Skip to main content

Digital Homebook - 7001 SW Bouchaine St

Page 1


Subject Property 7001 SW Bouchaine St, Wilsonville OR 97070

County Name: Clackamas

APN / Parcel Number: 05006719

Current Ownership: Bryan Gray

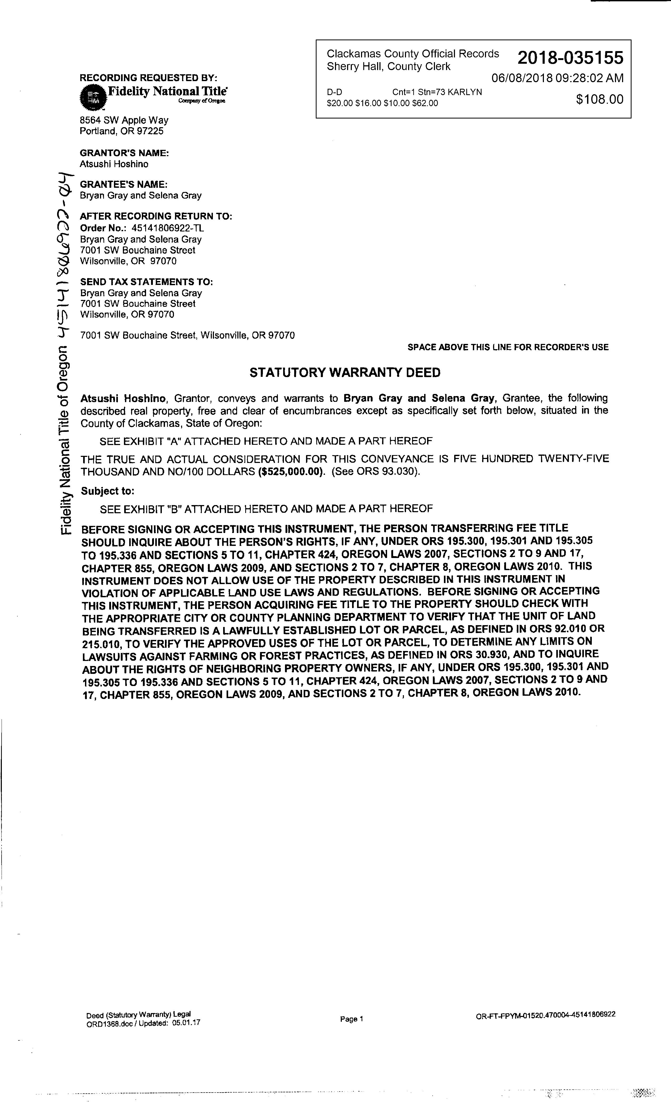
Site Address: 7001 SW Bouchaine St, Wilsonville OR 97070

Mail Address: 7001 SW Bouchaine St, Wilsonville OR 97070 *Owner Occupied

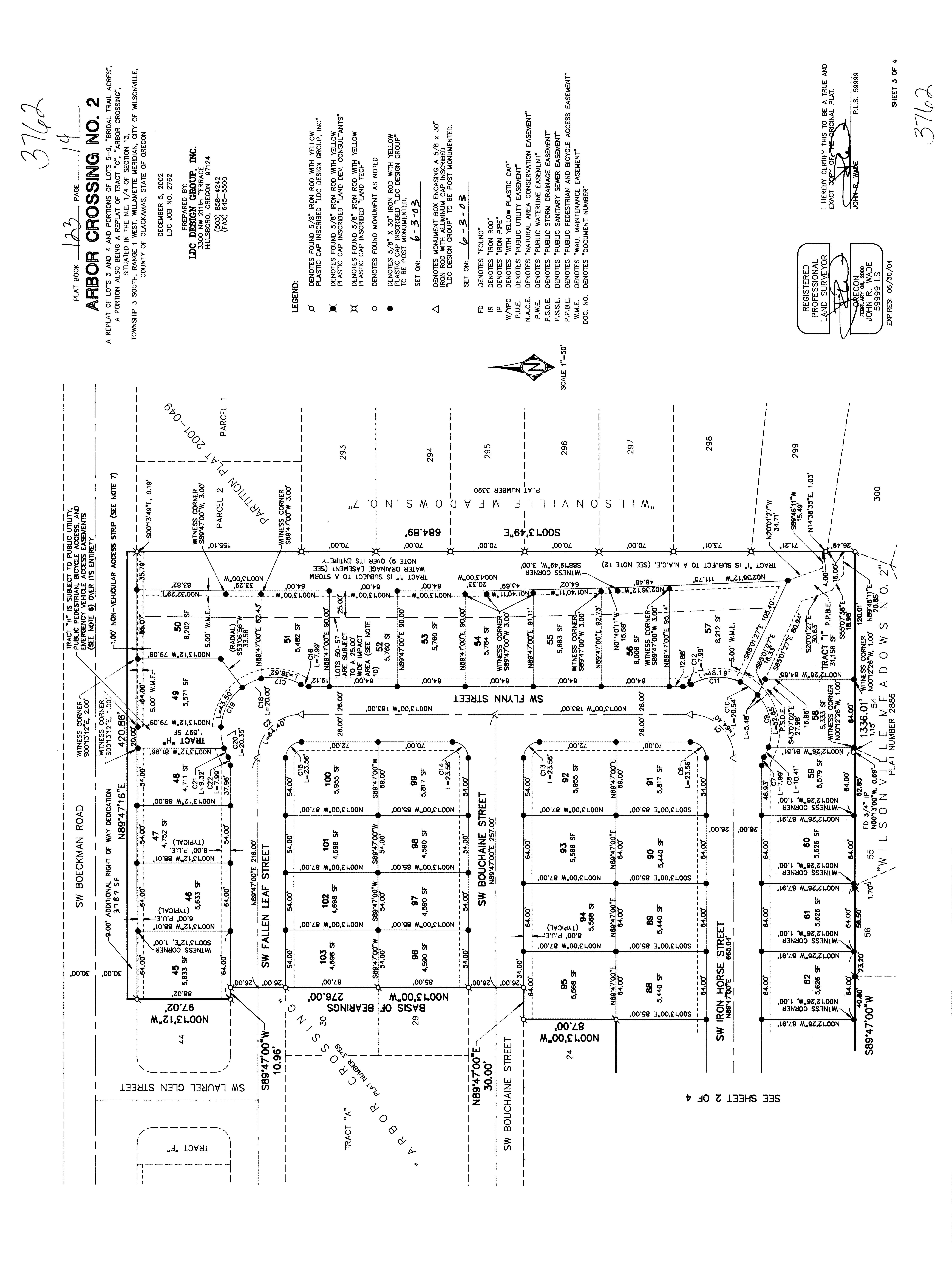
Tract / Subdivision: / Arbor Crossing 02

Census Tract / Block: 024401 / 2006

Lot / Block: 99

Twn / Rng / Sec / Qtr: 03S / 01W / 13 / NE Brief

Sale Information

Property Characteristics

Beds: 5

Baths: 3

Linn/Tigard-Tualatin

Property Details

APN: 05006719

Sentry Dynamics, Inc and its customers make no representations, warranties or conditions, express or implied, as to the accuracy or completeness of information contained in this report

Parcel ID: 05006719

Parcel ID: 05006719

SiteAddress: 7001 SW Bouchaine St

Sentry Dynamics, Inc and its customers make no representations, warranties or conditions, express or implied, as to the accuracy or completeness of information contained in this report

Parcel ID: 05006719

SiteAddress: 7001 SW Bouchaine St

Sentry Dynamics, Inc and its customers make no representations, warranties or conditions, express or implied, as to the accuracy or completeness of information contained in this report

Ownership Information

Owner Name: BRYAN GRAY SELENA GRAY

Address:

Property Information Report

Transaction History

This information has been furnished, without charge, in conformance with the guidelines approved by the State of Oregon Insurance Commissioner. The Insurance division cautions intermediaries that this service is designed to benefit the ultimate insureds. Indiscriminate use only benefiting intermediaries will not be permitted. Said Services may be discontinued. No liability is assumed for any errors in this report.

AllinformationprovidedbyValueCheck,Incisdeemedreliable,butnotguaranteed. Accuracyoftheinformationmayvarybycounty.

Copyright © 2025 ValueCheck, Inc.

Thismap/platisbeingfurnishedasanaidinlocatingthehereindescribedLandinrelationtoadjoiningstreets,naturalboundariesandotherland,andisnotasurveyofthe landdepicted.Excepttotheextentapolicyoftitleinsuranceisexpresslymodifiedbyendorsement,ifany,theCompanydoesnotinsuredimensions,distances,locationof easements,acreageorothermattersshownthereon.

Thismap/platisbeingfurnishedasanaidinlocatingthehereindescribedLandinrelationtoadjoiningstreets,naturalboundariesandotherland,andisnotasurveyofthe landdepicted.Excepttotheextentapolicyoftitleinsuranceisexpresslymodifiedbyendorsement,ifany,theCompanydoesnotinsuredimensions,distances,locationof easements,acreageorothermattersshownthereon.

Property Account Summary

GeneralInformation

AlternateProperty#

PropertyDescription SubdivisionSubdivisionARBORCROSSING3762#2LT99

LastSalePrice

LastSaleDate

LastSaleExciseNumber

PropertyCharacteristics

Parents

ParcelNo. Seg/MergeNo.

Children

ParcelNo. Seg/MergeNo.

No Children Found

ActiveExemptions No Exemptions Found

Events

06/08/2018 06/20/2018 17:04:00 Recording Processed Property Transfer Filing No.: 336194, Warranty Deed, Recording No.: 2018-035155 06/08/2018 by CINDYSIM

06/08/2018 06/20/2018 17:04:00 Taxpayer Changed Property Transfer Filing No.: 336194 06/08/2018 by CINDYSIM

01/13/2011 01/20/2011 15:46:00 Recording Processed Property Transfer Filing No.: 212122, Warranty Deed, Recording No.: 2011-003367 01/13/2011 by MANDISIL

01/13/2011 01/20/2011 15:46:00 Taxpayer Changed Property Transfer Filing No.: 212122 01/13/2011 by MANDISIL

10/08/2010 10/14/2010 12:38:00 Recording Processed Property Transfer Filing No.: 208508, Trustee Deed, Recording No.: 2010-063744 10/08/2010 by LAURIEB

10/08/2010 10/14/2010 12:38:00 Taxpayer Changed Property Transfer Filing No.: 208508 10/08/2010 by LAURIEB

06/11/2009 06/24/2009 10:29:00

Recording Processed Property Transfer Filing No.: 190584, Bargain & Sale, Recording No.: 2009-041330 06/11/2009 by CINDYSIM

06/11/2009 06/24/2009 10:29:00 Taxpayer Changed Property Transfer Filing No.: 190584 06/11/2009 by CINDYSIM

05/12/2008 05/29/2008 15:40:00 Recording Processed Property Transfer Filing No.: 176693, Bargain & Sale, Recording No.: 2008-034835 05/12/2008 by DORETTADUN

05/12/2008 05/29/2008 15:40:00 Taxpayer Changed Property Transfer Filing No.: 176693 05/12/2008 by DORETTADUN

08/11/2004 08/12/2004 15:48:00

Recording Processed Property Transfer Filing No.: 102418, Warranty Deed, Recording No.: 2004-073848 08/11/2004 by LAURIEB

08/11/2004 08/12/2004 15:48:00 Taxpayer Changed Property Transfer Filing No.: 102418 08/11/2004 by LAURIEB

03/12/2003 03/12/2003 15:31:00 Created by Seg/Merge Created by Seg/Merge SM030393, Effective: 01/02/2002 by LAURIEB

SalesHistory

5686198 (ReceiptDetail.aspx? receiptnumber=5686198)

5397165 (ReceiptDetail.aspx? receiptnumber=5397165)

(ReceiptDetail.aspx? receiptnumber=5229009)

5136720 (ReceiptDetail.aspx? receiptnumber=5136720)

(ReceiptDetail.aspx? receiptnumber=5008829)

4978935 (ReceiptDetail.aspx? receiptnumber=4978935)

4801050 (ReceiptDetail.aspx? receiptnumber=4801050)

06/24/2009 06/11/2009 2009041330 $0.00 190584

034835 $0.00 176693

08/12/2004 08/11/2004 2004073848 $406,280.00 102418

PropertyDetails

Detailed Statement

Households Breakdown

Age Distribution

Area Schools

Assigned School

Primary School: Boeckman Creek Primary School

Middle School: Thomas R Fowler Middle School

High School: Wilsonville High School

Primary School

Lowrie Primary School 1 3

Boeckman Creek Primary School

Middle School

Thomas R Fowler Middle School 4

High School

Wilsonville High School 2

Other School

1. Boeckman Creek Primary School

Distance: 0.55 mile(s)

Address: 6700 Sw Wilsonville Rd District: West Linn-Wilsonville Sd 3J Type: 1-Regular school

Charter: No

Title 1 Elig: 1-Yes

Male / Female: 242 / 226

2. Wilsonville High School

Magnet:

Students: 470

Title 1: 5-Title I schoolwide school Grade Levels: Prekindergarten5th Grade

Distance: 0.68 mile(s)

Address: 6800 Wilsonville Rd District: West Linn-Wilsonville Sd 3J Type: 1-Regular school

Charter: No Magnet:

Title 1 Elig: 2-No

Male / Female: 671 / 588

3. Lowrie Primary School

Students: 1,263

Title 1: 6-Not a Title I school Grade Levels: 9th Grade - 12th Grade

Distance: 1.92 mile(s)

Address: 28995 Sw Brown Rd District: West Linn-Wilsonville Sd 3J Type: 1-Regular school

Charter: No

Title 1 Elig: 1-Yes

Male / Female: 262 / 196

4. Thomas R Fowler Middle School

Students: 458

Title 1: 5-Title I schoolwide school Grade Levels: Prekindergarten5th Grade

Distance: 8 18 mile(s)

Address: 10865 Sw Walnut St District: Tigard-Tualatin Sd 23J Type: 1-Regular school

Charter: No Magnet:

Title 1 Elig: 2-No

Male / Female: 399 / 333

Title 1: 6-Not a Title I school

Students: 743

Grade Levels: 6th Grade - 8th Grade

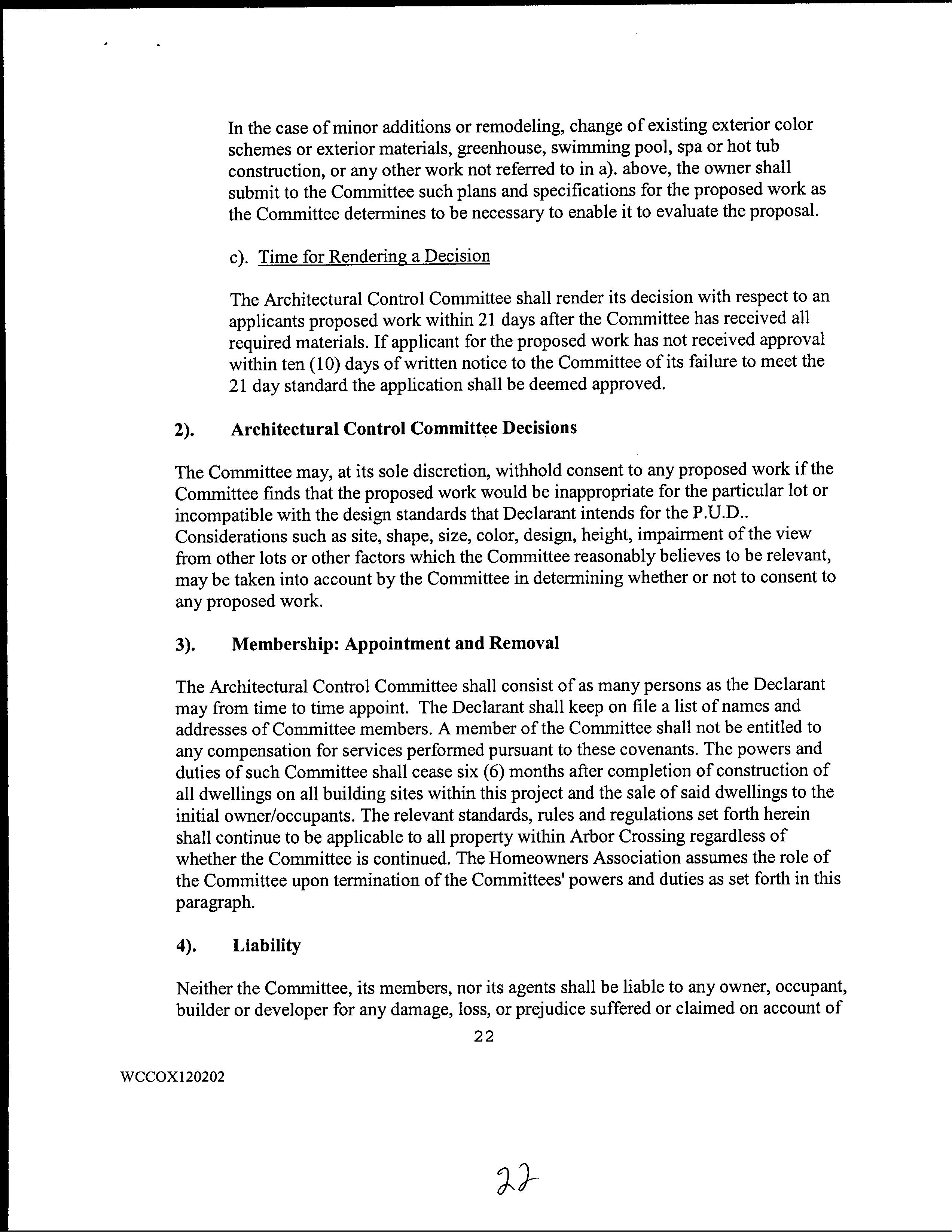
STEPS IN A REAL ESTATE TRANSACTION

1

What is an Escrow?

THE LISTING AGREEMENT

The property owner (Seller) initiates a contract, or a listing agreement, with a licensed Real Estate Agent.

2

THE SALE

Property owner (Seller) enters into a purchase contract, typically referred to as an Earnest Money Agreement, with a Buyer.

3

ESCROW

As part of the purchase contract, Seller agrees to purchase a title insurance policy for the Buyer and both agree to close the transaction with a licensed escrow company. In Oregon, most title insurance companies also offer escrow services to facilitate a convenient “one-stop” approach to closing real estate transactions.

An escrow is a neutral third party depository for legal documents and funds necessary to complete a real estate transaction. The escrow agent will disburse funds and record documents for the proper recipients according to their written instructions.

What title insurance and escrow costs are incurred in a real estate sale?

The fee for escrow services is based on the sales price of the property. This fee is typically split equally between the Seller and Buyer. However, Buyers should check with their lenders if financing is involved because some federally insured lending programs do not allow borrowers to pay this fee. The Seller typically pays for a standard owner’s policy of title insurance which names the Buyer as the insured. Charges for this policy are based on the sales price of the property. The Buyer typically pays for a lender’s policy of title insurance and any required endorsements if s/he is obtaining a new loan to purchase the property. Charges for this policy are based on the loan amount.

What services does an escrow agent perform on behalf of the Seller and Buyer?

• Upon opening of escrow, escrow agent will order a preliminary title report, which will be sent to all interested parties involved in the transaction. The report will detail the current ownership, liens and encumbrances of the property.

• Closing statements will be prepared for each party, showing all credits and debits. The escrow agent will schedule appointments for all parties to sign their final necessary documents, including any funds needed to be deposited, to complete the transaction.

• Signed loan documents are returned to the Lender, for final review and funding approval.

• Recordable documents are released to the County Clerk’s office for recording.

• Once recorded, all funds are disbursed per written instructions.

• Final title policies are issued to the insured parties.

FROM PENDING TO SOLD

ESCROW FLOW CHART

Receive and review Earnest Money Agreement and Broker’s instructions.

Open escrow. Order title report.

Determine financing.

Information gathering from Buyer and Seller.

Receive title report. Send copies to all parties in the transaction.

Resolve any title issues. Order any payoff demands.

Review file. Are conditions satisfied? Contingencies removed?

Prepare closing statement, closing instructions and transfer deed

Obtain signatures on all escrow and loan documents. Collect any funds due from Buyer and/or Seller

Record applicable documents with the County Recorder's office.

Close file. Prepare final statements. Disburse funds.

Forward final documents to all interested parties - Buyer, Seller, Real Estate Agents, Lender, Broker, Attorney, etc.

NEW LOAN

Notify Escrow with name of new lender and loan officer.

Send title report to lender.

Notification of final loan approval. Are repairs complete?

Deliver Seller & Buyer Closing Disclosures. Buyers’ consummation 3-6 days.

Loan documents delivered to escrow.

Return loan documents for final approval to fund and record.

Order loan funds.

This map/plat is being furnished as an aid in locating the herein described Land in relation to adjoining streets, natural boundaries and other land, and is not a survey of the land depicted. Except to the extent a policy of title insurance is expressly modified by endorsement, if any, the Company does not insure dimensions, distances, location of easements, acreage or other matters shown thereon.

This map/plat is being furnished as an aid in locating the herein described Land in relation to adjoining streets, natural boundaries and other land, and is not a survey of the land depicted. Except to the extent a policy of title insurance is expressly modified by endorsement, if any, the Company does not insure dimensions, distances, location of easements, acreage or other matters shown thereon.

This map/plat is being furnished as an aid in locating the herein described Land in relation to adjoining streets, natural boundaries and other land, and is not a survey of the land depicted. Except to the extent a policy of title insurance is expressly modified by endorsement, if any, the Company does not insure dimensions, distances, location of easements, acreage or other matters shown thereon.

This map/plat is being furnished as an aid in locating the herein described Land in relation to adjoining streets, natural boundaries and other land, and is not a survey of the land depicted. Except to the extent a policy of title insurance is expressly modified by endorsement, if any, the Company does not insure dimensions, distances, location of easements, acreage or other matters shown thereon.

Turn static files into dynamic content formats.

Create a flipbook