Skip to main content

Emileigh Coen 5040 SW Greenwood Cir Home Book

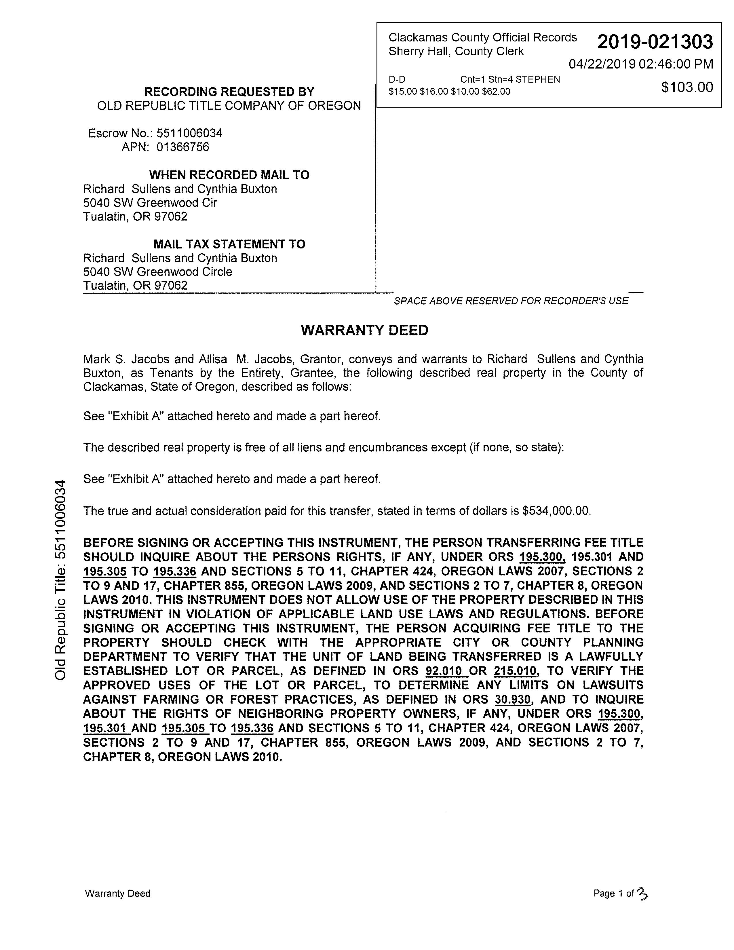
Page 1


Subject Property

County Name: Clackamas

APN / Parcel Number: 01366756

Current Ownership: Richard Sullens & Cynthia Buxton

Site Address: 5040 SW Greenwood Cir, Tualatin OR 97062

Mail Address: 5040 SW Greenwood Cir, Tualatin OR 97062

*Owner Occupied

Tract / Subdivision: / Foxhill East

Census Tract / Block: 022702 / 4015

Lot / Block: 56

Twn / Rng / Sec / Qtr: 02S / 01E / 19 / SE

Brief Legal Description: 2798 FOX HILL EAST LT 56

Sale Information

Sale Recording Date: 04/22/2019

Property Characteristics

School District: Tigard Watershed: Fanno

Property Details

Sentry Dynamics, Inc and its customers make no representations, warranties or conditions, express or implied, as to the accuracy or completeness of information contained in this report

Parcel ID: 01366756
Sentry Dynamics, Inc and its
report 03/05/2026 Prepared by:Tracy Shea

Parcel ID: 01366756

SiteAddress: 5040 SW Greenwood Cir

Sentry Dynamics, Inc and its customers make no representations, warranties or conditions, express or implied, as to the accuracy or completeness of information contained in this report

Parcel ID: 01366756

SiteAddress: 5040 SW Greenwood Cir

Sentry Dynamics, Inc and its customers make no representations, warranties or conditions, express or implied, as to the accuracy or completeness of information contained in this report

Property Account Summary

GeneralInformation

AlternateProperty# 21E19DC06700

PropertyDescription 2798FOXHILLEASTLT56

LastSalePrice $534,00000

LastSaleDate 04/24/2019

LastSaleExciseNumber 351708

Remarks

PropertyCharacteristics

Parents

ParcelNo. Seg/MergeNo.

No Parents Found

Children

ParcelNo. Seg/MergeNo.

Date DocumentNumber No Children Found

ActiveExemptions

No Exemptions Found

Events

Effective Date EntryDate-Time Type

04/22/2019 04/24/2019 16:21:00

Recording Processed

04/22/2019 04/24/2019 16:21:00 Taxpayer Changed

03/22/2012 04/04/2012 16:07:00

Recording Processed

03/22/2012 04/04/2012 16:07:00 Taxpayer Changed

06/19/2010 06/19/2010 13:28:00

06/19/2010 06/19/2010 12:59:00

06/19/2010 06/19/2010 12:18:00

Remarks

Property Transfer Filing No.: 351708, Warranty Deed, Recording No.: 2019021303 04/22/2019 by CINDYSIM

Property Transfer Filing No.: 351708 04/22/2019 by CINDYSIM

Property Transfer Filing No.: 227870, Warranty Deed, Recording No.: 2012017081 03/22/2012 by LISABAY

Property Transfer Filing No.: 227870 03/22/2012 by LISABAY

Annexation Completed For Property ANNEX COUNTY LIBRARY, ORD 2009-121 for 2010-Revise TCA Membership by DEENAMEH

Annexation Completed For Property ANNEX COUNTY LIBRARY-added to annexation by batch process 19,794. by DEENAMEH

Annexation Completed For Property ANNEX TIG/TUAL AQUATIC DIST, ORD 10-6-added to annexation by batch process 19,793. by DEENAMEH

07/01/1999 07/01/1999 12:00:00 Ownership at Conversion Warranty Deed: 89-26004, 6/1/89, $ 143000

(ReceiptDetail.aspx? receiptnumber=5883939)

5688894 (ReceiptDetail.aspx? receiptnumber=5688894)

(ReceiptDetail.aspx? receiptnumber=5507788)

00:00:00 5323308 (ReceiptDetail.aspx? receiptnumber=5323308)

11/15/2021 00:00:00

SalesHistory

5134528 (ReceiptDetail.aspx? receiptnumber=5134528)

Detailed Statement

Dueasof 03/05/2026

Age Distribution

Area Schools

Assigned School

Primary School: Bridgeport Elementary School

Middle School: Hazelbrook Middle School

High School: Tualatin High School

Primary School

Bridgeport Elementary School 1

Middle School

Hazelbrook Middle School 3

High School

Tualatin High School 2

Other School

1. Bridgeport Elementary School

Distance: 0.16 mile(s)

Address: 5505 Sw Borland Rd District: Tigard-Tualatin Sd 23J Type: 1-Regular school

Charter: No Magnet:

Title 1 Elig: 1-Yes

Male / Female: 228 / 254

2. Tualatin High School

Title 1: 5-Title I schoolwide school

Students: 482

Grade Levels: Kindergarten - 5th Grade

Distance: 2.49 mile(s)

Address: 22300 Sw Boones Ferry Rd District: Tigard-Tualatin Sd 23J Type: 1-Regular school

Charter: No Magnet:

Title 1 Elig: 2-No

Male / Female: 919 / 815

3. Hazelbrook Middle School

Students: 1,756

Title 1: 6-Not a Title I school Grade Levels: 9th Grade - 12th Grade

Distance: 3.24 mile(s)

Address: 11300 Sw Hazelbrook Rd District: Tigard-Tualatin Sd 23J Type: 1-Regular school

Charter: No Magnet:

Title 1 Elig: 2-No

Male / Female: 421 / 405

Title 1: 6-Not a Title I school

Students: 831

Grade Levels: 6th Grade - 8th Grade

Scan QR Code for CC&Rs

CC&Rs: Fox Hill East

STEPS IN A REAL ESTATE TRANSACTION

1

What is an Escrow?

THE LISTING AGREEMENT

The property owner (Seller) initiates a contract, or a listing agreement, with a licensed Real Estate Agent.

2

THE SALE

Property owner (Seller) enters into a purchase contract, typically referred to as an Earnest Money Agreement, with a Buyer.

3

ESCROW

As part of the purchase contract, Seller agrees to purchase a title insurance policy for the Buyer and both agree to close the transaction with a licensed escrow company. In Oregon, most title insurance companies also offer escrow services to facilitate a convenient ā€œone-stopā€ approach to closing real estate transactions.

An escrow is a neutral third party depository for legal documents and funds necessary to complete a real estate transaction. The escrow agent will disburse funds and record documents for the proper recipients according to their written instructions.

What title insurance and escrow costs are incurred in a real estate sale?

The fee for escrow services is based on the sales price of the property. This fee is typically split equally between the Seller and Buyer. However, Buyers should check with their lenders if financing is involved because some federally insured lending programs do not allow borrowers to pay this fee. The Seller typically pays for a standard owner’s policy of title insurance which names the Buyer as the insured. Charges for this policy are based on the sales price of the property. The Buyer typically pays for a lender’s policy of title insurance and any required endorsements if s/he is obtaining a new loan to purchase the property. Charges for this policy are based on the loan amount.

What services does an escrow agent perform on behalf of the Seller and Buyer?

• Upon opening of escrow, escrow agent will order a preliminary title report, which will be sent to all interested parties involved in the transaction. The report will detail the current ownership, liens and encumbrances of the property.

• Closing statements will be prepared for each party, showing all credits and debits. The escrow agent will schedule appointments for all parties to sign their final necessary documents, including any funds needed to be deposited, to complete the transaction.

• Signed loan documents are returned to the Lender, for final review and funding approval.

• Recordable documents are released to the County Clerk’s office for recording.

• Once recorded, all funds are disbursed per written instructions.

• Final title policies are issued to the insured parties.

FROM PENDING TO SOLD

ā„¢

ESCROW FLOW CHART

Receive and review Earnest Money Agreement and Broker’s instructions.

Open escrow. Order title report.

Determine financing.

Information gathering from Buyer and Seller.

Receive title report. Send copies to all parties in the transaction.

Resolve any title issues. Order any payoff demands.

Review file. Are conditions satisfied? Contingencies removed?

Prepare closing statement, closing instructions and transfer deed

Obtain signatures on all escrow and loan documents. Collect any funds due from Buyer and/or Seller

Record applicable documents with the County Recorder's office.

Close file. Prepare final statements. Disburse funds.

Forward final documents to all interested parties - Buyer, Seller, Real Estate Agents, Lender, Broker, Attorney, etc.

NEW LOAN

Notify Escrow with name of new lender and loan officer.

Send title report to lender.

Notification of final loan approval. Are repairs complete?

Deliver Seller & Buyer Closing Disclosures. Buyers’ consummation 3-6 days.

Loan documents delivered to escrow.

Return loan documents for final approval to fund and record.

Order loan funds.

Turn static files into dynamic content formats.

CreateĀ aĀ flipbook
Emileigh Coen 5040 SW Greenwood Cir Home Book by Lawyers Title Oregon - Issuu