











![]()












MultnomahCountyParcelInformation
Parcel#:R193698
TaxLot:1N2E32BD06500
SiteAddress:7065NEOregonSt
PortlandOR97213-5576
Owner:LarsenTrust Wong
7065NEOregonSt
PortlandOR97213-5576
Twn/Range/Section : 01N/02E/32/NW
ParcelSize:011Acres(5,000SqFt)
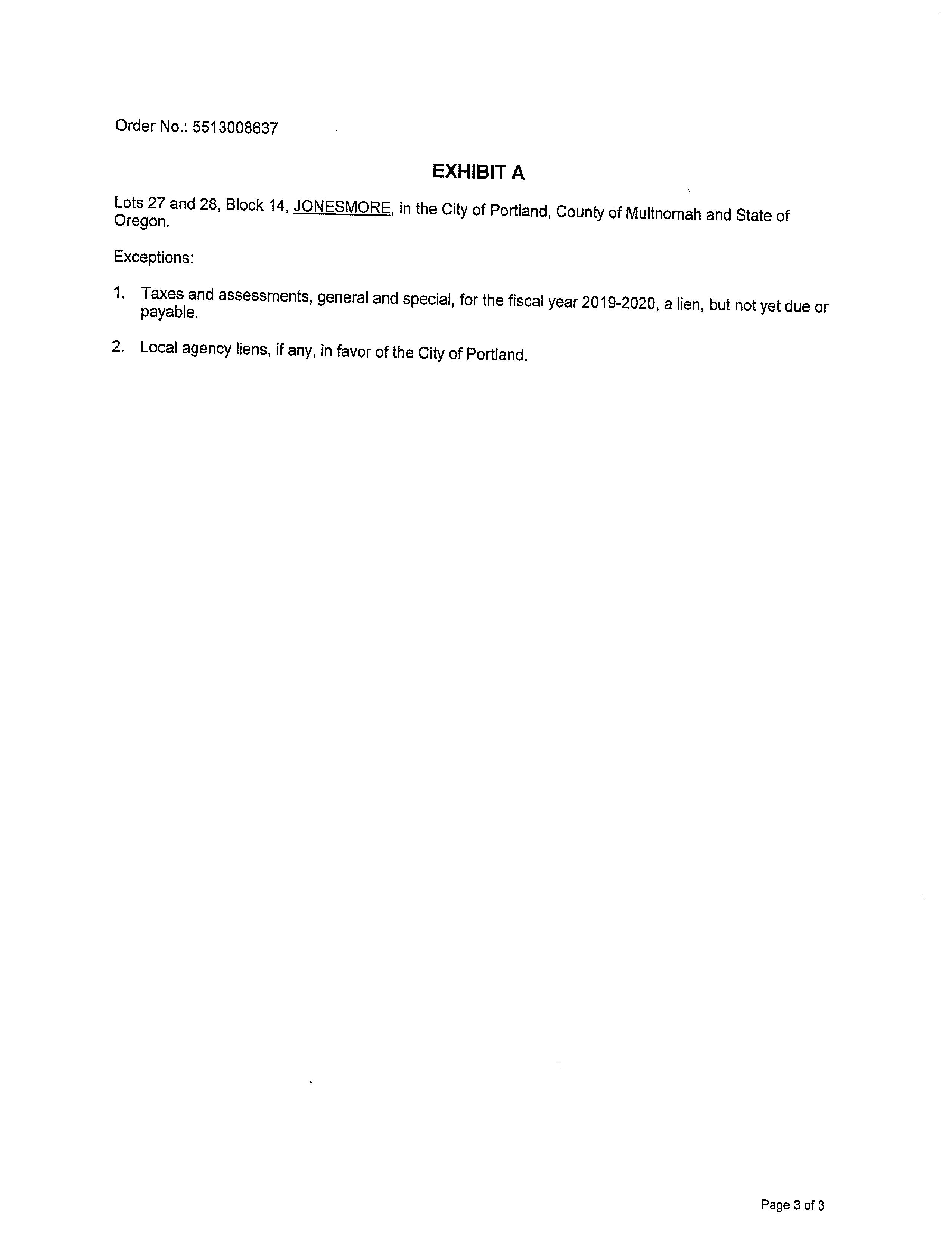
Plat/Subdivision:Jonesmore
Lot/Block:27/14
MapPage/Grid:597-E5
Census
Tract/Block: 001703/3007
CntyLandUse:101-Single-Family,Residential,Improved

MarketValueLand: $275,000.00
MarketValueImpr: $275,01000
MarketValueTotal: $550,01000
AssessedValue: $171,58000(2023)
LevyCodeArea:201
LevyRate:26.4987(2023)
TaxYear:2023
AnnualTax:$4,54665
Exemption:N/A
CountyBldgUse:B-ResidentialImproved LandUseStd:RSFR-SingleFamilyResidence
Recreation:
Watershed:ColumbiaSlough-WillametteRiver
Neighborhood:MON-Montavilla Zoning:Portland-R5-Residential5,000
#Dwellings: SchoolDistrict:1J-Portland ElementarySchool:VestalElementarySchool MiddleSchool:HarrisonParkSchool HighSchool:LeodisV McDanielHighSchool
Improvement
YearBuilt:1912
Bedrooms:3
Baths,Total:2
RoofCovering:Composition
A/C:
Kitchen:1
TransferInformation
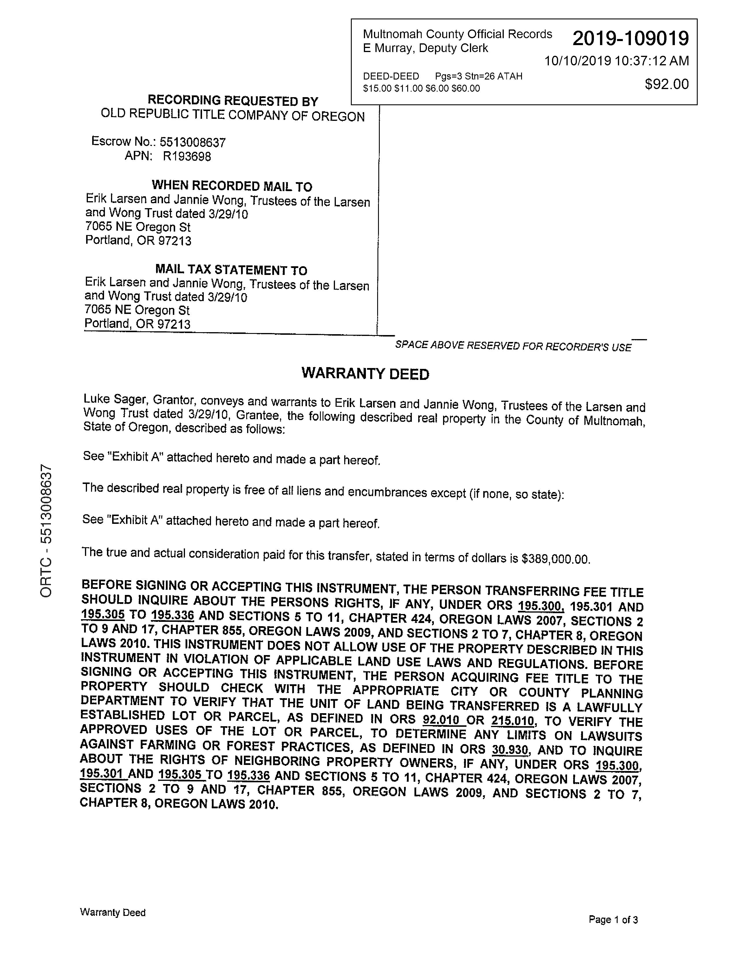
Rec Date:10/10/2019
Owner:Larsen&WongTrust
Orig LoanAmt:
SentryDynamics,Inc anditscustomersmakenorepresentations,warrantiesorconditions,expressorimplied,astotheaccuracyor completenessofinformationcontainedinthisreport ParcelInformation AssessmentInformation
Stories:1
Garage:Det216SqFt
Baths,Full/Half:2/0
ExteriorWalls:Metal
Heat:ForcedAir
Porch/Patio:200SqFt/0SqFt
SalePrice:$389,00000
TotalArea:2,231SqFt
FirstFloor:875SqFt
SecondFloor:
BasementFin/Unfin:0SqFt/704SqFt
AtticFin/Unfin:652SqFt/0SqFt
Deck:
DocNum:109019
Grantor:SAGERLUKE
TitleCo:OLDREPUBLICTITLE
FinanceType: LoanType: Lender:
DocType:Deed

Thismap/platisbeingfurnishedasanaidinlocatingthehereindescribedLandinrelationtoadjoiningstreets,naturalboundariesandotherland,andisnotasurveyofthe landdepicted.Excepttotheextentapolicyoftitleinsuranceisexpresslymodifiedbyendorsement,ifany,theCompanydoesnotinsuredimensions,distances,locationof easements,acreageorothermattersshownthereon.

Thismap/platisbeingfurnishedasanaidinlocatingthehereindescribedLandinrelationtoadjoiningstreets,naturalboundariesandotherland,andisnotasurveyofthe landdepicted.Excepttotheextentapolicyoftitleinsuranceisexpresslymodifiedbyendorsement,ifany,theCompanydoesnotinsuredimensions,distances,locationof easements,acreageorothermattersshownthereon.
Property Owner Property Address
2023AssessedValue R193698 LARSEN&WONGTR 7065NEOREGON
GENERALINFORMATION
Property Status AActive
Property Type RPResidential
Legal Description JONESMORE,BLOCK14,LOT27&28
Alternate Account Number R433601740
Neighborhood RB2054 Montavilla Map Number 1N2E32BD-06500
Property Use B-RESIDENTIALIMPROVED
LevyCodeArea 201
OWNERINFORMATION
Owner Name LARSEN&WONGTR
Mailing Address 7065NEOREGONSTPORTLAND,OR97213
RELATEDPROPERTIES
Split/Merge data prior to February 6, 2018 is not available online, please call Multnomah County Assessment & Taxation division.
Linked Properties -
Property Group ID -
Grouped Properties -
Split / Merge Date -
Split / Merge Accounts -
Split / Merge Message -

IMPROVEMENTS ? Expand/Collapse All
LANDSEGMENTS





ReportDate:10/01/2024 Property
Owner CLISBY,ROBERT&CLISBY,JANET
Bedrooms 2 YearBuilt
Bathrooms/Partial 1 Garage/No.ofCars
THISREPORTISINTENDEDFORUSEBYYOUASANENDUSERSOLELYFORYOURINTERNALBUSINESSPURPOSES.YOUSHALLNOTRESELL,RELICENSEORREDISTRIBUTETHISREPORT,INWHOLEORIN PART THEUSEOFTHISREPORTBYANYPARTYOTHERTHANYOURSELFFORANYPURPOSEISSTRICTLYPROHIBITED.THISREPORTISPROVIDEDAS-ISWITHOUTWARRANTYOFANYKIND,EITHEREXPRESS ORIMPLIED,INCLUDINGWITHOUTLIMITATION,ANYWARRANTIESOFMERCHANTABILITY,NON-INFRINGEMENT,ORFITNESSFORAPARTICULARPURPOSE.INTERCONTINENTALEXCHANGE,INC.(ICE)SHALL HAVENOLIABILITYINCONTRACT,TORT,OROTHERWISEARISINGOUTOFORINCONNECTIONWITHTHISREPORT.ICEDOESNOTREPRESENTORWARRANTTHATTHEREPORTISCOMPLETEORFREEFROM ERROR.YOUUNDERSTANDANDACKNOWLEDGETHATTHEAVAILABILITY,COMPLETENESSANDFORMATOFTHEDATAELEMENTSMAYVARYSUBSTANTIALLYFROMAREA-TO-AREA.THEINFORMATION CONTAINEDINTHISREPORTISDERIVEDFROMPUBLICLYAVAILABLESOURCESFORTHESUBJECTPROPERTYORCOMPARABLEPROPERTIESLISTEDABOVEANDHASNOTBEENINDEPENDENTLYVERIFIEDBY ICETHROUGHANYFORMOFINSPECTIONORREVIEW THISREPORTDOESNOTCONSTITUTEANAPPRAISALOFANYKINDANDSHOULDNOTBEUSEDINLIEUOFANINSPECTIONOFASUBJECTPROPERTYBYA LICENSEDORCERTIFIEDAPPRAISER.THISREPORTCONTAINSNOREPRESENTATIONS,OPINIONSORWARRANTIESREGARDINGTHESUBJECTPROPERTY'SACTUALMARKETABILITY,CONDITION(STRUCTURAL OROTHERWISE),ENVIRONMENTAL,HAZARDORFLOODZONESTATUS,ANDANYREFERENCETOENVIRONMENTAL,HAZARDORFLOODZONESTATUSISFORINFORMATIONALPURPOSESONLYANDSHALLBE INDEPENDENTLYVERIFIEDBYTHEENDUSER.THEINFORMATIONCONTAINEDHEREINSHALLNOTBEUTILIZED:(A)TOREVIEWORESTABLISHACONSUMER'SCREDITAND/ORINSURANCEELIGIBILITYORFOR ANYOTHERPURPOSETHATWOULDCAUSETHEREPORTTOCONSTITUTEA"CONSUMERREPORT"UNDERTHEFAIRCREDITREPORTINGACT,15U.S.C.§1681ETSEQ.;OR(B)INCONNECTIONWITH CERTIFICATIONORAUTHENTICATIONOFREALESTATEOWNERSHIPAND/ORREALESTATETRANSACTIONS.ADDITIONALTERMSANDCONDITIONSSHALLAPPLYPURSUANTTOTHEAPPLICABLEAGREEMENT
Copyright
CONFIDENTIAL,PROPRIETARYAND/ORTRADESECRET TMSM®TRADEMARK(S)OFINTERCONTINENTALEXCHANGE,INC.ANDITSSUBSIDIARIESANDAFFILIATES.
©2024INTERCONTINENTALEXCHANGE,INC.ALLRIGHTSRESERVED.











Banks
503 . 324 . 8591 | www.banks.k12.or.us
Beaverton
503 672 3721 | www.beaverton.k12.or.us
Canby
503 266 7861 | boundaries: 503 266 2064 | www.canby.k12.or.us
Centennial
503 760 7990 | www.centennial.k12.or.us
503 . 653 . 6000 | boundaries: 503 . 353 . 6119 | www.nclack.k12.or.us
Colton
503 824 3535 | boundaries: 503 824 3534 | www.colton.k12.or.us
David Douglas
503 . 252 . 7990 | www.centennial.k12.or.us
Estacada
503 . 630 . 6871 | www.esd108.k12.or.us
Forest Grove
503 357 6171 | boundaries: 503 359 8167 x 221 | www.fgsd.k12.or.us
Gladstone
503 . 655 . 2777 | www.gladstone.k12.or.us
Gresham / Barlow
503 . 618 . 2450 | www.gresham.k12.or.us
Hillsboro
503 844 1500 | boundaries: 503 648 9123 | www.hsd.k12.or.us
Lake Oswego
503 . 534 . 2000 | boundaries: 503 . 534 . 2490 | www.loswego.k12.or.us
Washington County (OR)
Multnomah County (OR)
Clackamas County (OR) 1.

This map/plat is being furnished as an aid in locating the herein described Land in relation to adjoining streets, natural boundaries and other land, and is not a survey of the land depicted. Except to the extent a policy of title insurance is expressly modified by endorsement, if any, the Company does not insure dimensions, distances, location of easements, acreage or other matters shown thereon.