Skip to main content

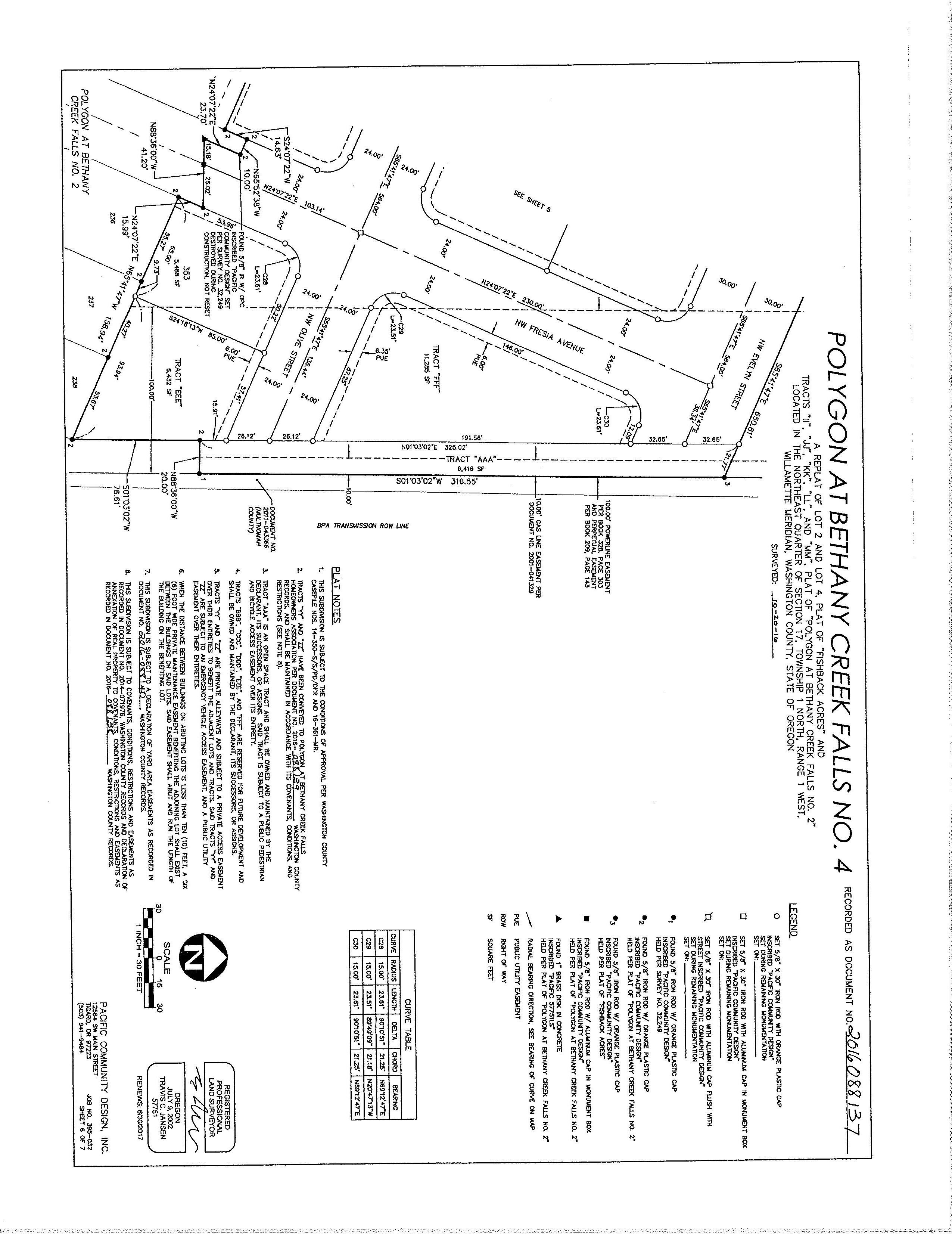
05HB CCR 14720 NW Evelyn St

Page 1


Turn static files into dynamic content formats.

Create a flipbook
05HB CCR 14720 NW Evelyn St by Lawyers Title Oregon - Issuu