Skip to main content

QR Homebook - 15660 SW Alderbrook Dr

Page 1


Subject Property

County Name: Washington

APN / Parcel Number: R509426

Current Ownership: Mulligan Family Trust

Site Address: 15660 SW Alderbrook Dr, Portland OR 97224

Mail Address: 15660 SW Alderbrook Dr, Tigard OR 97224

*Owner Occupied

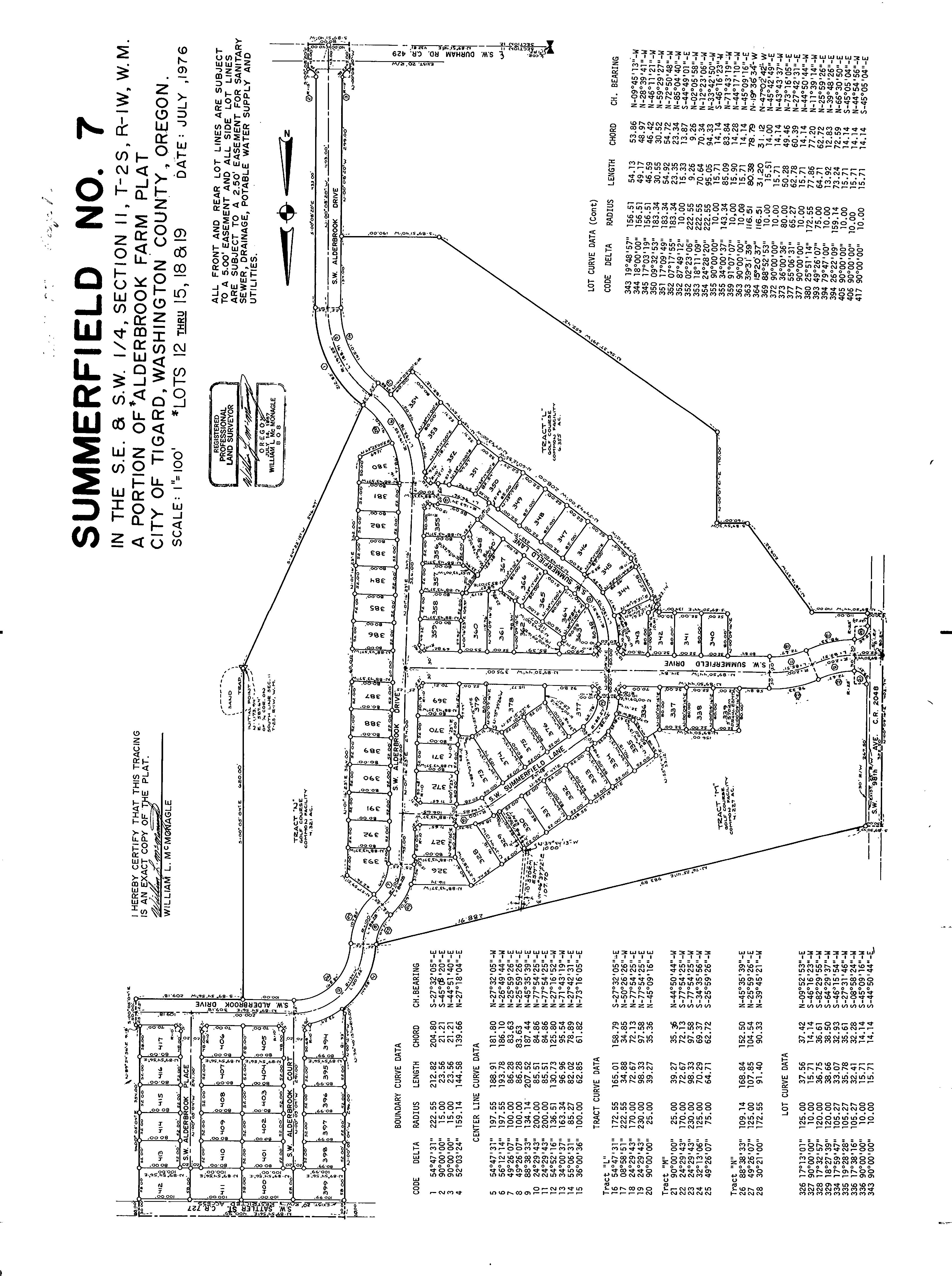
Tract / Subdivision: / Summerfield 07

Census Tract / Block: 030803 / 3018

Lot / Block: 382

Twn / Rng / Sec / Qtr: 02S / 01W / 11 / SE

Brief Legal Description:

Sale Information

Sale Recording Date: 02/28/2017

Property Characteristics

School District: Tigard-Tualatin

Fanno Creek-Tualatin River

Property Details

APN: R509426

Sentry Dynamics, Inc and its customers make no representations, warranties or conditions, express or implied, as to the accuracy or completeness of information contained in this report

Parcel ID: R509426

Parcel ID: R509426

SiteAddress: 15660 SWAlderbrook Dr

Sentry Dynamics, Inc and its customers make no representations, warranties or conditions, express or implied, as to the accuracy or completeness of information contained in this report

Parcel ID: R509426

SiteAddress: 15660 SWAlderbrook Dr

Sentry Dynamics, Inc and its customers make no representations, warranties or conditions, express or implied, as to the accuracy or completeness of information contained in this report

HOME PAIDUSERSLOGIN

Details Bills PaymentHistory

2025GENERALINFORMATION

PropertyStatus AActive

PropertyType Residential

LegalDescription SUMMERFIELDNO.07,LOT382, ACRES0.10

AlternateAccountNumber -

Neighborhood TRSFSUMMERFIELD

MapNumber 2S111DC03700

PropertyUse 1010:RESIDENTIALIMPROVED

LevyCodeArea 023.74

2024CertiedTaxRate 17.5603

2025OWNERINFORMATION

OwnerName MULLIGANFAMILYTRUST

MailingAddress 15660SWALDERBROOKDRTIGARD, OR97224

2024IMPROVEMENTS

RELATEDPROPERTIES

LinkedProperties -

PropertyGroupID -

GroupedProperties -

Split/MergeDateSplit/MergeAccountsSplit/MergeMessage -

 Improvement#1 ImprovementType Beds/Baths - Single-FamilyResidence 2/2

2024LANDSEGMENTS

SALESHISTORY

MULLIGAN,LINDA MULLIGANFAMILY TRUST 2020047854

2/28/2017 HILDENFAMILY TRUST MULLIGAN,JOHN& MULLIGAN,LINDA 2017016980

HILDEN,WILLIAM &JEAN HILDENFAMILY TRUST 2010012692

10/24/2005 PHILIPS,DOROTHY M&HEIB,CHERRIE A&PHILIPS,REX CLIFFORD HILDEN,WILLIAM &JEAN 2005133318

PHILIPS,DOROTHY M

PHILIPS,DOROTHY M&HEIB,CHERRIE A&PHILIPS,REX CLIFFORD 2005041689

TAXSUMMARY

$0.00

Age Distribution

PropertyAddress 15660SWALDERBROOKDR

City,State&Zip PORTLAND,OR97224-5624

County WASHINGTONCOUNTY

MailingAddress 15660SWALDERBROOKDR,TIGARD,OR97224-5624

ReportDate:04/14/2025

OrderID:R179959926

NearbyNeighbor#9

Address

NearbyNeighbor#10

Address

NearbyNeighbor#11

Address

PARTICULARPURPOSE.INTERCONTINENTALEXCHANGE,INC.(ICE)SHALL HAVENOLIABILITYINCONTRACT TORT,OROTHERWISEARISINGOUTOFORINCONNECTIONWITHTHISREPORT.ICEDOESNOTREPRESENTORWARRANTTHATTHEREPORTISCOMPLETEORFREEFROM ERROR.YOUUNDERSTANDANDACKNOWLEDGETHATTHEAVAILABILITY,COMPLETENESSANDFORMATOFTHEDATAELEMENTSMAYVARYSUBSTANTIALLYFROMAREA-TO-AREA.THEINFORMATION CONTAINEDINTHISREPORTISDERIVEDFROMPUBLICLYAVAILABLESOURCESFORTHESUBJECTPROPERTYORCOMPARABLEPROPERTIESLISTEDABOVEANDHASNOTBEENINDEPENDENTLYVERIFIEDBY ICETHROUGHANYFORMOFINSPECTIONORREVIEW THISREPORTDOESNOTCONSTITUTEANAPPRAISALOFANYKINDANDSHOULDNOTBEUSEDINLIEUOFANINSPECTIONOFASUBJECTPROPERTYBYA LICENSEDORCERTIFIEDAPPRAISER.THISREPORTCONTAINSNOREPRESENTATIONS,OPINIONSORWARRANTIESREGARDINGTHESUBJECTPROPERTY'SACTUALMARKETABILITY,CONDITION(STRUCTURAL OROTHERWISE),ENVIRONMENTAL,HAZARDORFLOODZONESTATUS,ANDANYREFERENCETOENVIRONMENTAL,HAZARDORFLOODZONESTATUSISFORINFORMATIONALPURPOSESONLYANDSHALLBE INDEPENDENTLYVERIFIEDBYTHEENDUSER.THEINFORMATIONCONTAINEDHEREINSHALLNOTBEUTILIZED:(A)TOREVIEWORESTABLISHACONSUMER'SCREDITAND/ORINSURANCEELIGIBILITYORFOR ANYOTHERPURPOSETHATWOULDCAUSETHEREPORTTOCONSTITUTEA"CONSUMERREPORT"UNDERTHEFAIRCREDITREPORTINGACT,15U.S.C.§1681ETSEQ.;OR(B)INCONNECTIONWITH CERTIFICATIONORAUTHENTICATIONOFREALESTATEOWNERSHIPAND/ORREALESTATETRANSACTIONS.ADDITIONALTERMSANDCONDITIONSSHALLAPPLYPURSUANTTOTHEAPPLICABLEAGREEMENT Copyright CONFIDENTIAL,PROPRIETARYAND/ORTRADESECRET TMSM®TRADEMARK(S)OFINTERCONTINENTALEXCHANGE,INC.ANDITSSUBSIDIARIESANDAFFILIATES. ©2025INTERCONTINENTALEXCHANGE,INC.ALLRIGHTSRESERVED.

Area Schools

Assigned School

Primary School: James Templeton Elementary School

Middle School: Twality Middle School

High School: Tigard High School

Primary School

James Templeton Elementary School 2

Middle School

Twality Middle School 3

High School

Tigard High School 1

Other School

1. Tigard High School

Distance: 0.33 mile(s)

Address: 9000 Sw Durham Rd District: Tigard-Tualatin Sd 23J Type: 1-Regular school

Charter: No Magnet:

Title 1 Elig: 2-No

Male / Female: 935 / 832

2. James Templeton Elementary School

Title 1: 6-Not a Title I school

Students: 1,799

Grade Levels: 9th Grade - 12th Grade

Distance: 0.42 mile(s)

Address: 9500 Sw Murdock St District: Tigard-Tualatin Sd 23J Type: 1-Regular school

Charter: No Magnet:

Title 1 Elig: 1-Yes

Male / Female: 259 / 254

3. Twality Middle School

Students: 514

Title 1: 5-Title I schoolwide school Grade Levels: Prekindergarten5th Grade

Distance: 0.51 mile(s)

Address: 14650 Sw 97Th Ave District: Tigard-Tualatin Sd 23J Type: 1-Regular school

Charter: No Magnet:

Title 1 Elig: 2-No

Male / Female: 484 / 432

Title 1: 6-Not a Title I school

Students: 918

Grade Levels: 6th Grade - 8th Grade

This map/plat is being furnished as an aid in locating the herein described Land in relation to adjoining streets, natural boundaries and other land, and is not a survey of the land depicted. Except to the extent a policy of title insurance is expressly modified by endorsement, if any, the Company does not insure dimensions, distances, location of easements, acreage or other matters shown thereon.

This map/plat is being furnished as an aid in locating the herein described Land in relation to adjoining streets, natural boundaries and other land, and is not a survey of the land depicted. Except to the extent a policy of title insurance is expressly modified by endorsement, if any, the Company does not insure dimensions, distances, location of easements, acreage or other matters shown thereon.

STEPS IN A REAL ESTATE TRANSACTION

1

What is an Escrow?

THE LISTING AGREEMENT

The property owner (Seller) initiates a contract, or a listing agreement, with a licensed Real Estate Agent.

2

THE SALE

Property owner (Seller) enters into a purchase contract, typically referred to as an Earnest Money Agreement, with a Buyer.

3

ESCROW

As part of the purchase contract, Seller agrees to purchase a title insurance policy for the Buyer and both agree to close the transaction with a licensed escrow company. In Oregon, most title insurance companies also offer escrow services to facilitate a convenient “one-stop” approach to closing real estate transactions.

An escrow is a neutral third party depository for legal documents and funds necessary to complete a real estate transaction. The escrow agent will disburse funds and record documents for the proper recipients according to their written instructions.

What title insurance and escrow costs are incurred in a real estate sale?

The fee for escrow services is based on the sales price of the property. This fee is typically split equally between the Seller and Buyer. However, Buyers should check with their lenders if financing is involved because some federally insured lending programs do not allow borrowers to pay this fee. The Seller typically pays for a standard owner’s policy of title insurance which names the Buyer as the insured. Charges for this policy are based on the sales price of the property. The Buyer typically pays for a lender’s policy of title insurance and any required endorsements if s/he is obtaining a new loan to purchase the property. Charges for this policy are based on the loan amount.

What services does an escrow agent perform on behalf of the Seller and Buyer?

• Upon opening of escrow, escrow agent will order a preliminary title report, which will be sent to all interested parties involved in the transaction. The report will detail the current ownership, liens and encumbrances of the property.

• Closing statements will be prepared for each party, showing all credits and debits. The escrow agent will schedule appointments for all parties to sign their final necessary documents, including any funds needed to be deposited, to complete the transaction.

• Signed loan documents are returned to the Lender, for final review and funding approval.

• Recordable documents are released to the County Clerk’s office for recording.

• Once recorded, all funds are disbursed per written instructions.

• Final title policies are issued to the insured parties.

FROM PENDING TO SOLD

ESCROW FLOW CHART

Receive and review Earnest Money Agreement and Broker’s instructions.

Open escrow. Order title report.

Determine financing.

Information gathering from Buyer and Seller.

Receive title report. Send copies to all parties in the transaction.

Resolve any title issues. Order any payoff demands.

Review file. Are conditions satisfied? Contingencies removed?

Prepare closing statement, closing instructions and transfer deed

Obtain signatures on all escrow and loan documents. Collect any funds due from Buyer and/or Seller

Record applicable documents with the County Recorder's office.

Close file. Prepare final statements. Disburse funds.

Forward final documents to all interested parties - Buyer, Seller, Real Estate Agents, Lender, Broker, Attorney, etc.

NEW LOAN

Notify Escrow with name of new lender and loan officer.

Send title report to lender.

Notification of final loan approval. Are repairs complete?

Deliver Seller & Buyer Closing Disclosures. Buyers’ consummation 3-6 days.

Loan documents delivered to escrow.

Return loan documents for final approval to fund and record.

Order loan funds.

Turn static files into dynamic content formats.

Create a flipbook
QR Homebook - 15660 SW Alderbrook Dr by Lawyers Title Oregon - Issuu