Subject Property
County Name: Washington
APN / Parcel Number: R2162873
Current Ownership: Sunapa Wuttanafungjaroen & Chiwathan Akawong
Site Address: 15458 SW Mallard Dr, Unit #102, Beaverton OR 97007
Mail Address: 15458 SW Mallard Dr Unit #102, Beaverton OR 97007
*Owner Occupied
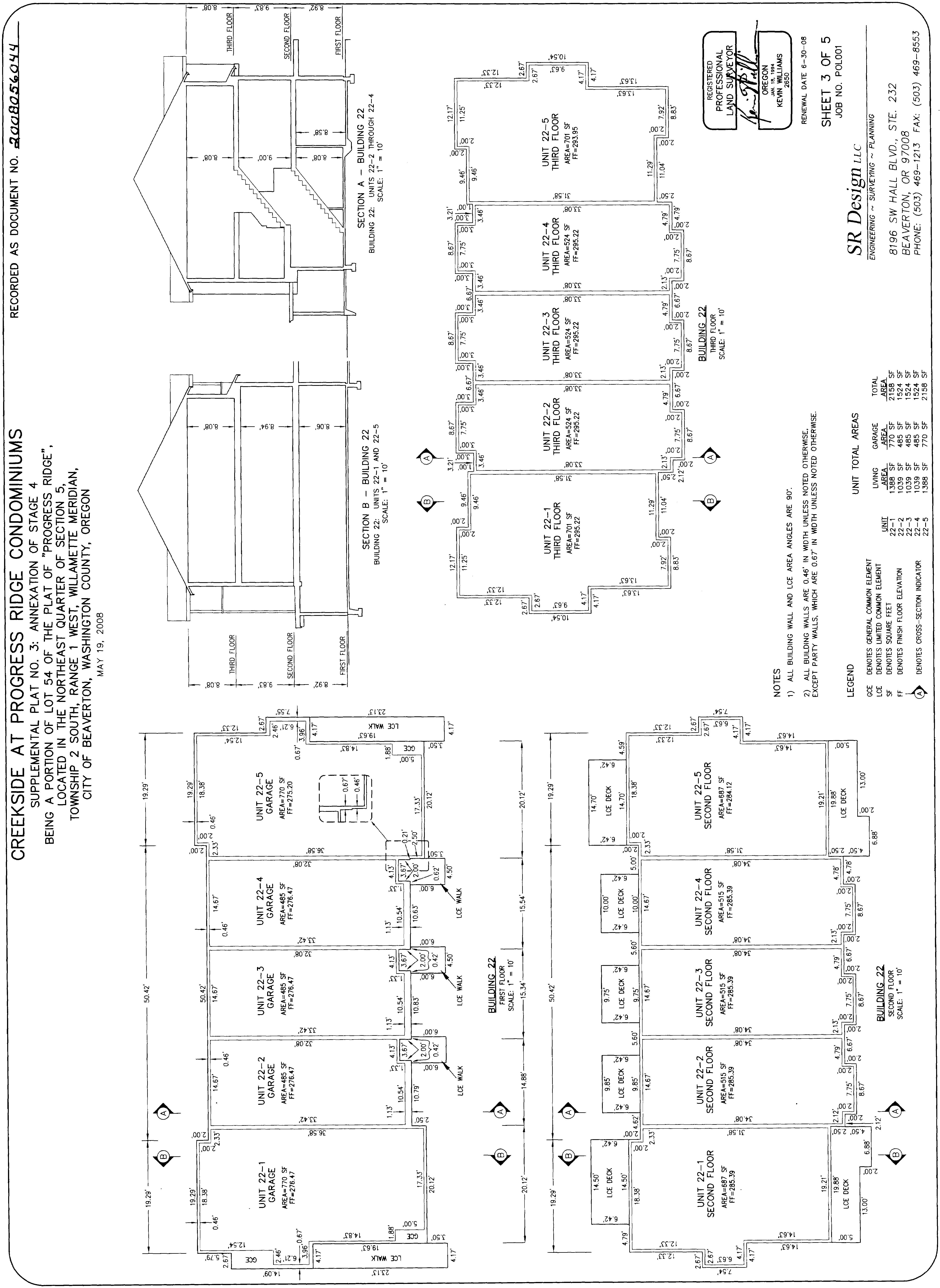
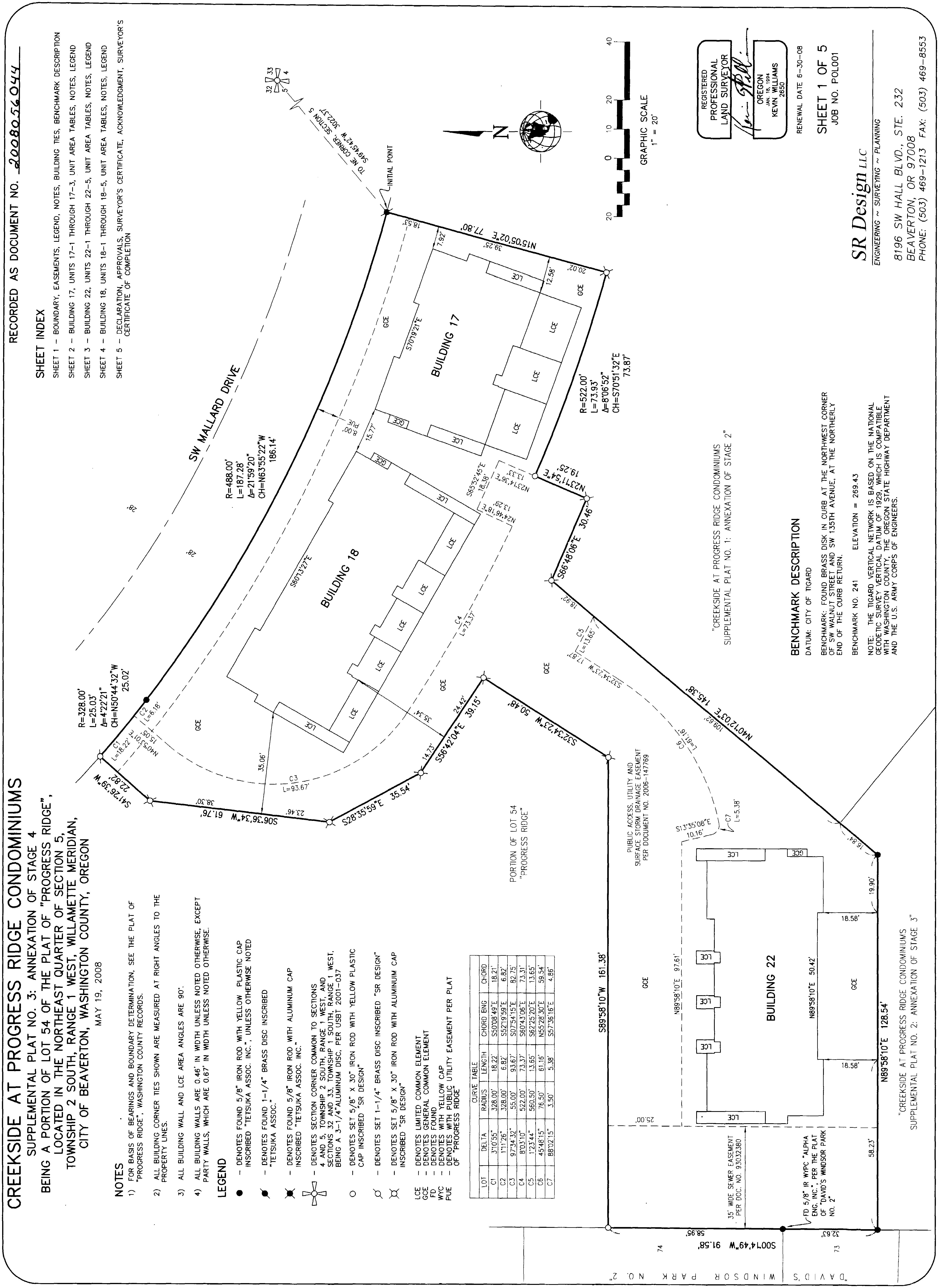
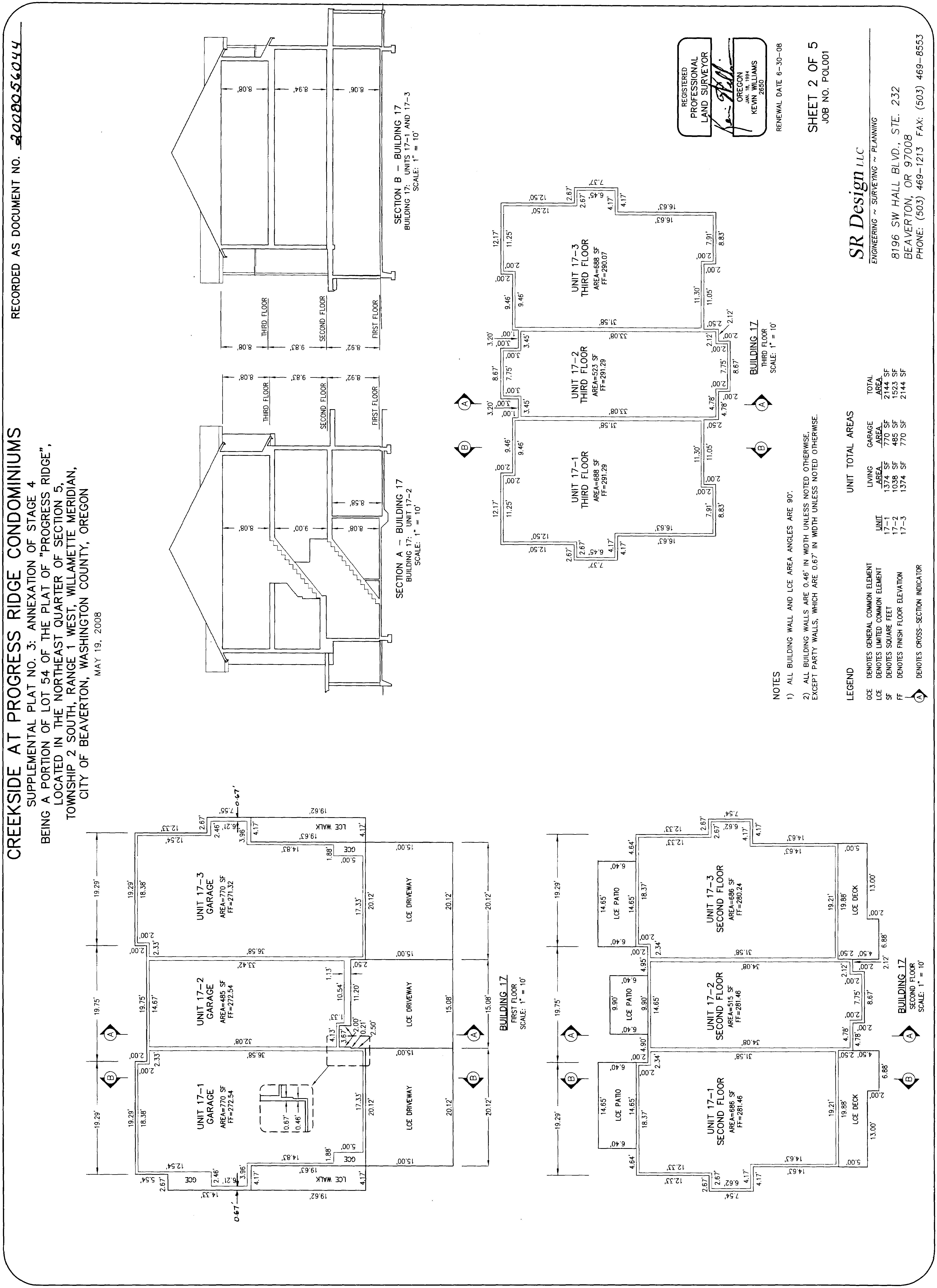
Tract / Subdivision: / Creekside At Progress Ridge Condo
Census Tract / Block: 031819 / 2003
Lot / Block: 22-2
Twn / Rng / Sec / Qtr: 02S / 01W / 05 / NE
Brief Legal Description: CREEKSIDE AT PROGRESS RIDGE CONDO
Sale Information
Sale Recording Date: 05/23/2022
Property Characteristics
Property Type: Condominium Unit (Residential)
Land Use: Condominiums
Wuttanafungjaroen
Building Type: Zoning: Beaverton-TC-HDR - Town Center - High Density
Beds: 2 Basement: 18 SqFt Units: 10
Baths: 3 Pool: Buildings: Rooms: Ext / Roof: Wood / Composition Shingle Heat/AC: Y Stories: Condition: Average Fireplace: Y
Garage: Attached GarageFoundation:01 View:
School District: Beaverton
Watershed: Fanno Creek-Tualatin River Assessment & Tax Info
Mallard Dr, Unit #102, Beaverton OR 97007 APN: R2162873
Sentry Dynamics, Inc and its customers make no representations, warranties or conditions, express or implied, as to the accuracy or completeness of information contained in this report
Parcel ID: R2162873
Parcel ID: R2162873
SiteAddress: 15458 SW Mallard Dr, Unit #102
Sentry Dynamics, Inc and its customers make no representations, warranties or conditions, express or implied, as to the accuracy or completeness of information contained in this report
Parcel ID: R2162873
SiteAddress: 15458 SW Mallard Dr, Unit #102
Sentry Dynamics, Inc and its customers make no representations, warranties or conditions, express or implied, as to the accuracy or completeness of information contained in this report
HOME PAIDUSERSLOGIN
R2162873 WUTTANAFUNGJAROEN, SUNAPA&AKAWONG, CHIWATHAN&GEE,ISAAC DAVID
Details Bills PaymentHistory
2025GENERALINFORMATION
PropertyStatus AActive
PropertyType Residential
LegalDescription CREEKSIDEATPROGRESSRIDGE CONDOSUPPNO.3:ANNEXSTG4, LOT22-2
AlternateAccountNumber -
Neighborhood 9206CREEKSIDEATPROGRESS RIDGECONDO
MapNumber 2S105AC92222
PropertyUse 1020:CONDOMINIUMS
LevyCodeArea 051.58
2024Certi edTaxRate 21.7312
2025OWNERINFORMATION
OwnerName WUTTANAFUNGJAROEN,SUNAPA& AKAWONG,CHIWATHAN&GEE, ISAACDAVID
MailingAddress 15458SWMALLARDDRUNIT#102 BEAVERTON,OR97007
15458SWMALLARDDR, UNIT#102,BEAVERTON,OR 97007 $352,550
RELATEDPROPERTIES
LinkedPropertiesPropertyGroupIDGroupedPropertiesSplit/MergeDateSplit/MergeAccountsSplit/MergeMessage -
2024IMPROVEMENTS Expand/CollapseAll
Improvement#1 ImprovementType
Beds/Baths - Single-FamilyResidence 2/3 Sketch
Improvement#2 ImprovementType Beds/Baths - Non-Building 0/0
CERTIFIED/INPROCESSVALUES
SALESHISTORY
5/12/2022 IKEDA, YOSHIMASA WUTTANAFUNGJAROEN, SUNAPA&AKAWONG, CHIWATHAN&GEE, ISAACDAVID
2/2/2016 USBANKTRUSTTR IKEDA,YOSHIMASA 2016010978
EWING,QUINAEJ USBANKTRUSTTR 2015089354 - DS 6/11/2007 PROGRESSRIDGE CARRIAGEHLLC EWING,QUINAEJ 2009011763 $203,240 DW
Sketch
TAXSUMMARY
$0.00
2023129845
2022132936
2021130705
132830
Households Breakdown
Age Distribution
SubjectPropertyLocation
PropertyAddress 15458SWMALLARDDRSTE102
City,State&Zip BEAVERTON,OR97007-9439
County WASHINGTONCOUNTY
MailingAddress 15458SWMALLARDDRSTE102,BEAVERTON,OR97007-9439
Owner WUTTANAFUNGJAROEN,SUNAPA&AKAWONG,CHIWATHAN&GEE,ISAAC DAVID
BYE,TARYNKEIKO
NearbyNeighbor#2
OCHOA,GERARDO&ARRIAGA,NANCYRAMIREZ
Owner HONG,YOUNGK&HONG,YUKO
ReportDate:04/02/2025
OrderID:R178881303
NearbyNeighbor#9
Address
Owner R&JUNLIMITEDLLC
ofCars
NearbyNeighbor#10
Address
Owner LAMBERGER,JESSICAA&LAMBERGER,CHRISTOPHERM
ofCars
NearbyNeighbor#11
Address
Owner CARNES,NICOLE&DONOFRIO,JOHN
NearbyNeighbor#15
NOT
OR
INWHOLEORIN PART THEUSEOFTHISREPORTBYANYPARTYOTHERTHANYOURSELFFORANYPURPOSEISSTRICTLYPROHIBITED.
REPORTISPROVIDEDAS-ISWITHOUTWARRANTYOF
KIND,EITHEREXPRESS ORIMPLIED,INCLUDINGWITHOUTLIMITATION,ANYWARRANTIESOFMERCHANTABILITY,NON-INFRINGEMENT,ORFITNESSFOR
EXCHANGE,INC.(ICE)SHALL HAVENOLIABILITYINCONTRACT TORT,OROTHERWISEARISINGOUTOFORINCONNECTIONWITHTHISREPORT.ICEDOESNOTREPRESENTORWARRANTTHATTHEREPORTISCOMPLETEORFREEFROM ERROR.YOUUNDERSTANDANDACKNOWLEDGETHATTHEAVAILABILITY,COMPLETENESSANDFORMATOFTHEDATAELEMENTSMAYVARYSUBSTANTIALLYFROMAREA-TO-AREA.THEINFORMATION CONTAINEDINTHISREPORTISDERIVEDFROMPUBLICLYAVAILABLESOURCESFORTHESUBJECTPROPERTYORCOMPARABLEPROPERTIESLISTEDABOVEANDHASNOTBEENINDEPENDENTLYVERIFIEDBY ICETHROUGHANYFORMOFINSPECTIONORREVIEW THISREPORTDOESNOTCONSTITUTEANAPPRAISALOFANYKINDANDSHOULDNOTBEUSEDINLIEUOFANINSPECTIONOFASUBJECTPROPERTYBYA LICENSEDORCERTIFIEDAPPRAISER.THISREPORTCONTAINSNOREPRESENTATIONS,OPINIONSORWARRANTIESREGARDINGTHESUBJECTPROPERTY'SACTUALMARKETABILITY,CONDITION(STRUCTURAL OROTHERWISE),ENVIRONMENTAL,HAZARDORFLOODZONESTATUS,ANDANYREFERENCETOENVIRONMENTAL,HAZARDORFLOODZONESTATUSISFORINFORMATIONALPURPOSESONLYANDSHALLBE INDEPENDENTLYVERIFIEDBYTHEENDUSER.THEINFORMATIONCONTAINEDHEREINSHALLNOTBEUTILIZED:(A)TOREVIEWORESTABLISHACONSUMER'SCREDITAND/ORINSURANCEELIGIBILITYORFOR ANYOTHERPURPOSETHATWOULDCAUSETHEREPORTTOCONSTITUTEA"CONSUMERREPORT"UNDERTHEFAIRCREDITREPORTINGACT,15U.S.C.§1681ETSEQ.;OR(B)INCONNECTIONWITH CERTIFICATIONORAUTHENTICATIONOFREALESTATEOWNERSHIPAND/ORREALESTATETRANSACTIONS.ADDITIONALTERMSANDCONDITIONSSHALLAPPLYPURSUANTTOTHEAPPLICABLEAGREEMENT Copyright CONFIDENTIAL,PROPRIETARYAND/ORTRADESECRET TMSM®TRADEMARK(S)OFINTERCONTINENTALEXCHANGE,INC.ANDITSSUBSIDIARIESANDAFFILIATES. ©2025INTERCONTINENTALEXCHANGE,INC.ALLRIGHTSRESERVED.





Area Schools
Assigned School
Primary School: Nancy Ryles Elementary School
Middle School: Conestoga Middle School
High School: Mountainside High School
Primary School
Nancy Ryles Elementary School 2
Middle School
Conestoga Middle School 3
High School
Mountainside High School 1
Other School
1. Mountainside High School
Distance: 0.94 mile(s)
Address: 12500 Sw 175Th Ave District: Beaverton Sd 48J Type: 1-Regular school
Charter: No
Title 1 Elig: 2-No
2. Nancy Ryles Elementary School
Title 1: 6-Not a Title I school
Students: 1,758
Grade Levels: 9th Grade - 12th Grade
Male / Female: 891 / 862 Distance: 1.27 mile(s)
Address: 10250 Sw Cormorant Dr District: Beaverton Sd 48J Type: 1-Regular school
Charter: No Magnet: Students: 508
Title 1 Elig: 2-No
3. Conestoga Middle School
Title 1: 6-Not a Title I school
Levels: Kindergarten - 5th Grade
Male / Female: 247 / 261 Distance: 2.08 mile(s)
Address: 12250 Sw Conestoga Dr District: Beaverton Sd 48J
Charter: No
Title 1 Elig: 2-No
Male / Female: 414 / 369
Title 1: 6-Not a Title I school
1-Regular school
Students: 786
Grade Levels: 6th Grade - 8th Grade
This map/plat is being furnished as an aid in locating the herein described Land in relation to adjoining streets, natural boundaries and other land, and is not a survey of the land depicted. Except to the extent a policy of title insurance is expressly modified by endorsement, if any, the Company does not insure dimensions, distances, location of easements, acreage or other matters shown thereon.
This map/plat is being furnished as an aid in locating the herein described Land in relation to adjoining streets, natural boundaries and other land, and is not a survey of the land depicted. Except to the extent a policy of title insurance is expressly modified by endorsement, if any, the Company does not insure dimensions, distances, location of easements, acreage or other matters shown thereon.
This map/plat is being furnished as an aid in locating the herein described Land in relation to adjoining streets, natural boundaries and other land, and is not a survey of the land depicted. Except to the extent a policy of title insurance is expressly modified by endorsement, if any, the Company does not insure dimensions, distances, location of easements, acreage or other matters shown thereon.
This map/plat is being furnished as an aid in locating the herein described Land in relation to adjoining streets, natural boundaries and other land, and is not a survey of the land depicted. Except to the extent a policy of title insurance is expressly modified by endorsement, if any, the Company does not insure dimensions, distances, location of easements, acreage or other matters shown thereon.
This map/plat is being furnished as an aid in locating the herein described Land in relation to adjoining streets, natural boundaries and other land, and is not a survey of the land depicted. Except to the extent a policy of title insurance is expressly modified by endorsement, if any, the Company does not insure dimensions, distances, location of easements, acreage or other matters shown thereon.
STEPS IN A REAL ESTATE TRANSACTION
1
What is an Escrow?
THE LISTING AGREEMENT
The property owner (Seller) initiates a contract, or a listing agreement, with a licensed Real Estate Agent.
2
THE SALE
Property owner (Seller) enters into a purchase contract, typically referred to as an Earnest Money Agreement, with a Buyer.
3
ESCROW
As part of the purchase contract, Seller agrees to purchase a title insurance policy for the Buyer and both agree to close the transaction with a licensed escrow company. In Oregon, most title insurance companies also offer escrow services to facilitate a convenient “one-stop” approach to closing real estate transactions.
An escrow is a neutral third party depository for legal documents and funds necessary to complete a real estate transaction. The escrow agent will disburse funds and record documents for the proper recipients according to their written instructions.
What title insurance and escrow costs are incurred in a real estate sale?
The fee for escrow services is based on the sales price of the property. This fee is typically split equally between the Seller and Buyer. However, Buyers should check with their lenders if financing is involved because some federally insured lending programs do not allow borrowers to pay this fee. The Seller typically pays for a standard owner’s policy of title insurance which names the Buyer as the insured. Charges for this policy are based on the sales price of the property. The Buyer typically pays for a lender’s policy of title insurance and any required endorsements if s/he is obtaining a new loan to purchase the property. Charges for this policy are based on the loan amount.
What services does an escrow agent perform on behalf of the Seller and Buyer?
• Upon opening of escrow, escrow agent will order a preliminary title report, which will be sent to all interested parties involved in the transaction. The report will detail the current ownership, liens and encumbrances of the property.
• Closing statements will be prepared for each party, showing all credits and debits. The escrow agent will schedule appointments for all parties to sign their final necessary documents, including any funds needed to be deposited, to complete the transaction.
• Signed loan documents are returned to the Lender, for final review and funding approval.
• Recordable documents are released to the County Clerk’s office for recording.
• Once recorded, all funds are disbursed per written instructions.
• Final title policies are issued to the insured parties.
ESCROW FLOW CHART
Receive and review Earnest Money Agreement and Broker’s instructions.
Open escrow. Order title report.
Determine financing.
Information gathering from Buyer and Seller.
Receive title report. Send copies to all parties in the transaction.
Resolve any title issues. Order any payoff demands.
Review file. Are conditions satisfied? Contingencies removed?
Prepare closing statement, closing instructions and transfer deed
Obtain signatures on all escrow and loan documents. Collect any funds due from Buyer and/or Seller
Record applicable documents with the County Recorder's office.
Close file. Prepare final statements. Disburse funds.
Forward final documents to all interested parties - Buyer, Seller, Real Estate Agents, Lender, Broker, Attorney, etc.
NEW LOAN
Notify Escrow with name of new lender and loan officer.
Send title report to lender.
Notification of final loan approval. Are repairs complete?
Deliver Seller & Buyer Closing Disclosures. Buyers’ consummation 3-6 days.
Loan documents delivered to escrow.
Return loan documents for final approval to fund and record.
Order loan funds.