Skip to main content

Homebook for 15619 SW Feldspar Way

Page 1

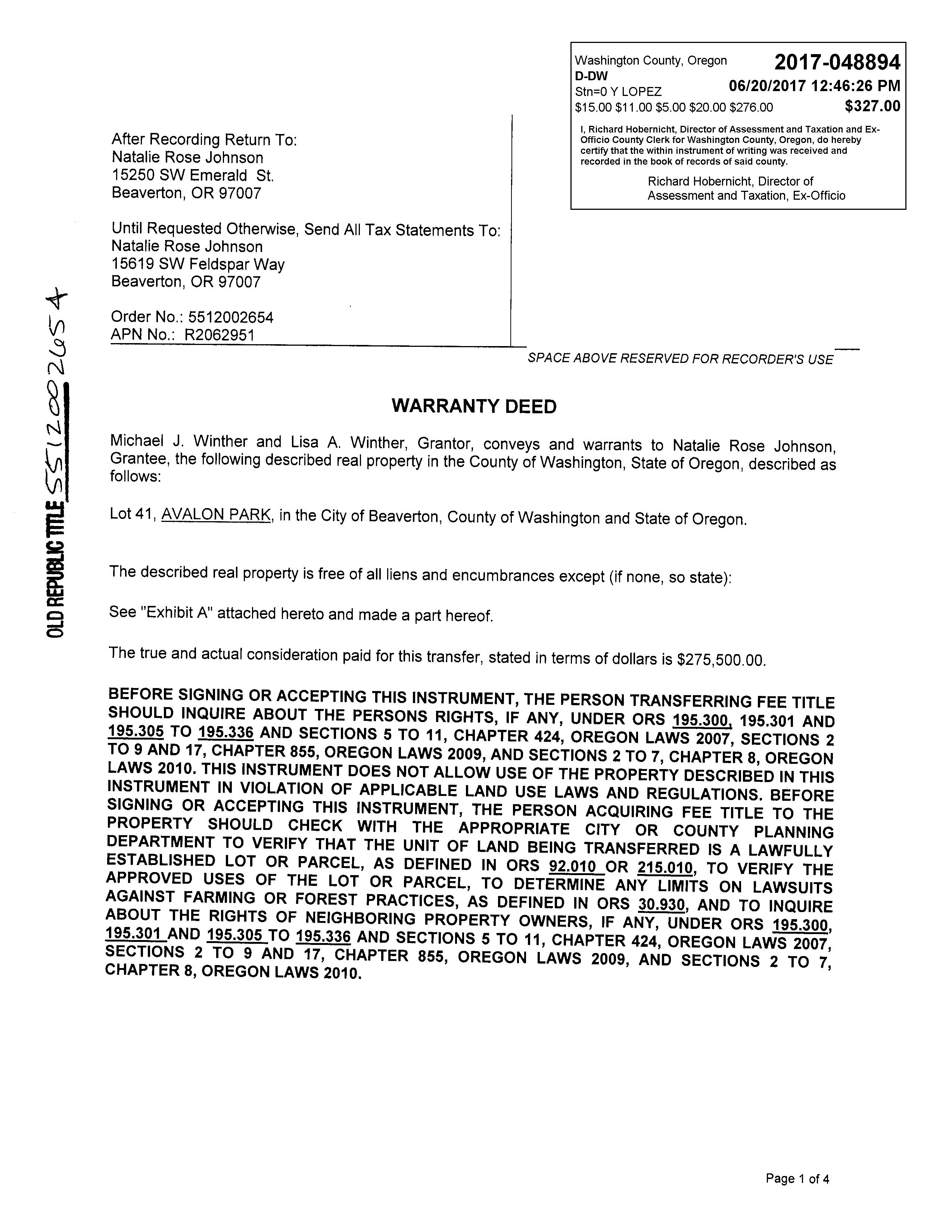
15619 SW Feldspar Way Beaverton, OR 97007 Hannah Novak Bauer Street Real Estate Group Keller Williams - Sunset Corridor 503-914-7909 Hannah@bauerpdx.com

Property Profile HOMEBOOK

Washington County

Parcel Information

Parcel #:R2062951

Tax Lot:1S129CA08900

SiteAddress:15619 SW Feldspar Way

Beaverton OR 97007 - 8633

Owner:Natalie Johnson

Owner2:

OwnerAddress:15619 SW Feldspar Way

Beaverton OR 97007 - 8633

Twn/Range/Section:01S / 01W / 29 / SW

Parcel Size:0 06Acres (2,614 SqFt)

Plat/Subdivision:Avalon Park

Lot:41

Block:

Map Page/Grid:654-H1

CensusTract/Block:031815 / 1018

Land Improvement

Cnty Land Use:1010 - Residential Improved

Land Use Std:RSFR - Single Family Residence

Assessment Information

Market Value Land: $162,040 00

Market Value Impr: $206,240 00

Market Value Special: $0 00

Market ValueTotal: $368,280 00

AssessmentYear: 2022

Assessed Value: $210,080.00

Tax Information

Levy Code:51 58

Levy Rate:20 8324

TaxYear:2022

AnnualTax:$4,376 48

Exemption:$0 00

Legal

AVALON PARK, LOT41,ACRES 0 06

Cnty Bldg Use:R1 - Residence Single Family

Zoning:Beaverton-RMA- Residential MixedA

Neighborhood:Sexton Mountain Recreation:

Watershed:Rock Creek-Tualatin River School District:48J - Beaverton

Primary School:SEXTON MOUNTAIN ELEMENTARYSCHOOL Middle School:HIGHLAND PARK MIDDLE SCHOOL High School:MOUNTAINSIDE HIGH SCHOOL

Exterior Walls:Wood Sheathing Roof Covering:Composition

Transfer Information

Loan Date:07/24/2020

LoanAmt:$208,500 00

Doc Num:67723

LoanType: FinanceType:Conventional Lender:FLAGSTAR BK FSB

Rec Date:06/20/2017

Owner:Natalie R Johnson

Orig LoanAmt:$220,400 00

Sale Price:$275,500 00

Doc Num:2017048894

DocType:Deed OfTrust

DocType:Deed

Grantor:WINTHER MICHAELJ & LISAA

Title Co:OLD REPUBLICTITLE

FinanceType: LoanType:Conventional Lender:HOMESTREETBK

Sentry Dynamics, Inc and its customers make no representations, warranties or conditions, express or implied, as to the accuracy or completeness of information contained in this report

Parcel Information
Year
Bedrooms:2 Bathrooms:3 1st Floor:578 SqFt 2nd Floor:598 SqFt BuildingTotal:1,176 SqFt Garage:Basement Finished Garage - 600 SqFt Attic Fin/Unfin:0 SqFt / 0 SqFt Building Fin:1,176 SqFt A/C: Basement Fin SqFt:0 SqFt Basement
Heat:ForcedAir
Built:1997
Unfin:

Thismap/platisbeingfurnishedasanaidinlocatingthehereindescribedLandinrelationtoadjoiningstreets,naturalboundariesandotherland,andisnotasurveyofthe landdepicted.Excepttotheextentapolicyoftitleinsuranceisexpresslymodifiedbyendorsement,ifany,theCompanydoesnotinsuredimensions,distances,locationof easements,acreageorothermattersshownthereon.

Thismap/platisbeingfurnishedasanaidinlocatingthehereindescribedLandinrelationtoadjoiningstreets,naturalboundariesandotherland,andisnotasurveyofthe landdepicted.Excepttotheextentapolicyoftitleinsuranceisexpresslymodifiedbyendorsement,ifany,theCompanydoesnotinsuredimensions,distances,locationof easements,acreageorothermattersshownthereon.

If applicable, the described property is receiving special valuation based upon its use. Additional rollback taxes which may become due based on the provisions of the special valuation are not indicated in this listing.

Eìective Date: Property Property Address 2022 Real Market Value R2062951 15619SWFELDSPARWAY,BEAVERTON,OR97007 $368,280 2023GENERALINFORMATION Property Status AActive Property Type Residential Legal Description AVALONPARK,LOT41,ACRES 0.06 Alternate Account NumberNeighborhood MWSTMURRAYWEST Map Number 1S129CA08900 Property Use 1010:RESIDENTIALIMPROVED LevyCodeArea 051.58 2022 Certiíed Tax Rate 20.8324 RELATEDPROPERTIES Linked PropertiesProperty Group IDGrouped PropertiesSplit / Merge DateSplit / Merge AccountsSplit / Merge Message2022IMPROVEMENTS ? Expand/Collapse All 2022LANDSEGMENTS STATECODE SEGMENTTYPE LANDSIZE L1 05:TOWNHOUSE 0.00acres CERTIFIED/INPROCESSVALUES YEAR IMPROVEMENTS LAND RMV SPECIALUSE ASSESSEDVALUE 2022 $206,240 $162,040 $368,280 $0 $210,080 2021 $150,590 $146,280 $296,870 $0 $203,970 SALESHISTORY SALEDATE SELLER BUYER INST# SALEPRICE INSTTYPE 6/15/2017 Unknown Unknown 2017048894 $275,500 DW 1/30/2006 Unknown Unknown 2006012714 $194,900 DW 4/18/1998 Unknown Unknown 1998038363 $139,995 DW
TAXSUMMARY ? Details TAXYEAR ADVALOREM SPECIAL ASMT TOTALBILLED LEVY BALANCE INTEREST OWING DATEPAID TOTAL OWED 2022 $4,376.48 $4,376.48 $0.00 $0.00 11-10-2022 $0.00 2021 $4,223.41 $4,223.41 $0.00 $0.00 11-8-2021 $0.00 2020 $4,095.00 $4,095.00 $0.00 $0.00 11-13-2020 $0.00 2019 $3,965.46 $3,965.46 $0.00 $0.00 11-14-2019 $0.00 2018 $3,838.98 $3,838.98 $0.00 $0.00 11-8-2018 $0.00 2017 $3,695.69 $3,695.69 $0.00 $0.00 11-9-2017 $0.00 2016 $3,446.44 $3,446.44 $0.00 $0.00 12-30-2016 $0.00 TOTALTAXESDUE CurrentYearDue $0.00 PastYearsDue $0.00 TotalDue $0.00 *Total Due shown may not reîect current amount due ? Improvement #1 Improvement Type Beds / Baths - TownHouse 2 / 3 ? Sketch $0 $0 $0 $0 $0 $0 $0
2015 $3,265.83 $3,265.83 $0.00 $0.00 10-31-2015 $0.00 2014 $2,803.04 $2,803.04 $0.00 $0.00 3-16-2015 $0.00 2013 $2,660.44 $2,660.44 $0.00 $0.00 11-6-2013 $0.00 2012 $0.00 $2,869.21 $0.00 $0.00 10-23-2012 $0.00 2011 $0.00 $3,100.58 $0.00 $0.00 3-22-2012 $0.00 2010 $0.00 $3,085.31 $0.00 $0.00 4-20-2011 $0.00 2009 $0.00 $3,014.66 $0.00 $0.00 5-17-2010 $0.00 2008 $0.00 $2,784.39 $0.00 $0.00 5-1-2009 $0.00 2007 $0.00 $2,756.71 $0.00 $0.00 11-9-2007 $0.00 TAXYEAR RECEIPTNUMBER TRANSACTIONDATE VOIDED PAYMENTAMOUNT 2022 WASH-2022-110950 11-10-2022 No $4,245.19 2021 WASH-2021-109840 11-8-2021 No $4,096.71 2020 WASH-2020-114305 11-13-2020 No $3,972.15 2019 6066322 11-14-2019 No $3,846.50 2018 5832075 11-8-2018 No $3,723.81 2017 5628447 11-9-2017 No $3,584.82 2016 5516281 12-30-2016 No $2,297.62 2016 5346971 10-31-2016 No ($1,148.82) 2016 5346971 10-31-2016 Yes $1,148.82 2016 5353911 10-31-2016 No $1,148.82 2015 5154320 10-31-2015 No $3,167.86 2014 5096684 3-16-2015 No $934.34 2014 4926735 11-3-2014 No $1,831.33 2013 4719006 11-6-2013 No $2,580.63 2012 4475579 10-23-2012 No $2,783.13 2011 4449188 3-22-2012 No $1,033.53 2011 4255824 10-21-2011 No $2,025.72 2010 4229719 4-20-2011 No $1,028.43 2010 4215134 2-9-2011 No $1,028.44 2010 4107773 11-12-2010 No $1,028.44 2009 4019895 5-17-2010 No $1,004.88 2009 3991834 2-4-2010 No $1,004.89 2009 3818349 10-21-2009 No $1,004.89 2008 3791509 5-1-2009 No $928.13 2008 3637780 11-5-2008 No $1,819.13 2007 3424862 11-9-2007 No $2,674.01 $0 $0 $0 $0 $0 $0 $0 $0 $0
Neighborhood Information HOMEBOOK
Page 1
Subject Property Location Report Date: 05/09/2023 Property Address 15619 SW FELDSPAR WAY Order ID: R114830017 City, State & Zip BEAVERTON, OR 97007-8633 County WASHINGTON COUNTY Property Use Single Family Residential Mailing Address 15619 SW FELDSPAR WAY, BEAVERTON, OR 97007-8633 Parcel Number 1S129CA-08900 Subject Property Address 15619 SW FELDSPAR WAY, BEAVERTON, OR 97007 APN 1S129CA-08900 Owner JOHNSON, NATALIE ROSE Lot Size (SF/AC) 2,614/.06 Bedrooms 2 Year Built 1997 Living Area (SF) 1,176 Bathrooms/Partial 3 Garage/No. of Cars Underground/Basement/2 Phones Nearby Neighbor #1 Address 15617 SW FELDSPAR WAY, BEAVERTON, OR 97007 APN 1S129CA-09000 Owner LOWE, DANNIELLE MERCEDES Lot Size (SF/AC) 1,742/.04 Bedrooms 2 Year Built 1997 Living Area (SF) 1,176 Bathrooms/Partial 3 Garage/No. of Cars Underground/Basement/2 Phones Nearby Neighbor #2 Address 15615 SW FELDSPAR WAY, BEAVERTON, OR 97007 APN 1S129CA-09100 Owner BROWN, ZOANN M REVOCABLE TRUST Lot Size (SF/AC) 1,742/.04 Bedrooms 2 Year Built 1997 Living Area (SF) 1,176 Bathrooms/Partial 3 Garage/No. of Cars Underground/Basement/2 Phones Nearby Neighbor #3 Address 15611 SW FELDSPAR WAY, BEAVERTON, OR 97007 APN 1S129CA-09200 Owner WALKER, MELISSA Lot Size (SF/AC) 2,614/.06 Bedrooms 2 Year Built 1997 Living Area (SF) 1,176 Bathrooms/Partial 3 Garage/No. of Cars Underground/Basement/2 Phones Nearby Neighbor #4 Address 15625 SW FELDSPAR WAY, BEAVERTON, OR 97007 APN 1S129CA-08700 Owner KORCHNOY, VALENTINA & LISIANSKY, MICHAEL Lot Size (SF/AC) 1,742/.04 Bedrooms 2 Year Built 1997 Living Area (SF) 1,176 Bathrooms/Partial 3 Garage/No. of Cars Underground/Basement/2 Phones Nearby Neighbor #5 Address 15627 SW FELDSPAR WAY, BEAVERTON, OR 97007 APN 1S129CA-08800 Owner STEPHAN, STEPHANIE; STEPHANIE STEPHAN FAMILY TRUST, Lot Size (SF/AC) 3,049/.07 Bedrooms 2 Year Built 1997 Living Area (SF) 1,670 Bathrooms/Partial 3 Garage/No. of Cars Underground/Basement/1 Phones Nearby Neighbor #6 Address 15623 SW FELDSPAR WAY, BEAVERTON, OR 97007 APN 1S129CA-08600 Owner PRIDDY, BRIAN D Lot Size (SF/AC) 1,742/.04 Bedrooms 2 Year Built 1997 Living Area (SF) 1,366 Bathrooms/Partial 3 Garage/No. of Cars Underground/Basement/2 Phones
Nearby Neighbors Report
Page 2 Nearby Neighbor #7 Address 15621 SW FELDSPAR WAY, BEAVERTON, OR 97007 APN 1S129CA-08500 Owner DEE, SHAUN M & DEE, ANDREW J Lot Size (SF/AC) 2,614/.06 Bedrooms 2 Year Built 1997 Living Area (SF) 1,176 Bathrooms/Partial 3 Garage/No. of Cars Underground/Basement/2 Phones Nearby Neighbor #8 Address 15529 SW FELDSPAR WAY, BEAVERTON, OR 97007 APN 1S129CA-09300 Owner DAVIS, THOMAS L & ALEXANDRIA A JOINT LIV TRUST Lot Size (SF/AC) 2,614/.06 Bedrooms 2 Year Built 1997 Living Area (SF) 1,176 Bathrooms/Partial 3 Garage/No. of Cars Underground/Basement/2 Phones Nearby Neighbor #9 Address 15523 SW PERIDOT WAY, BEAVERTON, OR 97007 APN 1S129CA-08100 Owner JONES, TAMMY Lot Size (SF/AC) 1,742/.04 Bedrooms 2 Year Built 1997 Living Area (SF) 1,176 Bathrooms/Partial 3 Garage/No. of Cars Underground/Basement/2 Phones (503) 579-8494 Nearby Neighbor #10 Address 15521 SW PERIDOT WAY, BEAVERTON, OR 97007 APN 1S129CA-08000 Owner GREEN, THOMAS J Lot Size (SF/AC) 2,178/.05 Bedrooms 2 Year Built 1997 Living Area (SF) 1,176 Bathrooms/Partial 3 Garage/No. of Cars Underground/Basement/2 Phones (503) 686-0193 Nearby Neighbor #11 Address 15525 SW PERIDOT WAY, BEAVERTON, OR 97007 APN 1S129CA-08200 Owner SINGER, RACHEL LINDSEY & STEFFENS, JAIMESON DOUGLAS Lot Size (SF/AC) 2,178/.05 Bedrooms 2 Year Built 1997 Living Area (SF) 1,176 Bathrooms/Partial 3 Garage/No. of Cars Underground/Basement/2 Phones Nearby Neighbor #12 Address 15531 SW PERIDOT WAY, BEAVERTON, OR 97007 APN 1S129CA-08300 Owner BASSAM, SEYED SIAVASH Lot Size (SF/AC) 2,614/.06 Bedrooms 2 Year Built 1999 Living Area (SF) 1,216 Bathrooms/Partial 3 Garage/No. of Cars Underground/Basement/2 Phones Nearby Neighbor #13 Address 15527 SW FELDSPAR WAY, BEAVERTON, OR 97007 APN 1S129CA-09400 Owner HELTSLEY, ERIN; RUDOLPH, ROBERT Lot Size (SF/AC) 1,742/.04 Bedrooms 2 Year Built 1997 Living Area (SF) 1,176 Bathrooms/Partial 3 Garage/No. of Cars Underground/Basement/2 Phones (503) 572-9401 Nearby Neighbor #14 Address 15515 SW PERIDOT WAY, BEAVERTON, OR 97007 APN 1S129CA-07900 Owner IMAMURA, TETSUYA Lot Size (SF/AC) 2,178/.05 Bedrooms 3 Year Built 1997 Living Area (SF) 1,426 Bathrooms/Partial 3 Garage/No. of Cars Garage/1 Phones (503) 820-8624

Nearby

Neighbor #15

Address 15513 SW PERIDOT WAY, BEAVERTON, OR 97007 APN

Owner PERIDOT WAY LLC

Bedrooms 2 Year Built 1997

Bathrooms/Partial 3 Garage/No. of Cars Underground/Basement/2 Phones

Disclaimer

Area (SF) 1,176

THIS REPORT IS INTENDED FOR USE BY YOU AS AN END USER SOLELY FOR YOUR INTERNAL BUSINESS PURPOSES. YOU SHALL NOT RESELL, RELICENSE OR REDISTRIBUTE THIS REPORT, IN WHOLE OR IN PART. THE USE OF THIS REPORT BY ANY PARTY OTHER THAN YOURSELF FOR ANY PURPOSE IS STRICTLY PROHIBITED. THIS REPORT IS PROVIDED AS-IS WITHOUT WARRANTY OF ANY KIND, EITHER EXPRESS OR IMPLIED, INCLUDING WITHOUT LIMITATION, ANY WARRANTIES OF MERCHANTABILITY, NON-INFRINGEMENT, OR FITNESS FOR A PARTICULAR PURPOSE. BLACK KNIGHT SHALL HAVE NO LIABILITY IN CONTRACT, TORT, OR OTHERWISE ARISING OUT OF OR IN CONNECTION WITH THIS REPORT. BLACK KNIGHT DOES NOT REPRESENT OR WARRANT THAT THE REPORT IS COMPLETE OR FREE FROM ERROR. YOU UNDERSTAND AND ACKNOWLEDGE THAT THE AVAILABILITY, COMPLETENESS AND FORMAT OF THE DATA ELEMENTS MAY VARY SUBSTANTIANLLY FROM AREA-TO-AREA. THE INFORMATION CONTAINED IN THIS REPORT IS DERIVED FROM PUBLICLY AVAILABLE SOURCES FOR THE SUBJECT PROPERTY OR COMPARABLE PROPERTIES LISTED ABOVE AND HAS NOT BEEN INDEPENDENT VERIFIED BY BLACK KNIGHT THROUGH ANY FORM OF INSPECTION OR REVIEW. THIS REPORT DOES NOT CONSTITUTE AN APPRAISAL OF ANY KIND AND SHOULD NOT BE USED IN LIEU OF AN INSPECTION OF A SUBJECT PROPERTY BY A LICENSED OR CERTIFIED APPRAISER. THIS REPORT CONTAINS NO REPRESENTATIONS, OPINIONS OR WARRANTIES REGARDING THE SUBJECT PROPERTY'S ACTUAL MARKETABILITY, CONDITION (STRUCTURAL OR OTHERWISE), ENVIRONMENTAL, HAZARD OR FLOOD ZONE STATUS, AND ANY REFERENCE TO ENVIRONMENTAL, HAZARD OR FLOOD ZONE STATUS IS FOR INFORMATIONAL PURPOSES ONLY AND SHALL BE INDEPENDENTLY VERIFIED BY THE END USER. THE INFORMATION CONTAINED HEREIN SHALL NOT BE UTILIZED: (A) TO REVIEW OR ESTABLISH A CONSUMER'S CREDIT AND/OR INSURANCE ELIGIBILITY OR FOR ANY OTHER PURPOSE THAT WOULD CAUSE THE REPORT TO CONSTITUTE A "CONSUMER REPORT" UNDER THE FAIR CREDIT REPORTING ACT, 15 U.S.C. § 1681 ET SEQ.; OR (B) IN CONNECTION WITH CERTIFICATION OR AUTHENTICATION OF REAL ESTATE OWNERSHIP AND/OR REAL ESTATE TRANSACTIONS. ADDITIONAL TERMS AND CONDITIONS SHALL APPLY PURSUANT TO THE APPLICABLE AGREEMENT.

Copyright

CONFIDENTIAL, PROPRIETARY AND/OR TRADE SECRET. TM SM ® TRADEMARK(S) OF BLACK KNIGHT IP HOLDING COMPANY, LLC, OR AN AFFILIATE. © 2023 BLACK KNIGHT TECHNOLOGIES, LLC. ALL RIGHTS RESERVED.

Page 3
1S129CA-07800
Lot
Size (SF/AC) 1,742/.04
Living
Utilities
HOMEBOOK

Please Use/Click on this Digital U lity Link

Most u lity service providers require you to go online, fill out a form and e-mail back, or use their online service.

School Information HOMEBOOK

ClickHereforthe OregonSchoolReportCards

School Information

Centennial

North

David

Gresham

Banks 503 . 324 . 8591 | www.banks.k12.or.us Beaverton 503 672 3721 | www.beaverton.k12.or.us
503 266 7861 | boundaries: 503 266 2064 | www.canby.k12.or.us
Canby
503 760 7990 | www.centennial.k12.or.us
Clackamas 503 . 653 . 6000 | boundaries: 503 . 353 . 6119 | www.nclack.k12.or.us
503 824 3535 | boundaries: 503 824 3534 | www.colton.k12.or.us
Colton
Douglas 503 . 252 . 7990 | www.centennial.k12.or.us
503 . 630 . 6871 | www.esd108.k12.or.us
Grove 503 357 6171 | boundaries: 503 359 8167 x 221 | www.fgsd.k12.or.us
503 . 655 . 2777 | www.gladstone.k12.or.us
Estacada
Forest
Gladstone
/ Barlow 503 . 618 . 2450 | www.gresham.k12.or.us Hillsboro 503 844 1500 | boundaries: 503 648 9123 | www.hsd.k12.or.us
Oswego 503 . 534 . 2000 | boundaries: 503 . 534 . 2490 | www.loswego.k12.or.us
Lake

School Information

McMinnville 503 565 4000 | www.msd.k12.or.us Molalla River 503 . 829 . 2359 | boundaries: 503 . 829 . 2512 | www.molallariv.k12.or.us Newberg 503 554 5000 | boundaries: 503 538 8365 | www.newberg.k12.or.us Oregon City 503 657 4283 | boundaries: 503 657 2471 | www.orecity.k12.or.us Oregon Trail 503 668 5541 | www.oregonrailschools.k12.or.us Parkrose 503 408 2100 | www.parkrose.k12.or.us Portland 503 916 2000 | boundaries: 503 916 3262 | www.pps.k12.or.us Reynolds 503 . 661 . 7200 | boundaries: 503 . 492 . 4921 | www.reynolds.k12.or.us Sherwood 503 625 8100 | boundaries: 503 625 8107 | www.sherwood.k12.or.us Tigard / Tualatin 503 431 4000 | www.ttsd.k12.or.us West Linn / Wilsonville 503 . 673 . 7000 | boundaries: 503 . 673 . 7034 | www.wlwv.k12.or.us Woodburn 503 . 981 . 9555 | www.woodburn.k12.or.us
County G School Type Tuition Range A(%) E(#)C(#)M(#) U Washington County (OR) 1. Agia Sophia Academy PK-5 Montessori $6,600–8,300 95 30 12 Yes 2. Catlin Gabel School PK-12 College Prep $27,190–34,100 26 776 17 61 No 4. Forest Hills Lutheran Christian School PK-8 Lutheran $6,531–6,875 98 197 18 No 5. German International School PK-5 Language Immersion, INTL Baccalaureate $15,110–15,275 98 144 12 10 No 6. Holy Trinity Catholic School PK-8 Catholic $6,600–8,400 285 30 Yes 7. Horizon Christian School PK-12 College Prep $4,650–11,975 95 411 14 24 No 8 Islamic School of MET PK-12 Muslim College Prep $7,750–8,250 90 206 16 5 Yes 9. Jesuit High School 9-12 College Prep $15,475 71 1274 23 86 No 11. Living Wisdom School PK-8 Education for Life $7,200–9,100 95 38 12 No 12. Montessori School of Beaverton PK-6 Montessori $11,400–12,000 80 120 1010 No 13. Northwest Chinese Academy PK-5 Language Immersion $17,250–19,525 96 33 77 Yes 14. Oregon Episcopal School PK-12 College Prep $28,900–35,000 43 858 16 72 Yes 15. Pilgrim Lutheran Christian School PK-8 Christian $6,850–8,295 12512 5 Yes 16. St. Matthew Catholic School PK-8 Catholic $6,850–8,600 99 184 21 16 Yes 17. St. Pius X Grade School K-8 Catholic $7,240–9,430 85 492 3029 Yes 18. St. Stephen‘s Academy PK-12 Classical Christian $5,160–10,620 96 256 1610 Yes 19. Tualatin Valley Academy PK-12 Christian $4,980–9,108 99 175 20 8 No Grade Range Acceptance Rate A 2014-2015 Enrollment E G
School Information
School Information County G School Type Tuition Range A(%) E(#)C(#) M(#) U Washington County (OR) 20. Valley Catholic Elementary School K-5 Catholic $8,520 337 13 Yes 21. Valley Catholic Middle School 6-8 College Prep $11,610 252 24 Yes 22. Valley Catholic High School 9-12 College Prep $14,685 370 28 No 23. Visitation Catholic School PK-8 Catholic $4,793–5,868 98 165 20 8 Yes Multnomah County (OR) 1. A Renaissance School of Arts and Sciences K-8 Progressive $14,440 90 115 8 9 No 2. Central Catholic High School 9-12 College Prep, Catholic $15,378–19,000 98 850 21 52 No 3. Childpeace Montessori School, Metro Middle School PK-8 Montessori $11,600–17,300 6 254 26 10 No 4. Columbia Christian School PK-12 Christian, College Prep $4,000–8,000 95 250 20 18 No 5. Edison High School 9-12 Learning Differences $24,650 50 102 9 14 No 6. French American International School PK-8 Language Immersion $18,296–21,113 79 451 16 48 No 7. Grace Lutheran School PK-8 Lutheran $2,825–6,695 95 88 22 1 No 8. Holy Redeemer Catholic School PK-8 Catholic $5,450–7,775 95 304 27 11 Yes 9. Northwest Academy 6-12 College Prep $22,900–24,400 75 240 15 26 No 10. Open Door Christian Academy PK-12 Christian $2,210–3,940 50 285 25 5 No 11. Pacific Crest Community School 6-12 College Prep $14,250 70 95 12 9 No Average Class Size C Required clothing or Uniforms? U Faculty with Master’s Degrees M
Grade Range Acceptance Rate A 2018-2019 Enrollment E G County G School Type Tuition Range A(%) E(#)C(#)M(#) U Multnomah County (OR) 12. Portland Christian Schools PK-12 College Prep $7,400–11,335 94 547 42 30 No 13. Portland Jewish Academy PK-8 Jewish $19,415–20,035 60 18818 No 14. St. Agatha Catholic School PK-8 Catholic $6,350–7,930 60 18818 No 15. St. Clare School K-8 Catholic $6,600–8,400 100 20726 Yes 16. St. John Fisher School K-8 Catholic $7,160–9,335 89 200 24 17 Yes 17. St. Mary’s Academy 9 - 12 College Prep $15,995 97 680 21 46 No 18. St. Rose School PK-8 Catholic $6,190–7,840 94 224 25 12 Yes 19. Sunstone Montessori School PK-6 Montessori $11,900–12,800 90 172 26 14 No 20. The International School PK-5 Language Immersion $19,040–19,640 87387 14 24 No 21. The Madeleine School K-8 Catholic $6,065–7,750 95 264 30 11 Yes 22. The Portland Montessori School PK-6 Montessori $10,725–11,600 80 151 24 7 No 23. Trinity Lutheran Christian School K-8 Lutheran $7,300 1005210 24. Tucker Maxon School PK-5 Independent $8,200–17,000 91 45 1212 No 25. Venn Academy K-8 Relationship BasedLearning $11,000 50-60 18 9 26. West Hills Christian School K-8 Christian $5,800–8,875 90 308 18 11 No 27 West Hills Montessori PK-6 Montessori $11,495–12,255 80 125 25 15 No
School Information
School Information Average Class Size C Required clothing or Uniforms? U Faculty with Master’s Degrees M County G School Type Tuition Range A(%) E(#)C(#)M(#) U Clackamas County (OR) 1. Arbor School of Arts and Sciences K-8 Progressive $14,400 29 189 21 24 No 2. Christa McAuliffe Academy School of Arts and Sciences K-12 College Prep $3,995–8,795 100 380 10 12 No 3. La Salle Catholic College Prep 9-12 College Prep $14,750 85 703 19 45 No 4 Micha-el School PK-8 Waldorf $6,370–8,340 95 110 18 9 No 5. North Clackamas Christian School PK-12 Christian $6,353–7,860 95 263 1815 No 6. Park Academy 3-12 Learning differences $21,000 96 10 7. Portland Waldorf School PK-12 Waldorf $11,275–19,595 325 20 8. Spring Mountain Christian Academy K-12 Christian $3,460$4,440 90 165 12 4 No 9. St. John the Apostle Catholic School PK-8 Catholic $6,499 98 190 18 9 Yes 10. The Marylhurst School PK-8 Progressive $11,000 80 85 18 7 No Clark County (WA) 1. Cascadia School 1 - 6 Montessori $9,960–10,440 90 98 22 3 No 2. Cedar Tree Classical Christian School K - 12 College Prep $6,600–6,960 75 213 16 8 Yes 3. The Gardner School of Arts & Sciences PK - 8 Independent $16,950–18,550 37 10 4 Our Lady Of Lourdes Catholic School PK-8 Catholic $7,034–8,975 98 232 22 10 Yes

Turn static files into dynamic content formats.

Create a flipbook