

![]()


Parcel#:R685396
TaxLot:1N1E23DB90002
SiteAddress:4007NE15thAve
PortlandOR97212-1324
Owner:Susan,RMyersTrust 4007NE15thAve
PortlandOR97212-1324
Twn/Range/Section : 01N/01E/23/SE
ParcelSize:000Acres(0SqFt)
Plat/Subdivision:ShaverAtFifteenthCondominiums
Lot/Block:2
MapPage/Grid:596-H1 Census Tract/Block: 003302/1018
CntyLandUse:102-Residential,Residential,Condominium
LandUseStd:RCON-Condominium,Pud
Watershed:ColumbiaSlough-WillametteRiver
Zoning:Portland-R5-Residential5,000

MarketValueLand: $0.00
MarketValueImpr: $602,26000
MarketValueTotal: $602,26000
AssessedValue: $312,42000(2023)
LevyCodeArea:201
LevyRate:26.4987(2023)
TaxYear:2023
AnnualTax:$8,27873
Exemption:N/A
CountyBldgUse:W-ResidentialCondo
Recreation:
Neighborhood:SAB-SabinCommunity Association
#Dwellings: SchoolDistrict:1J-Portland
ElementarySchool:SabinElementarySchool MiddleSchool:HarrietTubmanMiddleSchool HighSchool:JeffersonHighSchool
Improvement
YearBuilt:2017
Stories:
Bedrooms: Garage:Att240SqFt
Baths,Total:25
Baths,Full/Half:2/1
TotalArea:2,030SqFt
FirstFloor:880SqFt
SecondFloor:1,150SqFt
RoofCovering: ExteriorWalls: BasementFin/Unfin: A/C: Heat:ForcedAir AtticFin/Unfin: Kitchen:1
TransferInformation
Porch/Patio:21SqFt/0SqFt Deck:
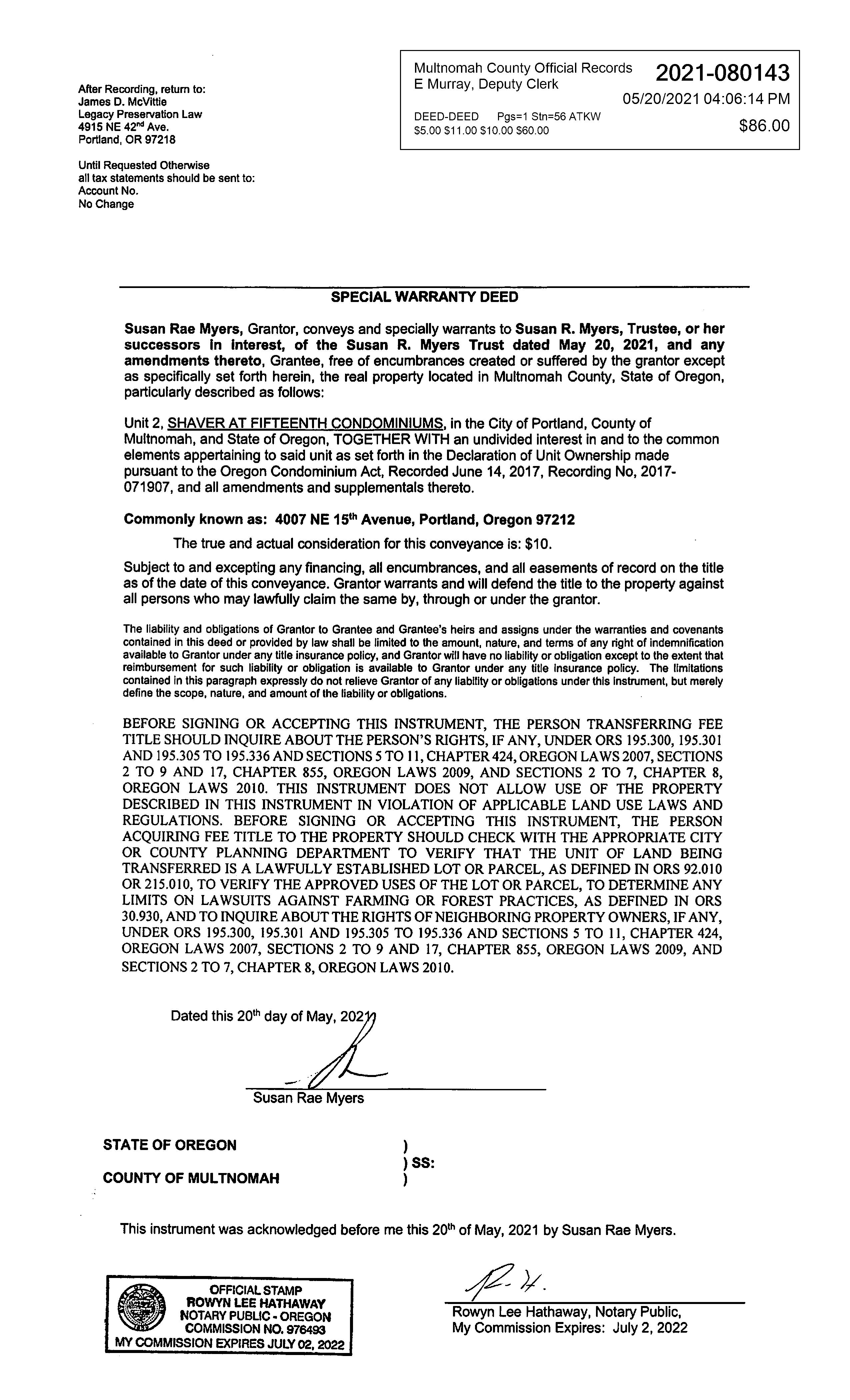
SaleDate:05/20/2021 SalePrice: DocNum:2021080143 DocType:SWD
SentryDynamics,Inc anditscustomersmakenorepresentations,warrantiesorconditions,expressorimplied,astotheaccuracyor completenessofinformationcontainedinthisreport.

4007 NE 15TH AVE PORTLAND, OR 97212-1324
Ownership Information
Owner Name: SUSAN R MYERS TR

Mailing Address: 4007 NE 15TH AVE PORTLAND, OR 97212-1324
Property Description
County: Multnomah

Account Num: R685396
Property ID: R685396 Owner
Land Use: Condominium Unit (Residential)
Subdivision: SHAVER AT FIFTEENTH CONDOMINIUMS
Legal Description: SHAVER AT FIFTEENTH CONDOMINIUMS, LOT 2
Property Characteristics

Information


5/20/2021 $ 0 It 2021-080143 / 12/27/2018 $ 562,000 $ 605,900 Wd 2018-133622 /
This information has been furnished, without charge, in conformance with the guidelines approved by the State of Oregon Insurance Commissioner. The Insurance division cautions intermediaries that this service is designed to benefit the ultimate insureds. Indiscriminate use only benefiting intermediaries will not be permitted. Said Services may be discontinued. No liability is assumed for any errors in this report.
AllinformationprovidedbyValueCheck,Incisdeemedreliable,butnotguaranteed. Accuracyoftheinformationmayvarybycounty.
Copyright © 2024 ValueCheck, Inc.

Thismap/platisbeingfurnishedasanaidinlocatingthehereindescribedLandinrelationtoadjoiningstreets,naturalboundariesandotherland,andisnotasurveyofthe landdepicted.Excepttotheextentapolicyoftitleinsuranceisexpresslymodifiedbyendorsement,ifany,theCompanydoesnotinsuredimensions,distances,locationof easements,acreageorothermattersshownthereon.

Thismap/platisbeingfurnishedasanaidinlocatingthehereindescribedLandinrelationtoadjoiningstreets,naturalboundariesandotherland,andisnotasurveyofthe landdepicted.Excepttotheextentapolicyoftitleinsuranceisexpresslymodifiedbyendorsement,ifany,theCompanydoesnotinsuredimensions,distances,locationof easements,acreageorothermattersshownthereon.
GENERALINFORMATION
Property Status AActive
Property Type RPResidential
Legal Description SHAVERATFIFTEENTHCONDOMINIUMS, LOT2
Alternate Account Number R762050030
Neighborhood R161
Map Number 1N1E23DB-90002
Property Use W-RESIDENTIALCONDO
LevyCodeArea 201
OWNERINFORMATION
Owner Name SUSANRMYERSTR

Split/Merge data prior to February 6, 2018 is not available online, please call Multnomah County Assessment & Taxation division.
Linked Properties R685394
Property Group ID -
Grouped Properties -
Split / Merge Date -
Split / Merge Accounts -
Split / Merge Message -
IMPROVEMENTS ? Expand/Collapse All
ASSESSEDVALUES
1-7-2019 $14,593.43













Nearby Neighbor #7
Nearby Neighbor #8
Address
Nearby Neighbor #9
Nearby Neighbor #10
Nearby Neighbor #13
Owner MATTHEWS, CHRISTOPHER W
Bedrooms 0 Year Built 1946
(SF/AC)
THIS REPORT IS INTENDED FOR USE BY YOU AS AN END USER SOLELY FOR YOUR INTERNAL BUSINESS PURPOSES. YOU SHALL NOT RESELL, RELICENSE OR REDISTRIBUTE THIS REPORT, IN WHOLE OR IN PART. THE USE OF THIS REPORT BY ANY PARTY OTHER THAN YOURSELF FOR ANY PURPOSE IS STRICTLY PROHIBITED. THIS REPORT IS PROVIDED AS-IS WITHOUT WARRANTY OF ANY KIND, EITHER EXPRESS OR IMPLIED, INCLUDING WITHOUT LIMITATION, ANY WARRANTIES OF MERCHANTABILITY, NON-INFRINGEMENT, OR FITNESS FOR A PARTICULAR PURPOSE. INTERCONTINENTAL EXCHANGE, INC. (ICE) SHALL HAVE NO LIABILITY IN CONTRACT, TORT, OR OTHERWISE ARISING OUT OF OR IN CONNECTION WITH THIS REPORT. ICE DOES NOT REPRESENT OR WARRANT THAT THE REPORT IS COMPLETE OR FREE FROM ERROR. YOU UNDERSTAND AND ACKNOWLEDGE THAT THE AVAILABILITY, COMPLETENESS AND FORMAT OF THE DATA ELEMENTS MAY VARY SUBSTANTIALLY FROM AREA-TO-AREA. THE INFORMATION CONTAINED IN THIS REPORT IS DERIVED FROM PUBLICLY AVAILABLE SOURCES FOR THE SUBJECT PROPERTY OR COMPARABLE PROPERTIES LISTED ABOVE AND HAS NOT BEEN INDEPENDENTLY VERIFIED BY ICE THROUGH ANY FORM OF INSPECTION OR REVIEW. THIS REPORT DOES NOT CONSTITUTE AN APPRAISAL OF ANY KIND AND SHOULD NOT BE USED IN LIEU OF AN INSPECTION OF A SUBJECT PROPERTY BY A LICENSED OR CERTIFIED APPRAISER. THIS REPORT CONTAINS NO REPRESENTATIONS, OPINIONS OR WARRANTIES REGARDING THE SUBJECT PROPERTY'S ACTUAL MARKETABILITY, CONDITION (STRUCTURAL OR OTHERWISE), ENVIRONMENTAL, HAZARD OR FLOOD ZONE STATUS, AND ANY REFERENCE TO ENVIRONMENTAL, HAZARD OR FLOOD ZONE STATUS IS FOR INFORMATIONAL PURPOSES ONLY AND SHALL BE INDEPENDENTLY VERIFIED BY THE END USER. THE INFORMATION CONTAINED HEREIN SHALL NOT BE UTILIZED: (A) TO REVIEW OR ESTABLISH A CONSUMER'S CREDIT AND/OR INSURANCE ELIGIBILITY OR FOR ANY OTHER PURPOSE THAT WOULD CAUSE THE REPORT TO CONSTITUTE A "CONSUMER REPORT" UNDER THE FAIR CREDIT REPORTING ACT, 15 U.S.C. § 1681 ET SEQ.; OR (B) IN CONNECTION WITH CERTIFICATION OR AUTHENTICATION OF REAL ESTATE
OWNERSHIP AND/OR REAL ESTATE TRANSACTIONS. ADDITIONAL TERMS AND CONDITIONS SHALL APPLY PURSUANT TO THE APPLICABLE AGREEMENT.
Copyright
CONFIDENTIAL, PROPRIETARY AND/OR TRADE SECRET.
TM SM ® TRADEMARK(S) OF INTERCONTINENTAL EXCHANGE, INC. AND ITS SUBSIDIARIES AND AFFILIATES. © 2024 INTERCONTINENTAL EXCHANGE, INC. ALL RIGHTS RESERVED.

Banks
503 . 324 . 8591 | www.banks.k12.or.us
Beaverton
503 672 3721 | www.beaverton.k12.or.us
Canby
503 266 7861 | boundaries: 503 266 2064 | www.canby.k12.or.us
Centennial
503 760 7990 | www.centennial.k12.or.us
503 . 653 . 6000 | boundaries: 503 . 353 . 6119 | www.nclack.k12.or.us
Colton
503 824 3535 | boundaries: 503 824 3534 | www.colton.k12.or.us
David Douglas
503 . 252 . 7990 | www.centennial.k12.or.us
Estacada
503 . 630 . 6871 | www.esd108.k12.or.us
Forest Grove
503 357 6171 | boundaries: 503 359 8167 x 221 | www.fgsd.k12.or.us
Gladstone
503 . 655 . 2777 | www.gladstone.k12.or.us
Gresham / Barlow
503 . 618 . 2450 | www.gresham.k12.or.us
Hillsboro
503 844 1500 | boundaries: 503 648 9123 | www.hsd.k12.or.us
Lake Oswego
503 . 534 . 2000 | boundaries: 503 . 534 . 2490 | www.loswego.k12.or.us
Washington County (OR)
Multnomah County (OR)
Clackamas County (OR) 1.