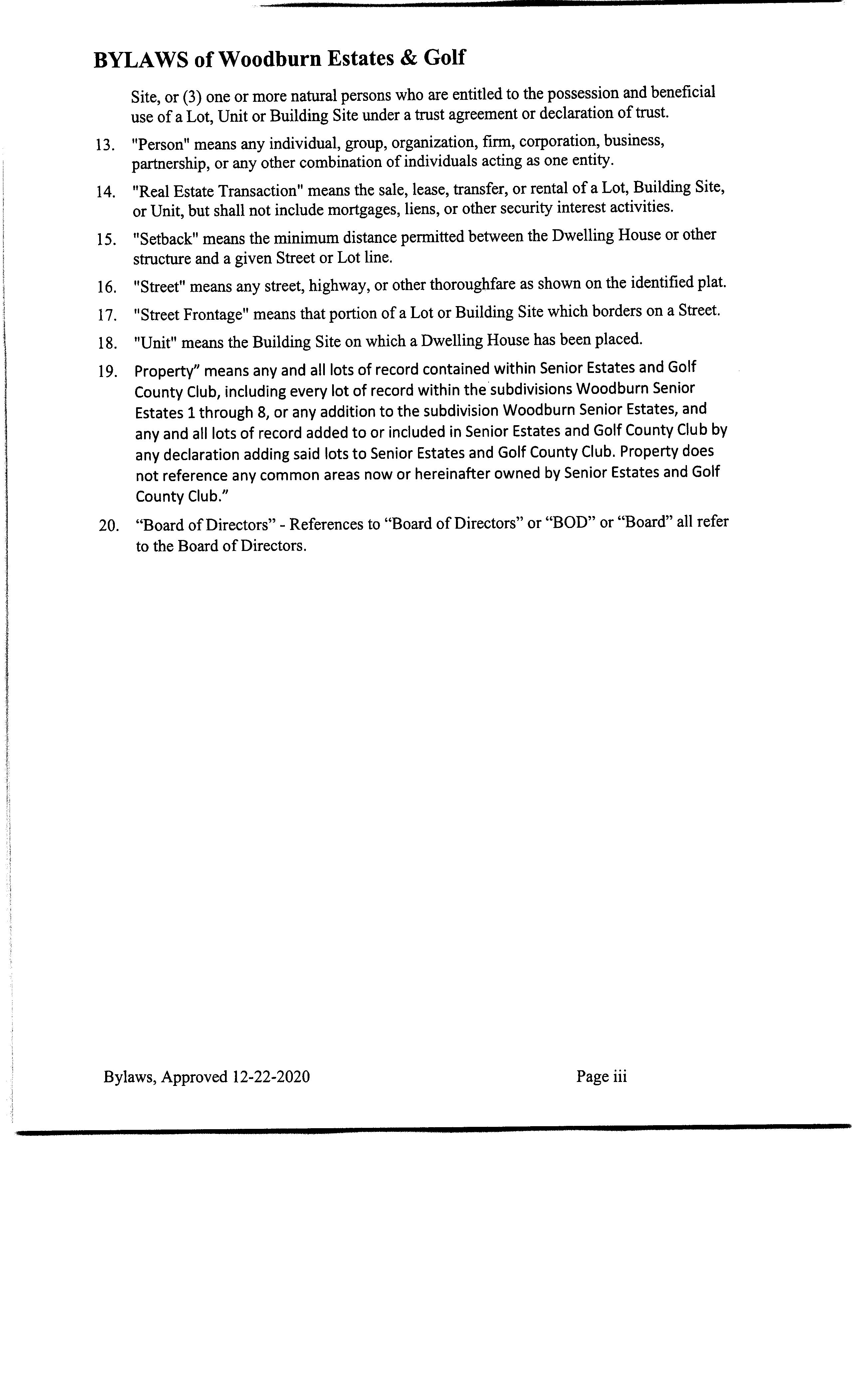
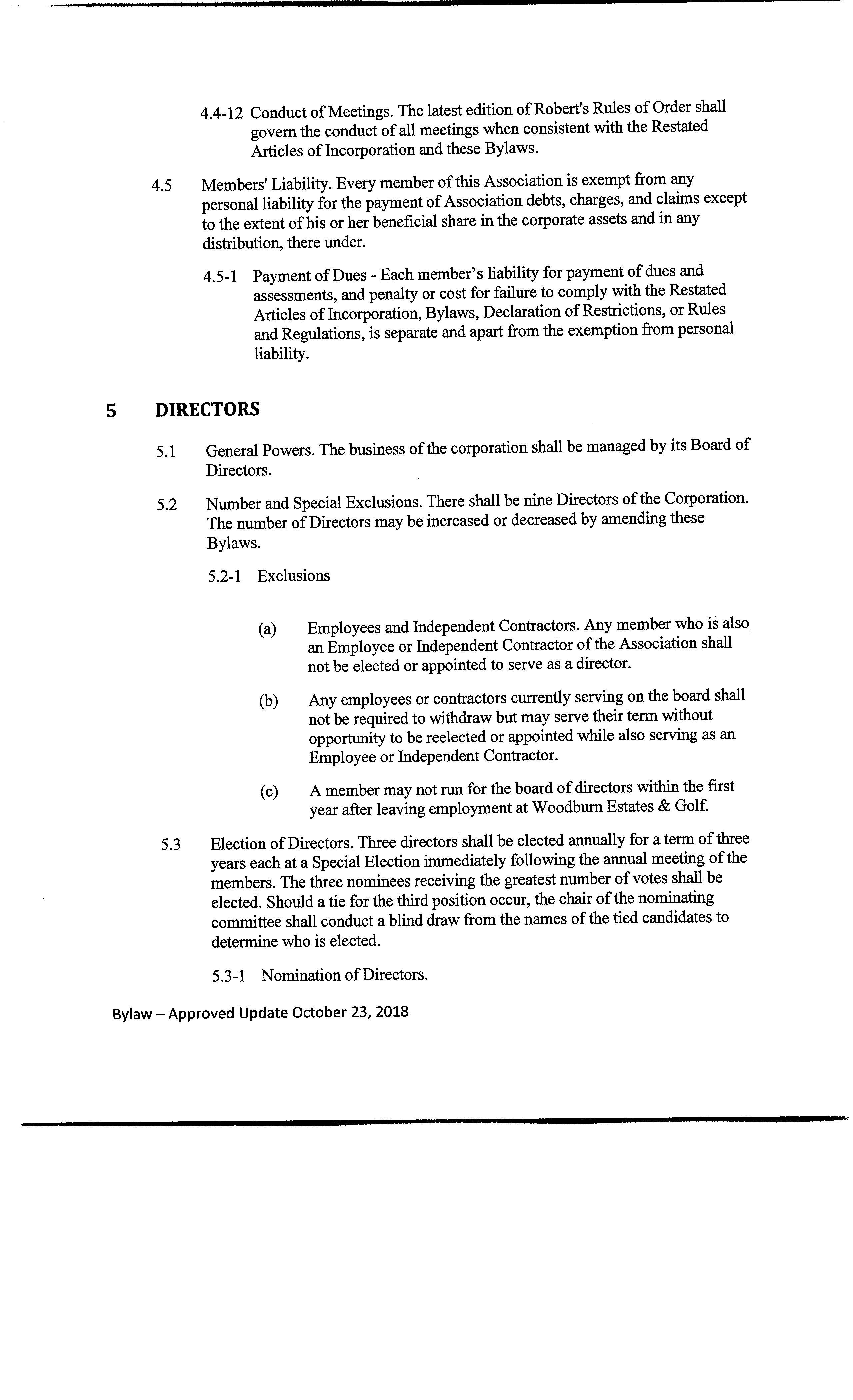
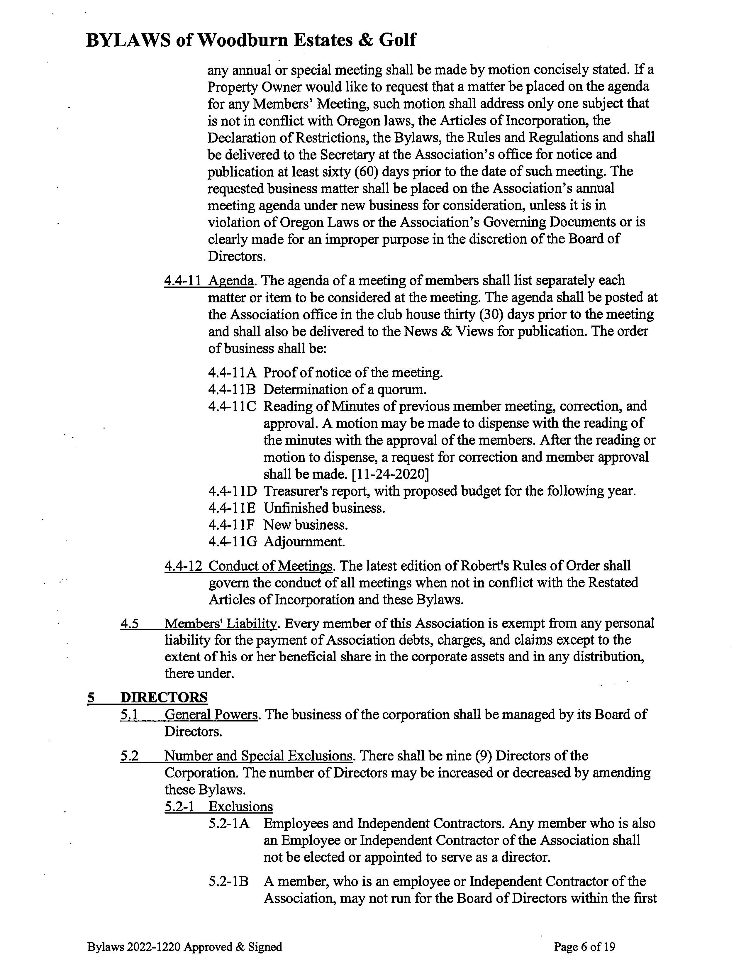
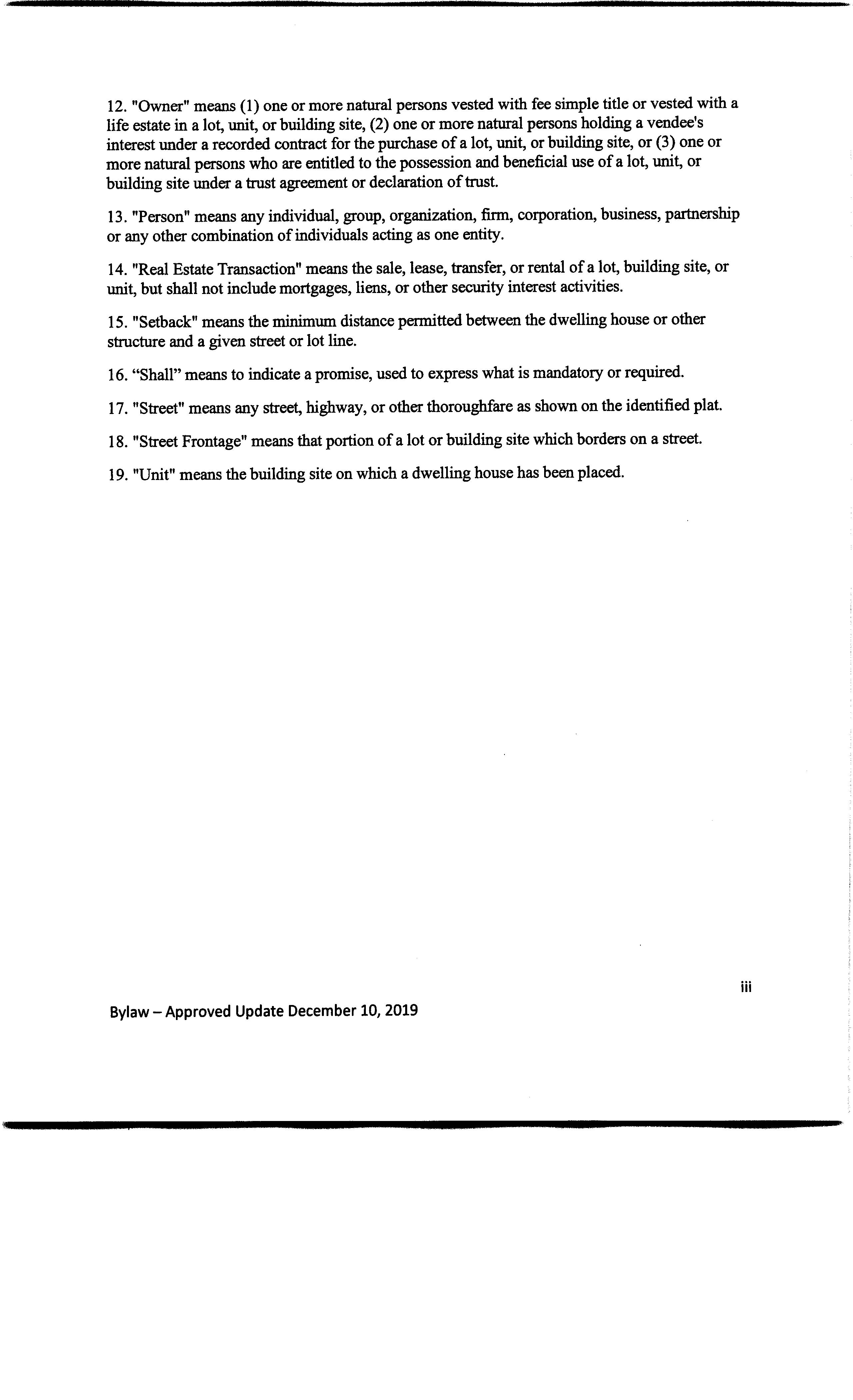
Skip to main content

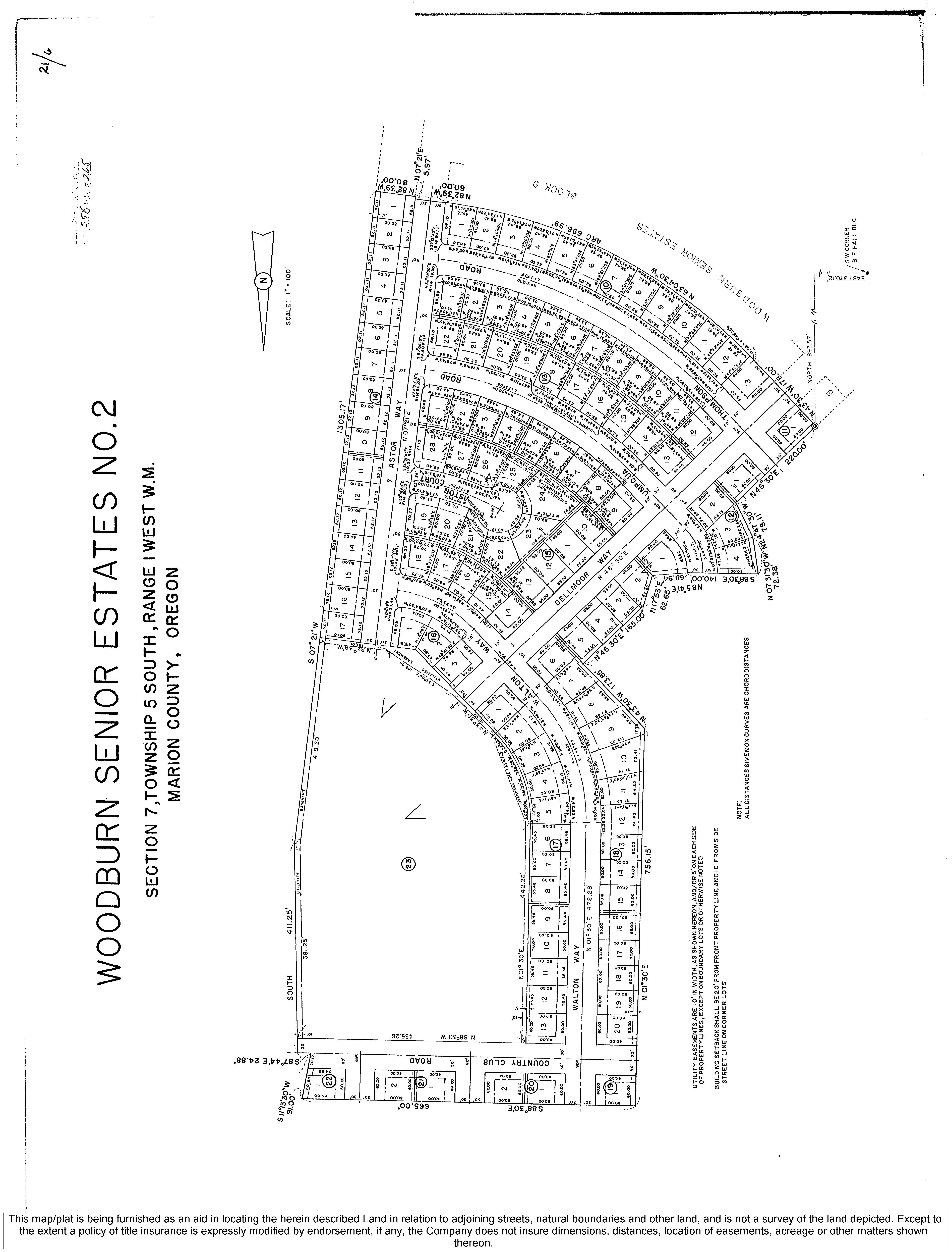
CCR's - Woodburn Senior Estates #2

Page 1


Turn static files into dynamic content formats.

Create a flipbook