Skip to main content

Digital Homebook - 13657 SE Mountain Crest Drive

Page 1


Subject Property

County Name: Clackamas

APN / Parcel Number: 05016528

Current Ownership: William & Sindy Robinson

Site Address: 13657 SE Mountain Crest Dr, Happy Valley OR 97086

Mail Address: 13657 SE Mountain Crest Dr, Happy Valley OR 97086

*Owner Occupied

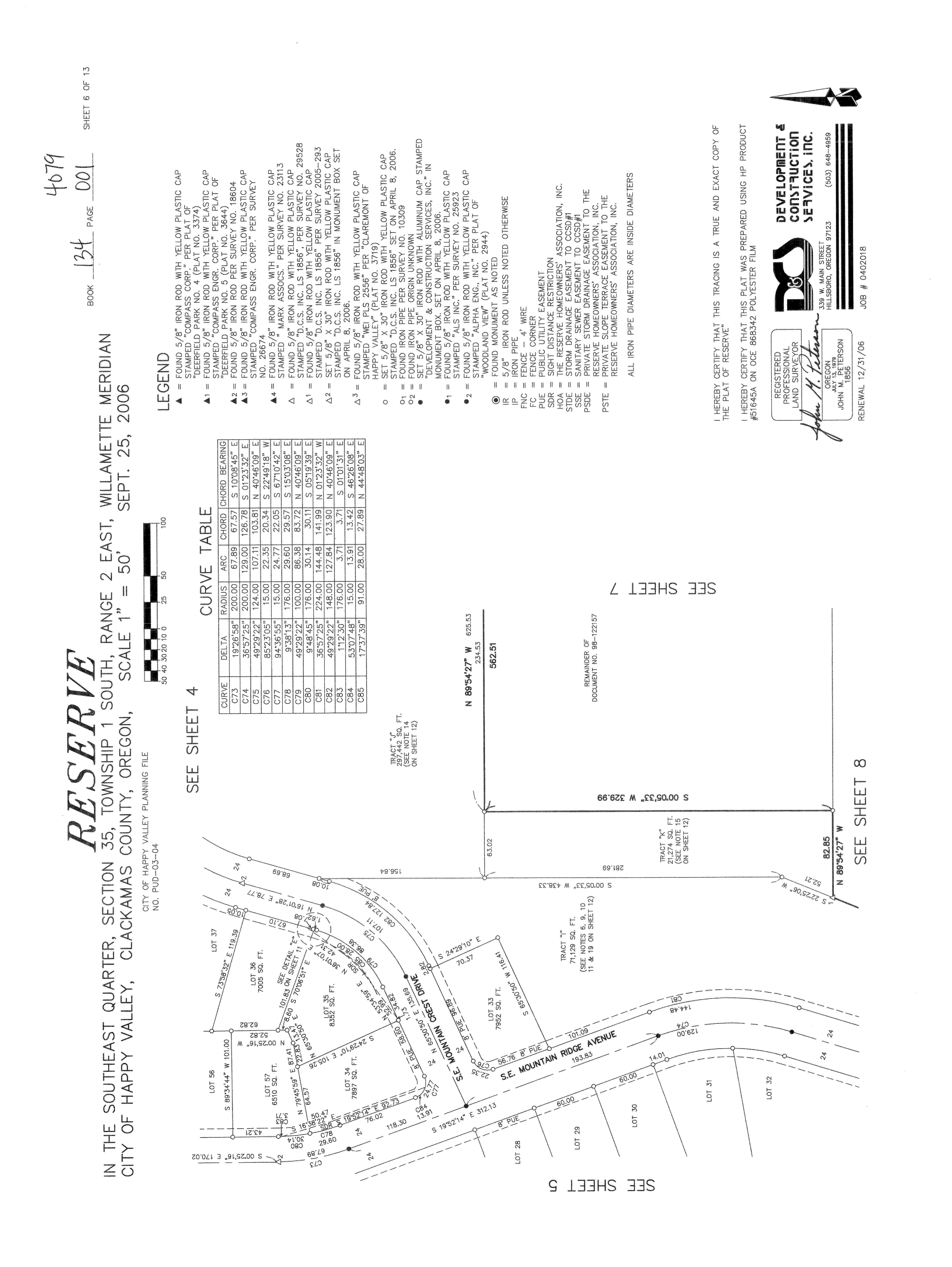
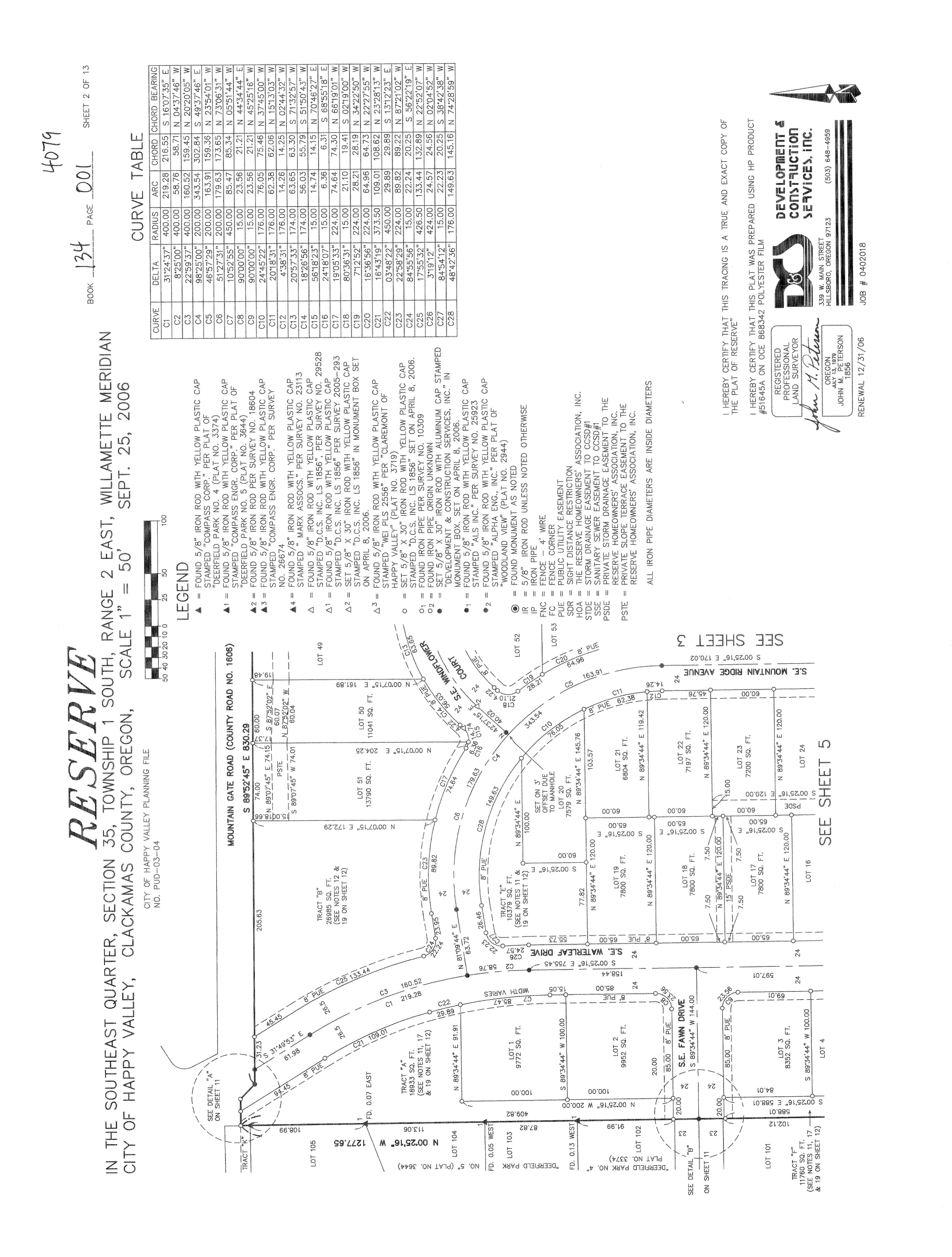
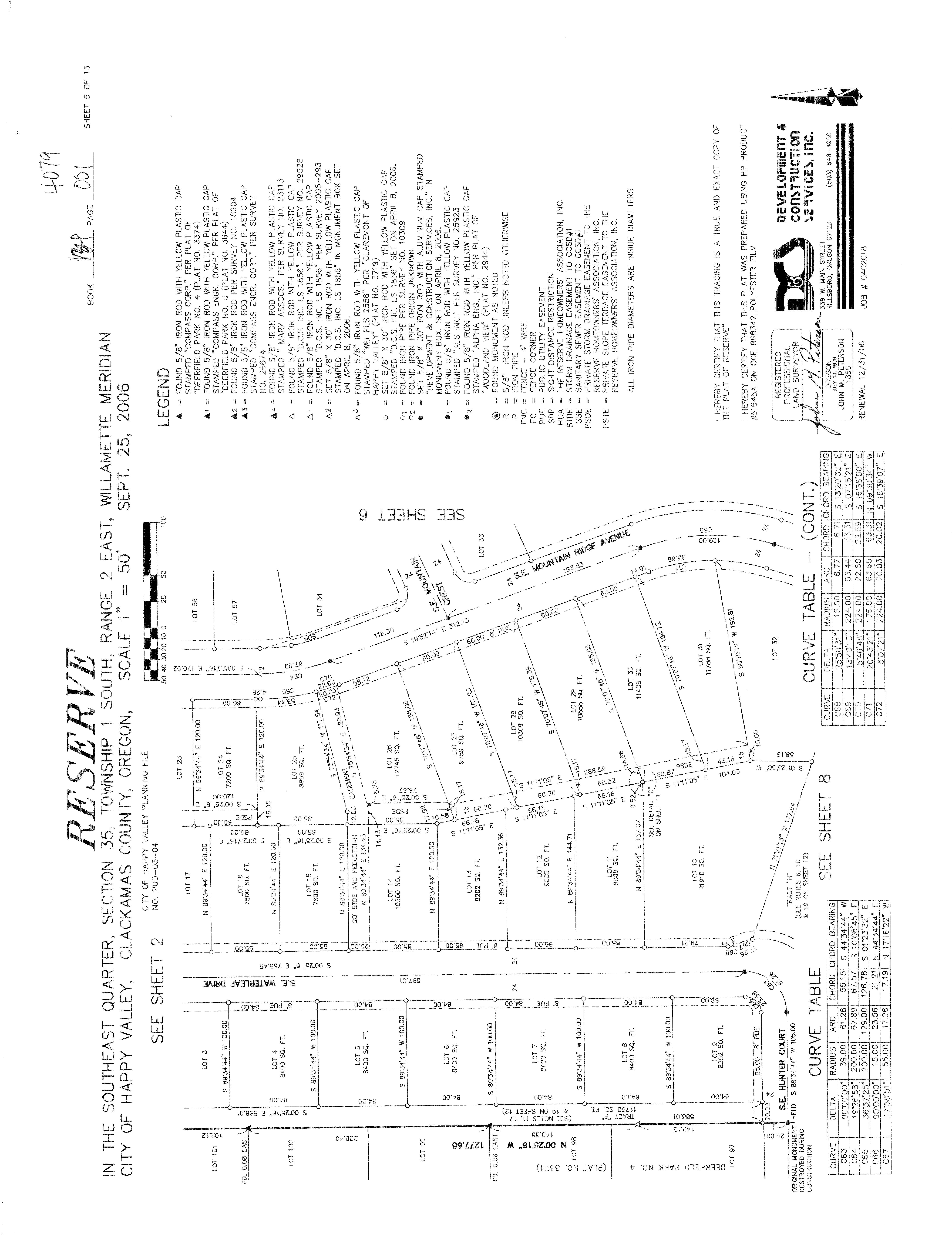
Tract / Subdivision: / Reserve

Census Tract / Block: 022207 / 3010

Lot / Block: 41

Twn / Rng / Sec / Qtr: 01S / 02E / 35 / SE

Brief Legal Description: Subdivision RESERVE 4079 LT 41

Sale Information

Property Characteristics

Beds: 4

Baths: 3

School District: North Clackamas

Watershed: Johnson Creek-Willamette River Assessment & Tax Info

Property Details

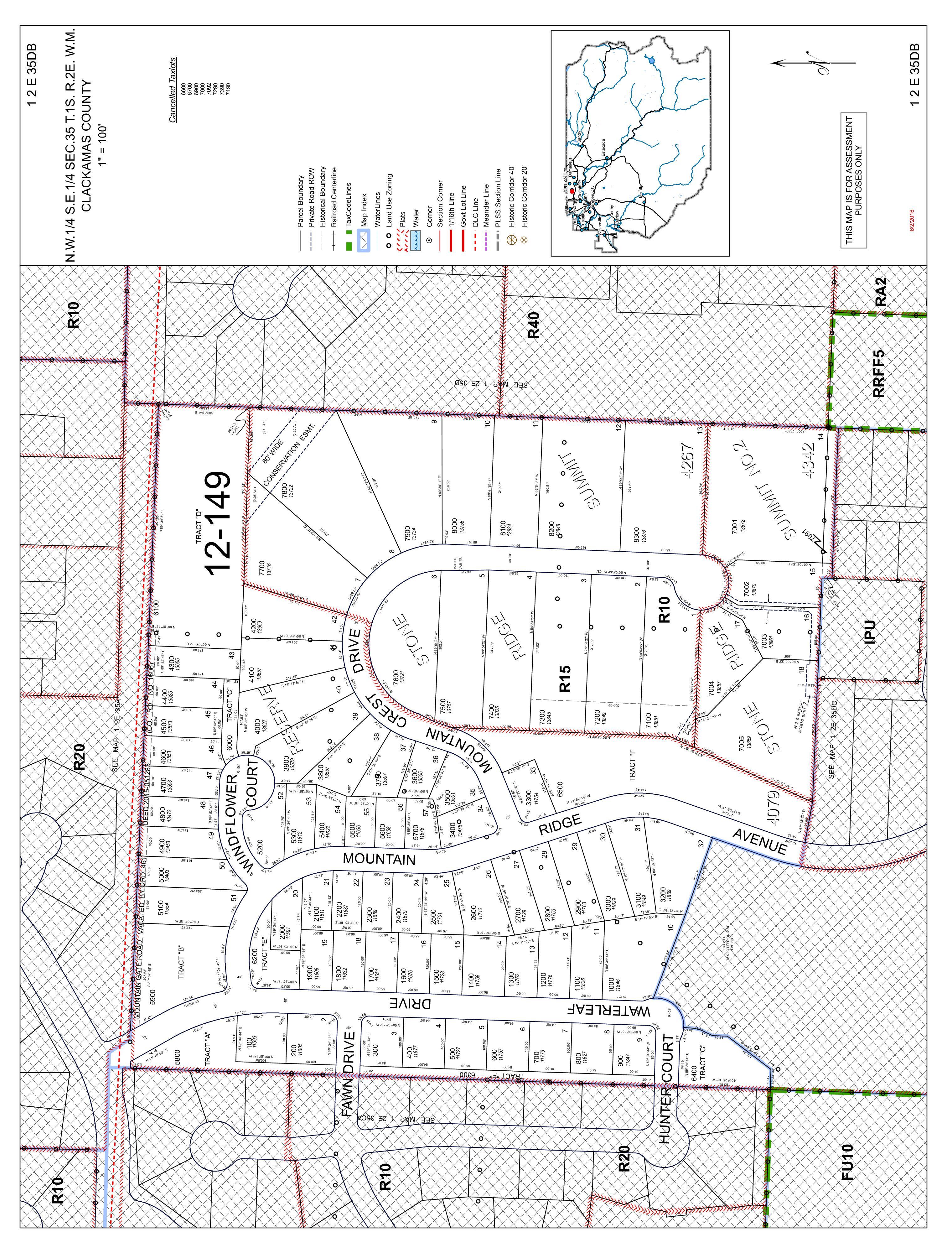
Thismap/platisbeingfurnishedasanaidinlocatingthehereindescribedLandinrelationtoadjoiningstreets,naturalboundariesandotherland,andisnotasurveyofthe landdepicted.Excepttotheextentapolicyoftitleinsuranceisexpresslymodifiedbyendorsement,ifany,theCompanydoesnotinsuredimensions,distances,locationof easements,acreageorothermattersshownthereon.

Thismap/platisbeingfurnishedasanaidinlocatingthehereindescribedLandinrelationtoadjoiningstreets,naturalboundariesandotherland,andisnotasurveyofthe landdepicted.Excepttotheextentapolicyoftitleinsuranceisexpresslymodifiedbyendorsement,ifany,theCompanydoesnotinsuredimensions,distances,locationof easements,acreageorothermattersshownthereon.

Parcel ID: 05016528

SiteAddress: 13657 SE Mountain Crest Dr

Sentry Dynamics, Inc and its customers make no representations, warranties or conditions, express or implied, as to the accuracy or completeness of information contained in this report

Property Account Summary

GeneralInformation

AlternateProperty# 12E35DB04100

PropertyDescription

LastSalePrice

SubdivisionRESERVE4079LT41

$390,15000

LastSaleDate 12/18/2012

LastSaleExciseNumber 239818

PropertyCategory Land&/orBuildings Status Active,LocallyAssessed

TaxCodeArea 012-149

PropertyCharacteristics

Parents

ParcelNo. Seg/MergeNo.

Children

ParcelNo. Seg/Merge

No Children Found

ActiveExemptions No Exemptions Found

Events Effective Date

09/17/2014 09/17/2014 15:34:00 The situs address has changed by HEIDIHAR

12/19/2012 12/19/2012 13:59:00 The situs address has changed by JEANETTE

12/14/2012 12/18/2012 16:49:00 Recording Processed Property Transfer Filing No.: 239818, Bargain & Sale, Recording No.: 2012082669 12/14/2012 by ROMANSIE

12/14/2012 12/18/2012 16:49:00 Taxpayer Changed Property Transfer Filing No.: 239818 12/14/2012 by ROMANSIE

12/15/2011 12/21/2011 09:31:00

Recording Processed

Property Transfer Filing No.: 224187, Warranty Deed, Recording No.: 2011072570 12/15/2011 by LAURIEB

12/15/2011 12/21/2011 09:31:00 Taxpayer Changed Property Transfer Filing No.: 224187 12/15/2011 by LAURIEB

04/21/2011 04/21/2011 15:13:00 Tax Bill Recalculation BOPTA Order for 2010 performed by MAURAJEN TRC 2010-1348

04/21/2011 04/21/2011 15:12:00 Value Modification

Type: Board of Property Tax Appeal (BOPTA), Status: Approved, Tax Year: 2010 by MAURAJEN TRC 2010-1348

03/25/2008 04/02/2008 10:09:00 Taxpayer Changed Property Transfer Filing No.: 174770 03/25/2008 by ROMANSIE

03/25/2008 04/02/2008 10:09:00 Recording Processed Property Transfer Filing No.: 174770, Warranty Deed, Recording No.: 2008021121 03/25/2008 by ROMANSIE

03/05/2007 03/05/2007 12:29:00 Created by Seg/Merge Created by Seg/Merge SM070287, Effective: 01/02/2006 by LAURIEB

Balance

Receipts

11/13/2023 00:00:00

11/09/2022 00:00:00

5488702 (ReceiptDetail.aspx? receiptnumber=5488702)

5233754 (ReceiptDetail.aspx? receiptnumber=5233754)

(ReceiptDetail.aspx? receiptnumber=5048867)

00:00:00 4922271 (ReceiptDetail.aspx? receiptnumber=4922271)

SalesHistory

WILLIAM J & SINDY L No 12/08/2011 12/21/2011 12/15/2011 2011072570 $0.00 224187 X

021121

PropertyDetails

Detailed Statement

SubjectPropertyLocation

PropertyAddress 13657SEMOUNTAINCRESTDR

City,State&Zip HAPPYVALLEY,OR97086-6744

County CLACKAMASCOUNTY

MailingAddress 13657SEMOUNTAINCRESTDR,HAPPYVALLEY,OR97086-6744

Address

Owner STURGILLELIZABETH&MICHAEL

ReportDate:01/09/2025

OrderID:R170436524

ofCars

Owner OLSOFSKYMATTHEW&MICHELLE

Bathrooms/Partial 4 Garage/No ofCars

NearbyNeighbor#6

Address 13625SEWINDFLOWERLN,HAPPYVALLEY,OR97086

Owner SOUVANNASANEVANNAPHONE;NESTAJULIO

Bedrooms 6 YearBuilt

3,865 Bathrooms/Partial 4 Garage/No.ofCars

NearbyNeighbor#7

Address 13557SEMOUNTAINCRESTDR,HAPPYVALLEY,OR97086

Owner MCDANIELFREDGLENNII;MCDANIELMARYKUHLMANN

Bedrooms 5 YearBuilt

Bathrooms/Partial 3/1 Garage/No.ofCars

NearbyNeighbor#8

Address 13573SEWINDFLOWERLN,HAPPYVALLEY,OR97086

Owner NEALRICHARDTODD&CRYSTALGALERO

Bedrooms 5 YearBuilt

Bathrooms/Partial 4 Garage/No ofCars

LotSize(SF/AC)

3,988

NearbyNeighbor#9

Address 13721SEMOUNTAINCRESTDR,HAPPYVALLEY,OR97086

Owner MAGSTADTEMILYJ&NATHAN

Bedrooms 4 YearBuilt

Bathrooms/Partial 3 Garage/No ofCars

NearbyNeighbor#10

Address 13553SEWINDFLOWERLN,HAPPYVALLEY,OR97086

Owner PIERCEBOBBYRAY&HOLLYROSE

Bedrooms 4 YearBuilt

3/1 Garage/No ofCars

NearbyNeighbor#11

Address 13507SEMOUNTAINCRESTDR,HAPPYVALLEY,OR97086

Owner CHENXUANXUAN

Bedrooms 5 YearBuilt

Bathrooms/Partial 4 Garage/No ofCars

NearbyNeighbor#12

Address 11612SEMOUNTAINRIDGEAVE,HAPPYVALLEY,OR97086

Owner RODRIGUEZPETERPAUL&TERRILYNN

NearbyNeighbor#13

Address 13503SEWINDFLOWERCT,HAPPYVALLEY,OR97086

Owner LEREANNATV(LE)ANGIECH;(LE)RANDYQ;(LE)RONALDDUY

Disclaimer

THISREPORTISINTENDEDFORUSEBYYOUASANENDUSERSOLELYFORYOURINTERNALBUSINESSPURPOSES.YOUSHALLNOTRESELL,RELICENSEORREDISTRIBUTETHISREPORT,INWHOLEORIN PART THEUSEOFTHISREPORTBYANYPARTYOTHERTHANYOURSELFFORANYPURPOSEISSTRICTLYPROHIBITED.THISREPORTISPROVIDEDAS-ISWITHOUTWARRANTYOFANYKIND,EITHEREXPRESS ORIMPLIED,INCLUDINGWITHOUTLIMITATION,ANYWARRANTIESOFMERCHANTABILITY,NON-INFRINGEMENT,ORFITNESSFORAPARTICULARPURPOSE.INTERCONTINENTALEXCHANGE,INC.(ICE)SHALL HAVENOLIABILITYINCONTRACT TORT,OROTHERWISEARISINGOUTOFORINCONNECTIONWITHTHISREPORT.ICEDOESNOTREPRESENTORWARRANTTHATTHEREPORTISCOMPLETEORFREEFROM ERROR.YOUUNDERSTANDANDACKNOWLEDGETHATTHEAVAILABILITY,COMPLETENESSANDFORMATOFTHEDATAELEMENTSMAYVARYSUBSTANTIALLYFROMAREA-TO-AREA.THEINFORMATION CONTAINEDINTHISREPORTISDERIVEDFROMPUBLICLYAVAILABLESOURCESFORTHESUBJECTPROPERTYORCOMPARABLEPROPERTIESLISTEDABOVEANDHASNOTBEENINDEPENDENTLYVERIFIEDBY ICETHROUGHANYFORMOFINSPECTIONORREVIEW THISREPORTDOESNOTCONSTITUTEANAPPRAISALOFANYKINDANDSHOULDNOTBEUSEDINLIEUOFANINSPECTIONOFASUBJECTPROPERTYBYA LICENSEDORCERTIFIEDAPPRAISER.THISREPORTCONTAINSNOREPRESENTATIONS,OPINIONSORWARRANTIESREGARDINGTHESUBJECTPROPERTY'SACTUALMARKETABILITY,CONDITION(STRUCTURAL OROTHERWISE),ENVIRONMENTAL,HAZARDORFLOODZONESTATUS,ANDANYREFERENCETOENVIRONMENTAL,HAZARDORFLOODZONESTATUSISFORINFORMATIONALPURPOSESONLYANDSHALLBE INDEPENDENTLYVERIFIEDBYTHEENDUSER.THEINFORMATIONCONTAINEDHEREINSHALLNOTBEUTILIZED:(A)TOREVIEWORESTABLISHACONSUMER'SCREDITAND/ORINSURANCEELIGIBILITYORFOR ANYOTHERPURPOSETHATWOULDCAUSETHEREPORTTOCONSTITUTEA"CONSUMERREPORT"UNDERTHEFAIRCREDITREPORTINGACT,15U.S.C.§1681ETSEQ.;OR(B)INCONNECTIONWITH CERTIFICATIONORAUTHENTICATIONOFREALESTATEOWNERSHIPAND/ORREALESTATETRANSACTIONS.ADDITIONALTERMSANDCONDITIONSSHALLAPPLYPURSUANTTOTHEAPPLICABLEAGREEMENT

Copyright CONFIDENTIAL,PROPRIETARYAND/ORTRADESECRET TMSM®TRADEMARK(S)OFINTERCONTINENTALEXCHANGE,INC.ANDITSSUBSIDIARIESANDAFFILIATES. ©2025INTERCONTINENTALEXCHANGE,INC.ALLRIGHTSRESERVED.

1. Spring Mountain Elementary School

Distance: 0.52 mile(s)

Address: 11645 Se Masa Ln District: North Clackamas Sd 12 Type: 1-Regular school

Charter: No

Title 1 Elig: 2-No

Male / Female: 180 / 189

2. Rock Creek Middle School

Title 1: 6-Not a Title I school

Students: 369

Levels: Kindergarten - 5th Grade

Address: 14331 Se 132Nd Ave District: North Clackamas Sd 12 Type: 1-Regular school

Charter: No Magnet: Students: 902

Title 1 Elig: 2-No

Male / Female: 462 / 432

3. Clackamas High School

Title 1: 6-Not a Title I school

Levels: 6th Grade - 8th Grade

1.49 mile(s)

Address: 14486 Se 122Nd Ave District: North Clackamas Sd 12 Type: 1-Regular school

Charter: No

Title 1 Elig: 2-No

Male / Female: 627 / 578

1,224

Title 1: 6-Not a Title I school Grade Levels: 9th Grade - 12th Grade

Area Schools

Assigned School

Primary School: Spring Mountain Elementary School

Middle School: Rock Creek Middle School

High School: Clackamas High School

Primary School

Spring Mountain Elementary School 1

Middle School

Rock Creek Middle School 2

High School

Clackamas High School 3

Other School

This map/plat is being furnished as an aid in locating the herein described Land in relation to adjoining streets, natural boundaries and other land, and is not a survey of the land depicted. Except to the extent a policy of title insurance is expressly modified by endorsement, if any, the Company does not insure dimensions, distances, location of easements, acreage or other matters shown thereon.

This map/plat is being furnished as an aid in locating the herein described Land in relation to adjoining streets, natural boundaries and other land, and is not a survey of the land depicted. Except to the extent a policy of title insurance is expressly modified by endorsement, if any, the Company does not insure dimensions, distances, location of easements, acreage or other matters shown thereon.

This map/plat is being furnished as an aid in locating the herein described Land in relation to adjoining streets, natural boundaries and other land, and is not a survey of the land depicted. Except to the extent a policy of title insurance is expressly modified by endorsement, if any, the Company does not insure dimensions, distances, location of easements, acreage or other matters shown thereon.

This map/plat is being furnished as an aid in locating the herein described Land in relation to adjoining streets, natural boundaries and other land, and is not a survey of the land depicted. Except to the extent a policy of title insurance is expressly modified by endorsement, if any, the Company does not insure dimensions, distances, location of easements, acreage or other matters shown thereon.

This map/plat is being furnished as an aid in locating the herein described Land in relation to adjoining streets, natural boundaries and other land, and is not a survey of the land depicted. Except to the extent a policy of title insurance is expressly modified by endorsement, if any, the Company does not insure dimensions, distances, location of easements, acreage or other matters shown thereon.

This map/plat is being furnished as an aid in locating the herein described Land in relation to adjoining streets, natural boundaries and other land, and is not a survey of the land depicted. Except to the extent a policy of title insurance is expressly modified by endorsement, if any, the Company does not insure dimensions, distances, location of easements, acreage or other matters shown thereon.

This map/plat is being furnished as an aid in locating the herein described Land in relation to adjoining streets, natural boundaries and other land, and is not a survey of the land depicted. Except to the extent a policy of title insurance is expressly modified by endorsement, if any, the Company does not insure dimensions, distances, location of easements, acreage or other matters shown thereon.

This map/plat is being furnished as an aid in locating the herein described Land in relation to adjoining streets, natural boundaries and other land, and is not a survey of the land depicted. Except to the extent a policy of title insurance is expressly modified by endorsement, if any, the Company does not insure dimensions, distances, location of easements, acreage or other matters shown thereon.

This map/plat is being furnished as an aid in locating the herein described Land in relation to adjoining streets, natural boundaries and other land, and is not a survey of the land depicted. Except to the extent a policy of title insurance is expressly modified by endorsement, if any, the Company does not insure dimensions, distances, location of easements, acreage or other matters shown thereon.

This map/plat is being furnished as an aid in locating the herein described Land in relation to adjoining streets, natural boundaries and other land, and is not a survey of the land depicted. Except to the extent a policy of title insurance is expressly modified by endorsement, if any, the Company does not insure dimensions, distances, location of easements, acreage or other matters shown thereon.

This map/plat is being furnished as an aid in locating the herein described Land in relation to adjoining streets, natural boundaries and other land, and is not a survey of the land depicted. Except to the extent a policy of title insurance is expressly modified by endorsement, if any, the Company does not insure dimensions, distances, location of easements, acreage or other matters shown thereon.

This map/plat is being furnished as an aid in locating the herein described Land in relation to adjoining streets, natural boundaries and other land, and is not a survey of the land depicted. Except to the extent a policy of title insurance is expressly modified by endorsement, if any, the Company does not insure dimensions, distances, location of easements, acreage or other matters shown thereon.

This map/plat is being furnished as an aid in locating the herein described Land in relation to adjoining streets, natural boundaries and other land, and is not a survey of the land depicted. Except to the extent a policy of title insurance is expressly modified by endorsement, if any, the Company does not insure dimensions, distances, location of easements, acreage or other matters shown thereon.

Turn static files into dynamic content formats.

Create a flipbook