




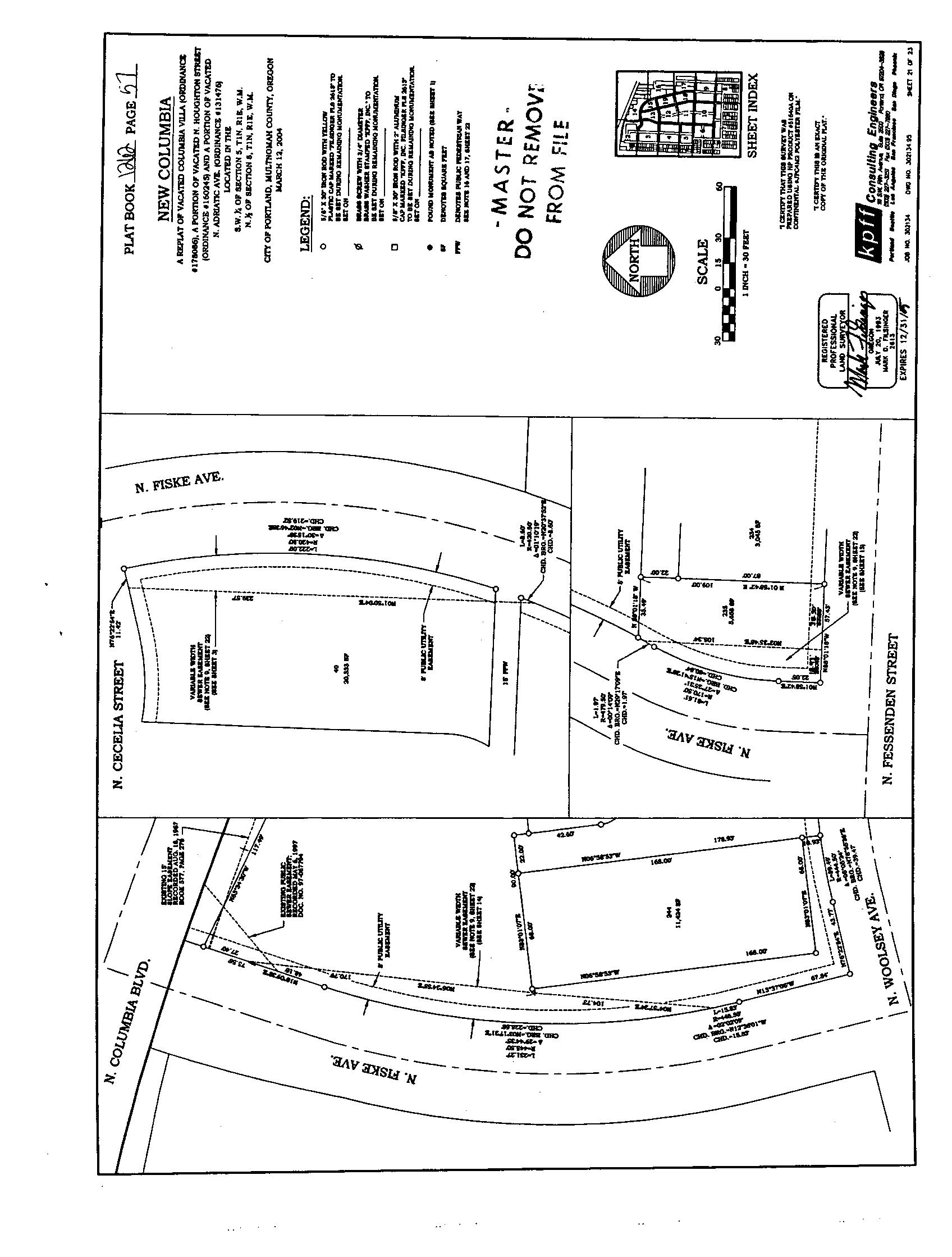
iiiliiliiliril*i;









ifliiiliiili*#it




![]()





















!{ .4 E '1 x to F 8:r lrr if d, ,_E 9P tr f
a 096ff=: s (sgIEE i E!E'iA 2 lla Z. E EA a
o u a o.

iEs I El! :' :90! '-. d i9* ;: i rEla-.( g itllEi
EiAEErE ?;3,151* ;EiE :3 t 1!t " E gE

lr F z rn D z o & Id z H o o o z z ? (rl & mg












































































































































































Omitted from the attached document is any covenant or restriction that is based upon, but not necessarily limited to, race, color, religion, sex, sexual orientation, familial status, marital status, disability, handicap, national origin, ancestry, source of income, gender, gender identity, gender expression, medical condition or genetic information, as set forth in applicable state or federal law, except to the extent that such covenant or restriction is permitted by applicable law. Oregon Version 20150707
Omitted from the attached document is any covenant or restriction that is based upon, but not necessarily limited to, race, color, religion, sex, sexual orientation, familial status, marital status, disability, handicap, national origin, ancestry, source of income, gender, gender identity, gender expression, medical condition or genetic information, as set forth in applicable state or federal law, except to the extent that such covenant or restriction is permitted by applicable law. Oregon Version 20150707




