Skip to main content

Homebook for 3616 NE 75th Ave

Page 1

3616 NE 75th Ave Portland, OR 97213
Avila MORE Realty 16037 SW Upper Boones Ferry Rd., #150 Portland, OR 97224
Sole

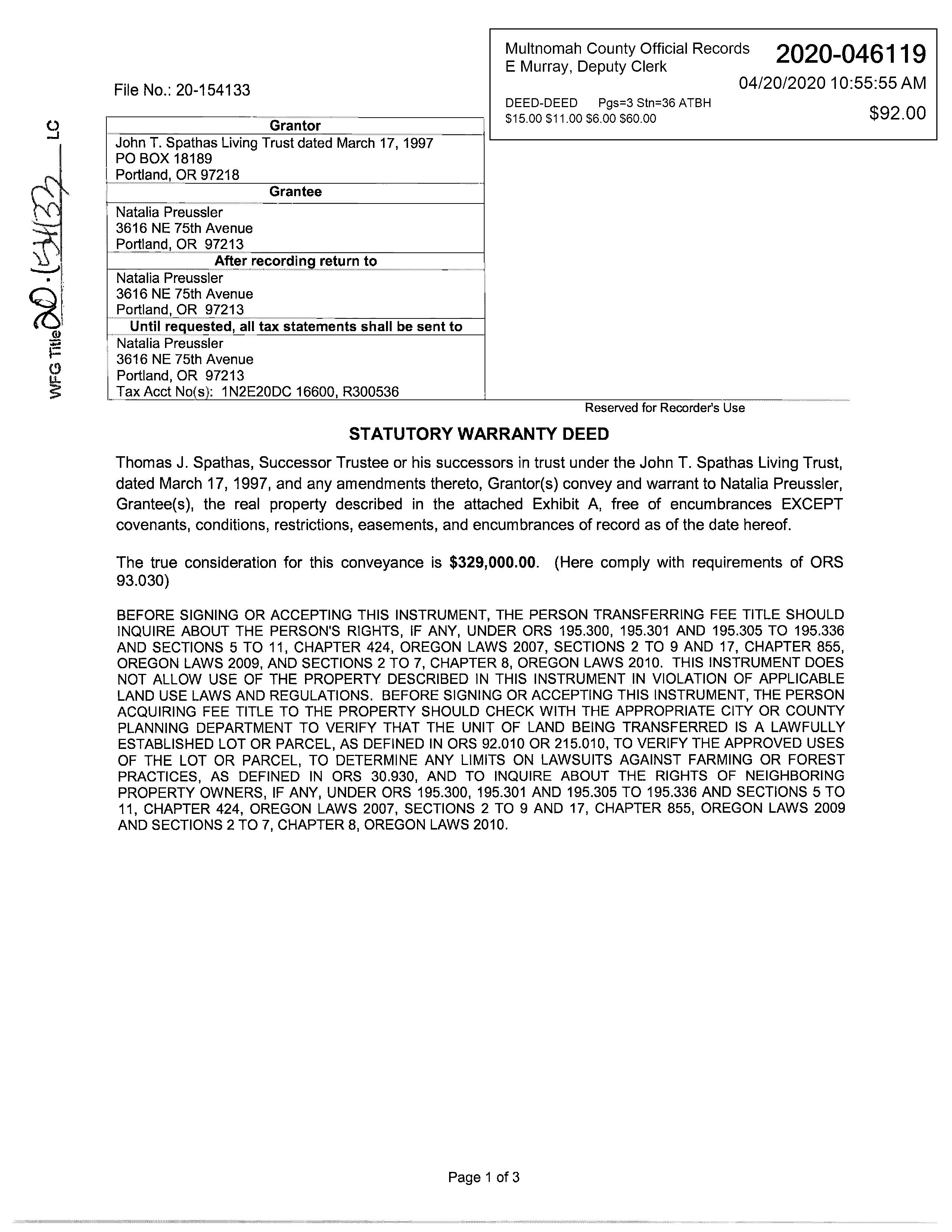
Property Profile HOMEBOOK

Multnomah County Parcel Information

Parcel Information

Parcel #:R300536

Tax Lot:1N2E20DC16600

SiteAddress:3616 NE 75thAve

Portland OR 97213 - 5752

Owner:Preussler, Natalia 3616 NE 75thAve Portland OR 97213 - 5752

Twn/Range/Section:01N / 02E / 20 / SE

Parcel Size:0 06Acres (2,800 SqFt)

Plat/Subdivision:Wellesley

Lot/Block:31 / 17

Map Page/Grid:597-F2

CensusTract/Block:002902 / 1016

Land Improvement

Cnty Land Use:101 - Single-Family, Residential, Improved

Land Use Std:RSFR - Single Family Residence

Watershed:Columbia Slough-Willamette River

Assessment Information

Market Value Land: $206,250 00

Market Value Impr: $176,970 00

Market ValueTotal: $383,220 00

Assessed Value: $110,600 00 (2022)

Tax Information

Levy CodeArea:201

Levy Rate:26 7023 (2022)

TaxYear:2022

AnnualTax:$2,953 26

Exemption:

Legal

WELLESLEY, BLOCK 17, LOT31, S 3' OF LOT32

County Bldg Use:B - Residential Improved

Recreation:

Neighborhood:ROWY- Roseway

Zoning:Portland-R2 5 - Residential 2,500 # Dwellings:

School District:1J - Portland

Elementary School:LEE ELEMENTARYSCHOOL

Middle School:ROSEWAYHEIGHTS SCHOOL High School:MADISON HIGH SCHOOL

Year Built:1925

Bedrooms:1

Stories:1

Garage:Det 216 SqFt

TotalArea:929 SqFt

First Floor:467 SqFt

Baths,Total:1 Baths, Full/Half:1 / 0 Second Floor:

Roof Covering:Composition Exterior Walls:Wood Basement Fin/Unfin:

A/C: Heat:ForcedAir Attic Fin/Unfin:462 SqFt / 0 SqFt

Kitchen:1 Porch/Patio: Deck:

Transfer Information

Rec Date:04/20/2020

Owner:Natalia Preussler

Orig LoanAmt:$319,130 00

Sale Price:$329,000 00

Doc Num:46119

DocType:Deed

Grantor:SPATHAS JOHNTLIVINGTRUST

Title Co:WFGTITLE

FinanceType: LoanType:Conventional Lender:UMPQUABK

Sentry Dynamics, Inc and its customers make no representations, warranties or conditions, express or implied, as to the accuracy or completeness of information contained in this report

Thismap/platisbeingfurnishedasanaidinlocatingthehereindescribedLandinrelationtoadjoiningstreets,naturalboundariesandotherland,andisnotasurveyofthe landdepicted.Excepttotheextentapolicyoftitleinsuranceisexpresslymodifiedbyendorsement,ifany,theCompanydoesnotinsuredimensions,distances,locationof easements,acreageorothermattersshownthereon.

Thismap/platisbeingfurnishedasanaidinlocatingthehereindescribedLandinrelationtoadjoiningstreets,naturalboundariesandotherland,andisnotasurveyofthe landdepicted.Excepttotheextentapolicyoftitleinsuranceisexpresslymodifiedbyendorsement,ifany,theCompanydoesnotinsuredimensions,distances,locationof easements,acreageorothermattersshownthereon.

GENERALINFORMATION

Property Status AActive

Property Type RPResidential Legal Description WELLESLEY,BLOCK17,LOT31,S3'OFLOT 32

Alternate Account Number R890804680

Neighborhood R142

Map Number 1N2E20DC-16600

Property Use B-RESIDENTIALIMPROVED

LevyCodeArea 201

OWNERINFORMATION Owner Name PREUSSLER,NATALIA Mailing Address 3616NE75THAVEPORTLAND,OR97213

RELATEDPROPERTIES

Split/Merge data prior to February 6, 2018 is not available online, please call Multnomah County Assessment & Taxation division.

Linked PropertiesProperty Group ID -

Grouped PropertiesSplit / Merge DateSplit / Merge AccountsSplit / Merge Message -

Property Owner Property Address 2022AssessedValue R300536 PREUSSLER,NATALIA 3616NE75THAVE,PORTLAND,
97213 $110,600
OR
? Expand/Collapse All LANDSEGMENTS LANDNO LANDTYPE LANDSIZE L1 RESRESIDENTIALLAND 2,800Sq.ft TOTALS 2,800Sq.ft/0.06acres ASSESSEDVALUES YEAR IMPROVEMENTS LAND SPECIALMARKET/USE RMV M5VALUE EXEMPTIONS M50ASSESSED 2022 $176,970 $206,250 $0 / $0 $383,220 $383,220 $110,600 2021 $157,440 $180,750 $0 / $0 $338,190 $338,190 $107,380 2020 $142,100 $159,500 - / - $301,600 $301,600 $104,260 2019 $142,100 $159,500 - / - $301,600 $301,600 $101,230 2018 $142,100 $159,500 - / - $301,600 $301,600 $98,290 2017 $142,110 $136,750 $0 / $0 $278,860 $278,860 $95,430 2016 $128,660 $140,500 - / $0 $269,160 $269,160 $92,660 2015 $122,520 $99,700 - / $0 $222,220 $222,220 $89,970 2014 $101,370 $96,500 - / $0 $197,870 $197,870 $87,350 2013 $89,110 $103,500 $0 / $0 $192,610 $192,610 $84,810 SALESHISTORY DEED SELLER BUYER INSTR# DATE CONSIDERATIONAMOUNT WD SPATHAS,JOHNTTR PREUSSLER,NATALIA 2020046119 4/17/2020 $329,000 QCD SPATHAS,JOHNT SPATHAS,JOHNTTR 2004131440 7/19/2004WD DENT,GORDONH SPATHAS,JOHNT 97122534 8/1/1997 $91,500 WD SLIPER,GLORIAJ DENT,GORDONH 95126574 10/1/1995 $61,100 ? Improvement #1 Improvement Type Building Type Class - SINGLEFAMILYRESIDENTIAL 1STYW/ATTIC&BSMT 3P
IMPROVEMENTS

If applicable, the described property is receiving special valuation based upon its use. Additional rollback taxes which may become due based on the provisions of the special valuation are not indicated in this listing.

TAXSUMMARY

? Details

Eéective Date:
TAXYEAR TOTAL BILLED AD VALOREM SPECIAL ASMT PRINCIPAL INTEREST DATE PAID TOTAL OWED 2022 $2,953.26 $2,953.26 $2,953.26 $0.00 - $0.00 2021 $2,903.29 $2,903.29 $2,903.29 $0.00 - $0.00 2020 $2,663.53 $2,663.53 $2,663.53 $0.00 - $0.00 2019 $2,565.75 $2,565.75 $2,565.75 $0.00 - $0.00 2018 $2,490.48 $2,490.48 $2,490.48 $0.00 - $0.00 2017 $2,387.00 $2,387.00 $2,387.00 $0.00 - $0.00 2016 $2,184.71 $2,184.71 $2,184.71 $0.00 - $0.00 2015 $2,127.58 $2,127.58 $2,127.58 $0.00 - $0.00 2014 $2,095.43 $2,095.43 $2,095.43 $0.00 - $0.00 2013 $2,046.73 $2,046.73 $2,046.73 $0.00 - $0.00 2012 $1,851.53 $1,851.53 $1,851.53 $0.00 - $0.00 2011 $1,781.97 $0.00 $1,781.97 $0.00 - $0.00 2010 $1,690.87 $0.00 $1,690.87 $0.00 - $0.00 2009 $1,646.64 $0.00 $1,646.64 $0.00 - $0.00 2008 $1,553.98 $0.00 $1,553.98 $0.00 - $0.00 TOTAL
CurrentYearDue $0.00 PastYearsDue $0.00 TotalDue $0.00 PayMyBills TAXYEAR RECEIPTNUMBER TRANSACTIONDATE PAYMENTAMOUNT 2022 MULT-1532053 11-15-2022 $2,864.66 2021 MULT-1171424 11-12-2021 $2,816.19 2020 MULT-853332 11-13-2020 $2,583.63 2019 MULT-466512 11-13-2019 $2,488.78 2018 MULT-305674 1-25-2019 $1,660.32 2018 MULT-222080 11-19-2018 $830.16 2017 8568052 10-25-2017 $2,315.39 2016 8332425 11-14-2016 $2,119.17 2015 8043035 11-12-2015 $2,063.75 2014 7674066 11-12-2014 $2,032.57 2013 7350170 11-14-2013 $1,985.33 2012 6929272 11-13-2012 $1,795.98 2011 6640003 11-15-2011 $1,728.51 2010 6114488 11-5-2010 $1,640.14 2009 5796544 11-10-2009 $1,597.24 2008 5338589 10-27-2008 $1,507.36 $0 $0 $0 $0 $0 $0 $0 $0 $0 $0 $0 $0 $0 $0 $0
TAXESDUE
Neighborhood Information HOMEBOOK
Page 1
Subject Property Location Report Date: 04/12/2023 Property Address 3616 NE 75TH AVE Order ID: R112334462 City, State & Zip PORTLAND, OR 97213-5752 County MULTNOMAH COUNTY Property Use Single Family Residential Mailing Address 3616 NE 75TH AVE, PORTLAND, OR 97213-5752 Parcel Number 1N2E20DC 16600 Subject Property Address 3616 NE 75TH AVE, PORTLAND, OR 97213 APN 1N2E20DC 16600 Owner PREUSSLER, NATALIA Lot Size (SF/AC) 2,800/.06 Bedrooms 1 Year Built 1925 Living Area (SF) 929 Bathrooms/Partial 1 Garage/No. of Cars Detached Garage/1 Phones Nearby Neighbor #1 Address 3624 NE 75TH AVE, PORTLAND, OR 97213 APN 1N2E20DC 16700 Owner TRUONG, TRAN THI Lot Size (SF/AC) 4,700/.11 Bedrooms 2 Year Built 1923 Living Area (SF) 1,324 Bathrooms/Partial 1 Garage/No. of Cars Detached Garage Phones Nearby Neighbor #2 Address 3608 NE 75TH AVE, PORTLAND, OR 97213 APN 1N2E20DC 16500 Owner VOYDE, AIMEE & VOYDE, RANDAL Lot Size (SF/AC) 5,000/.11 Bedrooms 3 Year Built 1928 Living Area (SF) 1,604 Bathrooms/Partial 1/2 Garage/No. of Cars Detached Garage/1 Phones Nearby Neighbor #3 Address 3602 NE 75TH AVE, PORTLAND, OR 97213 APN 1N2E20DC 16400 Owner ROSENBERG, AARON A & JOHNSON, HEATHER M Lot Size (SF/AC) 5,000/.11 Bedrooms 2 Year Built 1923 Living Area (SF) 1,146 Bathrooms/Partial 1 Garage/No. of Cars Detached Garage/2 Phones Nearby Neighbor #4 Address 3634 NE 75TH AVE, PORTLAND, OR 97213 APN 1N2E20DC 16800 Owner PHAM, TUAN A Lot Size (SF/AC) 6,956/.16 Bedrooms 4 Year Built 1918 Living Area (SF) 1,727 Bathrooms/Partial 2 Garage/No. of Cars Phones Nearby Neighbor #5 Address 3621 NE 76TH AVE, PORTLAND, OR 97213 APN 1N2E20DC 17100 Owner HERBIN, SUSAN Lot Size (SF/AC) 4,925/.11 Bedrooms 3 Year Built 1929 Living Area (SF) 1,805 Bathrooms/Partial 2 Garage/No. of Cars Detached Garage/1 Phones Nearby Neighbor #6 Address 3609 NE 76TH AVE, PORTLAND, OR 97213 APN 1N2E20DC 17200 Owner BARRIE, CHRISTOPHER J Lot Size (SF/AC) 5,075/.12 Bedrooms 2 Year Built 1928 Living Area (SF) 1,052 Bathrooms/Partial 1 Garage/No. of Cars Detached Garage Phones
Nearby Neighbors Report
Page 2 Nearby Neighbor #7 Address 3601 NE 76TH AVE, PORTLAND, OR 97213 APN 1N2E20DC 17300 Owner JEE FAMILY TR & JULIE M JEE TR Lot Size (SF/AC) 5,000/.11 Bedrooms 3 Year Built 1950 Living Area (SF) 1,910 Bathrooms/Partial 1 Garage/No. of Cars Carport/2 Phones Nearby Neighbor #8 Address 3536 NE 75TH AVE, PORTLAND, OR 97213 APN 1N2E20DC 16300 Owner MESHNICK, MARGARET Lot Size (SF/AC) 5,000/.11 Bedrooms 3 Year Built 1922 Living Area (SF) 830 Bathrooms/Partial 1 Garage/No. of Cars Attached Garage Phones Nearby Neighbor #9 Address 3639 NE 76TH AVE, PORTLAND, OR 97213 APN 1N2E20DC 16900 Owner RAYMAKER, DORA M & WINSLOW, JASON D Lot Size (SF/AC) 5,500/.13 Bedrooms 3 Year Built 1926 Living Area (SF) 1,621 Bathrooms/Partial 1 Garage/No. of Cars Detached Garage/1 Phones Nearby Neighbor #10 Address 3613 NE 75TH AVE, PORTLAND, OR 97213 APN 1N2E20DC 15400 Owner 3613 LLC Lot Size (SF/AC) 7,500/.17 Bedrooms 4 Year Built 1924 Living Area (SF) 2,292 Bathrooms/Partial 1/1 Garage/No. of Cars Detached Garage/2 Phones Nearby Neighbor #11 Address 3537 NE 76TH AVE, PORTLAND, OR 97213 APN 1N2E20DC 17400 Owner FORNACIARI, TORI B-3% & OLSEN, JULIA S-97% Lot Size (SF/AC) 5,000/.11 Bedrooms 2 Year Built 1949 Living Area (SF) 751 Bathrooms/Partial 1 Garage/No. of Cars Attached Garage/1 Phones Nearby Neighbor #12 Address 3545 NE 75TH AVE, PORTLAND, OR 97213 APN 1N2E20DC 15500 Owner MOORE, SAMANTHA Lot Size (SF/AC) 5,000/.11 Bedrooms 3 Year Built 1924 Living Area (SF) 1,356 Bathrooms/Partial 2 Garage/No. of Cars Detached Garage/1 Phones Nearby Neighbor #13 Address 3524 NE 75TH AVE, PORTLAND, OR 97213 APN 1N2E20DC 16200 Owner BALLIS, KRISTINE T Lot Size (SF/AC) 5,000/.11 Bedrooms 2 Year Built 1923 Living Area (SF) 863 Bathrooms/Partial 1 Garage/No. of Cars Attached Garage Phones Nearby Neighbor #14 Address 3537 NE 75TH AVE, PORTLAND, OR 97213 APN 1N2E20DC 15600 Owner DACHTLER, RONALD S & DACHTLER, LORRAINE K Lot Size (SF/AC) 5,000/.11 Bedrooms 3 Year Built 1922 Living Area (SF) 1,238 Bathrooms/Partial 1 Garage/No. of Cars Detached Garage/1 Phones

Nearby Neighbor #15

Address 3525 NE 76TH AVE, PORTLAND, OR 97213

Disclaimer

THIS REPORT IS INTENDED FOR USE BY YOU AS AN END USER SOLELY FOR YOUR INTERNAL BUSINESS PURPOSES. YOU SHALL NOT RESELL, RELICENSE OR REDISTRIBUTE THIS REPORT, IN WHOLE OR IN PART. THE USE OF THIS REPORT BY ANY PARTY OTHER THAN YOURSELF FOR ANY PURPOSE IS STRICTLY PROHIBITED. THIS REPORT IS PROVIDED AS-IS WITHOUT WARRANTY OF ANY KIND, EITHER EXPRESS OR IMPLIED, INCLUDING WITHOUT LIMITATION, ANY WARRANTIES OF MERCHANTABILITY, NON-INFRINGEMENT, OR FITNESS FOR A PARTICULAR PURPOSE. BLACK KNIGHT SHALL HAVE NO LIABILITY IN CONTRACT, TORT, OR OTHERWISE ARISING OUT OF OR IN CONNECTION WITH THIS REPORT. BLACK KNIGHT DOES NOT REPRESENT OR WARRANT THAT THE REPORT IS COMPLETE OR FREE FROM ERROR. YOU UNDERSTAND AND ACKNOWLEDGE THAT THE AVAILABILITY, COMPLETENESS AND FORMAT OF THE DATA ELEMENTS MAY VARY SUBSTANTIANLLY FROM AREA-TO-AREA. THE INFORMATION CONTAINED IN THIS REPORT IS DERIVED FROM PUBLICLY AVAILABLE SOURCES FOR THE SUBJECT PROPERTY OR COMPARABLE PROPERTIES LISTED ABOVE AND HAS NOT BEEN INDEPENDENT VERIFIED BY BLACK KNIGHT THROUGH ANY FORM OF INSPECTION OR REVIEW. THIS REPORT DOES NOT CONSTITUTE AN APPRAISAL OF ANY KIND AND SHOULD NOT BE USED IN LIEU OF AN INSPECTION OF A SUBJECT PROPERTY BY A LICENSED OR CERTIFIED APPRAISER. THIS REPORT CONTAINS NO REPRESENTATIONS, OPINIONS OR WARRANTIES REGARDING THE SUBJECT PROPERTY'S ACTUAL MARKETABILITY, CONDITION (STRUCTURAL OR OTHERWISE), ENVIRONMENTAL, HAZARD OR FLOOD ZONE STATUS, AND ANY REFERENCE TO ENVIRONMENTAL, HAZARD OR FLOOD ZONE STATUS IS FOR INFORMATIONAL PURPOSES ONLY AND SHALL BE INDEPENDENTLY VERIFIED BY THE END USER. THE INFORMATION CONTAINED HEREIN SHALL NOT BE UTILIZED: (A) TO REVIEW OR ESTABLISH A CONSUMER'S CREDIT AND/OR INSURANCE ELIGIBILITY OR FOR ANY OTHER PURPOSE THAT WOULD CAUSE THE REPORT TO CONSTITUTE A "CONSUMER REPORT" UNDER THE FAIR CREDIT REPORTING ACT, 15 U.S.C. § 1681 ET SEQ.; OR (B) IN CONNECTION WITH CERTIFICATION OR AUTHENTICATION OF REAL ESTATE OWNERSHIP AND/OR REAL ESTATE TRANSACTIONS. ADDITIONAL TERMS AND CONDITIONS SHALL APPLY PURSUANT TO THE APPLICABLE AGREEMENT.

Copyright

CONFIDENTIAL, PROPRIETARY AND/OR TRADE SECRET. TM SM ® TRADEMARK(S) OF BLACK KNIGHT IP HOLDING COMPANY, LLC, OR AN AFFILIATE. © 2023 BLACK KNIGHT TECHNOLOGIES, LLC. ALL RIGHTS RESERVED.

Page 3
APN 1N2E20DC
Lot Size (SF/AC) 5,000/.11
1926 Living
(SF)
Bathrooms/Partial
Phones
17500 Owner FALLICO, ANDREA
Bedrooms 2 Year Built
Area
1,857
2 Garage/No. of Cars Mixed/2
Utilities
HOMEBOOK

Please Use/Click on this Digital U lity Link

Most u lity service providers require you to go online, fill out a form and e-mail back, or use their online service.

School Information HOMEBOOK

ClickHereforthe OregonSchoolReportCards

School Information

Centennial

North

David

Gresham

Banks 503 . 324 . 8591 | www.banks.k12.or.us Beaverton 503 672 3721 | www.beaverton.k12.or.us
503 266 7861 | boundaries: 503 266 2064 | www.canby.k12.or.us
Canby
503 760 7990 | www.centennial.k12.or.us
Clackamas 503 . 653 . 6000 | boundaries: 503 . 353 . 6119 | www.nclack.k12.or.us
503 824 3535 | boundaries: 503 824 3534 | www.colton.k12.or.us
Colton
Douglas 503 . 252 . 7990 | www.centennial.k12.or.us
503 . 630 . 6871 | www.esd108.k12.or.us
Grove 503 357 6171 | boundaries: 503 359 8167 x 221 | www.fgsd.k12.or.us
503 . 655 . 2777 | www.gladstone.k12.or.us
Estacada
Forest
Gladstone
/ Barlow 503 . 618 . 2450 | www.gresham.k12.or.us Hillsboro 503 844 1500 | boundaries: 503 648 9123 | www.hsd.k12.or.us
Oswego 503 . 534 . 2000 | boundaries: 503 . 534 . 2490 | www.loswego.k12.or.us
Lake

School Information

McMinnville 503 565 4000 | www.msd.k12.or.us Molalla River 503 . 829 . 2359 | boundaries: 503 . 829 . 2512 | www.molallariv.k12.or.us Newberg 503 554 5000 | boundaries: 503 538 8365 | www.newberg.k12.or.us Oregon City 503 657 4283 | boundaries: 503 657 2471 | www.orecity.k12.or.us Oregon Trail 503 668 5541 | www.oregonrailschools.k12.or.us Parkrose 503 408 2100 | www.parkrose.k12.or.us Portland 503 916 2000 | boundaries: 503 916 3262 | www.pps.k12.or.us Reynolds 503 . 661 . 7200 | boundaries: 503 . 492 . 4921 | www.reynolds.k12.or.us Sherwood 503 625 8100 | boundaries: 503 625 8107 | www.sherwood.k12.or.us Tigard / Tualatin 503 431 4000 | www.ttsd.k12.or.us West Linn / Wilsonville 503 . 673 . 7000 | boundaries: 503 . 673 . 7034 | www.wlwv.k12.or.us Woodburn 503 . 981 . 9555 | www.woodburn.k12.or.us
County G School Type Tuition Range A(%) E(#)C(#)M(#) U Washington County (OR) 1. Agia Sophia Academy PK-5 Montessori $6,600–8,300 95 30 12 Yes 2. Catlin Gabel School PK-12 College Prep $27,190–34,100 26 776 17 61 No 4. Forest Hills Lutheran Christian School PK-8 Lutheran $6,531–6,875 98 197 18 No 5. German International School PK-5 Language Immersion, INTL Baccalaureate $15,110–15,275 98 144 12 10 No 6. Holy Trinity Catholic School PK-8 Catholic $6,600–8,400 285 30 Yes 7. Horizon Christian School PK-12 College Prep $4,650–11,975 95 411 14 24 No 8 Islamic School of MET PK-12 Muslim College Prep $7,750–8,250 90 206 16 5 Yes 9. Jesuit High School 9-12 College Prep $15,475 71 1274 23 86 No 11. Living Wisdom School PK-8 Education for Life $7,200–9,100 95 38 12 No 12. Montessori School of Beaverton PK-6 Montessori $11,400–12,000 80 120 1010 No 13. Northwest Chinese Academy PK-5 Language Immersion $17,250–19,525 96 33 77 Yes 14. Oregon Episcopal School PK-12 College Prep $28,900–35,000 43 858 16 72 Yes 15. Pilgrim Lutheran Christian School PK-8 Christian $6,850–8,295 12512 5 Yes 16. St. Matthew Catholic School PK-8 Catholic $6,850–8,600 99 184 21 16 Yes 17. St. Pius X Grade School K-8 Catholic $7,240–9,430 85 492 3029 Yes 18. St. Stephen‘s Academy PK-12 Classical Christian $5,160–10,620 96 256 1610 Yes 19. Tualatin Valley Academy PK-12 Christian $4,980–9,108 99 175 20 8 No Grade Range Acceptance Rate A 2014-2015 Enrollment E G
School Information
School Information County G School Type Tuition Range A(%) E(#)C(#) M(#) U Washington County (OR) 20. Valley Catholic Elementary School K-5 Catholic $8,520 337 13 Yes 21. Valley Catholic Middle School 6-8 College Prep $11,610 252 24 Yes 22. Valley Catholic High School 9-12 College Prep $14,685 370 28 No 23. Visitation Catholic School PK-8 Catholic $4,793–5,868 98 165 20 8 Yes Multnomah County (OR) 1. A Renaissance School of Arts and Sciences K-8 Progressive $14,440 90 115 8 9 No 2. Central Catholic High School 9-12 College Prep, Catholic $15,378–19,000 98 850 21 52 No 3. Childpeace Montessori School, Metro Middle School PK-8 Montessori $11,600–17,300 6 254 26 10 No 4. Columbia Christian School PK-12 Christian, College Prep $4,000–8,000 95 250 20 18 No 5. Edison High School 9-12 Learning Differences $24,650 50 102 9 14 No 6. French American International School PK-8 Language Immersion $18,296–21,113 79 451 16 48 No 7. Grace Lutheran School PK-8 Lutheran $2,825–6,695 95 88 22 1 No 8. Holy Redeemer Catholic School PK-8 Catholic $5,450–7,775 95 304 27 11 Yes 9. Northwest Academy 6-12 College Prep $22,900–24,400 75 240 15 26 No 10. Open Door Christian Academy PK-12 Christian $2,210–3,940 50 285 25 5 No 11. Pacific Crest Community School 6-12 College Prep $14,250 70 95 12 9 No Average Class Size C Required clothing or Uniforms? U Faculty with Master’s Degrees M
Grade Range Acceptance Rate A 2018-2019 Enrollment E G County G School Type Tuition Range A(%) E(#)C(#)M(#) U Multnomah County (OR) 12. Portland Christian Schools PK-12 College Prep $7,400–11,335 94 547 42 30 No 13. Portland Jewish Academy PK-8 Jewish $19,415–20,035 60 18818 No 14. St. Agatha Catholic School PK-8 Catholic $6,350–7,930 60 18818 No 15. St. Clare School K-8 Catholic $6,600–8,400 100 20726 Yes 16. St. John Fisher School K-8 Catholic $7,160–9,335 89 200 24 17 Yes 17. St. Mary’s Academy 9 - 12 College Prep $15,995 97 680 21 46 No 18. St. Rose School PK-8 Catholic $6,190–7,840 94 224 25 12 Yes 19. Sunstone Montessori School PK-6 Montessori $11,900–12,800 90 172 26 14 No 20. The International School PK-5 Language Immersion $19,040–19,640 87387 14 24 No 21. The Madeleine School K-8 Catholic $6,065–7,750 95 264 30 11 Yes 22. The Portland Montessori School PK-6 Montessori $10,725–11,600 80 151 24 7 No 23. Trinity Lutheran Christian School K-8 Lutheran $7,300 1005210 24. Tucker Maxon School PK-5 Independent $8,200–17,000 91 45 1212 No 25. Venn Academy K-8 Relationship BasedLearning $11,000 50-60 18 9 26. West Hills Christian School K-8 Christian $5,800–8,875 90 308 18 11 No 27 West Hills Montessori PK-6 Montessori $11,495–12,255 80 125 25 15 No
School Information
School Information Average Class Size C Required clothing or Uniforms? U Faculty with Master’s Degrees M County G School Type Tuition Range A(%) E(#)C(#)M(#) U Clackamas County (OR) 1. Arbor School of Arts and Sciences K-8 Progressive $14,400 29 189 21 24 No 2. Christa McAuliffe Academy School of Arts and Sciences K-12 College Prep $3,995–8,795 100 380 10 12 No 3. La Salle Catholic College Prep 9-12 College Prep $14,750 85 703 19 45 No 4 Micha-el School PK-8 Waldorf $6,370–8,340 95 110 18 9 No 5. North Clackamas Christian School PK-12 Christian $6,353–7,860 95 263 1815 No 6. Park Academy 3-12 Learning differences $21,000 96 10 7. Portland Waldorf School PK-12 Waldorf $11,275–19,595 325 20 8. Spring Mountain Christian Academy K-12 Christian $3,460$4,440 90 165 12 4 No 9. St. John the Apostle Catholic School PK-8 Catholic $6,499 98 190 18 9 Yes 10. The Marylhurst School PK-8 Progressive $11,000 80 85 18 7 No Clark County (WA) 1. Cascadia School 1 - 6 Montessori $9,960–10,440 90 98 22 3 No 2. Cedar Tree Classical Christian School K - 12 College Prep $6,600–6,960 75 213 16 8 Yes 3. The Gardner School of Arts & Sciences PK - 8 Independent $16,950–18,550 37 10 4 Our Lady Of Lourdes Catholic School PK-8 Catholic $7,034–8,975 98 232 22 10 Yes

Turn static files into dynamic content formats.

Create a flipbook