Skip to main content

Homebook for 11735 SE Yamhill St

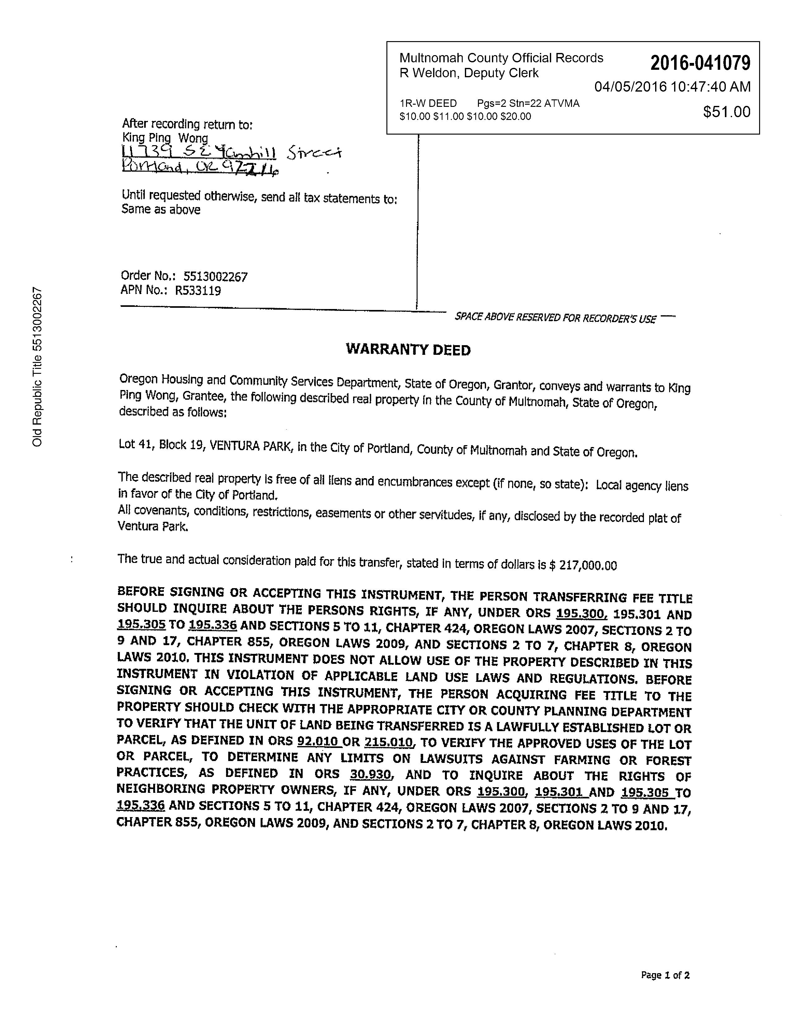
Page 1

11735 SE Yamhill St Portland, OR 97216 Johnny Choi Sang Wong MORE Realty 16037 SW Upper Boones Ferry Rd., #150 Portland, OR 97224

Property Profile HOMEBOOK

Multnomah County Parcel Information

Parcel Information

Parcel #:R533119

Tax Lot:1S2E03AA08901

SiteAddress:11735 SEYamhill St

Portland OR 97216 - 3847

Owner:Wong, King Ping 11041 SE Happy Valley Dr

Happy Valley OR 97086 - 7016

Twn/Range/Section:01S / 02E / 03 / NE

Parcel Size:0 06Acres (2,500 SqFt)

Plat/Subdivision:Ventura Pk

Lot/Block:41 / 19

Map Page/Grid:598-A7

Assessment Information

Market Value Land: $155,000 00

Market Value Impr: $231,330 00

Market ValueTotal: $386,330 00

Assessed Value: $194,360 00 (2022)

Tax Information

Levy CodeArea:113

Levy Rate:22 9473 (2022)

TaxYear:2022

AnnualTax:$4,460 07

Exemption:

CensusTract/Block:008202 / 2021

VENTURAPK, BLOCK 19, LOT41

Cnty Land Use:101 - Single-Family, Residential, Improved

Land Use Std:RSFR - Single Family Residence

Watershed:Columbia Slough-Willamette River

County Bldg Use:B - Residential Improved

Recreation:

Neighborhood:MILP- Mill Park

Zoning:Portland-R2 5 - Residential 2,500 # Dwellings:

School District:40 - David Douglas

Legal Land Improvement

Elementary School:VENTURAPARK ELEMENTARY SCHOOL

Middle School:FLOYD LIGHTMIDDLE SCHOOL High School:DAVID DOUGLAS HIGH SCHOOL

Roof Covering:Composition

Transfer Information

Rec Date:04/05/2016 Sale Price:$217,000 00

Doc Num:41079

DocType:Deed

Grantor:OREGON HSNG & CMNTYSVCS DEPT Orig LoanAmt: Title Co:OLD REPUBLICTITLE

Owner:King PWong

FinanceType: LoanType: Lender:

Sentry Dynamics, Inc and its customers make no representations, warranties or conditions, express or implied, as to the accuracy or completeness of information contained in this report

Stories:2 TotalArea:1,504 SqFt Bedrooms:3 Garage:Att 220 SqFt First Floor:641 SqFt Baths,Total:2 5 Baths, Full/Half:2 / 1 Second Floor:863 SqFt
Exterior
Basement Fin/Unfin: A/C: Heat:ForcedAir Attic
Kitchen:1 Porch/Patio: Deck:100
Year Built:2004
Walls:
Fin/Unfin:
SqFt

Thismap/platisbeingfurnishedasanaidinlocatingthehereindescribedLandinrelationtoadjoiningstreets,naturalboundariesandotherland,andisnotasurveyofthe landdepicted.Excepttotheextentapolicyoftitleinsuranceisexpresslymodifiedbyendorsement,ifany,theCompanydoesnotinsuredimensions,distances,locationof easements,acreageorothermattersshownthereon.

Thismap/platisbeingfurnishedasanaidinlocatingthehereindescribedLandinrelationtoadjoiningstreets,naturalboundariesandotherland,andisnotasurveyofthe landdepicted.Excepttotheextentapolicyoftitleinsuranceisexpresslymodifiedbyendorsement,ifany,theCompanydoesnotinsuredimensions,distances,locationof easements,acreageorothermattersshownthereon.

Split/Merge

please

Property Owner Property Address 2022AssessedValue R533119 WONG,KINGPING 11735SEYAMHILLST,PORTLAND,OR97216 $194,360 GENERALINFORMATION Property Status AActive Property Type RPResidential Legal Description VENTURAPK,BLOCK19,LOT41 Alternate Account Number R858704970 Neighborhood R088 Map Number 1S2E03AA-08901 Property Use B-RESIDENTIALIMPROVED LevyCodeArea 113 OWNERINFORMATION Owner Name WONG,KINGPING Mailing Address 11041SEHAPPYVALLEYDRHAPPYVALLEY, OR97086-7016 RELATEDPROPERTIES
Linked PropertiesProperty Group IDGrouped PropertiesSplit / Merge DateSplit / Merge AccountsSplit / Merge MessageIMPROVEMENTS ? Expand/Collapse All LANDSEGMENTS LANDNO LANDTYPE LANDSIZE L1 RESRESIDENTIALLAND 2,500Sq.ft TOTALS 2,500Sq.ft/0.06acres ASSESSEDVALUES YEAR IMPROVEMENTS LAND SPECIALMARKET/USE RMV M5VALUE EXEMPTIONS M50ASSESSED 2022 $231,330 $155,000 - / - $386,330 $386,330 $194,360 2021 $196,240 $132,500 - / - $328,740 $328,740 $188,700 2020 $170,020 $125,000 - / - $295,020 $295,020 $183,210 2019 $178,820 $125,000 - / - $303,820 $303,820 $177,880 2018 $161,690 $117,500 - / - $279,190 $279,190 $172,700 2017 $160,270 $106,250 $0 / $0 $266,520 $266,520 $167,670 2016 $129,430 $95,000 - / $0 $224,430 $224,430 $162,790 2015 $130,990 $72,880 $0 / $0 $203,870 $203,870 $158,050 2014 $115,770 $66,500 $0 / $0 $182,270 $182,270 $153,450 2013 $92,990 $61,500 $0 / $0 $154,490 $154,490 $148,990 ? Improvement #1 Improvement Type Building Type Class - SINGLEFAMILYRESIDENTIAL 2ORMORESTY 3.0
data prior to February 6, 2018 is not available online,
call Multnomah County Assessment & Taxation division.

If applicable, the described property is receiving special valuation based upon its use. Additional rollback taxes which may become due based on the provisions of the special valuation are not indicated in this listing.

Eìective Date: SALESHISTORY DEED SELLER BUYER INSTR# DATE CONSIDERATION AMOUNT WD OREGONHOUSING&COMMUNITY SERVICESDEPARTMENT WONG,KINGPING 2016041079 4/4/2016 $217,000 QCD HOMESTREETBANK OREGONHOUSING&COMMUNITY SERVICESDEPARTMENT 2016033601 3/18/2016SHD CRANE,TOBIASA&CRANE,JEANNIL HOMESTREETBANK 2016029041 2/25/2016 $175,781 WD COCA,GEORGINAA CRANE,TOBIASA&CRANE,JEANNIL 2008111247 7/28/2008 $192,500 WD FISHCONSTRUCTIONNWINC COCA,GEORGINAA 2003196628 8/21/2003 $164,900 WD EDWARDS,BRIANLSRTR& EDWARDS,MARGARETATR FISHCONSTRUCTIONNWINC 2003016204 12/24/2002 $61,000
TAXSUMMARY ? Details TAXYEAR TOTAL BILLED AD VALOREM SPECIAL ASMT PRINCIPAL INTEREST DATE PAID TOTAL OWED 2022 $4,460.07 $4,460.07 $4,460.07 $0.00 - $0.00 2021 $4,386.68 $4,386.68 $4,386.68 $0.00 - $0.00 2020 $3,974.07 $3,974.07 $3,974.07 $0.00 - $0.00 2019 $3,847.55 $3,847.55 $3,847.55 $0.00 - $0.00 2018 $3,729.17 $3,729.17 $3,729.17 $0.00 - $0.00 2017 $3,591.50 $3,591.50 $3,591.50 $0.00 - $0.00 2016 $3,366.14 $3,366.14 $3,366.14 $0.00 - $0.00 2015 $3,146.07 $3,146.07 $3,146.07 $0.00 - $0.00 2014 $2,908.68 $2,908.68 $2,908.68 $0.00 - $0.00 2013 $2,592.19 $2,592.19 $2,592.19 $0.00 - $0.00 2012 $2,520.70 $2,520.70 $2,520.70 $0.00 - $0.00 2011 $2,509.40 $0.00 $2,509.40 $0.00 - $0.00 2010 $2,716.49 $0.00 $2,716.49 $0.00 - $0.00 2009 $2,870.71 $0.00 $2,870.71 $0.00 - $0.00 2008 $2,772.40 $0.00 $2,772.40 $0.00 - $0.00 TOTALTAXESDUE CurrentYearDue $0.00 PastYearsDue $0.00 TotalDue $0.00 PayMyBills $0 $0 $0 $0 $0 $0 $0 $0 $0 $0 $0 $0 $0 $0 $0
TAXYEAR RECEIPTNUMBER TRANSACTIONDATE PAYMENTAMOUNT 2022 MULT-1587791 11-18-2022 $4,326.27 2021 MULT-1279413 11-23-2021 $4,255.08 2020 MULT-781422 11-12-2020 $3,854.85 2019 MULT-599535 11-19-2019 $3,732.12 2018 MULT-222121 11-19-2018 $3,617.30 2017 8769601 11-14-2017 $3,483.75 2016 8420487 11-15-2016 $3,265.16 2015 8172251 4-6-2016 $108.36 2015 8134461 11-24-2015 $3,051.69 2014 7677978 11-12-2014 $2,821.42 2013 7273141 11-12-2013 $2,514.42 2012 6932329 11-13-2012 $2,445.08 2011 6538613 11-9-2011 $2,434.12 2010 6276988 11-15-2010 $2,635.00 2009 5904645 11-16-2009 $2,784.59 2008 5557981 11-17-2008 $2,689.23
Neighborhood Information HOMEBOOK

Nearby Neighbors Report

Page 1
Subject Property Location Report Date: 05/25/2023 Property Address 11735 SE YAMHILL ST Order ID: R116412775 City, State & Zip PORTLAND, OR 97216-3847 County MULTNOMAH COUNTY Property Use Single Family Residential Mailing Address 11041 SE HAPPY VALLEY DR, HAPPY VALLEY, OR 97086-7016 Parcel Number 1S2E03AA 08901 Subject Property Address 11735 SE YAMHILL ST, PORTLAND, OR 97216 APN 1S2E03AA 08901 Owner WONG, KING PING Lot Size (SF/AC) 2,500/.06 Bedrooms 0 Year Built 2004 Living Area (SF) 1,504 Bathrooms/Partial 2/1 Garage/No. of Cars Attached Garage/1 Phones Nearby Neighbor #1 Address 11739 SE YAMHILL ST, PORTLAND, OR 97216 APN 1S2E03AA 08900 Owner JIN, LEI Lot Size (SF/AC) 2,500/.06 Bedrooms 0 Year Built 2004 Living Area (SF) 1,600 Bathrooms/Partial 2/1 Garage/No. of Cars Attached Garage/1 Phones Nearby Neighbor #2 Address 11729 SE YAMHILL ST, PORTLAND, OR 97216 APN 1S2E03AA 08800 Owner SHELTON, WILLIAM C Lot Size (SF/AC) 5,000/.11 Bedrooms 2 Year Built 1950 Living Area (SF) 2,084 Bathrooms/Partial 2 Garage/No. of Cars Phones Nearby Neighbor #3 Address 11749 SE YAMHILL ST, PORTLAND, OR 97216 APN 1S2E03AA 09000 Owner KUHNS, NANCY M Lot Size (SF/AC) 5,000/.11 Bedrooms 2 Year Built 1900 Living Area (SF) 800 Bathrooms/Partial 1 Garage/No. of Cars Phones Nearby Neighbor #4 Address 11717 SE YAMHILL ST, PORTLAND, OR 97216 APN 1S2E03AA 08700 Owner MENJIVAR, MARIA E; MENJIVAR, ORLANDO M Lot Size (SF/AC) 7,500/.17 Bedrooms 3 Year Built 1957 Living Area (SF) 1,786 Bathrooms/Partial 1/1 Garage/No. of Cars Attached Garage/1 Phones Nearby Neighbor #5 Address 11732 SE MORRISON ST, PORTLAND, OR 97216 APN 1S2E03AA 08300 Owner VELAZQUEZ, JOSE LUIS Lot Size (SF/AC) 7,500/.17 Bedrooms 3 Year Built 1949 Living Area (SF) 1,094 Bathrooms/Partial 1 Garage/No. of Cars Attached Garage/1 Phones Nearby Neighbor #6 Address 11748 SE MORRISON ST, PORTLAND, OR 97216 APN 1S2E03AA 08200 Owner VO, THANHTHANH THI Lot Size (SF/AC) 7,500/.17 Bedrooms 3 Year Built 1961 Living Area (SF) 2,076 Bathrooms/Partial 2 Garage/No. of Cars Detached Garage/2 Phones
Page 2 Nearby Neighbor #7 Address 11761 SE YAMHILL ST, PORTLAND, OR 97216 APN 1S2E03AA 09100 Owner COOLEY, CHERI D Lot Size (SF/AC) 5,000/.11 Bedrooms 3 Year Built 1900 Living Area (SF) 925 Bathrooms/Partial 1 Garage/No. of Cars Phones Nearby Neighbor #8 Address 11720 SE MORRISON ST, PORTLAND, OR 97216 APN 1S2E03AA 08400 Owner MEDVEDEV, VALERIY & MEDVEDEVA, NATALYA Lot Size (SF/AC) 6,500/.15 Bedrooms 3 Year Built 1954 Living Area (SF) 1,008 Bathrooms/Partial 2 Garage/No. of Cars Detached Garage/1 Phones (971) 409-2109 Nearby Neighbor #9 Address 11734 SE YAMHILL ST, PORTLAND, OR 97216 APN 1S2E03AA 11600 Owner COOK, CHELSEA A & BROWN, ELLIE L Lot Size (SF/AC) 5,000/.11 Bedrooms 2 Year Built 1954 Living Area (SF) 846 Bathrooms/Partial 1 Garage/No. of Cars Attached Garage/2 Phones Nearby Neighbor #10 Address 11744 SE YAMHILL ST, PORTLAND, OR 97216 APN 1S2E03AA 11500 Owner MORFORD, DAVID R Lot Size (SF/AC) 5,000/.11 Bedrooms 3 Year Built 1959 Living Area (SF) 1,062 Bathrooms/Partial 1 Garage/No. of Cars Attached Garage/1 Phones Nearby Neighbor #11 Address 11762 SE MORRISON ST, PORTLAND, OR 97216 APN 1S2E03AA 08100 Owner SOMSANITH, LAMLEUTH Lot Size (SF/AC) 7,500/.17 Bedrooms 2 Year Built 1957 Living Area (SF) 1,928 Bathrooms/Partial 2 Garage/No. of Cars Phones Nearby Neighbor #12 Address 11720 SE YAMHILL ST, PORTLAND, OR 97216 APN 1S2E03AA 11700 Owner BEECHER, LINDSEY N & HOLMES, NICHOLAS M Lot Size (SF/AC) 7,500/.17 Bedrooms 2 Year Built 1949 Living Area (SF) 960 Bathrooms/Partial 1 Garage/No. of Cars Attached Garage/2 Phones Nearby Neighbor #13 Address 820 SE 117TH AVE, PORTLAND, OR 97216 APN 1S2E03AA 08502 Owner GURUNG, KARMA & GURUNG, JENNA Lot Size (SF/AC) 2,998/.07 Bedrooms 0 Year Built 2021 Living Area (SF) 1,532 Bathrooms/Partial 2/1 Garage/No. of Cars Phones Nearby Neighbor #14 Address 11807 SE YAMHILL ST, PORTLAND, OR 97216 APN 1S2E03AA 09200 Owner CARRILLO, JOSE A Lot Size (SF/AC) 7,500/.17 Bedrooms 4 Year Built 1951 Living Area (SF) 1,644 Bathrooms/Partial 2 Garage/No. of Cars Attached Garage/3 Phones

Nearby

Address 11760 SE YAMHILL ST, PORTLAND, OR 97216

DALTON, MICHAEL PATRICK; DALTON, KATHERINE T

Bathrooms/Partial 1 Garage/No. of Cars

Disclaimer THIS REPORT IS INTENDED FOR USE BY YOU AS AN END USER SOLELY FOR YOUR INTERNAL BUSINESS PURPOSES. YOU SHALL NOT RESELL, RELICENSE OR REDISTRIBUTE THIS REPORT, IN WHOLE OR IN PART. THE USE OF THIS REPORT BY ANY PARTY OTHER THAN YOURSELF FOR ANY PURPOSE IS STRICTLY PROHIBITED. THIS REPORT IS PROVIDED AS-IS WITHOUT WARRANTY OF ANY KIND, EITHER EXPRESS OR IMPLIED, INCLUDING WITHOUT LIMITATION, ANY WARRANTIES OF MERCHANTABILITY, NON-INFRINGEMENT, OR FITNESS FOR A PARTICULAR PURPOSE. BLACK KNIGHT SHALL HAVE NO LIABILITY IN CONTRACT, TORT, OR OTHERWISE ARISING OUT OF OR IN CONNECTION WITH THIS REPORT. BLACK KNIGHT DOES NOT REPRESENT OR WARRANT THAT THE REPORT IS COMPLETE OR FREE FROM ERROR. YOU UNDERSTAND AND ACKNOWLEDGE THAT THE AVAILABILITY, COMPLETENESS AND FORMAT OF THE DATA ELEMENTS MAY VARY SUBSTANTIANLLY FROM AREA-TO-AREA. THE INFORMATION CONTAINED IN THIS REPORT IS DERIVED FROM PUBLICLY AVAILABLE SOURCES FOR THE SUBJECT PROPERTY OR COMPARABLE PROPERTIES LISTED ABOVE AND HAS NOT BEEN INDEPENDENT VERIFIED BY BLACK KNIGHT THROUGH ANY FORM OF INSPECTION OR REVIEW. THIS REPORT DOES NOT CONSTITUTE AN APPRAISAL OF ANY KIND AND SHOULD NOT BE USED IN LIEU OF AN INSPECTION OF A SUBJECT PROPERTY BY A LICENSED OR CERTIFIED APPRAISER. THIS REPORT CONTAINS NO REPRESENTATIONS, OPINIONS OR WARRANTIES REGARDING THE SUBJECT PROPERTY'S ACTUAL MARKETABILITY, CONDITION (STRUCTURAL OR OTHERWISE), ENVIRONMENTAL, HAZARD OR FLOOD ZONE STATUS, AND ANY REFERENCE TO ENVIRONMENTAL, HAZARD OR FLOOD ZONE STATUS IS FOR INFORMATIONAL PURPOSES ONLY AND SHALL BE INDEPENDENTLY VERIFIED BY THE END USER. THE INFORMATION CONTAINED HEREIN SHALL NOT BE UTILIZED: (A) TO REVIEW OR ESTABLISH A CONSUMER'S CREDIT AND/OR INSURANCE ELIGIBILITY OR FOR ANY OTHER PURPOSE THAT WOULD CAUSE THE REPORT TO CONSTITUTE A "CONSUMER REPORT" UNDER THE FAIR CREDIT REPORTING ACT, 15 U.S.C. § 1681 ET SEQ.; OR (B) IN CONNECTION WITH CERTIFICATION OR AUTHENTICATION OF REAL ESTATE OWNERSHIP AND/OR REAL ESTATE TRANSACTIONS. ADDITIONAL TERMS AND CONDITIONS SHALL APPLY PURSUANT TO THE APPLICABLE AGREEMENT.

Copyright

CONFIDENTIAL, PROPRIETARY AND/OR TRADE SECRET. TM SM ® TRADEMARK(S) OF BLACK KNIGHT IP HOLDING COMPANY, LLC, OR AN AFFILIATE. © 2023 BLACK KNIGHT TECHNOLOGIES, LLC. ALL RIGHTS RESERVED.

Page 3
APN 1S2E03AA 11400
Lot
1948 Living
1,198
Neighbor #15
Owner
Size (SF/AC) 75,010/1.72 Bedrooms 3 Year Built
Area (SF)
Detached
Garage/1 Phones
Utilities
HOMEBOOK

Please Use/Click on this Digital U lity Link

Most u lity service providers require you to go online, fill out a form and e-mail back, or use their online service.

School Information HOMEBOOK

ClickHereforthe OregonSchoolReportCards

School Information

Centennial

North

David

Gresham

Banks 503 . 324 . 8591 | www.banks.k12.or.us Beaverton 503 672 3721 | www.beaverton.k12.or.us
503 266 7861 | boundaries: 503 266 2064 | www.canby.k12.or.us
Canby
503 760 7990 | www.centennial.k12.or.us
Clackamas 503 . 653 . 6000 | boundaries: 503 . 353 . 6119 | www.nclack.k12.or.us
503 824 3535 | boundaries: 503 824 3534 | www.colton.k12.or.us
Colton
Douglas 503 . 252 . 7990 | www.centennial.k12.or.us
503 . 630 . 6871 | www.esd108.k12.or.us
Grove 503 357 6171 | boundaries: 503 359 8167 x 221 | www.fgsd.k12.or.us
503 . 655 . 2777 | www.gladstone.k12.or.us
Estacada
Forest
Gladstone
/ Barlow 503 . 618 . 2450 | www.gresham.k12.or.us Hillsboro 503 844 1500 | boundaries: 503 648 9123 | www.hsd.k12.or.us
Oswego 503 . 534 . 2000 | boundaries: 503 . 534 . 2490 | www.loswego.k12.or.us
Lake

School Information

McMinnville 503 565 4000 | www.msd.k12.or.us Molalla River 503 . 829 . 2359 | boundaries: 503 . 829 . 2512 | www.molallariv.k12.or.us Newberg 503 554 5000 | boundaries: 503 538 8365 | www.newberg.k12.or.us Oregon City 503 657 4283 | boundaries: 503 657 2471 | www.orecity.k12.or.us Oregon Trail 503 668 5541 | www.oregonrailschools.k12.or.us Parkrose 503 408 2100 | www.parkrose.k12.or.us Portland 503 916 2000 | boundaries: 503 916 3262 | www.pps.k12.or.us Reynolds 503 . 661 . 7200 | boundaries: 503 . 492 . 4921 | www.reynolds.k12.or.us Sherwood 503 625 8100 | boundaries: 503 625 8107 | www.sherwood.k12.or.us Tigard / Tualatin 503 431 4000 | www.ttsd.k12.or.us West Linn / Wilsonville 503 . 673 . 7000 | boundaries: 503 . 673 . 7034 | www.wlwv.k12.or.us Woodburn 503 . 981 . 9555 | www.woodburn.k12.or.us
County G School Type Tuition Range A(%) E(#)C(#)M(#) U Washington County (OR) 1. Agia Sophia Academy PK-5 Montessori $6,600–8,300 95 30 12 Yes 2. Catlin Gabel School PK-12 College Prep $27,190–34,100 26 776 17 61 No 4. Forest Hills Lutheran Christian School PK-8 Lutheran $6,531–6,875 98 197 18 No 5. German International School PK-5 Language Immersion, INTL Baccalaureate $15,110–15,275 98 144 12 10 No 6. Holy Trinity Catholic School PK-8 Catholic $6,600–8,400 285 30 Yes 7. Horizon Christian School PK-12 College Prep $4,650–11,975 95 411 14 24 No 8 Islamic School of MET PK-12 Muslim College Prep $7,750–8,250 90 206 16 5 Yes 9. Jesuit High School 9-12 College Prep $15,475 71 1274 23 86 No 11. Living Wisdom School PK-8 Education for Life $7,200–9,100 95 38 12 No 12. Montessori School of Beaverton PK-6 Montessori $11,400–12,000 80 120 1010 No 13. Northwest Chinese Academy PK-5 Language Immersion $17,250–19,525 96 33 77 Yes 14. Oregon Episcopal School PK-12 College Prep $28,900–35,000 43 858 16 72 Yes 15. Pilgrim Lutheran Christian School PK-8 Christian $6,850–8,295 12512 5 Yes 16. St. Matthew Catholic School PK-8 Catholic $6,850–8,600 99 184 21 16 Yes 17. St. Pius X Grade School K-8 Catholic $7,240–9,430 85 492 3029 Yes 18. St. Stephen‘s Academy PK-12 Classical Christian $5,160–10,620 96 256 1610 Yes 19. Tualatin Valley Academy PK-12 Christian $4,980–9,108 99 175 20 8 No Grade Range Acceptance Rate A 2014-2015 Enrollment E G
School Information
School Information County G School Type Tuition Range A(%) E(#)C(#) M(#) U Washington County (OR) 20. Valley Catholic Elementary School K-5 Catholic $8,520 337 13 Yes 21. Valley Catholic Middle School 6-8 College Prep $11,610 252 24 Yes 22. Valley Catholic High School 9-12 College Prep $14,685 370 28 No 23. Visitation Catholic School PK-8 Catholic $4,793–5,868 98 165 20 8 Yes Multnomah County (OR) 1. A Renaissance School of Arts and Sciences K-8 Progressive $14,440 90 115 8 9 No 2. Central Catholic High School 9-12 College Prep, Catholic $15,378–19,000 98 850 21 52 No 3. Childpeace Montessori School, Metro Middle School PK-8 Montessori $11,600–17,300 6 254 26 10 No 4. Columbia Christian School PK-12 Christian, College Prep $4,000–8,000 95 250 20 18 No 5. Edison High School 9-12 Learning Differences $24,650 50 102 9 14 No 6. French American International School PK-8 Language Immersion $18,296–21,113 79 451 16 48 No 7. Grace Lutheran School PK-8 Lutheran $2,825–6,695 95 88 22 1 No 8. Holy Redeemer Catholic School PK-8 Catholic $5,450–7,775 95 304 27 11 Yes 9. Northwest Academy 6-12 College Prep $22,900–24,400 75 240 15 26 No 10. Open Door Christian Academy PK-12 Christian $2,210–3,940 50 285 25 5 No 11. Pacific Crest Community School 6-12 College Prep $14,250 70 95 12 9 No Average Class Size C Required clothing or Uniforms? U Faculty with Master’s Degrees M
Grade Range Acceptance Rate A 2018-2019 Enrollment E G County G School Type Tuition Range A(%) E(#)C(#)M(#) U Multnomah County (OR) 12. Portland Christian Schools PK-12 College Prep $7,400–11,335 94 547 42 30 No 13. Portland Jewish Academy PK-8 Jewish $19,415–20,035 60 18818 No 14. St. Agatha Catholic School PK-8 Catholic $6,350–7,930 60 18818 No 15. St. Clare School K-8 Catholic $6,600–8,400 100 20726 Yes 16. St. John Fisher School K-8 Catholic $7,160–9,335 89 200 24 17 Yes 17. St. Mary’s Academy 9 - 12 College Prep $15,995 97 680 21 46 No 18. St. Rose School PK-8 Catholic $6,190–7,840 94 224 25 12 Yes 19. Sunstone Montessori School PK-6 Montessori $11,900–12,800 90 172 26 14 No 20. The International School PK-5 Language Immersion $19,040–19,640 87387 14 24 No 21. The Madeleine School K-8 Catholic $6,065–7,750 95 264 30 11 Yes 22. The Portland Montessori School PK-6 Montessori $10,725–11,600 80 151 24 7 No 23. Trinity Lutheran Christian School K-8 Lutheran $7,300 1005210 24. Tucker Maxon School PK-5 Independent $8,200–17,000 91 45 1212 No 25. Venn Academy K-8 Relationship BasedLearning $11,000 50-60 18 9 26. West Hills Christian School K-8 Christian $5,800–8,875 90 308 18 11 No 27 West Hills Montessori PK-6 Montessori $11,495–12,255 80 125 25 15 No
School Information
School Information Average Class Size C Required clothing or Uniforms? U Faculty with Master’s Degrees M County G School Type Tuition Range A(%) E(#)C(#)M(#) U Clackamas County (OR) 1. Arbor School of Arts and Sciences K-8 Progressive $14,400 29 189 21 24 No 2. Christa McAuliffe Academy School of Arts and Sciences K-12 College Prep $3,995–8,795 100 380 10 12 No 3. La Salle Catholic College Prep 9-12 College Prep $14,750 85 703 19 45 No 4 Micha-el School PK-8 Waldorf $6,370–8,340 95 110 18 9 No 5. North Clackamas Christian School PK-12 Christian $6,353–7,860 95 263 1815 No 6. Park Academy 3-12 Learning differences $21,000 96 10 7. Portland Waldorf School PK-12 Waldorf $11,275–19,595 325 20 8. Spring Mountain Christian Academy K-12 Christian $3,460$4,440 90 165 12 4 No 9. St. John the Apostle Catholic School PK-8 Catholic $6,499 98 190 18 9 Yes 10. The Marylhurst School PK-8 Progressive $11,000 80 85 18 7 No Clark County (WA) 1. Cascadia School 1 - 6 Montessori $9,960–10,440 90 98 22 3 No 2. Cedar Tree Classical Christian School K - 12 College Prep $6,600–6,960 75 213 16 8 Yes 3. The Gardner School of Arts & Sciences PK - 8 Independent $16,950–18,550 37 10 4 Our Lady Of Lourdes Catholic School PK-8 Catholic $7,034–8,975 98 232 22 10 Yes

Turn static files into dynamic content formats.

Create a flipbook