

![]()


Parcel#:01596035
TaxLot:32E07AD00200
SiteAddress:19137LotWhitcombDr
OregonCityOR97045-8559
Owner:Bowers,CheryllKay
Owner2:
OwnerAddress:19137LotWhitcombDr
OregonCityOR97045-8559
Twn/Range/Section:03S/02E/07/NE
ParcelSize:024Acres(10,258SqFt)
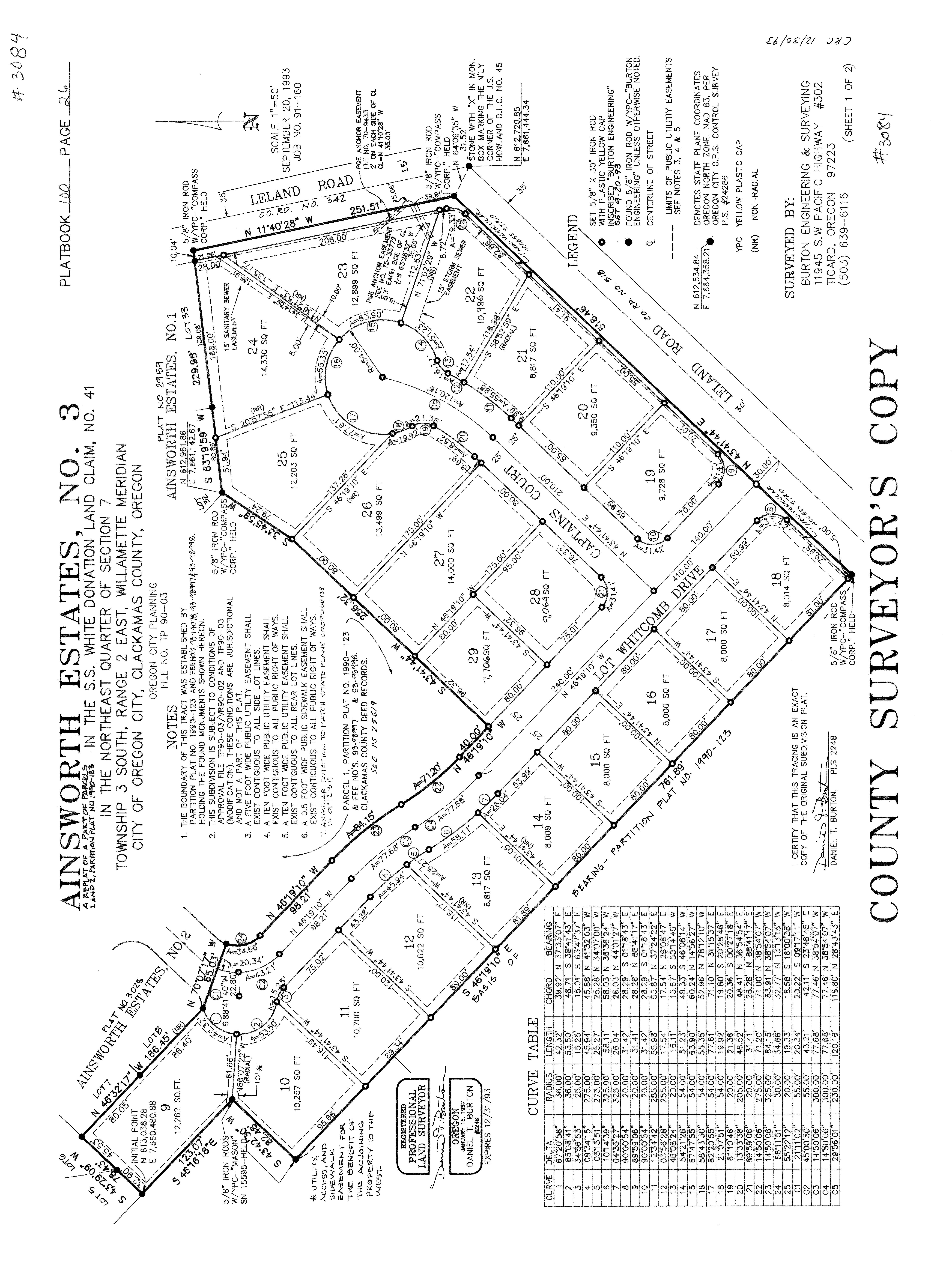
Plat/Subdivision:AinsworthEstates03
Lot:10
Block:
MapPage/Grid:717-C4
CensusTract/Block:022606/2002
Waterfront: BuildingUse:RS0-SingleFamily
MarketValueLand: $240,40300
MarketValueImpr: $552,57000
MarketValueTotal: $792,97300
AssessedValue: $456,58700


LevyCodeArea:062-002
LevyRate:188091
TaxYear:2023
AnnualTax:$8,58800
ExemptDescription: Legal 3084AINSWORTHESTATESNO3LT10
CntyLandUse:101-Residentiallandimproved
LandUseStd:RSFR-SingleFamilyResidence Zoning:OregonCity-R8-SingleFamilyDwellingDistrict Neighborhood:TowerVista Watershed:AbernethyCreek-WillametteRiver SchoolDistrict:62-OregonCity PrimarySchool:GaffneyLaneElementarySchool MiddleSchool:GardinerMiddleSchool HighSchool:OregonCitySeniorHighSchool
YearBuilt:1996 Stories:2 Fin.SqFt:3,030
Bedrooms:3
Bathrooms:25 Garage: ExteriorWallType:Clapboard
BasementFin SqFt: Fireplace:1
Heat:ForcedAirGas RoofType-Cover:Composition
TransferInformation
Rec Date:09/30/2020 SalePrice:$600,00000
Owner:CheryllKBowers
Orig LoanAmt:$466,00000
DocNum:2020-081028
DocType:Deed
Grantor:SCHRADERJEFFREYA&ANAM
TitleCo:TICORTITLE
FinanceType: LoanType:Conventional Lender:CROSSCOUNTRYMTG
SentryDynamics,Inc anditscustomersmakenorepresentations,warrantiesorconditions,expressorimplied,astotheaccuracyor completenessofinformationcontainedinthisreport

Thismap/platisbeingfurnishedasanaidinlocatingthehereindescribedLandinrelationtoadjoiningstreets,naturalboundariesandotherland,andisnotasurveyofthe landdepicted.Excepttotheextentapolicyoftitleinsuranceisexpresslymodifiedbyendorsement,ifany,theCompanydoesnotinsuredimensions,distances,locationof easements,acreageorothermattersshownthereon.

Thismap/platisbeingfurnishedasanaidinlocatingthehereindescribedLandinrelationtoadjoiningstreets,naturalboundariesandotherland,andisnotasurveyofthe landdepicted.Excepttotheextentapolicyoftitleinsuranceisexpresslymodifiedbyendorsement,ifany,theCompanydoesnotinsuredimensions,distances,locationof easements,acreageorothermattersshownthereon.
GeneralInformation
AlternateProperty#
PropertyDescription 3084AINSWORTHESTATESNO3LT10
LastSalePrice
LastSaleDate 10/21/2020
LastSaleExciseNumber 380018
PropertyCategory
TaxCodeArea
PropertyCharacteristics
ActiveExemptions
No Exemptions Found
Events
Effective Date EntryDateTime Type
04/18/2023 04/18/2023 10:01:00
09/30/2020 10/21/2020 08:18:00
Remarks
Annexation Completed For Property WITHDRAW WTR CLACK RIVER, ORD 21-1013-added to annexation by batch process 94,152. by DEENAMEH
Recording Processed
Property Transfer Filing No.: 380018, Warranty Deed, Recording No.: 2020-081028 09/30/2020 by SHAMMOND
09/30/2020 10/21/2020 08:18:00 Taxpayer Changed Property Transfer Filing No.: 380018 09/30/2020 by SHAMMOND
05/23/2018 06/04/2018 10:00:00
Recording Processed
Property Transfer Filing No.: 335111, Warranty Deed, Recording No.: 2018-031748 05/23/2018 by BCROWE
05/23/2018 06/04/2018 10:00:00 Taxpayer Changed Property Transfer Filing No.: 335111 05/23/2018 by BCROWE
04/04/2008 04/04/2008 11:10:00
Annexation Completed For Property Annex to Clackamas Fire 1, Ord 2008-36 pt 3-annexed by 062-064 for 2008-Revise TCA Membership by JENMAYO
07/01/1999 07/01/1999 12:00:00 Ownership at Conversion Warranty Deed: 95-69773, 12/1/94, $ 38500
TaxBalance
InstallmentsPayable
Receipts
SalesHistory
PropertyDetails
(ReceiptDetail.aspx? receiptnumber=4965347)





Address 12735 KAFTON TER, OREGON CITY, OR 97045
Owner CAVE RANDY LEE (TRUSTEE); CAVE CHRISTINE HARRIET (TRUSTEE) Lot Size (SF/AC) Bedrooms 3 Year Built 2003
THIS REPORT IS INTENDED FOR USE BY YOU AS AN END USER SOLELY FOR YOUR INTERNAL BUSINESS PURPOSES. YOU SHALL NOT RESELL, RELICENSE OR REDISTRIBUTE THIS REPORT, IN WHOLE OR IN PART. THE USE OF THIS REPORT BY ANY PARTY OTHER THAN YOURSELF FOR ANY PURPOSE IS STRICTLY PROHIBITED. THIS REPORT IS PROVIDED AS-IS WITHOUT WARRANTY OF ANY KIND, EITHER EXPRESS OR IMPLIED, INCLUDING WITHOUT LIMITATION, ANY WARRANTIES OF MERCHANTABILITY, NON-INFRINGEMENT, OR FITNESS FOR A PARTICULAR PURPOSE. INTERCONTINENTAL EXCHANGE, INC. (ICE) SHALL HAVE NO LIABILITY IN CONTRACT, TORT, OR OTHERWISE ARISING OUT OF OR IN CONNECTION WITH THIS REPORT. ICE DOES NOT REPRESENT OR WARRANT THAT THE REPORT IS COMPLETE OR FREE FROM ERROR. YOU UNDERSTAND AND ACKNOWLEDGE THAT THE AVAILABILITY, COMPLETENESS AND FORMAT OF THE DATA ELEMENTS MAY VARY SUBSTANTIALLY FROM AREA-TO-AREA. THE INFORMATION CONTAINED IN THIS REPORT IS DERIVED FROM PUBLICLY AVAILABLE SOURCES FOR THE SUBJECT PROPERTY OR COMPARABLE PROPERTIES LISTED ABOVE AND HAS NOT BEEN INDEPENDENTLY VERIFIED BY ICE THROUGH ANY FORM OF INSPECTION OR REVIEW. THIS REPORT DOES NOT CONSTITUTE AN APPRAISAL OF ANY KIND AND SHOULD NOT BE USED IN LIEU OF AN INSPECTION OF A SUBJECT PROPERTY BY A LICENSED OR CERTIFIED APPRAISER. THIS REPORT CONTAINS NO REPRESENTATIONS, OPINIONS OR WARRANTIES REGARDING THE SUBJECT PROPERTY'S ACTUAL MARKETABILITY, CONDITION (STRUCTURAL OR OTHERWISE), ENVIRONMENTAL, HAZARD OR FLOOD ZONE STATUS, AND ANY REFERENCE TO ENVIRONMENTAL, HAZARD OR FLOOD ZONE STATUS IS FOR INFORMATIONAL PURPOSES ONLY AND SHALL BE INDEPENDENTLY VERIFIED BY THE END USER. THE INFORMATION CONTAINED HEREIN SHALL NOT BE UTILIZED: (A) TO REVIEW OR ESTABLISH A CONSUMER'S CREDIT AND/OR INSURANCE ELIGIBILITY OR FOR ANY OTHER PURPOSE THAT WOULD CAUSE THE REPORT TO CONSTITUTE A "CONSUMER REPORT" UNDER THE FAIR CREDIT REPORTING ACT, 15 U.S.C. § 1681 ET SEQ.; OR (B) IN CONNECTION WITH CERTIFICATION OR AUTHENTICATION OF REAL ESTATE OWNERSHIP AND/OR REAL ESTATE TRANSACTIONS. ADDITIONAL TERMS AND CONDITIONS SHALL APPLY PURSUANT TO THE APPLICABLE AGREEMENT.
Copyright
CONFIDENTIAL, PROPRIETARY AND/OR TRADE SECRET. TM SM ® TRADEMARK(S) OF INTERCONTINENTAL EXCHANGE, INC. AND ITS SUBSIDIARIES AND AFFILIATES. © 2024 INTERCONTINENTAL EXCHANGE, INC. ALL RIGHTS RESERVED.











Banks
503 . 324 . 8591 | www.banks.k12.or.us
Beaverton
503 672 3721 | www.beaverton.k12.or.us
Canby
503 266 7861 | boundaries: 503 266 2064 | www.canby.k12.or.us
Centennial
503 760 7990 | www.centennial.k12.or.us
503 . 653 . 6000 | boundaries: 503 . 353 . 6119 | www.nclack.k12.or.us
Colton
503 824 3535 | boundaries: 503 824 3534 | www.colton.k12.or.us
David Douglas
503 . 252 . 7990 | www.centennial.k12.or.us
Estacada
503 . 630 . 6871 | www.esd108.k12.or.us
Forest Grove
503 357 6171 | boundaries: 503 359 8167 x 221 | www.fgsd.k12.or.us
Gladstone
503 . 655 . 2777 | www.gladstone.k12.or.us
Gresham / Barlow
503 . 618 . 2450 | www.gresham.k12.or.us
Hillsboro
503 844 1500 | boundaries: 503 648 9123 | www.hsd.k12.or.us
Lake Oswego
503 . 534 . 2000 | boundaries: 503 . 534 . 2490 | www.loswego.k12.or.us
Washington County (OR)
Multnomah County (OR)
Clackamas County (OR) 1.
Omitted from this document is any covenant or restriction that is based upon, but not necessarily limited to, race, color, religion, sex, sexual orientation, familial status, marital status, disability, handicap, national origin, ancestry, source of income, gender, gender identity, gender expression, medical condition, or genetic information, as set forth in applicable state or federal law, except to the extent that such covenant or restriction is permitted by applicable law.


This map/plat is being furnished as an aid in locating the herein described Land in relation to adjoining streets, natural boundaries and other land, and is not a survey of the land depicted. Except to the extent a policy of title insurance is expressly modified by endorsement, if any, the Company does not insure dimensions, distances, location of easements, acreage or other matters shown thereon.

This map/plat is being furnished as an aid in locating the herein described Land in relation to adjoining streets, natural boundaries and other land, and is not a survey of the land depicted. Except to the extent a policy of title insurance is expressly modified by endorsement, if any, the Company does not insure dimensions, distances, location of easements, acreage or other matters shown thereon.






