Skip to main content

Homebook for 515 Ballad Ln

Page 1

515 Ballad Ln Forest Grove, OR 97116 Cindy Parker Premiere Property Group, LLC 1500 NW Bethany Blvd., Suite 190 Beaverton, OR 97006

Property Profile HOMEBOOK

ParcelInformation

Parcel#:R1116465

TaxLot:1N435AD07300

SiteAddress:515BalladLn

ForestGroveOR97116-1167

Owner:MichaelStrauser

Owner2:KaylaStrauser

OwnerAddress:515BalladLn

ForestGroveOR97116-1167

Twn/Range/Section:01N/04W/35/NE

ParcelSize:020Acres(8,634SqFt)

Plat/Subdivision:BalladTowne02

Lot:121

Block:

MapPage/Grid:591-F3

CensusTract/Block:033302/1033

Land

CntyLandUse:1010-ResidentialImproved

LandUseStd:RSFR-SingleFamilyResidence

Neighborhood:Cpo12ForestGrove

Watershed:GalesCreek

PrimarySchool:DilleyElementarySchool

AssessmentInformation

MarketValueLand: $210,87000

MarketValueImpr: $363,89000

MarketValueSpecial: $000

MarketValueTotal: $574,76000

AssessmentYear: 2022

AssessedValue: $302,01000

TaxInformation

LevyCode:1519

LevyRate:169059

TaxYear:2022

AnnualTax:$5,10575

Exemption:$000

Legal

BALLADTOWNENO2,LOT121

CntyBldgUse:R1-ResidenceSingleFamily

Zoning:ForestGrove-R-7-LowDensitySingleFamily Residential

Recreation:

SchoolDistrict:15-ForestGrove

MiddleSchool:NeilArmstrongMiddleSchool HighSchool:ForestGroveHighSchool

Improvement

YearBuilt:1986

1stFloor:1,622SqFt

Garage:UnfinishedGarage666SqFt

A/C:Yes

Heat:

TransferInformation

LoanDate:10/11/2019

LoanType:

Rec Date:11/23/2015

Owner:MichaelStrauser

Bedrooms:4

2ndFloor:927SqFt

AtticFin/Unfin:0SqFt/0SqFt

BasementFin SqFt:0SqFt

ExteriorWalls:WoodSheathing

LoanAmt:$245,75000

FinanceType:Conventional

SalePrice:$270,00000

DocNum:71696

Bathrooms:3

BuildingTotal:2,549SqFt

BuildingFin:2,549SqFt

BasementUnfin:

RoofCovering:Composition

DocType:DeedOfTrust

Lender:MORTGAGEEXPRESSLLC

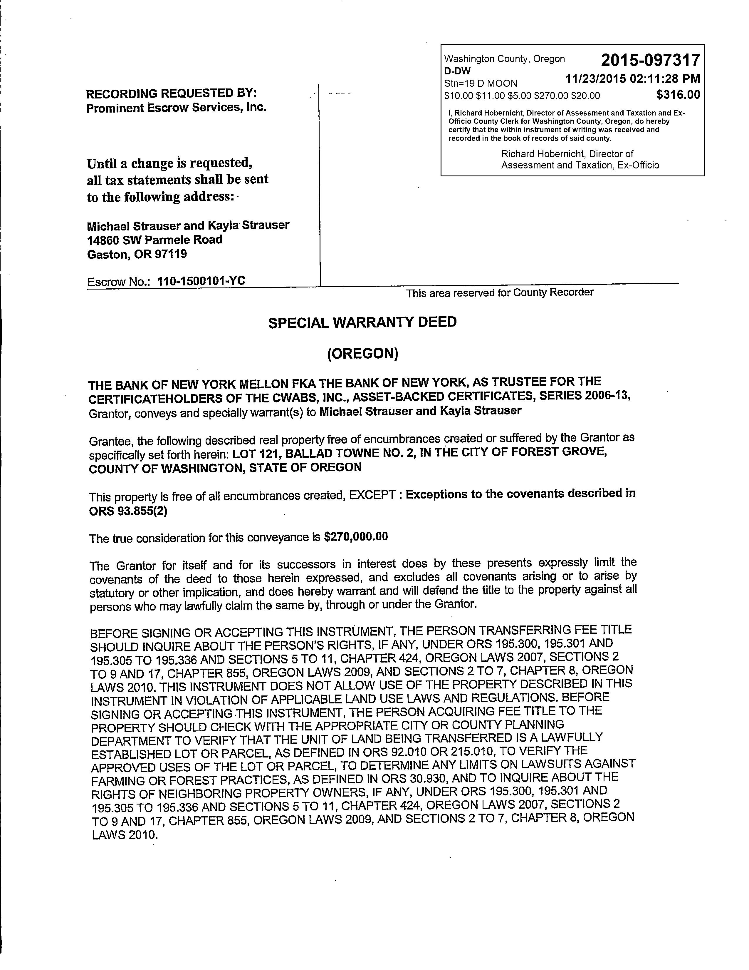
DocNum:2015097317

DocType:Deed

Grantor:BANKOFNEWYORKME2006-13

Orig LoanAmt: TitleCo:PROMINENTESCROWSVCSINC

FinanceType: LoanType: Lender:

SentryDynamics,Inc anditscustomersmakenorepresentations,warrantiesorconditions,expressorimplied,astotheaccuracyor completenessofinformationcontainedinthisreport

WashingtonCountyParcelInformation

Thismap/platisbeingfurnishedasanaidinlocatingthehereindescribedLandinrelationtoadjoiningstreets,naturalboundariesandotherland,andisnotasurveyofthe landdepicted.Excepttotheextentapolicyoftitleinsuranceisexpresslymodifiedbyendorsement,ifany,theCompanydoesnotinsuredimensions,distances,locationof easements,acreageorothermattersshownthereon.

Thismap/platisbeingfurnishedasanaidinlocatingthehereindescribedLandinrelationtoadjoiningstreets,naturalboundariesandotherland,andisnotasurveyofthe landdepicted.Excepttotheextentapolicyoftitleinsuranceisexpresslymodifiedbyendorsement,ifany,theCompanydoesnotinsuredimensions,distances,locationof easements,acreageorothermattersshownthereon.

If applicable, the described property is receiving special valuation based upon its use. Additional rollback taxes which may become due based on the provisions of the special valuation are not indicated in this listing.

Eìective Date: Property Property Address 2022 Real Market Value R1116465 515BALLADLN,FORESTGROVE,OR97116 $574,760 2023GENERALINFORMATION Property Status AActive Property Type Residential Legal Description BALLADTOWNENO.2,LOT121 Alternate Account NumberNeighborhood NWFGNORTHWESTFOREST GROVE Map Number 1N435AD07300 Property Use 1010:RESIDENTIALIMPROVED LevyCodeArea 015.19 2022 Certiíed Tax Rate 16.9059 RELATEDPROPERTIES Linked PropertiesProperty Group IDGrouped PropertiesSplit / Merge DateSplit / Merge AccountsSplit / Merge Message2022IMPROVEMENTS ? Expand/Collapse All 2022LANDSEGMENTS STATECODE SEGMENTTYPE LANDSIZE L1 01:SGLFAMIMPHS 0.00acres CERTIFIED/INPROCESSVALUES YEAR IMPROVEMENTS LAND RMV SPECIALUSE ASSESSEDVALUE 2022 $363,890 $210,870 $574,760 $0 $302,010 2021 $286,480 $190,070 $476,550 $0 $293,220 SALESHISTORY SALEDATE SELLER BUYER INST# SALEPRICE INSTTYPE 11/5/2015 Unknown Unknown 2015097317 $270,000 DW Unknown Unknown 2015064759 - DS 10/26/2001 Unknown Unknown 2001110888 $209,000 DW 5/14/1997 Unknown Unknown 1997045943 $210,000 DW 4/11/1996 Unknown Unknown 1996033273 - DQ 12/18/1992 Unknown Unknown 1992091656 $135,000 DW 6/1/1986 Unknown Unknown 1986026879 $12,600 UNK
TAXSUMMARY ? Details TAXYEAR ADVALOREM SPECIAL ASMT TOTALBILLED LEVY BALANCE INTEREST OWING DATEPAID TOTAL OWED 2022 $5,105.75 $5,105.75 $0.00 $0.00 11-9-2022 $0.00 TOTALTAXESDUE CurrentYearDue $0.00 PastYearsDue $0.00 TotalDue $0.00 ? Improvement #1 Improvement Type Beds / Baths - Single-FamilyResidence 4 / 3 ? Sketch ? Improvement #2 Improvement Type Beds / Baths - Non-Building 0 / 0 ? Sketch $0
2021 $5,039.71 $5,039.71 $0.00 $0.00 11-4-2021 $0.00 2020 $5,012.44 $5,012.44 $0.00 $0.00 11-12-2020 $0.00 2019 $4,900.69 $4,900.69 $0.00 $0.00 11-4-2019 $0.00 2018 $4,750.36 $4,750.36 $0.00 $0.00 11-8-2018 $0.00 2017 $4,603.54 $4,603.54 $0.00 $0.00 11-9-2017 $0.00 2016 $4,473.93 $4,473.93 $0.00 $0.00 11-16-2016 $0.00 2015 $4,302.00 $4,302.00 $0.00 $0.00 11-16-2015 $0.00 2014 $4,281.35 $4,281.35 $0.00 $0.00 12-19-2014 $0.00 2013 $4,172.23 $4,172.23 $0.00 $0.00 12-19-2014 $0.00 2012 $0.00 $3,905.33 $0.00 $0.00 12-19-2014 $0.00 2011 $0.00 $4,016.05 $0.00 $0.00 9-11-2012 $0.00 2010 $0.00 $4,035.45 $0.00 $0.00 9-11-2012 $0.00 2009 $0.00 $3,897.12 $0.00 $0.00 9-11-2012 $0.00 2008 $0.00 $3,765.15 $0.00 $0.00 5-12-2009 $0.00 2007 $0.00 $3,584.59 $0.00 $0.00 5-13-2008 $0.00 *Total Due shown may not reîect current amount due TAXYEAR RECEIPTNUMBER TRANSACTIONDATE VOIDED PAYMENTAMOUNT 2022 WASH-2022-80320 11-9-2022 No $4,952.57 2021 WASH-2021-79610 11-4-2021 No $4,888.51 2020 WASH-2020-81467 11-12-2020 No $4,862.07 2019 5995719 11-4-2019 No $4,753.67 2018 5815582 11-8-2018 No $4,607.85 2017 5610993 11-9-2017 No $4,465.43 2016 5492942 11-16-2016 No $4,339.71 2015 5267857 11-16-2015 No $4,172.94 2014 5081139 12-19-2014 No $14,225.50 2011 4472205 9-11-2012 No $14,956.55 2008 3796006 5-12-2009 No $1,255.05 2008 3775190 2-13-2009 No $1,238.32 2008 3762203 12-2-2008 No $202.37 2008 3762204 12-2-2008 No $1,072.07 2007 3577685 5-13-2008 No $1,194.86 2007 3564054 2-19-2008 No $1,194.86 2007 3531940 11-20-2007 No $1,194.87 $0 $0 $0 $0 $0 $0 $0 $0 $0 $0 $0 $0 $0 $0 $0
Neighborhood Information HOMEBOOK
Page 1
Subject Property Location Report Date: 05/31/2023 Property Address 515 BALLAD LN Order ID: R116861802 City, State & Zip FOREST GROVE, OR 97116-1167 County WASHINGTON COUNTY Property Use Single Family Residential Mailing Address 515 BALLAD LN, FOREST GROVE, OR 97116-1167 Parcel Number 1N435AD-07300 Subject Property Address 515 BALLAD LN, FOREST GROVE, OR 97116 APN 1N435AD-07300 Owner STRAUSER, MICHAEL & STRAUSER, KAYLA Lot Size (SF/AC) Bedrooms 4 Year Built 1986 Living Area (SF) 2,549 Bathrooms/Partial 3 Garage/No. of Cars Garage/2 Phones Nearby Neighbor #1 Address 521 BALLAD LN, FOREST GROVE, OR 97116 APN 1N435AD-07200 Owner VANCE, HAROLD C JR & VANCE, KRISTIN E Lot Size (SF/AC) Bedrooms 3 Year Built 1984 Living Area (SF) 1,492 Bathrooms/Partial 2 Garage/No. of Cars Garage/2 Phones (503) 327-3717 Nearby Neighbor #2 Address 526 TOWNE CT, FOREST GROVE, OR 97116 APN 1N435AD-06700 Owner WOODWARD, JULIE Lot Size (SF/AC) Bedrooms 3 Year Built 1985 Living Area (SF) 1,238 Bathrooms/Partial 2 Garage/No. of Cars Garage/2 Phones Nearby Neighbor #3 Address 2725 BALLAD LN, FOREST GROVE, OR 97116 APN 1N435AD-07500 Owner PARKER, KENNETH E JR & PARKER, CINDY Lot Size (SF/AC) Bedrooms 3 Year Built 1983 Living Area (SF) 1,620 Bathrooms/Partial 2 Garage/No. of Cars Garage/2 Phones Nearby Neighbor #4 Address 531 BALLAD LN, FOREST GROVE, OR 97116 APN 1N435AD-07100 Owner VANAMBURG, REX E & VANAMBURG, ISABEL M Lot Size (SF/AC) Bedrooms 3 Year Built 1985 Living Area (SF) 1,522 Bathrooms/Partial 2 Garage/No. of Cars Garage/2 Phones Nearby Neighbor #5 Address 518 BALLAD LN, FOREST GROVE, OR 97116 APN 1N435AD-10000 Owner PRUE, STWART Lot Size (SF/AC) Bedrooms 3 Year Built 1992 Living Area (SF) 2,976 Bathrooms/Partial 2 Garage/No. of Cars Garage/2 Phones Nearby Neighbor #6 Address 530 TOWNE CT, FOREST GROVE, OR 97116 APN 1N435AD-06800 Owner HOUSTON, GEORGE A & HOUSTON, EVELYN L Lot Size (SF/AC) Bedrooms 3 Year Built 1982 Living Area (SF) 1,187 Bathrooms/Partial 2 Garage/No. of Cars Garage/2 Phones
Nearby Neighbors Report
Page 2 Nearby Neighbor #7 Address 512 BALLAD LN, FOREST GROVE, OR 97116 APN 1N435AD-09900 Owner NEUWIRTH, DAN & NEUWIRTH, SHANNON Lot Size (SF/AC) Bedrooms 4 Year Built 1993 Living Area (SF) 3,176 Bathrooms/Partial 3 Garage/No. of Cars Garage/2 Phones (818) 590-1788 Nearby Neighbor #8 Address 520 TOWNE CT, FOREST GROVE, OR 97116 APN 1N435AD-06600 Owner JENKINS, NICOLE D Lot Size (SF/AC) Bedrooms 3 Year Built 1992 Living Area (SF) 1,369 Bathrooms/Partial 2 Garage/No. of Cars Garage/2 Phones Nearby Neighbor #9 Address 2729 BALLAD LN, FOREST GROVE, OR 97116 APN 1N435AD-07600 Owner BATER, ARAYA & MCKEE, MARTY Lot Size (SF/AC) Bedrooms 3 Year Built 1981 Living Area (SF) 1,369 Bathrooms/Partial 2 Garage/No. of Cars Garage/2 Phones Nearby Neighbor #10 Address 524 BALLAD LN, FOREST GROVE, OR 97116 APN 1N435AD-10100 Owner KRAKER, RICHARD & KRAKER, JANET Lot Size (SF/AC) Bedrooms 3 Year Built 1993 Living Area (SF) 2,976 Bathrooms/Partial 2 Garage/No. of Cars Garage/2 Phones Nearby Neighbor #11 Address 506 BALLAD LN, FOREST GROVE, OR 97116 APN 1N435AD-09800 Owner ORR, TIMOTHY D & ORR, EVELYN B Lot Size (SF/AC) Bedrooms 3 Year Built 1990 Living Area (SF) 2,526 Bathrooms/Partial 3 Garage/No. of Cars Garage/2 Phones Nearby Neighbor #12 Address 2720 BALLAD LN, FOREST GROVE, OR 97116 APN 1N435AD-09500 Owner KIRKMAN, SHANNON L & KIRKMAN, ROBERT W IV Lot Size (SF/AC) Bedrooms 3 Year Built 1983 Living Area (SF) 1,716 Bathrooms/Partial 2 Garage/No. of Cars Underground/Basement/2 Phones Nearby Neighbor #13 Address 2724 BALLAD LN, FOREST GROVE, OR 97116 APN 1N435AD-09400 Owner SANCHEZ, JUAN SILVA & DESILVA, ANTONIA SANTIAGO Lot Size (SF/AC) Bedrooms 3 Year Built 1981 Living Area (SF) 1,268 Bathrooms/Partial 2 Garage/No. of Cars Garage/2 Phones Nearby Neighbor #14 Address 2722 BUXTON ST, FOREST GROVE, OR 97116 APN 1N435AD-07000 Owner INKLEY, VIC R & INKLEY, DORIS A Lot Size (SF/AC) Bedrooms 0 Year Built 1997 Living Area (SF) 1,534 Bathrooms/Partial 3 Garage/No. of Cars Mixed/3 Phones

Address 530 BALLAD LN, FOREST GROVE, OR 97116

Owner CASTRO, ANTONIO RICARDO & CASTRO, CHERYL CATHLEEN

Disclaimer

THIS REPORT IS INTENDED FOR USE BY YOU AS AN END USER SOLELY FOR YOUR INTERNAL BUSINESS PURPOSES. YOU SHALL NOT RESELL, RELICENSE OR REDISTRIBUTE THIS REPORT, IN WHOLE OR IN PART. THE USE OF THIS REPORT BY ANY PARTY OTHER THAN YOURSELF FOR ANY PURPOSE IS STRICTLY PROHIBITED. THIS REPORT IS PROVIDED AS-IS WITHOUT WARRANTY OF ANY KIND, EITHER EXPRESS OR IMPLIED, INCLUDING WITHOUT LIMITATION, ANY WARRANTIES OF MERCHANTABILITY, NON-INFRINGEMENT, OR FITNESS FOR A PARTICULAR PURPOSE. BLACK KNIGHT SHALL HAVE NO LIABILITY IN CONTRACT, TORT, OR OTHERWISE ARISING OUT OF OR IN CONNECTION WITH THIS REPORT. BLACK KNIGHT DOES NOT REPRESENT OR WARRANT THAT THE REPORT IS COMPLETE OR FREE FROM ERROR. YOU UNDERSTAND AND ACKNOWLEDGE THAT THE AVAILABILITY, COMPLETENESS AND FORMAT OF THE DATA ELEMENTS MAY VARY SUBSTANTIANLLY FROM AREA-TO-AREA. THE INFORMATION CONTAINED IN THIS REPORT IS DERIVED FROM PUBLICLY AVAILABLE SOURCES FOR THE SUBJECT PROPERTY OR COMPARABLE PROPERTIES LISTED ABOVE AND HAS NOT BEEN INDEPENDENT VERIFIED BY BLACK KNIGHT THROUGH ANY FORM OF INSPECTION OR REVIEW. THIS REPORT DOES NOT CONSTITUTE AN APPRAISAL OF ANY KIND AND SHOULD NOT BE USED IN LIEU OF AN INSPECTION OF A SUBJECT PROPERTY BY A LICENSED OR CERTIFIED APPRAISER. THIS REPORT CONTAINS NO REPRESENTATIONS, OPINIONS OR WARRANTIES REGARDING THE SUBJECT PROPERTY'S ACTUAL MARKETABILITY, CONDITION (STRUCTURAL OR OTHERWISE), ENVIRONMENTAL, HAZARD OR FLOOD ZONE STATUS, AND ANY REFERENCE TO ENVIRONMENTAL, HAZARD OR FLOOD ZONE STATUS IS FOR INFORMATIONAL PURPOSES ONLY AND SHALL BE INDEPENDENTLY VERIFIED BY THE END USER. THE INFORMATION CONTAINED HEREIN SHALL NOT BE UTILIZED: (A) TO REVIEW OR ESTABLISH A CONSUMER'S CREDIT AND/OR INSURANCE ELIGIBILITY OR FOR ANY OTHER PURPOSE THAT WOULD CAUSE THE REPORT TO CONSTITUTE A "CONSUMER REPORT" UNDER THE FAIR CREDIT REPORTING ACT, 15 U.S.C. § 1681 ET SEQ.; OR (B) IN CONNECTION WITH CERTIFICATION OR AUTHENTICATION OF REAL ESTATE OWNERSHIP AND/OR REAL ESTATE TRANSACTIONS. ADDITIONAL TERMS AND CONDITIONS SHALL APPLY PURSUANT TO THE APPLICABLE AGREEMENT.

Copyright

CONFIDENTIAL, PROPRIETARY AND/OR TRADE SECRET. TM SM ® TRADEMARK(S) OF BLACK KNIGHT IP HOLDING COMPANY, LLC, OR AN AFFILIATE. © 2023 BLACK KNIGHT TECHNOLOGIES, LLC. ALL RIGHTS RESERVED.

Page 3
Nearby Neighbor #15
APN 1N435AD-10200
Lot Size (SF/AC)
1993 Living Area (SF) 2,556
Garage/No.
Garage/2 Phones
Bedrooms 5 Year Built
Bathrooms/Partial 3
of Cars
Utilities
HOMEBOOK

Please Use/Click on this Digital U lity Link

Most u lity service providers require you to go online, fill out a form and e-mail back, or use their online service.

School Information HOMEBOOK

ClickHereforthe OregonSchoolReportCards

School Information

Centennial

North

David

Gresham

Banks 503 . 324 . 8591 | www.banks.k12.or.us Beaverton 503 672 3721 | www.beaverton.k12.or.us
503 266 7861 | boundaries: 503 266 2064 | www.canby.k12.or.us
Canby
503 760 7990 | www.centennial.k12.or.us
Clackamas 503 . 653 . 6000 | boundaries: 503 . 353 . 6119 | www.nclack.k12.or.us
503 824 3535 | boundaries: 503 824 3534 | www.colton.k12.or.us
Colton
Douglas 503 . 252 . 7990 | www.centennial.k12.or.us
503 . 630 . 6871 | www.esd108.k12.or.us
Grove 503 357 6171 | boundaries: 503 359 8167 x 221 | www.fgsd.k12.or.us
503 . 655 . 2777 | www.gladstone.k12.or.us
Estacada
Forest
Gladstone
/ Barlow 503 . 618 . 2450 | www.gresham.k12.or.us Hillsboro 503 844 1500 | boundaries: 503 648 9123 | www.hsd.k12.or.us
Oswego 503 . 534 . 2000 | boundaries: 503 . 534 . 2490 | www.loswego.k12.or.us
Lake

School Information

McMinnville 503 565 4000 | www.msd.k12.or.us Molalla River 503 . 829 . 2359 | boundaries: 503 . 829 . 2512 | www.molallariv.k12.or.us Newberg 503 554 5000 | boundaries: 503 538 8365 | www.newberg.k12.or.us Oregon City 503 657 4283 | boundaries: 503 657 2471 | www.orecity.k12.or.us Oregon Trail 503 668 5541 | www.oregonrailschools.k12.or.us Parkrose 503 408 2100 | www.parkrose.k12.or.us Portland 503 916 2000 | boundaries: 503 916 3262 | www.pps.k12.or.us Reynolds 503 . 661 . 7200 | boundaries: 503 . 492 . 4921 | www.reynolds.k12.or.us Sherwood 503 625 8100 | boundaries: 503 625 8107 | www.sherwood.k12.or.us Tigard / Tualatin 503 431 4000 | www.ttsd.k12.or.us West Linn / Wilsonville 503 . 673 . 7000 | boundaries: 503 . 673 . 7034 | www.wlwv.k12.or.us Woodburn 503 . 981 . 9555 | www.woodburn.k12.or.us
County G School Type Tuition Range A(%) E(#)C(#)M(#) U Washington County (OR) 1. Agia Sophia Academy PK-5 Montessori $6,600–8,300 95 30 12 Yes 2. Catlin Gabel School PK-12 College Prep $27,190–34,100 26 776 17 61 No 4. Forest Hills Lutheran Christian School PK-8 Lutheran $6,531–6,875 98 197 18 No 5. German International School PK-5 Language Immersion, INTL Baccalaureate $15,110–15,275 98 144 12 10 No 6. Holy Trinity Catholic School PK-8 Catholic $6,600–8,400 285 30 Yes 7. Horizon Christian School PK-12 College Prep $4,650–11,975 95 411 14 24 No 8 Islamic School of MET PK-12 Muslim College Prep $7,750–8,250 90 206 16 5 Yes 9. Jesuit High School 9-12 College Prep $15,475 71 1274 23 86 No 11. Living Wisdom School PK-8 Education for Life $7,200–9,100 95 38 12 No 12. Montessori School of Beaverton PK-6 Montessori $11,400–12,000 80 120 1010 No 13. Northwest Chinese Academy PK-5 Language Immersion $17,250–19,525 96 33 77 Yes 14. Oregon Episcopal School PK-12 College Prep $28,900–35,000 43 858 16 72 Yes 15. Pilgrim Lutheran Christian School PK-8 Christian $6,850–8,295 12512 5 Yes 16. St. Matthew Catholic School PK-8 Catholic $6,850–8,600 99 184 21 16 Yes 17. St. Pius X Grade School K-8 Catholic $7,240–9,430 85 492 3029 Yes 18. St. Stephen‘s Academy PK-12 Classical Christian $5,160–10,620 96 256 1610 Yes 19. Tualatin Valley Academy PK-12 Christian $4,980–9,108 99 175 20 8 No Grade Range Acceptance Rate A 2014-2015 Enrollment E G
School Information
School Information County G School Type Tuition Range A(%) E(#)C(#) M(#) U Washington County (OR) 20. Valley Catholic Elementary School K-5 Catholic $8,520 337 13 Yes 21. Valley Catholic Middle School 6-8 College Prep $11,610 252 24 Yes 22. Valley Catholic High School 9-12 College Prep $14,685 370 28 No 23. Visitation Catholic School PK-8 Catholic $4,793–5,868 98 165 20 8 Yes Multnomah County (OR) 1. A Renaissance School of Arts and Sciences K-8 Progressive $14,440 90 115 8 9 No 2. Central Catholic High School 9-12 College Prep, Catholic $15,378–19,000 98 850 21 52 No 3. Childpeace Montessori School, Metro Middle School PK-8 Montessori $11,600–17,300 6 254 26 10 No 4. Columbia Christian School PK-12 Christian, College Prep $4,000–8,000 95 250 20 18 No 5. Edison High School 9-12 Learning Differences $24,650 50 102 9 14 No 6. French American International School PK-8 Language Immersion $18,296–21,113 79 451 16 48 No 7. Grace Lutheran School PK-8 Lutheran $2,825–6,695 95 88 22 1 No 8. Holy Redeemer Catholic School PK-8 Catholic $5,450–7,775 95 304 27 11 Yes 9. Northwest Academy 6-12 College Prep $22,900–24,400 75 240 15 26 No 10. Open Door Christian Academy PK-12 Christian $2,210–3,940 50 285 25 5 No 11. Pacific Crest Community School 6-12 College Prep $14,250 70 95 12 9 No Average Class Size C Required clothing or Uniforms? U Faculty with Master’s Degrees M
Grade Range Acceptance Rate A 2018-2019 Enrollment E G County G School Type Tuition Range A(%) E(#)C(#)M(#) U Multnomah County (OR) 12. Portland Christian Schools PK-12 College Prep $7,400–11,335 94 547 42 30 No 13. Portland Jewish Academy PK-8 Jewish $19,415–20,035 60 18818 No 14. St. Agatha Catholic School PK-8 Catholic $6,350–7,930 60 18818 No 15. St. Clare School K-8 Catholic $6,600–8,400 100 20726 Yes 16. St. John Fisher School K-8 Catholic $7,160–9,335 89 200 24 17 Yes 17. St. Mary’s Academy 9 - 12 College Prep $15,995 97 680 21 46 No 18. St. Rose School PK-8 Catholic $6,190–7,840 94 224 25 12 Yes 19. Sunstone Montessori School PK-6 Montessori $11,900–12,800 90 172 26 14 No 20. The International School PK-5 Language Immersion $19,040–19,640 87387 14 24 No 21. The Madeleine School K-8 Catholic $6,065–7,750 95 264 30 11 Yes 22. The Portland Montessori School PK-6 Montessori $10,725–11,600 80 151 24 7 No 23. Trinity Lutheran Christian School K-8 Lutheran $7,300 1005210 24. Tucker Maxon School PK-5 Independent $8,200–17,000 91 45 1212 No 25. Venn Academy K-8 Relationship BasedLearning $11,000 50-60 18 9 26. West Hills Christian School K-8 Christian $5,800–8,875 90 308 18 11 No 27 West Hills Montessori PK-6 Montessori $11,495–12,255 80 125 25 15 No
School Information
School Information Average Class Size C Required clothing or Uniforms? U Faculty with Master’s Degrees M County G School Type Tuition Range A(%) E(#)C(#)M(#) U Clackamas County (OR) 1. Arbor School of Arts and Sciences K-8 Progressive $14,400 29 189 21 24 No 2. Christa McAuliffe Academy School of Arts and Sciences K-12 College Prep $3,995–8,795 100 380 10 12 No 3. La Salle Catholic College Prep 9-12 College Prep $14,750 85 703 19 45 No 4 Micha-el School PK-8 Waldorf $6,370–8,340 95 110 18 9 No 5. North Clackamas Christian School PK-12 Christian $6,353–7,860 95 263 1815 No 6. Park Academy 3-12 Learning differences $21,000 96 10 7. Portland Waldorf School PK-12 Waldorf $11,275–19,595 325 20 8. Spring Mountain Christian Academy K-12 Christian $3,460$4,440 90 165 12 4 No 9. St. John the Apostle Catholic School PK-8 Catholic $6,499 98 190 18 9 Yes 10. The Marylhurst School PK-8 Progressive $11,000 80 85 18 7 No Clark County (WA) 1. Cascadia School 1 - 6 Montessori $9,960–10,440 90 98 22 3 No 2. Cedar Tree Classical Christian School K - 12 College Prep $6,600–6,960 75 213 16 8 Yes 3. The Gardner School of Arts & Sciences PK - 8 Independent $16,950–18,550 37 10 4 Our Lady Of Lourdes Catholic School PK-8 Catholic $7,034–8,975 98 232 22 10 Yes

Turn static files into dynamic content formats.

Create a flipbook