Skip to main content

Flipbook for 5286 SE 18th Ave

Page 1

5286 SE 18th St Gresham, OR 97080
Tony Tang
Diverse Realty Group Keller Williams 9755 SW Barnes Rd # 560 Portland, OR 97225

Property Profile HOMEBOOK

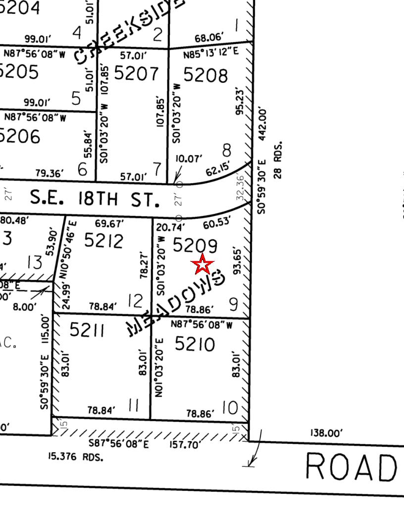
ParcelInformation

Parcel#:R542009

TaxLot:1S3E13AC05209

SiteAddress:5286SE18thSt

GreshamOR97080-3008

Owner:Pence,Matthew 5286SE18thSt

GreshamOR97080-3008

Twn/Range/Section : 01S/03E/13/NE

ParcelSize:015Acres(6,462SqFt)

Plat/Subdivision:CreeksideMeadows

Lot/Block:9

MapPage/Grid:629-H5

Land

AssessmentInformation

MarketValueLand: $204,500.00

MarketValueImpr: $286,17000

MarketValueTotal: $490,67000

AssessedValue: $253,43000(2022)

TaxInformation

LevyCodeArea:026

LevyRate:18.8501(2022)

TaxYear:2022

AnnualTax:$4,77720

Exemption:

Legal

Census

Tract/Block: 010409/1049

CREEKSIDEMEADOWS,LOT9

CntyLandUse:101-Single-Family,Residential,Improved

LandUseStd:RSFR-SingleFamilyResidence

Watershed:LowerSandyRiver

Zoning:Gresham-LDR-5-LowDensityResidential

SchoolDistrict:10J-Gresham-Barlow

MiddleSchool:GORDONRUSSELLMIDDLESCHOOL

Improvement

YearBuilt:2005

Bedrooms:

Baths,Total:25

RoofCovering:Composition

A/C:

Kitchen:1

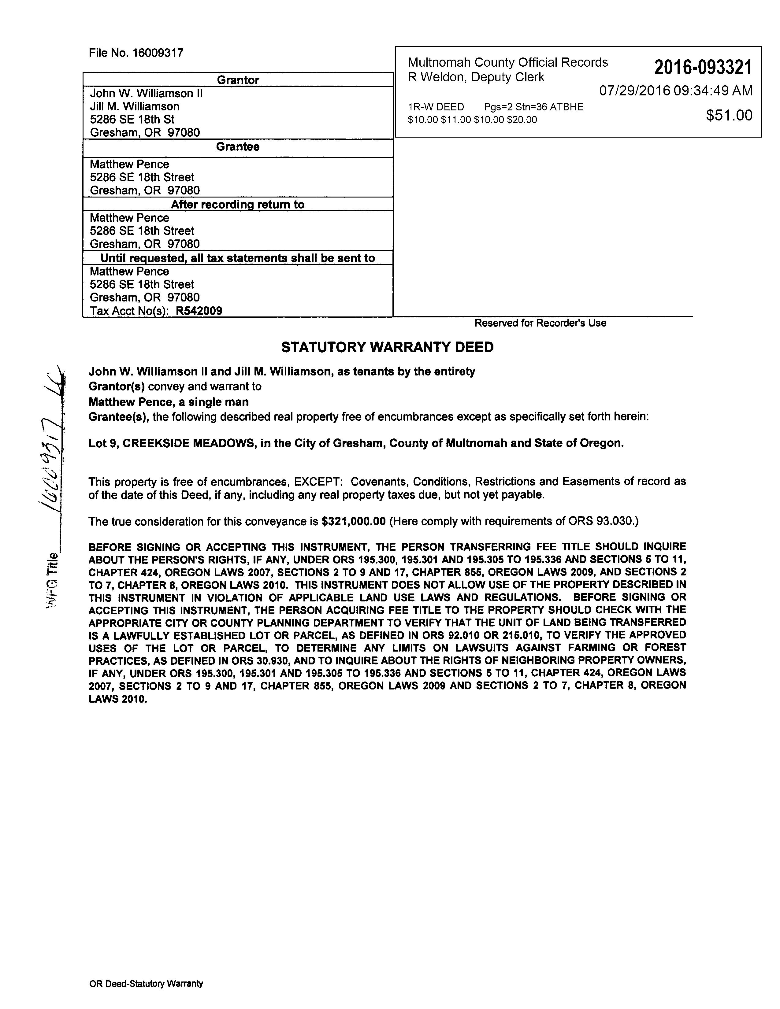
TransferInformation

Rec Date:07/29/2016

Owner:MatthewPence

Orig LoanAmt:$256,80000

FinanceType:

Stories:2

Garage:Att520SqFt

Baths,Full/Half:2/1

ExteriorWalls:

Heat:ForcedAir

Porch/Patio:214SqFt/0SqFt

SalePrice:$321,00000

CountyBldgUse:B-ResidentialImproved

Recreation:

Neighborhood:KellyCreek

#Dwellings:

ElementarySchool:KELLYCREEKELEMENTARY SCHOOL

HighSchool:SAMBARLOWHIGHSCHOOL

TotalArea:2,262SqFt

FirstFloor:1,000SqFt

SecondFloor:1,262SqFt

BasementFin/Unfin:

AtticFin/Unfin:

Deck:

LoanType:Conventional

DocNum:93321

DocType:Deed

Grantor:WILLIAMSONJOHNWII&JILLM

TitleCo:WFGTITLE

Lender:CALIBERHMLOANSINC

SentryDynamics,Inc anditscustomersmakenorepresentations,warrantiesorconditions,expressorimplied,astotheaccuracyor completenessofinformationcontainedinthisreport

MultnomahCountyParcelInformation

Thismap/platisbeingfurnishedasanaidinlocatingthehereindescribedLandinrelationtoadjoiningstreets,naturalboundariesandotherland,andisnotasurveyofthe landdepicted.Excepttotheextentapolicyoftitleinsuranceisexpresslymodifiedbyendorsement,ifany,theCompanydoesnotinsuredimensions,distances,locationof easements,acreageorothermattersshownthereon.

Thismap/platisbeingfurnishedasanaidinlocatingthehereindescribedLandinrelationtoadjoiningstreets,naturalboundariesandotherland,andisnotasurveyofthe landdepicted.Excepttotheextentapolicyoftitleinsuranceisexpresslymodifiedbyendorsement,ifany,theCompanydoesnotinsuredimensions,distances,locationof easements,acreageorothermattersshownthereon.

Split/Merge

Property Owner Property Address 2022AssessedValue R542009 PENCE,MATTHEW 5286SE18THST,GRESHAM,OR97080 $253,430 GENERALINFORMATION Property Status AActive Property Type RPResidential Legal Description CREEKSIDEMEADOWS,LOT9 Alternate Account Number R183660450 Neighborhood R049 Map Number 1S3E13AC-05209 Property Use B-RESIDENTIALIMPROVED LevyCodeArea 026 OWNERINFORMATION Owner Name PENCE,MATTHEW Mailing Address 5286SE18THSTGRESHAM,OR97080 RELATEDPROPERTIES
PropertiesProperty Group IDGrouped PropertiesSplit / Merge DateSplit / Merge AccountsSplit / Merge MessageIMPROVEMENTS ? Expand/Collapse All LANDSEGMENTS LANDNO LANDTYPE LANDSIZE L1 RESRESIDENTIALLAND 6,462Sq.ft TOTALS 6,462Sq.ft/0.15acres ASSESSEDVALUES YEAR IMPROVEMENTS LAND SPECIALMARKET/USE RMV M5VALUE EXEMPTIONS M50ASSESSED 2022 $286,170 $204,500 - / - $490,670 $490,670 $253,430 2021 $250,440 $184,500 - / - $434,940 $434,940 $246,050 2020 $224,440 $169,500 - / - $393,940 $393,940 $238,890 2019 $210,560 $176,500 - / - $387,060 $387,060 $231,940 2018 $209,250 $163,500 - / - $372,750 $372,750 $225,190 2017 $197,340 $136,500 $0 / $0 $333,840 $333,840 $218,640 2016 $172,700 $126,500 - / $0 $299,200 $299,200 $212,280 2015 $161,710 $101,500 $0 / $0 $263,210 $263,210 $206,100 2014 $145,130 $93,500 $0 / $0 $238,630 $238,630 $200,100 2013 $125,480 $86,500 $0 / $0 $211,980 $211,980 $194,280 SALESHISTORY DEED SELLER BUYER INSTR# DATE CONSIDERATIONAMOUNT WD WILLIAMSON,JOHNWII&JILLM PENCE,MATTHEW 2016093321 7/25/2016 $321,000 WD CASCADEHOMEBUILDERSINC WILLIAMSON,JOHNWII&JILLM 2005059095 4/1/2005 $264,890 BSD GARNER,FREDERICKC&DONNAM COLUMBIACOUNTRYHOMESINC 2003130749 6/6/2013WD COLUMBIACOUNTRYHOMESINC CASCADEHOMEBUILDERSINC 2004169795 9/16/2004 $60,000 ? Improvement #1 Improvement Type Building Type Class - SINGLEFAMILYRESIDENTIAL 2ORMORESTY 4N
data prior to February 6, 2018 is not available online, please call Multnomah County Assessment & Taxation division. Linked

If applicable, the described property is receiving special valuation based upon its use. Additional rollback taxes which may become due based on the provisions of the special valuation are not indicated in this listing.

TAXSUMMARY

? Details

Eรฉective Date:
TAXYEAR TOTAL BILLED AD VALOREM SPECIAL ASMT PRINCIPAL INTEREST DATE PAID TOTAL OWED 2022 $4,777.20 $4,777.20 $4,777.20 $0.00 - $0.00 2021 $4,656.85 $4,656.85 $4,656.85 $0.00 - $0.00 2020 $4,381.65 $4,381.65 $4,381.65 $0.00 - $0.00 2019 $4,267.10 $4,267.10 $4,267.10 $0.00 - $0.00 2018 $4,068.69 $4,068.69 $4,068.69 $0.00 - $0.00 2017 $3,903.72 $3,903.72 $3,903.72 $0.00 - $0.00 2016 $3,441.91 $3,441.91 $3,441.91 $0.00 - $0.00 2015 $3,367.61 $3,367.61 $3,367.61 $0.00 - $0.00 2014 $3,285.60 $3,285.60 $3,285.60 $0.00 - $0.00 2013 $3,195.65 $3,195.65 $3,195.65 $0.00 - $0.00 2012 $3,015.74 $3,015.74 $3,015.74 $0.00 - $0.00 2011 $2,952.02 $0.00 $2,952.02 $0.00 - $0.00 2010 $2,880.53 $0.00 $2,880.53 $0.00 - $0.00 2009 $2,809.39 $0.00 $2,809.39 $0.00 - $0.00 2008 $2,737.51 $0.00 $2,737.51 $0.00 - $0.00 TOTAL
CurrentYearDue $0.00 PastYearsDue $0.00 TotalDue $0.00 PayMyBills TAXYEAR RECEIPTNUMBER TRANSACTIONDATE PAYMENTAMOUNT 2022 MULT-1547702 11-15-2022 $4,633.88 2021 MULT-1186354 11-12-2021 $4,517.15 2020 MULT-867157 11-13-2020 $4,250.20 2019 MULT-581184 11-19-2019 $4,139.09 2018 MULT-198546 11-13-2018 $3,946.63 2017 8733922 11-9-2017 $3,786.61 2016 8407407 11-14-2016 $3,338.65 2015 8031360 11-12-2015 $3,266.58 2014 7697204 11-14-2014 $3,187.03 2013 7356946 11-14-2013 $3,099.78 2012 6975279 11-13-2012 $2,925.27 2011 6631679 11-14-2011 $2,863.46 2010 6253454 11-12-2010 $2,794.11 2009 5869756 11-12-2009 $2,725.11 2008 5474599 11-12-2008 $2,655.38 $0 $0 $0 $0 $0 $0 $0 $0 $0 $0 $0 $0 $0 $0 $0
TAXESDUE
Utilities
HOMEBOOK

Please Use/Click on this Digital Utility Link

Most utility service providers require you to go online, fill out a form and e-mail back, or use their online service.

Neighborhood Information HOMEBOOK

Nearby Neighbors Report

Page 1
Subject Property Location Report Date: 04/21/2023 Property Address 5286 SE 18TH ST Order ID: R113301147 City, State & Zip GRESHAM, OR 97080-3008 County MULTNOMAH COUNTY Property Use Single Family Residential Mailing Address 5286 SE 18TH ST, GRESHAM, OR 97080-3008 Parcel Number 1S3E13AC 05209 Subject Property Address 5286 SE 18TH ST, GRESHAM, OR 97080 APN 1S3E13AC 05209 Owner PENCE, MATTHEW Lot Size (SF/AC) 6,462/.15 Bedrooms 0 Year Built 2005 Living Area (SF) 2,262 Bathrooms/Partial 2/1 Garage/No. of Cars Attached Garage/2 Phones Nearby Neighbor #1 Address 5254 SE 18TH ST, GRESHAM, OR 97080 APN 1S3E13AC 05212 Owner ELROD, GREGORY M & ELROD, STEPHANIE J Lot Size (SF/AC) 5,926/.14 Bedrooms 0 Year Built 2005 Living Area (SF) 2,196 Bathrooms/Partial 2/1 Garage/No. of Cars Attached Garage/2 Phones (503) 989-5912 Nearby Neighbor #2 Address 5278 SE 18TH ST, GRESHAM, OR 97080 APN 1S3E13AC 05210 Owner MAKSIMOV, DZIYANA & MAKSIMOV, ANATOLIY Lot Size (SF/AC) 6,545/.15 Bedrooms 0 Year Built 2007 Living Area (SF) 1,888 Bathrooms/Partial 2/1 Garage/No. of Cars Attached Garage/2 Phones Nearby Neighbor #3 Address 5262 SE 18TH ST, GRESHAM, OR 97080 APN 1S3E13AC 05211 Owner ZABEL, DEBRA L & ZABEL, LARRY P Lot Size (SF/AC) 6,544/.15 Bedrooms 0 Year Built 2007 Living Area (SF) 1,917 Bathrooms/Partial 2/1 Garage/No. of Cars Attached Garage/2 Phones Nearby Neighbor #4 Address 5285 SE 18TH ST, GRESHAM, OR 97080 APN 1S3E13AC 05208 Owner ROTH, BETH L Lot Size (SF/AC) 7,197/.17 Bedrooms 0 Year Built 2006 Living Area (SF) 1,707 Bathrooms/Partial 2/1 Garage/No. of Cars Attached Garage/2 Phones Nearby Neighbor #5 Address 5251 SE 18TH ST, GRESHAM, OR 97080 APN 1S3E13AC 05207 Owner GARCIA ARZATE, LUIS A Lot Size (SF/AC) 6,148/.14 Bedrooms 0 Year Built 2006 Living Area (SF) 2,380 Bathrooms/Partial 3 Garage/No. of Cars Attached Garage/2 Phones Nearby Neighbor #6 Address 5333 SE SALQUIST RD, GRESHAM, OR 97080 APN 1S3E13AC 05400 Owner LOZANO, BRYAN C & ALEJANDRE, MIGUEL Lot Size (SF/AC) 58,370/1.34 Bedrooms 5 Year Built 1967 Living Area (SF) 2,556 Bathrooms/Partial 2 Garage/No. of Cars Carport/3 Phones
Page 2 Nearby Neighbor #7 Address 5238 SE 18TH ST, GRESHAM, OR 97080 APN 1S3E13AC 05213 Owner RUTER, PATRICIA A Lot Size (SF/AC) 5,073/.12 Bedrooms 0 Year Built 2005 Living Area (SF) 1,890 Bathrooms/Partial 2/1 Garage/No. of Cars Attached Garage/2 Phones Nearby Neighbor #8 Address 1772 SE GLACIER AVE, GRESHAM, OR 97080 APN 1S3E13AC 05206 Owner XIONG, ALBERT V & CHANG, LUCY Lot Size (SF/AC) 5,335/.12 Bedrooms 0 Year Built 2005 Living Area (SF) 1,802 Bathrooms/Partial 2/1 Garage/No. of Cars Attached Garage/2 Phones Nearby Neighbor #9 Address 1862 SE GLACIER AVE, GRESHAM, OR 97080 APN 1S3E13AC 05300 Owner DOVE, JUDY Lot Size (SF/AC) 11,761/.27 Bedrooms 0 Year Built 2014 Living Area (SF) 2,263 Bathrooms/Partial 2/1 Garage/No. of Cars Attached Garage/3 Phones Nearby Neighbor #10 Address 1758 SE GLACIER AVE, GRESHAM, OR 97080 APN 1S3E13AC 05205 Owner MARTINEZ, FAUSTINO F M & ESTRADA, MARLA M T Lot Size (SF/AC) 5,050/.12 Bedrooms 0 Year Built 2006 Living Area (SF) 1,775 Bathrooms/Partial 3 Garage/No. of Cars Attached Garage/2 Phones Nearby Neighbor #11 Address 1865 SE IRONWOOD WAY, GRESHAM, OR 97080 APN 1S3E13AD 07315 Owner JOHNSTON, JACOB H Lot Size (SF/AC) 5,097/.12 Bedrooms 0 Year Built 2006 Living Area (SF) 2,218 Bathrooms/Partial 2/1 Garage/No. of Cars Attached Garage/2 Phones (503) 208-0388 Nearby Neighbor #12 Address 5360 SE 18TH ST, GRESHAM, OR 97080 APN 1S3E13AD 07321 Owner HASBUN, AISHA GEORGINA; HASBUN, MARIA ELIZABETH NOSTHAS Lot Size (SF/AC) 5,611/.13 Bedrooms 0 Year Built 2005 Living Area (SF) 1,656 Bathrooms/Partial 2/1 Garage/No. of Cars Attached Garage/2 Phones Nearby Neighbor #13 Address 5294 SE 17TH TER, GRESHAM, OR 97080 APN 1S3E13AC 05201 Owner MC GRAW, DANIEL R & MC GRAW, CHRISTINA A Lot Size (SF/AC) 7,416/.17 Bedrooms 0 Year Built 2007 Living Area (SF) 2,382 Bathrooms/Partial 2/1 Garage/No. of Cars Attached Garage/2 Phones Nearby Neighbor #14 Address 1859 SE IRONWOOD WAY, GRESHAM, OR 97080 APN 1S3E13AD 07316 Owner MITCHELL, LARRY G & MITCHELL, CATHY L Lot Size (SF/AC) 8,907/.2 Bedrooms 0 Year Built 2004 Living Area (SF) 2,256 Bathrooms/Partial 2/1 Garage/No. of Cars Attached Garage/2 Phones

Disclaimer THIS REPORT IS INTENDED FOR USE BY YOU AS AN END USER SOLELY FOR YOUR INTERNAL BUSINESS PURPOSES. YOU SHALL NOT RESELL, RELICENSE OR REDISTRIBUTE THIS REPORT, IN WHOLE OR IN PART. THE USE OF THIS REPORT BY ANY PARTY OTHER THAN YOURSELF FOR ANY PURPOSE IS STRICTLY PROHIBITED. THIS REPORT IS PROVIDED AS-IS WITHOUT WARRANTY OF ANY KIND, EITHER EXPRESS OR IMPLIED, INCLUDING WITHOUT LIMITATION, ANY WARRANTIES OF MERCHANTABILITY, NON-INFRINGEMENT, OR FITNESS FOR A PARTICULAR PURPOSE. BLACK KNIGHT SHALL HAVE NO LIABILITY IN CONTRACT, TORT, OR OTHERWISE ARISING OUT OF OR IN CONNECTION WITH THIS REPORT. BLACK KNIGHT DOES NOT REPRESENT OR WARRANT THAT THE REPORT IS COMPLETE OR FREE FROM ERROR. YOU UNDERSTAND AND ACKNOWLEDGE THAT THE AVAILABILITY, COMPLETENESS AND FORMAT OF THE DATA ELEMENTS MAY VARY SUBSTANTIANLLY FROM AREA-TO-AREA. THE INFORMATION CONTAINED IN THIS REPORT IS DERIVED FROM PUBLICLY AVAILABLE SOURCES FOR THE SUBJECT PROPERTY OR COMPARABLE PROPERTIES LISTED ABOVE AND HAS NOT BEEN INDEPENDENT VERIFIED BY BLACK KNIGHT THROUGH ANY FORM OF INSPECTION OR REVIEW. THIS REPORT DOES NOT CONSTITUTE AN APPRAISAL OF ANY KIND AND SHOULD NOT BE USED IN LIEU OF AN INSPECTION OF A SUBJECT PROPERTY BY A LICENSED OR CERTIFIED APPRAISER. THIS REPORT CONTAINS NO REPRESENTATIONS, OPINIONS OR WARRANTIES REGARDING THE SUBJECT PROPERTY'S ACTUAL MARKETABILITY, CONDITION (STRUCTURAL OR OTHERWISE), ENVIRONMENTAL, HAZARD OR FLOOD ZONE STATUS, AND ANY REFERENCE TO ENVIRONMENTAL, HAZARD OR FLOOD ZONE STATUS IS FOR INFORMATIONAL PURPOSES ONLY AND SHALL BE INDEPENDENTLY VERIFIED BY THE END USER. THE INFORMATION CONTAINED HEREIN SHALL NOT BE UTILIZED: (A) TO REVIEW OR ESTABLISH A CONSUMER'S CREDIT AND/OR INSURANCE ELIGIBILITY OR FOR ANY OTHER PURPOSE THAT WOULD CAUSE THE REPORT TO CONSTITUTE A "CONSUMER REPORT" UNDER THE FAIR CREDIT REPORTING ACT, 15 U.S.C. ยง 1681 ET SEQ.; OR (B) IN CONNECTION WITH CERTIFICATION OR AUTHENTICATION OF REAL ESTATE OWNERSHIP AND/OR REAL ESTATE TRANSACTIONS. ADDITIONAL TERMS AND CONDITIONS SHALL APPLY PURSUANT TO THE APPLICABLE AGREEMENT.

Copyright

CONFIDENTIAL, PROPRIETARY AND/OR TRADE SECRET. TM SM ยฎ TRADEMARK(S) OF BLACK KNIGHT IP HOLDING COMPANY, LLC, OR AN AFFILIATE. ยฉ 2023 BLACK KNIGHT TECHNOLOGIES, LLC. ALL RIGHTS RESERVED.

Page 3
Neighbor
Address
APN 1S3E13AC 05202 Owner
Lot Size (SF/AC) 6,038/.14 Bedrooms 0 Year
2005 Living Area (SF) 1,802
Attached Garage/2 Phones
Nearby
#15
5288 SE 17TH TER, GRESHAM, OR 97080
BRAMBILA, JESSICA S & PELAYO, ADIEL R
Built
Bathrooms/Partial 2/1 Garage/No. of Cars

School Information HOMEBOOK

ClickHereforthe OregonSchoolReportCards

School Information

Centennial

North

David

Gresham

Banks 503 . 324 . 8591 | www.banks.k12.or.us Beaverton 503 672 3721 | www.beaverton.k12.or.us
503 266 7861 | boundaries: 503 266 2064 | www.canby.k12.or.us
Canby
503 760 7990 | www.centennial.k12.or.us
Clackamas 503 . 653 . 6000 | boundaries: 503 . 353 . 6119 | www.nclack.k12.or.us
503 824 3535 | boundaries: 503 824 3534 | www.colton.k12.or.us
Colton
Douglas 503 . 252 . 7990 | www.centennial.k12.or.us
503 . 630 . 6871 | www.esd108.k12.or.us
Grove 503 357 6171 | boundaries: 503 359 8167 x 221 | www.fgsd.k12.or.us
503 . 655 . 2777 | www.gladstone.k12.or.us
Estacada
Forest
Gladstone
/ Barlow 503 . 618 . 2450 | www.gresham.k12.or.us Hillsboro 503 844 1500 | boundaries: 503 648 9123 | www.hsd.k12.or.us
Oswego 503 . 534 . 2000 | boundaries: 503 . 534 . 2490 | www.loswego.k12.or.us
Lake

School Information

McMinnville 503 565 4000 | www.msd.k12.or.us Molalla River 503 . 829 . 2359 | boundaries: 503 . 829 . 2512 | www.molallariv.k12.or.us Newberg 503 554 5000 | boundaries: 503 538 8365 | www.newberg.k12.or.us Oregon City 503 657 4283 | boundaries: 503 657 2471 | www.orecity.k12.or.us Oregon Trail 503 668 5541 | www.oregonrailschools.k12.or.us Parkrose 503 408 2100 | www.parkrose.k12.or.us Portland 503 916 2000 | boundaries: 503 916 3262 | www.pps.k12.or.us Reynolds 503 . 661 . 7200 | boundaries: 503 . 492 . 4921 | www.reynolds.k12.or.us Sherwood 503 625 8100 | boundaries: 503 625 8107 | www.sherwood.k12.or.us Tigard / Tualatin 503 431 4000 | www.ttsd.k12.or.us West Linn / Wilsonville 503 . 673 . 7000 | boundaries: 503 . 673 . 7034 | www.wlwv.k12.or.us Woodburn 503 . 981 . 9555 | www.woodburn.k12.or.us
County G School Type Tuition Range A(%) E(#)C(#)M(#) U Washington County (OR) 1. Agia Sophia Academy PK-5 Montessori $6,600โ€“8,300 95 30 12 Yes 2. Catlin Gabel School PK-12 College Prep $27,190โ€“34,100 26 776 17 61 No 4. Forest Hills Lutheran Christian School PK-8 Lutheran $6,531โ€“6,875 98 197 18 No 5. German International School PK-5 Language Immersion, INTL Baccalaureate $15,110โ€“15,275 98 144 12 10 No 6. Holy Trinity Catholic School PK-8 Catholic $6,600โ€“8,400 285 30 Yes 7. Horizon Christian School PK-12 College Prep $4,650โ€“11,975 95 411 14 24 No 8 Islamic School of MET PK-12 Muslim College Prep $7,750โ€“8,250 90 206 16 5 Yes 9. Jesuit High School 9-12 College Prep $15,475 71 1274 23 86 No 11. Living Wisdom School PK-8 Education for Life $7,200โ€“9,100 95 38 12 No 12. Montessori School of Beaverton PK-6 Montessori $11,400โ€“12,000 80 120 1010 No 13. Northwest Chinese Academy PK-5 Language Immersion $17,250โ€“19,525 96 33 77 Yes 14. Oregon Episcopal School PK-12 College Prep $28,900โ€“35,000 43 858 16 72 Yes 15. Pilgrim Lutheran Christian School PK-8 Christian $6,850โ€“8,295 12512 5 Yes 16. St. Matthew Catholic School PK-8 Catholic $6,850โ€“8,600 99 184 21 16 Yes 17. St. Pius X Grade School K-8 Catholic $7,240โ€“9,430 85 492 3029 Yes 18. St. Stephenโ€˜s Academy PK-12 Classical Christian $5,160โ€“10,620 96 256 1610 Yes 19. Tualatin Valley Academy PK-12 Christian $4,980โ€“9,108 99 175 20 8 No Grade Range Acceptance Rate A 2014-2015 Enrollment E G
School Information
School Information County G School Type Tuition Range A(%) E(#)C(#) M(#) U Washington County (OR) 20. Valley Catholic Elementary School K-5 Catholic $8,520 337 13 Yes 21. Valley Catholic Middle School 6-8 College Prep $11,610 252 24 Yes 22. Valley Catholic High School 9-12 College Prep $14,685 370 28 No 23. Visitation Catholic School PK-8 Catholic $4,793โ€“5,868 98 165 20 8 Yes Multnomah County (OR) 1. A Renaissance School of Arts and Sciences K-8 Progressive $14,440 90 115 8 9 No 2. Central Catholic High School 9-12 College Prep, Catholic $15,378โ€“19,000 98 850 21 52 No 3. Childpeace Montessori School, Metro Middle School PK-8 Montessori $11,600โ€“17,300 6 254 26 10 No 4. Columbia Christian School PK-12 Christian, College Prep $4,000โ€“8,000 95 250 20 18 No 5. Edison High School 9-12 Learning Differences $24,650 50 102 9 14 No 6. French American International School PK-8 Language Immersion $18,296โ€“21,113 79 451 16 48 No 7. Grace Lutheran School PK-8 Lutheran $2,825โ€“6,695 95 88 22 1 No 8. Holy Redeemer Catholic School PK-8 Catholic $5,450โ€“7,775 95 304 27 11 Yes 9. Northwest Academy 6-12 College Prep $22,900โ€“24,400 75 240 15 26 No 10. Open Door Christian Academy PK-12 Christian $2,210โ€“3,940 50 285 25 5 No 11. Paci๏ฌc Crest Community School 6-12 College Prep $14,250 70 95 12 9 No Average Class Size C Required clothing or Uniforms? U Faculty with Masterโ€™s Degrees M
Grade Range Acceptance Rate A 2018-2019 Enrollment E G County G School Type Tuition Range A(%) E(#)C(#)M(#) U Multnomah County (OR) 12. Portland Christian Schools PK-12 College Prep $7,400โ€“11,335 94 547 42 30 No 13. Portland Jewish Academy PK-8 Jewish $19,415โ€“20,035 60 18818 No 14. St. Agatha Catholic School PK-8 Catholic $6,350โ€“7,930 60 18818 No 15. St. Clare School K-8 Catholic $6,600โ€“8,400 100 20726 Yes 16. St. John Fisher School K-8 Catholic $7,160โ€“9,335 89 200 24 17 Yes 17. St. Maryโ€™s Academy 9 - 12 College Prep $15,995 97 680 21 46 No 18. St. Rose School PK-8 Catholic $6,190โ€“7,840 94 224 25 12 Yes 19. Sunstone Montessori School PK-6 Montessori $11,900โ€“12,800 90 172 26 14 No 20. The International School PK-5 Language Immersion $19,040โ€“19,640 87387 14 24 No 21. The Madeleine School K-8 Catholic $6,065โ€“7,750 95 264 30 11 Yes 22. The Portland Montessori School PK-6 Montessori $10,725โ€“11,600 80 151 24 7 No 23. Trinity Lutheran Christian School K-8 Lutheran $7,300 1005210 24. Tucker Maxon School PK-5 Independent $8,200โ€“17,000 91 45 1212 No 25. Venn Academy K-8 Relationship BasedLearning $11,000 50-60 18 9 26. West Hills Christian School K-8 Christian $5,800โ€“8,875 90 308 18 11 No 27 West Hills Montessori PK-6 Montessori $11,495โ€“12,255 80 125 25 15 No
School Information
School Information Average Class Size C Required clothing or Uniforms? U Faculty with Masterโ€™s Degrees M County G School Type Tuition Range A(%) E(#)C(#)M(#) U Clackamas County (OR) 1. Arbor School of Arts and Sciences K-8 Progressive $14,400 29 189 21 24 No 2. Christa McAuliffe Academy School of Arts and Sciences K-12 College Prep $3,995โ€“8,795 100 380 10 12 No 3. La Salle Catholic College Prep 9-12 College Prep $14,750 85 703 19 45 No 4 Micha-el School PK-8 Waldorf $6,370โ€“8,340 95 110 18 9 No 5. North Clackamas Christian School PK-12 Christian $6,353โ€“7,860 95 263 1815 No 6. Park Academy 3-12 Learning differences $21,000 96 10 7. Portland Waldorf School PK-12 Waldorf $11,275โ€“19,595 325 20 8. Spring Mountain Christian Academy K-12 Christian $3,460$4,440 90 165 12 4 No 9. St. John the Apostle Catholic School PK-8 Catholic $6,499 98 190 18 9 Yes 10. The Marylhurst School PK-8 Progressive $11,000 80 85 18 7 No Clark County (WA) 1. Cascadia School 1 - 6 Montessori $9,960โ€“10,440 90 98 22 3 No 2. Cedar Tree Classical Christian School K - 12 College Prep $6,600โ€“6,960 75 213 16 8 Yes 3. The Gardner School of Arts & Sciences PK - 8 Independent $16,950โ€“18,550 37 10 4 Our Lady Of Lourdes Catholic School PK-8 Catholic $7,034โ€“8,975 98 232 22 10 Yes

Turn static files into dynamic content formats.

Createย aย flipbook