Skip to main content

Digital Homebook - 3961 SE Berkeley Way

Page 1


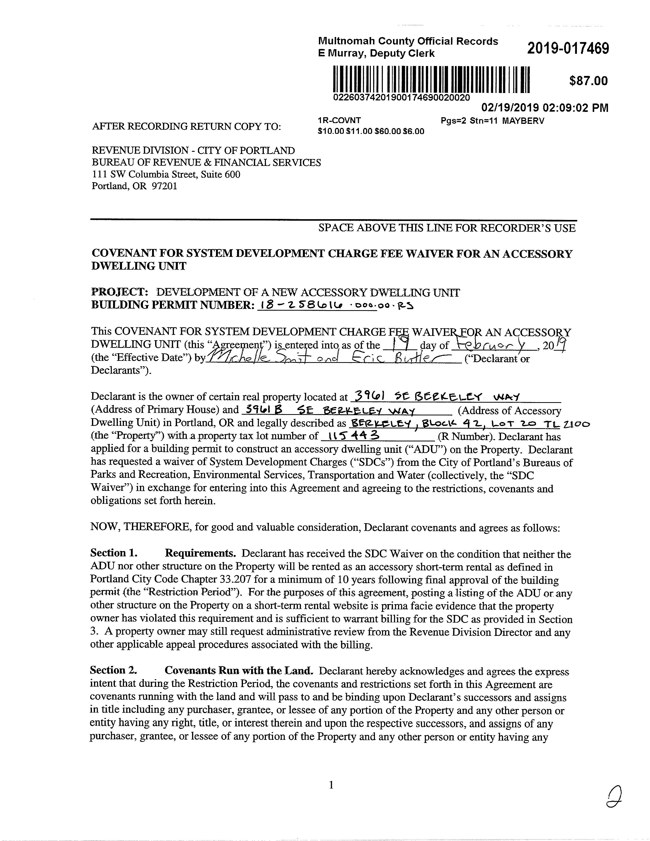
County Name: Multnomah

APN / Parcel Number: R115443

Current Ownership: James Caldwell II & Penelope Caldwell SiteAddress: 3961 SE Berkeley Way, Unit #A, Portland OR 97202 MailAddress: 3961 SE Berkeley Way, Portland OR 97202 *Owner Occupied

Tract / Subdivision: / Berkeley

Tract / Block: 000302 / 4001 Lot / Block: 20 / 42

ParcelID:R115443

SentryDynamics,Inc anditscustomersmakenorepresentations,warrantiesorconditions, expressorimplied,astotheaccuracyorcompletenessofinformationcontainedinthisreport

SentryDynamics,Inc anditscustomersmakenorepresentatons,warrantiesorconditions,expressorimplied,astotheaccuracyorcompletenessof nformationcontainedinthisreport 06/16/2025Preparedby:JasonDahlberg

ParcelID:R115443

SiteAddress:3961SEBerkeleyWay,Unit#A

SentryDynamics Inc anditscustomersmakenorepresentations warrantiesorconditions expressorimplied,astotheaccuracyorcompletenessofinformationcontainedinthisreport

ParcelID:R115443

SiteAddress:3961SEBerkeleyWay,Unit#A

SentryDynamics Inc anditscustomersmakenorepresentations warrantiesorconditions expressorimplied,astotheaccuracyorcompletenessofinformationcontainedinthisreport

GENERALINFORMATION

Property Status AActive

Property Type RPResidential

Legal Description BERKELEY,BLOCK42,LOT20TL2100

Alternate Account Number R070912950

Neighborhood RB3109 Eastmoreland Heights Map Number 1S1E24DD-02100

Property Use B-RESIDENTIALIMPROVED

LevyCodeArea 201

OWNERINFORMATION

Owner Name CALDWELL,JAMESLII &CALDWELL,PENELOPE

Mailing Address 3961SEBERKELEYWAYPORTLAND,OR 97202

RELATEDPROPERTIES

Split/Merge data prior to February 6, 2018 is not available online, please call Multnomah County Assessment & Taxation division.

Linked Properties -

Property Group ID -

Grouped Properties -

Split / Merge Date -

Split / Merge Accounts -

Split / Merge Message -

SMIT,MICHELLE&BUTLER,ERIC CALDWELL,JAMESLII &CALDWELL,PENELOPE 2021152398 10/11/2021 $1,550,000

WD OLTHOFF,EDWARDC&FRANCES S SMIT,MICHELLE&BUTLER,ERIC 2009159830 11/13/2009 $31,200 BSD OLTHOFF,EDWARDC&FRANCES S SMIT,MICHELLE&BUTLER,ERIC

11/13/2009 $31,200 INST OLTHOFF,EDWARDC&FRANCES S OLTHOFF,EDWARDC&FRANCESS BP04820744If

TAXSUMMARY

Eìective Date:

Assigned School

Area Schools

Primary School: Lewis Elementary School

Middle School: Sellwood Middle School

High School: Cleveland High School

Primary School

Lewis Elementary School 1

Middle School

Sellwood Middle School 2

High School Cleveland High School 3

Other School

Subject Property

1 Lewis Elementary School

Address: 4401 Se Evergreen St District: Portland Sd 1J

Charter: No Magnet:

Title 1 Elig: 2-No

Male / Female: 156 / 138

2. Sellwood Middle School

Title 1: 6-Not a Title I school

Address: 8300 Se 15ThAve District: Portland Sd 1J

Charter: No Magnet:

Title 1 Elig: 2-No

Title 1: 6-Not a Title I school

Type: 1-Regular school

Distance: 0 73 mile(s)

Students: 297

Grade Levels: Kindergarten - 5th Grade

Distance: 1.40 mile(s)

Type: 1-Regular school

Students: 567

Grade Levels: 6th Grade - 8th Grade

Male / Female: 294 / 262 Distance: 2.55 mile(s)

3. Cleveland High School

Address: 3400 Se 26ThAve District: Portland Sd 1J

Charter: No Magnet:

Title 1 Elig: 2-No

Male / Female: 772 / 663

Title 1: 6-Not a Title I school

Type: 1-Regular school

Students: 1,472

Grade Levels: 9th Grade - 12th Grade

This map/plat is being furnished as an aid in locating the herein described Land in relation to adjoining streets, natural boundaries and other land, and is not a survey of the land depicted. Except to the extent a policy of title insurance is expressly modified by endorsement, if any, the Company does not insure dimensions, distances, location of easements, acreage or other matters shown thereon.

STEPS IN A REAL ESTATE TRANSACTION

1

What is an Escrow?

THE LISTING AGREEMENT

The property owner (Seller) initiates a contract, or a listing agreement, with a licensed Real Estate Agent.

2

THE SALE

Property owner (Seller) enters into a purchase contract, typically referred to as an Earnest Money Agreement, with a Buyer.

3

ESCROW

As part of the purchase contract, Seller agrees to purchase a title insurance policy for the Buyer and both agree to close the transaction with a licensed escrow company. In Oregon, most title insurance companies also offer escrow services to facilitate a convenient “one-stop” approach to closing real estate transactions.

An escrow is a neutral third party depository for legal documents and funds necessary to complete a real estate transaction. The escrow agent will disburse funds and record documents for the proper recipients according to their written instructions.

What title insurance and escrow costs are incurred in a real estate sale?

The fee for escrow services is based on the sales price of the property. This fee is typically split equally between the Seller and Buyer. However, Buyers should check with their lenders if financing is involved because some federally insured lending programs do not allow borrowers to pay this fee. The Seller typically pays for a standard owner’s policy of title insurance which names the Buyer as the insured. Charges for this policy are based on the sales price of the property. The Buyer typically pays for a lender’s policy of title insurance and any required endorsements if s/he is obtaining a new loan to purchase the property. Charges for this policy are based on the loan amount.

What services does an escrow agent perform on behalf of the Seller and Buyer?

• Upon opening of escrow, escrow agent will order a preliminary title report, which will be sent to all interested parties involved in the transaction. The report will detail the current ownership, liens and encumbrances of the property.

• Closing statements will be prepared for each party, showing all credits and debits. The escrow agent will schedule appointments for all parties to sign their final necessary documents, including any funds needed to be deposited, to complete the transaction.

• Signed loan documents are returned to the Lender, for final review and funding approval.

• Recordable documents are released to the County Clerk’s office for recording.

• Once recorded, all funds are disbursed per written instructions.

• Final title policies are issued to the insured parties.

FROM PENDING TO SOLD

ESCROW FLOW CHART

Receive and review Earnest Money Agreement and Broker’s instructions.

Open escrow. Order title report.

Determine financing.

Information gathering from Buyer and Seller.

Receive title report. Send copies to all parties in the transaction.

Resolve any title issues. Order any payoff demands.

Review file. Are conditions satisfied? Contingencies removed?

Prepare closing statement, closing instructions and transfer deed

Obtain signatures on all escrow and loan documents. Collect any funds due from Buyer and/or Seller

Record applicable documents with the County Recorder's office.

Close file. Prepare final statements. Disburse funds.

Forward final documents to all interested parties - Buyer, Seller, Real Estate Agents, Lender, Broker, Attorney, etc.

NEW LOAN

Notify Escrow with name of new lender and loan officer.

Send title report to lender.

Notification of final loan approval. Are repairs complete?

Deliver Seller & Buyer Closing Disclosures. Buyers’ consummation 3-6 days.

Loan documents delivered to escrow.

Return loan documents for final approval to fund and record.

Order loan funds.

Turn static files into dynamic content formats.

Create a flipbook