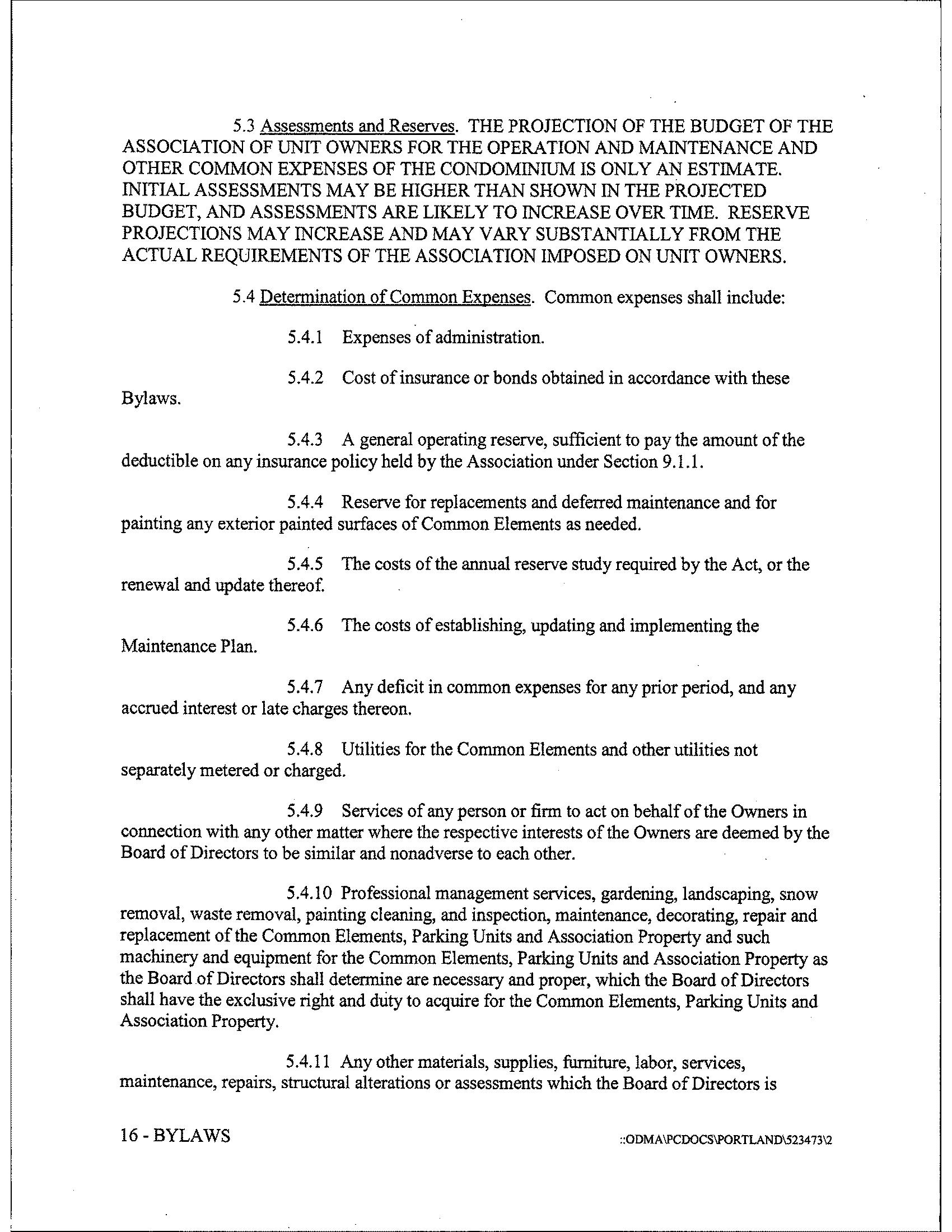
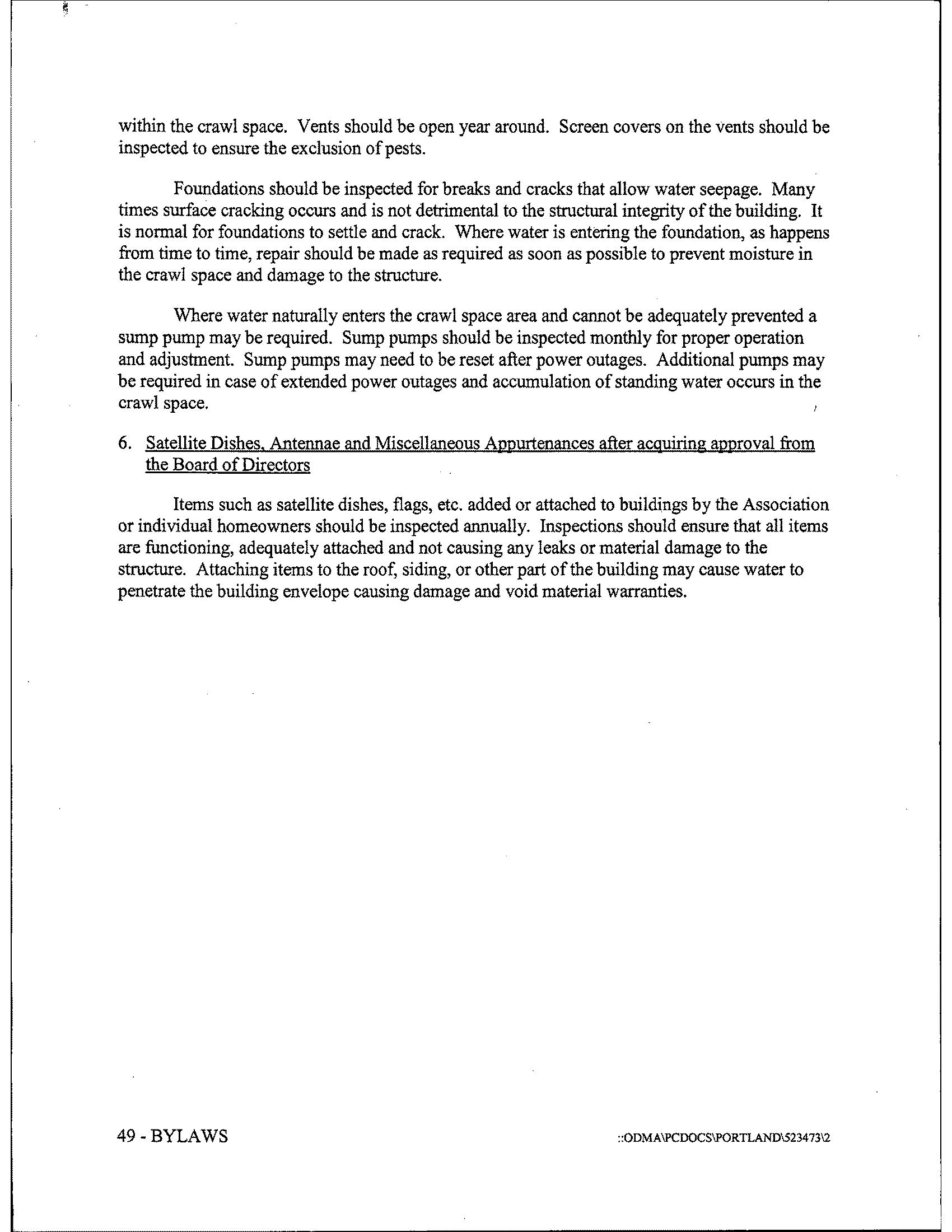
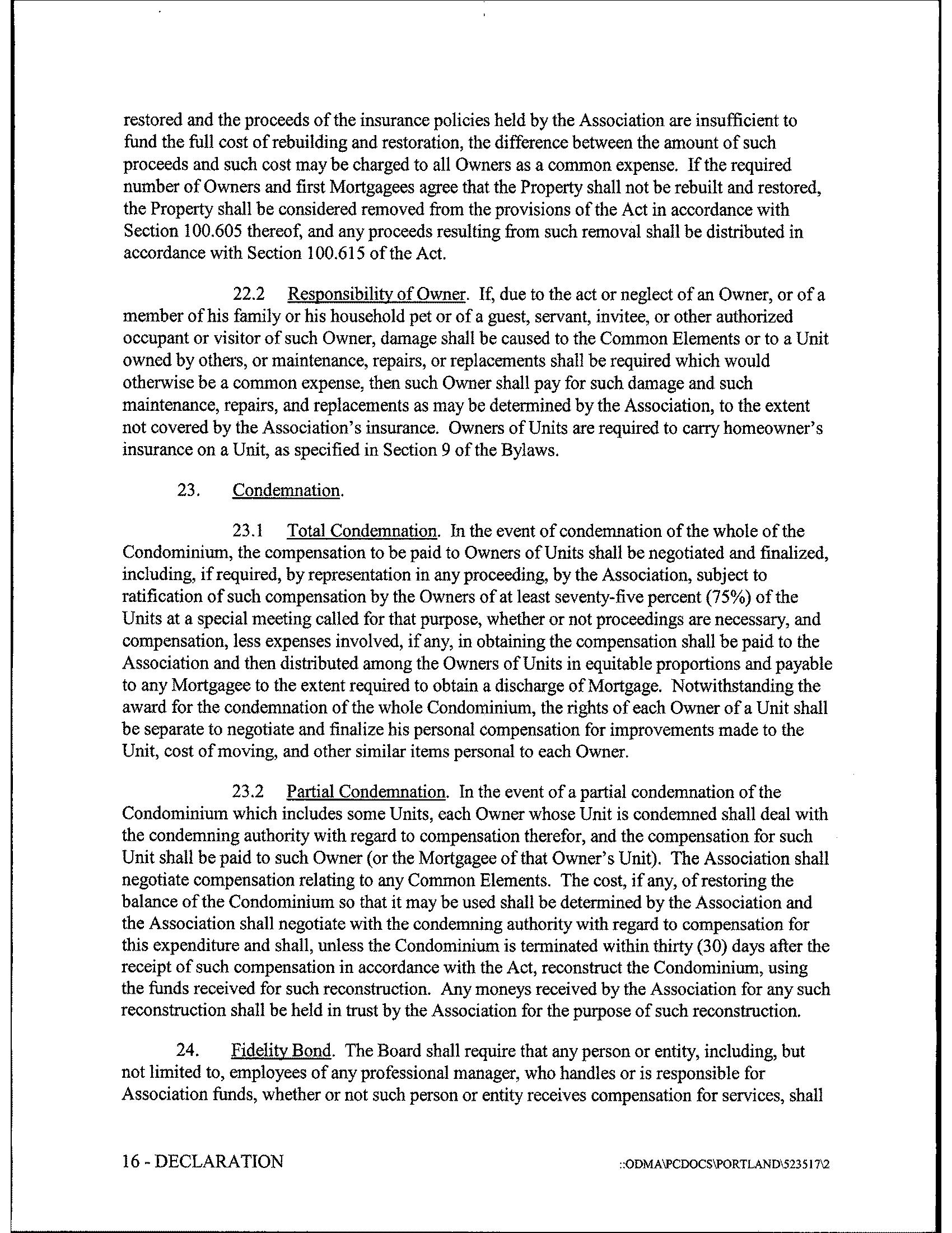
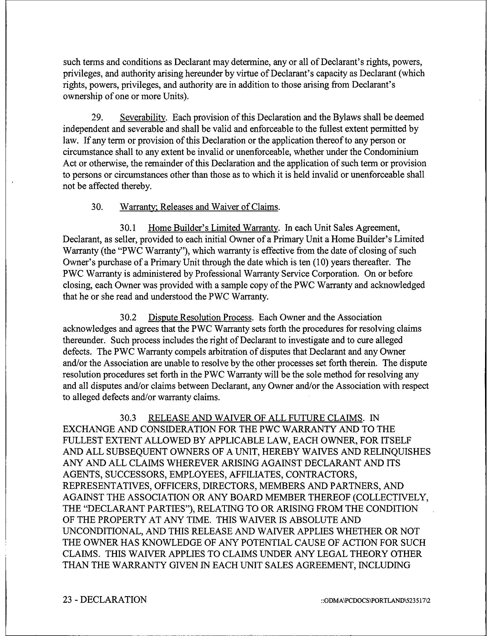
Skip to main content

05HB CCR 770 NW 185th Ave Unit 308

Page 1


Turn static files into dynamic content formats.

Create a flipbook
05HB CCR 770 NW 185th Ave Unit 308 by Lawyers Title Oregon - Issuu