Skip to main content

Homebook for 1010 Bear Creek Dr

Page 1

1010 Bear Creek Dr Molalla, OR 97038 Melissa Shaw (Lewis) Principal Real Estate Broker Lewis Realtors Licensed in Oregon & Washington (503)381-7672

Property Profile HOMEBOOK

ParcelInformation

Parcel#:05033076

TaxLot:52E08BC10420

SiteAddress:1010BearCreekDr

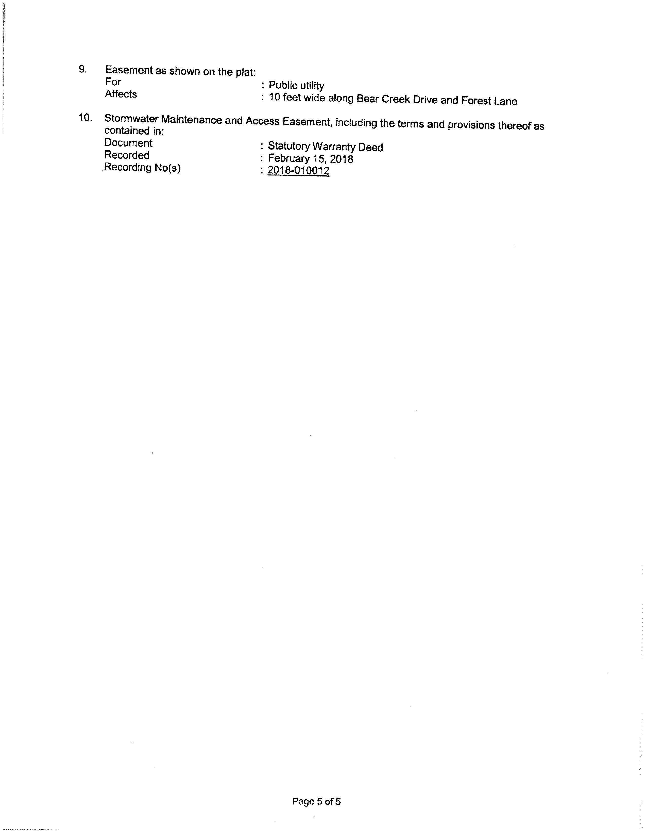
MolallaOR97038-9045

Owner:Daly,Michael

Owner2:Carroll,Cindy

OwnerAddress:1010BearCreekDr

MolallaOR97038-9045

Twn/Range/Section:05S/02E/08/NW

ParcelSize:010Acres(4,243SqFt)

Plat/Subdivision:BearCreek02

Lot:123

Block:

MapPage/Grid:837-C1

CensusTract/Block:023901/1006

Waterfront: BuildingUse:RS0-SingleFamily

Land

CntyLandUse:101-Residentiallandimproved

Zoning:Molalla-R2-MediumDensityResidential

Watershed:RockCreek

PrimarySchool:RuralDellElementarySchool

TaxInformation

LevyCodeArea:035-002

LevyRate:166830

TaxYear:2022

AnnualTax:$3,49210

ExemptDescription: Legal

SubdivisionBEARCREEKNO 24527LT123|Y|185,523

AssessmentInformation

MarketValueLand: $158,64600

MarketValueImpr: $241,17000

MarketValueTotal: $399,81600

AssessedValue: $209,32100

LandUseStd:RSFR-SingleFamilyResidence

Neighborhood:Molalla

SchoolDistrict:35-MolallaRiver

MiddleSchool:MolallaRiverMiddleSchool HighSchool:MolallaHighSchool

Improvement

YearBuilt:2018

Bedrooms:3

ExteriorWallType:

Stories: Fin SqFt:1,376

Bathrooms:2

Garage:

BasementFin SqFt: Fireplace:

Heat: RoofType-Cover:

TransferInformation

LoanDate:04/20/2020

LoanType:

Rec Date:03/25/2019

Owner:MichaelDaly

Orig LoanAmt:$299,90000

FinanceType:

LoanAmt:$307,85000

FinanceType:VA

SalePrice:$299,90000

LoanType:VA

DocNum:2020-027983

Lender:LOANDEPOTCOMLLC

DocNum:2019-015239

DocType:DeedOfTrust

DocType:Deed

Grantor:LGIHOMES-OREGONLLC

TitleCo:WFGTITLE

Lender:LOANDEPOTCOMLLC

SentryDynamics,Inc anditscustomersmakenorepresentations,warrantiesorconditions,expressorimplied,astotheaccuracyor completenessofinformationcontainedinthisreport

ClackamasCountyParcelInformation

Thismap/platisbeingfurnishedasanaidinlocatingthehereindescribedLandinrelationtoadjoiningstreets,naturalboundariesandotherland,andisnotasurveyofthe landdepicted.Excepttotheextentapolicyoftitleinsuranceisexpresslymodifiedbyendorsement,ifany,theCompanydoesnotinsuredimensions,distances,locationof easements,acreageorothermattersshownthereon.

Property Account Summary

Barcode GeneralInformation AlternateProperty# 52E08BC10420 PropertyDescription SubdivisionBEARCREEKNO 24527LT123 LastSalePrice $299,90000 LastSaleDate 03/27/2019 LastSaleExciseNumber 350397 PropertyCategory Land&/orBuildings Status Active,LocallyAssessed TaxCodeArea 035-002 Remarks TaxRate Description Rate Total Rate 16.683 PropertyCharacteristics Neighborhood 12191: City of Molalla newer subdivisions 100, 101 Land Class Category 101: Residential land improved Building Class Category 14: Single family res, class 4 Year Built 2018 Change property ratio 1XX Parties Role Percent Name Address Taxpayer 100 DALY MICHAEL & CINDY CARROLL 1010 BEAR CREEK DR, MOLALLA, OR 97038 Tax Service Co. 100 CORELOGIC TAX SERVICES UNKNOWN, MILWAUKIE, OR 00000 Owner 100 DALY MICHAEL & CINDY CARROLL 1010 BEAR CREEK DR, MOLALLA, OR 97038 Mortgage Company 100 LOANDEPOT NO MAILING ADDRESS, AVAILABLE, PropertyValues ValueType TaxYear 2022 TaxYear 2021 TaxYear 2020 TaxYear 2019 TaxYear 2018 AVR Total $209,321 $203,225 $197,306 $155,458 $27,740 Exempt TVR Total $209,321 $203,225 $197,306 $155,458 $27,740 Real Mkt Land $158,646 $136,965 $122,157 $116,340 $42,546 Real Mkt Bldg $241,170 $210,550 $187,950 $125,430 Real Mkt Total $399,816 $347,515 $310,107 $241,770 $42,546 M5 Mkt Land $158,646 $136,965 $122,157 $116,340 $42,546 M5 Mkt Bldg $241,170 $210,550 $187,950 $125,430 M5 SAV SAVL (MAV Use Portion) MAV (Market Portion) $209,321 $203,225 $197,306 $155,458 $27,740 Mkt Exception $57,740 $196,769 $42,546 AV Exception $37,185 $126,522 $27,740 Parents ParcelNo. Seg/MergeNo. Status FromDate ToDate Continued DocumentNumber 05032963 SM180357 Completed 01/02/2017 01/01/2017 N 52E08BC08200 AccountNumber 05033076 PropertyAddress 1010 BEAR CREEK DR , MOLALLA, OR 97038

NoChargesarecurrentlydue Ifyoubelievethisisincorrect,pleasecontacttheAssessor'sOice

2022

Children ParcelNo. Seg/MergeNo. Status FromDate ToDate DocumentNumber No Children Found ActiveExemptions No Exemptions Found Events Effective Date EntryDate-Time Type Remarks 03/25/2019 03/27/2019 16:12:00 Recording Processed Property Transfer Filing No.: 350397, Warranty Deed, Recording No.: 2019-015239 03/25/2019 by CINDYSIM 03/25/2019 03/27/2019 16:12:00 Taxpayer Changed Property Transfer Filing No.: 350397 03/25/2019 by CINDYSIM 05/08/2018 05/08/2018 16:42:00 Created by Seg/Merge Created by Seg/Merge SM180357, Effective: 01/02/2017 by DROME 05/08/2018 05/08/2018 15:27:00 The situs address has changed by DROME 04/23/2018 05/09/2018 08:50:00 Recording Processed Property Transfer Filing No.: 333844, Warranty Deed, Recording No.: 2018-024904 04/23/2018 by DROME 04/23/2018 05/09/2018 08:50:00 Taxpayer Changed Property Transfer Filing No.: 333844 04/23/2018 by DROME TaxBalance TotalDueonlyincludesthecurrent2022taxes PleaseselectViewDetailedStatementforafullpayo InstallmentsPayable/PaidforTaxYear(Enter4-digitYear,thenClick-Here):
Receipts Date ReceiptNo. AmountAppliedto Parcel TotalAmount Due Receipt Total Change 11/10/2022 00:00:00 5297424 (ReceiptDetail.aspx? receiptnumber=5297424) $3,492.10 $3,492.10 $3,387.34 $0.00 11/08/2021 00:00:00 5108473 (ReceiptDetail.aspx? receiptnumber=5108473) $3,348.98 $3,348.98 $3,248.51 $0.00 11/12/2020 00:00:00 4911912 (ReceiptDetail.aspx? receiptnumber=4911912) $3,255.47 $3,255.47 $3,157.81 $0.00 11/15/2019 00:00:00 4742706 (ReceiptDetail.aspx? receiptnumber=4742706) $2,565.08 $2,565.08 $2,488.13 $0.00 11/08/2018 13:11:00 4482078 (ReceiptDetail.aspx? receiptnumber=4482078) $458.28 $36,512.95 $35,417.45 $0.00 Sales
SaleDate EntryDate Recording Date Recording Number SaleAmount Excise Number Deed Type Transfer Type Grantor(Seller) Grantee(Buyer) Other Parcels 03/22/2019 03/27/2019 03/25/2019 2019015239 $299,900.00 350397 S LGI HOMES - OREGON LLC DALY MICHAEL & CINDY CARROLL No 04/20/2018 05/09/2018 04/23/2018 2018024904 $3,332,375.00 333844 X STAFFORD DEVELOPMENT COMPANY LLC LGI HOMESOREGON LLC No Property
LivingAreaSqFt ManfStructSize YearBuilt ImprovementGrade Stories Bedrooms FullBaths HalfBaths 1376 0 X 0 2018 42 1.0 3 2 0
History
Details

Detailed Statement

AsOfDate:
9/27/2023
TaxYear Category TCA/District Charged Minimum BalanceDue DueDate 2018 PropertyTaxPrincipal 035-002 $458.28 $0.00 $0.00 11/15/2018 2019 PropertyTaxPrincipal 035-002 $2,565.08 $0.00 $0.00 11/15/2019 2020 PropertyTaxPrincipal 035-002 $3,255.47 $0.00 $0.00 11/15/2020 2021 PropertyTaxPrincipal 035-002 $3,348.98 $0.00 $0.00 11/15/2021 2022 PropertyTaxPrincipal 035-002 $3,492.10 $0.00 $0.00 11/15/2022 TOTAL Due as of 09/27/2023 $0.00 ParcelNumber 05033076 PropertyAddress 1010 BEAR CREEK DR , MOLALLA, OR 97038
Neighborhood Information HOMEBOOK
Page 1
Subject Property Location Report Date: 09/27/2023 Property Address 1010 BEAR CREEK DR Order ID: R127597282 City, State & Zip MOLALLA, OR 97038-9045 County CLACKAMAS COUNTY Property Use Single Family Residential Mailing Address 1010 BEAR CREEK DR, MOLALLA, OR 97038-9045 Parcel Number 52E08BC10420 Subject Property Address 1010 BEAR CREEK DR, MOLALLA, OR 97038 APN 52E08BC10420 Owner DALY MICHAEL & CINDY CARROLL Lot Size (SF/AC) Bedrooms 3 Year Built 2018 Living Area (SF) 1,376 Bathrooms/Partial 2 Garage/No. of Cars Phones Nearby Neighbor #1 Address 1008 BEAR CREEK DR, MOLALLA, OR 97038 APN 52E08BC10430 Owner SMITH PATRICK & TREENA Lot Size (SF/AC) Bedrooms 4 Year Built 2018 Living Area (SF) 1,882 Bathrooms/Partial 2/1 Garage/No. of Cars Phones Nearby Neighbor #2 Address 1006 BEAR CREEK DR, MOLALLA, OR 97038 APN 52E08BC10440 Owner GREEDER GLENN Lot Size (SF/AC) Bedrooms 3 Year Built 2018 Living Area (SF) 1,376 Bathrooms/Partial 2 Garage/No. of Cars Phones Nearby Neighbor #3 Address 1019 S VIEW DR, MOLALLA, OR 97038 APN 52E08BC04100 Owner DIORAZIO JASON & KENDAL Lot Size (SF/AC) Bedrooms 4 Year Built Living Area (SF) 1,800 Bathrooms/Partial 2/1 Garage/No. of Cars Phones Nearby Neighbor #4 Address 1017 S VIEW DR, MOLALLA, OR 97038 APN 52E08BC04200 Owner BROWN AUSTIN Lot Size (SF/AC) Bedrooms 2 Year Built Living Area (SF) 1,040 Bathrooms/Partial 2 Garage/No. of Cars Phones Nearby Neighbor #5 Address 1015 S VIEW DR, MOLALLA, OR 97038 APN 52E08BC04300 Owner SMITH DEBORAH & AARON Lot Size (SF/AC) Bedrooms 3 Year Built Living Area (SF) 1,674 Bathrooms/Partial 2/1 Garage/No. of Cars Phones (360) 773-9538 Nearby Neighbor #6 Address 1013 S VIEW DR, MOLALLA, OR 97038 APN 52E08BC04400 Owner BROWN PATRICK RYAN & KENDYL LYNN Lot Size (SF/AC) Bedrooms 4 Year Built Living Area (SF) 1,800 Bathrooms/Partial 2/1 Garage/No. of Cars Phones
Nearby Neighbors Report
Page 2 Nearby Neighbor #7 Address 250 FOREST LN, MOLALLA, OR 97038 APN 52E08BC10360 Owner MARTINEZ ALTA & TIMOTHY Lot Size (SF/AC) Bedrooms 4 Year Built Living Area (SF) 1,780 Bathrooms/Partial 2/1 Garage/No. of Cars Phones (503) 884-5317 Nearby Neighbor #8 Address 240 FOREST LN, MOLALLA, OR 97038 APN 52E08BC10370 Owner MASON BENJAMIN Lot Size (SF/AC) Bedrooms 2 Year Built Living Area (SF) 1,040 Bathrooms/Partial 2 Garage/No. of Cars Phones (503) 309-5399 Nearby Neighbor #9 Address 1004 BEAR CREEK DR, MOLALLA, OR 97038 APN 52E08BC10450 Owner BALASKI MICHAEL J Lot Size (SF/AC) Bedrooms 3 Year Built 2018 Living Area (SF) 1,376 Bathrooms/Partial 2 Garage/No. of Cars Phones Nearby Neighbor #10 Address 260 FOREST LN, MOLALLA, OR 97038 APN 52E08BC10350 Owner SMITH DYLAN COOPER Lot Size (SF/AC) Bedrooms 2 Year Built Living Area (SF) 1,040 Bathrooms/Partial 2 Garage/No. of Cars Phones Nearby Neighbor #11 Address 230 FOREST LN, MOLALLA, OR 97038 APN 52E08BC10380 Owner AASLAND JONATHAN Lot Size (SF/AC) Bedrooms 3 Year Built Living Area (SF) 1,674 Bathrooms/Partial 2/1 Garage/No. of Cars Phones Nearby Neighbor #12 Address 1011 S VIEW DR, MOLALLA, OR 97038 APN 52E08BC04500 Owner BERRY KENNETH NORMAN Lot Size (SF/AC) Bedrooms 2 Year Built Living Area (SF) 1,040 Bathrooms/Partial 2 Garage/No. of Cars Phones Nearby Neighbor #13 Address 270 FOREST LN, MOLALLA, OR 97038 APN 52E08BC10340 Owner ALLEN, ANDREW PAUL; ALLEN, NICOLE Lot Size (SF/AC) Bedrooms 3 Year Built Living Area (SF) 1,684 Bathrooms/Partial 2/1 Garage/No. of Cars Phones (503) 570-7577 Nearby Neighbor #14 Address 1011 BEAR CREEK DR, MOLALLA, OR 97038 APN 52E08BC10200 Owner MCKINNEY KENNETH Lot Size (SF/AC) Bedrooms 3 Year Built Living Area (SF) 1,376 Bathrooms/Partial 2 Garage/No. of Cars Phones

Nearby

Address 220 FOREST LN, MOLALLA, OR 97038

Owner MACWILLIAMS CURTIS & ANNIE

Bedrooms 4 Year Built

Bathrooms/Partial 2/2 Garage/No. of Cars

Disclaimer

THIS REPORT IS INTENDED FOR USE BY YOU AS AN END USER SOLELY FOR YOUR INTERNAL BUSINESS PURPOSES. YOU SHALL NOT RESELL, RELICENSE OR REDISTRIBUTE THIS REPORT, IN WHOLE OR IN PART. THE USE OF THIS REPORT BY ANY PARTY OTHER THAN YOURSELF FOR ANY PURPOSE IS STRICTLY PROHIBITED. THIS REPORT IS PROVIDED AS-IS WITHOUT WARRANTY OF ANY KIND, EITHER EXPRESS OR IMPLIED, INCLUDING WITHOUT LIMITATION, ANY WARRANTIES OF MERCHANTABILITY, NON-INFRINGEMENT, OR FITNESS FOR A PARTICULAR PURPOSE. BLACK KNIGHT SHALL HAVE NO LIABILITY IN CONTRACT, TORT, OR OTHERWISE ARISING OUT OF OR IN CONNECTION WITH THIS REPORT. BLACK KNIGHT DOES NOT REPRESENT OR WARRANT THAT THE REPORT IS COMPLETE OR FREE FROM ERROR. YOU UNDERSTAND AND ACKNOWLEDGE THAT THE AVAILABILITY, COMPLETENESS AND FORMAT OF THE DATA ELEMENTS MAY VARY SUBSTANTIANLLY FROM AREA-TO-AREA. THE INFORMATION CONTAINED IN THIS REPORT IS DERIVED FROM PUBLICLY AVAILABLE SOURCES FOR THE SUBJECT PROPERTY OR COMPARABLE PROPERTIES LISTED ABOVE AND HAS NOT BEEN INDEPENDENT VERIFIED BY BLACK KNIGHT THROUGH ANY FORM OF INSPECTION OR REVIEW. THIS REPORT DOES NOT CONSTITUTE AN APPRAISAL OF ANY KIND AND SHOULD NOT BE USED IN LIEU OF AN INSPECTION OF A SUBJECT PROPERTY BY A LICENSED OR CERTIFIED APPRAISER. THIS REPORT CONTAINS NO REPRESENTATIONS, OPINIONS OR WARRANTIES REGARDING THE SUBJECT PROPERTY'S ACTUAL MARKETABILITY, CONDITION (STRUCTURAL OR OTHERWISE), ENVIRONMENTAL, HAZARD OR FLOOD ZONE STATUS, AND ANY REFERENCE TO ENVIRONMENTAL, HAZARD OR FLOOD ZONE STATUS IS FOR INFORMATIONAL PURPOSES ONLY AND SHALL BE INDEPENDENTLY VERIFIED BY THE END USER. THE INFORMATION CONTAINED HEREIN SHALL NOT BE UTILIZED: (A) TO REVIEW OR ESTABLISH A CONSUMER'S CREDIT AND/OR INSURANCE ELIGIBILITY OR FOR ANY OTHER PURPOSE THAT WOULD CAUSE THE REPORT TO CONSTITUTE A "CONSUMER REPORT" UNDER THE FAIR CREDIT REPORTING ACT, 15 U.S.C. § 1681 ET SEQ.; OR (B) IN CONNECTION WITH CERTIFICATION OR AUTHENTICATION OF REAL ESTATE OWNERSHIP AND/OR REAL ESTATE TRANSACTIONS. ADDITIONAL TERMS AND CONDITIONS SHALL APPLY PURSUANT TO THE APPLICABLE AGREEMENT.

Copyright

CONFIDENTIAL, PROPRIETARY AND/OR TRADE SECRET. TM SM ® TRADEMARK(S) OF BLACK KNIGHT IP HOLDING COMPANY, LLC, OR AN AFFILIATE. © 2023 BLACK KNIGHT TECHNOLOGIES, LLC. ALL RIGHTS RESERVED.

Page 3
Neighbor #15
APN 52E08BC10390
Lot Size
Living
(SF/AC)
Area (SF) 1,810
Phones
Utilities
HOMEBOOK

Please Use/Click on this Digital U lity Link

Most u lity service providers require you to go online, fill out a form and e-mail back, or use their online service.

School Information HOMEBOOK

ClickHereforthe OregonSchoolReportCards

School Information

Centennial

North

David

Gresham

Banks 503 . 324 . 8591 | www.banks.k12.or.us Beaverton 503 672 3721 | www.beaverton.k12.or.us
503 266 7861 | boundaries: 503 266 2064 | www.canby.k12.or.us
Canby
503 760 7990 | www.centennial.k12.or.us
Clackamas 503 . 653 . 6000 | boundaries: 503 . 353 . 6119 | www.nclack.k12.or.us
503 824 3535 | boundaries: 503 824 3534 | www.colton.k12.or.us
Colton
Douglas 503 . 252 . 7990 | www.centennial.k12.or.us
503 . 630 . 6871 | www.esd108.k12.or.us
Grove 503 357 6171 | boundaries: 503 359 8167 x 221 | www.fgsd.k12.or.us
503 . 655 . 2777 | www.gladstone.k12.or.us
Estacada
Forest
Gladstone
/ Barlow 503 . 618 . 2450 | www.gresham.k12.or.us Hillsboro 503 844 1500 | boundaries: 503 648 9123 | www.hsd.k12.or.us
Oswego 503 . 534 . 2000 | boundaries: 503 . 534 . 2490 | www.loswego.k12.or.us
Lake

School Information

McMinnville 503 565 4000 | www.msd.k12.or.us Molalla River 503 . 829 . 2359 | boundaries: 503 . 829 . 2512 | www.molallariv.k12.or.us Newberg 503 554 5000 | boundaries: 503 538 8365 | www.newberg.k12.or.us Oregon City 503 657 4283 | boundaries: 503 657 2471 | www.orecity.k12.or.us Oregon Trail 503 668 5541 | www.oregonrailschools.k12.or.us Parkrose 503 408 2100 | www.parkrose.k12.or.us Portland 503 916 2000 | boundaries: 503 916 3262 | www.pps.k12.or.us Reynolds 503 . 661 . 7200 | boundaries: 503 . 492 . 4921 | www.reynolds.k12.or.us Sherwood 503 625 8100 | boundaries: 503 625 8107 | www.sherwood.k12.or.us Tigard / Tualatin 503 431 4000 | www.ttsd.k12.or.us West Linn / Wilsonville 503 . 673 . 7000 | boundaries: 503 . 673 . 7034 | www.wlwv.k12.or.us Woodburn 503 . 981 . 9555 | www.woodburn.k12.or.us
County G School Type Tuition Range A(%) E(#)C(#)M(#) U Washington County (OR) 1. Agia Sophia Academy PK-5 Montessori $6,600–8,300 95 30 12 Yes 2. Catlin Gabel School PK-12 College Prep $27,190–34,100 26 776 17 61 No 4. Forest Hills Lutheran Christian School PK-8 Lutheran $6,531–6,875 98 197 18 No 5. German International School PK-5 Language Immersion, INTL Baccalaureate $15,110–15,275 98 144 12 10 No 6. Holy Trinity Catholic School PK-8 Catholic $6,600–8,400 285 30 Yes 7. Horizon Christian School PK-12 College Prep $4,650–11,975 95 411 14 24 No 8 Islamic School of MET PK-12 Muslim College Prep $7,750–8,250 90 206 16 5 Yes 9. Jesuit High School 9-12 College Prep $15,475 71 1274 23 86 No 11. Living Wisdom School PK-8 Education for Life $7,200–9,100 95 38 12 No 12. Montessori School of Beaverton PK-6 Montessori $11,400–12,000 80 120 1010 No 13. Northwest Chinese Academy PK-5 Language Immersion $17,250–19,525 96 33 77 Yes 14. Oregon Episcopal School PK-12 College Prep $28,900–35,000 43 858 16 72 Yes 15. Pilgrim Lutheran Christian School PK-8 Christian $6,850–8,295 12512 5 Yes 16. St. Matthew Catholic School PK-8 Catholic $6,850–8,600 99 184 21 16 Yes 17. St. Pius X Grade School K-8 Catholic $7,240–9,430 85 492 3029 Yes 18. St. Stephen‘s Academy PK-12 Classical Christian $5,160–10,620 96 256 1610 Yes 19. Tualatin Valley Academy PK-12 Christian $4,980–9,108 99 175 20 8 No Grade Range Acceptance Rate A 2014-2015 Enrollment E G
School Information
School Information County G School Type Tuition Range A(%) E(#)C(#) M(#) U Washington County (OR) 20. Valley Catholic Elementary School K-5 Catholic $8,520 337 13 Yes 21. Valley Catholic Middle School 6-8 College Prep $11,610 252 24 Yes 22. Valley Catholic High School 9-12 College Prep $14,685 370 28 No 23. Visitation Catholic School PK-8 Catholic $4,793–5,868 98 165 20 8 Yes Multnomah County (OR) 1. A Renaissance School of Arts and Sciences K-8 Progressive $14,440 90 115 8 9 No 2. Central Catholic High School 9-12 College Prep, Catholic $15,378–19,000 98 850 21 52 No 3. Childpeace Montessori School, Metro Middle School PK-8 Montessori $11,600–17,300 6 254 26 10 No 4. Columbia Christian School PK-12 Christian, College Prep $4,000–8,000 95 250 20 18 No 5. Edison High School 9-12 Learning Differences $24,650 50 102 9 14 No 6. French American International School PK-8 Language Immersion $18,296–21,113 79 451 16 48 No 7. Grace Lutheran School PK-8 Lutheran $2,825–6,695 95 88 22 1 No 8. Holy Redeemer Catholic School PK-8 Catholic $5,450–7,775 95 304 27 11 Yes 9. Northwest Academy 6-12 College Prep $22,900–24,400 75 240 15 26 No 10. Open Door Christian Academy PK-12 Christian $2,210–3,940 50 285 25 5 No 11. Pacific Crest Community School 6-12 College Prep $14,250 70 95 12 9 No Average Class Size C Required clothing or Uniforms? U Faculty with Master’s Degrees M
Grade Range Acceptance Rate A 2018-2019 Enrollment E G County G School Type Tuition Range A(%) E(#)C(#)M(#) U Multnomah County (OR) 12. Portland Christian Schools PK-12 College Prep $7,400–11,335 94 547 42 30 No 13. Portland Jewish Academy PK-8 Jewish $19,415–20,035 60 18818 No 14. St. Agatha Catholic School PK-8 Catholic $6,350–7,930 60 18818 No 15. St. Clare School K-8 Catholic $6,600–8,400 100 20726 Yes 16. St. John Fisher School K-8 Catholic $7,160–9,335 89 200 24 17 Yes 17. St. Mary’s Academy 9 - 12 College Prep $15,995 97 680 21 46 No 18. St. Rose School PK-8 Catholic $6,190–7,840 94 224 25 12 Yes 19. Sunstone Montessori School PK-6 Montessori $11,900–12,800 90 172 26 14 No 20. The International School PK-5 Language Immersion $19,040–19,640 87387 14 24 No 21. The Madeleine School K-8 Catholic $6,065–7,750 95 264 30 11 Yes 22. The Portland Montessori School PK-6 Montessori $10,725–11,600 80 151 24 7 No 23. Trinity Lutheran Christian School K-8 Lutheran $7,300 1005210 24. Tucker Maxon School PK-5 Independent $8,200–17,000 91 45 1212 No 25. Venn Academy K-8 Relationship BasedLearning $11,000 50-60 18 9 26. West Hills Christian School K-8 Christian $5,800–8,875 90 308 18 11 No 27 West Hills Montessori PK-6 Montessori $11,495–12,255 80 125 25 15 No
School Information
School Information Average Class Size C Required clothing or Uniforms? U Faculty with Master’s Degrees M County G School Type Tuition Range A(%) E(#)C(#)M(#) U Clackamas County (OR) 1. Arbor School of Arts and Sciences K-8 Progressive $14,400 29 189 21 24 No 2. Christa McAuliffe Academy School of Arts and Sciences K-12 College Prep $3,995–8,795 100 380 10 12 No 3. La Salle Catholic College Prep 9-12 College Prep $14,750 85 703 19 45 No 4 Micha-el School PK-8 Waldorf $6,370–8,340 95 110 18 9 No 5. North Clackamas Christian School PK-12 Christian $6,353–7,860 95 263 1815 No 6. Park Academy 3-12 Learning differences $21,000 96 10 7. Portland Waldorf School PK-12 Waldorf $11,275–19,595 325 20 8. Spring Mountain Christian Academy K-12 Christian $3,460$4,440 90 165 12 4 No 9. St. John the Apostle Catholic School PK-8 Catholic $6,499 98 190 18 9 Yes 10. The Marylhurst School PK-8 Progressive $11,000 80 85 18 7 No Clark County (WA) 1. Cascadia School 1 - 6 Montessori $9,960–10,440 90 98 22 3 No 2. Cedar Tree Classical Christian School K - 12 College Prep $6,600–6,960 75 213 16 8 Yes 3. The Gardner School of Arts & Sciences PK - 8 Independent $16,950–18,550 37 10 4 Our Lady Of Lourdes Catholic School PK-8 Catholic $7,034–8,975 98 232 22 10 Yes

CCR’s - Bear Creek 2

Scan QR Code for CCR’s

Turn static files into dynamic content formats.

Create a flipbook