Skip to main content

Homebook for 7730 SW Taylors Ferry Rd

Page 1

7730 SW Taylors Ferry Rd Portland, OR 97223 Michael Bryant Berkshire Hathaway HSNW RE 9201 SE 91st Ave # 200 Clackamas, OR 97086

Property Profile HOMEBOOK

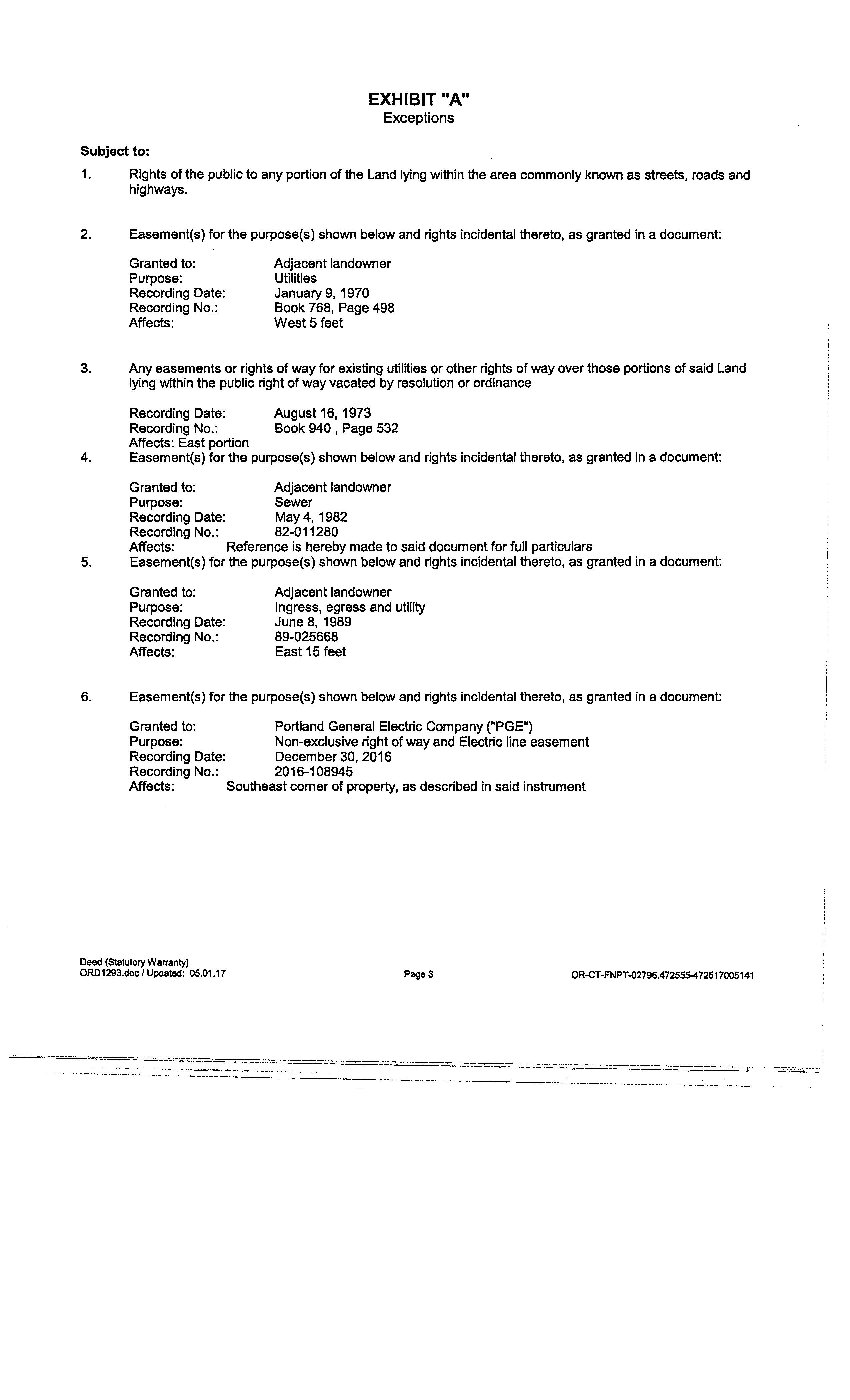
Parcel Information

Parcel #:R227418

Tax Lot:1S125CA00800

SiteAddress:7730 SWTaylors Ferry Rd

Portland OR 97223 - 1063

Owner:Amber Jones

Owner2:

OwnerAddress:5830 Saturn St

LosAngeles CA90019 - 3741

Twn/Range/Section:01S / 01W / 25 / SW

Parcel Size:0 24Acres (10,454 SqFt)

Plat/Subdivision:MetzgerAcreTracts

Lot:1

Block:1

Map Page/Grid:655-G1

CensusTract/Block:030600 / 2002

Assessment Information

Market Value Land: $298,370 00

Market Value Impr: $528,380 00

Market Value Special: $0 00

Market ValueTotal: $826,750 00

AssessmentYear: 2022

Assessed Value: $414,850.00

Tax Information

Levy Code:23 64 Levy Rate:16 0306

TaxYear:2022

AnnualTax:$6,702 43

Exemption:$0 00

Legal

METZGERACRETRACTS, BLOCK 1, LOTPT1, PLUSTPT VACATED ST,ACRES 0 24

Land

River School District:23J -Tigard-Tualatin

Primary School:METZGER ELEMENTARYSCHOOL Middle School:THOMAS R FOWLER MIDDLE SCHOOL High School:TUALATIN HIGH SCHOOL

Improvement

Year Built:2017 Bedrooms:3 Bathrooms:2 1st Floor:2,358 SqFt 2nd Floor:0 SqFt BuildingTotal:2,358 SqFt

Garage:Finished Garage - 794 SqFt Attic Fin/Unfin:0 SqFt / 0 SqFt Building Fin:2,358 SqFt

A/C:Yes

Basement Fin SqFt:0 SqFt

Basement Unfin:

Heat: Exterior Walls:Wood Sheathing Roof Covering:Composition

Transfer Information

Loan Date:03/10/2020 LoanAmt:$510,400 00

Doc Num:20290

DocType:Deed OfTrust

LoanType: FinanceType:Conventional Lender:UNITED WHOLESALE MTG

Rec Date:09/28/2017 Sale Price:$546,000 00

Owner:Amber Jones

Orig LoanAmt:$424,100 00

Doc Num:2017076700

Grantor:KUTSAR VIACHELSLAV

Title Co:CHICAGOTITLE CO

DocType:Deed

FinanceType: LoanType:Conventional Lender:GUARANTEED RATE INC

Sentry Dynamics, Inc and its customers make no representations, warranties or conditions, express or implied, as to the accuracy or completeness of information contained in this report

Washington County Parcel Information Cnty Land Use:1010 - Residential Improved Cnty Bldg Use:R1 - Residence Single Family Land Use Std:RSFR - Single Family Residence Zoning:Washington Co -R-5 - Low Density Residential District Neighborhood:Cpo 4m Metzger Recreation: Watershed:Fanno
Creek-Tualatin

Thismap/platisbeingfurnishedasanaidinlocatingthehereindescribedLandinrelationtoadjoiningstreets,naturalboundariesandotherland,andisnotasurveyofthe landdepicted.Excepttotheextentapolicyoftitleinsuranceisexpresslymodifiedbyendorsement,ifany,theCompanydoesnotinsuredimensions,distances,locationof easements,acreageorothermattersshownthereon.

Thismap/platisbeingfurnishedasanaidinlocatingthehereindescribedLandinrelationtoadjoiningstreets,naturalboundariesandotherland,andisnotasurveyofthe landdepicted.Excepttotheextentapolicyoftitleinsuranceisexpresslymodifiedbyendorsement,ifany,theCompanydoesnotinsuredimensions,distances,locationof easements,acreageorothermattersshownthereon.

If applicable, the described property is receiving special valuation based upon its use. Additional rollback taxes which may become due based on the provisions of the special valuation are not indicated in this listing.

Eéective Date: Property Property Address 2022 Real Market Value R227418 7730SWTAYLORSFERRYRD,UNINCORPORATED,OR97223 $826,750 2023GENERALINFORMATION Property Status AActive Property Type Residential Legal Description METZGERACRETRACTS,BLOCK1,LOTPT1, PLUSTPTVACATEDST,ACRES0.24 Alternate Account NumberNeighborhood METZMETZGER Map Number 1S125CA00800 Property Use 1010:RESIDENTIALIMPROVED LevyCodeArea 023.64 2022CertiêedTaxRate 16.0306 RELATEDPROPERTIES Linked PropertiesProperty Group IDGrouped PropertiesSplit / Merge DateSplit / Merge AccountsSplit / Merge Message2022IMPROVEMENTS ? Expand/Collapse All 2022LANDSEGMENTS STATECODE SEGMENTTYPE LANDSIZE L1 01:SGLFAMIMPHS 0.24acres TOTALS 0.24acres CERTIFIED/INPROCESSVALUES YEAR IMPROVEMENTS LAND RMV SPECIALUSE ASSESSEDVALUE 2022 $528,380 $298,370 $826,750 $0 $414,850 2021 $390,500 $296,610 $687,110 $0 $402,770 SALESHISTORY SALEDATE SELLER BUYER INST# SALEPRICE INSTTYPE 9/27/2017 Unknown Unknown 2017076700 $546,000 DW 8/5/2015 Unknown Unknown 2015074030 $148,000 DW Unknown Unknown - - UNK
TAXSUMMARY ? Details TAXYEAR ADVALOREM SPECIAL ASMT TOTALBILLED LEVY BALANCE INTEREST OWING DATEPAID TOTALOWED 2022 $6,650.30 $6,702.43 $2,263.54 $1.17 - $2,264.71 2021 $6,483.75 $6,536.76 $0.00 $0.00 7-6-2022 $0.00 2020 $6,293.27 $6,345.82 $0.00 $0.00 5-11-2021 $0.00 2019 $6,119.28 $6,173.00 $0.00 $0.00 11-14-2019 $0.00 2018 $5,861.29 $5,891.55 $0.00 $0.00 11-8-2018 $0.00 2017 $1,878.94 $1,889.17 $0.00 $0.00 11-21-2017 $0.00 TOTALTAXESDUE CurrentYearDue $2,264.71 PastYearsDue $0.00 TotalDue $2,264.71 *Total Due shown may not reëect current amount due ? Improvement #1 Improvement Type Beds / Baths - Single-FamilyResidence 3 / 2 ? Sketch $52.13 $53.01 $52.55 $53.72 $30.26 $10.23
2016 $1,811.46 $1,821.82 $0.00 $0.00 11-9-2016 $0.00 2015 $1,735.83 $1,746.30 $0.00 $0.00 11-9-2015 $0.00 2014 $1,684.45 $1,695.01 $0.00 $0.00 9-2-2015 $0.00 2013 $1,646.85 $1,657.47 $0.00 $0.00 9-2-2015 $0.00 2012 $0.00 $1,588.24 $0.00 $0.00 10-31-2014 $0.00 2011 $0.00 $1,539.72 $0.00 $0.00 7-22-2013 $0.00 2010 $0.00 $1,502.08 $0.00 $0.00 11-15-2010 $0.00 2009 $0.00 $1,484.63 $0.00 $0.00 11-25-2009 $0.00 2008 $0.00 $1,426.34 $0.00 $0.00 11-10-2008 $0.00 2007 $0.00 $1,365.22 $0.00 $0.00 11-20-2007 $0.00 TAXYEAR RECEIPTNUMBER TRANSACTIONDATE VOIDED PAYMENTAMOUNT 2022 WASH-2023-9463 2-28-2023 No $2,234.14 2022 WASH-2022-173252 11-14-2022 No $2,234.15 2021 WASH-2022-19645 7-6-2022 No $2,237.02 2021 WASH-2022-6448 2-16-2022 No $2,178.92 2021 WASH-2021-193995 11-16-2021 No $2,178.92 2020 WASH-2021-16388 5-11-2021 No $2,115.27 2020 WASH-2020-176866 11-17-2020 No $4,145.94 2019 6089226 11-14-2019 No $5,987.81 2018 5854445 11-8-2018 No $5,714.80 2017 5724182 11-21-2017 No $1,832.49 2016 5380207 11-9-2016 No $1,767.17 2015 5182618 11-9-2015 No $1,693.91 2014 5115167 9-2-2015 No $3,930.57 2012 4923345 10-31-2014 No $1,777.79 2012 4900997 9-19-2014 No $250.00 2011 4684160 7-22-2013 No $697.89 2011 4450810 4-16-2012 No $1,000.00 2010 4168399 11-15-2010 No $1,457.02 2009 3983192 11-25-2009 No $940.09 2009 3983193 11-25-2009 No $500.00 2008 3645618 11-10-2008 No $1,383.55 2007 3538502 11-20-2007 No $1,324.26 $10.36 $10.47 $10.56 $10.62 $0 $0 $0 $0 $0 $0
Neighborhood Information HOMEBOOK
Page 1
Subject Property Location Report Date: 04/28/2023 Property Address 7730 SW TAYLORS FERRY RD Order ID: R113931001 City, State & Zip PORTLAND, OR 97223-1063 County WASHINGTON COUNTY Property Use Single Family Residential Mailing Address 5830 SATURN ST, LOS ANGELES, CA 90019-3741 Parcel Number 1S125CA-00800 Subject Property Address 7730 SW TAYLORS FERRY RD, PORTLAND, OR 97223 APN 1S125CA-00800 Owner JONES, AMBER Lot Size (SF/AC) 10,454/.24 Bedrooms 3 Year Built 2017 Living Area (SF) 2,358 Bathrooms/Partial 3 Garage/No. of Cars Garage/3 Phones Nearby Neighbor #1 Address 7770 SW TAYLORS FERRY RD, PORTLAND, OR 97223 APN 1S125CA-00803 Owner THAIN, LINDSAY EE Lot Size (SF/AC) 6,970/.16 Bedrooms 3 Year Built 1968 Living Area (SF) 2,228 Bathrooms/Partial 3 Garage/No. of Cars Garage/2 Phones Nearby Neighbor #2 Address 9065 SW 77TH AVE, PORTLAND, OR 97223 APN 1S125CA-00802 Owner WHEELER, DOLORES MARIE Lot Size (SF/AC) 9,148/.21 Bedrooms 3 Year Built 1968 Living Area (SF) 1,700 Bathrooms/Partial 1 Garage/No. of Cars Garage/2 Phones Nearby Neighbor #3 Address 7680 SW TAYLORS FERRY RD, PORTLAND, OR 97223 APN 1S125CA-00705 Owner RUIZ, JUAN MERCADO Lot Size (SF/AC) 10,890/.25 Bedrooms 3 Year Built 1980 Living Area (SF) 1,197 Bathrooms/Partial 2 Garage/No. of Cars Garage/2 Phones Nearby Neighbor #4 Address 7676 SW TAYLORS FERRY RD, PORTLAND, OR 97223 APN 1S125CA-00706 Owner GEIGER, BENJAMIN Lot Size (SF/AC) 6,970/.16 Bedrooms 3 Year Built 1980 Living Area (SF) 1,242 Bathrooms/Partial 2 Garage/No. of Cars Garage/2 Phones (503) 750-2964 Nearby Neighbor #5 Address 7800 SW TAYLORS FERRY RD, PORTLAND, OR 97223 APN 1S125CA-00801 Owner MODINE, JORDAN A & WARE, JOHN C Lot Size (SF/AC) 12,197/.28 Bedrooms 3 Year Built 1964 Living Area (SF) 1,584 Bathrooms/Partial 2 Garage/No. of Cars Underground/Basement/2 Phones Nearby Neighbor #6 Address 7695 SW TAYLORS FERRY RD, PORTLAND, OR 97223 APN 1S125BD-02300 Owner MYERS, SALLY KAY Lot Size (SF/AC) 8,276/.19 Bedrooms 2 Year Built 1942 Living Area (SF) 1,470 Bathrooms/Partial 2 Garage/No. of Cars Phones
Nearby Neighbors Report
Page 2 Nearby Neighbor #7 Address 7670 SW TAYLORS FERRY RD, PORTLAND, OR 97223 APN 1S125CA-00710 Owner BOWEN, TEIGH C & ESSIN, STEPHANIE L Lot Size (SF/AC) 7,405/.17 Bedrooms 3 Year Built 1980 Living Area (SF) 1,252 Bathrooms/Partial 2 Garage/No. of Cars Garage/2 Phones Nearby Neighbor #8 Address 7807 SW BIRCH ST, PORTLAND, OR 97223 APN 1S125CA-01700 Owner LOCHTIE, DYLAN & ILLO, BRIANNA Lot Size (SF/AC) 23,958/.55 Bedrooms 3 Year Built 1950 Living Area (SF) 1,929 Bathrooms/Partial 2 Garage/No. of Cars Carport/2 Phones Nearby Neighbor #9 Address 7752 SW CHASE LN, PORTLAND, OR 97223 APN 1S125BD-12400 Owner SAVARIA FAMILY REV TRUST Lot Size (SF/AC) 4,792/.11 Bedrooms 4 Year Built 1996 Living Area (SF) 1,839 Bathrooms/Partial 3 Garage/No. of Cars Garage/2 Phones Nearby Neighbor #10 Address 7805 SW TAYLORS FERRY RD, PORTLAND, OR 97223 APN 1S125BD-10200 Owner WEED, JOHN R & WEED, KAREN D Lot Size (SF/AC) 5,663/.13 Bedrooms 2 Year Built 1944 Living Area (SF) 1,544 Bathrooms/Partial 1 Garage/No. of Cars Phones Nearby Neighbor #11 Address 7812 SW TAYLORS FERRY RD, PORTLAND, OR 97223 APN 1S125CA-00900 Owner ION, MIHAELA & ION, DANIEL Lot Size (SF/AC) 16,553/.38 Bedrooms 9 Year Built 2005 Living Area (SF) 4,537 Bathrooms/Partial 9 Garage/No. of Cars Garage/2 Phones Nearby Neighbor #12 Address 7660 SW TAYLORS FERRY RD, PORTLAND, OR 97223 APN 1S125CA-00708 Owner KITTLESON, NATHAN J & KITTLESON, JESSICA L Lot Size (SF/AC) 10,890/.25 Bedrooms 3 Year Built 1980 Living Area (SF) 1,217 Bathrooms/Partial 2 Garage/No. of Cars Garage/2 Phones (503) 415-1718 Nearby Neighbor #13 Address 7817 SW BIRCH ST, PORTLAND, OR 97223 APN 1S125CA-01600 Owner PERKINS, EZRA R & PERKINS, LYNDE R Lot Size (SF/AC) 14,810/.34 Bedrooms 5 Year Built 2005 Living Area (SF) 3,154 Bathrooms/Partial 4 Garage/No. of Cars Garage/2 Phones (503) 412-9049 Nearby Neighbor #14 Address 7817 SW TAYLORS FERRY RD, PORTLAND, OR 97223 APN 1S125BD-02503 Owner VINSON, ALLEN R Lot Size (SF/AC) 7,841/.18 Bedrooms 3 Year Built 1978 Living Area (SF) 1,256 Bathrooms/Partial 2 Garage/No. of Cars Garage/2 Phones

Nearby

Address 7664 SW TAYLORS FERRY RD, PORTLAND, OR 97223

Owner COUTURIER, STACEY L

Bedrooms 3 Year Built

Bathrooms/Partial 2 Garage/No. of Cars Garage/2

Disclaimer

THIS REPORT IS INTENDED FOR USE BY YOU AS AN END USER SOLELY FOR YOUR INTERNAL BUSINESS PURPOSES. YOU SHALL NOT RESELL, RELICENSE OR REDISTRIBUTE THIS REPORT, IN WHOLE OR IN PART. THE USE OF THIS REPORT BY ANY PARTY OTHER THAN YOURSELF FOR ANY PURPOSE IS STRICTLY PROHIBITED. THIS REPORT IS PROVIDED AS-IS WITHOUT WARRANTY OF ANY KIND, EITHER EXPRESS OR IMPLIED, INCLUDING WITHOUT LIMITATION, ANY WARRANTIES OF MERCHANTABILITY, NON-INFRINGEMENT, OR FITNESS FOR A PARTICULAR PURPOSE. BLACK KNIGHT SHALL HAVE NO LIABILITY IN CONTRACT, TORT, OR OTHERWISE ARISING OUT OF OR IN CONNECTION WITH THIS REPORT. BLACK KNIGHT DOES NOT REPRESENT OR WARRANT THAT THE REPORT IS COMPLETE OR FREE FROM ERROR. YOU UNDERSTAND AND ACKNOWLEDGE THAT THE AVAILABILITY, COMPLETENESS AND FORMAT OF THE DATA ELEMENTS MAY VARY SUBSTANTIANLLY FROM AREA-TO-AREA. THE INFORMATION CONTAINED IN THIS REPORT IS DERIVED FROM PUBLICLY AVAILABLE SOURCES FOR THE SUBJECT PROPERTY OR COMPARABLE PROPERTIES LISTED ABOVE AND HAS NOT BEEN INDEPENDENT VERIFIED BY BLACK KNIGHT THROUGH ANY FORM OF INSPECTION OR REVIEW. THIS REPORT DOES NOT CONSTITUTE AN APPRAISAL OF ANY KIND AND SHOULD NOT BE USED IN LIEU OF AN INSPECTION OF A SUBJECT PROPERTY BY A LICENSED OR CERTIFIED APPRAISER. THIS REPORT CONTAINS NO REPRESENTATIONS, OPINIONS OR WARRANTIES REGARDING THE SUBJECT PROPERTY'S ACTUAL MARKETABILITY, CONDITION (STRUCTURAL OR OTHERWISE), ENVIRONMENTAL, HAZARD OR FLOOD ZONE STATUS, AND ANY REFERENCE TO ENVIRONMENTAL, HAZARD OR FLOOD ZONE STATUS IS FOR INFORMATIONAL PURPOSES ONLY AND SHALL BE INDEPENDENTLY VERIFIED BY THE END USER. THE INFORMATION CONTAINED HEREIN SHALL NOT BE UTILIZED: (A) TO REVIEW OR ESTABLISH A CONSUMER'S CREDIT AND/OR INSURANCE ELIGIBILITY OR FOR ANY OTHER PURPOSE THAT WOULD CAUSE THE REPORT TO CONSTITUTE A "CONSUMER REPORT" UNDER THE FAIR CREDIT REPORTING ACT, 15 U.S.C. § 1681 ET SEQ.; OR (B) IN CONNECTION WITH CERTIFICATION OR AUTHENTICATION OF REAL ESTATE OWNERSHIP AND/OR REAL ESTATE TRANSACTIONS. ADDITIONAL TERMS AND CONDITIONS SHALL APPLY PURSUANT TO THE APPLICABLE AGREEMENT.

Copyright

CONFIDENTIAL, PROPRIETARY AND/OR TRADE SECRET. TM SM ® TRADEMARK(S) OF BLACK KNIGHT IP HOLDING COMPANY, LLC, OR AN AFFILIATE. © 2023 BLACK KNIGHT TECHNOLOGIES, LLC. ALL RIGHTS RESERVED.

Page 3
Neighbor #15
APN 1S125CA-00709
Lot
6,970/.16
1980 Living
Size (SF/AC)
Area (SF) 1,252
Phones
Utilities
HOMEBOOK

Please Use/Click on this Digital U lity Link

Most u lity service providers require you to go online, fill out a form and e-mail back, or use their online service.

School Information HOMEBOOK

ClickHereforthe OregonSchoolReportCards

School Information

Centennial

North

David

Gresham

Banks 503 . 324 . 8591 | www.banks.k12.or.us Beaverton 503 672 3721 | www.beaverton.k12.or.us
503 266 7861 | boundaries: 503 266 2064 | www.canby.k12.or.us
Canby
503 760 7990 | www.centennial.k12.or.us
Clackamas 503 . 653 . 6000 | boundaries: 503 . 353 . 6119 | www.nclack.k12.or.us
503 824 3535 | boundaries: 503 824 3534 | www.colton.k12.or.us
Colton
Douglas 503 . 252 . 7990 | www.centennial.k12.or.us
503 . 630 . 6871 | www.esd108.k12.or.us
Grove 503 357 6171 | boundaries: 503 359 8167 x 221 | www.fgsd.k12.or.us
503 . 655 . 2777 | www.gladstone.k12.or.us
Estacada
Forest
Gladstone
/ Barlow 503 . 618 . 2450 | www.gresham.k12.or.us Hillsboro 503 844 1500 | boundaries: 503 648 9123 | www.hsd.k12.or.us
Oswego 503 . 534 . 2000 | boundaries: 503 . 534 . 2490 | www.loswego.k12.or.us
Lake

School Information

McMinnville 503 565 4000 | www.msd.k12.or.us Molalla River 503 . 829 . 2359 | boundaries: 503 . 829 . 2512 | www.molallariv.k12.or.us Newberg 503 554 5000 | boundaries: 503 538 8365 | www.newberg.k12.or.us Oregon City 503 657 4283 | boundaries: 503 657 2471 | www.orecity.k12.or.us Oregon Trail 503 668 5541 | www.oregonrailschools.k12.or.us Parkrose 503 408 2100 | www.parkrose.k12.or.us Portland 503 916 2000 | boundaries: 503 916 3262 | www.pps.k12.or.us Reynolds 503 . 661 . 7200 | boundaries: 503 . 492 . 4921 | www.reynolds.k12.or.us Sherwood 503 625 8100 | boundaries: 503 625 8107 | www.sherwood.k12.or.us Tigard / Tualatin 503 431 4000 | www.ttsd.k12.or.us West Linn / Wilsonville 503 . 673 . 7000 | boundaries: 503 . 673 . 7034 | www.wlwv.k12.or.us Woodburn 503 . 981 . 9555 | www.woodburn.k12.or.us
County G School Type Tuition Range A(%) E(#)C(#)M(#) U Washington County (OR) 1. Agia Sophia Academy PK-5 Montessori $6,600–8,300 95 30 12 Yes 2. Catlin Gabel School PK-12 College Prep $27,190–34,100 26 776 17 61 No 4. Forest Hills Lutheran Christian School PK-8 Lutheran $6,531–6,875 98 197 18 No 5. German International School PK-5 Language Immersion, INTL Baccalaureate $15,110–15,275 98 144 12 10 No 6. Holy Trinity Catholic School PK-8 Catholic $6,600–8,400 285 30 Yes 7. Horizon Christian School PK-12 College Prep $4,650–11,975 95 411 14 24 No 8 Islamic School of MET PK-12 Muslim College Prep $7,750–8,250 90 206 16 5 Yes 9. Jesuit High School 9-12 College Prep $15,475 71 1274 23 86 No 11. Living Wisdom School PK-8 Education for Life $7,200–9,100 95 38 12 No 12. Montessori School of Beaverton PK-6 Montessori $11,400–12,000 80 120 1010 No 13. Northwest Chinese Academy PK-5 Language Immersion $17,250–19,525 96 33 77 Yes 14. Oregon Episcopal School PK-12 College Prep $28,900–35,000 43 858 16 72 Yes 15. Pilgrim Lutheran Christian School PK-8 Christian $6,850–8,295 12512 5 Yes 16. St. Matthew Catholic School PK-8 Catholic $6,850–8,600 99 184 21 16 Yes 17. St. Pius X Grade School K-8 Catholic $7,240–9,430 85 492 3029 Yes 18. St. Stephen‘s Academy PK-12 Classical Christian $5,160–10,620 96 256 1610 Yes 19. Tualatin Valley Academy PK-12 Christian $4,980–9,108 99 175 20 8 No Grade Range Acceptance Rate A 2014-2015 Enrollment E G
School Information
School Information County G School Type Tuition Range A(%) E(#)C(#) M(#) U Washington County (OR) 20. Valley Catholic Elementary School K-5 Catholic $8,520 337 13 Yes 21. Valley Catholic Middle School 6-8 College Prep $11,610 252 24 Yes 22. Valley Catholic High School 9-12 College Prep $14,685 370 28 No 23. Visitation Catholic School PK-8 Catholic $4,793–5,868 98 165 20 8 Yes Multnomah County (OR) 1. A Renaissance School of Arts and Sciences K-8 Progressive $14,440 90 115 8 9 No 2. Central Catholic High School 9-12 College Prep, Catholic $15,378–19,000 98 850 21 52 No 3. Childpeace Montessori School, Metro Middle School PK-8 Montessori $11,600–17,300 6 254 26 10 No 4. Columbia Christian School PK-12 Christian, College Prep $4,000–8,000 95 250 20 18 No 5. Edison High School 9-12 Learning Differences $24,650 50 102 9 14 No 6. French American International School PK-8 Language Immersion $18,296–21,113 79 451 16 48 No 7. Grace Lutheran School PK-8 Lutheran $2,825–6,695 95 88 22 1 No 8. Holy Redeemer Catholic School PK-8 Catholic $5,450–7,775 95 304 27 11 Yes 9. Northwest Academy 6-12 College Prep $22,900–24,400 75 240 15 26 No 10. Open Door Christian Academy PK-12 Christian $2,210–3,940 50 285 25 5 No 11. Pacific Crest Community School 6-12 College Prep $14,250 70 95 12 9 No Average Class Size C Required clothing or Uniforms? U Faculty with Master’s Degrees M
Grade Range Acceptance Rate A 2018-2019 Enrollment E G County G School Type Tuition Range A(%) E(#)C(#)M(#) U Multnomah County (OR) 12. Portland Christian Schools PK-12 College Prep $7,400–11,335 94 547 42 30 No 13. Portland Jewish Academy PK-8 Jewish $19,415–20,035 60 18818 No 14. St. Agatha Catholic School PK-8 Catholic $6,350–7,930 60 18818 No 15. St. Clare School K-8 Catholic $6,600–8,400 100 20726 Yes 16. St. John Fisher School K-8 Catholic $7,160–9,335 89 200 24 17 Yes 17. St. Mary’s Academy 9 - 12 College Prep $15,995 97 680 21 46 No 18. St. Rose School PK-8 Catholic $6,190–7,840 94 224 25 12 Yes 19. Sunstone Montessori School PK-6 Montessori $11,900–12,800 90 172 26 14 No 20. The International School PK-5 Language Immersion $19,040–19,640 87387 14 24 No 21. The Madeleine School K-8 Catholic $6,065–7,750 95 264 30 11 Yes 22. The Portland Montessori School PK-6 Montessori $10,725–11,600 80 151 24 7 No 23. Trinity Lutheran Christian School K-8 Lutheran $7,300 1005210 24. Tucker Maxon School PK-5 Independent $8,200–17,000 91 45 1212 No 25. Venn Academy K-8 Relationship BasedLearning $11,000 50-60 18 9 26. West Hills Christian School K-8 Christian $5,800–8,875 90 308 18 11 No 27 West Hills Montessori PK-6 Montessori $11,495–12,255 80 125 25 15 No
School Information
School Information Average Class Size C Required clothing or Uniforms? U Faculty with Master’s Degrees M County G School Type Tuition Range A(%) E(#)C(#)M(#) U Clackamas County (OR) 1. Arbor School of Arts and Sciences K-8 Progressive $14,400 29 189 21 24 No 2. Christa McAuliffe Academy School of Arts and Sciences K-12 College Prep $3,995–8,795 100 380 10 12 No 3. La Salle Catholic College Prep 9-12 College Prep $14,750 85 703 19 45 No 4 Micha-el School PK-8 Waldorf $6,370–8,340 95 110 18 9 No 5. North Clackamas Christian School PK-12 Christian $6,353–7,860 95 263 1815 No 6. Park Academy 3-12 Learning differences $21,000 96 10 7. Portland Waldorf School PK-12 Waldorf $11,275–19,595 325 20 8. Spring Mountain Christian Academy K-12 Christian $3,460$4,440 90 165 12 4 No 9. St. John the Apostle Catholic School PK-8 Catholic $6,499 98 190 18 9 Yes 10. The Marylhurst School PK-8 Progressive $11,000 80 85 18 7 No Clark County (WA) 1. Cascadia School 1 - 6 Montessori $9,960–10,440 90 98 22 3 No 2. Cedar Tree Classical Christian School K - 12 College Prep $6,600–6,960 75 213 16 8 Yes 3. The Gardner School of Arts & Sciences PK - 8 Independent $16,950–18,550 37 10 4 Our Lady Of Lourdes Catholic School PK-8 Catholic $7,034–8,975 98 232 22 10 Yes

Turn static files into dynamic content formats.

Create a flipbook