KẾT CẤU 2- DIỆP PHÁT MAJEH REUP

Page 1

TRƯỜNG ĐẠI HỌC KIẾN TRÚC THÀNH PHỐ HỒ CHÍ MINH KHOA XÂY DỰNG

BÀI TẬP LỚN KẾT CẤU CÔNG TRÌNH 2

HỌ VÀ TÊN: LÀI DIỆP PHÁT

LỚP :KT17/A2

MSSV: 17510201212

GVHD: ĐỖ HUY THẠC

Mục lục

1. Lời mở đầu

2. Giới thiệu đồ án

3. Tính toán và bố trí hệ kết cấu dầm sàn cột cho công trình

• Bố trí hệ cột trong công trình – tính toán

• Bố trí hệ dầm trong công trình – tính toán

• Bố trí hệ sàn trong công trình – tính toán

4. Trình bày phương án móng và thuyết minh.

5. Lời kết

3

LOI MO DAU

4

Lời mở đầu

Sáng tác kiến trúc các công trình dân dụng, công nghiệp và đô thị không thể thiếu những kiến trúc cơ

bản về cơ học và kết cấu công trình. Điều đó đã được khẳng định qua các chương trình đào tạo kiến

trúc sư của nhiều trường đại học Kiến trúc trong và ngoài nước.

Từ lâu, nước ta, nội dung các môn Cơ học ( cơ học lý thuyết, sức bền vật liệu, cơ học kết cấu) và kết

cấu công trình ( bê tông cốt thép, gạch đá, thép gỗ ) giảng dạy ngành kiến trúc, quy hoạch thường

được rút ngắn chương mục từ các giáo trình dung cho ngành Xây dựng.

Suốt 25 năm giảng dạy, với mong mỏi có một tài liệu riêng của ngành kiến trúc. Vì vậy cho ra đời môn

“Cơ học và kết cấu công trình” phục vụ cho mục tiêu đào tạo kiến trúc.

5

GIOI THIEU DO AN

6

Giới thiệu đồ án trường cao đẳng

Đồ án trường cao đẳng sư phạm mẫu giáo

Công trình được thiết kế trên khu đất nằm tại đường Nguyễn Lương

Bằng, Quận 7.

Địa hình đất bằng phẳng và diện tích khu đất là 4.18 ha.

Nằm trong vùng khí hậu nhiệt đới nóng ẩm.

Khu đất nằm hướng Đông Bắc. Vị trí bị ảnh hưởng ít nhiều từ nắng

nóng sáng chiều.

Trường cao đẳng sư phạm mẫu giáo được thiết kế dạng phân tán các khoa học với nhau. Việc sử dụng dạng phân tán, các khoa học

thường chỉ cao tầm 2- 4 tầng. Bao gồm :

• Khoa cơ bản

• Khoa giáo dục đặc biệt

• Khoa tiếng anh

• Khoa chính trị - giáo dục

• Khoa hội họa

• Khoa âm nhạc

• Khoa thực hành mầm non

• Khối hội trường và giảng đường.

7

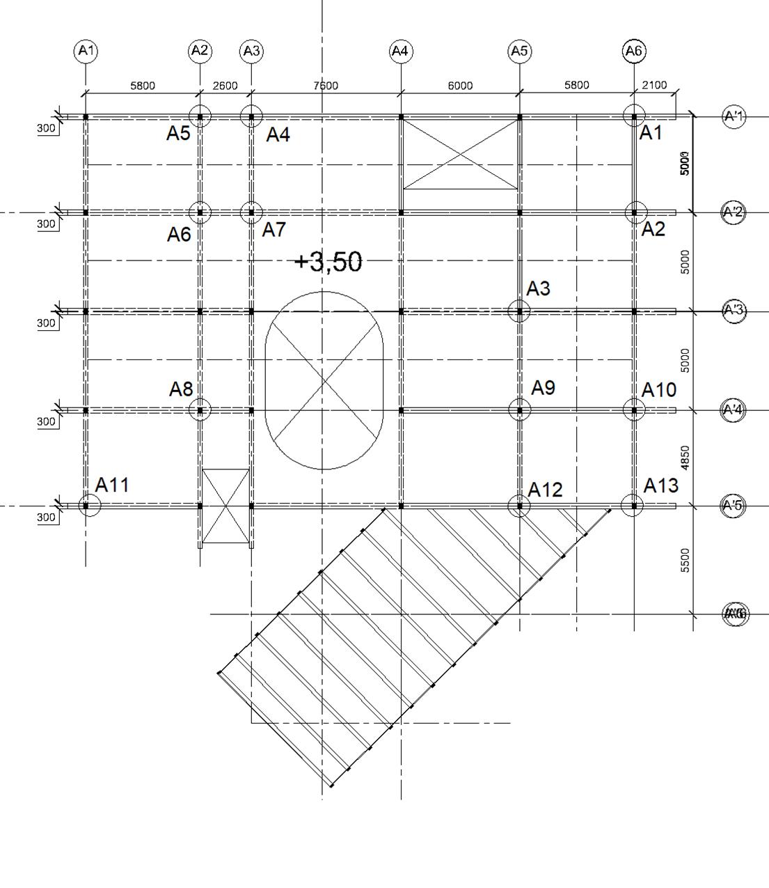
chọn tính toán kết cấu tại khoa: Khoa tiếng anh • Khoa tiếng anh:

tích : 759.8 m2

Diện
HÌNH KHỐI KHOA TIẾNG ANH 8
Lựa

TINH TOAN

9

CHỌN TÍNH TIẾT DIỆN CỘT (CHỌN SƠ BỘ)

Nhập thông số

thuyết

chọn cột: Công thức tính diện tích tiết diện cột: Trong đó:

• Fb là diện tích tiết diện cột

• Rb: là cường độ tính toán về nén của bê tông.

• k: Là hệ số xét tới ảnh hưởng khác như momen uốn, hàm lượng cốt thép, độ mảnh của cột.

• S: Là diện tích mặt sàn truyền tải trọng lên cột đang xét

• m: Là số sàn phía trên tiết diện đang xét ( kể cả mái )

• q: Là tải trọng tương đương tính trên mỗi mét vuông mặt sàn trong đó gồm tải trọng thường xuyên và tải trọng tạm thời trên bản sàn, trọng lượng dầm, tường, cột đem tính ra phân bố đều trên sàn. Giá trị q được lấy theo kinh nghiệm thiết kế.

• b và h là chiều rộng và chiều cao của tiết diện hình chữ nhật cột Tỉ số : h/b = 1,5 ~

N: Là lực nén, được tính toán gần đúng như sau: N = m.q.S
Vị trí cột m q S N k Rb Fb tính Căn lên F chọn h chọn b chọn Số tầng T/m2 m2 T Hệ số kG/cm2 cm2 cm cm2 cm cm A1 2 1,2 7.25 17.4 1.3 130 174 13.19 600 30 20 A2 2 1,2 14.5 34.5 1.2 130 318.46 17.85 600 30 20 A3 2 1,2 29.5 70.8 1.1 130 599.08 24.48 600 30 20 A4 2 1,2 12.75 30.6 1.2 130 282.46 16.8 600 30 20 A5 2 1,2 10.5 25.2 1.2 130 232.62 15.25 600 30 20 A6 2 1,2 21 50.4 1.1 130 426.46 20.65 600 30 20 A7 2 1,2 25.5 61.2 1.1 130 517.85 22.76 600 30 20 A8 2 1,2 20.685 49.644 1.1 130 420.064 20.5 600 30 20 A9 2 1,2 29.058 69.738 1.1 130 590.09 24.29 600 30 20 A10 2 1,2 14.285 34.278 1.2 130 316.41 17.79 600 30 20 A11 2 1,2 7.0325 16.878 1.3 130 168.78 12.99 600 30 20 A12 2 1,2 30.533 73.278 1.1 130 620.04 24.9 600 30 20 A13 2 1,2 15 36 1.2 130 332.47 18.23 600 30 20 B1 1 1,2 40.25 48.24 1.1 130 408.18 20.2 600 30 20 B2 1 1,2 33.925 40.71 1.1 130 344.47 18.56 600 30 20 B3 1 1,2 16.675 20.01 1.2 130 184.71 13.6 600 30 20 B4 1 1,2 8.7 10.44 1.3 130 104.4 10.22 600 30 20
3
10
SAU KHI TÍNH, CỘT 300x200 THỎA YÊU CẦU TÍNH TOÁN

Lý thuyết chọn cột: Công thức tính diện tích tiết diện cột:

Trong đó:

• Fb là diện tích tiết diện cột

• Rb: là cường độ tính toán về nén của bê tông.

• k: Là hệ số xét tới ảnh hưởng khác như momen uốn, hàm lượng cốt thép, độ mảnh của cột.

• N: Là lực nén, được tính toán gần đúng như sau: N = m.q.S

• S: Là diện tích mặt sàn truyền tải trọng lên cột đang xét

• m: Là số sàn phía trên tiết diện đang xét ( kể cả mái )

• q: Là tải trọng tương đương tính trên mỗi mét vuông mặt sàn trong đó gồm tải trọng thường xuyên và tải trọng tạm thời trên bản sàn, trọng lượng dầm, tường, cột đem tính ra phân bố đều trên sàn. Giá trị q được lấy theo kinh nghiệm thiết kế.

• b và h là chiều rộng và chiều cao của tiết diện hình chữ nhật cột Tỉ số : h/b = 1,5 ~

Nhập
Vị trí cột m q S N k Rb Fb tính Căn lên F chọn h chọn b chọn Số tầng T/m2 m2 T Hệ số kG/cm2 cm2 cm cm2 cm cm A1 1 1,2 7.25 8.7 1.3 130 87 13.19 600 30 20 A2 1 1,2 14.5 17.25 1.2 130 159.23 17.85 600 30 20 A3 1 1,2 29.5 35.4 1.1 130 299.54 24.48 600 30 20 A4 1 1,2 12.75 15.3 1.2 130 141.23 16.8 600 30 20 A5 1 1,2 10.5 12.6 1.2 130 116.31 15.25 600 30 20 A6 1 1,2 21 25.2 1.1 130 213.23 20.65 600 30 20 A7 1 1,2 25.5 30.6 1.1 130 285.925 22.76 600 30 20 A8 1 1,2 20.685 24.822 1.1 130 210.032 20.5 600 30 20 A9 1 1,2 29.058 34.869 1.1 130 295.045 24.29 600 30 20 A10 1 1,2 14.285 17.139 1.2 130 158.205 17.79 600 30 20 A11 1 1,2 7.0325 8.439 1.3 130 84.39 12.99 600 30 20 A12 1 1,2 30.533 36.639 1.1 130 310.02 24.9 600 30 20 A13 1 1,2 15 18 1.2 130 166.235 18.23 600 30 20 Sau khi tính, cột 300x200 thỏa yêu cầu tính toán tiết diện cột
thông số
3 CHỌN TÍNH TIẾT DIỆN CỘT (CHỌN SƠ BỘ) 11

Bố trí dầm và sàn trong công trình – tính toán

Công thức tính chiều dày bản sàn hb

Trong đó:

• m = (30 - 35) đối với dầm, bản làm việc 1 phương

• = (40 - 50) đối với bản kê 4 cạnh, bản làm việc 2 phương

• = (10 - 15) đối với bản uốn 1 phương dạng bản công xôn.

• D = (0.8 – 1.4 ) phụ thuộc vào tải trọng

Định nghĩa: Dầm là cấu kiện cơ bản , thanh chịu lực (chịu uốn là chủ yếu) nằm ngang hoặc nằm nghiêng để đỡ các bản dầm, tường, mái phía trên.

Dầm có cấu tạo đơn giản, chi phí chế tạo thấp nên dầm được sử dụng khá rộng rãi trong công trình xây dựng như dầm sàn, dầm mái, dầm cầu trục, dầm cầu,…

Phân loại dầm chính và dầm phụ

• Dầm chính

• h min = 4 cm- đối với sàn mái

• 5 cm – đối với sàn nhà ở và công trình công cộng

• 6 cm – đối với sàn giữa các tầng nhà sản xuất

• 7 cm – đối với bản làm từ bê tông nhẹ.

• l : Cạnh ngắn của bản sàn.

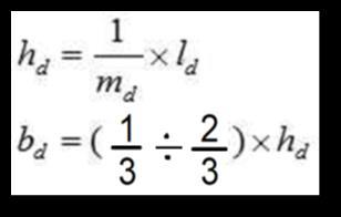
Công thức tính chiều cao dầm: Trong đó:

• md = (8 - 12) đối với dầm chính

• = (12- 16) đối với dầm phụ

• = (5 - 7) đối với dầm công xôn.

• ld : chiều dài của dầm đang xét

• bd : chiều rộng của dầm

• hd : Chiều cao của dầm

Dầm chính là dầm thiết kế đi qua các cột, gác chân cột, vách. Dầm chính thường có kích thước lớn hơn các dầm khác. Trong nhiều trường hợp, dầm chính được quan niệm là dầm theo phương chịu lực chính của ngôi nhà Hay gọi là dầm khung Dầm chính phải đặt vào tường 200- 250mm . Thông thường, các dầm chính đặt theo chiều rộng của phòng, cách nhau từ 4- 6m . Khi chiều dài của phòng >6m thì dầm phụ cần được đặt vuông góc với dầm chính. Trong phạm vi mỗi nhịp của dầm chính ( khoảng cách giữa hai cột) có thể đặt từ 1-3 dầm phụ ( hoặc nhiều hơn), trong đó nên có dầm phụ đặt ngay trên đầu cột.

• Dầm phụ

Dầm phụ là dầm không gác lên các cấu kiện chịu nén mà lại gác lên các cấu kiện chịu uốn, xoắn. Hệ dầm chính thường gác lên cột, hệ dầm phụ đỡ tường WC và tường lô gia.

Bản chất của việc phân chia dầm chính dầm phụ là để tính toán chịu lực, để gán lực từ dầm phụ sang dầm chính, mặt khác còn để chọn tiết diện cho dầm sao cho dầm chính có độ cứng lớn hơn nhiều so với dầm phụ. Nếu tất các các dầm đều gác lên cột, trừ dầm ban công, dầm phụ cầu thang, nên sẽ không chia ra dầm chính dầm phụ dựa trên hình học mà sẽ dựa trên chịu lực của mỗi dầm qua việc phân tải dầm nào chịu nhiều tải thì tiết diện sẽ lớn và ngược lại.

12
Nhập thông số Tính được Chọn Vị trí sàn D l (m) m hb (cm) hb (cm) 1.2 5 40 15 15 1.2 4.85 40 14.55 15 1.2 5.5 40 13.75 15 1.2 6 45 13.33 15 1.2 2.6 40 6.5 15 => Vẫn sử dụng sàn 15 cm. Vì tính xong chênh lệch không nhiều Nhập thông số Chọn Vị trí dầm ld (m) md hd (cm) bd1 (cm) bd2 (cm) hd (cm) bd (cm) Dầm 1 5 10 50 16.67 25 60 30 Dầm 2 4.85 10 48.5 19.33 24.25 60 30 Dầm 3 5.5 10 55 18.33 27.5 60 30 Dầm 4 6 10 60 20 30 60 30 Dầm 5 5.8 10 58 19.33 29 60 30 Dầm 6 7.6 12 63.333 21.11 31.67 60 30 Dầm 7 2.6 12 21.667 7.22 10.83 60 30 => Vẫn sử dụng dầm 60x30. Tính toán chọn sơ bộ sàn Tính toán chọn sơ bộ dầm Dầm 1 Dầm 5 Dầm 2 Dầm 3 Dầm 4 Dầm 6 Dầm 7 13
Nhập thông số Tính được Chọn Vị trí sàn D l (m) m hb (cm) hb (cm) 1.2 5 50 10 10 1.2 4.85 50 9.7 10 1.2 2.6 50 5.2 10 Sàn mái chọn dày 10 cm thỏa yêu cầu tính toán. Nhập thông số Chọn Vị trí dầm ld (m) md hd (cm) bd1 (cm) bd2 (cm) hd (cm) bd (cm) Dầm 1 5 10 50 16.67 25 60 30 Dầm 2 4.85 10 48.5 19.33 24.25 60 30 Dầm 3 6 10 60 20 30 60 30 Dầm 4 5.8 10 58 19.33 29 60 30 Dầm 5 7.6 12 63.333 21.11 31.67 60 30 => Sau khi tính, ta chọn dầm h = 60 và b = 30 như cũ. Tính toán chọn sơ bộ sàn Tính toán chọn sơ bộ dầm Dầm 1 Dầm 3 Dầm 2 Dầm 4 Dầm 5 14

Công trình sau khi tính toán:

• Sàn cho toàn công trình dày 150

• Sàn mái dày 100

• Dầm kích thước 300x600

MẶT CẮT
DẦM
THỂ HIỆN KÍCH THƯỚC
SÀN SAU KHI TÍNH TOÁN
tiết cấu tạo sàn •
LỚP
15
Chi
LỚP GẠCH LÁT DÀY 10MM
LỚP VỮA DÀY 30MM • SÀN BTCT CHỊU LỰC •
VỮA TRÁT DÀY 10MM

TRINH BAY PHUONG AN MONG

16

Khái niệm cơ bản về nền móng

a. Móng

• Móng chính là phần kéo dài thêm của công trình trong lòng đất. Nó tiếp

nhận tải trọng của kết cấu bên trên và truyền xuống nền đất.

• Tùy theo loại tải trọng, đặc điểm của nền đất và quy mô của công trình

mà móng được cấu tạo thành nhiều dạng khác nhau, sử dụng những loại vật liệu khác nhau.

b. Nền

• Nền công trình là chiều dày lớp đất, đá nằm dưới đáy móng, có tác dụng

tiếp thu tải trọng công trình bên trên do móng truyền xuống từ đó phân

tán tải trọng đó vào bên trong nền.

• Hình dạng và kích thước của nền phụ thuộc vào loại đất làm nền, phụ

thuộc vào loại móng và công trình bên trên.

• Nền là bộ phận hữu hạn của đất mà trong đó ứng suất và biến dạng do

tải trọng công trình gây ra là đáng kể.

Phân loại móng

- Theo vật liệu : gạch, đá, bê tông, bê tông cốt thép.

- Theo đặc tính làm việc : móng nông, móng sâu, móng nửa sâu

- Theo cách thi công: toàn khối, lắp ghép

- Theo độ cứng: móng cứng, móng mềm.

Phân loại nền

- Nền tự nhiên

- Nền nhân tạo

 Cải tạo kết cấu khung hạt nhằm gia tăng sức chịu tải và giảm độ lún của nền đất

 Tăng cường các vật liệu chịu kéo cho nền đất hay còn là đất có cốt

Hình ảnh về móng

Hình ảnh về nền móng

4.
Trình bày phương án móng và thuyết minh.
17

1. Móng Cọc

Móng cọc là loại móng hình trụ dài và sử dụng các vật liệu như bê tông, cọc cừ tràm được đẩy xuống đất để hoạt động như một sự hỗ trợ ổn định cho các cấu trúc được xây dựng trên nó.

Móng cọc gồm hai thành phần: đài cọc và một hoặc một nhóm cọc. Các nền móng được sử dụng chủ yếu để chuyển tải trọng từ cấu trúc siêu, thông qua các tầng lớp chịu nén yếu hoặc nước trên nền đất hoặc đá cứng hơn, nhỏ gọn hơn, ít nén và cứng hơn. Loại móng này được sử dụng cho các kết cấu lớn và những nền đất yếu, có độ lún nhiều và thường xuyên bị sạt lở.

Các vật liệu của móng cọc

1.Cọc Thép

2. Cọc Gỗ

3 Cọc Composite

4 Cọc bê Tông

5 Cọc Khoan

2. Móng Đơn

Móng đơn là loại móng chịu một cột lớn hoặc một chùm cột đứng sát nhau có tác dụng chịu lực và được sử dụng để gia cố hoặc xây dựng trong các công trình có tải trọng tương đối nhẹ như nhà dân sinh, nhà kho hay nhà từ 1 đến 4 tầng,…

Móng đơn là móng dễ thi công và có chi phí thấp nhất trong các loại móng xây dựng. Nhiều khu vực có nền đất yếu vẫn có thể làm móng đơn bằng cách gia cố nền đất bằng cách đóng cọc cừ tràm, cọc tre hoặc cọc bê tông.

3. Móng Bè

Móng bè hay còn được gọi là móng toàn diện.Móng bè là một loại móng nông, được sử dụng chủ yếu ở những nơi có nền đất yếu, sức kháng nén yếu dù không hay có nước hoặc do yêu cầu cấu tạo của công trình như: dưới toàn bộ nhà có tầng hầm, kho hoặc bể vệ sinh, bồn chứa nước, hồi bơi. Móng bè còn được sử dụng ở những khu nhà cao tầng có kết cấu chịu lực nhậy lún lệch và lún không đều.

4. Móng Băng

Móng bằng là một dải móng được thiết kế chịu lực và nối các điểm cọc của móng.

Tùy theo điều kiện và đặc điểm của công trình chúng ta sẽ có 2 loại móng băng:

• Móng băng 1 phương: Là loại móng băng và được thiết kế theo phương dọc hoặc phương ngang. Móng băng 1 phương thường sẽ phải to hơn là móng băng 2 phương do cả 1 phương đó chịu tải toàn bộ tải trọng của căn nhà

• Móng băng 2 phương: là móng băng được thiết kế theo cả 2 phương ngang và dọc chịu tải cho cả công trình, đối với loại móng băng này thường được dùng nhiều hơn.

Móng băng thường được dùng nhiều cho nhà phố và với các loại công trình nhà từ 3 tầng trở lên sẽ sử dụng móng băng, đối với nhà 1, 2 tầng sẽ sử dụng móng đơn.

18

Công trình lựa chọn giải pháp sử dụng móng đơn và móng băng

để áp dụng cho công trình

Mục đích sử dụng móng đơn cừ tràm vì:

• Chiều cao công trình chỉ cao 2 tầng.

• Ngoài ra chi phí thấp.

• Cấu tạo móng đơn giản.

• Tuy khu đất nằm tại quận 7, đất mềm nhưng có thể gia cố lại nền đất

được.

Mục đích sử dụng móng băng vì:

• Móng bang có độ lún đồng đều.

• Thi công dễ.

Ngoài ra cũng nên gia cố nền đất tại khu này để tiện lợi sử dụng 2 loại móng này. Hoặc cũng có thể sử dụng móng cọc cho công trình này.

MẶT BẰNG GIẢI PHÁP MÓNG CỦA CÔNG TRÌNH
19

KET LUAN

20

KẾT LUẬN

Qua các bước tính toán cột, dầm sàn của môn kết

cấu, ta có thể hiểu thêm được để có thể xây dựng

nên công trình là phải trải qua các bước cơ bản trên. Những việc đây không hề đơn giản. Để có

thể tạo ra 1 sản phẩm, 1 công trình là trải qua rất

nhiều lần tính toán. Cho nên kiến trúc sư lẫn kỹ

sư cần phải đưa ra giải pháp tối ưu và thiết thực

nhất để mang đến cho công trình trở nên hoàn hảo tương lai sau này.

21

Get in touch

0764 942 919

diepphatmajeh.architect@gmail.com

Diệp Phát (fb.com/phat.diepphat.5/)

Diệp Phát Majeh

diepphat.majeh_art

diepphatmajehart99

https://issuu.com/diepphat.majeh

@phtdip

https://www.behance.net/dipphtmajeh

22

Turn static files into dynamic content formats.

Create a flipbook
Issuu converts static files into: digital portfolios, online yearbooks, online catalogs, digital photo albums and more. Sign up and create your flipbook.
KẾT CẤU 2- DIỆP PHÁT MAJEH REUP by Diệp Phát Majeh - Issuu