Skip to main content

Digital Homebook - 13797 SE 141st Avenue

Page 1


County Name: Clackamas APN / Parcel Number: 01611660 Current Ownership: Kessler, Delta L Trustee

Property Characteristics

SentryDynamics,Inc anditscustomersmakenorepresentations,warranties orconditions,expressorimplied,astotheaccuracyorcompletenessof informationcontainedinthisreport

ParcelID:01611660

ParcelID:01611660

SiteAddress:13797SE141stAve

SentryDynamics,Inc anditscustomersmakenorepresentations,warranties orconditions,expressorimplied,astotheaccuracyorcompletenessof informationcontainedinthisreport

ParcelID:01611660

SiteAddress:13797SE141stAve

SentryDynamics,Inc anditscustomersmakenorepresentations,warranties orconditions,expressorimplied,astotheaccuracyorcompletenessof informationcontainedinthisreport

Property Account Summary

GeneralInformation

AlternateProperty#

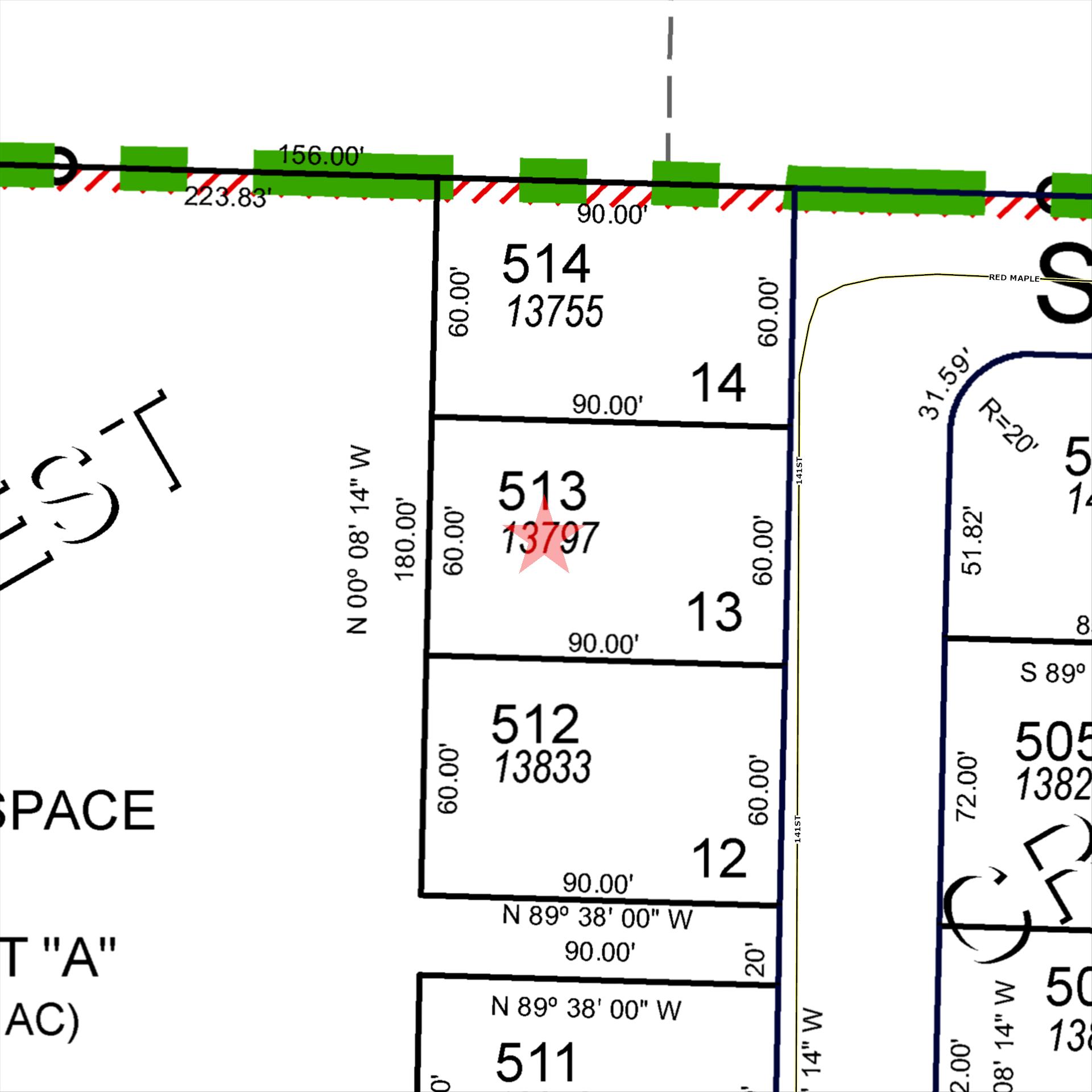
PropertyDescription 3114FORESTCREEKESTLT13

LastSalePrice

LastSaleDate

LastSaleExciseNumber

Remarks

PropertyCharacteristics

Parents

ParcelNo. Seg/MergeNo. Status FromDate ToDate Continued DocumentNumber

No Parents Found

Children

ParcelNo. Seg/MergeNo. Status FromDate ToDate DocumentNumber

No Children Found

ActiveExemptions

No Exemptions Found

Events

Effective Date EntryDate-Time Type Remarks

06/21/2017 06/29/2017 15:00:00 Recording Processed Property Transfer Filing No.: 318268, Warranty Deed, Recording No.: 2017041591 06/21/2017 by PAULATUL

06/21/2017 06/29/2017 15:00:00 Taxpayer Changed Property Transfer Filing No.: 318268 06/21/2017 by PAULATUL

09/09/2000 09/09/2000 11:34:00 Annexation Completed For Property CANCEL INTO 12-73 for 2000-Revise TCA Membership

05/09/2000 05/09/2000 16:45:00 Value Modification Type: Board of Property Tax Appeal (BOPTA), Status: Approved, Tax Year: 1999

07/01/1999 07/01/1999 12:00:00 Ownership at Conversion Warranty Deed: 95-04711, 1/1/95, $ 169000

TaxBalance

InstallmentsPayable

No Records Found

InstallmentsPayable/PaidforTaxYear(Enter4-digitYear,thenClick-Here): 2024

(ReceiptDetail.aspx? receiptnumber=5616492)

(ReceiptDetail.aspx? receiptnumber=5499723)

(ReceiptDetail.aspx? receiptnumber=5229426)

(ReceiptDetail.aspx? receiptnumber=5196406)

5152421 (ReceiptDetail.aspx? receiptnumber=5152421)

(ReceiptDetail.aspx? receiptnumber=4939887)

SalesHistory

PropertyDetails

Detailed Statement

Households Breakdown

Age Distribution

Assigned School

Schools

Primary School: Oregon Trail Elementary School

Middle School: Rock Creek Middle School

High School: Clackamas High School

Primary School

Oregon Trail Elementary School 1

Middle School

Rock Creek Middle School 2

High School

Clackamas High School 3

Other School

1. Oregon Trail Elementary School

Distance: 0.54 mile(s)

Address: 13895 Se 152Nd Dr District: North Clackamas Sd 12 Type: 1-Regular school

Charter: No

Title 1 Elig: 2-No

2. Rock Creek Middle School

Students: 463

Title 1: 6-Not a Title I school Grade Levels: Kindergarten - 5th Grade

Male / Female: 247 / 215 Distance: 0.57 mile(s)

Address: 14331 Se 132Nd Ave District: North Clackamas Sd 12 Type: 1-Regular school

Charter: No

Title 1 Elig: 2-No

Male / Female: 462 / 432

3 Clackamas High School

Students: 902

Title 1: 6-Not a Title I school Grade Levels: 6th Grade - 8th Grade

Distance: 0 82 mile(s)

Address: 14486 Se 122Nd Ave District: North Clackamas Sd 12 Type: 1-Regular school

Charter: No

Title 1 Elig: 2-No

Male / Female: 627 / 578

Students: 1,224

Title 1: 6-Not a Title I school Grade Levels: 9th Grade - 12th Grade

This map/plat is being furnished as an aid in locating the herein described Land in relation to adjoining streets, natural boundaries and other land, and is not a survey of the land depicted. Except to the extent a policy of title insurance is expressly modified by endorsement, if any, the Company does not insure dimensions, distances, location of easements, acreage or other matters shown thereon.

This map/plat is being furnished as an aid in locating the herein described Land in relation to adjoining streets, natural boundaries and other land, and is not a survey of the land depicted. Except to the extent a policy of title insurance is expressly modified by endorsement, if any, the Company does not insure dimensions, distances, location of easements, acreage or other matters shown thereon.

STEPS IN A REAL ESTATE TRANSACTION

1

What is an Escrow?

THE LISTING AGREEMENT

The property owner (Seller) initiates a contract, or a listing agreement, with a licensed Real Estate Agent.

2

THE SALE

Property owner (Seller) enters into a purchase contract, typically referred to as an Earnest Money Agreement, with a Buyer.

3

ESCROW

As part of the purchase contract, Seller agrees to purchase a title insurance policy for the Buyer and both agree to close the transaction with a licensed escrow company. In Oregon, most title insurance companies also offer escrow services to facilitate a convenient “one-stop” approach to closing real estate transactions.

An escrow is a neutral third party depository for legal documents and funds necessary to complete a real estate transaction. The escrow agent will disburse funds and record documents for the proper recipients according to their written instructions.

What title insurance and escrow costs are incurred in a real estate sale?

The fee for escrow services is based on the sales price of the property. This fee is typically split equally between the Seller and Buyer. However, Buyers should check with their lenders if financing is involved because some federally insured lending programs do not allow borrowers to pay this fee. The Seller typically pays for a standard owner’s policy of title insurance which names the Buyer as the insured. Charges for this policy are based on the sales price of the property. The Buyer typically pays for a lender’s policy of title insurance and any required endorsements if s/he is obtaining a new loan to purchase the property. Charges for this policy are based on the loan amount.

What services does an escrow agent perform on behalf of the Seller and Buyer?

• Upon opening of escrow, escrow agent will order a preliminary title report, which will be sent to all interested parties involved in the transaction. The report will detail the current ownership, liens and encumbrances of the property.

• Closing statements will be prepared for each party, showing all credits and debits. The escrow agent will schedule appointments for all parties to sign their final necessary documents, including any funds needed to be deposited, to complete the transaction.

• Signed loan documents are returned to the Lender, for final review and funding approval.

• Recordable documents are released to the County Clerk’s office for recording.

• Once recorded, all funds are disbursed per written instructions.

• Final title policies are issued to the insured parties.

FROM PENDING TO SOLD

ESCROW FLOW CHART

Receive and review Earnest Money Agreement and Broker’s instructions.

Open escrow. Order title report.

Determine financing.

Information gathering from Buyer and Seller.

Receive title report. Send copies to all parties in the transaction.

Resolve any title issues. Order any payoff demands.

Review file. Are conditions satisfied? Contingencies removed?

Prepare closing statement, closing instructions and transfer deed

Obtain signatures on all escrow and loan documents. Collect any funds due from Buyer and/or Seller

Record applicable documents with the County Recorder's office.

Close file. Prepare final statements. Disburse funds.

Forward final documents to all interested parties - Buyer, Seller, Real Estate Agents, Lender, Broker, Attorney, etc.

NEW LOAN

Notify Escrow with name of new lender and loan officer.

Send title report to lender.

Notification of final loan approval. Are repairs complete?

Deliver Seller & Buyer Closing Disclosures. Buyers’ consummation 3-6 days.

Loan documents delivered to escrow.

Return loan documents for final approval to fund and record.

Order loan funds.

Turn static files into dynamic content formats.

Create a flipbook