Skip to main content

McKillion Group 5745 SW Old Scholls Ferry Rd Home Book

Page 1


Subject Property

County Name: Washington

APN / Parcel Number: R113567

Current Ownership: Chiharu & Jeremy Bowman

Site Address: 5745 SW Old Scholls Ferry Rd, Portland OR 97225

Mail Address: 5745 SW Old Scholls Ferry Rd, Portland OR 97225 *Owner Occupied

Tract / Subdivision:

Census Tract / Block: 030401 / 2026

Lot / Block:

Twn / Rng / Sec / Qtr: 01S / 01W / 14 / SW

Brief Legal Description: ACRES 0.15

Sale Information

Sale Recording Date: 09/15/2014

Property Characteristics

Property Details

Old Scholls Ferry Rd, Portland OR 97225
APN: R113567

Sentry Dynamics, Inc and its customers make no representations, warranties or conditions, express or implied, as to the accuracy or completeness of information contained in this report

Parcel ID: R113567
Sentry Dynamics, Inc
its
by:Tracy Shea

Parcel ID: R113567

SiteAddress: 5745 SW Old Scholls Ferry Rd

Sentry Dynamics, Inc and its customers make no representations, warranties or conditions, express or implied, as to the accuracy or completeness of information contained in this report

Parcel ID: R113567

SiteAddress: 5745 SW Old Scholls Ferry Rd

Sentry Dynamics, Inc and its customers make no representations, warranties or conditions, express or implied, as to the accuracy or completeness of information contained in this report

Property Owner PropertyAddress

R113567 BOWMAN,CHIHARU CATHERINE&BOWMAN, JEREMYJ

Details Bills PaymentHistory

2026GENERALINFORMATION

PropertyStatus AActive

PropertyType Residential

LegalDescription ACRES0.15

AlternateAccountNumber -

Neighborhood PGLFPORTLANDGOLFCLUB

MapNumber 1S114DD03702

PropertyUse 1010:RESIDENTIALIMPROVED

LevyCodeArea 051.64

2025CertiedTaxRate 18.8976

2026OWNERINFORMATION

OwnerName BOWMAN,CHIHARUCATHERINE& BOWMAN,JEREMYJ

MailingAddress 5745SWOLDSCHOLLSFERRYRD PORTLAND,OR97225

2025IMPROVEMENTS

5745SWOLDSCHOLLS FERRYRD, UNINCORPORATED,OR 97225

RELATEDPROPERTIES

LinkedPropertiesPropertyGroupIDGroupedPropertiesSplit/MergeDateSplit/MergeAccountsSplit/MergeMessage -

$452,480

 Improvement#1 ImprovementType Beds/Baths - Single-FamilyResidence 2/2

Expand/CollapseAll 2025LANDSEGMENTS

9/11/2014

BOWMAN, CHIHARU CATHERINE

FEDERAL NATIONAL MORTGAGEASSN

LOVATO, BRANDONV& TYRA

LOVATO, BRANDONV

LOVATO, BRANDON&TYRA

6/9/2004

BOWMAN, CHIHARU CATHERINE& BOWMAN,JEREMY J

BOWMAN, CHIHARU CATHERINE

FEDERAL NATIONAL MORTGAGEASSN

LOVATO, BRANDONV& TYRA

LOVATO, BRANDONV

SHELTON,FREDL LOVATO, BRANDON&TYRA

SHELTON,FREDL &CAROLYNANNE

8/26/1998 GOBEL,CHRIS& DANA

5/16/1995 DAHN,JOHNC& MIRIAMC

8/1/1981

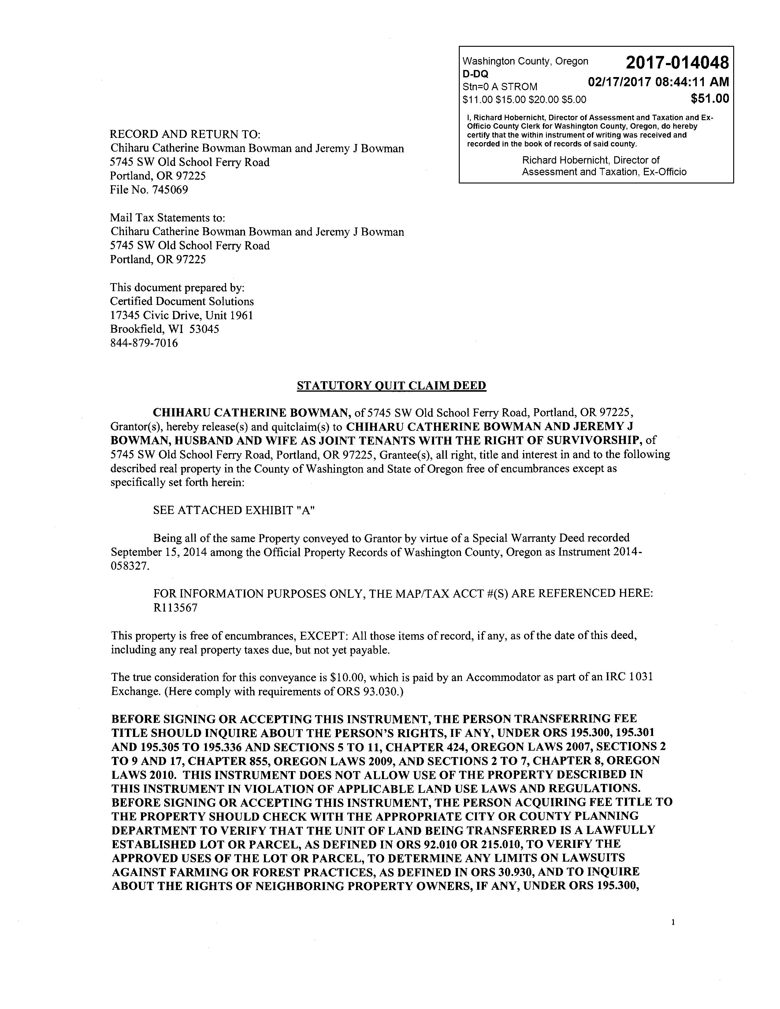
2017014048 - DQ

2014058327 $249,900 DW

2014002426 - DW

2005064854 - DBS

2005063887 - DBS

2004066628 $185,000 DW

SHELTON,FREDL 2002047537

SHELTON,FREDL &CAROLYNANNE

DBS

1998095557 $97,500 DW

GOBEL,CHRIS& DANA 1995034215 $64,000 DW

DAHN,JOHNC& MIRIAMC

1981029878 $30,000 UNK

TAXSUMMARY

$0.00

Households Breakdown

Age Distribution

Area Schools

Assigned School

Primary School: Raleigh Hills Elementary School

Middle School: Whitford Middle School

High School: Beaverton High School

Primary School

Raleigh Hills Elementary School 1

Middle School

Whitford Middle School 2

High School

Beaverton High School 3

Other School

1. Raleigh Hills Elementary School

Distance: 0.40 mile(s)

Address: 5225 Sw Scholls Ferry Rd District: Beaverton Sd 48J Type: 1-Regular school

Charter: No

Title 1 Elig: 1-Yes

2. Whitford Middle School

Students: 269

Title 1: 5-Title I schoolwide school Grade Levels: Kindergarten - 5th Grade

Male / Female: 138 / 131 Distance: 1.35 mile(s)

Address: 7935 Sw Scholls Ferry Rd District: Beaverton Sd 48J Type: 1-Regular school

Charter: No

Title 1 Elig: 2-No

3. Beaverton High School

Title 1: 6-Not a Title I school

Students: 773

Levels: 6th Grade - 8th Grade

Male / Female: 412 / 357 Distance: 2 32 mile(s)

Address: 13000 Sw Second St District: Beaverton Sd 48J

1-Regular school Charter: No

Title 1 Elig: 2-No

Male / Female: 802 / 669

Title 1: 6-Not a Title I school Grade Levels: 9th Grade - 12th Grade

STEPS IN A REAL ESTATE TRANSACTION

1

What is an Escrow?

THE LISTING AGREEMENT

The property owner (Seller) initiates a contract, or a listing agreement, with a licensed Real Estate Agent.

2

THE SALE

Property owner (Seller) enters into a purchase contract, typically referred to as an Earnest Money Agreement, with a Buyer.

3

ESCROW

As part of the purchase contract, Seller agrees to purchase a title insurance policy for the Buyer and both agree to close the transaction with a licensed escrow company. In Oregon, most title insurance companies also offer escrow services to facilitate a convenient “one-stop” approach to closing real estate transactions.

An escrow is a neutral third party depository for legal documents and funds necessary to complete a real estate transaction. The escrow agent will disburse funds and record documents for the proper recipients according to their written instructions.

What title insurance and escrow costs are incurred in a real estate sale?

The fee for escrow services is based on the sales price of the property. This fee is typically split equally between the Seller and Buyer. However, Buyers should check with their lenders if financing is involved because some federally insured lending programs do not allow borrowers to pay this fee. The Seller typically pays for a standard owner’s policy of title insurance which names the Buyer as the insured. Charges for this policy are based on the sales price of the property. The Buyer typically pays for a lender’s policy of title insurance and any required endorsements if s/he is obtaining a new loan to purchase the property. Charges for this policy are based on the loan amount.

What services does an escrow agent perform on behalf of the Seller and Buyer?

• Upon opening of escrow, escrow agent will order a preliminary title report, which will be sent to all interested parties involved in the transaction. The report will detail the current ownership, liens and encumbrances of the property.

• Closing statements will be prepared for each party, showing all credits and debits. The escrow agent will schedule appointments for all parties to sign their final necessary documents, including any funds needed to be deposited, to complete the transaction.

• Signed loan documents are returned to the Lender, for final review and funding approval.

• Recordable documents are released to the County Clerk’s office for recording.

• Once recorded, all funds are disbursed per written instructions.

• Final title policies are issued to the insured parties.

FROM PENDING TO SOLD

ESCROW FLOW CHART

Receive and review Earnest Money Agreement and Broker’s instructions.

Open escrow. Order title report.

Determine financing.

Information gathering from Buyer and Seller.

Receive title report. Send copies to all parties in the transaction.

Resolve any title issues. Order any payoff demands.

Review file. Are conditions satisfied? Contingencies removed?

Prepare closing statement, closing instructions and transfer deed

Obtain signatures on all escrow and loan documents. Collect any funds due from Buyer and/or Seller

Record applicable documents with the County Recorder's office.

Close file. Prepare final statements. Disburse funds.

Forward final documents to all interested parties - Buyer, Seller, Real Estate Agents, Lender, Broker, Attorney, etc.

NEW LOAN

Notify Escrow with name of new lender and loan officer.

Send title report to lender.

Notification of final loan approval. Are repairs complete?

Deliver Seller & Buyer Closing Disclosures. Buyers’ consummation 3-6 days.

Loan documents delivered to escrow.

Return loan documents for final approval to fund and record.

Order loan funds.

Turn static files into dynamic content formats.

Create a flipbook