

![]()


Parcel#:R171441
TaxLot:1N1E33BB10600
SiteAddress:1333NW24thAve
PortlandOR97210-2603
Owner:Wheeler,TimothyK 1333NW24thAve
PortlandOR97210-2603
Twn/Range/Section:01N/01E/33/NW
ParcelSize:015Acres(6,600SqFt)
Plat/Subdivision:GoldsmithsAdd Lot/Block:3/11
MapPage/Grid:596-C4
CensusTract/Block:004700/1017
CntyLandUse:101-Single-Family,Residential,Improved

MarketValueLand: $465,00000
MarketValueImpr: $1,225,50000
MarketValueTotal: $1,690,50000
AssessedValue: $786,90000(2023)
LevyCodeArea:001
LevyRate:264737(2023)
TaxYear:2023
AnnualTax:$20,83216
Exemption:N/A
CountyBldgUse:B-ResidentialImproved LandUseStd:RSFR-SingleFamilyResidence Recreation:
Watershed:ColumbiaSlough-WillametteRiver
Neighborhood:NWD-NorthwestDistrict Zoning:Portland-RM2-ResidentialMulti-Dwelling2 #Dwellings: SchoolDistrict:1J-Portland ElementarySchool:ChapmanElementarySchool MiddleSchool:WestSylvanMiddleSchool HighSchool:LincolnHighSchool
YearBuilt:1904
Stories:1
TotalArea:5,918SqFt Bedrooms: Garage: FirstFloor:1,596SqFt
Baths,Total:25 Baths,Full/Half:2/1 SecondFloor:1,596SqFt
RoofCovering:Composition ExteriorWalls:
A/C:Yes
BasementFin/Unfin:0SqFt/1,596SqFt
Heat:ForcedAir AtticFin/Unfin:1,130SqFt/0SqFt Kitchen:1 Porch/Patio:522SqFt/0SqFt Deck:
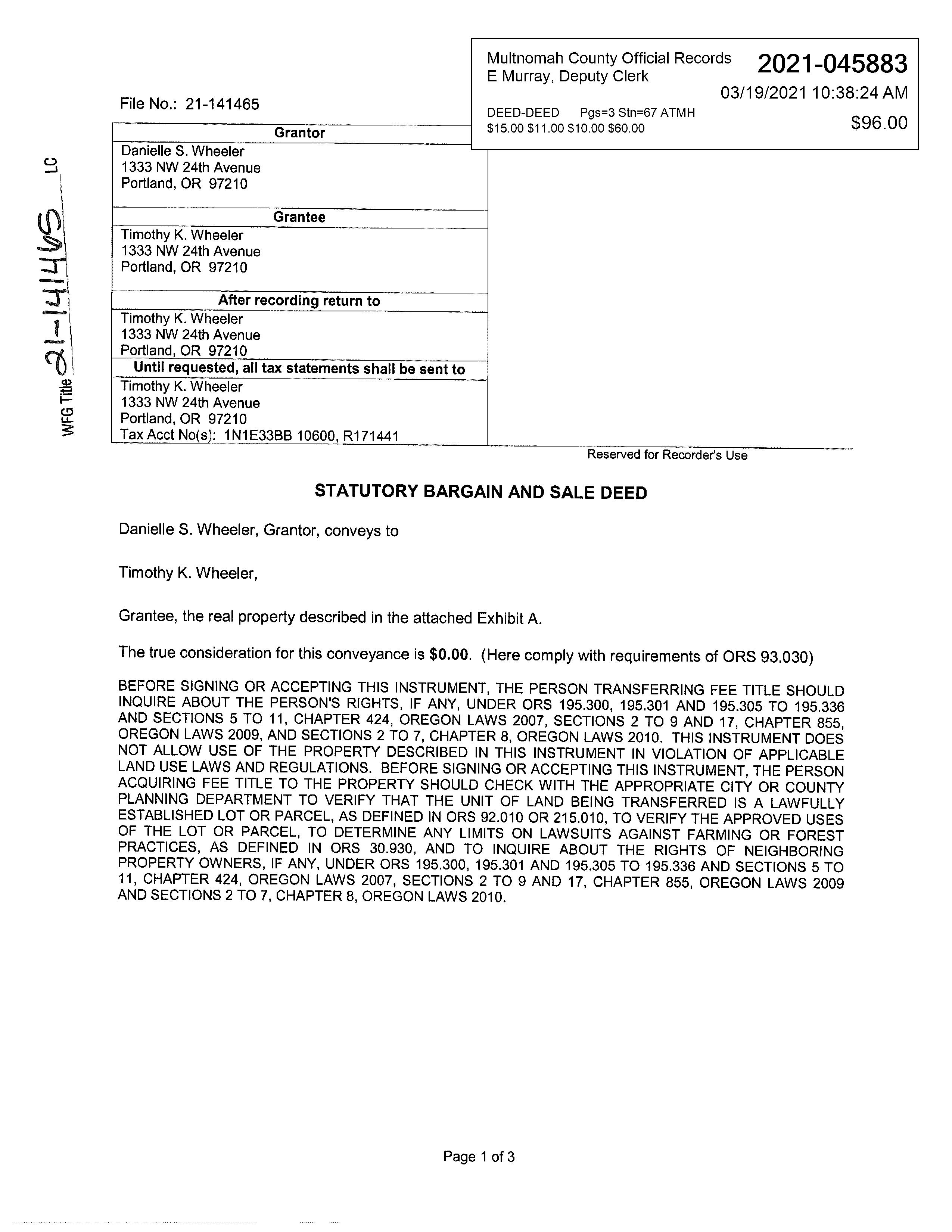
TransferInformation
SaleDate:03/19/2021 SalePrice: DocNum:2021045883 DocType:BSD
SentryDynamics,Inc anditscustomersmakenorepresentations,warrantiesorconditions,expressorimplied,astotheaccuracyorcompletenessof informationcontainedinthisreport ParcelInformation

Thismap/platisbeingfurnishedasanaidinlocatingthehereindescribedLandinrelationtoadjoiningstreets,naturalboundariesandotherland,andisnotasurveyofthe landdepicted.Excepttotheextentapolicyoftitleinsuranceisexpresslymodifiedbyendorsement,ifany,theCompanydoesnotinsuredimensions,distances,locationof easements,acreageorothermattersshownthereon.

Thismap/platisbeingfurnishedasanaidinlocatingthehereindescribedLandinrelationtoadjoiningstreets,naturalboundariesandotherland,andisnotasurveyofthe landdepicted.Excepttotheextentapolicyoftitleinsuranceisexpresslymodifiedbyendorsement,ifany,theCompanydoesnotinsuredimensions,distances,locationof easements,acreageorothermattersshownthereon.
Property Owner Property Address
2023AssessedValue R171441 WHEELER,TIMOTHYK 1333NW24THAVE,PORTLAND,OR97210 $786,900
GENERALINFORMATION
Property Status AActive
Property Type RPResidential
Legal Description GOLDSMITHSADD,BLOCK11,LOT3-5TL 10600
Alternate Account Number R331301900
Neighborhood RB4143 Downtown Portland
Map Number 1N1E33BB-10600
Property Use B-RESIDENTIALIMPROVED
LevyCodeArea 001
OWNERINFORMATION
Owner Name WHEELER,TIMOTHYK
Mailing Address 1333NW24THAVEPORTLAND,OR97210
RELATEDPROPERTIES
Split/Merge data prior to February 6, 2018 is not available online, please call Multnomah County Assessment & Taxation division.
Linked Properties -
Property Group ID -
Grouped Properties -
Split / Merge Date -
Split / Merge Accounts -
Split / Merge Message -

IMPROVEMENTS ? Expand/Collapse All
Eìective Date: If applicable, the described property is receiving special valuation based upon its use. Additional rollback taxes which may become due based on the provisions of the special valuation are not indicated in this listing.






Please Use/Click on this Digital U lity Link


Most u lity service providers require you to go online, fill out a form and e-mail back, or use their online service.


























Banks
503 . 324 . 8591 | www.banks.k12.or.us
Beaverton
503 672 3721 | www.beaverton.k12.or.us
Canby
503 266 7861 | boundaries: 503 266 2064 | www.canby.k12.or.us
Centennial
503 760 7990 | www.centennial.k12.or.us
503 . 653 . 6000 | boundaries: 503 . 353 . 6119 | www.nclack.k12.or.us
Colton
503 824 3535 | boundaries: 503 824 3534 | www.colton.k12.or.us
David Douglas
503 . 252 . 7990 | www.centennial.k12.or.us
Estacada
503 . 630 . 6871 | www.esd108.k12.or.us
Forest Grove
503 357 6171 | boundaries: 503 359 8167 x 221 | www.fgsd.k12.or.us
Gladstone
503 . 655 . 2777 | www.gladstone.k12.or.us
Gresham / Barlow
503 . 618 . 2450 | www.gresham.k12.or.us
Hillsboro
503 844 1500 | boundaries: 503 648 9123 | www.hsd.k12.or.us
Lake Oswego
503 . 534 . 2000 | boundaries: 503 . 534 . 2490 | www.loswego.k12.or.us
Washington County (OR)
Multnomah County (OR)
Clackamas County (OR) 1.