajući profit. Količina utrošenog materijala zavisi od kvaliteta materijala koji se koristi u proizvodnji i sadržaja aktivne materije koju sadrži u sebi. Cena materijala treba da obuhvati sve zavisne troškove nabavke, a zadatak controllera jeste da proveri da li su svi zavisni troškovi nabavke sirovina proknjiženi na pravom mestu.

Troškovi energije takođe zavise od normativa i cene energenta. Tehnologija nam omogućava lak prelazak sa jedne na drugu vrstu energenata, što predstavlja drugu značajnu konkurentsku prednost. Trudimo se da koristi-

mo energente koji u kombinaciji „utrošak po jedinici proizvoda x cena energenta“ daju najniži trošak energije po toni proizvoda.

Dopremiti preko milion tona sirovina sa tri kontineta do fabrika u Srbiji, proizvesti preko pola miliona tona gotovih proizvoda i otpremiti kupcima u preko 20 različitih zemalja sveta, zahteva veliki logistički napor. Trošak

logistike sirovina do fabrike vezujemo kroz zavisni trošak nabavke za konkretnu sirovinu. Trošak logistike gotovih proizvoda vezuje se za direktan proizvod, dok se troškovi interne logistike indirektno vezuju za gotov proizvod. Troškovi prevoza sirovina vezuju se za količine i cenu prevoza po toni i u ostvarenju se prati njihovo odstupanje u odnosu na ove dve komponente.

Troškovi održavanja u proizvodnim kompanijama koje zahtevaju visoka kapitalna ulaganja po pravilu su značajni i treba ih kontrolisati. Ovi troškovi vezuju se za pogone a preko pogona i za konkretne proizvode koji se u njima proizvode. Troškovi održavanja koji ne mogu da se vezuju za proizvodne pogone, po ključu se raspodeljuju na sve proizvode. Kao ključ za raspodelu indirektnih troškova uglavnom se koristi proizvedena količina komercijalnog gotovog proizvoda na nivou fabrike.

Troškovi HR obuhvataju troškove plata, eksternih saradnika, konsultanata i sve ostale troškove zaposlenih (seminari, reprezentacija, službena vozila). Direktni trošak HR vezuje se za konkretan pogon, a preko pogona i za proizvod, dok se indirektni troškovi raspodeljuju po ključu na sve proizvode.

Ostali OPEX je indirektni trošak koji se po ključu raspodeljuje na gotov proizvod.

Objavljivanje mesečnog izveštaja ostvarenja profitabilnosti proizvodnje koji daje prikaz ostvarene cene koštanja po proizvodima, uz analizu odstupanja, događaj je koji izaziva najveću pažnju svih službi u našoj kompaniji. Svi sektori u firmi tada su u prilici da vide efekat svog rada na poslovanje kompanije u prethodnom mesecu.

Takmičarski duh između sektora pokreće ih da rade što bolje, a timski rad svih sektora zajedno dovodi do ostvarenja optimalnog poslovnog rezultata. Zadatak controllera je da kroz izveštaj objasni kolegama iz drugih sektora, a koji nisu ekonomskog usmerenja, uticaj svake odluke na cenu koštanja proizvoda i da zajedno rade na pronalaženju rešenja kako da ostvarena cena koštanja bude što bliža planskoj. Kolege iz drugih sektora moraju da doživljavaju controllera kao partnera koji pomaže u pronalaženju rešenja i poboljšanju rezultata preduzeća, a ne kao dežurnog kritičara. Samo zajednički rad svih sektora i dobra kontrola troškova dovode do ostvarenja cene koštanja, koja garantuje konkurentnost preduzeća i njegovu dugoročnu održivost. Zadovoljstvo i osmeh na licu nakon pozitivnog izveštaja o poslovanju dokaz su da kao tim svakoga dana u svakom pogledu sve više napredujemo.

Vladimir Petković je finansijski direktor kompanije Elixir Zorka mineralna đubriva. Profesionalnu karijeru započeo je 2005. godine kao stručni saradnik za ekonomska pitanja u Vladi Srbije. Poseduje sedmogodišnje bankarsko iskustvo a od 2012. godine zaposlen je u Elixir grupi. Vladimira možete kontaktirati imejlom vladimir. petkovic@elixirgroup.rs ili telefonom 063 860 4093.

AKADEMIJE 2016.

Nivo 1 – Controlling sistem

Nivo 2 – Alati controllinga

Nivo 3 – Planiranje u controllingu

Nivo 4 – Psihologija u controllingu i izveštavanje

Nivo 5 – Timski rad, analiza problema i prezentacija

Nivo 1 – Izveštaji za menadžere

Nivo 2 – Napredni grafikoni

Nivo 3 – Izveštaji za menadžere u Excelu

Nivo 4 – Sertifikacija po IBCS standardima

Nivo 1 – Napredni Excel

Nivo 2 – Napredni grafikoni

Nivo 3 – Dashboard

Nivo 4 – VBA programiranje

Nivo 1 – Controlling

Nivo 2 – Accounting & Treasury

Nivo 3 – Analiza finansijskih izveštaja

Nivo 4 – Vođenje ljudi

Nivo 1 – Sales controlling

Nivo 2 – Finansije i izveštavanje

Nivo 3 – Vođenje prodavaca

Nivo 4 – Razvoj prodavaca

Nivo 1 – ZEN prezentacija

Nivo 2 – Priprema

Nivo 3 – Dizajn

Nivo 4 – Prezentacija

KOLIKO KOŠTA TIRAMISU?

Većina ljudi uživa u kolačima. Da li ste se nekad zapitali kolika je cena koštanja Vašeg omiljenog kolača – na primer, tiramisua? Ako i niste, predlažem da uzmete jedno parče i da Vam predstavim pet koraka koji su ključni za razumevanje cene koštanja. Cena koštanja podrazumeva obračun troškova za proizvod i deo je modula controllinga u okviru SAP-a, a koristi se za vrednovanje internih troškova materijala i proizvodnje, odnosno za računovodstvo profitabilnosti i upravljačko računovodstvo.

1. Planiranje mesta troška je prvi korak. Cilj planiranja mesta troška jeste planiranje ukupnog iznosa troškova u dinarima ili bilo kojoj drugoj valuti, kao i količina na svakom mestu troška u pogonu. Sve troškove proizvodnih mesta troška možete da planirate u zavisnosti od cilja - preko alokacija ili u zavisnosti od mesta nastanka. Recimo, da koristimo obračun troškova za proizvod za vrednovanje naših zaliha u poslastičarnici. To nam pomaže da vrednujemo kolače (gotov proizvod), glazuru (polugotovi proizvod) i sastojke kao što su jaja, mleko i šećer (sirovine). Da bismo izračunali troškove moramo da izračunamo cenu za svaku aktivnost, poput mešanja sastojaka, pečenja u rerni i hlađenja kolača. Pošto je cena u dinarima, možemo da izračunamo cenu na osnovu stvarnih cena

prethodne godine ili da unesemo naše ukupne troškove i ukupan broj komada.

2. Izračunavanje cene aktivnosti. Ovo je sledeći korak u obračunu cene koštanja. Cilj je izračunavanje planirane cene aktivnosti za svaku aktivnost na svakom mestu troška u pogonu. Sada, kada su isplanirani iznosi u dinarima, kao i količine aktivnosti mesta troška, moramo da izračunamo cene tipa aktivnosti Cene tipa aktivnosti koriste se za vrednovanje internih aktivnosti tokom proizvodnje proizvoda. Da bismo izračunali troškove, moramo da osmislimo cenu za svaku aktivnost, poput mešanja sastojaka, pečenja u rerni i hlađenja kolača. Opšte troškove, poput rentiranja prostora, struje i zarada poslastičara planiramo na mestu opštih troškova. Te troškove treba da dodelimo našem proizvodnom mestu troška, kako bismo ih uključili u troškove našeg proizvoda. Pre izračunavanja troškova pretpostavimo da postoje neki opšti troškovi na mestu troška, a koje treba podeliti na višestruke aktivnosti. Kada podelimo te troškove, izračunavamo cene za aktivnosti. Sada dobijamo jedan dinar po komadu za aktivnosti poput indirektnog rada, direktnog rada, pripreme i opštih troškova koje koristimo u obračunu troškova za proizvod.

3. Struktura količine je treći korak. Struktura količine omogućava Vam da izračunate troškove prodate robe za proizvedenu robu i troškove prodate robe za proizvode zasnovane na Sastavnici i Planu operacija (PP) ili Matičnoj recepturi (PP-PI). Struktura količine je važan koncept u obračunu troškova za proizvod, pošto je to ključna tačka integracije između modula Finansije i Logistike u SAP-u.

Da bismo izračunali troškove potreban nam je spisak sastojaka (Sastavnica) i recept sa koracima koje treba da pratimo (Plan operacija). Može da postoji nekoliko načina na koje možemo da ispečemo kolače tako što ćemo menjati sastojke ili možemo da ih pečemo u različitim rernama, pa možemo da imamo nekoliko verzija naših sastojaka i recepata (nekoliko verzija proizvodnje). Da bismo tačno izračunali troškove proizvodnje naših kolača, potrebno je da definišemo mesta gde ćemo

Slaviša Lečić Presales Manager SEE SAP

da ih pečemo (mesta rada ili resursi). Na primer, možemo da koristimo frižider, mesto za mućenje, rernu, mesto za hlađenje i mesto za pakovanje. Svako od ovih mesta moglo bi da se smatra mestom rada i svakom mestu rada dodeljujemo različite aktivnosti, kao što su rad i opšti troškovi. Mesta rada i iznos za svaku aktivnost navedeni su kao operacije u našem receptu (Planu operacija). Pomoću troškova za svaki sastojak (Lista materijala) sa našeg spiska sastojaka (Sastavnici) i cena za aktivnosti u našem receptu (Planu operacija) možemo da izračunamo trošak izrade kolača.

4. Izvođenje obračuna troškova je četvrti korak. Izvođenje obračuna troškova koristi se za izračunavanje troškova velikih količina materijala u jednoj šifri kompanije. Izvođenje obračuna troškova omogućava Vam da odaberete određene materijale, rastavite njihovu strukturu količine, izračunate troškove, analizirate ih, označite i pustite. Pomoću troškova za svaki sastojak (Lista materijala) sa našeg spiska sastojaka (Sastavnici) i cena za aktivnosti u našem receptu (Planu operacija) možemo da izračunamo trošak izrade kolača. Prilikom izračunavanja troškova za kolače izračunaćemo troškove za sastojke. Kada smo zadovoljni standardnim troškovima, možemo da izaberemo da vrednujemo svoje zalihe prema njima.

5. Stvarni troškovi predstavljaju peti i poslednji korak u razumevanju osnova obračuna troškova za proizvod. Stvarni troškovi određuju se preko nabavnih cena, stvarnih troškova i potvrđenih količina proizvodnje. Stvarni troškovi upoređuju se sa standardnim troškovima preko analize odstupanja, a u cilju donošenja odluka i određivanja profitabilnosti. Tokom određenog perioda beleže se stvarni troškovi u SAP-u, kada se sprovode nabavke, obrađuju plate, plaćaju računi i odvija proizvodnja. Na kraju meseca se izračunava nedovršena proizvodnja, odstupanje i radi se obračun. Odstupanje između stvarnih i standardnih troškova može da dovede do promena u obračunu troškova za proizvod za sledeći period ili godinu. Obračunavaju se troškovi i zatvara se period knjiženja na kraju procesa na kraju meseca, kako bi se izbeglo kretanje ma -

terijala ili računovodstveno knjiženje u prethodnom periodu. Na kraju meseca određujemo koje šarže kolača se još nalaze u nedovršenoj proizvodnji, pregledamo naše stvarne troškove i upoređujemo ih sa našim planiranim troškovima (odstupanja) i zatvaramo naše knjige za taj mesec. Kolači koji su još u rerni smatraju se nedovršenom proizvodnjom (status naloga nije završen). Može da postoji nekoliko tipova odstupanja od troškova - zbog više cene mleka (negativno odstupanje ulazne cene), manje otpadnog materijala od glazure (pozitivno odstupanje škarta) i kupovina većeg procenta jaja od poljoprivrednika a po nižoj ceni (negativno odstupanje cene). Nakon analize ovih odstupanja radimo nekoliko izmena troškova i tražimo načine da uštedimo na ceni mleka. Zaključujemo naše knjige za taj mesec i beležimo profit i gubitak u bilans uspeha.

Dakle, zaključak je da preciznost obračuna zavisi i od kompletnosti implementacije ERP rešenja. S druge strane, osim proizvodnih kompanija gde je i nastao obračun cene koštanja, postoji mogućnost da se on primeni i u uslužnim organizacijama, ali na malo drugačiji način, koristeći integraciju sa drugim ERP modulima preko kojih se pokrivaju procesi. Sad kad smo naučili sve u vezi sa cenom koštanja, da nastavimo da uživamo u tom kolaču. Moj omiljeni kolač je tiramisu, a Vaš?

Slaviša Lečić je Presales Manager (South East Europe) u kompaniji SAP od januara 2016. godine. U kompaniji SAP radi od 2007. godine gde je prošao kroz nekoliko pozicija. Slaviša je radio i na poziciji SAP ERP FI Specialist u kompaniji Carlsberg (20042006). Slavišu možete kontaktirati imejlom slavisa.lecic@sap.com ili telefonom 064 642 3910.

Cena koštanja kao puzzle

Ako ste osoba koja voli da rešava enigmatiku, ukrštene reči, skandinavke, osmosmerke, sudoku, zagonetke ili puzzle slagalice, onda će izračunavanje cene koštanja (Cost Of Goods Produced ili COGP) biti čista zabava za Vas.

Za sve oni koji u svom dnevnom poslovanju koriste cenu koštanja problema nema, ali obraćajući se onima koji tek treba da se bave ovom tematikom padaju mi na pamet mnoga pitanja sa raznih kongresa i treninga, a sva se svode na jedno: „Kako da postavim cenu koštanja?” Odgovor je, kako bi rekao jedan od mojih omiljenih trenera, Dietmar Pascher: „Zavisi!” Dakle, na početku imamo jednu kofu troškova, rubikovu kocku koju moramo da razdelimo na što je moguće više elemenata. Prvo ćemo sve troškove da sakupimo i da ih razdelimo na direktne i indirektne proizvodne troškove, a zatim unutar tih grupa na grupacije koje prepoznajemo i koje imaju neki zajednički imenitelj. U slučaju direktnih troškova to i nije tako teško, jer lakše možemo da prepoznamo sirovine, materijale ili ljude koji direktno učestvuju u formiranju nekog proizvoda. Sa indirektnim troškova ulazimo u polje enigmatike. Pre svega, važno

je da prepoznamo troškove i da ih grupišemo koliko god je moguće u: indirektni materijal i rad, energiju, usluge, amortizaciju, ostali troškove.

Ne mora sve ovo da bude na jednom nivou, moguća je raspodela u više njih.

Da bi se indirektni troškovi dalje razvrstali, moraju da prođu kroz neku varijantu raspodele (alokacija).

Postoji više različitih modela, ali ćemo izdvojiti tri:

1.Distribuciju po programima

Ako imamo četiri proizvoda, sve ćemo ravnomerno da raspodelimo na svaki program, a posle dalje na proizvedene količine.

2.Distribuciju po količinama

Posmatraćemo proizvedene količine i učešće svakog programa u ukupnom.

3. Distribuciju po kapacitetu (vreme)

Postavlja se pitanje koliko traje proizvodnja svakog proizvoda, a njihovo učešće u broju

Ivana

ukupnih sati potrebnih za proizvodnju biće ključ za raspodelu.

Na jednostavnom primeru možemo da vidimo da će ključ ili procenat za raspodelu biti različit ukoliko se koriste različite metode. Važno je da ne postoji sveto pismo za ključeve za raspodelu, već oni mogu da se kombinuju. Tako jedna grupa troškova može da se deli po modelu distribucije po programima, neki troškovi po količinama, dok neki treći mogu da se dele po kapacitetima.

KOJI MODEL KORISTITI?

Ako uzmemo istu korpu troškova sa istom količinom proizvedenih proizvoda uz iste kapacitete, videćemo da primenom različitih modela distribucije troškova mogu da se dobiju različita krajnja rešenja. Generalno, u zavisnosti od vašeg poslovanja odrediće se i relevantna distribucija.

Ako radite ravnomernu distribuciju po programima, proizvodi sa malim količinama biće oštećeni. Ukoliko koristite distribuciju po količinama, možda ćete biti najbliži „pravednom“ rešenju, ali će tako biti protežirani oni proizvodi koji zahtevaju najviše sati za proizvodnju pojedinačnog proizvoda.

Moj omiljeni model distribucije jeste kapacitet. Posmatrajmo jednostavno parking mesta, na primer - koliko sati auto stoji parkiran, toliko se karata plati. Jednom sam naletela na parking koji se plaća po ulasku, po količini. U svakom slučaju, probajte nekoliko varijanti, da ne biste došli u situaciju da ugasite proizvod samo zbog neadekvatne raspodele, odnosno distribucije po ključevima unutar cene koštanja.

Sve ovo deo je mnogo većeg projekta u koji ćete da se upustite nakon formiranja cene koštanja, jer ona je prvi korak. Sledeći korak jeste profitabilnost, jer treba sagledati sve prihode i rashode koje nosi jedan proizvod, kao i njihovu korelaciju sa drugim proizvodima i delovima kompanije. I na kraju, da na „klik“, a danas je to uz business inteligence na dohvat ruke, imate odgovor na pitanje: Koliko nas je ovo koštalo i koliko smo zaradili?

Ivana Višnjić je CFO u Bel Medic Opštoj bolnici i vlasnik i Management Consultant u VoooFIT Consulting-u. Pre toga, Ivana je bila u kompaniji Jaffa Crvenka i Kappa Star Group (2010-2015) na pozicijama CFO i Direktor plana i analize. Ivana je radila i kao aktuar u Generali osiguranju Srbija (2008-2010), finansijski controllor u Koncernu Bambi (2007-2008) i analitičar u CA IB Corporate Finance (član UniCredit Group) (2006-2007). Ivanu možete kontaktirati imejlom ivana.visnjic@outlook.com ili telefonom 063 461 610.

... A KOLIKO KOŠTA

„LJUBAV NA PRVI ZALOGAJ“?

Da li ste znali da je istorija kečapa započela bez paradajza? Naime, još u XVII veku misionari su na području Kine uživali u lokalnom specijalitetu po imenu kê-tsiap ili kôe-chiap ili kê-chiap To je bio sos, koji je u osnovi sadržao usoljenu ribu u salamuri sa dodatkom raznih začina. Njegov zanimljiv ukus zavoleli su i Englezi sredinom XVIII veka, kada započinje masovnija proizvodnja. Osnovni recept dobio je i varijacije, pa su uvedeni novi sastojci: pečurke, orasi, sirće i belo vino. Ipak, u osnovi je ostao sos od ribe.

Da bi nastao kečap koji danas poznajemo, prvobitni sos od ribe morao je da da pređe put preko okeana i da stigne u Ameriku. Tamo je započeta sadnja paradajza, a zatim su osmišljeni i načini kako da se paradajz održi i konzervira kako bi mogao da se konzumira tokom cele godine. Tako se došlo do kuvanja, pasiranja i upotrebe zaslađivača u proizvodnom procesu. Prvi recept za sos od paradajza objavljen je 1801. godine. S vremenom je, kako se to u Americi obično dešava, uz mnogo preduzimljivosti i marketinga, kečap postao omiljen širom SAD. U Evropi, prvi kečap pojavio se 1937. godine.

U Srbiji, proizvodnja danas dobro poznatog kečapa Polimark započeta je 1992. godine. U maloj prostoriji od svega 10 m 2, gde su se odvijali svi proizvodni procesi, dnevno se proizvodilo 50 kg kečapa. Zahvaljujući dobro prihvaćenom ukusu, kompanija je beležila uspešne poslovne rezultate i veoma brzo je proširila svoje proizvodne kapacitete. Danas je to moderna fabrika koja se prostire na preko 5.000 m 2 i koja u procesu proizvodnje kečapa koristi najsavremeniju opremu i najkvalitetnije sirovine. Dnevna proizvodnja kečapa danas iznosi i više od 50.000 kg.

KAKO SE ODVIJA PROCES PROIZVODNJE KEČAPA POLIMARK I KAKO SE RADI OBRAČUN CENE KOŠTANJA?

Proces proizvodnje kečapa Polimark odvija se kroz četiri proizvodne operacije: priprema smese suvih sastojaka, proizvodnja šećernog sirupa, proizvodnja šarže, punjenje i pakovanje kečapa.

Jovana Kondić Menadžer službe controllinga UNISOL GROUP
Slika 1. Dijagram toka proizvodnje kečapa i paradajz sosova

Svaka proizvodna operacija ima definisane inpute (sirovine ili ambalažu), kao i outpute koje čine poluproizvodi i gotovi proizvodi (suvi sastojci, šećerni sirup, šarža i kečap).

Proizvodne operacije ujedno se definisane i kao proizvodna mesta troška u ERP-u. Ovo je važno sa stanovišta praćenja i preciznog evidentiranja direktnih varijabilnih i fiksnih troškova. Svi troškovi koji se evidentiraju na proizvodnim operacijama su direktni troškovi, a ostali troškovi predstavljaju indirekne troškove i oni se preko definisanih ključeva za alokaciju spuštaju na artikle.

Ovakav procesni pristup omogućava pravilnu raspodelu/prenos troškova na sve proizvodne operacije i daje mogućnost preciznog obračuna cene koštanja svakog poluproizvoda i gotovog proizvoda.

Troškovi su podeljeni na: direktne varijabilne, direktne fiksne, indirektne proizvodne, indirektne neproizvodne.

VARIJABILNI TROŠKOVI MODEL ALOKACIJE

Repromaterijal i ambalaža

Direktan rad

Direktna energija

Sastavnice

Očekivani utrošak materijala ambalaže i poluproizvoda za proizvodnju jedne jedinice artikla

Normativ brzine izlaza artikala

Vreme potrebno za proizvodnju jedne jedinice proizvoda ili poluproizvoda

Normativ utroška energije

Koliko je potrebno kWh za izradu jedne jedinice artikla

DIREKTNI VARIJABILNI TROŠKOVI

U slučaju varijabilnih troškova, za svaki artikal (poluproizvod i gotov proizvod) postoje definisane sastavnice, normativi brzine izlaza artikala, normativi utroška direktnog rada i normativi utroška direktne energije.

DIREKTNI FIKSNI TROŠKOVI

Direktni fiksni troškovi obuhvataju amortizaciju i održavanje i oni se direktno vezuju za

Slika 2. Struktura Cene koštanja

FIKSNI TROŠKOVI MODEL ALOKACIJE

Amortizacija i održavanje

Prikupe se svi troškovi sa operacija (cost centara).

Izračuna se efektivno vreme rada za datu operaciju, u posmatranom periodu

Formula: efektivno vreme rada [maš. h] = ∑ normativ brzina izlaza [maš. h/j.m. artikla] x proizvedena količina [j.m.], gde je ∑ - zbir vremena svih artikala koji se proizvode na datoj operaciji.

Izračuna se cena časa po operaciji

Formula: cena časa po operaciji [EUR/h] = trošak po operaciji [EUR] / efektivno vreme rada [maš. h]

Obavlja se alokacija troškova na artikle

Formula: trošak po jedinici artikla [EUR/j.m.] = cena časa po operaciji [EUR/h] x normativ brzina izlaza [maš. h/j.m. artikla]

proizvodne operacije, a onda se preko ključa za alokaciju prebacuju na artikle. Ključ za alokaciju fiksnih troškova je efektivno vreme rada mašina (mašinski sati) koje je utrošeno za proizvodnju jedne jedinice artikla.

INDIREKTNI PROIZVODNI TROŠKOVI

(DIRECT MANUFACTURING OVERHEAD)

Indirektni proizvodni troškovi su svi troškovi koji nastaju na proizvodnim mestima troškova, ali nisu direktno vezani za artikal ili proizvodnu operaciju. Ključ za alokaciju troškova su efektivni časovi rada mašina.

INDIREKTNI

Plate (kontrola kvaliteta, mikrobiologija i sl.)

Indirektna amortizacija

Sredstva za čišćenje

Uniforme za rad

INDIREKTNI NEPROIZVODNI TROŠKOVI (INDIRECT MANUFACTURING OVERHEAD)

Postupak je identičan kao i kod indirektnih proizvodnih troškova, samo što polaznu osnovu predstavljaju ukupni indirektni neproizvodni troškovi (plate direktora, reprezentacija, obuke i sl.).

Započeli smo sa istorijom razvoja kečapa, opisali proizvodni proces i uradili cenu koštanja. A kako bismo na kraju opisali Polimark kečap? Nešto crveno. I slano i slatko. Ponekad ljuto. Sastavni deo naših života. Za ukusan obrok pun ljubavi, izvor likopena, bez glutena, kečap no 1!

Prikupe se svi troškovi sa proizvodnih mesta troškova, a koji nisu direktno raspoređeni na proizvodne operacije

Izračuna se prosečna cena po času

Formula: cena časa po operaciji [EUR/h] = indirektni troškovi [EUR] / efektivno vreme rada [maš. h]

Obavlja se alokacija troškova na artikle

Formula: CK indirektnih troškova proizvodnje po jedinici artikla [EUR/j.m.] = cena časa po operaciji [EUR/h] x normativ brzina izlaza [maš. h/j.m. artikla]

Jovana Kondić je menadžer službe controllinga od januara 2016. godine u kompaniji Unisol group. Prethodno je radila na poziciji direktora controllinga u kompaniji Merkator S (2014-2015), odnosno IDEA (2012-2014). Radila je i kao revizor u Baker Tilly WB (20072012). Jovanu možete kontaktirati imejlom kondic@unisol.biz ili telefonom 063 604 138.

KAD KRENE HISTERIJA POMAŽE MATEMATIKA!

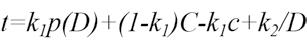
Nije ostalo mnogo vremena do kraja godine, nije ostalo puno prostora za poboljšanje rezultata, ali će year-end forecast prikazati sve šanse. Važno mesto među tim šansama zauzeće i superrabati, neki off-invoice rabat koji proizvođači upućuju svojim kupicma, odnosno maloprodaji. Kako se kraj godine bude približavao, i histerija oko superrabata će biti veća. U nameri da ne pogubimo konce (i živce) kad krene „histerija“, matematički model superrabat mogao bi da pomogne. Ovaj tekst baziran je na radu koji potpisuju Jeuland Abel and Shugan Steven: „Managing channel profit“ (Marketing science vol 27).

FUNKCIJA TRAŽNJE

Na tražnju D utiču mnogi faktori. Osim cene p, tu su i faktori na koje utiče proizvođač Q (kvalitet proizvoda, brend) i oni na koje utiče maloprodavac S (nivo usluge, mesto izlaganja, dodatna promocija). Funkcija tražnje D(p,Q,S) ima osobine: To znači da će tražnja opadati sa rastom cena, dok će izdaci u povećanje kvaliteta, kao i izdaci u prodajne usluge izazvati povećanje tražnje.

PROFITNE FUNKCIJE UČESNIKA

NA TRŽIŠTU

Model profita učesnika može da se prikaže kao razlika kontribucionog rezultata i fiksnih troškova. Fiksne troškove proizvođača obeležićemo sa F, dok će sa f biti obeleženi fiksni troškovi maloprodavca. Stopu kontribucionog dobitka označićemo sa G (proizvođač) i g (maloprodaja) Pomenuto je da postoje i drugi parametri koji su pod direktnom kontrolom proizvođača ili maloprodavca i koje smo označili sa Q i S

Za troškove ćemo koristiti funkcije C(Q) i c(S). One pokazuju da varijabilni troškovi kod proizvođača rastu sa investiranjem u povećanje kvaliteta, isto kao što će i varijabilni troškovi kod maloprodavca rasti sa podizanjem nivoa prodajnih usluga. Cenu p predstavićemo kao funkciju marži i varijabilnih troškova koji zavise od kvaliteta i prodajnih usluga.

Funkcija profita proizvođača je:

f1)

Funkcija profita maloprodavca je:

f2)

Kada bi predstavljeni kanal bio jedna kompanija, onda bi funkcija profita te jedinstvene kompanije bila:

f3)

Maksimalizovanje zbirne funkcije u zavisnosti od promena marže proizvođača ćemo predstaviti sa:

f4)

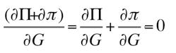
Diferenciranjem funkcije profita maloprodavca u zavisnosti od marže proizvođača dobićemo:

f5)

Kako su sve veličine u f5 pozitivne, to znači da će profit maloprodavca uvek da se smanjuje sa povećanjem marže proizvođača. Zaključak je isti i kad se umesto po marži proizvođača G, zbirna profitna funkcija diferencira po marži maloprodavca g, odnosno, da će bez koordinacije maloprodavac postaviti g tako da u zadatim uslovima ostvari maksimalni lični profit.

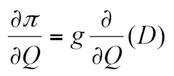
Proširićemo analizu preostalim parametrima iz profitne funkcije (Q i S). Konstatovano je

da povećanje kvaliteta izaziva veću količinsku realizaciju, ali šta će da se desi sa ukupnom i pojedinačnim funkcijama profita ukoliko bismo povećali kvalitet proizvoda? Matematičku interpretaciju ovog pitanja predstavlja formula 6.

f6) f7)

Formula f7 je pozitivna, što je i očekivano, jer veći kvalitet u modelu sigurno znači i veću realizaciju. Ta veća realizacija za maloprodavca koji nije učinio nikakve dodatne napore (troškove) znači i veći profit, a kako je f7 pozitivno, da bi važila formula 6, onda mora da bude:

Zaključak koji sledi iz f6 i f7 jeste da će u cilju maksimizacije svoje profitne funkcije proizvođač težiti ka smanjivanju kvaliteta, dok će to povećanje kvaliteta pozitivno uticati na maloprodavca, koji nema direktan uticaj na taj kvalitet.

Zbog simetričnosti modela, isti je zaključak i kad je reč o promenama u pogledu kvalitativnih faktora na strani maloprodavca (S). Maloprodavac podizanjem nivoa svojih usluga kupcima prodaje veće količine, što će više pogodovati proizvođaču, jer taj dodatni izdatak koji dovodi do povećane realizacije finansira maloprodavac. Zaključak je da kanal neće dostići maksimalnu profitabilnost, jer će učesnici usko gledati na sopstvenu stranu, koja najlakše dolazi do profita zahvaljujući troškovima koje snosi druga strana.

SUPERRABATI

Može li superrabat da poboljša koordinaciju učesnika na tržištu, kako bi svi učesnici maksimalizovali svoje profitne funkcije?

Raspodelu ukupnog profita kanala možemo da predstavimo tako što će proizvođaču pripasti jedan varijabilni deo ukupnog profita i jedan fiksni deo, dok ostatak pripada maloprodavcu.

Profit će se raspodeliti tako što će proizvođaču da pripadne deo od ukupnog profita, a koji ostvaruje kanal k1, kao i fiksni iznos k2, dok će maloprodavcu da pripadne ono što je ostalo od ukupnog profita kanala, a to je deo ukupnog profita od (1-k1 ) umanjen za fiksni iznos k2 Deo profita koji pripada proizvođaču biće: f8)

Deo profita koji pripada maloprodavcu biće: f9)

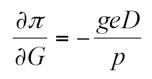
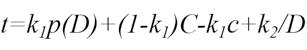
Prodajna cena proizvođača, odnosno nabavna cenu za maloprodavca t, jeste zbir troškova po jedinici C, uvećani za maržu proizvođača G

f10)

Cena (p) koju potrošač plaća maloprodavcu biće sastavljena od nabavne cene u maloprodaji (prodajna cena proizvođača-t), troškova po jedinici maloprodavca c i maloprodajne marže g:

f11)

Uključivanjem formula 10 i 11 u formulu 8 i nakon preračunavanja po t dobijamo: f12)

Ovo ukazuje da prodajna cena proizvođača sadrži deo cene koju plaća krajnji potrošač, da sadrži deo za pokriće troškova obe strane i poseban deo koji se odnosi na fiksne troškove proizvođača, a koji opada sa povećanjem količine. Ovo znači da je koordinacija moguća samo ako proizvođač ima pravo na deo prodajne cene maloprodavca i učestvuje u pokrivanju troškova maloprodavca (k1c), kao i da maloprodavac učestvuje u troškovima proizvođača ((1-k1)C).

Prozvođač svojom politikom rabata utiče na marginalne troškove maloprodavca, sa ciljem da ih izjednači sa marginalnim prihodima maloprodavca. Tada maloprodavac ostvaruje maksimum profitabilnosti, što u ovom modelu znači i

maksimum profita kanala, odnosno i maksimum profita proizvođača.

Formula 12 pokazuje da je za implementaciju strukture popusta potrebno ugovoriti da će maloprodavac plaćati proizvođaču konstantni deo u iznosu (1-k1)C-k1c, kao i deo prodajne cene izražen sa k1p(D)

Popust koji obezbeđuje koordinaciju predstavljen je funkcijom f12, gde k1 predstavlja parametar tog količinskog popusta, a k2 je parametar minimalne cene.

f12)

ČEMU OVO SLUŽI?

Ova analiza pokazala je da proizvođač podiže svoju maržu preko optimalne, misleći da tako maksimalizuje svoju profitnu funkciju, jer nije svestan mogućnosti koordinisanog delovanja, koje dovodi do veće količinske realizacije i većeg profita za proizvođača.

Ipak, danas je lako uočljivo preplitanje i obavljanje nekih aktivnosti koje su pre bile strogo rezervisane samo za jednu ili drugu stranu. Proizvođači se angažuju u aktivnostima prodaje angažovanjem promotera i merčandajzera u maloprodajnim objektima svojih kupaca, kako bi podigli nivo prodajnih usluga u maloprodaji kroz direktan kontakt sa kupcem. Na taj nači direktno i preuzimaju deo troškova maloprodaje predstavljen formulom f12. Sa druge strane, maloprodaje utiču na kvalitet proizvoda. Ovo je veoma izraženo kad je reč o uvođenju standarda kvaliteta, gde mali proizvođač nema mogućnost da stekne neophodna znanja, pa maloprodavac organizuje seminare i sertifikaciju, čime direktno preuzima deo troškova kvaliteta proizvoda.

Superrabatima se najbrže utiče na marginalne troškove učesnika, ali u year-end histeriji posmatra se samo kratkoročni rezultat i potpuno se zaboravlja misija, vizija i dugoročni strategijski ciljevi. Zaboravlja se ono zašto postojimo kao kompanija, a onda kad histerija prođe put do tog zašto , može da bude teži i dalji zbog „zloupotrebe“ superrabata i uticaja koji oni imaju na sve učesnike u kanalu distribucije.

Aleksandar Predić ima preko 10 godina iskustva u finansijama i controllingu. Trenutno je na poziciji direktora u Step up executives Radio je kao finansijski direktor u kompaniji Don Don (2014-2016). Bio je direktor finansija i računovodstva u kompaniji Metro Cash & Carry (2013-2014), i u istoj kompaniji je radio na pozicijama: direktor controllinga (2011-2013), controlling menadžer (2007-2011), senior controller (2006-2007). Radio je i kao finansijski analitičar u kompaniji Nelt (2004-2006). Aleksandra možete kontaktirati imejlom alexpredic@gmail.com ili telefonom 069 242 6700.

NATALIJA JEGDIĆ

IZVRŠNI DIREKTOR ZA PRIVATNE KORISNIKE TELEKOM SRBIJA

Lepša strana telekomunikacija

POSAO

U Telekomu Srbija ste od 2000. godine. Počeli ste kao saradnik, a sada ste na funkciji izvršnog direktora za privatne korisnike. Koje osobine i kvaliteti su Vas doveli do ove pozicije?

Istrajnost, iskrenost, hrabrost i želja za ličnim i profesionalnim razvojem su osobine koje su mi pomogle da napredujem na profesionalnoj lestvici, od saradnika do izvršnog direktora. Moja menadžerska karijera započeta je još 2001. godine, kada sam sa mesta saradnika došla na poziciju regionalnog direktora za HR i vrlo hrabro ušla u profesionalni izazov koji mi je ponuđen. Tada sam bila mlada, puna entuzijazma i želje da promenim stvari. Takva sam i sada. Kompanija se menjala munjevitom brzinom i ja sam kroz svoju petnaestogodišnju menadžersku karijeru imala priliku da radim na različitim funkcijama i u različitim oblastima, počev od ljudskih resursa, preko marketinga, prodaje, plana, budžeta i analize, kroz koje stičem različita iskustva i znanja koja su mi mnogo pomogla u profesionalnoj karijeri i dovela me do sadašnje pozicije. Entuzijazam, hrabrost, optimizam, želja za stalnim sticanjem znanja, vredan rad, vera u sebe i u svoje saradnike i kolege su, mogu slobodno da kažem, formula za uspeh. Ako na posao gledate kao na izazov, uspeh je zagarantovan. Nekada se našalim sa svojim zaposlenima pa kažem: „Dobro isplaniraj, radi i ćuti“, to je formula za svaki uspešan posao.

Imate dugogodišnje iskustvo u telekomunikacijama. Zbog čega ste se opredelili za ovu oblast i šta Vam se najviše sviđa u radu u telekomunikacijama?

Diplomirani pravnik sam po obrazovanju, ali često u šali mojim kolegama inženjerima kažem da treba da mi dodele i diplomu njihovog fakulteta. Kada sam iz advokature došla u telekomunikacije, shvatila sam da je tu sve moguće. Moje kolege inženjeri kažu: “U telekomunikacijama i IT svetu sve je moguće”. Pa kako onda da ne zavolite taj posao. To je ta draž i igra koja vas podstiče da razmišljate i stvarate neke nove stvari. Komunikacije su svuda oko nas. One su neodvojivi deo naših života i ta širina, svest o tome da vam je ceo svet na dlanu i da možete da pomerate granice je neverovatan afrodizijak za entuzijaste.

Telekomunikacije su jedna od industrija koje se najbrže razvijaju i novosti su skoro svakodnevne. Taj tempo odgovara mom temperamentu i promene na globalnom tržištu telekomunikacija uslovljavaju domaće telko-operatore da moraju da ih prate u korak i da se bore za svakog korisnika. Ta dinamika me dodatno motiviše i pokreće. Kada dolazite na posao svaki dan sa tom mišlju, onda poslovne obaveze nikad ne mogu da postanu zamorne, već podstiču da uvek idete dalje. Telekomunikacije su veoma široka oblast, koja vam daje mogućnost da mnogo svojih ideja sprovedete u delo. Svakog dana idem na posao srećna i ispunjena činjenicom da je sve moguće.

Kao menadžer ste fokusirani na svoje zaposlene, a kao izvršni direktor na privatne korisnike. Kako uspevate da osluškujete i podmirite potrebe i jednih i drugih?

I prema zaposlenima i prema korisnicima imam isti pristup – otvoren, iskren, opušten i neposredan. Kada imate tu humanu notu u odnosu sa ljudima onda sve postaje lakše, a problemi, iako nastanu, lako se rešavaju. Uvek kažem svojim kolegama i korisnicima: „Ne brinite, sve je rešivo“. Imam tu sreću da je moj tim ljudi stalno uključen u sve kreativne procese, poslovne odluke, i njihovo osećanje da doprinose zajedničkom uspehu ih zapravo čini zadovoljnim. Sa druge strane, mislim da naši korisnici cene naš pristup u poslovanju sa njima - izlazimo im u susret sa upravo onakvim rešenjima kakva su im potrebna, nudimo sve vrste usluga na jednom mestu. To je za njih ogromna pogodnost, ta mogućnost da uđu u samo jednu poslovnicu, koje su sada topla mesta sa kućnom atmosferom gde vas svaki zaposleni dočeka kao da ste mu došli u goste i ponudi sve što vam je potrebno, visokog kvaliteta a po pristupačnim cenama. Od nedavno, korisnici mogu da popiju kafu ili čaj u našoj poslovnici na Banovom brdu, a planiramo da to postane praksa u skoro svakoj poslovnici. To je pokazatelj da radimo mnogo na neposrednom odnosu sa korisnicima i da je takvim pristupom sve rešivo i moguće.

Box paketi su jedna od novina u ponudi Telekom Srbija. Da li planirate još neke inovacije u skorijoj budućnosti?

Box paketi koje je mts kreirao u 2014. godini pokazali su se kao sjajan način da korisnici sami mogu da naprave paket usluga prema svojim potrebama. Statistika kaže da smo time napravili odličan poslovni rezultat, jer smo proglašeni za najprofitabilniju kompaniju u Srbiji za 2015. godinu. To nas je posebno motivisalo da dalje razvijamo dodatne servise, poput mts televizije. Sada na našoj TV platformi, osim niza sportskih i zabavnih kanala, možete da uživate i u Agro TV-u, kanalu koji obrađuje teme iz poljoprivrede i to je prvi TV kanal tog tipa u

regionu. Pokrenuli smo i prvi lifestyle TV kanal, tu je i Ženska TV koja obrađuje teme iz mode, lifestylea, kulture i zabave.

Svet telekomunikacija je vrlo dinamičan. Kako vidite razvoj ove oblasti?

Za relativno kratak period u razvoju telekomunikacija, prešli smo dug put – od mobilnog preko pametnog telefona i tableta, do uređaja koji nam olakšavaju život upotrebom raznih mobilnih aplikacija i koji nam omogućuju zabavu u svakom trenutku. Svet sada ne može da funkcioniše bez globalne povezanosti, koja je omogućena upravo tako brzim razvojem telekomunikacija. Svakim danom povećava se broj uređaja koji međusobno komuniciraju, kako kod kuće, tako i na ulici, poslu ili nekom drugom ambijentu. Za svaki od njih potrebno je da se omogući da se komunikacija odvija besprekorno, što znači da telko-operatori moraju da obezbede nesmetan protok sve zahtevnijeg sadržaja. A to je veliki izazov. S druge strane, digitalna transformacija zahvatila je bukvalno sve industrije i delatnosti, od prevoza do zdravstvenih usluga. Takav razvoj nudi brojne prilike i tradicionalne telekomunikacione korporacije moraće da uhvate svaku priliku ako misle da ostanu konkurentne.

Sa kojim izazovima se susrećete kao uspešna poslovna žena? Da li je teže ili lakše uspeti kao žena u biznisu?

Izazovi sa kojima se svi susrećemo u poslu ne dele se prema polu, već prema težini i načinu na koji ih rešavamo. Od savremene žene danas se očekuje da bude uspešna u svim segmentima života – na poslu, u kući i porodici, što ponekad može da oteža fokusiranje na karijeru i napredovanje u poslu. Sa druge strane, mi žene imamo „dugme“ za multitasking i mnoge stvari možemo da radimo istovremeno, naravno uz podršku i razumevanje porodice i partnera. Ne u želji da uvredim naše drage kolege muškarce, ali mi se čini da je ženama nekada teže a da upravo zbog te multitasking veštine sve mogu da postignu.

CONTROLLING

Kakvo je Vaše viđenje controllinga, odnosno funkcije za budžet?

Strateško poslovanje, planiranje i controlling su tri osnovna faktora u svakom biznisu, pogotovo u telekomunikacijama. Za razliku od pojedinačnih odeljenja u kompaniji, funkcija za budžet je od suštinske važnosti za nadzor i evaluaciju poslovanja, ali i održavanje strateškog puta kompanije. Za razliku od revizije i unutrašnje kontrole, controlling treba da da menadžmentu ne samo istorijske podatke, već i predviđanja na osnovu obrade alternativnih poslovnih pravaca.

Koliko Vam controlleri pomažu u svakodnevnom poslu?

Controlleri, osim finansijskog znanja u oblasti budžeta i računovodstva, moraju da imaju i znanja o svim poslovnim procesima i organizaciji u kompaniji. Saradnja sa njima omogućava mi da donosim ispravne poslovne odluke, a na osnovu brižljivo sačinjenih izveštaja koji ne predstavljaju samo kolone i brojke, već i važne smernice za članove top-menadžmenta.

Moram da priznam da je Funkcija za budžet u našoj Kompaniji za mene i moje kolege u menadžmentu naše „i oko i uho“. Intenzivno pratimo šta nam sugerišu i trudimo se da plan pravimo bez velikih odstupanja, što je suština uspeha. Dobro planiran, optimističan i hrabar biznis plan preduslov je da kompanija bude uspešna, a mi smo takva kompanija.

Controlleri prave veliki broj izveštaja. Koje izveštaje najčešće dobijate od njih?

Pošto se, između ostalog, bavimo prodajom privatnim korisnicima, najviše koristimo izveštaje koji se tiču obima prodaje prema tipu usluga, izveštaje o isplativosti određenih modela, CBA analize uvođenja novih servisa, predviđanja za budući period. Jako su važni i izveštaji o troškovima, kao i podaci o mestu troška koji daju odličnu sliku poslovanja svakog pojedinačnog biznisa u Kompaniji. Pošto se bavim prodajom i marketingom, u mojoj nadležnosti su i prihodi i troškovi u delu poslovanja sa privatnim korisnicima, a to je mas market. Controlleri i njihovi

izveštaji pomažu mi da pronađem način da sa što manje troška napravim potreban prihod, kako bi na kraju ostvarili onaj rezultat koji su nam akcionari zadali. To možda zvuči jednostavno, ali controlleri će najbolje objasniti da je to prava veština.

Ako biste opisali dobrog controllera u tri reči, on bi bio…?

Sveobuhvatan, analitičan i, pre svega, tačan.

PRIVATNO

Imate vrlo odgovoran i zahtevan posao. Kako “punite baterije” u slobodno vreme?

Porodica i prijatelji su moja „baza“. Iz vremena provedenog sa njima crpim energiju koja mi je potrebna da izdržim brz poslovni tempo. Vremena je uvek malo, ali uspevam da se vidim sa sebi dragim ljudima i razgovor sa njma je dobar način punjenja baterija. I naravno, male „ženske“ stvari – odlazak u kozmetički i frizerski salon, dobra knjiga ili film, i iznad svega, sport - to su stvari koje svakako mogu da rasterete jedan naporan dan na poslu.

Imate li neku neostvarenu želju?

Želja uvek ima, one nas podstiču da uvek dajemo sve od sebe. Imam sreću da sam najvećim delom ispunila svoje profesionalne ciljeve i da je saradnja koju sam ostvarila i sa svojim timom i sa eksternim partnerima neposredna, iskrena i uspešna. Volim ljude sa kojima radim i ta pozitivna energija je preduslov i za privatni i za profesionalni uspeh.

Uspešni ljudi imaju svoje male, “tajne” recepte za uspeh. Možete li da podelite sa nama Vaš životni i poslovni lajtmotiv?

Vera u sebe i u druge. Ljubav za ljude sa kojima radite i za posao koji radite jeste prvi uslov. Optimizam, osmeh i entuzijazam. Bitno je ostati svoj i biti hrabar. Oduvek sam bila svoja i nisam dozvoljavala sebi da se odreknem sopstvenih načela i zamisli, bez obzira na poslovne poteš-

koće sa kojima sam se susretala. Dobro sam osluškivala „spolja“ i donosila odluke „iznutra“. Hrabrost je osobina koja u poslu može mnogo toga dobrog da donese. Još kad svoj posao radite sa lakoćom i ljubavlju, uspeh ne može da izostane.

Sezona godišnjih odmora je iza nas. Kako za Vas izgleda jedan idealan godišnji odmor?

Idealan godišnji odmor je onaj proveden sa dragim osobama. Obožavam putovanja. Volim da upoznajem različite kulture i iz toga crpim nova znanja, iskustva i prijateljstva, ali i ideje za svoj posao. Volim more ali i planinu, pasionirani sam skijaš i koristim svaki slobodan vikend u zimskoj sezoni da posetim ski-centre i uživam u sportu koji mi najviše prija. Ta sezona tek dolazi i jedva je čekam.

Natalija Jegdić je izvršni direktor za privatne korisnike u kompaniji Telekom Srbija. Diplomirani je pravnik po struci. Svoju karijeru je počela u advokaturi a u Telekomu Srbija radi od 2000. godine. Njena menadžerska karijera je počela 2001. godine, kada je postavljena za direktora HR-a i na toj poziciji provela oko četiri godine. Nakon toga preuzima funkciju direktora za marketing, pa nakon toga i direktora prodaje a jedno vreme je vodila i sektor za plan, budžet i analizu u okviru Direkcije za rezidencijalne korisnike. Više od tri godine je na poziciji izvršnog direktora za privatne korisnike. Nataliju možete kontaktirati imejlom natalijaj@telekom.rs ili telefonom 064 610 5929.

MENADŽER KORPORATIVNE STRATEGIJE I PMO AIR SRBIJA

Pričam ti priču... (STORYTELLING)

„Kada sam bio mlad, želeo sam da promenim svet.

Međutim, ustanovio sam da je svet teško promeniti, pa sam pokušao da promenim moju naciju.

Kada sam saznao da ne mogu da promenim naciju, fokusirao sam se na moj grad. Kao stariji čovek, nisam uspeo, pa sam pokušao da promenim porodicu.

Sada, kao čovek u poodmaklim godinama, shvatio sam da je jedina stvar koju sam mogao da promenim sam ja, i odjednom sam uvideo da ukoliko sam promenio sebe pre mnogo godina, mogao sam da imam uticaj na moju porodicu. Moja porodica i ja smo mogli da utičemo na grad. Njihov uticaj je mogao da promeni naciju i ja sam stvarno mogao da promenim svet.“

Nepoznati monah, 1100. godina pre nove ere

Ovo je jedna od, meni, najlepših kratkih priča sa kojom sam započeo skoro pa svako moje predavanje. Zašto sam izabrao baš ovu priču? Zato što ima veoma važnu poentu – sve zavisi od nas. Kratka je, izaziva emocije i savršen je uvod u predavanje koje ima za cilj da motiviše i pokrene promenu u slušaocu.

Šta je storytelling?

„Storytelling je najmoćniji način da se predstave nove ideje u današnjem svetu”, rekao je Robert McKee i ja se u potpunosti slažem sa tim. Korelacija koja može da se napravi sa pričom daje nam alat koji omogućava lakši put ka krajnjem cilju.

Zapise o slikama u pećinama u Aziji i Evropi, starim više od 40 hiljada godina, možemo da uzmemo kao začetak u polju pričanja priča, što bi značilo da je komuniciranje pričom ljudima duboko u podsvesti. Od kada se rodimo vodimo se pričama, priče postaju deo našeg života i prihvatamo ih, međutim, nismo ni svesni koju moć imaju i šta sa njima možemo da postignemo.

Storytelling se danas koristi da bi se realizovala prodaja, za fundraising, pri komunikaciji sa kupcima, kao marketing alat, za predstavljanje ideja i lakšeg vođenja kroz proces promena, da bi se predstavio potencijal novog posla i, naravno, kao dobar strateški alat.

Storytelling pobuđuje i neurološke procese, neuroekonomista Paul Zak ukazuje da mozak tokom stresnih scena u priči proizvodi hormon stresa, cortisol, koji nam poboljšava fokus i koncentraciju, dok se tokom simpatičnih scena oslobađa oxytocin, koji pobuđuje osećaj povezanosti i empatiju. Možemo dakle da zaključimo da se putem priča može doći do emocija, onih koje itekako možemo povezati sa svakodnevnim poslom.

Moderni storytelling i gde ga sve koristimo

Pričanje priča deluje kao staromodna tehnika, što i jeste – zato je toliko i moćna.

Storytelling može da dođe do tamo gde brojevi, analize i zaključci ne mogu – do emocija i do pridobijanja srca i uma slušaoca.

Moderni storytelling je u stvari veoma jednostavan alat za „nagovaranje“ (iako je na engleskom izraz dosta primereniji – persuasion)

Kada se koristi pravilno, može da pomogne u privlačenju ljudi na svoju stranu razmišljanja, međutim, kada se koristi pogrešno može da izazove gubitak poverenja i da simbolizuje nadobudnost.

Ne postoji jasan okvir kako bi današnje poslovne priče trebalo da izgledaju ili kako ih treba pričati, međutim četiri preporučene smernice postoje. Današnja priča treba da bude: kratka, da poentira brzo, opisi treba da budu korišćeni samo ako dodaju život celoj priči, autentična.

Kada je upitan koliko mu vremena treba da pripremi govor, Winston Churchill je odgovorio: za govor od 10 minuta potrebna je priprema od 2 nedelje, za govor od pola sata potrebna je priprema od nedelju dana, ukoliko je mogao da govori neograničeno, spreman je sada.

Uzimajući u obzir gore navedeno, dobra priča će zahtevati obimnu pripremu, kako bismo mogli da zadovoljimo prvu smernicu – da priča bude kratka, a ostaju nam još 3 tačke, i to sve od trenutka kada znamo koju priču ćemo da ispričamo. Zaključak - stvoriti i ispričati priču je veoma teško i zahtevno, ali ona daje fenomenalne rezultate.

Napredni storytelling: 2+2

Andrew Stanton je na TED-u predstavio zanimljiv alat storytellinga, a koji je nazvan „2+2“. On se zasniva na osnovnoj premisi da su ljudi pametni i da to treba iskoristiti: „Nikada ne reći rešenje zapleta, već navesti drugu stranu na neminovno rešenje“

U filmovima Andrewa Stantona, glavne scene koje su izazvale najviše emocija, uopšte nisu prikazane. Prikazana je priprema, želja likova za tim događajem, zapleti koje treba prevazići i početak tog događaja. Ostatak je ostavljen našoj mašti. Oni su to nazvali „dobro organizovan nedostatak informacija“.

Storytelling & day to day business

Storytelling dozvoljava ljudima da odlučuju sami, što je jedna od velikih tajni uticaja. Nagovaranje, podmićivanje i upornost su efikasne push strategije, dok je storytelling efikasna pull strategija.

Pri komuniciranju vizije, storytelling je možda jedini pravi način. Martin Luther King nije govorio o ideji, već o snu: „I have a dream that my four little children will one day live in a nation where they will not be judged by the color of their skin but by the content of their character.“

Ako krenemo od svakodnevnih poslovnih stvari, recimo pravljenja prezentacije - prikazivanje brojeva, udela tržišta, ostvarenih rezultata, izazova i planova su čisti podaci. Međutim, od njih prvo treba napraviti informaciju, a onda ispričati priču. Time dobijamo razumevanje svih strana, aktivno učestvovanje, lakše praćenje i alat za dobijanje njihove saglasnosti ili smernica.

Na svakodnevnim sastancima, uz storytelling možemo bolje da predstavimo naš stav, što nam koristi da se povežemo sa drugom stranom, prekinemo zategnutu situaciju, iskoristimo ga kao instrument da pridobijemo poverenje ili njihovo razmišljanje na našu stranu.

Storytelling otvara nova vrata uspešnom fundraisingu, potrebno je da se čuje priča druge strane i da se ostvari veza sa vašom. Priče a ne statistike, pobuđuju empatiju i razumevanje, iz čega se grade jaki poslovni odnosi. Ukoliko se koristi 2+2 metod, investitora možemo da navedemo da za realizaciju koristi svoju maštu i time dobijemo njegovu još veću naklonost.

Na sličan način može da se iskomunicira strategija, korporativna vizija, pa čak i ciljevi. Međutim, veliku primenu storytelling ima u upravljanju promenama. Svi znamo koje izazove promene nose sa sobom, dok uvođenjem ljudi u priču a ne u promenu, možemo da prevaziđemo mnoge prepreke.

Kroz reči, pokrete, ton i ritam priče, možemo da pridobijemo slušaoca i da izgradimo uverljivu sliku o našim idejama i ciljevima. Kako preuzimamo ovaj način života, storytelling sve više postaje kompleksan, zanimljiv i bolji način gledanja na život i biznis, dok dobri rezultati postaju samo nusproizvod.

Petar Živković je menadžer korporativne strategije i PMO u kompaniji Air Srbija od jula 2016. godine. Prethodno je radio na poziciji supervizora korporativnog controllinga (2014-2016) u istoj kompaniji. Petar je radio i u Deloittu kao i u Pricewaterhouse Coopers. Petra možete kontaktirati imejlom petar.zivkovic@airserbia.com ili telefonom 064 833 1129.

MENADŽMENT CENTAR BEOGRAD

„Đe si krenuo...?“ (BALANCED SCORECARD)

Bilo da je reč o klincu koji prodaje limunadu kako bi sakupio pare za džeparac, direktoru multinacionalne kompanije koji razmišlja o ulasku na novo tržište ili preopterećenom menadžeru javne kompanije koji pokušava da ostvari što bolje rezultate uz što manje resursa, zajedničko im je – ogromna želja za uspehom. U savremenim uslovima poslovanja glad za uspehom i naporan rad su i dalje neophodni, ali nisu i dovoljan uslov za uspeh. Osim toga, neophodna nam je i dobra strategija, ali i alat koji će nam omogućiti da tu strategiju sprovedemo u dela.

Upravo je Balanced Scorecard (BSC) idealan alat za implementaciju strategije, on može da se opiše kao pažljivo odabran skup mera a koje proizilaze iz strategije i koje mogu da se kvantifikuju. Tvorci BSC su Robert Kaplan i David Norton, koji su prvi primetili da način merenja performansi koji se fokusira samo na finansije nije dobro rešenje. Ukoliko se fokusiramo samo na finansijske pokazatelje (šta?), izgubićemo fokus na uzroke (kako?). Na primer, kompanija je ostvarila profit od 10 miliona evra. Menadžer može samozadovoljno da kaže: „Ok, ova godina je bila dobra“. Ali, da li je to dovoljno? Zamislite da uđete u kabinu aviona i vidite da pilot ima mogućnost da prati samo nadmorsku visinu. Pretpostavljam da biste se zapitali kako će pilot da zna kojom brzinom ide avion ili koliko je goriva ostalo u rezervoaru. Verovatno ne biste želeli da putujete ovim avionom. Slično je i sa kompanijama. Kao i pilot u avionu, kompanija mora da odgovori na nekoliko ključnih pitanja:

Gde smo sada?

Gde želimo da budemo?

Kako ćemo da stignemo do tamo?

Ako pretpostavimo da je profit od 10 miliona evra odličan rezultat, on nam ne pokazuje šta smo mi to radili kako bismo ostvarili profit.

Takođe, ne govori nam gde ćemo da budemo za pet ili deset godina. Može da se desi da kompanija menadžerima isplati bonuse zbog ostvarenog profita, a da je profit posledica loše odluke da potrošačima prodajemo nekvalitetne proizvode po nižoj ceni ili smanjenih ulaganja u R&D. To bi dovelo do toga da već sledeće godine izgubimo lojalnost potrošača, a samim tim ugrozimo i profitabilnost.

Fokus na finansijska merila sličan je situaciji u kojoj vozimo automobil ali uopšte ne gledamo ispred sebe, već se isključivo oslanjamo na retrovizore. Finansijski ciljevi (profit, ROI, ROCE, EVA i slično) samo su posledica nekih prethodnih odluka i aktivnosti, a koje ne možemo da sagledamo kroz finansijsku perspektivu.

Za razliku od tradicionalnih finansijskih merila, BSC prevodi misiju, viziju i strategiju kompanije u konkretne ciljeve, organizovane u četiri različite perspektive:

1. Kupci

2. Finansije

3. Interni procesi

4. Učenje i razvoj (ljudi).

LJUDI – Broj zaposlenih – Zadovoljstvo zaposlenih – FTE turnover

KUPCI – Market share – Rast prodaje – Zadovoljstvo kupaca

INTERNI PROCESI

Škart – % isporuka na vreme – % iskorišćenosti kapaciteta

FINANSIJE – EBITDA – ROIC – NPV

1. Finansijska perspektiva

Iako sama po sebi finansijska merila nisu dovoljna, ona nikako ne smeju da se zanemare. Merila finansijskih performansi pokazuju da li strategija i njena implementacija dovode do veće finansijske dobiti. Ako imamo izuzetno kvalitetan proizvod i dobre odnose sa kupcima ili obučene i zadovoljne zaposlene, to nam ništa ne znači ukoliko kompanija od toga ne zarađuje. Možemo da prodamo kvalitetne proizvode po ekstremno niskoj ceni i definitivno ćemo da imamo ogroman market share i zadovoljne kupce, ali gde ćemo da budemo? Verovatno će profit da bude nizak, a gazda (gazdarica) nezadovoljna.

2. Perspektiva kupaca

Što se tiče perspektive kupaca, potrebno je odgovoriti na sledeće pitanje: „Šta je potrebno da uradimo kako bismo bili posebni u očima potrošača?“ Ovde se biraju tipovi kupaca i tržišni segmenti na kojima će kompanija da nastupi, kao i merila pomoću kojih ćemo da pratimo učinke u vezi sa ovom perspektivom (market share, broj novih kupaca, zadovoljstvo kupaca...).

3. Perspektiva internih procesa

Ova perspektiva odgovara na pitanje: „Ukoliko želim da ostvarim strateške ciljeve, koje procese moram da razvijem ili unapredim?“. Svaka kompanija ima na hiljade procesa, od slanja pošte, nabavke materijala, preko proizvodnje proizvoda pa do pregovaranja sa klijentima, i važno je da se svaki od njih dobro obavi. Ali, svrha perspektive internih procesa jeste da se identifikuju oni procesi koji zaista doprinose ostvarenju strategije, kako bi menadžeri i zaposleni mogli da se fokusiraju na konstantno unapređenje tih procesa.

4. Perspektiva učenja i razvoja

Ova perspektiva orijentisana je ka ljudima i daje odgovor na pitanje: „Koje sposobnosti naši zaposleni moraju da razviju kako bismo ostvarili ciljeve?“ Uzalud smo investirali u najmoderniju mašinu za proizvodnju ako nemamo zaposlenog koji zna kako da rukuje tom mašinom, zar ne? Osim kompetencija, četvrta perspektiva se fokusira i na motivaciju zaposlenih, pri čemu se teži da se sistem nagrađivanja poveže sa strateškim ciljevima.

Finansijska perspektiva i perspektiva kupaca daju sliku o tome koji su to ciljevi koje kompanija želi da ostvari, dok perspektiva učenja i razvoja daje odgovor na pitanje kako će ti ciljevi da se ostvare. Posmatranjem kompanije kroz četiri različite perspektive BSC postaje okvir pomoću kojeg se kroz kompaniju prenose misija i strategija, a zaposleni informišu o ishodima koje organizacija želi da postigne, ali i o pokretačima koji dovode do tih ishoda.

Menadžment Centar Beograd osnovao je Akademiju Balanced Scorecarda, tokom koje će polaznici imati priliku: – da se bolje upoznaju sa konceptom BSC, – da kroz praktične primere nauče kako da primenjuju alate koje nudi BSC, – da dobiju ideje kako da uspešno implementiraju strategiju u kompanijama u kojima rade.

Vidimo se na Akademiji Balanced Scorecarda!

Jovo Stokić je konsultant u Menadžment Centru Beograd od 2015. godine. Specijalizovan je za Balanced Scorecard, kao i Izveštavanje menadžera po IBCS standardima. Jovu možete kontaktirati imejlom jovo.stokic@mcb.rs ili telefonom 063 889 1897.

BRANISLAV LONČAR CFO PUBLICIS ONE

Podigni pogled sa instrument table –ispred tebe je provalija!

(TEHNIKE ZA

ANALIZU KOMPANIJE)

Uzimajući u obzir kompleksnost današnjih organizacija, broj metoda za analiziranje organizacija dostigao je brojku od sedamdeset. Neke tehnike za analizu specijalizovane su za specifične branše, odnosno grane, a neke su univerzalnije te u tom smislu mogu da se primene gotovo u svakoj organizaciji. Priča o današnjim organizacijama slična je priči o ljudima koji žive u identičnom okruženju kao i organizacije, i koji na kraju i čine organizaciju. Dakle, svesni smo činjenice da živimo u dinamičnom okruženju, da primamo veliki broj informacija na dnevnom nivou, da imamo malo slobodnog vremena, limitirano vreme za razmišljanje, te sve više delamo oslanjajući se na instinkt. Zaključak naučnice Susan Greenfield u knjizi „Tomorrows People“ jeste da su nove tehnologije i informacije mnogo uticale na promenu ljudskih navika. Baš kao što se i mi sami menjamo, i organizacije bi trebalo da se menjaju brže, s obzirom na to da je cilj svake organizacije zadovoljavanje potrošačkih potreba. Peter Drucker u članku „Delivering Value to Customer“ piše upravo o tome kako su potrošači centar svega i da je glavni fokus na zadovoljavanju njihovih potreba.

Svaku aktivnost inicira ljudski mozak, koji ima desnu i levu hemisferu. Jedna je racionalna, a druga kreativna. Problem u analiziranju današnjih organizacija jeste u metodama koje se nisu uporedno i istovremeno razvijale sa promenama samih organizacija i njihove okoline. Metode kojima se kompanije analiziraju u velikoj meri oslanjaju se na racio finansijske pokazatelje, a u manjoj meri na analizu trendova, potrošača, grana u kojima poslujemo i tehnološke promene koje će menjati potrebe a samim tim i egzistenciju ili način funkcionisanja grana u kojima poslujemo. Za analizu organizacije potrebno je uključiti obe moždane hemisfere.

Uslovno rečeno, organizacija bi mogla da se definiše kao organizam, a ljudi koji je čine kao njegove ćelije. Hipotetički, za postupak analize

jedne organizacije, odnosno organizma, mogu da se koriste medicinske procedure. Nakon pregleda organizma sledi analiza dobijenih rezultata, nakon koje se postavlja dijagnoza, a potom sledi terapija i na kraju kontrola. Vraćajući se sa medicinskih na biznis termine, jednu organizaciju treba skenirati, analizirati rezultate i identifikovati probleme i zatim odrediti strategiju za oporavak, definisati procedure i pratiti, odnosno kontrolisati rezultate.

Učestalo je mišljenje današnjih teoretičara analize da je za uspešnu analizu jedne organizacije potreban miks tehnika. Fokusi su različiti. Neke tehnike analize bave se makrofaktorima, a neke mikro ili internim faktorima. S druge strane, postoje tehnike čija je primena namenjena organizacijama koje se bave proizvodnjom, kao što je activity sampling. Ona će organizaciji pomoći u efikasnosti procesa između mašina i radnika, dok su neke tehnike oblikovane prema sektoru usluga. Različite tehnike analize pokrivaju različite sfere poslovanja i delove organizacije. Individualni alati koje možemo da primenimo u analizi organizacije gotovo da su perfektni, ali su limitirani na specifične oblasti poslovanja. Upravo zato treba koristiti kombi-

naciju tehnika, a u zavisnosti od specifičnosti organizacije.

Osim finansijske analize, popularne tehnike koje se najčešće koriste kako bi se kompletirala jedna uspešna analiza organizacije su: BSC (Balanced Scorecard). Uzima u obzir četiri oblasti. Kreće se od vizije kao epicentra jedne organizacije i analiziraju se: finansije, procesi, klijenti i mogućnost rasta, odnosno unapređenja.

McKinsey 7s. Uzima u obzir veći uzorak, pa se tako osvrće na startegiju, strukturu, sistem, zaposlene, stil, znanja i zajedničke vrednosti.

SWOT. Fokusira se na snage i slabosti kompanije (interno), odnosno na šanse i pretnje (eksterno).

BCG matrica. Sagledava da li je proizvod pod znakom pitanja, zvezda, krava muzara ili tužna kuca.

PEST analiza. Uzima u obzir političko, ekonomsko i socijalno okruženje, kao i tehnologije kao pravce uticaja na jednu organizaciju.

Dakle, što više oblasti analiza pokriva, utoliko imamo veće šanse da sagledamo jednu organizaciju iz svih uglova.

Svedoci smo velikih promena na današnjem trižištu. Mobilni operateri postaju banke, dok banke ulaze u segment prodaje softverskih licenci. Služeći se standardnim tehnikama analize, banka ne bi došla do jednostavnog zaključka da treba da se preseli u drugi segment privrede. Jedan novi pravac analize koji može da nam posluži za skeniranje poslovanja sa holističkim pristupom i nakon rezultata da nam transformiše poslovanje, jeste Biznis dizajn.

Ključna stvar u analizi organizacije jeste da se proširi pogled izvan svakodnevnog fokusa i to najviše važi za ljude iz oblasti controllinga. Jednostavniji izveštaji sa nekoliko važnih pokazatelja omogućiće nam da u analizu uključimo i druge značajne pokazatelje poslovanja izvan oblasti finansija. Ako mi je productivity index pozitivan, to će mi biti dovoljan pokazatelj da

mi troškovi ne rastu brže od prihoda i tako nemam potrebu da radim dublju analizu profitabilnosti. Najbolju metaforu na ovu temu čuo sam od svog direktora, koji je kao primer uzeo automobil koji vozimo i sve vreme gledamo u instrument tablu gde su nam pokazatelji brzine, nivoa ulja, količine benzina i slično na raspolaganju, a za sve to vreme ne vidimo da se krećemo ka provaliji. Dakle, instrument tabla, odnosno finansijski pokazatelji, treba da budu filtrirani i jednostavni, toliko jednostavni da je sasvim dovoljno da im se posveti malo vremena, dok bi više trebalo da gledamo u kom pravcu se krećemo. Možda će nam finansijska analiza pokazati veliku uspešnost u prethodnim godinama, kao i u sledeće dve godine, a nikada se nismo zapitali šta ako naša branša izumire, šta ćemo ako za tri godine više neće postojati banka ili marketinška agencija ili osiguranje. Takve stvari treba da se predvide dosta ranije, kako bismo imali vremena za promene. Za dobru analizu potreban je široki vizionarski dvogled. Skinimo pogled sa instrument table. Možda će ovo zvučati kao reklama za mobilnog operatera, ali moja poruka controllerima je – izaberite svoj miks! Naravno, to se odnosi na kombinovanje tehnika za analiziranje. Najbolja kombinacija će biti najjednostavniji, sa fokusom na važne stvari, uzimajući u obzir najširu sliku naše organizacije i okruženja u kojem ona funkcioniše.

Branislav Lončar je CFO marketinških agencija Leo Burnett, Publicis i Saatchi & Saatchi od 2011. godine. Pre toga radio je kao finansijski menadžer u Leo Burnettu (2009-2011). Branislava možete kontaktirati imejlom branislav.loncar@leoburnett.rs ili telefonom 060 886 6805.

MILOŠ CVETKOVIĆ

KONSULTANT

MENADŽMENT CENTAR BEOGRAD

Koliko je to para? (CAPEX CONTROLLING –NPV, IRR, PAYBACK)

CAPEX controlling pomaže menadžeru da odgovori na pitanje: „Da li mi se isplati ulaganje u novi projekat?“ Novi projekat može da bude: CAPEX (ulaganje u osnovna sredstva), novi proizvod, novo tržište, M&A (mergers and aqusitions).

Ulazni podaci su različiti (količine, cene, materijal, ljudi, diskont...), a izlazni rezultat CAPEX analize je NPV, IRR ili payback. Controlleri obično rade ovu analizu u Excelu, međutim postoje i specijalizovani softveri za CAPEX controlling. U ovom tekstu ću vam objasniti „Invest for Excel“, koji služi za CAPEX controlling i računicu NPV, IRR, payback (www.datapartner.fi).

Invest for Excel je softver koji koristi preko 1.500 kompanija u preko 50 zemalja. Napravila ga je kompanija DataPartner iz Finske, koja postoji još od 1987. godine. Softver je urađen u Excelu u vidu šablona i možemo da ga nazovemo „Excel na sterodiima“.

Na samom početku unosite osnovne parametre oko CAPEX projekta, kao što su: vremenski period, intervalni period (godina, kvartal,

mesec), diskontna stopa, porez na dobit, valuta i slično. Vreme možete i posebno da definišiteperiod izgradnje, odnosno period rada.

Nakon toga, softver Vas vodi kroz ostale „formulare“ koje treba da popunite. Prvo unosite podatak koliko je potrebno da uložite u neki projekat (investicija). U ovom delu se računa i amortizacija (normalna, funkcionalna, degresivna, progresivna). Svaki ulazni parametar je visoko prilagodljiv i fleksibilan.

Sledeći korak je računica Bilans uspeha (prihodi i rashodi). Prihodi mogu da se podele na linije poslovanja (prihod od putnika, prihod od pošte...). Svaki prihod može da se „razbije“ na ulazne pretpostavke (količina x prodajna cena), a svaka ulazna pretpostavka može dalje da se modifikuje (na primer, povećavamo prodajnu cenu za 2% svake godine).

Posle prihoda sledi OPEX (operativni troškovi). Kao i prihode, OPEX možete posebno da definišete na osnovu ulaznih pretpostavki (cena goriva, troškovi radne snage..). Ulazne pretpostavke mogu da budu varijabilne (na primer, % od prodajne cene), fiksne (na primer, 20.000 evra godišnje održavanje) ili bilo koja druga kombinacija. Dozvoljeno vam je da koristite formule, da se pozivate na linkovane ćelije, dodajete podredove i da unosite pretpostavke trendova.

Sledeći korak je računica obrtnih sredstava (working capital). Potrebno je da izračunamo DSO (days sales out), DIO (days inventories out) i DPO (days payables out). Recimo, u ovom primeru je navedeno da naplaćujemo od kupaca za 30 dana (DSO), da zalihe stoje 14, odnosno 60 dana (DIO), dok se dobavljači plaćaju na 30 dana (DPO). Obrtna sredstva (working capital) utiču na cash flow projekta, odnosno obično ga smanjuju i time smanjuju NPV i IRR.

Nakon što dobijete finalni cash flow, potrebno je da planirate i finansiranje projekta (otplata kredita). Kod finansiranja imamo veliki broj mogućnosti u okviru softvera – više valuta, promena strukture otplate, promena kamate, više različitih kredita...

Analiza profitabilnosti daje nam odgovor na pitanje: „Koliki je NPV projekta?“ Osim NPV, postoji i veliki broj drugih kriterijuma za ocenu: IRR, MIRR, PI, payback, RONA, EVA...

Na kraju, menadžeri uvek postavljaju pitanja: „Šta ako?“ Ovaj deo se zove Analiza osetljivosti (Sensitivity analysis). Neka tipična pitanja koja menadžeri postavljaju su:

Šta ako broj putnika ne bude onoliki kao

što smo planirali?

Šta ako se poveća ulazna cena goriva?

Šta ako se promeni prodajna cena ?

Invest for Excel vam daje mogućnost da promenite ulazne pretpostavke i da odmah vidite uticaj na isplativost investicije. U ovom primeru menja se varijabla „Fuel cost per flight“ u intervalu od -20% do +20% i automatski se dobija nekoliko ključnih parametara, kao što su NPV, EBITDA, EBIT, RONA, EVA.

Osim toga, „Invest for Excel“ omogućava vam da na pregledan način uporedite više različitih scenarija (normalna predikcija i realna predikcija, konsolidacija dva projekta u jedan...). Do kraja 2017. godine ovaj softver će imati i svoju verziju na srpskom, i to latiničnu i ćiriličnu.

Demo verziju ovog sjajnog softvera za CAPEX controlling koja traje 30 dana možete skinuti sa sajta www.datapartner.fi. Menadžment centar Beograd je zvanični zastupnik za „Invest for Excel“ i daje podršku u vidu obuke i implementacije.

Miloš Cvetković je konsultant u Menadžment Centru Beograd od 2015. godine. Miloš je specijalizovan za Excel (Grafikoni, Dashboard, Power query, Power pivot, VBA). Miloša možete kontaktirati imejlom milos.cvetkovic@mcb.rs ili telefonom 063 864 6401.

ALEKSANDAR NEDELJKOVIĆ

FINANSIJSKI DIREKTOR

MAINSTREAM I IT4BIZ

Kako da babe budu babe, a žabe žabe

(TOTAL COST OF OWNERSHIP -TCO)

Gartner, vodeća konsultantska kuća za istraživanje i savetovanje u oblasti informacionih tehnologija, procenila je da će potrošnja na IT opremu i usluge u 2016. godini biti oko 3.500 milijardi USD. Iako su troškovi IT-a u našoj zemlji potpuno zanemarljivi u poređenju sa ovim iznosom, siguran sam da se nama, koji radimo u finansijama, odmah pali crvena lampica kad god IT direktor traži od menadžmenta da kompanija kupi ili iznajmi „neku“ novu IT opremu. Naravno, sve to uz objašnjenje da je nova oprema krucijalna za opstanak i nesmetano funkcionisanje naše kompanije.

U ovakvim slučajevima, menadžment uglavnom traži da se napravi cost-benefit analiza, odnosno „business case“. Na početku, IT pravi procenu koliko bi to sve trebalo da košta ako bi se kupilo, odnosno ako bi se rentiralo. Na kraju analize, u većini slučajeva (pogotovo kad nije rađeno po TCO metodologiji) ispadne da je za firmu jeftinije da sama kupi IT opremu nego da iznajmi. Zatim se sprovede nabavka i kupe se osnovna sredstva. Bude tu i tamo i nekih operativnih troškova, ali na početku sve izgleda stabilno. Međutim, posle nekog vremena controller utvrdi da su ukupni troškovi značajno veći nego što je inicijalno planirano. Najčešće pitanje u takvim slučajevima je: „Kako je to moguće kad smo sve lepo izračunali?“ Ili, po principu: „Ako koza laže, Excel ne laže!“ Međutim, vrlo brzo nakon toga postavi se pitanje: Ko je za ovo kriv?

Ova hipotetička priča možda deluje neverovatno, ali meni se više puta u karijeri desilo

da sa različitim klijentima prolazimo kroz slične scenarije. Nakon kratke analize pomenutih slučajeva, moj zaključak je da se gotovo sve greške svode na dva problema: troškovi se nedovoljno holistički procene –naročito indirektni troškovi koji nastaju sa investicijom ili anticipirani benefiti su previše optimistički. Kako je ovo univerzalni problem koji muči profesionalce iz oblasti finansija već decenijama, još davne 1986. konsultantska kuća Gartner je razvila TCO metodologiju za ocenu IT ulaganja. Po ovoj metodologiji je, osim osnovnih troškova investicije u IT, u proceni je računala i ne-IT troškove (HR, zakup, nekretnine, opšte troškove, itd.) na koje projekat, za koji se pravi analiza, ima direktan uticaj. U proteklih 20 godina, ova metodologija je postala industrijski standard za procenu IT troškova i njenu primenu praktikuje većina velikih međunarodnih konsultantskih kuća koje se bave savetovanjem

u IT oblasti kao što su Gartner, Accenture, Big 4, Capgemini, IBM Global Technology Services itd. U poslednjih nekoliko godina sa sve većim porastom cloud usluga TCO analiza ponovo doživljava svoju renesansu.

TCO analiza može da se sprovede na više načina i različiti praktičari imaju svoja viđenja kojim redosledom treba ići. Metodologija po kojoj naša firma sprovodi TCO analizu podrazumeva pet koraka:

1. Analiza trenutnog stanja,

2. Definisanje high-level biznis i funkcionalnih potreba,

3. Analiza troškova, benefita i rizika za više ponuđenih potencijalnih rešenja.

U našem slučaju, u zavisnosti od zahteva i potreba, pravimo analizu za različite modele: on-premises, public cloud, private cloud, hibridna rešenja... U ovom koraku ključ uspeha je da se na holistički način obuhvate svi materijalno značajni troškovi koji mogu uticati da se donese ispravna odluka, kao i da se troškovi pripreme na takav način da različiti biznis modeli, odnosno rešenja mogu biti potpuno uporedivi. Do kog nivoa kompleksnosti ovakve analize se može ići pokazuje, na primer, studija koju je izradila firma Hitachi data. Definisane su 34 grupe troškova po kojima može da se izračuna samo TCO za storage. Ove grupe je moguće grupisati i na drugačiji način tako da smo u našoj praksi došli do sledećih grupa troškova koje naša firma uzima u obzir kad računa TCO-a za donošenje odluke da li kupiti, razviti interno ili outsource-ovati kao uslugu:

Troškovi data centra

* zakup prostora u data centru,

* komunalije u data centru.

Troškovi akvizicije i održavanja hardware-a

* mehanička i električna infrastruktura,

* serverska oprema,

* mrežna oprema,

* storage oprema.

Troškovi akvizicije, održavanja i razvoja software-a

* cena licenci,

* support za software,

* troškovi razvoja.

Podrška

* migracija,

* monitoring,

* security.

Ljudski resursi

* inženjeri za upravljanje data centrom,

* inženjeri/administratori mreže,

* inženjeri/administratori za storage,

* administratori sistema,

* help desk operativci,

* administracija,

* zaposleni u nabavci,

* vreme menadžmenta.

Troškovi za prevenciju i oni koji nastanu usled greški

* downtime,

* gubitak podataka,

* popravke ako nije u garanciji,

* osiguranje,

* revizija i sertifikacije.

4. Računica isplativosti

Računamo isplativost svakog predviđenog rešenja odnosno ROI, NPV and IRR

5. Prezentacija

Pravimo finalnu evaluaciju rešenja koje se prezentuje menadžmentu

Rezultati TCO analiza, koje smo pravili za naše klijente, bili su u vremenskom periodu od 5 godina. Direktne i indirektne uštede u ukupnim troškovima koje kompanije mogu da imaju ukoliko se odluče za neki od Cloud modela se kreću u rasponu od 30-40%.

Na kraju, šta nam ostaje kao zaključak ovog teksta:

Strukturirano i fokusirano treba pristupiti izradi analize investicija u IT jer, kako kažu: „Što ne platiš na mostu, platićeš na ćupriji!“

Kad se upoređuje više različitih rešenja važno je da se ne „mešaju babe i žabe“, već da se primeni holistički pogled na određivanje troškova koji će ući u analizu, Ako se sve sprovede kako je navedeno, „da kucnem u drvo“ ne bi trebalo da se na kraju projekta postavi ono famozno pitanje: „Ko je za ovo kriv?“

Aleksandar Nedeljković je finansijski direktor u brzorastućim visokotehnološkim kompanijama

Mainstream i IT4BIZ

Prethodno je bio menadžer u sektoru za poslovni konsalting u oblasti strategije i operacija u revizorskokonsultantskoj kući

Deloitte i savetnik za strana ulaganja u Agenciji za strana ulaganja i promociju izvoza (SIEPA). Aleksandra možete kontaktirati imejlom nedeljkovic@ mainstream.rs ili telefonom 069 204 8010.

MENADŽMENT

Isprazni svoju šolju...

i pokazaću ti zen!

(ZEN PREZENTACIJA)

Nanin, japanski učitelj iz doba Meiđi (1868 – 1912), primio je univerzitetskog profesora koji je došao da čuje nešto o zenu. Nanin je poslužio čaj i šolju svoga gosta napunio do vrha, a onda je nastavio da sipa. Profesor je posmatrao kako se šolja preliva i naposletku više nije mogao da se uzdrži: „Prepuna je. Više ne može da stane u nju!“. „Baš kao i ova šolja“, reče Nanin, „i ti si ispunjen sopstvenim mislima i sudovima. Kako mogu da ti pokažem zen, ako prvo ne isprazniš svoju šolju?“

Ovo je priča sa kojom započinjem svaki svoj trening na temu „Zen prezentacija“. Svi polaznici mojih treninga dolaze iz različitih kompanija i imaju različito iskustvo kada je reč o prezentacijama. Ukoliko zaista želimo da usvojimo ovaj fantastičan pristup prezentacijama, neophodno je da prvo „ispraznimo svoje šolje“, baš kao u ovoj zen priči.

Kao profesionalni trener i konsultant stalno sam u situaciji da prezentujem i prezentacije su deo moje poslovne svakodnevnice. Odlično znam i razumem koliko je izazovno da se pripremi jedna prezentacija, a da ne govorim o tome koliko je izazovno stati ispred grupe ljudi i preneti im ključne poruke.

Kada postavim pitanje svojim polaznicima: „Da li volite da prezentujete?“, obično čujem odlučne odgovore: „NE! To je ogroman stres! Ne volim kad su sve oči usmerene ka meni. Neprijatno mi je i jedva čekam da se prezentacija završi.“

U potpunosti razumem učesnike. Kada sam prvi put stala ispred deset menadžera da održim svoju prvu obuku, „odsekle su mi se noge“. S druge strane, kada sam nakon obuke dobila prosečnu ocenu 5,0 sa odličnim komentarima, shvatila sam da nema razloga da više ikada sumnjam u sebe. Od tog trenutka uživam u svojim prezentacijama. Prezentacija je jedan doživljaj i prilika da prenesete ljudima svoje ideje, emocije i iskustva iz određene oblasti i ono najvažnije, ključne poruke.

Prisustvovala sam mnogim prezentacijama. Neke su bile zaista sjajne, kada govornik prosto očara publiku, ima fantastičnu priču i vrlo efektne slajdove. Na žalost, većina prezentacija koje sam gledala bile su upravo suprotne. Govornici koji jedva čekaju da napuste scenu, koji ne komuniciraju sa publikom, a o slajdovima da i ne govorim. Gomila nabrajanja i bulet pointa u Power Pointu koji nemaju nikakvu svrhu sem da u potpunosti unište pažnju publike koja je odvojila vreme za Vas. Kada na taj način prezentujemo, znate šta se događa sa publikom? Publika spava. Možda je fizički prisutna, ali verujte da u potpunosti odbija da čuje o čemu zapravo govorite. Vi onda gubite ono zbog čega ste zapravo došli, a to je da prenesete svoje poruke.

Pa, kako da naša prezentacija bude savršena? Jednostavno, samo je potrebno da se prate principi Zen prezentacije o kojima ću govoriti u ovom tekstu. Tvorac Zen prezentacija je Garr Reynolds (www.garrreynolds.com), čovek koji je pronašao vezu između zena i poslovnih prezentacija. U nastavku možete da vidite nekoliko primera, „pre“ i „posle“, koji su opisani u njegovoj knjizi „Presentation zen“

Do savršene prezentacije moguće je da se dođe uz pomoć tri koraka, odnosno Zen principa:

1. Priprema (Restraint),

2. Dizajn (Simplicity),

3. Prezentovanje (Naturalness).

1.PRIPREMA

U fazi pripreme dominantan je princip „Obuzdaj se“. Ovaj korak zahteva da odvojimo važno od nevažnog. Mnogi u startu naprave kobnu grešku i uključe u proces sve informacije koje im padnu na pamet i misle: „Ma ne bi bilo loše da im ispričam još i ovo.“ Hm... pa razmislite. Kada se prejedete, obično vam bude muka. Isto tako, ukoliko damo previše informacija svojoj publici i ona će slično da se oseća. Publika je najvažnija i ne propustite priliku da joj se dopadnete, a dopašćete joj se ukoliko imate jasnu priču i strukturu. Priču možete da organizujete uz pomoć storyboarda, koji je uvek sastavni deo moje pripreme.

2.DIZAJN

Nakon što smo napravili storyboard, sedamo za računar i u PowerPointu dizajniramo slajdove. Tu se često prave greške. Govornik stavlja gomilu informacija na slajd „da mu se nađe“, odnosno da mu služe kao podsetnik.

Slajdovi često sadrže gomilu nepotrebne dekoracije, nekvalitetne slike, logo kompanije na nekoliko mesta, previše teksta... U ovakvim situacijama publika čita sa slajda i ne sluša govornika ili se u potpunosti isključi i razmišlja o nečemu drugom. Imajte na umu da su slajdovi tu samo da bi podržali vašu priču. I zato, ukoliko želite da imate zaista efektne slajdove, napravite ih tako da budu jednostavni. Dakle, sledeći princip koji poštujemo jeste jednostavnost . Moji slajdovi najčešće sadrže poruku i efektnu fotografiju i nemam nikakvu sumnju da će publika u potpunosti da me prati, a vrlo često me pitaju: „Kako si napravila tako efektne slajdove?“.

3.PREZENTOVANJE

Treći korak je prezentovanje i ovde se oslanjamo na princip prirodnosti. Da, znam, mnogi će za vrhunskog prezentera reći „On je jednostavno talentovan“, ili „Njemu je to urođeno“. Verujte mi, dobar prezenter se ne rađa, dobar

Budi Pirat!

Prezentovanje

Kretanje

prezenter se postaje vežbom. Kada gledate bilo koju prezentaciju čuvenog Steva Jobsa pomislićete upravo ovo o čemu sam govorila. Razlog zbog koga je on zapamćen kao najbolji prezenter u poslovnom svetu je vežba, kako bi na kraju sve to izgledalo nonšalantno i prirodno. Svaki umetnik vežba svoju tehniku da bi je doveo do savršenstva. I prezentacija je umetnost, jer učite kako da dominirate scenom, osvojite svoju publiku i napravite od tih dvadesetak minuta događaj koji će da se pamti. Ono što je važno jeste da budete u potpunosti u tom trenutku, što znači da morate da se fokusirate na „ovde“ i „sada“, i nemojte da se plašite da iskažete svoje oduševljenje određenom temom. Ukoliko Vi niste oduševljeni svojom temom, zašto bi publika bila?

I verujte, nema lepšeg osećaja za Vas kao govornika kada vidite da ste zaista uspeli! A videćete to po pogledima publike. Prezentacija je najlepši deo poslovnog sveta. To je Vaš trenutak, prilika da Vas ljudi čuju i da podelite sa

njima svoje ideje. Nemojte se plašiti, već uživajte u tome.

Ovo su samo neke od tema o kojima govorimo na Akademiji Zen prezentacije. Akademija Zen prezentacije sastoji se od četiri treninga: 1. Zen prezentacije, 2. Priprema, 3. Dizajn, 4. Prezentovanje.

Na Akademiji detaljno prolazimo kroz sve principe Zen prezentacije i polaznici su na kraju Akademije u potpunosti obučeni da prezentuju na zanimljiv, jasan, vizuelan i prirodan način. Vidimo se na akademiji!

Bojana Pejčić je direktor konsaltinga u Menadžment Centru Beograd (2014-2016). Radila je kao saradnik u službi prodaje u hotelu Villa Breg (2012-2013) i u Poreskoj upravi Vršac kao junior poreski inspektor (2011-2012). Bojanu možete kontaktirati imejlom bojana.pejcic@mcb.rs ili telefonom 064 661 0074.

ALEKSANDAR TEOFILOVIĆ

COST CONTROLLER

WEST PHARMACEUTICAL SERVICES

Da je Jozef K. bio controller, možda bi „Proces“ imao happy end! (FMEA - FAILURE MODE & EFFECT ANALYSIS)

Možda ste, kao i autor ovog teksta, kompleksnost Procesa upoznali još u srednjoj školi čitajući o dotičnom Jozefu K., koji je opisan kao skromni činovnik „zatvorenik na slobodi“. Analiza Kafkinog romana bila je izazov u tim mlađanim godinama. Godine su se nizale, a sami procesi sa kojima smo se susretali su postajali sve komplikovaniji

Proces možemo definisati kao niz međusobno zavisnih i povezanih aktivnosti koje troše resurse (vreme, energiju, radnu snagu, novac) da bi pretvorili te iste resurse (input) u neki koristan učinak (output). Оvi učinci dalje služe kao resursi (input) za sledeću fazu u procesu, sve dok se ne postigne željeni rezultat. Dakle, proces se po definiciji sastoji od više aktivnosti ili elemenata. Ta multielementarna osobina procesa je nešto što otežava njegovo razumevanje, i samim tim vodi ka neizvesnosti i riziku. Rizik je nešto čega controller treba biti u najmanju ruku svestan.

Ako su procesi svuda oko nas, kako onda kontrolisati rizike koji proizlaze iz njih? Dosta toga je napisano u poslednje vreme o tome kako analizirati i poboljšati procese. Razne metode i alatke su osmišljene kako bi se procesi pojednostavili i unapredili. Tako, na primer,

LEAN metoda je posvećena eliminaciji otpada (waste) svih vrsta i samim tim poboljšanju efikasnosti procesa. S druge strane, Six Sigma metoda je fokusirana na kvalitet i nudi rešenja koja poboljšavaju kvalitet učinka (outputa) samog procesa. LEAN i Six Sigma polako postaju deo svakodnevnog žargona controllera i sa njihovim osnovama se vredi upoznati.

Cilj ovog teksta je da predoči čitaocu praktičnu primenu jednog alata koja je sastavni deo LEAN/Six Sigma programa i koji se može koristiti prilikom analize rizika koji proizilaze iz procesa. Ime alata je FMEA odnosno Failure Mode & Effect Analysis.

FMEA je razvila NASA sredinom šezdesetih godina prošlog veka za Apollo program, da bi danas FMEA stekao široku primenu u raznim industrijama, naročito u fabrikama/proizvodnji i IT sektoru. FMEA metoda se koristi za identifikovanje potencijalnih nedostataka procesa i naknadnog postavljanja tih nedostataka na listu prioriteta na osnovu: ozbiljnosti (severity), verovatnoće pojavljivanja (occurance) i verovatnoće detektovanja (detection) tih nedostataka.

Čitava ideja FMEA je da se istaknu slabosti kroz postavljanje liste prioriteta nedostataka u samom procesu, što se čini računanjem RPN broja. RPN broj je generisan broj zasnovan na FMEA formuli, što ukazuje na otkaze u sistemu koji zahtevaju hitnu pažnju.

U širem smislu FMEA metoda obuhvata sledeće korake:

1. Proučiti proces

2. Definisati moguće načine otkaza (Failure Mode) unutar procesa

3. Definisati moguće efekte svakog otkaza (Potential Failure Effects)

4. Odrediti ozbiljnost (Severity) svakog efekta otkaza

5. Odrediti verovatnoću pojavljivanja (Occurance) svakog efekta otkaza

6. Odrediti verovatnoću detektovanja (Detection) svakog efekta otkaza

7. Izračunati broj prioriteta rizika tzv. RPN – Risk Priority Number

8. Sortirati rizike prema RPN

9. Definisati aktivnosti za umanjenje kritičnih otkaza

10. Izračunati nove RPN sa umanjenim ili uklonjenim kritičnim otkazima

Da bismo približili razumevanje FMEA metode, rukovodićemo se praktičnim primerom koji je blizak svima nama. Ustati i doći na posao na vreme možemo sagledati kao jedan prilično jednostavan proces koji ipak povremeno otkaže. Da bismo umanjili rizike koji se kriju iza ovog procesa, prvo proučimo ceo proces i identifikujemo aktivnosti od kojih se sastoji sam proces (prva kolona na slici dole). Iza svake aktivnosti postoji način otkaza (failure mode) koji urušava tu aktivnost, pa i ceo proces. Iza tih načina otkaza proizilaze i efekti svakog otkaza

(Potential Failure Effects), koji nam zagorčavaju život. Čitava ideja FMEA metodologije jeste da se svaki od ovih otkaza boduje od 1 do 10 za ozbiljnost (Severity), verovatnoću pojavljivanja (Occurance) i verovatnoću detektovanja (Detection). Množenjem ovih bodova dobijamo tzv. RPN broj (Risk Priority Number) koji nam služi da postavimo otkaze procesa po listi prioriteta. Otkazi procesa koji se nađu na vrhu liste, zaslužuju najviše pažnje.

Na našoj listi uočavamo da je najozbiljniji problem nemogućnost pokretanja automobila. Međutim, taj problem se ne dešava često, a i postojanje senzora za kvar automobila nam skreće pažnju da na vreme popravimo auto. Mnogo ozbiljniji problem jeste ustajanje na vreme i upravo to je ono na šta treba obratiti najviše pažnje. Korektivna akcija bila bi da se postavi nekoliko alarma za buđenje, što bi verovatno donelo rezultate.

Primer koji je predstavljen je naravno simplifikovan proces. Međutim, ista metodologija primenljiva je na vrlo kompleksne procese u kojima timovi procesnih inženjera i controllera sede za stolom, boduju i računaju RPN brojeve. Velika prednost FMEA je da vas primorava da stavite nešto na papir, zatim ga kvantifikujete, da bi na kraju, skoro uvek, iz celog eksperimenta proizišao zaključak koji smo nekako svi znali, ali se izgubio u kompleksnosti procesa.

Ova jednostavnost u primeni FMEA je ujedno i njegova najveća prednost. Nedostatak FMEA je činjenica da se fokusira u većoj meri na pojedinačna stanja otkaza (failure modes) nego na njihovu kombinaciju. Takođe, obezbeđuje ograničeno ispitivanje ljudske greške. Ove nedostatke moguće je nadoknaditi nekim drugim alatkama iz LEAN/ Six Sigma metoda, ali o tome neki drugi put.

Siroti Jozef K. je na kraju doživeo tragičan kraj. Proces koji se vodio protiv njega je pobedio. Da je kojim slučajem Jozef K. bio controller, a ne bankarski činovnik, da li bi i sam kraj „Procesa“ imao holivudski happy end? Verovatno ne, ali u toj borbi sa “procesom”, većina controllera bi mu dala bar malo veće šanse.

Aleksandar Teofilović je Cost Controller u kompaniji West Pharmaceutical Services od 2008. godine. Aleksandra možete kontaktirati imejlom aleksandar.teofilovic@ westpharma.com ili telefonom 069 108 0556.

Proces Način otkaza Efekat otkaza Ozbiljnost Potencijalni uzroci Verovatnoća pojavljivanja Kontrole Verovatnoća detektovanja RPN
Ustati Prespavati alarm Zakasniti na posao

SNJEŽANA PIVAŠ

TIM LIDER M&I SYSTEMS

Ljubavna veza zahvaljujući IT-u

Prava ljubav ne može da se pronađe, ali uvek postoji. Granice udaljenosti, kulture, pa čak i jezika ne mogu da razdvajaju dve duše kojima je sudbina da budu zajedno. Da je neko to rekao Ameji pre nego što je upoznao Snježanu, on mu ne bi nikad poverovao. Srpska devojka se zaljubila u Indijca, a njihova ljubavna veza je postala večna.

Mada je Ameja prvi put video Snježanu na času zumba plesa, njihova veza je ojačala uz šoljicu kafe. Započeli su neobavezan razgovor o IT industriji. Snježana je radila u M&I, a to je kompanija za razvoj poslovnog softvera i konsultantske usluge. Ameja je radio u Eipix Entertainment, kompaniji za razvoj video-igrica. Snježana je bila radoznala u vezi sa industrijom igrica jer nije imala predstavu kako se razvijaju igrice. Kako je veče prolazilo, Snježana je shvatala da dizajner igrica nije umetnik. Ameja je ranije radio u Indiji i Nemačkoj, a zatim je došao u Srbiju.

Prolazili su dani, a oni su počeli da nalaze razloge da se često viđaju. Vreme je prosto letelo i Ameja je odlučio da ode u Indiju na odmor i da se vidi s roditeljima, jer je prošlo skoro godinu dana otkako je došao u Srbiju. Trebalo je da provedu dve nedelje jedno bez drugog u različitim zemljama, na različitim kontinentima. Te dve nedelje izgledale su kao večnost i jednom i drugom. Kad se Ameja vratio, Snježanu su preplavila osećanja i nije mogla da prestane da plače kad ga je videla. Taj kratki odmor je učinio da Snježana i Ameja shvate da ne mogu da žive jedno bez drugog. Pronašli su veći stan i uselili se u njega.

Snježanini i Amejini roditelji su se uvek brinuli da li će oni ikad u životu naći ljubav, jer su oboje bili preokupirani studijama, a kasnije i poslom. Bojali su se da će Snježana postati monahinja, a Ameja monah. Ali, u svojim srcima, Snježanina majka Nada i Amejina majka Aša nadale su se da će njihova deca jednog dana naći pravu ljubav. Iznenađujuće je da i imena njihovih majki znače „nada“.

Ameja je želeo da Snježani postavi najvažnije pitanje, ali to je trebalo da bude nešto spektakularno, baš kao što je Snježana i zasluživala. Zato je Ameja sa svojim trenerom isplanirao zumba prosidbu. Sve je bilo organizovano tako da Snježana nije imala pojma o tome. Na času zumbe, pred 400 ljudi, začula se pesma „Marry you“ Bruna Marsa. Snježana nije ranije videla tu koreografiju. Svi plesači zumbe su je okružili. Na kraju pesme, Ameja je kleknuo i postavio joj pitanje. Bila je preplavljena osećanjima, to je bio najsrećniji dan njenog života.

Stvari su se odvijale brzo. Snježana i Ameja su se upoznali u kasnim dvadesetim. Nisu želeli

da gube vreme. Sledeće poglavlje u njihovoj ljubavnoj priči bilo je venčanje. Ameja je obećao Snježani da će na svom venčanju da bude indijska princeza. Sledeća prekretnica u njihovoj ljubavnoj priči bila je velika mrsna indijska svadba. Snježana je trebalo da se, zajedno s roditeljima i bratom, prvi put sretne s Amejinom porodicom u Indiji. Okupljanje porodice je bilo čarobno. Snježana je uživala u Indiji i prema njoj su postupali baš kao prema princezi. Složene mehedi šare po njenim rukama i nogama mnogo su uvećale njenu lepotu. Snježana je izgledala prelepo u indijskoj nošnji. Nosila ju je tako dobro da su svi bili zadivljeni. Kao što je obećala, glavnog dana venčanja Snježana je nosila tradicionalni indijski pešvaj sari. Na mesto venčanja je stigla u doliju, kraljevskoj nosiljci koju je nosilo četvoro ljudi. Ameja je došao na belom konju s tradicionalnom puneri pešva nošnjom i svojim barjaktarima. Ta četiri dana, 19, 21, 22. i 23. oktobar 2015. godine, bila su poput sna. Na kraju, kad je Ameja pitao Snježanu da li se oseća kao princeza, Snježana je odgovorila da se osećala kao princeza na početku, ali da se, kako je venčanje odmicalo, pretvorila u kraljicu. Ameja i Snježana su se vratili u Srbiju kao supružnici, a 20. maja 2016. godine priredili su srpsku svadbu za svoje prijatelje i rođake koji nisu mogli da dođu na indijsko venčanje. Snježana i Ameja su dobili priliku da dan venčanja dožive dvaput. I na indijski, i na srpski način.

Snježana Pivaš je tim lider u kompaniji M&I Systems, Co. Group od maja 2016. godine i Project Manager u kompaniji DocDep od januara 2016. godine. Prethodno iskustvo je stekla radeći na poziciji ERP Consultant Specialist u istoj kompaniji (2009-2016), Personel Banker u Raiffeisen Bank Serbia (2009) kao i controller u Narodnoj banci Srbije (2007-2009). Snježanu možete dobiti imejlom snjezana. pivas@mi-system.co.rs ili telefonom 064 263 6746.

BOGDAN KRAVIĆ HEAD OF FINANCING SIEMENS

„Najbolje vreme za sadnju drveća je bilo pre 20 godina.

Drugo

najbolje vreme je sada“

Danas nije lako pronaći ljude koji su toliko zadovoljni svojim poslom, preciznije kompanijom u kojoj rade, do te mere da i ne pomišljaju da bi je ikada napustili. Jedan od takvih ljudi je Bogdan Kravić, Head of Financing u kompaniji Siemens, koji se sa podjednakom strašću i uspehom u slobodno vreme bavi pčelarstvom i proizvodnjom vina.

POSAO

Vi ste u kompaniji Siemens od početka svoje karijere i prošli ste različite pozicije. Opišite nam kako se razvijala Vaša karijera.

Mogu da kažem da sam pravo iz amfiteatra Ekonomskog fakulteta u Beogradu počeo da radim u Siemensu. Tokom studiranja fokusirao sam se na reviziju, tako da su mi inicijalni planovi u pogledu zaposlenja bili orijentisani u tom pravcu. Ipak, neočekivano se pojavila prilika da se priključim Siemens timu u Beogradu, koju sam bez previše dvoumljenja i prihvatio. Iz današnje perspektive, mogu da kažem da sam napravio pravi izbor, ali i da sam imao izuzetnu sreću i privilegiju da postanem deo Siemens tima. Početni koraci bili su u vezi sa različitim zadacima u odeljenju knjigovodstva. Kasnije sam preuzimao zaduženja u odeljenju finansija i unazad nekoliko godina vodim odeljenje finansija.

Siemens je jedna od najpoznatijih svetskih kompanija. Šta Vas je posebno privuklo da postanete njen zaposleni i šta su uporišta Vaše dugogodišnje lojalnosti?

Apsolutno ste u pravu da je Siemens jedna od najpoznatijih, a ja bih dodao i najznačajnijih globalnih korporacija. Zašto to kažem? Pa ako pogledate malo dublje u njihov portfolio, videćete da su proizvodi i rešenja koja kompanija nudi zapravo povezani sa ispunjenjem osnovnih životnih potreba svakog pojedinca. Iako mi kao pojedinci nemamo direktan kontakt sa Siemensom , kompanija zajedno sa svojim kupcima i dobavljačima, kroz inovativna, energetski efikasna i društveno odgovorna tehnička rešenja i proizvode, omogućava globalnoj populaciji da zadovolji potrebe za energijom, vodom, mobilnošću, zdravstvenom zaštitom, bezbednošću i da ne nabrajam više. Siemens sve ove aktivnosti realizuje uz poštovanje najviših etičkih standarda. Vrednosti koje kompanija promoviše zapravo su i vrednosti koje ja kao pojedinac delim i nosim u sebi, što je jedan od osnovnih preduslova da se dug vremenski period provede u određenom okruženju a da to istovremeno čoveku i prija. Jednom prilikom, kada sam tek počeo

da radim u Siemensu , iskusniji prijatelj mi je rekao: „ Siemens je jedna od retkih kompanija u kojoj možeš da započneš i završiš karijeru, a da budeš ispunjen i poslovno i privatno“. Ovo je apsolutno tačno. Zaista postoje velike mogućnosti za vertikalnu (funkcionalnu) i horizontalnu (geografsku) mobilnost, tako da je na svakom zaposlenom da svojim angažovanjem i posvećenošću uspe da to iskoristi. Mislim da sve napred navedeno daje dovoljan odgovor na pitanje o dugogodišnjoj lojalnosti.

Tokom svoje karijere u Siemensu imali ste priliku da učestvujete u različitim projektima, a u najlepšem sećanju ostao Vam je projekat na kom ste radili u Kini. O kakvom je projektu reč i zašto je Kina na Vas ostavila tako snažan utisak?

Da, projekat u Kini je po svom obimu i važnosti svakako bio najveći i kao takav zauzima posebno mesto. Reč je o takozvanom „FX Pilot Projectu“. Kina je, kao brzo rastuća ekonomija, uvidela potrebu za većim otvaranjem tržišta i liberalnijim propisima u pogledu transfera novca i kapitala. Kao narod koji je prema mom uverenju posvećen dugoročnim i održivim ciljevima, svakako da želi da uči od najboljih i naravno da je u takvim situacijama Siemens jedan od prvih izbora. Siemens je dobio poziv od strane kineskih regulatora da zajedno sa svojim partnerima Deutsche Bank i HSBC kreira, testira i uspostavi novu poslovnu praksu i procese koji bi bili polazna osnova regulatoru za izmenu i prilagođavanje finansijskih propisa. Projekat je obuhvatio procese koji se tiču centralizacije priliva i odliva novca, zatim tzv. cash pooling-a i na kraju, trgovanje valutama. Moj zadatak bio je da vodim tim zadužen za trgovanje valutama na SPOT i terminskom tržištu. Kako je projekat obuhvatio 62 Siemens kompanije sa cele teritotije NR Kine, mogu da kažem da sam imao priliku da upoznam različite ljude, poslovne procese, probleme, rešenja... Poslovne procese i probleme ne bih komentarisao, ali svakako bih istakao sjajne ljude koje sam tamo upoznao i sa kojima sam sarađivao. Bili su izuzetno profesionalni i posvećeni poslu, ali na početku malo rezervisani i uzdržani

u komunikaciji. Međutim, nakon što smo se malo bolje upoznali, bili smo pravi prijatelji. Potrudili su se da za relativno kratak period koji sam tamo proveo što bolje upoznam njihovu zemlju, njih kao narod, njihovu istoriju, kulturu i tradiciju. Naravno da ove „sporedne“ aktivnosti nisu uticale na to da ne odradimo posao kvalitetno. Projekat na kom smo radili je, osim internih pohvala, dobio i značajna eksterna priznanja, poput Prvog mesta za reinženjering treasury poslovnih procesa a koje dodeljuje EuroFinance. Mogu da kažem da smo kao Siemens tim još jednom potvrdili da kompanija ne postavlja samo tehnološke trendove i pravce budućeg industrijskog razvoja, već i da u svom sastavu ima i profesionalce koji doprinose uspostavljanju najviših standarda poslovne i finansijske administracije.

Poznato je da menadžeri ostvaruju svoje ciljeve uz pomoć ljudi. Koji stil vođenja Vi kao menadžer preferirate i na koji način uspevate da motivišete saradnike?

Pogrešno je ako menadžer ciljeve posmatra izolovano i kao svoje, a ljude koristi samo kako bi ih ostvario. Uspešan menadžer ciljeve mora da sagleda iz šire perspektive, perspektive tima kojem pripada. Svaki pojedinac koji doprinosi ostvarenju cilja mora prevashodno da razume na koji način tome doprinosi i na kraju mora da dobije feedback o ostvarenjima. Motivisanost postoji u svakom pojedincu, a zadatak menadžera je da svojim primerom i aktivnostima ovu prirodnu ljudsku osobinu održi na potrebnom nivou.

Koje tri osobine zahtevate da poseduju Vaši ljudi?

Kod saradnika najviše cenim posvećenost, proaktivnost i motivisanost.

Koje tri osobine bi Vas najbolje opisale kao menadžera?

Nezahvalno je komentarisati sopstvene osobine, ali ako baš insistirate, onda su to integritet, lojalnost i posvećenost uspehu tima kome pripadam.

CONTROLLING

Controlling je u poslednjih nekoliko godina zaživeo u Srbiji i kompanije imaju sve veću potrebu za njim. Kakvo je Vaše viđenje controllinga?

Svakako da uspešno upravljanje bilo kojim sistemom pretpostavlja donošenje efikasnih odluka. Controlling je tu da menadžmentu obezbedi pouzdanu osnovu za odlučivanje, bilo proaktivno bilo reaktivno. Iskreno se nadam da controlling nije samo zaživeo u Srbiji već da duboko živi i da se razvija, jer u suprotnom ne vidim, kako na mikro tako i na makro nivou da naša ekonomija može da izađe na željeni put održivog rasta i razvoja. U tom smislu je svakako dobro da postoje profesionalna udruženja kao što je vaše, u kojem ljudi mogu da razmenjuju iskustva, edukuju se i unapređuju svoja znanja i veštine.

Koje kompetencije bi trebalo da ima jedan savršeni controller?

Savršeni je možda prejaka reč, ali ozbiljan controller mora odlično da poznaje kompaniju, tržište na kom je njegova firma prisutna i generalno ekonomiju. Mora da ima izražene analitičke sposobnosti, Naravno, sama analitika i prisutnost forme u svakodnevnom poslu ne sme da „otupi“ kreativnost i potrebu za novim idejama, unapređenjima. Na kraju, kao uostalom i svaki pojedinac, trebalo bi da bude osoba od integriteta.

PRIVATNO

Imate vrhunsku karijeru u jednoj od najvećih svetskih kompanija. Koliko Vam ostaje vremena za privatan život i kako uspostavljate balans između privatnog i poslovnog života?

Mislim da svaki pojedinac ima dovoljno vremena, kako za poslovan tako i za privatan život. Sve je stvar određivanja prioriteta, organizovanosti i istrajnosti. Nakon radnog dana, vreme volim da provodim u prirodnom okruženju i da uživam u stvarima koje nam priroda daruje. Potreba za takvim okruženjem postaje sve izraženija i iz sopstvenog iskustva mogu da kažem da mi ono izuzetno pomaže da uspostavim tzv. „life balance“. U takvom okruženju sam prepoznao stvari koje me veoma interesuju, kao na primer, pčele i pčelarstvo.

Imate zaista zanimljiv hobi, a to je pčelarstvo. Šta Vas je najviše zainteresovalo za to?

Ne mogu da kažem da sam pročitao dobru knjigu o pčelarstvu ili da sam čuo zanimljivu priču i da me je to zainteresovalo. Jednostavno, interesovanje za pčele i pčelarstvo se probudilo u meni i mislim da je to refleksija određenog sistema vrednosti kojeg se držim i životnih normi koje poštujem. Zaista uživam u svakom trenutku koji provodim u okruženju, učeći o pčelinjim društvima i aktivnostima kojima čovek pomaže pčelama da budu što efikasnije. Nažalost, tendencije su takve da ljudi svojim aktivnostima sve više otežavaju opstanak pčelinjih društava, a na taj način svesno ili nesvesno narušavaju i ambijent i održivost sopstvene populacije. Kroz pčelarstvo upoznajem i ljude iz različitih sfera. Razmenjujemo znanja i iskustva i na taj način uspevamo da izbegnemo „zamku“ apsolutne posvećenosti osnovnom zanimanju. Dugoročno posmatrano, fokusiranje isključivo na osnovnu profesiju ima negativne posledice, kako na zdravlje pojedinca tako i na kvalitet posla koji on obavlja. Moram da istaknem da bilo koji hobi koji praktikujem ne bi bio izvodljiv bez podrške porodice. Jednostavno, tempo je takav da nisam uvek u mogućnosti da se na vreme posvetim svemu ali, onda su tu moji najbliži da pomognu.

Veliki ste ljubitelj vina, čak ga i sami pripremate. Kakva vina volite i da li imate neku omiljenu vinariju?

Da, mogu da kažem da više volim aktivnosti oko same pripreme grožđa i proizvodnje vina nego da pijem vino. Praktično sve rezultate mog hobija manje koristim za sopstvene potrebe, a više kao poklon za najbliže okruženje. Svakako da čaša dobrog vina u dobrom okruženju uvek prija. U slobodno vreme volim da obilazim fruškogorske i šumadijske vinarije, ne bih nijednu posebno izdvajao, ali bih svakako svima preporučio da iskoriste slobodno vreme i obiđu ova mesta. Mislim da u našoj zemlji ima mnogo lepih mesta u kojima može da se provede vreme u prirodnoj i zdravoj atmosferi.

Za kraj ovog intervjua, podelite sa nama Vaš omiljeni citat.

Danas smo govorili o iskustvima iz Kine, tako da bih sa čitaocima podelio jednu od mnogobrojnih kineskih mudrosti: „Najbolje vreme za sadnju drveća je bilo pre 20 godina. Drugo najbolje vreme je sada“.

Bogdan Kravić je Head of Finance u kompaniji Siemens od 2010. godine. U istoj kompaniji radi od 2005. godine gde je prošao i pozicije Commercial Trainee, Financial Officer i Treasury Manager. Bogdana mozete kontaktirati imejlom bogdan.kravic@ siemens.com

MILOŠ CVETKOVIĆ

KONSULTANT

MENADŽMENT CENTAR BEOGRAD

SLEDEĆI KORAK

Controlleri bi voleli da znaju da programiraju u VBA za Excel, ali ponekad nisu sigurni šta je VBA i koliko im je potreban? Controlleri često koriste napredne funkcije u Excelu i sledeći logičan korak jeste VBA programiranje. Međutim, tu nailaze na nekoliko prepreka. Da bi mogli da programiraju u VBA, potrebno je da poznaju osnovna pravila programiranja: sintaksa, linija koda, kako se kod pušta u rad, zašto je nastala greška u kodu i slično.

Jedan od čestih problema u VBA programiranju jeste takozvani VBA editor (ALT +F11). On ima svoja ograničenja i nije se mnogo menjao u poslednjih deset godina. Kada počnete da koristite klasičan VBA Editor, primetićete da je

meni vrlo sličan, kao i izgled Excela iz verzije Excel 2003. Izbor opcija je dosta ograničen i početniku to može da predstavlja problem. Jedno od rešenja su dodatni programi (add in), kao što je CODE VBA, koji poboljšava rad u VBA editoru. CODE VBA je softver koji donosi dosta opcija koje olakšavaju rad prilikom VBA programiranja. To je jednostavan softver (add in) koji rešava problem klasičnog menija za VBA editor. Instaliranjem ovog programa u meniju VBA Editora (ALT + F11) pojaviće se nekoliko dodatnih komandi. Iza kartice CODE VBA kriju se sve dodatne opcije koje bi trebalo da znate kako biste mogli da napravite kvalitetan kod u Excelu.

Jedna od prvih opcija jeste da kreirate novu funkciju u Excelu. Da biste kreirali novu funkciju, morate da kliknete na Insert, pa na Procedure i iza toga se krije opcija za kreiranje funkcije u Excelu. Osim toga, možete da kreirate petlje, tipove promenljivih i slično. Na primer, treba vam petlja koja će biti ograničena brojem, IF-om ili brojem redova u tabeli. Sve ove opcije veoma lako možete da pišete uz pomoć CODE VBA. CODE VBA alat Vas neće naučiti samom VBA programiranju, ali Vam može dati ideje u vezi sa programiranjem. Takođe, može da Vam pomogne da razumete kako izgleda sintaksa u samom VBA kodu. Softver možete besplatno da skinete sa sajta www.codevba.com.

Miloš Cvetković je konsultant u Menadžment Centru Beograd od 2015. godine. Miloš je specijalizovan za Excel (Grafikoni, Dashboard, Power query, Power pivot, VBA). Miloša možete kontaktirati imejlom milos. cvetkovic@mcb.rs ili telefonom 063 864 6401.

MATJAŽ FAJFAR

GENERAL MANAGER

ADACTA

Kako bubanj kaže...

Život na relaciji Ljubljana - Beograd i brojne poslovne obaveze kojima je bezgranično posvećen, ipak ostavljaju Matjažu Fajfaru, General Manageru kompanije Adacta, dovoljno vremena za njegove dve velike strasti – sport i sviranje bubnjeva. Ko zna, možda ga uskoro vidimo na nekoj koncertnoj bini!

POSAO

Direktor ste kompanije koja se bavi razvojem i implementacijom poslovnih rešenja. Šta Vas najviše inspiriše u poslu?

Definitivno rad sa ljudima. Naša primarna misija jeste da spajamo savremene informacione tehnologije i poslovno znanje u celovita rešenja, koja našim klijentima olakšavaju svakodnevni rad i čine ih efikasnijim i uspešnijim. Tehnologije i poslovni izazovi različitih delatnosti veliki su podsticaj za našu kompaniju, kao i za mene lično.

Ipak, najsrećniji sam kada vidim zadovoljnog klijenta, koji je uspešno prošao napor uvođenja svog novog poslovnog rešenja. Jednako se radujem i kada vidim saradnika Adacte, koji je savladao izazove našeg posla i zadovoljno nastavlja uspešnu karijeru.

Činjenica je da ni klijenti ni zaposleni još uvek ne znaju tačno šta ih očekuje tokom projekta implementacije poslovnih rešenja. Za stvarna i važna unapređenja potrebna je koreni-

ta transformacija, možda ne svih segmenata, ali barem nekih delova poslovanja.

Ovaj proces nikada nije jednostavan i bezbolan. On zahteva razumevanje glavnih ciljeva preduzeća, kao i osećaj za svaki operativni detalj. Potrebno je razumeti i voditi klijenta, kako u smislu znanja, tako i u pogledu vođenja projekata. Na kraju je izuzetno važno savladati u pozadini sve kompleksniju tehnologiju. Trudimo se da pružamo što bolju uslugu i da vodimo što efikasnije projekte, ali na kraju krajeva, svaki završeni projekat je vredna škola, kako za naše klijente tako i za saradnike.

Živite u Ljubljani, a rukovodite kompanijom koja se nalazi u Srbiji. Kako uspevate da kontrolišete poslovanje kompanije, a naročito rad Vaših zaposlenih?

Pre tri i po godine počeo sam da rukovodim našom beogradskom kompanijom i otad jedan deo svake radne nedelje provodim u Srbiji. Čak i kad se

nalazim u Ljubljani ili Zagrebu, veliki deo radnog dana posvećujem beogradskoj Adacti, baš u svrhu čvršćeg regionalnog povezivanja kompanija u grupaciji Adacta Adacta ne želi da bude samo regionalni Microsoft Dynamics, Qlik ili Insurance partner, već ima ambicije da postane i važan evropski igrač.

Svoje prednosti moramo da crpemo iz znanja i iskustva svih Adactinih regionalnih kompanija i da pružamo uslugu koja je po kvalitetu ispred konkurencije. Stoga, aktivno učestvujem u radu svih podružnica unutar grupe, što smatram vrednim doprinosom toj strategiji.

Privatno sam navikao na život u inostranstvu – deset godina sam bio na školovanju i studijama u Nemačkoj. Nikada se nisam smatrao „gastarbajterom“, što po definiciji jesam. Verujem da će takav način života postati uobičajen u današnjem svetu. Na primer, na Zapadu su uspešni poslovni ljudi mobilniji nego što je to slučaj u našem regionu. Nemci većinom studiraju u gradovima izvan mesta rođenja, na primer, ako žive u Minhenu podrazumeva se da će raditi projekte u Frankfurtu, Diseldorfu ili Hamburgu.

S druge strane, mi razmišljamo isplati li se raditi na relaciji Beograd – Novi Sad. Naravno, vreme koje provedem na putu i sam smatram izgubljenim. Ali ako nisam „za volanom“, tokom putovanja mogu da radim – ili da pokušam da se odmorim.

Što se tiče same kontrole, regionalna organizacija daje sve bolje rezultate. Svaka poslovna linija ima svog regionalnog direktora kao i rukovodstvo lokalne kompanije. Zahvaljujući tome, operativne odluke donose se ažurno i efikasno, dok strateške odluke mogu da se donose na nedeljnom nivou.

Biti na čelu IT kompanije je sigurno dinamičan posao. Kako izgleda jedan Vaš klasičan radni dan?

Ujutro odvojim sat vremena za sport. Mislim da nas fizička aktivnost čini boljim i spremnijim za svakodnevne izazove. Posle trčanja ili treninga svi dnevni izazovi postaju lakši nego što su se činili veče pre toga. Radni dan u Beogradu posvećen je Adacti. Vremena za konceptualne stvari bude tek posle 16 časova, pa u kancelariji ostajem do kasno. Večera i piće posle posla su najčešće posvećeni klijentima i gostima unutar Adacta grupe.

CONTROLLING

Mnoge kompanije u Srbiji prepoznale su korist od primene controllinga. Postoji li controlling u Vašoj kompaniji i šta je njegov zadatak?

Izreka kaže: „Obućareva deca hodaju bosa“. U Srbiji i regionu, rastuće kompanije često su kasnile sa uvođenjem potrebnih poslovnih funkcija. Naš glavni cilj je da to promenimo.

U Adacti smo dosta rano prepoznali neophodnost sistematičnog controllinga. Pravovremeno smo izabrali odličnog šefa Odeljenja controllinga, pa na nivou poslovne jedinice, projekta ili zaposlenog raspolažemo većinom relevantnih poslovnih pokazatelja.

Unutar naše grupacije koristimo QlikView u koji stvarno verujemo, jer nam ovaj alat pomaže da brzo otkrijemo anomalije unutar grupe i reagujemo na vreme, pa ga zato preporučujemo i svim klijentima. Lično bih voleo da idemo i korak dalje, pre svega na nivou performansi timova i zaposlenih i to na nedeljnom, a možda i na dnevnom nivou.

Zadatak je složen, jer prvo treba da se definišu pravi ciljevi, a to nije jednostavno. Najbolji zaposleni često rešavaju stvari iza svojih saradnika i ne postižu one ciljeve koji se preporučuju „na prvu loptu“. Adacta zapošljava visokoobrazovane stručnjake i temelji svoj uspeh na znanju i angažmanu. Jasna slika o doprinosu svakog pojedinca važna je za motivaciju i razvoj karijera naših saradnika.

Adacta ima veliki broj IT rešenja koja pomažu menadžerima i controllerima. Koje IT alate preporučuje controllerima?

Važno je da se naglasi kako su za controllere relevantna i transakcijska rešenja, kao što su ERP i CRM, koja garantuju odgovarajući kvalitet transakcijskih podataka. Business Intelligence, odnosno BI rešenja, smatramo nadogradnjom, koja je namenjena zbirnom prikazivanju i istraživanju podataka.

Drugim rečima, BI rešenja se češće koriste u svakodnevnom radu controllera, ali ne smemo da zanemarimo ni važnost ERP i CRM rešenja, koje dobar controller mora da upozna i razume, s obzirom na logiku i strukturu podataka koje se kriju u njihovoj pozadini.

Na početku razvoja našeg BI odeljenja često smo pravili kompromise i prilagođavali se izboru BI rešenja u skladu sa željama naših klijenata. Prve implementacije Business Intelligence rešenja bazirali smo na Tagetikovom Business Analitics rešenju za Karlovačku pivovaru, kao i Business Objects rešenju za kompaniju Gavrilović. Microsoft Dynamics NAV klijentima često smo uvodili JetReports, alat za izveštavanje zasnovan na Excelu, koji je integrisan sa Microsoft Dynamics NAV-om.

Od 2008. godine do danas isključivo preporučujemo rešenja QlikView i Qlik Sense, koja nudimo ekskluzivno u celom jadranskom regionu i koja smo već nekoliko puta predstavili članovima ICV Srbija. QlikView je funkcionalno savršenije rešenje, dok Qlik Sense daje odgovor na savremene trendove web rešenja, prilagođenih korišćenju na stacionarnim, ali i na mobilnim uređajima. Budućnost svakako pripada Qlik Sense-u.

Ekskluzivni odabir Qlik rešenja omogućio je razvoj Adactinog BI odeljenja, koji danas ima više od 25 zaposlenih i približava se godišnjem prometu od 2 miliona evra. BI odeljenje razvijeno je nezavisno od Microsoft Dynamics odeljenja. Trenutno radimo čak na više BI projekata na SAP-u i drugim ERP-ovima.

Analitička kuća Gartner već nekoliko godina svrstava Qlik rešenja među vodeća na tržištu. Brzo uvođenje na osnovu in-memory obrade podataka koja ne zahteva izgradnju data warehouse-a, zatim fleksibilnost i intuitivnost, još uvek su sjajne prednosti Qlik-ovih rešenja.

Nekoliko puta ste učestvovali na ICV Kongresu controllera. Kakav je vaš utisak o kongresu?

Udruženje ICV sam pronašao istražujući poslovne zajednice u Srbiji. Posle prisustva na prvom sastanku ICV-a, znao sam da Adacta želi da postane sastavni deo udruženja controllera. Lično se divim Bojanu Šćepanoviću, predsedniku ICV Srbija, i celom njegovom timu, koji su u vreme inflacije informacija, raznoraznih poslovnih ponuda i događaja oformili koherentnu interesnu poslovnu zajednicu, koja ne oportunistički nego srcem, radošću i proaktivnošću doprinosi zajedničkom interesovanju. ICV je po meni jedinstven i naj-

bolji primer iskrenog interesnog druženja, ne samo u Srbiji nego i u regionu. ICV Kongres kao godišnji vrhunac razmatra prave i relevantne sadržaje, a koje izlažu vrhunski predavači iz prakse.

Osim toga, ICV Kongres je idealno mesto za sklapanje novih poslovnih kontakata i u svakom pogledu, prijatan društveni događaj, kako poslovno, tako i privatno.

Kako će se razvijati controlling u budućnosti?

Funkcija controllinga poslednjih godina sve više pronalazi svoje mesto i u preduzećima našeg regiona, pritom mislim na mesto u upravi, a ne u računovodstvu.

Ako je direktor kapetan, controller je navigator. Jedan bez drugog ne mogu da stignu do cilja. Controlling postaje sastavni deo upravljanja preduzećem i preuzima stratešku ulogu. Budući izazovi povezani su sa daljim razvo-

jem i mogućnostima IT tehnologije. Controlleri će u budućnosti morati aktivno da učestvuju u primeni IT tehnologija, da bi zadržali relevantnu poziciju. Trenutno, aktuelne IT teme su Big Data i aplikacije za samoposluživanje. Te aplikacije će davati menadžerima sve više mogućnosti za samostalnu kontrolu poslovanja.

Doći će i nove teme i izazovi, verovatno sve brže i brže. Controlleri će morati da nađu odgovore na izazove nestabilnosti i promenljivosti poslovnog okruženja. Sistemi controllinga će morati da budu fleksibilni i da budu u stanju da brzo reaguju na promene. Zvuči kao prepisano iz udžbenika, ali tako će biti, ako želimo da ceo sistem funkcioniše dobro.

Proces globalizacije još uvek je u toku. Globalni lanci snabdevanja će se razvijati dalje i controlleri će morati da prate dešavanja, ne samo unutar svog preduzeća, nego i na nivou celokupnog lanca. IT tehnologije će to podržavati.

PRIVATNO

Danas je teško izbalansirati posao i privatan život. Koliko vi uspevate u tome?

Za mene postoji samo život – ne postoji privatno i poslovno. Radno mesto mi je unutar Adacte, gde god se ona nalazila. Radno vreme više ne postoji. Poslovne i privatne brige se sve više prepliću u jednu celinu. To mi i ne smeta toliko, jer volim to što radim.

Na Vašem Facebook profilu imate fotografiju na kojoj svirate bubnjeve. Da li planirate da napravite svoj bend?

Na LinkedInu piše da već imam bend. Ne mogu da zamislim život bez muzike, instrumenta i nastupanja. Mislim da mi taj izlet u iracionalno pomaže da balansiram racionalnu stvarnost poslovnog i sveta oko mene.

Kako bi prijatelji opisali Matjaža u nekoliko reči?

Moji prijatelji kažu da sam komunikativan, sportista, muzičar, odličan kuvar i gurman... Ja bih dodao da volim život, nove doživljaje i zanimljive ljude.

S obzirom na to da živite u Ljubljani i Beogradu, možete li da uporedite ova dva grada?

Teško je uporediti Ljubljanu s Beogradom. Ljubljana ima prelep i živahan centar grada, a ceo grad je okružen divnom prirodom – slično kao i Beograd. S druge strane, Ljubljana je mali provincijski grad i kao takav je moj grad i to će zauvek biti. S obzirom na to da imam mogućnost da poslovno i privatno putujem po svetu, za mene je Ljubljana savršena i uvek joj se rado vraćam. U Sloveniji mi mnogo znače planine i more, kao i sve sportske aktivnosti koje se nude.

Matjaž Fajfar radi na poziciji generalnog direktora kompanije Adacta Srbija od maja 2016. godine. Prethodno je radio kao menadžer i prokurista u istoj kompaniji. Matjaža možete kontaktirati imejlom matjaz.fajfar@ adacta.si

Beograd je fantastičan i tradicionalno nenadmašan u ležernosti, toplini u međuljudskim odnosima i gostoprimstvu, koja se u Srbiji oseća na svakom koraku. U Beogradu se osećam odlično. Mnogo volim reke, puls starog dela grada i arhitekturu pojedinih zgrada. Izlazak u Beogradu je uvek ekstra događaj.

DAN NAFTAŠA U ZNAKU JUBILEJA KOMPANIJE „LUKOIL“

Dan zaposlenih u naftnoj i gasnoj privredi kompanija „LUKOIL SRBIJA“ AD obeležila je 21. septembra u hotelu Metropol Palace u posebno svečanoj atmosferi. U prisustvu predstavnika diplomatske i poslovne zajednice, kao i predstavnika državnih i lokalnih vlasti i zaposlenih ovog društva, uručene su počasne diplome i zahvalnice, te počasne plakete najznačajnijim poslovnim partnerima.

Tradicionalno, dobrodošlicu gostima poželeo je domaćin svečanosti, generalni direktor Kompanije Andrej Kuku, izrazivši veliku zahvalnost ambasadoru RF Aleksandru Čepurinu, ministru energetike RS Aleksandru Antiću, zameniku gradonačelnika Beograda Andreji Mladenoviću i gradskom menadžeru Goranu Vesiću, kao i svim ostalim predstavnicima grada i poslovnim partnerima koji su svojim prisustvom uveličali proslavu. Istakavši dostignuća kompanije za četvrt veka rada, projekte koji su ostvareni na srpskom tržištu i velike planove koje je Kompanija zacrtala pred svim svojim organizacijama, svima je poželeo uspeh u radu.

Odajući počast jubileju i značaju kompanije

„LUKOIL“, ruski ambasador je istakao da za četiri godine svog službovanja u Srbiji treći put proslavlja „LUKOIL“-ov korporativni praznik i dodao: „Zato bih poželeo, dragi Lukoilovci i direktore Andreju Mihajloviču, da još dugo godina proslavljate svoj praznik, a nadam se da ću opet biti u prilici da vam se pridružim“.

Ministar Antić čestitao je korporativni praznik i veliki jubilej. U osvrtu na jake privredne i kulturne veze Srbije i Rusije, koje se najbolje ogledaju u sektoru energetike, naglasio je: „Srpska država i ministarstvo na čijem sam čelu, kroz trinaestogodišnju saradnju sa kompanijom „LUKOIL SRBIJA“ uverili su se u njenu pouzdanost kao partnera sa kojim aktivno rešavamo mnoga pitanja, uključujući i ona najkomplikovanija, otklanjajući tako sve prepreke za efikasno poslovanje na srpskom tržištu“. Program, koji su vodili poznati glumci Sloboda i Vojin Ćetković, prеdstаviо је krоz kоrpоrаtivni film dоstignućа kоmpаniје „LUKОIL“ zа čеtvrt vеkа pоstојаnjа, kao i deo ceremonije dodele nagrade Andreju Kukuu u centrali u Moskvi 31. avgusta ove godine, kao i najlepše narodne srpske igre kroz nastupe KUD „Abrašević“.

Četvrt veka rada kompanije „LUKOIL“, kao i njeno dosadašnje i buduće poslovanje u Srbiji, te novine u ponudi „LUKOIL SRBIJA“ bile su teme konferencije za novinare, organizovane istog dana u hotelu Metropol. Osim generalnog direktora Andreja Kukua, prisutnim predstavnicima srpskih i ruskih medija obratili su se i ambasadori Programa lojalnosti društva, Sloboda i Vojin Ćetković. Nakon uvodnih izlaganja generalni direktor je odgovarao na novinarska pitanja, da bi i kasnije u neformalnoj atmosferi i razgovoru zaokružio ovaj susret.

MILENA RADOSAVLJEVIĆ ĐORIĆ

CFO CARNEX

Romantična matematičarka

Kao diplomirani matematičar lako izlazi na kraj sa kompleksnim finansijskim analizama, dok joj čitanje ljubavnih romana sa srećnim krajem daje neophodnu dozu optimizma. Ipak, najveći izvor pozitivne energije za Milenu Radosavljević Đorić, CFO-a u kompaniji Carnex, jeste njena porodica.

POSAO

Po obrazovanju ste diplomirani matematičar, a bavite se controllingom. Koliko Vam matematika pomaže u poslu?

Matematika je sastavni deo controllinga. Još kao student matematike, naučila sam da svaka pojava ili proces mogu da budu iskazani brojem. Tada postaju merljivi. Zadatak controllinga je upravo to – da sve poslovne procese izrazi brojem, da izmeri i ukaže na aktivnosti koje bi dalje dovele do poboljšanja performansi. Takođe, logika i način razmišljanja koje sam stekla tokom studija dobar su preduslov za brzo sagledavanje situacije, povezivanje procesa u logičke celine i izražavanje svega toga u brojevima.

MK Grupa je veliki sistem koji posluje u različitim oblastima. Šta su prednosti a šta poteškoće u radu u jednoj kompaniji sa tako velikom disperzijom poslovnih sfera?

MK Group ima preko 40 povezanih preduzeća u oblasti poljoprivrede, šećera, mesne industrije, trgovine, obnovljivih izvora energije i hotelijerstva. Jedan je od najvećih i najuspešnijih poslovnih sistema u zemlji i posluje na čak 30 različitih lokacija sa više od pet hiljada zaposlenih. Prednosti rada u ovakvoj kompaniji su bezgranične mogućnosti usavršavanja – sticanje znanja iz različitih oblasti i napredovanje, ali i rad i komunikacija sa vrhunskim stručnjacima koji su na čelu MK Group i njenih članica. Zahvaljujući prethodnom radu u okviru MK Group na poziciji senior controllera u kompaniji Sunoko i angažmanu na više projekata u okviru grupe, stekla sam dragoceno iskustvo i naučila kako funkcioniše poslovanje u različitim oblastima. Brzina razmišljanja, multitasking i efikasnost samo su neke od veština koje sam u MK Group stekla i unapredila.

Vi ste sa 32 godine postali finansijski direktor ugledne kompanije kao što je Carnex U odnosu na dosadašnju karijeru, šta je ono najvažnije što Vam je donela nova pozicija?

Nakon skoro osam godina radnog iskustva, nova pozicija je potvrda mog dosadašnjeg rada, predanosti poslu i posvećenosti prenošenju i razmeni znanja i iskustva sa kolegama. Ona je stepenik više i kao takva donosi i veću odgovornost. Istovremeno, nova pozicija mi je donela nove izazove i mogućnosti za sticanje novih znanja, proširila oblasti delovanja i omogućila donošenje odluka koje doprinose razvoju kompanije i sistema.

Imate li neke posebne rituale sa kojima volite da započnete, odnosno da završite radni dan?

Svaki radni dan započinjem čitanjem jutarnjih izveštaja i sastancima sa rukovodiocima odeljenja, kako bismo definisali aktivnosti i prioritete za taj dan ili nedelju. U kompleksnom sistemu kakav je Carnex, smatram da je jako važno da na dnevnom nivou razmenjujemo informacije koje su važne za naš poslovni proces, kako bismo adekvatno planirali i merili sve efekte, identifikovali nove mogućnosti i/ili potencijalne probleme i reagovali na pravi način.

CONTROLLING

Velike kompanije obično imaju razvijen sektor controllinga. Kako je organizovan sektor controllinga u Carnexu?

Sektor controllinga je najmlađi sektor u Carnexu. Organizovan je centralizovano i funkcioniše u okviru sektora finansija. Za svaki profitni centar i/ili za zaokružene celine poslovnih procesa imamo controllera koji je zadužen za izveštavanje i analizu ključnih pokazatelja na dnevnom, mesečnom, kvartalnom i godišnjem nivou. Takođe, na nivou MK Group pravimo izveštaje, a u zavisnosti od pokazatelja/predmeta izveštavanja, izveštaji su na dnevnom ili mesečnom nivou. Proces budžetiranja je definisan i uređen procedurom na nivou sistema.

Koje sve informacije dobijate od svojih controllera i koliko su te informacije značajne za odlučivanje?

Informacije koje dobijamo od controllera su veoma važne, jer se na osnovu njih donose odluke o poslovanju kompanije i određuju buduće strategije. Te informacije predstavljaju skup podataka iz različitih oblasti (prodaje, proizvodnje, tržišta prodaje, tržišta nabavke...), a koje oni objedinjuju i kao takve prenose dalje u cilju donošenja poslovnih odluka, tako da su značajne za donošenje odluka.

Nekada ste kao controller pravili mnogo izveštaja, a sada ste u ulozi onog ko ih čita i ko donosi odluke. Kakve izveštaje očekujete od svojih kolega iz controllinga?

Svaki dobar contoller treba da bude efi-

kasan, a to znači sistematičan, organizovan, precizan, da ume da razdvoji suštinu od manje važnih podataka jer od toga dosta zavisi i kvalitet izveštaja. Prednost i za mene i za kolege controllere u Carnexu je to što sam donedavno bila u „njihovom cipelama“. Komunikacija među nama je jasna i precizna, što dovodi do toga da oni u svakom trenutku daju svoj maksimum u radu i kvalitetne izveštaje kakvi se od njih i očekuju.

U čemu je razlika između menadžera i controllera? U čijim „cipelama“ je teže?

Controlleri su „produžena ruka“ menadžmenta. Oni svaki pojedinačni proces uklapaju u celinu i u izveštavanju uvek na umu imaju širu sliku i poslovanje čitave kompanije. Činjenica je da pozicija menadžera donosi dodatne odgovornosti. Ipak, ne bih rekla da je teže u jednim ili drugim cipelama, jer je svaka pozicija specifična na svoj način.

PRIVATNO

Imate dvoje male dece i izuzetno uspešnu karijeru. Koja je formula Vašeg uspeha?

Moja tajna je u dobroj organizaciji, bezrezervnoj podršci i pomoći partnera, obostranom razumevanju i potpunoj posvećenosti poslu.

Ako nađete slobodno vreme, kako volite da ga provedete?

Slobodno vreme uvek provodim sa porodicom – suprugom i decom. Bez obzira na brz životni tempo, nastojim da svaki trenutak sa njima bude kvalitetan i ispunjen, jer je upravo to ono što me pokreće i predstavlja glavni izvor energije.

Koji Carnexov proizvod se uvek nalazi na Vašem trpezarijskom stolu?

U svakom trenutku u našem frižideru su Carnex pančeta, delikates kare i naravno, Carnex jetrena pašteta.

O kojoj temi najviše volite da čitate – roditeljstvo, menadžment ili controlling? Ili, nešto potpuno drugačije - ljubavni romani, kuvari, priručnici za pse…?

Volim da čitam knjige iz psihologije, roditeljstva, ali i one u vezi sa poslovnim oblastima koje me interesuju – menadžment, controlling, ljudski resursi. Ipak, literatura u kojoj najviše uživam jesu ljubavni romani, sa srećnim krajem, jer sam optimista u duši.

Milena Radosavljević Đorić je finansijski direktor u kompaniji Carnex. Prethodno iskustvo stekla je u kompaniji Sunoko na poziciji finansijskog controllera (2011-2016). Radila je kao finansijski analitičar u kompaniji Neoplanta (2010-2011) i kao analitičar u prodaji u istoj kompaniji (2009-2010). Milenu možete kontaktirati imejlom milena. radosavljevic-djoric@carnex.rs ili telefonom 064 871 1519.

IZVEŠTAJI ZA MENADŽMENT

Nivo 1 – Kreiranje izveštaja za menadžere po IBCS standardima

Nivo 2 – Napredni grafikoni u Excelu

Nivo 3 – Kreiranje izveštaja u Excelu

4 – Sertifikacija

STRATEGIJA

Biznis simulacija SOF (Strategija–Operacije–Finansije) 3–4. nov; 28–29. nov; 5–6. dec; 12–13. dec

FINANSIJE

Analiza finansijskih izveštaja

Case (CAPEX analiza)

okt; 14–15. nov

controlling sasvim lično

Od A Do Š

A Apatija Da li je moguće da nije znala za povratnu kartu kad je dolazila u Srbiju?

B Baka Učinila detinjstvo savršenim.

V Vojska Vratite obavezno služenje.

G Gotovo Nikad nije.

D Dete Tog trenutka život dobije puni smisao.

Đ Đak Nekada ponosan, danas...

E Ekonomija Sve više politička.

Ž Žulj Pomeri se malo...

Z Zajedno Potrebni smo jedni drugima.

I Izvini Slobodno reci, neće se desiti ništa strašno.

J Jednostavno A da li je baš uvek tako?

K Kralj Može i kraljica.

L Lako Samo ako znaš kako :-)

LJ Ljudi Biram čoveka.

M More More. More. More.

N Ništa Ali skoro uvek je nešto.

Živorad Radovanović je direktor odeljenja finansijskog controllinga u Komercijalnoj banci od januara 2014. godine. Prethodno je radio na poziciji šefa finansijskog controllinga (2006-2013) u istoj banci. Živorada možete kontaktirati imejlom zivorad.radovanovic@kombank.com ili telefonom 065 956 0749.

NJ W ili Q Kako se kuca na tastaturi?

O Olivera Za razliku od Đoleta, ja sam znao da postojiš.

P Posao Kad možeš promeni, ako ne, onda unapredi.

R Rad Plus znanje, i onda vam nije baš uvek potrebno neko čudo.

S Sunce Osećam se živim.

T Trenutak Oseti ga.

Ć Ćumur Zaboravljeni zanati.

U Ukupno Zar baš sve mora da se broji?

F Fudbal Mnogo mi je dao, ali na kraju i uzeo.

H Hvala Nije teško izgovoriti.

C Cena Kako se na berzi danas kotira život?

U padu je, kažeš...

Č Čovek Prava retkost.

DŽ Džez I to smooth. Sve preporuke.

Š Šumadija Srce Srbije.

Nemačka filozofija ostvarivanja ciljeva • 270 pojmova • 400 slika i fotografija • 570 strana

controlling biznis panel / HR

JELENA JOVANOVIĆ

HR MENADŽER

JOHNSON CONTROL

Zašto zaposleni izbegavaju odgovornost

Svako od nas se može setiti bar jednog primera kada je tim izvršavao postavljene izazove na vreme, ali da u timu nisu svi pojedinci bili jednako posvećeni tome da se ciljevi ostvare. Ili, prisetimo se situacije u kojoj se pojavljuje nov zaposleni koji na prvi pogled deluje kompetentno i strastveno posvećen poslu, obavezama i rezultatima. Imamo utisak da je čarobnjak Merlin ušetao među nas i da će nam, dok trepnemo, pokazati sve tajne posla i uspeha. Onda se taj isti čarobnjak Merlin, preko noći pretvori u mutavu žabu iz crtanog filma i mi razočarani shvatimo da nema bolje reklame od samoreklame. Ako je za utehu, ovaj tip ličnosti vrlo brzo koriguje svoje ponašanje i počne da se ponaša u skladu sa očekivanim ili pobegne iz kolektiva brže nego što je potrebno da smesti kancelarijski materijal u fioku.

Potpuno je prirodno da se članovi tima razlikuju. Zato se, u zavisnosti od karaktera i sposobnosti članova tima, i određuju njihovi pojedinačni zadaci i ciljevi. Ono što uvek dovodi do poteškoća u radu je kada se uloge i odgovornosti ne podele kako treba. Preispitivanje rezultata tima, događa se najčešće u momentu kada tim počne da daje loše rezultate i kada već svima postane jasno da je problem na vidiku. Tada se svi “bacaju” na analize i razne alate za rešavanje problema, a ne tako retko, traži se neko na koga bi se mogla svaliti sva krivica za neuspeh.

Bez namere da se ovde ulazi u detaljnu analizu svih uzroka koji mogu da dovedu do lošeg funkcionisanja tima, osvrnućemo se na situaciju kada član tima izbegava odgovornost.

ZAŠTO SE IZBEGAVA ODGOVORNOST?

Rad sa neodgovornim saradnicima može biti frustrirajući i može ozbiljno da utiče na rad svakog pojedinca. Odnosi se remete osećajem drugih kolega da je osoba koja izbegava odgovornost u povlašćenom položaju – da joj se „može“ da bude manje odgovorna, da se loši rezultati takvog pojedinca guraju pod tepih, a sve na štetu ostalih članova grupe koji moraju da daju više, ne bi li krajnji rezultat bio u okviru očekivanog. Postoje različite strategije i alati koji mogu da preventivno učine da do ovakvog ponašanja uopšte ne dođe i da svako preuzme deo odgovornosti koji mu pripada.

Ponekad do izbegavanja odgovornosti dolazi iz proste lenjosti, ili straha od neuspeha. U moru opravdanja koja se mogu čuti od pojedinaca koji se bore za titulu menadžera ili tim lidera, ali ne i za odgovornosti pozicije, mogu se čuti i raznorazna nabrajanja privatnih problema i situacija, okrivljuje se šef koji je control freak i koji nas sprečava da budemo samostalni i odgovorni, „izvlači se“ na standarde kompanije koja centralizuje sve inicijative, a može se sresti još puno kreativnih izgovora.

Kakav god da je izgovor u pitanju za neprihvatanje sopstvenih nadležnosti i obaveza, činjenica je da tim sa pojedincima koji se ponašaju neodgovormo ne postiže očekivane rezultate u radu. Zato je neophodno preduzeti određene korake kako bi se problem rešio u korist i pojedinca koji se suočava sa problemom, ali i u korist čitavog kolektiva u kojem ovakvi pojedinci rade.

Znaci i simptomi

Postoji nekoliko znakova koji mogu da ukažu na izbegavanje odgovornosti:

manjak zainteresovanosti pojedinca za sopstveni posao i dobrobit tima, prebacivanje krivice na druge za sopstvene greške i propuste, propuštanje zadatih rokova, izbegavanje izazovnih zadataka i projekata i potpuno odsustvo volje da se bilo kakav rizik preuzme, redovno lamentiranje nad nekorektnim i ne-fer tretmanom od strane lidera i ostalih članova tima i potonuće u neku vrstu samosažaljenja, odsustvo inicijative i zavisnost od drugih u radu, manjak poverenja u tim i lidere tima, stalno traženje novih izgovora – pa se često se mogu čuti sledeće izjave: “To je nepravda!”, “To nije fer!”, “Ja nisam kriv!”

LOŠE STRATEGIJE

Lider tima ima dva moguća rešenja za problem, mada nijedno nije dobro: da odstrani osobu iz tima, da okreće glavu od problema, nadajući se da će se isti rešiti sam od sebe.

Odstranjivanje osobe iz tima

Odstranjivanje ljudi iz tima mora biti poslednje oruđe za kojim će odgovoran lider posegnuti, jer ne mora da znači da osoba koja bude zamenila otpuštenog člana tima neće pokazivati iste ili slične osobine kao i član tima koji je zamenjen.

Lider okreće glavu od problema, nadajući se da će se isti rešiti sam od sebe

Ignorisanje problema i njegovo neprihvatanje, može, u krajnjoj meri, dovesti do pogoršanja samog problema, a svakako dovodi do akumuliranja nezadovoljstva i loših rezultata.

DOBRE STRATEGIJE

Umesto opisanih pristupa, neophodno je sistematično pristupiti rešavanju situacije. To znači, otvoreno ući u dijalog i ukazati kolegi da postoji problem i da je rešenje za isti jasan plan za razvoj potrebnih veština i resursa. Razmotrićemo nekoliko različitih strategija i alata koji se mogu primeniti ne bi li zaposleni shvatili značaj preuzimanja odgovornosti: razgovarajte, obezbedite neophodne resurse, jasno odredite uloge, odgovornosti i ciljeve, motivišite saradnike, pomozite drugima da preuzmu kontrolu, odustanite od mikromenadžmenta, pohvala je rajsko oruđe!

Razgovarajte

Prvi korak je razgovor sa kolegom kod kojeg je zapaženo ovakvo ponašanje. Neophodno je direktno ukazati na problem, a odmah nakon toga saznati da li postoje određene okolnosti koje doprinose ovom ponašanju. Nikada se ne

sme zanemariti mogućnost da se negde u pozadini dešava nešto loše na ličnom planu, što može dovesti do promene ponašanja na poslu. Pružanje povratne informacije (feedback) i konstruktivan dijalog je neophodan, naročito u situacijama kada pojedinac nije svestan da problem postoji. Povratna informacija mora da bude argumentovana konkretnim primerima uočenih ponašanja i davanjem suprotnog primera. U odsustvu argumenata, dovodimo sebe u rizik da se druga strana oseti diskriminisanom ili u najgorem slučaju, žrtvom mobinga. Rezultat ove diskusije mora da bude jasan sadržaj budućih akcija koje će biti preduzete.

Obezbedite neophodne resurse

Apsolutno je neophodno da svaki saradnik raspolaže resursima, neophodnim za rad i samorazvoj. Za uspešnost rada pojedinca, neophodan je razvojni plan, sa odgovarajućim treninzima, opremom, mentorima i krajnjim ciljem – prevazilaženja slabih tačaka u operativnom radu. Kada resursi izostanu dolazimo u situaciju da pojedinac svu krivicu za svoje ponašanje prebacuje na okolnosti i objektivni izostanak podrške.

Jasno odredite uloge, odgovornosti i ciljeve

Svakom pojedincu, od kog se očekuje da preuzme odgovornost, neophodno je dati jasan opis posla. Ne može se očekivati od saradnika da bude odgovoran, ako mu nije jasno objašnjeno šta sadrži pozicija, i po kojem će se principu meriti ostvareno na poziciji. Takođe je neophodno pokazati i objasniti širu sliku - kako se rad pojedinca uklapa u rad celog kolektiva.

Motivišite saradnike

Članovi tima mogu biti nezadovoljni i nemotivisani za rad i kada rade na neodgovarajućim pozicijama. Neophodno je posvetiti se analizi

snage i slabosti svakog pojedinca u timu i ispitati da li angažuju sve svoje lične resurse da ostvare cilj. Ukoliko to nije slučaj, trebalo bi se zapitati da li je pozicija pojedinca u timu prava i u okviru njegovih/njenih ličnih mogućnosti. Upotreba različitih tehnika za oblikovanje tima pomaže da se uradi bolja preraspodela zaduženja svakog pojedinca u timu.

Pomozite drugima da preuzmu kontrolu

Osobe koje teško preuzimaju odgovornost se lako motivišu postizanjem malih pobeda. Najlakše se do malih pobeda dolazi kada se veliki projekti i zadaci podele na manje, ili se određene faze u projektima tretiraju zasebno i zatvaraju konsekutivno, momentom završetka. Kada se pojedinac suoči sa velikim projektom i zahtevnim ciljem, može se osetiti ugroženim, nekompetentnim i umesto da se prihvati odgovornosti, mnogo je verovatnije da će se od nje sakriti, pobeći i naći svaki način da je prebaci na nekog drugog.

Odustanite od mikromenadžmenta

Svakom lideru je potrebno da se s vremena na vreme pogleda u ogledalu i proceni sopstveni stil upravljanja, jer je za nedostatak odgovornosti tima, ne tako retko, kriv je lider koji se bavi mikromenadžerisanjem. Ukoliko se nad članovima tima nadvije senka lidera koji prati svaki njihov potez i preispituje svaku njihovu akciju, članovi tima prestaju da preuzimaju odgovornost i potpuno gube osećaj odgovornosti.

Ljudima je neophodan osećaj da su slobodni da donesu odluku i da niko neće nastradati ukoliko do greške u radu dođe. Neophodno je da lideri svoj autoritet upotrebe kako bi stvorili radnu sredinu u kojoj se iz grešaka uči, a da se i najmanji napor članova tima ceni i poštuje.

Pohvala je rajsko oruđe!

Na kraju, ne treba štedeti reči hvale kada naši saradnici preuzimaju odgovornost i inicija-

tivu. Pohvala motiviše, čini da onaj ko pohvalu primi poželi da pruži više i bolje. Međutim, iako se preduzme sve što je gore pobrojano, uvek postoji mogućnost da osoba koja ne preuzima odgovornost nastavi da se ponaša na isti način. Kada jednom učinimo sve što je moguće da se ovaj član tima razvije i podrži, a rezultat izostane, najgore je okretati glavu i praviti se da problem ne postoji, ili da će se rešiti sam od sebe. Neproduktivan član tima čini tim neproduktivnim. Teška je odluka otpustiti saradnika, ali njome i sam lider dokazuje sopstvenu odgovornost jer obezbeđuje da tim bude uspešan i da ima što manje faktora distrakcije u njegovom radu.

Zaposleni koji ne preuzimaju odgovornost za sopstvene postupke i rezultate svog rada će najverovatnije prouzrokovati negativnu atmosferu u okviru tima. Obratite pažnju na članove tima koji traže sažaljenje okoline, prebacuju krivicu za svoj neuspeh na drugoga, propuštaju rokove i imaju problem da se uklope u tim. Kako bi se pomoglo ovakvom tipu zaposlenog, neophodno je uložiti napor da se njihove veštine i resursi razviju, kako bi se podiglo njihovo samopouzdanje i kako bi ovladali svim tehnikama rada na poziciji koja im je poverena. Na ovaj način stvaramo radnu sredinu u kojoj je lako prihvatiti i upravljati promenama, donositi odluke i preuzimati odgovornosti za svoje postupke.

Jelena Jovanović je HR menadžer u kompaniji Johnson Control od novembra 2015. godine. Bila je HR Administration Manager u kompaniji Holcim (2002-2015). Jelenu možete kontaktirati imejlom jelena.jovanovic@adient.com ili telefonom 069 804 4003.

ALEKSANDRA DUTINA

DIREKTOR ZA LJUDSKE RESURSE

AIR SERBIA

Lepše je sa kulturom

Kultura se, prema najčešćim definicijama, odnosi na naučene obrasce mišljenja, osećanja i delovanja neke grupe, zajednice ili društva, kao i na sve ono kroz šta se ti naučeni obrasci materijalizuju u okruženju. Smatra se da je upravo kultura ono što definiše čoveka i izdvaja ga od ostatka živog sveta.

Zapošljavanjem u kompaniji, prihvatamo njenu korporativnu kulturu, što dalje može da modeluje naš sistem vrednosti. Evolucija kompanije, kao sistema u složenim društvenim okolnostima, zahteva da se korporativna kultura prilagođava eksternim promenama, a svi zaposleni predstavljaju činioce u sistemu koji aktivno utiču na vrstu, brzinu i intenzitet tih promena. Korporativna kultura uvek postoji, ali se njome mora upravljati – ne može se dopustiti da se ona stihijski menja.

U ovom članku, želela bih da ukratko ukažem na dobre prakse i ključne činioce u promeni organizacione kulture u srpskoj nacionalnoj avio-kompaniji Air Serbia, u kojoj radim na poziciji direktora ljudskih resursa.

Nedovoljno je poznata činjenica da je Air Serbia osma najstarija avio-kompanija na svetu koja je još uvek aktivna, pošto je njen prethodnik, kompanija Aeroput, osnovan daleke 1927. godine. Vrhunac svog poslovanja, doživela je osamdesetih godina prošlog veka za vreme nekadašnjeg JAT-a. Nakon tog zlatnog perioda,

pune dve decenije kompanija se borila da opstane, da bi 2013. godine mogla da se okarakteriše kao kompanija sa sjajnom tradicijom, ali i potpuno neizvesnom budućnošću.

Potpisivanjem ugovora o strateškom partnerstvu sa Etihad ervejzom, pre tri godine, iz korena je izmenjeno poslovanje organizacije. Jedan od najvažnijih prioriteta bila je promena korporativne kulture, a najvažniji koraci u tom smislu bili su:

1. Dovođenje internacionalnog menadžmenta i obuke zaposlenih u Abu Dabiju

Na samom početku, u kompaniji je boravilo oko 70 predstavnika Etihada , angažovanim u svim segmentima poslovanja. Oni su, zajedno sa nama, radili na uspostavljanju novih poslovnih principa i organizacije poslovanja, kao i na postavci i promovisanju nove korporativne kulture. Pored dolaska internacionalnog menadžmenta, u prve dve godine, nekoliko stotina zaposlenih bilo je u

poseti i na treninzima u Abu Dabiju da bi sa Etihadom i drugim partnerskim kompanijama razmenili dobru praksu i pomogli modernizaciju poslovanja avio-kompanije. Odlaskom u Abu Dabi, u kome na jednom mestu efikasno rade predstavnici 147 različitih nacionalnosti, čovek postaje svestan značaja postojanja definisane korporativne kulture za uspešnost poslovanja.

2. Definisanje misije i vizije

Definisana vizija kompanije: Zajedničkim radom stvorićemo izuzetnu avio-kompaniju, u fokus je stavila neophodnost zajedničkog rada svih i uklapanja različitosti za dobrobit i izvrsnost rezultata kojima se stremi. Kompanija je počela da zapošljava mlade kadrove, ali i da dovodi stručnjake iz različitih oblasti. Pored toga,

controlling biznis panel / HR

prvi put su pokrenuti interni oglasi i zaposleni su dobili priliku da napreduju i dosadašnjim stečenim iskustvom doprinesu daljem razvoju. Treba imati u vidu da je u kompaniji zastupljena veoma velika raznorodnost profila – od pilota, inženjera, preko ekonomista, pravnika, do doktora medicine. U tom smislu, korporativna kultura je ono što postaje najmanji zajednički imenilac svima i okosnica je uspešne komunikacije i poslovanja.

3. Definisanje pet korporativnih vrednosti

Korporativne vrednosti: Budi odgovoran, Budi posvećen, Pruži izvrsnu uslugu, Sačuvaj integritet u svemu što radiš i Budi deo promene, definisao je izvršni menadžment krajem 2014. godine.

Nakon toga, tokom 2015. godine, organizovane su radionice sa srednjim menadžmentom tokom kojih su ove korporativne vrednosti pretočene u primere konkretnih ponašanja. Definisane na nivou ponašanja, vrednosti daju jasnu smernicu kako treba da se ophodimo u poslovnom okruženju.

4. Preseljenje u novu zgradu

Iz zatvorenog i zastarelog kancelarijskog prostora, koji je podržavao stare navike, prešlo se u novu poslovnu zgradu sa open space organizacijom i brendiranim radnim prostorom, kao i definisanim pratećim kodeksom poslovnog ponašanja.

5. Uvođenje različitih aktivnosti koje doprinose promeni korporativne kulture u sinergiji različitih odeljenja

Primer za to su uvodni treninzi za sve koji počinju sa radom (novozaposleni, praktikanti, volonteri), čime im se pomaže u prilagođavanju radnom okruženju, dok se kompaniji omogućava da pravovremeno predstavi korporativnu kulturu i očekivanja kompanije. Drugi primer je uvođenje modernih internih komunikacija –kroz mesečni interni časopis veoma popularan među zaposlenima, elektronski nedeljni bilten, organizaciju konferencija za zaposlene (town hall meeting), a upravo je u toku i postavljanje osnova za uvođenje intraneta.

Kada su u pitanju ključni činioci (stakeholders) promene korporativne kulture iz iskustva naše kompanije trebalo bi da izdvojimo sledeće: Generalni direktor je osoba koja svojim primerom i isticanjem važnosti, definiše ton promena korporativne kulture. On je neko ko razume i aktivno propagira promene, motivišući tako i ostatak menadžmenta da razume i prihvati važnost promena. Rukovodioci kompanije (od višeg menadžmenta do prvih linijskih menadžera) – kako bi se olakšalo razumevanje i usvajanje korporativnih vrednosti, tokom

2015. godine organizovali smo radionice sa srednjim menadžmentom i tako ga uključili u definisanje poželjnih ponašajnih indikatora korporativnih vrednosti. Neformalni lideri timova, oni koji su u kompaniji radili dugi niz godina i koji među kolegama i saradnicima uživaju poštovanje zbog dugogodišnjeg iskustva u industriji, takođe su predstavljali izuzetno važan činilac. Identifikovanje i pridobijanje neformalnih lidera za promenu koja se dešava bila je jedan od ključnih faktora uspeha promene korporativne kulture u Air Serbia Svi zaposleni – na kraju, liderstvo samo po sebi nije dovoljno, ukoliko nema sledbenika. U tom smislu, svi zaposleni postaju ključni činilac promena, jer od svih nas zavisi da li će i kakva korporativna kultura zaživeti i nastaviti da se razvija posle toga.

Da bi se preduzeli navedeni koraci i uključili svi činioci od značaja za uspeh promene kulture u Air Serbia, ključnu ulogu kohezionog faktora odigrali su Ljudski resursi. Kao organizaciona celina mi smo prvi morali da „budemo deo promene“, da bismo mogli iskreno i efikasno da pomognemo ostalim organizacionim celinama u tome. Da bismo uspeli u promeni korporativne kulture u našoj kompaniji morali smo da pokažemo kompetentnost na svim nivoima i strpljenje da se ponekad teške reforme sprovedu do kraja. Mislim da svi zaposleni u Ljudskim resursima Air Serbia mogu da budu ponosni što su dobili priliku da se suoče sa jednim ovako velikim izazovom, pravim profesionalnim testom koji su uspešno položili.

Aleksandra Dutina radi na poziciji direktora ljudskih resursa u kompaniji Air Serbia Aleksandru možete kontaktirati imejlom aleksandra.dutina@airserbia.com ili telefonom 064 833 1267.

controlling biznis panel / HR

VESIĆ ANIĆ

HR DIREKTOR

PIRAEUS BANKA

Be different, Be innovative, Be your best!

Odeljenje za HR u ozbiljnim, velikim i internacionalnim kompanijama ističe važnost i značaj treninga zaposlenih. I dok je jedna od glavnih i osnovnih funkcija Odeljenja za ljudske resurse upravo razvoj i trening ljudi, na žalost, dešava se, da se u kriznim vremenima upravo najviše štedi na tome. Trening budžeti se smanjuju, a to u velikom broju slučajeva dovodi do toga da se na jedan nesistematičan način pristupa razvoju zaposlenih i oni se šalju samo na najnužnije i često najjeftinije treninge.

Tako realizovane obuke ne samo da ne dovode do povećanja produktivnosti kompanije, već mogu i ozbiljno da utiču na motivaciju i zainteresovanost ljudi za pohađanje istih. U situacijama kada trening ne ispuni očekivanja zaposlenih, svaki naredni pokušaj da se zaposleni pošalju na obuke završava se neslavno i za kompaniju i za ljude. Oni prestaju da veruju firmi, postaju sve nezadovoljniji i nemotivisani zbog neispunjenih očekivanja, što dovodi do daljih problema.

Dvadeset i prvi vek nam nameće neophodnost potpuno novog pristupa ljudima, a samim tim i svim uslugama koje pružamo svojim zaposlenima. S tim u vezi, i pogled i pristup obukama i treba da bude potpuno drugačiji. Ljudi vole sve što je zanimljivo i interesantno i što može da zadovolji njihova interesovanja i potrebe za igrom, smejanjem, zabavom i druženjem. Jedna od poznatih aktivnosti/treninga u oblasti HR-a je team building. Ova vrsta treninga u osnovi zadovoljava potrebe ljudi za druženjem, komunikacijom, zabavom, smehom, igrom i

controlling biznis panel / HR

takmičenjem. Kroz razne igre i zadatke, ljudi pokušavaju da nađu rešenje, često se takmiče između sebe radeći u timu ili predstavljajući tim, a pritom, vreme provode u druženju, traženju zajedničkog rešenja i dobro se zabavljaju. U takvim situacijama, često vidimo ljude ili timove, koji u svom prirodnom okruženju u kompaniji predstavljaju suprotne strane (kod nas u bankarstvu su to front i back office, tj. sales i risk) koje zastupaju i „bore“ se za svoje stavove koji su po defaultu suprotni, kako se lepo uklapaju u timski rad i međusobno sarađuju i nalaze zajednički jezik. I ne samo to, nego otkrivaju jedni druge na potpuno drugačiji način, pa se često dešava da čujem kako su ljudi promenili mišljenje o nekome za koga su na primer mislili da je čvrst, rigidan i nekomunikativan, kako u stvari ima izražen smisao za humor, opušten je i veoma pristupačan.

Često u poslu nemamo vremena da se bavimo jedni drugima i sudove o nekome donosimo samo na osnovu posla, tako da neko ko radi u reviziji, risku, računovodstvu, finansijama i controllingu često može da ima osobine kao neko ko je opisan u prethodnom primeru. Osim rešavanja zadataka, jurnjave za blagom, paint balla ili nalaženja predmeta, team building može da bude osmišljen na potpuno drugačiji način.

U 2015. godini dobili smo ideju za organizaciju specifičnog team buildinga. Ideja je bila da svi zaposleni Piraeus banke, od top-menadžmenta do blagajnika prođu team building. Trebalo je naći nešto što će zadovoljiti potrebe većine ljudi – jurenje i traganje nije primereno i interesantno baš svima, razne sportske igre kao opcija su takođe otpale, jer nisu svi okrenuti bavljenju sportom pa bi to nekome bio napor, a ne uživanje. Razmišljajući o tome šta bi moglo biti interesantno za sve, došli smo do zaključka da je to hrana. Neki vole da spremaju hranu, a neki da je jedu – na taj način potrebe svih bi bile zadovoljene.

I tako smo krenuli u realizaciju najvećeg i najmasovnijeg projekta koga smo nazvali Team bonding sa sloganom „Be different, Be innovative, Be your best“. Skoro 400 ljudi je učestvovalo u Team bondingu . Ceo događaj je trajao deset subota, odnosno, skoro dva i po meseca.

Pravila takmičenja bila su sledeća: hrana se sprema na roštilju, tim se sastoji od pet učesnika, nije dozvoljeno učešće profesionalnih kuvara, sva jela se spremaju tokom takmičenja.

Pre samog takmičenja, svaki tim je morao da se sastane nekoliko puta kako bi se izvršili sledeći zadaci: osmišljavanje imena tima, slogan, logo, pesma, jelovnik, izgled tima (kecelja, kuvarska kapa…)

2016.

A ovako je izgledalo mesto gde se kuvalo:

Svaki tim je dobio specifična uputstva u vezi sa pripremanjem i serviranjem hrane, kao i osnovna pravila u vezi sa ocenjivanjem i raznim nagradama koje su bile dodeljene timovima. Posle veoma uzbudljivog leta i priprema oko organizacije ovakvog događaja, skoro da nije bilo lošeg komentara ili bilo kakve kritike, tako da su i „neverne Tome“ morale da priznaju da je događaj bio veoma uspešan.

Svi smo radili u timu, koji je bio sastavljen od ljudi koji inače ili ne sarađuju ili imaju otežanu poslovnu saradnju, dosta smo toga otkrili i saznali jedni o drugima, timski se trudili i borili da napravimo najbolju prezentaciju tima, najbolji slogan ili logo, potrudili smo se oko osmišljavanja dizajna kecelje i kape, pripremali smo hranu ala Jamie Oliver i trudili se da na žiri ostavimo najbolji mogući utisak kako bismo zaradili neku od nagrada, pritom smo se beskrajno smejali, družili i uživali u vremenu koje smo proveli zajedno. I nije nam bilo žao što smo i subotu i naše slobodno vreme opet proveli sa kolegama i bankom. Verujte, osećaj zadovoljstva kada uradite nešto dobro i kada projekat uspe je neverovatan!

Od tada smo svi bliži, bolje sarađujemo i dogovaramo se, a sve za dobrobit naše banke.

Bojana Vesić Antić je na poziciji HR direktor u Piraeus banci od juna 2015. godine. Pre toga je u istoj banci radila kao Deputy Head of HR od 2012. do 2015. godine, ali i kao HR Specialist u periodu od 2005. do 2012. godine. Bojanu možete kontaktirati imejlom bojana.vesic-antic@piraeusbank.rs ili telefonom 063 333 307.

Ajkula mora stalno da pliva...

Godine 2016. moja kompanija Bel Medic je dobila evropsku nagradu za kategoriju „Odnos prema klijentu“. Ova nagrada je rezultat sistemskog rada i činjenice da svi zaposleni, od najnižeg hijerarhijskog nivoa, pa sve do vrha, dele vrednosti kompanije. Uloga HR sektora u tome je ključna i ja ću vam objasniti ulogu HR-a u kreiranju vrhunskog odnosa prema klijentima.

Moj razvojni poslovni put najviše se vezuje za sektor usluga, a kada su usluge u pitanju, ljudi su glavni. Oni su ključ uspeha jer od njih zavisi kvalitet usluge, a samim tim i prihod organizacije. Jedna od privrednih grana u čijem su poslovanju ljudi najvažnija karika je upravo zdravstvo.

U Bel Medicu pacijent je u središtu pažnje i svaki pojedinac, bilo da radi u medicinskom sektoru ili u sektoru finansija, domaćinstvu, IT sektoru, marketingu, jednako je usmeren na pacijenta i svestan je njegove važnosti.

Prilikom izbora zaposlenih, pored stručnosti, znanja i reputacije koju lekar, medicinska sestra, računovođa ili controller moraju imati, ključne su lične vrednosti osobe i njena motivacija. Važno nam je da je sistem vrednosti ljudi koje biramo kompatibilan vrednostima Bel Medica. Uvek se trudimo da zaposlimo bolje od sebe jer samo na taj način možemo da idemo napred. Želimo da privučemo najbolje kako bismo oformili tim najboljih pojedinaca koji će u sinergiji pružiti pacijentima najbolju moguću uslugu.

2016.

Nakon što primimo novozaposlene, uloga HR sektora je da ih uvede u sistem i upozna sa vrednostima, procedurama i cijevima kompanije. Takođe, neophodno je da im se pokaže pravac u kom kompanija ide i mobilišu sve snage da se tim pravcem zajednički krene. Razvili smo program za uvođenje novozaposlenih u posao u okviru kojeg prvih sedam dana niko od njih ne radi na terenu i nema kontakt sa pacijentima, niti sa starijim kolegama. Ideja je da ih za to vreme obukom u učionici „naoružamo“ svim potrebnim informacijama, naučimo glavnim procedurama i prenesemo im ključne vrednosti kompanije.

Dalja uloga HR sektora je da osigura da će svaki zaposleni pružati nivo usluge koji je postavljen kao standard. U tu svrhu implementirali smo sistem praćenja učinka zaposlenih na svim nivoima. Definisali smo ključna zaduženja, odgovornosti i kompetencije za sva radna mesta u kompaniji sa fokusom na medicinskom sektoru.

Za svako zaduženje i kompetenciju utvrdili smo ključni pokazatelj učinka i očekivani stan-

dard, odnosno target. Na dnevnom, odnosno mesečnom nivou, proveravamo njihovo ispunjenje. Zaposleni u HR sektoru, kao i ostali članovi menadžmenta, imaju aktivnu ulogu u proveri ispunjenja standarda.

Svakodnevno neko iz HR sektora ili kontrole kvaliteta provodi vreme sa zaposlenima na terenu i do najsitnijih detalja ocenjuje njihov izgled, stav, ponašanje i odnos prema pacijentu. Osoba koja ocenjuje ima mogućnost da putem tableta na licu mesta unosi ocenu i komentar za svakog zaposlenog.

Svesni smo da samo motivisani i zadovoljni zaposleni mogu pružiti vrhunsku uslugu, stoga mnogo pažnje polažemo upravo na taj segment. Zaposleni dobijaju povratnu informaciju o kvalitetu svog rada na dnevnom, odnosno mesečnom nivou, a njihova zarada zavisi od mesečne ocene rada (ispunjenosti postavljenih targeta).

Tajna našeg uspeha, između ostalog, leži i u načinu na koji pristupamo žalbama pacijenata i greškama u radu. I najmanjoj žalbi pacijenta, ili neusaglašenosti sa sistemom, pridajemo veliku pažnju i analiziramo svaki detalj. HR sektor bavi se unutrašnjim analizama svih neusaglašenosti u radu i korigovanjem ponašanja zaposlenih.

Pacijentu ćemo uvek reći istinu, pa čak i kada nam ne ide u korist. Od načina na koji ćemo rešiti žalbu zavisi da li će taj pacijent ostati naš ili neće.

Motivacija je ključ uspeha. Da bi čovek bio u stanju da motiviše druge, važno je da prvo spozna i motiviše sebe. Mi se trudimo da biramo ljude koji imaju unutrašnju motivaciju, ali i menadžere koji imaju sposobnost da otkriju šta pokreće ljude.

Cilj naših menadžera nije da pokrenu ljude da rade prosečno, već da ih motivišu da rade natprosečno. A mi to radimo na različite načine. Na prvom mestu pažnju posvećujemo komunikaciji. Nosioci dobre komunikacije moraju biti menadžeri. Nihova naklonost prema zaposlenima, spremnost da saznaju njihove probleme i da ih rešavaju, omogućava zaposlenima da se osećaju sigurnije, da imaju osećaj pripadnosti kompaniji, a samim tim i osećaj samopotvrđivanja kroz rad za Bel Medic

Svaki zaposleni, od najnižeg do najvišeg hijerarhijskog nivoa, ima svest o tome kako njegov rad doprinosi krajnjem rezultatu kompanije.

controlling biznis panel / HR

Stalno ističemo na koji način svaki pojedinac doprinosi zadovoljstvu pacijenta, bilo da je u pitanju domaćica, vozač, profesor ili akademik.

Tako zaposleni ima osećaj postignuća i svrsishodnosti, i srećan je što je deo uspešne kompanije u kojoj su njegov trud i rad prepoznati. Uloga HR sektora je da svakom zaposlenom predoči jasnu sliku njegovog doprinosa i pokaže mu da se sistem nagrađivanja zasniva na tom doprinosu.

Privatno zdravstvo je brzorastuća privredna grana i nema vremena za zastajanje i čekanje. U razgovoru sa zaposlenima, kada želim da ih pokrenem na akciju i dam im snagu za dalji rad, često koristim poređenje sa ajkulom. Ajkula stalno mora da pliva da se ne bi utopila. Ako bi na sekund prestala da se kreće, umrla bi. Tako i mi znamo da neprekidno moramo da budemo u akciji i idemo napred. Lepo je kada taj trud i posvećenost prepoznaju pacijenti i menadžeri. Lepo je kada, na kraju, i stručni žiri odluči da sve to nagradi najprestižnijim priznanjem.

Samo ako biramo i gradimo bolje od sebe možemo postizati izvanredne rezultate.

Ivana Vlahović radi kao direktor ljudskih resursa u kompaniji Bel Medic od septembra 2012. godine. Pored toga radila je u kompaniji Patent Co. (2014-2015), kao i u Delta Generali Osiguranju (20062012) na različitim pozicijama u okviru HR sektora. Ivanu možete kontaktirati imejlom ivana.vlahovic@ belmedic.com ili telefonom 069 863 6736.

controlling biznis panel / marketing

NATAŠA KUZMANOVSKI

DIREKTORKA ODELJENJA IDENTITETA I KOMUNIKACIJA

UNICREDIT BANK SRBIJA

Klijent na jedan klik… (INTEGRISANE MARKETINŠKE KOMUNIKACIJE)

Pokušajte da se setite svoje reakcije kada ste prvi put čuli za mogućnost blokiranja banera i drugih pop-up reklama na internetu ili da uz pomoć digitalnih platformi možete konačno da odgledate film bez prekida, tako što ćete jednostavno premotati reklame.

Danas, više nego ikada, klijenti imaju moć da izbegnu sadržaje koji ih ne zanimaju, na taj

način što će u mnoštvu informacija sami izabrati isključivo one sadržaje koje žele da prime. Ta mogućnost je praktično izazvala marketinške stručnjake da osmisle drugačije načine oglašavanja, jer efekti tradicionalnog marketinga i klasičnog oglašavanja više nisu delotvorni.

Ovakva situacija na tržištu bila je okidač za kreiranje inovativnih pristupa klijentima,

što je dovelo do ubrzanog razvoja integrisanih marketinških komunikacija (IMK). Za razliku od tradicionalnog marketinga, u čijem fokusu je bio isključivo proizvod, integrisane marketinške komunikacije su u potpunosti orijentisane na potrebe klijenata i ogledaju se u snažnoj komplementarnoj vezi između marketinga i odnosa sa javnošću i dobroj koordinaciji svih kanala komunikacije.

Izuzetno raduje činjenica da se ova grana kontinuirano razvija, prvenstveno zato što su ljudi postali svesni strateške uloge niza komunikacionih disciplina i njihove zajedničke koordinacije. Ovo je najviše prepoznato u multinacionalnim kompanijama, kao što je i UniCredit, zahvaljujući bogatom, međunarodnom iskustvu, kao i redovnoj razmeni primera najbolje prakse iz različitih zemalja. Sve velike kompanije, a samim tim i naša banka, teže da kroz funkciju korporativnih komunikacija na kontrolisan i osmišljeni način različitim ciljanim grupama javnosti prenesu određenu informaciju. Jedna od najvećih prednosti našeg poslovanja jeste činjenica da svih 16 članica UniCredit grupe, uprkos velikim razlikama u jezicima, kulturama i načinu života, govori jednim glasom. Na taj način uspevamo da prenesemo istu poruku svim interesnim stranama, a sve u cilju postizanja jednakosti između identiteta i imidža. Kada kažem svi, mislim na sve zaposlene, jer su upravo naši zaposleni pravi ambasadori naše banke, budući da način na koji javnost doživljava zaposlene sa kojima ostvaruje direktan kontakt, bez obzira na to na kojoj se poziciji oni nalaze, predstavlja značajnu odrednicu koja utiče na njenu reputaciju.

Sa druge strane, sa ciljem da izađemo u susret potrebama naših klijenata i da im damo konkretne odgovore na izazove sa kojima se suočavaju, mi zapravo kreiramo rešenja po njihovoj meri. Uzimajući u obzir specifičnosti bankarskog sektora i večito otvorene polemike o tome šta se krije iza bankarskih pojmova, naš cilj je da se klijentima predstavimo ona -

controlling biznis panel / marketing

kvim kakvi zaista jesmo. Uzimajući ovo u obzir, našu komunikacijsku strategiju postavili smo na principima kojima se rukovodimo i u radu sa klijentima - ono što mi u UniCreditu zovemo ,,real-life banking’’. Zbog toga što razumemo da je život pun uspona i padova, verujemo da je uspeh zagarantovan upravo zahvaljujući tome što govorimo istim jezikom kao i klijent i ne obećavamo ono što ne možemo da ispunimo.

Zahvaljujući sve bržem tehnološkom razvoju, a u cilju što uspešnije komunikacije sa svim grupama javnosti, osim kombinovanja standardnih alata, kao što su reklamne kampanje, saopštenja za javnost, intervjui, konferencije za medije, nastupi na okruglim stolovima ili događaji sličnog tipa, sve veću ulogu uzmaju društvene mreže. Naime, danas je zahvaljujući društvenim medijima svaki pojedinac i sam postao medij i u prilici je da dalekosežno plasira određeni sadržaj i informacije. Osim toga što nam društvene mreže omogućavaju da uspostavimo dvosmernu komunikaciju sa klijentima, one istovremeno predstavljaju i optimalno sredstvo za aktivno uključivanje klijenata u inicijative kompanije.

Iskoristila bih priliku da pomenem da UniCredit banka najviše koristi društvene mreže upravo na taj način. Naime, zahvaljujući sponzorstvu UEFA Lige šampiona, a imajući u vidu koliko je popularan fudbal u Srbiji, UniCredit banka kontinuirano radi na kreiranju različitih inicijativa zabavnog karaktera, kao što su nagradni kvizovi i foto-konkursi, u okviru kojih i edukuje i nagrađuje učesnike.

Sa razvojem tržišta i tehnologije, ali i boljom edukacijom klijenata, razvojni put integrisanih marketinških komunikacija će nastaviti da transformiše svoje koncepte. U skladu sa tim, kompanije će nastaviti da teže inovativnim strateškim pristupima kako bi osigurale konkurentsku prednost, dok će uvođenje intergrisanih marketinških komunikacija postati imperativ i za najmanje kompanije.

Nataša Kuzmanovski je direktorka Odeljenja identiteta i komunikacija UniCredit bank Srbija od januara 2012. godine. Svoju karijeru je započela 2003. godine u kompaniji Fresh&Co, na poziciji HoReCa menadžera. U periodu od 2004. do 2012. godine radila je u marketinškoj agenciji Executive group na različitim pozicijama, od menadžera za odnose sa klijentima do direktorke Novog biznisa i Odnosa sa klijentima.

107 oktobar 2016.

DIREKTOR MARKETINGA

ORION TELEKOM

Najviše za najmanje (INTEGRISANE MARKETING KOMUNIKACIJE NA TRŽIŠTU

TELEKOMUNIKACIJA)

U današnjim uslovima poslovanja marketinška komunikacija ima veliki značaj za ostvarivanje misije, vizije i ciljeva naše kompanije. Insistiramo na dvosmernoj, interaktivnoj marketinškoj komunikaciji u kojoj aktivno učestvujemo kako mi kao kompanija, sa jedne strane, tako i postojeći klijenti, odnosno korisnici naših usluga, sa druge. U oblasti telekomunikacija efektivna marketinška komunikacija mora da bude dvosmerna u pravom smislu te reči. Na taj način se klijentima daje prilika da budu upoznati sa našim proizvodima i uslugama, da oni kroz svoje sugestije i predloge mogu da utiču na kvalitet naše ponude. To nam omogućava privlačenje i obezbeđivanje lojalnosti naših klijenata, a samim tim pozitivno utiče i na finansijski rezultat kompanije.

Orion telekom kao kompanija ima izuzetno izraženu potrebu za korišćenjem instrumenata marketinške komunikacije, jer jedino tako možemo da odgovorimo postojećim potrebama u poslovnom okruženju i informišemo javnost o svom postojanju i našoj poslovnoj misiji i viziji, a samim tim i da dobijemo kako pojedince, tako i društvene i poslovne grupe kao klijente.

Kako se naše tržište s vremenom menjalo i napredovalo, tako je i marketinška komunikacija povećavala svoju prisutnost u svakodnevnom poslovanju. Razlozi zbog kojih marketinška komunikacija za nas ima mnogo veći značaj danas nego ranije posledica su, na prvom mestu promene načina života, zatim drastičnog povećanja tržišne konkurencije, ubrzanog razvoja tehnologije, povećanja svesti i izbirljivosti klijenata... U Srbiji danas

u oblasti telekomunikacija klijenti pred sobom imaju veliki izbor najrazličitijih kompanija i lokalnih provajdera, koji u svom portfoliju proizvoda i usluga imaju mnogo sličnosti i u osnovi nude stvari koje zadovoljavaju istu potrebu. Da bismo danas uspeli da pridobijemo poverenje klijenata, svakodnevno ulažemo veliki napor u osmišljavanje efektivne i originalne marketinške komunikacije. Naš poslovni model i način poslovanja zasniva se na dvosmernoj, interaktivnoj marketinškoj komunikaciji u kojoj aktivno učestvujemo mi i klijenti, odnosno korisnici naših usluga.

Istražujući želje i zahteve klijenata, naša kompanija pravilnim odabirom i korišćenjem in-

controlling biznis panel / marketing

strumenata marketinške komunikacije trudi se da uveri klijente da su baš naši proizvod oni koji su njima potrebni. Instrumenti integrisane marketinške komunikacije koje danas svakodnevno koristimo su: ekonomska propaganda (oglašavanje), ekonomski publicitet i tržišni odnosi s javnošću, lična prodaja, unapređenje prodaje, direktni marketing, komunikacijski aspekt proizvoda i cene. Danas pomoću svih ovih instrumenata marketinški komuniciramo kako sa klijentima, tako i sa ostalim stejkholderima. Smatram da je marketinška komunikacija uspešna jedino ukoliko uključuje komunikacijske aspekte svih instrumenata marketing miksa u strategiju tržišne komunikacije. Danas, ukoliko želite da kao kompanija obezbedite kontinuitet poslovanja, jedan od preduslova je da sledite trend koji nam govori da se kod nas, kao i na svim tržištima u svetu, beleži rastući značaj integrisanih marketinških komunikacija.

Osnovni cilj integrisanja jeste da se poveća efikasnost marketing komuniciranja smanjivanjem broja izgubljenih poruka i poveća njihov uticaj na potencijalnog i postojećeg klijenta. To postižemo ciljanim pristupom u slanju preciznih poruka pojedinim ciljnim grupama, ali na konzistentan način. Ciljani pristup podrazumeva prilagođavanje poruke primaocu, a konzistentnost poruke treba da obezbedi da među porukama ne dolazi do kolizije, iako su upućene različitim ciljnim grupama, putem različitih oblika komuniciranja i različitih medija.

Korišćenjem strateškog pristupa integrisanih marketing komunikacija, potencijalne klijente vodimo kroz proces odlučivanja i kupovine tako da se oni za našu uslugu ili proizvod odlučuju što pre i da pri tom ne razmišljaju o konkurenciji. Dobro osmišljena integrisana kampanja u znatnoj meri smanjuje troškove oglašavanja, jer je usmerena i na direktne i jeftine kanale komunikacije.

Osnovna svrha IMK je dugoročna kvalitetna komunikacija kompanije sa ciljnim tržištem i korisnicima. Kompanije moraju pažljivo i proaktivno da rade, kako bi njihova komunikacija sa potrošačima i stejkholderima bila otvorena, iskrena i prijatna.

Davor Sakač je na poziciji direktora marketinga u kompaniji Orion telekom od februara 2015. godine. Pre toga je proveo dve godine u kompaniji Beohemija kao rukovodilac sektora za upravljanje projektima i robnim markama. U periodu od 2001. do 2013. godine je radio na različitim pozicijama u kompaniji Western Union (Eki Transfers). Davora možete kontaktirati imejlom davor.sakac@ oriontelekom.rs ili telefonom  064 826 2795.

109 oktobar 2016.

OLIVERA NIKODIJEVIĆ

DIREKTOR MARKETINGA

CARNEX

Ima neka tajna veza… (KAKO KREIRATI BREND)

Coca-Cola, Milka, Heinken, Shell. Microsoft, Smoki, Čokoladna bananica, Bambi, Kravica, Jelen pivo, Carnex i još mnogo, mnogo njih. Svetski poznati brendovi i naši, domaći. Nastali su u različitim vekovima i na različitim kontinentima, pod različitim okolnostima, okrenuti su različitim ciljnim grupama. Neki su još uvek živi a neki odlaze u istoriju. Kao Ronhill, ovih dana. Šta je brend? Brojne su teorije. Meni je najbliža ona da je brend skup asocijacija koje se vezuju za jedan proizvod i kreiraju emotivnu vezu sa potrošačem. Kažem emotivnu, jer da nije tako, da govorimo samo o funkcionalnim razlozima, proizvod bi bio samo proizvod. Brend ima svoje mesto u srcima potrošača. On za njih predstavlja mnogo više od običnog proizvoda. Za potrošače, brendovi imaju lik, karakterne osobine, dušu.

Potrošači vole ili mrze brendove. Vole svoje, a mrze konkurentske. Retko ćete naći nekoga ko pije koka-kolu a kaže da voli i pepsi. Uglavnom sa prezirom odmahne glavom i zatraži nešto drugo. To su suprotni polovi. Kao Zvezda i Partizan. Potrošači sa brendovima pričaju, svađaju se, maze se. I ako se slučajno razočaraju, nivo tog razočaranja je isti kao da su ih izdali njihovi najbliži. Potrošači se identifikuju sa brendovima i na taj način kvalifikuju sebe. U vreme kada se rat na pivskom tržištu u Srbiji vodio između dva velika brenda, potrošači su se definisali karakteristikama svojih izbora – bili su snažni kao Jelen, ili odvažni i hrabri kao Lav Nikada i jedno i drugo.

Brendovi ne nastaju u trenu, za mesec ili dva. Bar ne oni brendovi koji zaista traju. Potrebno je vreme da bi se ključne poruke proizvoda smestile u srcima i mislima potrošača i postale njihov izbor. U početku je mnogo više vremena bilo potrebno da bi proizvod postao brend. Sredstva komunikacije bila su ograničena, uglavnom na novine i radio. Distribucija se razvijala sporo. Prolazile su godine, a brend se kalio polako. U današnje vreme sve se dešava brzinski. Brendovi sa potrošačima komuniciraju na mnogo načina i imaju mnogo touch points – mesta gde se susreću: mesto prodaje, mediji (TV, radio, outdoor oglašavanje, štampani mediji), Internet (sajtovi, blogovi, socijalne mreže, pretraživači), promotivni i drugi događaji. Brend dotiče potrošača u različito doba dana i na

razlčitim lokacijama: na jutarnjoj kafi, u kolima dok se vozi, u autobusu dok prolazi pored megaborda, na poslu dok čita vesti na portalima, kod kuće dok kuva ručak i tek krajičkom oka i pažnje prati nešto na TV-u, u prodavnici dok pogledom prelazi preko robe izložene na rafovima, uveče u klubu ili na nekom festivalu.

Da bi neki proizvod postao brend, potrebno je da se zadovolji nekoliko ključnih uslova:

1. Da se brend obraća pravoj ciljnoj grupi

2. Da je brend indentifikovao ključnu potrebu ciljne grupe za koju daje odgovor svojim postojanjem i delovanjem

3. Da je pozicija koju brend zauzima relevantna za ciljnu grupu.

Ciljne grupe i potrebe potrošača u tim grupama se menjaju. Ništa nije večno. Od izuzetne je važnosti da brend prepozna te promene. I da ih prepozna na vreme. Ako zakasni i ne prilagodi se, izgubiće bitku na mestu prodaje. U onom odsudnom trenutku, u trenutku istine, kada potrošač ispred police u prodavnici, suočen sa više brendova, pruža ruku da uzme jedan, susreću se snaga i relevatnost brenda i emocije potrošača. Ako je brend bio previše samozadovoljan i bahat, i nije vodio računa o promenama u strukturi i karakteristikama svoje ciljne grupe, ta ruka će skrenuti levo ili desno, i sa police će uzeti neki drugi proizvod.

Pozicija brenda mora da bude utemeljena na relevantnosti u svim aspektima važnim potrošaču. Brend daje odgovor o tipu i kvalitetu proizvoda koji će da zadovolji potrebe potrošača, o pakovanju koje odgovara različitima potrebama i situacijama za korišćenje, mora da ima adekvatnu cenu (ne govorim o najnižoj, nego o onoj koju je potrošač spreman da plati), da ima svrsishodnu komunikacionu platformu razloženu po različitim tipovima komunikacije, da komunicira sa potrošačima na mestima i kroz kanale komunikacije koji su potrošačima važni. Osnova postavke odgovarajuće pozicije jeste segmentacija potrošača – kako izabrati one potrošače koji su relevantni za brend. Koje su njihove potrebe? Kako vide svet oko sebe? Šta im je važno u životu? Čega se boje? Čemu streme? Kakvu ulogu kategorija proizvoda ima u njihovom životu? A kakvu brend? Ukrštanje aspekata životnih pitanja, kategorije i brenda, pomešano sa mnogo hrabrosti, daće poziciju na kojoj se utemeljuje brend i sve njegove poruke. Zašto je

controlling biznis panel / marketing

potrebna hrabrost? Ukrštanje ova tri aspekta može da da vrlo pravolinijsku, sigurnu osnovu čija nadogradnja neće naškoditi brendu, ali ga neće suštinski ni pomeriti. Samo hrabre poruke, koje su otišle duboko u razumevanju potrošača i njegovih stvarnih potreba, mogu da daju dobru osnovu kako bi brend mogao relevatno da komunicira sa potrošačem. I da mu da dovoljno razloga da upravo taj brend bude njegov izbor. Pre i posle svega, najvažnije je da brend bude deo priče. Jer ako to nije, on nikada neće imati pravu priliku da ispriča potrošačima sve što želi i na način na koji želi, i da tako stigne do njihovih srca. Ovo je ključni postulat za kreiranje pozicije i komunikacije za brendove, a koji je postavio Alexis Nasard, nekadašnji CMO u kompaniji Heineken. Sve ono što brend Heineken poslednjih godina poručuje svojim potrošačima širom sveta, i način na koji to radi, ima taj jedan osnovni cilj – da postane deo njihovih priča. Kada razgovaraju sa prijateljima, sa porodicom, na poslu sa kolegama, sami sa sobom. Kada razgovaraju sa brendom. Komunikacija brenda sa potrošačem mora da ima meru. Ne da bude svedena, nego da ima pravu meru i da brend može da je predstavi kao svoju - da ni jedan drugi brend ne može da polaže pravo na nju. Brendovi se na taj način bore za svoje mesto u srcima potrošača. Komunikacija koja ne može da se veže za brend je beskorisna. Nekada, na početku života brenda, komunikacija je ta koja kreira imidž. Njena utemeljenost može da bude realna, a može da bude i kreirana priča. Ukoliko je komunikacija dovoljno dugo konzistentna, ubedljiva istrajna, s vremenom će ta poruka da postane opredeljujući faktor i deo brand equity-ja. Utemeljenost se bazira na karakteristima i prednostima proizvoda u sastavu, kvalitetu sirovina, kvalitetu pakovanja, specifičnostima u proizvodnom procesu, posebnostima u prilikama za korišćenje. Proizvod može da nudi isto što i drugi, ali suštinski drugačije postavljeni elementi brand equity-ja napraviće razliku i tako mu dati priliku za razvoj.

Veliki brendovi uvek imaju viziju. Nju moraju da imaju i oni koji se brendovima bave. I čuvaju ih. I razvijaju. Udruženi, kreiraju najfantastičnije priče i postaju bedževi na našim reverima koje mi, potrošači, ponosno nosimo kao odrednicu svog životnog stava i izbora.

Olivera Nikodijević je na poziciji direktora marketinga u kompaniji Carnex od avgusta 2015. godine. Pre toga je radila u više kompanija, poput United Serbian Breweries – Member of Heineken group, InBev (Apatinska pivara), Synergy Leo Burnett, McCann-Erikson. Oliveru možete kontaktirati imejlom olivera. nikodijevic@carnex.rs ili telefonom 064 851 4309.

MILOŠ JAUKOVIĆ

POTPREDSEDNIK ZA LOGISTIKU

I UPRAVLJANJE POSLOVNIM PROCESIMA

I ČLAN IZVRŠNOG ODBORA

DELEZ SRBIJA

Lakše je biti potpredsednik, nego tata dve tinejdžerke

Bez problema nosi se sa velikim izazovima na poziciji potpredsednika za logistiku i upravljanja poslovnim procesima u kompaniji Delez Srbija. Veliki ljubitelj prirode, Miloš Jauković u šali kaže da je lakše biti menadžer u velikoj kompaniji nego tata dve slatke tinejdžerke.

Coca-Cola HBC, u kojoj ste ranije radili kao i Ahold Delhaize su dve velike svetske kompanije. Prva je proizvođač, dok je druga maloprodajni lanac. Šta su sličnosti, odnosno razlike između ova dva sistema?

U oba slučaja radi se o velikim multinacionalnim kompanijama koje deo globalnog poslovanja realizuju i na tržištu Srbije. Samu delatnost, kao i moje uloge i odgovornosti u ove dve kompanije teško je direktno uporediti. Ono što im je zajedničko, jeste da podstiču timski duh, da posvećuju dosta pažnje razvoju zaposlenih i da nude velike mogućnosti za učenje i lično napredovanje.

Delhaize je 2014. godine izgradio

Distributivni centar u Staroj Pazovi. Koliko je vredna ta investicija i šta ona znači za poslovanje sistema?

Ukupna vrednost investicije u prvu fazu

Distributivnog centra u Staroj Pazovi iznosila je 50 milion evra. Neke od najvažnijih prednosti centralizovanog snabdevanja iz novog DC su: centralizovana ulazna kontrola kvaliteta, rokova trajanja i sledljivosti proizvoda, bolja svežina proizvoda isporučenih iz distributivnog centra, smanjenje prosečnog dnevnog broja is-

poruka, uz povećanu nedeljnu frekvenciju isporuka u odnosu na model direktnog snabdevanja, brži odziv i veća fleksibilnost isporuka, pojednostavljenje i smanjenje administrativnih poslova u vezi sa prijemom robe u maloprodajnim objektima, unapređeno centralno upravljanje povratnim tokovima robe.

Nalazite se na poziciji potpresednika za Logistiku i upravljanje poslovnim procesima. Koje sve oblasti pokrivate?

Osnovni zadaci sektora logistike su prijem, skladištenje i isporuka proizvoda do svih maloprodajnih objekata naše kompanije, uz poštovanje najviših standarda bezbednosti i kvaliteta hrane. Kao sastavni deo ukupnog lanca snabdevanja, logistiku odlikuje rad u izuzetno zahtevnom i promenljivom okruženju.

Supply chain postaje jedna od glavnih oblasti u modernom biznisu, a posebno u maloprodaji. Da li možete brojkama da nam dočarate kompleksnost ovog posla?

Sektor logistike u kompaniji Delez Srbija zapošljava više od 800 ljudi. Svakodnevno, prema

porudžbinama iz 400 prodavnica pripremimo više od 200.000 kutija i isporučimo oko 4.000 paleta kroz 1.000 do 1.200 isporuka. U sistemu posedujemo više od 200 kamiona različitog kapaciteta, koji u ovom periodu godine dnevno realizuju prosečno 320 ruta.

Controlling je alat koji menadžerima pomaže da donesu odluke. Kakva je Vaša saradnja sa controllerima?

Rekao bih gotovo svakodnevna i veoma važna. Kao neko ko je odgovoran za deo operativnih procesa u maloprodajnoj kompaniji, controllere doživljavam kao navigatore koji nam pomažu u efikasnijem obavljanju svakodnevnih poslova, analizi ostvarenih rezulta i operativnom planiranju.

Menadžeri dobijaju veliki broj izveštaja. Kako kod Vas izgleda proces izveštavanja i šta prema Vašem mišljenju čini dobar izveštaj?

Dobar izveštaj pre svega mora biti tačan i pouzdan kako biste iz njega u svakom trenutku mogli da dobijete neophodne informacije za donošenje poslovnih odluka. Lično podržavam struktuirane izveštaje sa kratkim rezimeom, u okviru koga se sumiraju najvažnije činjenice. Na kompanijskom nivou dosta pažnje poklanjamo stalnom unapređenju sistema izveštavanja.

Diplomirali ste mašinstvo, bavite se maloprodajom, a controlleri često dolaze iz finansija. Koliko je teško ili lako komunicirati sa controllerima?

U osnovi svega je timski rad i pravovremena dvosmerna komunikacija između timova. Ako od

početka stvari postavite na svoje mesto i zajedno definišete koje važne parametre želite da pratite i na koji način da organizujete izveštavanje, onda sve funkcioniše jako dobro.

Svaki dan donosite veliki broj odluka. Koja je najteža odluka koju ste morali da donesete?

Neprocenjivo iskustvo i znanje koje sam stekao radeći u kompaniji Delez Srbija dokaz su mi, da sam pre 5 godina uradio pravu stvar kada sam odlučio da pređem u ovu kompaniju. Prihvatanje odgovornosti i izazova koje su me čekali sa novom pozicijom su tada bile hrabra i ne tako laka odluka za mene.

Menažeri često rade i preko 100 časova nedeljno. Kako uspevate da se izborite sa stresom?

Živimo i radimo u vremenu velikih i brzih promena, koje same po sebi mogu da budu izvor stresa. Dobro planiranje i priprema za mene su jako važan korak ka ostvarenju bilo kog poslovnog ili životnog cilja. Uspevam da svoje poslovne aktivnosti organizujem tako da slobodno vreme mogu u potpunosti da posve-

tim porodici i prijateljima. Volim da putujem i aktivno provodim deo svog slobodnog vremena u prirodi.

Imate i dve slatke tinejdžerke. Da li je teže biti tata ili menadžer?

Kako su u pitanju tinejdžerke, rekao bih da je ipak odgovornije biti dobar tata.

Ako biste mogli, u koji istorijski period biste se vratili?

Radije bih iskoristio priliku da „otputujem“ u budućnost! Ali isto tako, voleo bih da da osetim život ljudi iz 20-tih i 30-tih godina XX veka.

Šta mislite, kako bi Vas prijatelji opisali?

Uvek dostupan i spreman da pomogne.

Miloš Jauković je potpredsednik za logistiku i upravljanje poslovnim procesima i član izvršnog odbora kompanije Delez Srbija. U istoj kompaniji bio je na poziciji Supply Chain Director za Srbiju, BiH i Crnu Goru (2011-2012), kao i Supply Chain Director u Delta Maxi Group (2007-2011). Miloš je radio i u kompaniji Coca Cola HBC od 1997-2002. godine na pozicijama National Key Account & Regional Sales Manager i Executive Director Coca-Cola HBC Montenegro. Miloša možete kontaktirati imejlom milos.jaukovic@delhaize.rs ili telefonom 011 715 3546.

PREZENTACIJA

SOFT SKILLS

ZEN PREZENTACIJA

Spomenar

Na 30 laganih ličnih pitanja u ovom broju magazina Controlling odgovarali su Lucija Vesić , Ivana Musin Pej�ić , Saša Ćirić i Irina Zdravković

1. Nadimak

2. Kada si rođena?

3. Koji si znak u horoskopu?

4. Da li imaš brata ili sestru?

5. Omiljeni parfem

6. Tvoje vrline

7. Tvoje mane

8. Omiljeni predmet dok si bila u školi?

9. Šta si želela da budeš kao dete?

10. Kako se zovu tvoj najbolji drug i drugarica?

11. Tvoja omiljena boja

12. Omiljeni glumac i glumica

13. Omiljeni filmovi

14. Omiljena serija

15. Kada bi mogla da budeš lik iz crtaća, koga bi odabrala?

16. Koju vrstu muzike slušaš u slobodno vreme?

17. Omiljena pevačica ili pevač

18. Omiljena knjiga ili pisac

19. Šta radiš u slobodno vreme?

20. Kada bi postojao vremeplov u koje doba bi se vratila?

21. Omiljena životinja

22. Omiljeni sport

23. Za koji sportski klub navijaš?

24. U kojoj zemlji i gradu bi volela da živiš?

25. Da li imaš simpatiju i kako se zove?

26. Omiljena hrana

27. Omiljeno doba dana

28. Šta misliš o vlasniku leksikona?

29. Pitanje za vlasnika leksikona?

Ovde će vlasnik leksikona napisati odgovor

30. Nešto za kraj!

controlling spomenar

LUCIJA VESIĆ

Menadžer finansijskog controllinga za Srbiju i BiH

HENKEL SRBIJA

1. Luce, Lucy, Laura, Lucky 2. 22.9.1972.

3. Devica

4. Sestru Lidiju :-)

5. Imam ih dva: Chanel Chance Tender i Shiseido Zen

6. Uporna, iskrena, disciplinovana, empatična

7. Tvrdoglava, ponekad impulsivna

8. Matematika, engleski i nemački jezik

9. Stjuardesa

10. Goran, Ivana

11. Bela, tirkizna

12. Al Pacino i Meryl Streep

13. P.S. I love you, The Notebook

14. Prijatelji, Alo Alo

15. Wendy iz Petra Pana

16. Sve što mi prija trenutnom raspoloženju

17. Nemam

18. Moja Afrika

19. Čitam, šetam, provodim vreme sa decom i kuvam :-)

20. Ne bih menjala ovo doba ni za jedno drugo, uživam u datim trenucima

21. Konj

22. Skijanje

23. Porodično za Crvenu zvezdu

24. Italija

25. Imam, zove se Vanja i ima 2 godine :-)

26. Mediteranska hrana i egzotično voće

27. Jutro

28. Mislim da uživa u poslu kojim se bavi…

29. Šta može te istera iz takta?

Loš stav koji neki ljudi imaju - "neću... ne znam... ne mogu... nisam ja kriv... jadna sam ti ja"

30. "We can't direct the wind but we can adjust the sails."

IVANA MUSIN PEJČIĆ

Business Controller SIEMENS

1. Iva, Ivek

2. 28.05.1982.

3. Blizanac

4. Sestru Bojanu

5. Burberry, the beat

6. Vesela, inteligentna, društvena

7. Tvrdoglava, isključiva, impulsivna

8. Filozofija

9. Astronaut

10. Borko i Bojana

11. Plava

12. Sam Rockwell, Diane Keaton

13. Zvezdane staze

14. Vikinzi

15. Pera detlić

16. Punk, rock, reggae

17. Bob Marley

18. Viktor Peljevin, Snuff

19. Provodim vreme sa bebom, kuvam, čitam

20. Sve u svoje vreme, ne bih se vraćala unazad

21. Pas, delfin

22. Aikido

23. Porodično za Crvenu zvezdu

24. Prag

25. Zaljubljena u supruga Borka

26. Jabuke-nakisele!

27. Zora

28. Energičan, strastven, inteligentan, komunikativan

29. Šta smatraš najvećim uspehom u životu?

Milica, Pavle i Sandra.

A u poslednjih godinu dana i Popi (av, av...).

30. Live long and prosper!

oktobar 2016.

1. Sale, Ćira

2. 29.07.1978.

3. Lav

4. Brata

SAŠA ĆIRIĆ

Direktor marketinga i razvoja FRIKOM

5. Nemam omiljeni, koristim razne

6. Uporan, odlučan, pozitivan

7. Perfekcionizam

8. Istorija

9. Dirigent

10. Dejan, Branko, Joca

11. Plava

12. Michael Douglas

13. Igra, Lov na zeleni dijamant

14.

15. Duško Dugouško

16. Pop, rock

17. David Gilmour

18. Kad su cvetale tikve

19. Provodim vreme sa porodicom, kad stignem igram squash, a zimi vozim snowboad

20. U doba renesanse

21. Lav

22. Vaterpolo

23. Partizan

24. Srbija, Vrnjačka Banja

25. Ne, odavno sam zaljubljen u svoju suprugu.

26. Riba

27. Podne

28. Stručnjak za controlling i veoma preduzimljiv.

29. Na koji način su controlling i marketing povezani?

Moja draga (marketing): "Treba da investiram u Birkinku...". Ja (controlling): "Ali, ROI je nizak..."

30. Čestitam na odličnom magazinu.

1. Riri

2. 18.01...

3. Jarac

IRINA ZDRAVKOVIĆ

Marketing and Communications Director BISNODE

4. Dve sestre, Marinu i Tijanu, kao i i brata Đorđa

5. Desire, D&G

6. Komunikativna, dinamična, odana

7. Ne opraštam glupost i lenjost

8. Hemija

9. Lekar kao mama

10. Beba, Bane, Anita, Ivana

11. Bež, crna, siva

12. Brad Pitt i Scarlett Johansson

13. Izgubljeni u prevodu

14. Big bang theory, Prijatelji, Gordost i predrasude

15. Uspavanu lepoticu

16. Pop, rock, house

17. Lenny Kravitz

18. Haruki Murakami

19. Putujem, plivam, skijam

20. U doba studija

21. Moj pas Lili

22. Plivanje, veslanje

23. Porodično za Crvenu zvezdu

24. Španija

25. Imam partnera, koji je moja simpatija

26. Sarmice od zelja

27. Ve�e

28. Pun energije i strastven u svom poslu

29. Na kom ostrvu sebe vidiš za 20 godina? "Ostrvo Trešnja", 10 km od Avale i pravim kozji sir

30. If you can dream it, you can do it!

LONGINES SYMPHONETTE kolekcija

Elegancija i moda zajedno u harmoniji

Longines je predstavio novu kolekciju Longines Symphonette, dizajniranu kao savremena interpretacija elegancije, koja je inače vrlo značajna za švajcarski brend

Jedinstveni ovalni oblik kućišta, sofisticirana narukvica i rafiniran brojčanik sa različitim varijacijama besprekorno su ukomponovani. Longines Symphonette kolekcija je savršeni ukras za žene čiji život je zamišljen kao večita simfonija.

Od svog osnivanja, Longines ima sluha za svoje ženske potrošače. U skladu sa svojom bogatom istorijom u svetu časovničarstva, gde je proizvedeno mnogo legendarnih modela koje su nosile brojne elegantne žene, Longines predstavlja novu kolekciju za dame koje vole modu - Longines Symphonette Ovi modeli će oduševiti ljubitelje šik i trendi estetike, a pri tom ostaju verni eleganciji koja karakteriše Longines brend.

Kolekcija je dostupna u 4 dimenzije - XS, S, M i L, ovalno kućište od čelika sa ili bez dijamanata, mehanizam je kvarcni. Sa sofisticiranom čeličnom narukvicom u dezenu mreže ili u verziji sa narukvicom od prirodne kože aligatora, ovi satovi su vodootporni do 30 metara dubine.

Kao oda ženama XXI veka, Longines Symphonette modeli dizajnirani su za žene koje vole da nose moderan a ipak elegantan sat.

Turn static files into dynamic content formats.

Create a flipbook
Issuu converts static files into: digital portfolios, online yearbooks, online catalogs, digital photo albums and more. Sign up and create your flipbook.