Skip to main content

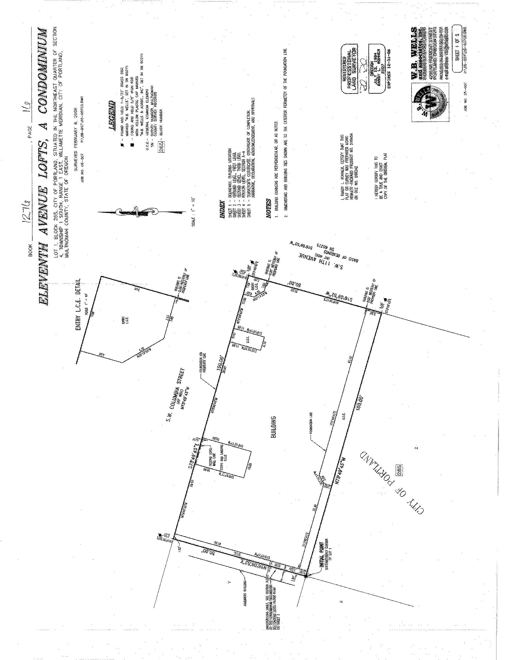
1104 SW Columbia St. #206

Page 1


Turn static files into dynamic content formats.

Create a flipbook