AXYS Tunnel Public Address Solutions for Tunnels Brochure

Page 1


PUBLIC ADDRESS SOLUTIONS FOR TUNNELS

Intelligent Solutions for Delivering Speech Intelligibility

Our mission – To deliver clear and intelligible announcements in tunnels.

WHY DO YOU NEED A PUBLIC ADDRESS SYSTEM IN A TUNNEL?

Road tunnels are very unique environments. Keeping passengers safe and on the move are the key priorities for tunnel managers and operators. A good PA system can help overcome some of the challenges faced on a day-to-day basis by providing an effective means of communication between the tunnel operators and tunnel users.

In a tunnel the PA system is the only way of communicating with the passengers once they are outside their vehicles. More often than not these systems are now Public Address/Voice Alarm systems, so they are also used as the primary form of communication in the event of a fire or other emergency.

In the past some tunnels have chosen not to install PA systems because they realized that it was impossible to deliver clear messages with conventional loudspeaker solutions. AXYS Tunnel by HARMAN have made it our mission to provide solutions that can deliver clear and intelligible messages.

What did they just announce?

You wouldn’t accept an email with half the words missing as an effective form of communication so why accept an unintelligible PA system? The most effective Public Address/Emergency Sound system is the one that delivers a clear and understandable message the first time. In an emergency situation this means that passengers can act quickly and precisely to the message and in more dayto-day scenarios it means that tunnel operators can effectively communicate to tunnel users to prevent minor incidents escalating into larger emergency scenarios.

So what's the big deal about a Public Address system? It's just speakers, some amps and a microphone isn't it?

Road tunnels are very difficult acoustic environments which pose a significant challenge to the sound system designer. Conventional loudspeaker solutions simply don’t perform well enough in this environment so another solution is required.

So what's the solution?

Well back in the late 1990’s the AXYS team embarked upon a research project to develop a loudspeaker specifically designed to meet the challenges of the tunnel environment, the AXYS ABF260 loudspeaker was the result of this research project. The ABF is designed to deliver the best possible intelligibility in the very challenging acoustic environment of a tunnel.

The AXYS ABF-260 is designed to be the ultimate message delivery service in tunnels; delivering clear and intelligible announcements to the occupants of a Tunnel.

AXYS began fundamental research into tunnel acoustics and the behavior of sound systems in tunnels. This research project resulted in the development of the ABF tunnel horn technology

First Generation ABF

WHY DON'T CONVENTIONAL LOUDSPEAKERS WORK?

Tunnels are very challenging environments for sound system designers. When designing a sound system there are several factors to consider. The key factors are:

Poor acoustics – The reverberation and reflections within a tunnel are not conducive to achieving high levels of speech intelligibility. This is due to the acoustically hard properties of tunnel surfaces (walls, road, etc.). Around 95% of the sound energy bounces (reflects) back which means it takes a long time for sound to “die down” degrading the quality of the speech signal. In acoustic terms this means that there is a large amount of reverberant energy. Because of this reverberation it is often difficult to achieve a good Direct to Reverberant Ratio (that is the ratio of direct sound to reverberant sound) which is essential for achieving high levels of speech intelligibility. There are two ways that you can improve the intelligibility of a system: The first would be to install absorption within the tunnel (which is costly and impractical). The alternative is to use highly directional loudspeakers.

REFLECTED SOUND (REVERBERATION)

Small conventional loudspeakers have poor directivity and cannot throw sound over large distances which means that they have a very poor direct to reverberant ratio and are not suitable for use in tunnels.

Noise – Noise generated by cars and ventilation systems creates a poor signal-to-noise ratio. There are two ways to combat the problems of noise. One is to use quieter ventilation systems (often not a practical solution) the other is to use a high power horn, that will ensure that you achieve a good Signal-to-Noise Ratio and therefore the highest level of speech intelligibility possible within the limitations of the acoustic environment.

Small conventional loudspeakers cannot produce high sound pressure levels. Which means you will always have a poor signal-tonoise ratio; this makes them unsuitable for use in tunnels.

Distortion – Distortion caused by the loudspeaker system. Distortion can have a negative affect on how easy it is to understand a message within a tunnel. Many conventional folded horn designs have high distortion levels so it is essential to use a low distortion horn.

Small conventional loudspeakers often have high levels of distortion especially when they are asked to deliver high SPLs; this makes them unsuitable for use in tunnels.

DIRECT SOUND
DIRECT SOUND
BACKGROUND NOISE

THE SOLUTION - ABF-260 TUNNEL HORN

The ABF-260 has been specially developed for use in road traffic tunnels to form part of the public address/emergency sound system and has already been used in highly successful installations all around the world.

The current ABF-260 is the second generation ABF. This second generation horn has a higher SPL capability and enhanced ingress protection. Both ABF-260 variations are EN54:24 certified.

The ABF’s low profile and its ability to produce high sound pressure levels with negligible distortion make it the perfect solution for lowceiling noisy environments like traffic tunnels. A single ABF is capable of covering large distances within a tunnel environment.

For tunnels with a very small vehicle envelope, a low profile version of the ABF is available.

The key advantages of the ABF approach include:

• Superior Speech Intelligibility

• Minimum number of sources

• High Directivity

• High Power

• Low Distortion

• Large front-to-back ratio

• Long throw

• Superior sound quality when compared to conventional horns

• Fewer installation points resulting in reduced install and maintenance costs

ABF-260 – Height 345 mm
Low profile ABF-260 – Height 230 mm
ABF drilling template
ABF-260

Designed for tunnels - The ABF-260 has not only been designed to deliver clear and intelligible messages but also to meet the demands of the tunnel environment. The primary purpose of any loudspeaker is to move air and create sound.

The ABF comprises of an impact resistant flare, which is manufactured using a fire-retardant polyamide (PA 6) with flammability specification according to UL94 with flame classification V0, a 2” exit (4” voice coil) high performance compression driver that can be tapped at 50 or 100 Watts and a 100 V impedance transformer. The exit or mouth of the flare is fitted with a stainless steel grill to help prevent water from entering the flare during tunnel cleaning. This grill has been specially designed so that it does not affect the acoustical performance of the ABF-260.

Easy to install and maintain – With ABF there are fewer installation points compared to conventional loudspeaker systems. To assist with installation an optional drilling template is available.

Highly reliable systems – The cost of servicing equipment in tunnels is very high. For this reason AXYS Tunnel by HARMAN uses high quality components and a thorough quality assurance system to ensure that the ABF is reliable throughout its lifetime.

Meeting standards - The ABF-260 is manufactured at HARMAN’s Pecs manufacturing facility located in Hungary. This facility is ISO 9001 & ISO14001 certified.

GENERAL DESIGN GUIDELINES

The ABF has been designed to be mounted against the ceiling of the tunnel and can be used on either curved or flat ceilings. It’s low profile ensures that it remains outside of the vehicle envelope, for tunnels with very little space between the tunnel ceiling and vehicle envelope then a low profile version of the ABF is available.

The following principles can be used as initial design guidelines. However, loudspeaker quantities and positioning should always be verified by a suitable qualified system designer/consultant.

Loudspeaker placement: Typically the ABF will be placed above the lane markings. However, this is not always practical due to other systems e.g. lighting. The color coded zones below show where the loudspeaker may be placed as an alternative.

Loudspeaker inter distance: In a two lane tunnel ABF units are mounted typically every 50 meters on the tunnel ceiling and are delayed to ensure

In wider tunnels the ABF units are mounted above the lane markings every 50 meters on the tunnel ceiling and are delayed to ensure that the system is properly time aligned. E.G. A three lane tunnel would have 2 ABF every 50 meters and a 4 lane tunnel would have 3 ABF’s every 50

DETAILED DESIGN & VERIFICATION

Common errors

Unfortunately some system designers try to muddle through the design process for a tunnel system without properly understanding:

• The acoustic environment in a tunnel, it should be noted that statistical designs based on volume and RT are not valid.

• Which electro-acoustic properties are important.

• How to accurately predict and measure system performance.

• Still use RASTI (Rapid Speech Transmission Index), which is an outdated, flawed and obsolete measurement. Use an older obsolete version of IEC 60268-16 for STI (Speech Transmission Index) calculations.

• Measure system before and report system results without noise.

Modelling

Typically electro-acoustic modeling software is used to predict the performance of a sound system in a road tunnel. In a road tunnel the reverberation time, although important to the calculation of STI, is not as dominant a factor as in other acoustic environments. The strong early reflections significantly affect system performance and for this reason STI should NEVER be calculated on a statistical basis for road tunnels. STI should always be predicted using the Ray Tracing approach using software such as CATT Acoustic, EASE AURA or Odeon.

Measuring and reporting

When measuring a system STIPA (Speech Transmission Index –Public Address) is typically used; this is because it also takes into account the effects of distortion on the result. In The Netherlands, for example, the agreed standard for road tunnels is 0.45 STI (which differs from the 0.5 value given in PA/VA standards) with the maximum background noise present; in some older tunnels in Europe it is not possible to achieve this STI without adding acoustic absorption to the tunnel or reducing the background noise level.

3D Geometry from modelling software
STI results from modelling software

WHAT MAKES THE ABF UNIQUE?

The patented Asymmetric Boundary Flare (ABF) geometry is based on the principle of using acoustical mirroring to obtain a flat coherent wave front. The ABF is designed to be mounted on the ceilings of road tunnels, the ceiling then acts as a waveguide; reducing lateral reflections and obtaining a coherent wave front.

Ceiling Reflections

Horn mounted 20cm from ceiling

The image above is a cross-section view comparing the direct sound frequency response of an ABF to a Symmetric horn. As you can see the Symmetric horn suffers significantly from interference caused by the ceiling reflection. It can be clearly seen that the ABF does not suffer from this problem.

This principle means that an ABF horn can provide a high power and high directivity while at the same time offering a wide frequency response and exceptional sensitivity.

Directivity

Generic horns and even symmetrical horns generally have poor directivity (they do not control the dispersion of the sound well and throw sound out in all directions) and suffer from a poor front to back ratio. Due to the patented ABF technology combined with the large size of the ABF horn we are able to provide a higher front to back ratio and greater directivity than other horn technologies. This benefits the ABF in two ways: (1) Energy from additional horns combines with minimum interference creating a coherent wave front that travels along the tunnel (2) Weak rear radiated energy causes minimum interference. See https://axystunnel.com/products/abf-260 for simulation.

Symmetrical
ABF mounted on the ceiling
Horn
Horn
Weak rear energy causes minimum interference

INTELLIGIBILITY AND SPEECH TRANSMISSION INDEX (STI)

UJ I HG FE DC BA A+

Public Address/Emergency sound systems in tunnels are part of an emergency system. Therefore they have to comply with strict standards and regulations. Most of these standards demand that the system is capable of achieving 0.5 STI with the maximum background noise. However, tunnels are very challenging acoustic spaces and 0.45 STI with maximum background noise present is a more realistic target. This 0.45 STI value is now specified in many national tunnel standards which in this respect deviate from EN/IEC standards.

Good practice for Public Address/Emergency Sound systems in tunnels is to design systems that:

• Achieve an average of 0.45 STI. This must be predicted and measured with level dependent masking and with the specified background noise level. Background noise levels should be specified in octaves and include traffic noise as well as fan noise.

• Are Independently verified. The system performance should be verified by an independent acoustic consultant.

The accepted objective measure to quantify the quality of voice transmission is the Speech Transmission Index, STI. This is determined and described by the International Standard IEC 6026816:2020.

The STI measurement has to take into account the Background Noise Levels (BNL) and Masking Effect at high sound pressure levels. Tunnel Background Noise Levels are estimated to be 96 dB(A) sum of traffic noise and fan noise, considering 70km/h speed in the tunnel. These BNL may vary considerably from tunnel to tunnel.

Due to the high BNL the PA/VA system has to output a SPL of 105 dB(A). Therefore there is a lot of penalization in the STI figures due to the Masking Effect at high Sound Pressure Levels.

When we compare a symmetric horn (which is one of the better standard solutions that is available) with an ABF you can clearly see that there is a huge difference in performance when you model the system performance at 105 dBA with the background noise

THE CHALLENGE - DELIVERING INTELLIGIBILITY

Achieving intelligible speech reproduction in highly reverberant and acoustically complex spaces has never been easy. Over the last two decades the AXYS team has developed a comprehensive set of products to help Sound System Designers solve this problem. ABF tunnel horns have set new benchmarks in people’s perception of what can be achieved in these troublesome acoustic environments.

But what happens when a specification demands that you need to meet a specific STI (Speech Transmission Index), in difficult circumstances? For example, when a high Sound Pressure Level is required and you have a poor signal-to-noise ratio? Which is exactly the situation in a tunnel.

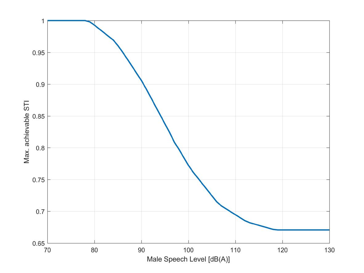
Even when designing with highly directional and low distortion ABF Tunnel horns, you face significant difficulties. Changes in recent years to the STI standard (IEC 60268-16) mean that you get “penalized” when the sound level exceeds 80 dB(A) (male speech spectrum). In fact if your system is operating at 105 dB(A) then the maximum achievable STI in an anechoic environment is around 0.72, and around 0.79 at 100 dB(A). When you factor in the difficult acoustics and high background noise levels found in a tunnel then all of a sudden it becomes even more challenging to achieve a specified STI value.

The graph opposite shows how the STI measurement is penalized as the Sound Pressure Level increases. This data is based on a loudspeaker with “a perfect transfer function” in an “anechoic space”.

PA/VA (Public Address/Voice Alarm) systems are typically required to achieve a minimum rating of the space (i.e.: average STI minus standard deviation) which equates to an STI of 0.45 - 0.5 (depending upon the relevant in country standards). This criteria needs to be met with typical background noise levels present. In a busy road tunnel this could be as high as 90-95 dB(A). The sound system needs to operate at very high sound pressure levels to achieve a sufficient signal-to- noise ratio under these conditions.

One solution to improving the signal-to-noise ratio would be to increase the Sound Pressure Level, but as we have seen previously the higher the SPL the more the STI calculation penalizes you. It’s not as simple as just “turning it up”.

Note system equalization can have a significant effect on the measured STI value.

THE SOLUTION - OPTIMIZE EQUALIZATION FOR STI

Carefully optimizing the equalization of the system ensures the highest possible STI.

The AXYS team developed the OpSTImizer ®; a PC based measurement and equalization tool, to allow our R&D engineers measure STI using the STIPA method and to “OpSTImize” the EQ.

The OpSTImizer allowed us to evaluate the sound system’s performance under various noise conditions and to develop a Tunnel EQ curve which can be used by our customers as the starting point for on site equalization..

This provides those commission systems with a great starting point for equalization. Correct system equalization during comissioning maximizes the achievable STI values for the defined background noise conditions. Testing has shown that an improvement of up to 0.1 STI can be gained. when compared to a “flat” system.

Finally, this Tunnel EQ Curve can be easily uploaded into AXYS IndustryAmp products. The on board EQ within the IndustryAmp can then be used to further equalize the system to meet the specific demands of the project.

THE AXYS TUNNEL SOLUTION

AXYS realize that while the loudspeaker is critical to the success of the system it is only part of the solution. Over the years we have developed a Public Address solution for tunnels that has been specifically designed to meet the needs of the market. Key components of this system include:

AXYS Industry Amplifiers

The AXYS PB-400 and PB-800 Industry amplifiers are, high-power, 4 and 8-channel audio power amplifiers designed for use in critical systems. They are designed to drive 100 V line loudspeaker systems and are equipped with on-board DSP allowing gain, EQ, delay and other parameters to be controlled from a remote location using WinControl software, via DANTE™. The amplifiers are fully monitored, with automatic fault detection and reporting. Inputs may be either analogue audio (standard 0 dBV balanced audio) or digital audio via DANTE™

Features include:

• On-board DSP and RISC processor.

• 16 digital inputs via DANTE™.

• Adjustment of per-input level, EQ.

• 17 digital outputs via DANTE™.

• Adjustment of per-output level, EQ and delay.

• DSP-based autogain and compression algorithms.

• Control via DANTE™ from WinControl software*.

• DANTE™ interface is fully redundant for both digital audio and control data.

Octadrive DSP

The Octadrive DSP has integral 32-bit audio digital processing and a bi-directional DANTE™ interface. The unit may act as an analogue break-in/distribution amplifier with the added advantage of highly configurable on-board signal processing, or form part of a DANTE™ based audio system, with all inputs and outputs being in the digital domain. In this case, the analogue connectivity can be used as an emergency backup signal path, in the event of failure of the digital audio source.

The DSP (Digital Signal Processing) allows control of gain, EQ and delay for each input and output. Control of the DSP functions are via AXYS’s WinControl software, which uses DANTE™ control data capacity for communications.

Features include:

• On-board DSP and RISC processor.

• 16 digital inputs via DANTE™.

• 2 analogue inputs and 8 analogue outputs (all transformer coupled).

• 17 digital outputs via DANTE™.

• Adjustment of per-input level, EQ and delay.

• Adjustment of per-output level, EQ and delay.

• DSP-based autogain and compression algorithms.

• Control via DANTE™ from WinControl software.

• Built-in headphone amplifier for monitoring purposes. *DANTE™ devices do not have an RS-485 interface

CERBERUS

Cerberus is a dedicated surveillance hub which can be interfaced with other system components - either AXYS products or those of other manufacturers. The unit can be programmed to recognize fault conditions in connected equipment via 32 digital and 2 analogue inputs, and to report faults in a variety of ways, including RS-485 messages and 8 internal volt-free changeover relays.

can then be achieved at a remote location, and/or secondary backup components can be automatically brought on-line when pre-defined failures occur.

Features include:

• 32 programmable digital inputs.

• 2 programmable analogue inputs.

• 8 programmable isolated changeover relays.

• 2 internal failure relays.

• Bi-directional RS-485 interface with loop through.

• Control via RS-485 from WinControl software.

Any system components – for example, digital audio processing units, UPS’s or emergency sound stores - which are provided with a “fault” tally or “watchdog” output can be connected to Cerberus. Full surveillance of all components in the audio system

LOUDSPEAKERS FOR CROSS PASSAGES, PORTALS AND REFUGES

There are a wide range of products from HARMAN Professional’s JBL Brand which are suitable for use in cross-passages, portals and refuges.

JBL Professional AWC62

SYSTEM EXAMPLE

Most countries’ safety standards require public transport tunnels to incorporate an audio system which can be used in emergency evacuation situations. Intelligibility is paramount as once passengers have left their vehicles or a train, a radio break-in system or the train PA will not be usable to relay evacuation information. In some cases, tunnels may be many kilometers long and require distributed amplification. Distributing audio in the digital domain via DANTE™ is an ideal solution, as high audio quality can be maintained and DANTE™ can also carry control data to the outlying amplifier locations. DANTE™ is also able to use a conventional Ethernet IT infrastructure and can be transmitted via Ethernet or fibre as desired. A dual-redundant fibre network – commonly a ring configured as a spanning tree network - would be appropriate for a tunnel system, with local units being configured for automatic switch-over from primary to secondary fibre in the event of a failure.

Network Infrastructure (redundant or switched connections)

The system illustrated above uses dual WinControl Servers (in a hot- hot configuration) with both regular network and DANTE™ connections to a fully-redundant fibre ring configured as a spanning tree. AXYS Industry amplifiers driving the ABF-260 tunnel horns are fed from the ring via DANTE™. An Octadrive DSP is similarly connected, and is used to derive line level audio which feeds a radio break-in system, allowing drivers to receive emergency messages via their car audio systems. Audio sources can be provided by the Servers’ integral messages stores, and one or more paging stations, which are connected using DANTE™. The sources multicast to the amplifiers and Octadrive DSP, and zone selection is made by unmuting amplifier channels as required. All sources have pilot tone added, with local monitoring at the destinations. Reporting of pilot tone loss is via DANTE™. The Servers’ external control ports are connected to the facility’s SCADA system, allowing full monitoring from a single location. Cerberus units can be added to the system to monitor 3rd party equipment via WinControl.

JBL loudspeakers in Portals/Cross Passages and refuges

WINCONTROL SERVER

WinControl Server is an industrial-standard PC running a proprietary “Service Version” of the WinControl software. This combination allows full control and monitoring of the entire audio system from a central point, plus full control and configuration of the AXYS components. Inclusion of Cerberus units extends the scope of the monitoring to include third- party components.

All AXYS components are fitted with a bi-directional RS-485 or alternative network interface, allowing the creation of a control network encompassing the entire system. DANTE™ enabled devices offer control as well as multichannel digital audio transport over Ethernet. WinControl offers the system supervisor a userfriendly GUI overview of the whole audio system, with rapid access to every parameter of each system component. Faults are reported on-screen and recorded in an event log. Provided that Internet access is available, WinControl can be configured to generate email alerts in response to definable fault conditions.

Mutli-level password protection is provided as part of WinControl; typically there is a “view only” level, allowing system status to be observed, a “user” level permitting component configuration, etc., and a “service” level which would normally only be available to suitably qualified personnel.

The Wave Player plays uncompressed sound files recorded in .wav format at 48 kHz sample rate. The files may be of any duration, and can be set to continuously repeat if desired. An important feature of the Wave player is that a pilot tone may be permanently enabled at the

audio outputs. The frequency and level of the tone is adjustable. Other AXYS system components (and some third-party equipment) then monitors the pilot tone to confirm the validity of the audio routing.

To remove all possibility of a single point-of-failure, two WinControl Servers may be installed (ideally in different locations), with divergent, redundant interconnection paths (a ring topology is common). Normally, both Servers would interface to the facility’s main SCADA, BMS, or other control and monitoring system. The external system then designates one as a leader and the other as follower. Only the leader issues control commands, but both Servers perform the monitoring functions and log faults.

A multi-function external control port allows WinControl Server to be interfaced to external SCADA, BMS or other control systems. This can be used to trigger messages, request status reports from other system components, mute/unmute selected amplifiers and/or loudspeakers, load specific configuration pre-sets into amplifiers or loudspeakers, etc.

WinControl Server communicates with other AXYS products via DANTE™. In the event of an application or OS crash, an on- board watchdog reboots the PC, with no impact on audio transmission through the other system components. The software has multiple, password-protected access levels.

Features include:

• Dedicated industrial-quality server computer. With dual redundant power supplies

• Runs Service (enhanced) version of AXYS WinControl software.

• Provides control/monitoring of an entire distributed audio system.

• Full fault logging with alerts.

• Incorporates message store for announcements.

• Interface with system components via RS-485, DANTE™ and external control port.

• Automatic reboot on crash.

ABOUT AXYS TUNNEL BY HARMAN PRODUCTS

HARMAN’s involvement in tunnel public address systems started when HARMAN acquired Duran Audio, now AXYS Tunnel, in October 2013.

Over the years, AXYS Tunnel’s R&D team dedicated their time to creating innovative solutions to real-life electroacoustical problems such as poor intelligibility in public address and voice evacuation systems.

VA (Voice Alarm) or PA/VA (Public Address/Voice Alarm) audio systems are now commonplace in large public spaces and transport facilities. A well designed, installed and commissioned system can provide a highly effective means of communication with the public. The primary purpose of such systems is to communicate information when an emergency arises, thus clarity/intelligibility is of the utmost importance, so that people can move to safety as quickly and effectively as possible. To achieve this, an STI (Speech Transmission Index) of 0.5 (often reduced to 0.45 in tunnels) under all conditions is recognized as the minimum desirable standard. Furthermore, the system should have a configuration which is sufficiently robust to make individual component failures tolerable. In addition, comprehensive monitoring of the status of all system components, fault logging and reporting, a method of storing standard emergency (and non-emergency) announcements, a flexible set of audio processing techniques, and a simple, centralized point of system control and monitoring are all clearly desirable.

In 1999 we introduced the ABF-260 tunnel horn loudspeaker, specifically designed for use in the extremely hostile environment of public road and rail tunnels. Since then, our product portfolio has been expanded further, and now includes a range of complementary audio components, which may be used in combination with our loudspeakers. The AXYS Tunnel portfolio provides consultants and system integrators with the tools to design and deliver systems capable of delivering intelligibility that also have a strong focus on redundancy and reliability.

HARMAN’s highly successful range of road tunnel public address solutions are available through our worldwide network of specialized tunnel partners. In addition to public address solutions, HARMAN is able to provide tunnel architectural lighting solutions through our Martin Lighting brand and audio, video and control solutions for Operations Centers through our AMX brand and displays from SAMSUNG Electronics. HARMAN is a wholly owned subsidiary of SAMSUNG Electronics.

Turn static files into dynamic content formats.

Create a flipbook
Issuu converts static files into: digital portfolios, online yearbooks, online catalogs, digital photo albums and more. Sign up and create your flipbook.