Skip to main content

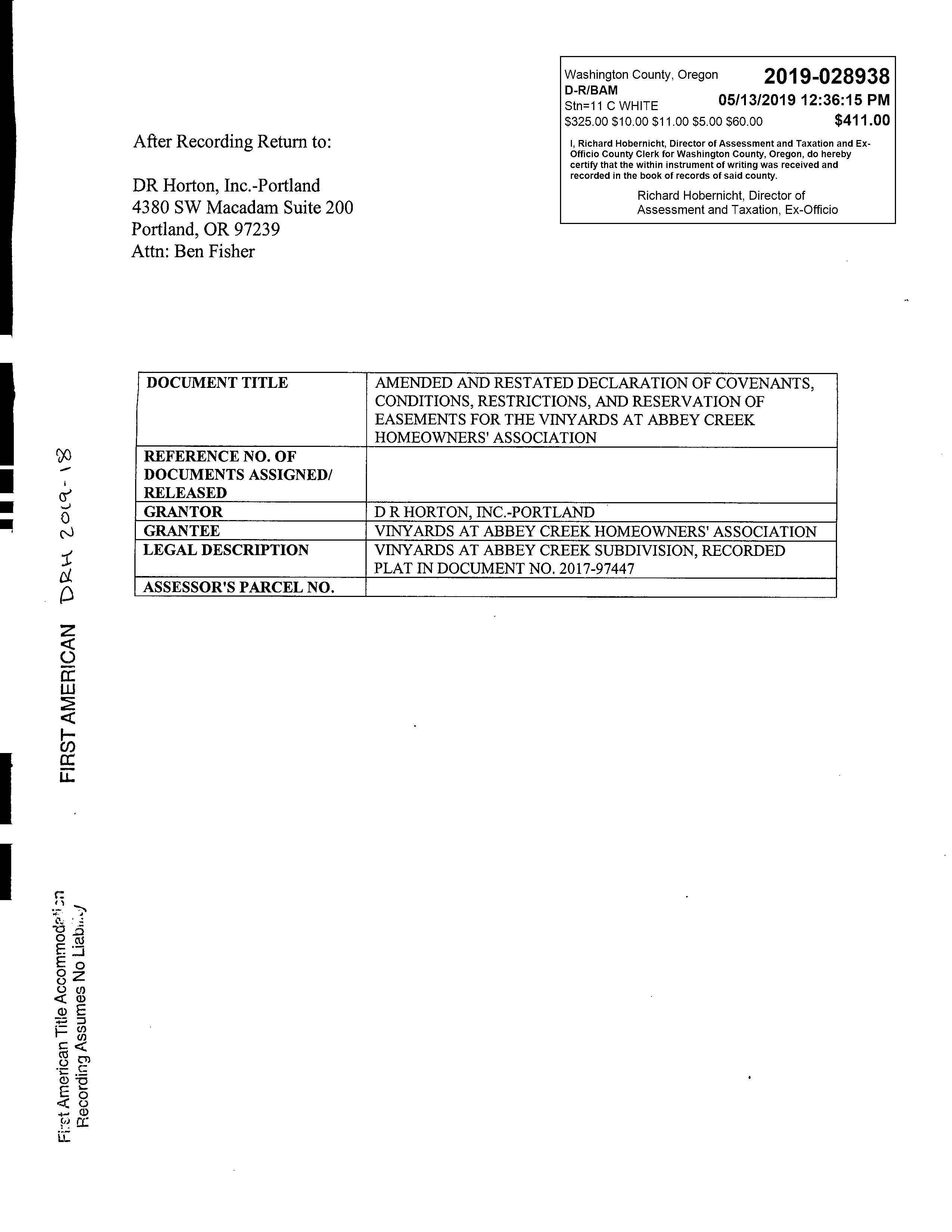
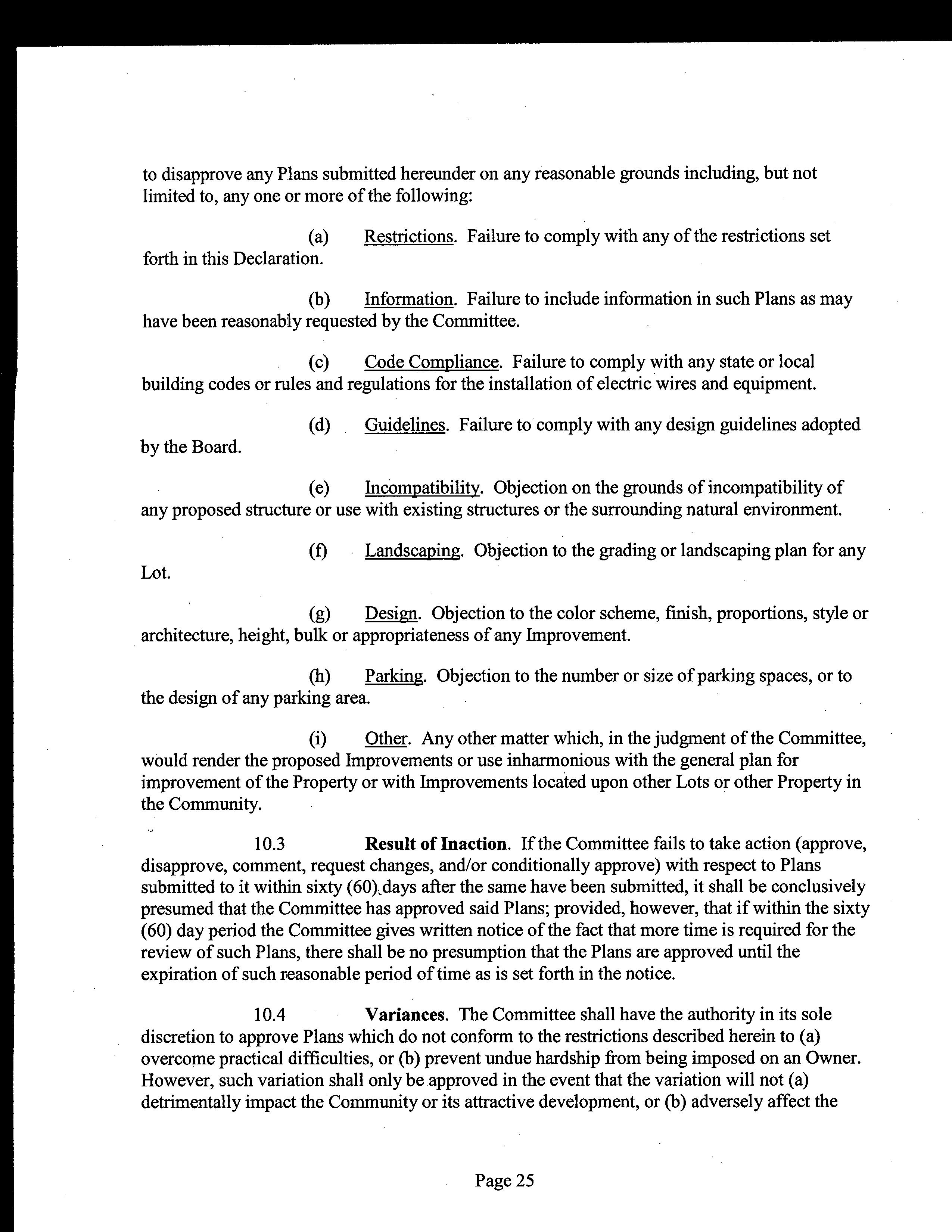
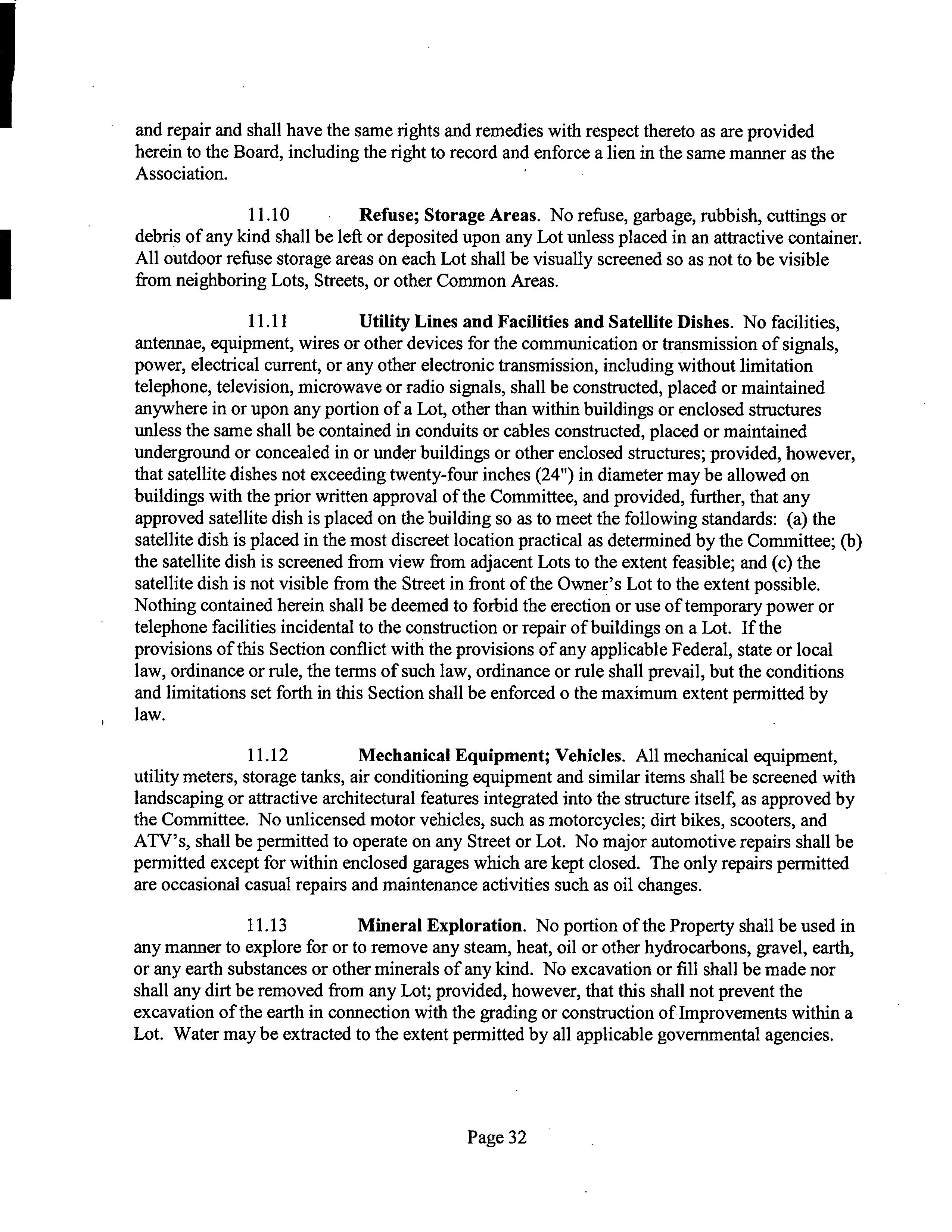
CCR's - Vineyards at Abbey Creek

Page 1


Turn static files into dynamic content formats.

Create a flipbook
CCR's - Vineyards at Abbey Creek by Lawyers Title Oregon - Issuu