Skip to main content

Digital Homebook - 125 Oswego Summit

Page 1


County Name: Multnomah

APN / Parcel Number: R231341

Current Ownership: Holly Cone

Site Address: 125 Oswego Summit, Lake Oswego OR 97035 Mail Address: 125 Oswego Summit, Lake Oswego OR 97035 *Owner Occupied

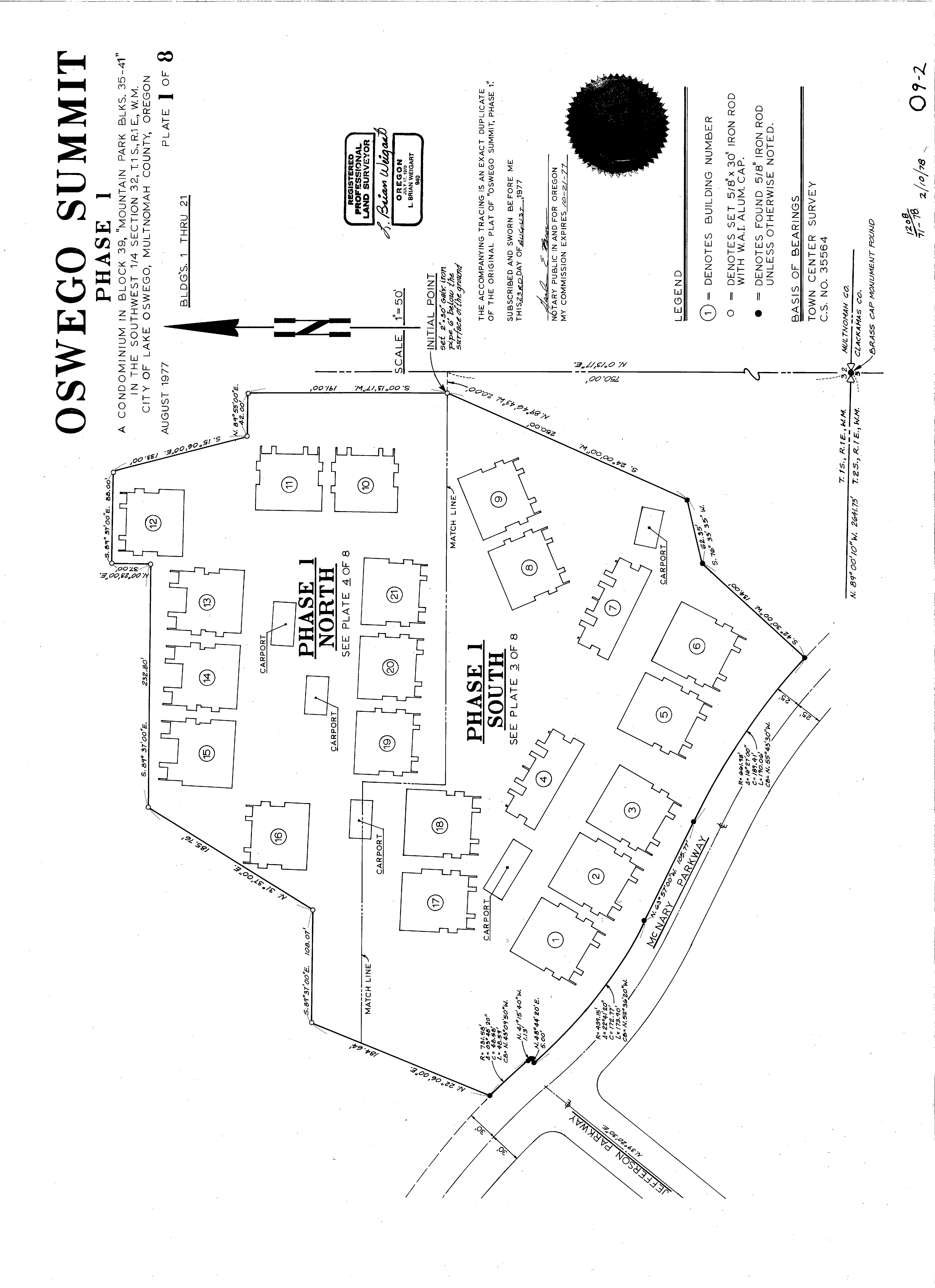
Tract / Subdivision: / Oswego Summit Condominium

Census Tract / Block: 006404 / 1017 Lot / Block: 125 Twn / Rng / Sec / Qtr: 01S / 01E / 32 / SW Brief Legal Description: OSWEGO

Sale Information

Property Characteristics

SubjectProperty 125OswegoSummit,LakeOswegoOR97035
APN:R231341

This map/plat is being furnished as an aid in locating the herein described land in relation to adjoining streets natural boundaries and other land, and is not a survey of the land depicted Except to the extent a policy of title insurance is expressly modied by endorsement, if any, the company does not insure dimensions, distances, location of easements acreage or other matters shown thereon

ParcelID:R231341

SiteAddress:125OswegoSummit

SentryDynamics,Inc anditscustomersmakenorepresentations,warranties orconditions,expressorimplied,astotheaccuracyorcompletenessof informationcontainedinthisreport

ParcelID:R231341

SiteAddress:125OswegoSummit

SentryDynamics,Inc anditscustomersmakenorepresentations,warranties orconditions,expressorimplied,astotheaccuracyorcompletenessof informationcontainedinthisreport

R231341

GENERALINFORMATION

Property Status AActive

Property Type RPResidential

Legal Description OSWEGOSUMMITCONDOMINIUM,BLDG-18 LOT125

Alternate Account Number R633202520

Neighborhood RW622LakeOswego

Map Number 1S1E32CD-90125

Property Use W-RESIDENTIALCONDO

LevyCodeArea 281

OWNERINFORMATION

Owner Name CONE,HOLLYN

Mailing Address 125OSWEGOSUMMITLAKEOSWEGO,OR 97035

RELATEDPROPERTIES

Split/Merge data prior to February 6, 2018 is not available online, please call Multnomah County Assessment & Taxation division.

Linked Properties R231215

Property Group ID -

Grouped Properties -

Split / Merge Date -

Split / Merge Accounts -

Split / Merge MessageIMPROVEMENTS ? Expand/Collapse All

ASSESSEDVALUES

TAXSUMMARY

Eìective Date: If applicable, the described property is receiving special valuation based upon its use. Additional rollback taxes which may become due based on the provisions of the special valuation are not indicated in this listing.

Age Distribution

Assigned School

Schools

Primary School: Stephenson Elementary School

Middle School: Jackson Middle School

High School: Ida B. Wells-Barnett High School

Primary School

Stephenson Elementary School 1

Middle School

Jackson Middle School 2

High School

Riverdale High School Ida B Wells-Barnett High School 3 4

Other School

1. Stephenson Elementary School

Distance: 0.64 mile(s)

Address: 2627 Sw Stephenson St District: Portland Sd 1J Type: 1-Regular school

Charter: No

Title 1 Elig: 2-No

Male / Female: 144 / 163

2. Jackson Middle School

Title 1: 6-Not a Title I school

Students: 307

0.92 mile(s)

Address: 10625 Sw 35Th District: Portland Sd 1J Type: 1-Regular school

Charter: No Magnet:

Title 1 Elig: 2-No

3 Riverdale High School

Students: 791

Title 1: 6-Not a Title I school Grade Levels: 6th Grade - 8th Grade

Male / Female: 411 / 373 Distance: 1 96 mile(s)

Address: 9727 Sw Terwilliger Blvd District: Riverdale Sd 51J Type: 1-Regular school

Charter: No

Title 1 Elig: 2-No

Male / Female: 110 / 73

4. Ida B. Wells-Barnett High School

Title 1: 6-Not a Title I school

Address: 1151 Sw Vermont St District: Portland Sd 1J

Charter: No

Title 1 Elig: 2-No

Male / Female: 821 / 702

Title 1: 6-Not a Title I school

Students: 185

Levels: 9th Grade - 12th Grade

Distance: 3 15 mile(s)

Type: 1-Regular school

1,556

Levels: 9th Grade - 12th Grade

This map/plat is being furnished as an aid in locating the herein described Land in relation to adjoining streets, natural boundaries and other land, and is not a survey of the land depicted. Except to the extent a policy of title insurance is expressly modified by endorsement, if any, the Company does not insure dimensions, distances, location of easements, acreage or other matters shown thereon.

This map/plat is being furnished as an aid in locating the herein described Land in relation to adjoining streets, natural boundaries and other land, and is not a survey of the land depicted. Except to the extent a policy of title insurance is expressly modified by endorsement, if any, the Company does not insure dimensions, distances, location of easements, acreage or other matters shown thereon.

This map/plat is being furnished as an aid in locating the herein described Land in relation to adjoining streets, natural boundaries and other land, and is not a survey of the land depicted. Except to the extent a policy of title insurance is expressly modified by endorsement, if any, the Company does not insure dimensions, distances, location of easements, acreage or other matters shown thereon.

This map/plat is being furnished as an aid in locating the herein described Land in relation to adjoining streets, natural boundaries and other land, and is not a survey of the land depicted. Except to the extent a policy of title insurance is expressly modified by endorsement, if any, the Company does not insure dimensions, distances, location of easements, acreage or other matters shown thereon.

This map/plat is being furnished as an aid in locating the herein described Land in relation to adjoining streets, natural boundaries and other land, and is not a survey of the land depicted. Except to the extent a policy of title insurance is expressly modified by endorsement, if any, the Company does not insure dimensions, distances, location of easements, acreage or other matters shown thereon.

This map/plat is being furnished as an aid in locating the herein described Land in relation to adjoining streets, natural boundaries and other land, and is not a survey of the land depicted. Except to the extent a policy of title insurance is expressly modified by endorsement, if any, the Company does not insure dimensions, distances, location of easements, acreage or other matters shown thereon.

This map/plat is being furnished as an aid in locating the herein described Land in relation to adjoining streets, natural boundaries and other land, and is not a survey of the land depicted. Except to the extent a policy of title insurance is expressly modified by endorsement, if any, the Company does not insure dimensions, distances, location of easements, acreage or other matters shown thereon.

This map/plat is being furnished as an aid in locating the herein described Land in relation to adjoining streets, natural boundaries and other land, and is not a survey of the land depicted. Except to the extent a policy of title insurance is expressly modified by endorsement, if any, the Company does not insure dimensions, distances, location of easements, acreage or other matters shown thereon.

STEPS IN A REAL ESTATE TRANSACTION

1

What is an Escrow?

THE LISTING AGREEMENT

The property owner (Seller) initiates a contract, or a listing agreement, with a licensed Real Estate Agent.

2

THE SALE

Property owner (Seller) enters into a purchase contract, typically referred to as an Earnest Money Agreement, with a Buyer.

3

ESCROW

As part of the purchase contract, Seller agrees to purchase a title insurance policy for the Buyer and both agree to close the transaction with a licensed escrow company. In Oregon, most title insurance companies also offer escrow services to facilitate a convenient “one-stop” approach to closing real estate transactions.

An escrow is a neutral third party depository for legal documents and funds necessary to complete a real estate transaction. The escrow agent will disburse funds and record documents for the proper recipients according to their written instructions.

What title insurance and escrow costs are incurred in a real estate sale?

The fee for escrow services is based on the sales price of the property. This fee is typically split equally between the Seller and Buyer. However, Buyers should check with their lenders if financing is involved because some federally insured lending programs do not allow borrowers to pay this fee. The Seller typically pays for a standard owner’s policy of title insurance which names the Buyer as the insured. Charges for this policy are based on the sales price of the property. The Buyer typically pays for a lender’s policy of title insurance and any required endorsements if s/he is obtaining a new loan to purchase the property. Charges for this policy are based on the loan amount.

What services does an escrow agent perform on behalf of the Seller and Buyer?

• Upon opening of escrow, escrow agent will order a preliminary title report, which will be sent to all interested parties involved in the transaction. The report will detail the current ownership, liens and encumbrances of the property.

• Closing statements will be prepared for each party, showing all credits and debits. The escrow agent will schedule appointments for all parties to sign their final necessary documents, including any funds needed to be deposited, to complete the transaction.

• Signed loan documents are returned to the Lender, for final review and funding approval.

• Recordable documents are released to the County Clerk’s office for recording.

• Once recorded, all funds are disbursed per written instructions.

• Final title policies are issued to the insured parties.

FROM PENDING TO SOLD

ESCROW FLOW CHART

Receive and review Earnest Money Agreement and Broker’s instructions.

Open escrow. Order title report.

Determine financing.

Information gathering from Buyer and Seller.

Receive title report. Send copies to all parties in the transaction.

Resolve any title issues. Order any payoff demands.

Review file. Are conditions satisfied? Contingencies removed?

Prepare closing statement, closing instructions and transfer deed

Obtain signatures on all escrow and loan documents. Collect any funds due from Buyer and/or Seller

Record applicable documents with the County Recorder's office.

Close file. Prepare final statements. Disburse funds.

Forward final documents to all interested parties - Buyer, Seller, Real Estate Agents, Lender, Broker, Attorney, etc.

NEW LOAN

Notify Escrow with name of new lender and loan officer.

Send title report to lender.

Notification of final loan approval. Are repairs complete?

Deliver Seller & Buyer Closing Disclosures. Buyers’ consummation 3-6 days.

Loan documents delivered to escrow.

Return loan documents for final approval to fund and record.

Order loan funds.

Turn static files into dynamic content formats.

Create a flipbook
Digital Homebook - 125 Oswego Summit by Lawyers Title Oregon - Issuu