


Es una publicación periódica propiedad de Latin Press, Inc.
Producida y distribuida para Latin Press, Inc. por Latin Press Colombia y Latin Press USA
En mi pasada editorial les hablé sobre el gran reencuentro que se vivió en Refriaméricas Miami, donde se reunió gran parte del gremio, sobre todo de Centroamérica, el Caribe y Miami, por supuesto.
En esta oportunidad quiero contarles la experiencia que tuvimos con ACR Latinoamérica en la pasada Expo Acaire de Bogotá que se cumplió del 26 al 30 de septiembre.
Este evento no se daba de forma presencial desde 2019, cuando Barranquilla fue la sede, pues en 2020 y 2021 la organización decidió hacerlo de forma virtual por los motivos que ya todos conocemos. Así que regresar a una Expo Acaire fue una experiencia muy valiosa para nosotros, porque no veíamos a muchos amigos desde hace tiempo y porque notamos que el sector colombiano estaba sediento por volver a disfrutar de un sorbo de este evento.
Expo Acaire es especial para ACR Latinoamérica, porque nosotros estamos basados en Colombia, y eso nos ha dado pie para generar un ambiente de amistad con muchos actores de la industria de este país, y ahora en Bogotá se pudieron reforzar esos lazos y conocer a otras personas muy valiosas a las que solo habíamos visto detrás de una pantalla. Estoy seguro que esta experiencia también la vivieron muchos de ustedes.
Con nuestros amigos del gremio pudimos hacer una lectura del mercado colombiano del HVAC/R. El país parece estar listo para nuevos negocios, nuevos proyectos y para profundizar en la capacitación y en el conocimiento.
Valoro también los avances del proyecto de Distritos Térmicos en Colombia donde ya tienen participando a más de 10 regiones del país, lo que habla muy bien del progreso y del interés en estas iniciativas.
Gracias a todos los que nos visitaron en el evento y saben que estamos por ustedes y para ustedes.
Max Jaramillo / Manuela Jaramillo
EDITOR JEFE Duván Chaverra dchaverra@acrlatinoamerica.com
EDITORA Iris Montoya imontoya@acrlatinoamerica.com
GERENTE DE PROYECTO
Fabio Giraldo fgiraldo@acrlatinoamerica.com
GERENTES DE CUENTA
MÉXICO
Sandra Camacho scamacho@acrlatinoamerica.com Verónica Marín vmarin@acrlatinoamerica.com
COLOMBIA Carolina Gallego cgallego@acrlatinoamerica.com
CHINA Judy Wang judy @worldwidefocus.hk +852 3078 0826
DATABASE MANAGER Mª Eugenia Rave mrave@acrlatinoamerica.com
Fabio Franco ffranco@acrlatinoamerica.com
DIAGRAMACIÓN Y DISEÑO Jhonnatan Martínez jmartinez@acrlatinoamerica.com
PORTADA dlewis33 - Canva
TELÉFONOS OFICINAS: Latin Press USA Miami, USA Tel +1 [305] 285 3133
LATIN PRESS MÉXICO Ciudad de México Tel +52 [55] 4170 8330
LATIN PRESS COLOMBIA Bogotá, Colombia Tel +57 [601] 381 9215
LATIN PRESS BRASIL São Paulo, Brasil Tel +55 [11] 3042 2103
Colaboran en esta edición: Jimy Danelli, Camilo Botero, Alfredo Sotolongo, Ernesto Sanguinetti, Arcadio Velásquez, Andrés Trujillo, Levi Tully, Rolando Torrado.
DUVÁN CHAVERRA AGUDELOEditor Jefe ACR LATINOAMÉRICA dchaverra@acrlatinoamerica.com
Las opiniones expresadas por los autores de los artículos en esta revista no comprometen a la casa editora. Impreso por Panamericana Formas e Impresos S.A. Quien solo actúa como impresor Impreso en Colombia - Printed in Colombia ISSN 0123-9058
04 CARTA EDITORIAL
08 CALENDARIO 2022 - 2023
10 NOTICIAS DE LA INDUSTRIA - Empresas y Mercados
22 Diseño HVAC en hoteles: confort, armonía y eficiencia
Los sistemas HVAC para hoteles, además de entregar confort según demanda y preferencia de cada huésped, hoy en día tienen la exigencia de adaptarse a la arquitectura sin desfavorecerla, pero sobre todo de ser energéticamente sostenibles.
28 Soldadura de cobre en aire acondicionado y refrigeración
Análisis, recomendaciones, procesos y herramientas para efectuar una correcta soldadura en esta clase de sistemas.
36 Aporte del Aislamiento Térmico en Sistemas HVAC&R al Medioambiente (III)
En la tercera y última parte de este especial, hablaremos sobre el espesor económico de aislamiento térmico.
46 La cadena refrigerada y los datos en tiempo real La relevancia de la digitalización para combatir el desperdicio de
Los sistemas de automatización de edificios requieren de importantes medidas de protección ante los riesgos latentes por seguridad y accesos no autorizados.
72 NUEVOS PRODUCTOS
Aire
Refrigeración
Índice de anunciantes
Copeaire Lima, Perú copeaire.pe
TecnoEdificios Medellín, Colombia www.tecnoedificios.com
Conferencias y muestra comercial sobre soluciones de de aire acondicionado para hoteles.
AHR Expo Atlanta, Estados Unidos www.ahrexpo.com China Refrigeration Shanghai, China www.cr-expo.com/Spanish
Refriaméricas San Juan, Puerto Rico www.refriamericas.com
Febrava Sao Paulo, Brasil www.febrava.com.br
AHR Expo México Ciudad de México, México www.ahrexpomexico.com
NOVIEMBRE
Climatización y Refrigeración Madrid, España www.ifema.es/cr
Conferencias y muestra comercial sobre soluciones de de aire acondicionado para hospitales y centros de salud.
Refriaméricas abre pabellón de controles y automatización
Con la apertura de este pabellón, el congreso académico tam bién incluirá conferencias técnico académicas relacionadas con esta temática, con expertos internacionales que dominan la materia enfocada en los edificios de América Latina.
“Creemos que es importante abrir esta pabellón de controles y automatización, ya que es una industria que integra al resto de soluciones que se presentan en Refriaméricas y que con el paso de los años se ha convertido en un sector esencial dentro de los proyectos de los edificios”, comentó Fabio Giraldo, Project Manager de Refriaméricas.
Puerto Rico. Para el evento que se desarrollará en San Juan los días 26 y 27 de julio de 2023, Refriaméricas anunció la apertura de un pabellón exclusivo para el nicho de controles y de automa tización de edificios dentro de la sala de exhibición.
Con este espacio se busca incluir a un sector especializado e importante de la industria y ampliar así el público objetivo que visitará el evento que se desarrollará en el Puerto Rico Conven tion Center.
A la fecha, Refriaméricas Puerto Rico 2023 ya cuenta con la participación de más de 40 empresas de la industria y continúa recibiendo reservas para la participación en este show que se hace por primera vez en la isla del encanto.
En Colombia se capacitaron sobre el uso del R-290
Colombia. En el marco de la pasada Expo Acaire 2022 de Bogotá, se celebró en simultánea el XVII Encuentro Nacional de Instructores de Refrigeración y Clima tización del Sena (Servicio Nacional de Aprendizaje).
Este espacio se realizó también en el marco de la implementación de la Eta pa II del Plan Nacional de Eliminación de HCFC en Colombia, organizado por la Unidad Técnica Ozono como un evento de divulgación tecnológica de buenas
prácticas para equipos y sistemas de refrigeración comercial con refrigerante hidrocarburo R-290.
El objetivo de esta reunión fue la de con tinuar con el apoyo a la capacitación de los instructores del área de refrigeración y climatización de los Centros de Forma ción SENA de todo el país.
Las siguientes fueron algunas de las te máticas que se manejaron:
• Fundamentos de la tecnología Inverter
en el sector Rac
• Eficiencia Energética en los aires acon dicionados tipo Inverter
• Buenas prácticas para equipos y sis temas de refrigeración comercial con refrigerante hidrocarburo R-290
• Visita supermercados con equipos R-290
• Sesión práctica demostrativa - instala ciones Weston
• Actividades de la Subred Nacional de Refrigeración y Climatización del SENA y la Escuela de instructores – SENA
Estados Unidos. Para satisfacer la creciente demanda de refrigeración de centros de datos, Munters inauguró hace pocos días una nueva fábrica para la producción de equipos de refrige ración avanzados y energéticamente eficientes, ubicada en Virginia.
Munters está reubicando las operaciones de su planta en Buena Vista, Virginia, a una nueva ins talación ampliada con el doble de capacidad de fabricación en Daleville, Virginia.
“Se espera que la demanda de refrigeración de cen tros de datos innovadora y sostenible siga siendo fuerte. Estoy muy entusiasmado con nuestra nueva fábrica que nos brinda la infraestructura que nece sitamos para continuar brindando soluciones ener géticamente eficientes de clase mundial a nuestros clientes”, comentó Stefan Aspman, vicepresidente de grupo y presidente del área comercial de Tecno logías de centros de datos.
La nueva planta de fabricación de 365 000 ft2 (34 000 m2) es la planta más grande de Munters en las Américas. La fábrica aumentará la capacidad de producción de equipos de refrigeración y con trol de humedad y agregará más de 150 puestos de trabajo.
"La nueva y moderna fábrica ofrecerá el mejor entor no de trabajo posible para nuestros empleados. Está diseñada teniendo en cuenta el objetivo de cero emisiones netas de Munters. La próxima instalación de paneles solares en el techo, que se estima que cubrirá una gran parte del consumo diario de ener gía, es un ejemplo de esto", dice Stefan Aspman.
El área comercial de Munters, Data Center Tech nologies, se especializa en soluciones avanzadas de refrigeración climática utilizando una amplia gama de tecnologías de rechazo de calor.
Colombia. FiberGlass Isover anunció el lanzamiento de su programa Academia del Instalador, el cual busca construir una red de instalado res recomendados en este país que sean formados y reconocidos por la compañía en aislamiento, ductos e impermeabilización.
La formación de la Academia del Instalador está dirigida a perso nas que trabajen en el sector de la construcción en actividades como mampostería, instaladores de sistema liviano en seco, ayudante u oficial especializado que se desempeñe en otras labores y que quiera incursionar en otro campo; no importa si son trabajadores indepen dientes o trabajan para alguna empresa de construcción.
Entre las temáticas que se impartirán en los diversos cursos se en cuentran arquitectura, aires acondicionados, impermeabilización e industria, cada uno con una variedad de contenidos que permiten profundizar en los respectivos temas.
“Los instaladores cumplen un rol muy importante para que nuestras soluciones o productos cumplan con la promesa de valor que ofrece mos, por eso diseñamos este programa de formación, que les permita aprender y actualizarse con las últimas innovaciones que traemos al mercado y al mismo tiempo garanticen excelentes trabajos para sus clientes”, dijo Andrés Beltrán, Gerente de Marketing de FiberGlass Isover.
La formación se realizará con una metodología teórico-práctica y se divide en dos fases: la primera está conformada por sesiones virtua les de capacitación en el área de interés y una sesión de desarrollo personal obligatoria. La segunda fase está conformada por talleres prácticos según el área de interés estudiada en la primera fase, estos talleres son presenciales ya que tienen el objetivo de mostrar la ins talación de producto.
Al finalizar los cursos, los instaladores quedarán registrados en el “Club de Instaladores de FiberGlass Isover”, lo que les permitirá ser recomendados para distintos proyectos de construcción en los que trabaje la marca. Los cursos serán impartidos por ingenieros, arqui tectos, mercadólogos, entre otros expertos de la compañía. La Acade mia del Instalador es la primera en Colombia que ofrece aprendizaje en soluciones termo-acústico. La inscripción se realiza a través del siguiente link: www.academiadelinstalador.com Una vez se culmine esta fase, estarán disponibles los cursos para ser realizados.
Arneg Argentina inauguró su segunda planta de paneles isotérmicos
Argentina. El pasado 29 de septiembre Arneg Argentina in auguró su segunda plata industrial ubicada en la localidad de Alvear. El evento protocolario contó con la presencia del go bernador de la provincia de Santa Fe, autoridades provincia les y municipales, así como parte del equipo de trabajo de la compañía.
Durante la jornada de inauguración se tuvo el corte de cinta y un recorrido por la planta, la cual cuenta con 12 000 metros cuadrados cubiertos y está ubicada en un terreno de 70 000 metros cuadrados en total.
Es importante resaltar que esta planta es apenas una primera fase del proyecto. Además, su construcción y funcionamiento, según la empresa “se encuentra alineada al compromiso con el medio ambiente y el ahorro energético” lo cual pone “al alcan ce de los argentinos y la región nuestros paneles isotérmicos, un producto con una inmejorable capacidad térmica, único en
el mercado, y con una capacidad productiva para esta etapa de 4.500.000 m2 anuales o 18 000 m2 diarios”.
En la inauguración, algunas de las figuras más relevantes fueron el gobernador Omar Perotti; el CEO de Arneg Carlos Pasciullo y el presidente de Arneg Eduardo Scoppa. También participaron del encuentro la diputada nacional por la provincia de Santa Fe, Vanesa Masetani; el Senador Nacional por Santa Fe Marcelo Lewandowski; el Presidente Comunal de Alvear Carlos Pighin; el Secretario de Industria de la Provincia de Santa FE Claudio Mossuz; el Cónsul General de Italia en Rosario Marco Bocchi; el Secretario de planeamiento y obras públicas de Alvear Leo nardo Tudino; el Subsecretario de comunicación Carlos Bava.
La construcción de la planta en la localidad de Alvear era un pro yecto que había sido anunciado por la empresa desde agosto del 2020. Momento en el que Arneg estaba en medio de un proyecto de inversión de constaba de dos etapas, la primera era una amplia ción en su sede de Rosario, específicamente en las líneas de pro ducción de paneles isotérmicos para la construcción civil; y la se gunda, justamente la construcción de la planta industrial en Alvear.
México. Alrededor de 143 profesionales, entre fabricantes y distribuidores, se reunieron en la 2da Conferencia Anual de HARDI México, realizada previo a la apertura de la AHR Expo de Guadalajara.
Este especio abrió la posibilidad de contar por primera vez con un programa de booth con 14 mesas de fabricantes patrocinadores.
Adicionalmente, la actividad ofreció dos presentaciones: una sobre la segmentación de proveedores y su impacto en precios y la segunda sobre mejores prácticas de los mejores vende dores usando estadísticas y estudios de Harvard y la firma de consultoría Rain Group.
Igualmente la convención contó con dos mesas redondas: una
sobre las ventajas de la distribución de dos etapas y el aumento de las ventas de los fabricantes y distribuidores que la practican, y la segunda sobre las mejores prácticas de venta telefónica y los avances de las empresas en México que la han implementado.
“Cerramos el evento con un coctel y la introducción de los ge rentes de AHRI para México y sus directivos de USA, por la aper tura de la oficina de AHRI en México, y además para celebrar la convención tan exitosa y amena que todos disfrutamos en GDL”, comentó Guitze Messina, director ejecutivo de HARDI México.
Masiva participación en la Convención de HARDI en Guadalajara
Se confirma construcción de nueva bodega a temperatura controlada
Chile. Una nueva instalación de temperatura controlada ubi cada en Talcahuano será construida por Emergent Cold Latin America, con el fin de fortalecer sus operaciones y satisfacer las necesidades de sus principales clientes en el mercado interna cional de alimentos.
Con la adquisición de Friopacífico en noviembre de 2021, Emergent Cold LatAm ahora cuenta con tres instalaciones en Chile, ubicadas en Talcahuano (2) y San Pedro de la Paz (1), con un total de más de 47 000 posiciones de pallets de ca pacidad de congelado. La nueva construcción se inaugurará en enero de 2024 y aumentará la capacidad actual en Chile en 65 %.
Estratégicamente ubicado cerca de los principales puertos del país: San Vicente, Lirquén y Coronel, Emergent Cold LatAm apo yará a exportadores, minoristas y grandes empresas pesqueras, las cuales muestran perspectivas de crecimiento positivas para los próximos años.
Chile es un actor importante en el comercio mundial de alimen tos. La industria de cultivo de salmón del país es esencial para
la cadena de suministro internacional y el segundo productor más grande del mundo. Adicionalmente, la oferta de caballa de Chile es una de las más abundantes del mundo, con un cre cimiento de su cuota a una tasa promedio de 11,5% de 2016 a 2020. Se espera que estas exportaciones y otras, como el mejillón y la trucha, crezcan en los próximos años.
“Para Emergent Cold LatAm, esta nueva construcción, la más grande de la compañía hasta la fecha, representa otro paso importante hacia su visión de convertirse en el operador de temperatura controlada líder y más dinámico de América La tina” dijo Neal Rider, CEO de Emergent Cold LatAm. “Chile es una parte fundamental de nuestra estrategia de inversión en América Latina debido a su importante papel en el mercado de productos del mar en todo el mundo”.
“Después de evaluar exhaustivamente la creciente demanda de nuestros clientes por más capacidad en nuestras instalacio nes y otros servicios de valor agregado, decidimos expandir nuestras capacidades agregando 30.000 nuevas posiciones de pallets en la región”, dijo David Palfenier, presidente de Emergent Cold LatAm.
más innovadores sistemas de aire acon dicionado enfocados en reducir emisio nes de carbono en sus operaciones y el consumo de energía. Sumando a mini mizar el impacto en el medio ambiente durante la búsqueda del confort en am bientes interiores.
México. Trane realizó la inauguración de un nuevo centro de capacitación y showroom denominado “Trane – Mitsu bishi”, el cual estará ubicado en la ciudad de Guadalajara, y que hace parte de la asociación que ambas marcas tienen para la comercialización de soluciones de aire acondicionado comercial, ligero y residen cial en algunos países de América Latina.
Este nuevo espacio ofrecerá entrena mientos periódicamente para los pro fesionales del sector HVAC/R, en la búsqueda de mantenerlos actualizados sobre las nuevas tendencias y desarro llos en equipos de aire acondicionado.
Asimismo, el centro de capacitación dará la oportunidad de conocer los nuevos y
“Para Trane, el camino para la descar bonización es a través de productos y servicios de alta calidad, eficiencia y ba jas emisiones. De esta forma hacemos tangible nuestros objetivos y nos per mite ayudar a organizaciones de todos los tamaños, a reducir sus costos e im pacto en el planeta. A menudo vemos a los clientes enfocados en aspectos más visibles de su negocio, mientras pasan por alto que sus edificios representan casi el 40% de las emisiones de gases de efecto invernadero (GEI)1”, comentó Carlos García, Director General de Trane México.
Latinoamérica. Armstrong Fluid Technology ha anunciado una aplicación móvil que brinda todo el valor y los beneficios del servicio de suscripción de Pump Manager a los usuarios de dispositivos móvi les Android e iOS.
Aprovechando la inteligencia avanzada y la conec tividad de las bombas Armstrong Design Envelo pe, Pump Manager es un servicio basado en la nube que proporciona análisis de bombas e infor mación sobre el rendimiento junto con alertas y notificaciones. La empresa explicó que el servicio es compatible con Active Performance Manage ment en los sistemas HVAC y ha demostrado ser valioso para los usuarios finales y para el personal de servicio mientras trabajan para optimizar el rendimiento de HVAC.
“Con esta nueva aplicación, los técnicos de servicio, los administradores de instalaciones y los operado res pueden recibir alertas en tiempo real y datos de rendimiento, dondequiera que estén”, explica Tunji Asiwaju, Gerente Global de Servicios en la Nube de Armstrong. “Los contratistas de servicios pueden tener un acuerdo de nivel de servicio por una tarifa de retención fija, por lo que realmente pueden beneficiarse de las mejoras de eficiencia en los procesos de servicio. Pueden verificar un dis positivo móvil y saber de inmediato qué problema está experimentando una bomba”.
La aplicación ya está disponible para su descarga en Google Play Store y Apple Store, y se puede en contrar buscando 'Armstrong Pump Manager'.
México. AHRI, el Instituto de Aire Acondicionado, Calefacción y Refrigeración, realizó la presentación oficial de sus nuevas oficinas ubicadas en Ciudad de México. Este lanzamiento se hizo en Guadalajara en el marco de la AHR Expo 2022.
El principal propósito de estas nuevas oficinas ubicadas en Mé xico, con las que también esperan aumentar su alcance en toda América Latina, es generar mayor interés para que las empresas de la industria busquen certificar sus equipos con AHRI.
Al respecto, Luis Vásquez Gómez, quien es el nuevo director de AHRI en México, comentó: “El reto es que las fábricas de todos nuestros países de América Latina adquieran los es tándares de AHRI, una entidad que lleva muchos años bus cando generar estándares de calidad, energía y de evitar la contaminación, incluso hasta de ruido. Creo que si logramos unirnos a los estándares mundiales vamos a tener productos muy competitivos, exportar a todos los países del mundo y va a haber mucho más crecimiento en nuestra región”.
Luis destaca además la importancia de gestionar apoyos de parte de los gobiernos para que los estándares se cum plan a mayor cabalidad. “Tenemos que trabajar con los gobiernos de cada país buscando que promuevan que es tos estándares se cumplan para beneficio de la sociedad. También tenemos que trabajar con los fabricantes y que en cada país existan laboratorios que cuenten con la calidad necesaria para poder certificar los productos”.
Finalmente, el director de AHRI en México explicó que este proceso de masificación en la región se dará paso a paso, iniciando con México, posteriormente continuará en Cen troamérica, donde se han dado algunos avances, y para ini cios del próximo año el proyecto se masificará en Colombia, Chile y en los demás países de la región”.
ASHRAE actualiza el estándar 62.1 y 62.2
donde se han adoptado códigos modelo.
Internacional. ASHRAE anunció la publi cación de la versión 2022 de la Norma ANSI/ASHRAE 62.1 y 61.2 - 2022 para el diseño del sistema de ventilación y la calidad aceptable del aire interior (IAQ). Ambas normas especifican tasas míni mas de ventilación y otras medidas para minimizar los efectos adversos para la salud de los ocupantes.
Estándar 62.1
El estándar 62.1 especifica las tasas mí nimas de ventilación y otras medidas destinadas a proporcionar una calidad del aire interior (IAQ) que sea aceptable para los ocupantes humanos y que mini mice los efectos adversos para la salud.
La norma proporciona procedimientos y métodos para cumplir con los requisitos mínimos de ventilación e IAQ para in genieros, profesionales del diseño, pro pietarios y autoridades jurisdiccionales
Desde su publicación original, el Están dar 62.1 ha sido revisado y mejorado de manera que lo convierte en más que un estándar de ventilación y tratamiento de aire. Para significar que la calidad del aire interior va más allá de los requisi tos mínimos de ventilación, y en reco nocimiento de aquellos aspectos de los sistemas de construcción (equipo, filtra ción, controles y más) que contribuyen a una IAQ aceptable, el título de la norma se actualizó a "Ventilación y ventilación aceptable". Calidad del aire interior."
Lo nuevo en la edición 2022 del estándar son los cambios que representan años de investigación, evidencia estadística y sistemas y tecnologías de construcción mejorados:
• Se reorganizó la Sección 5, "Sistemas y equipos", para reflejar mejor la ruta del flujo de aire e ilustrar cómo se relacionan los edificios, los sistemas y los equipos.
• Enfoque continuo en IAQ, incluidas mejoras en el Procedimiento IAQ, esta blecimiento de temperaturas máximas de punto de rocío en edificios enfriados mecánicamente y distancias requeridas de separación del aire de escape
• Reubicación de espacios relacionados
con el cuidado de la salud en el alcan ce de ASHRAE/ASHE Standard 170 a un nuevo apéndice normativo
• Definiciones actualizadas, ajustes de densidad de aire aclarados y eliminación de elementos relacionados con ocupa ciones transitorias que ahora se incluyen en el Estándar 62.2
• Nuevo título que refleja cómo la ca lidad del aire interior (IAQ) va más allá de los requisitos mínimos de ventilación.
Estándar 62.2
El estándar 62.2, el estándar de ASHRAE sobre ventilación residencial e IAQ para uni dades de vivienda con ocupantes no transi torios, se actualizó para 2022. El estándar describe los requisitos mínimos para lograr una IAQ aceptable a través de la ventilación de la unidad de vivienda, el escape mecáni co local y el control de la fuente.
Los cambios en la edición revisada inclu yen la reorganización y aclaración de las disposiciones existentes, requisitos de compartimentación más estrictos para unidades de vivienda adosadas y un nuevo requisito para sistemas de venti lación mecánica de unidades de vivienda equilibradas o de suministro para unida des de vivienda adosadas en corredores cerrados.
Perú. El Ing. Miguel Castro es el nuevo country manager para Perú de Trane Technologies, la empresa especialista en solucio nes de aire acondicionado.
Miguel cuenta con una amplia experiencia en la industria, y viene de ser el director comercial para HVAC & Refrigera ción de Rheem Perú, cargo que ocupó durante el último año. Previamente, el ingeniero tuvo un amplio paso por Daikin donde se desempeñó como gerente general inicialmente para Perú, posteriormente incluyó a Ecuador y luego para la región Sur.
“Ha comenzado un nuevo viaje. Emocionado por unirme a Tra ne Technologies en la posición de Gerente General. Es un honor y privilegio ser parte de este equipo. ¡Entusiasmado por lo que vamos a lograr! ¡Avancemos con audacia!”, comentó Miguel.
El ingeniero se describe como un profesional con “más de 25
años de experiencia en dirección de operaciones y gestión de negocios implementando estrategias comerciales que aseguren posicionamiento de marca, crecimiento de ventas y liderazgo de operaciones trabajando para multinacionales líderes en su categoría”.
Internacional. La división encargada Hisense HVAC presentó un evento de alance global en el cual, de forma simultánea y en compañía de socios globales, abordó su estrategia de marca de cara los próximos años y habló de su última novedad que incluye tecnología fotovoltaica.
Este espacio, que se realizó el pasado 8 de septiembre a través de una plataforma virtual, fue el escenario para dar un recuento de la historia de la compañía, describir toda la gama de pro ductos con los que cuenta Hisense hoy en día y darle voz a los aliados estratégicos que fortalecen el alcance de la marca.
Dentro del orden del día hubo diversos testimonios, especifica ción del avance de las soluciones de la marca y varios sorteos para quienes estuvieran contactados a la transmisión.
Esta empresa, que fue fundada en 1969 y empezó a operar por fuera de su país de origen en 1985, asegura que es una de las 10 marcas chinas más reconocida por los ciudadanos extranje ros, durante 6 años seguidos según la Encuesta Global de Ima gen Nacional de China, lo que impulsa a su área de Marketing a seguir trabajando en mantener dicho reconocimiento de marca.
Además, la compañía compartió los avances de su crecimiento, pues pasó de tener 50 millones de dólares en 1992 a 27.200 millones de dólares en 2021. Con ingresos en el extranjero de 11.800 millones de dólares, que representan el 41% de todos los ingresos de la empresa. Esto hace evidente la importancia del mercado por fuera del territorio chino.
Por eso no es de extrañar que a la fecha cuenten con 55 filiales en el extranjero, como parte de su plan de expansión, que cu bren Europa, América y Oriente Medio. Así como Australia, el sudeste asiático y otros mercados globales.
Algo claro es que el evento giró en torno a demostrar el com promiso de Hisense con sus valores centrales de “integridad, innovación, orientación al cliente y sostenibilidad” destacando como se cumplen en su oferta de productos, además de cómo esto es claro para sus partners alrededor del mundo.
Finalmente, destacó de su recuento por su oferta que Hisense cuente con la primera fábrica HVAC reconocida en China como “fábrica verde nacional”, esto debido a que, en la primera mitad de este año, la marca lanzó un nuevo producto de aire acondicionado central fotovoltaico (en China) que según sus voceros “puede hacer pleno uso de la tecnología de energía fotovoltaica, transformando el aire acondicionado central de un consumidor de energía a una estrella de energía verde”.
Los dispositivos VRF con refrigerante R32 y aire acondicionado doméstico con refrigerante R290, que estarán disponibles en el 2023.
técnicos de la Industria de Refrigeración y aire acondicionado.
YVenezuela. El pasado 6 de septiembre en las instalaciones de La Fundación para la Reconversión Industrial - FODOIN, ads crita al Ministerio de industria y Comercio, se sostuvo una reunión para conformar un Comité Superior de Profesionales y
Esta actividad, impulsada por la Presidenta de FONDOIN, Lic. Indira Villafaña, busca conformar un Comité superior de Profe sionales y Técnicos que permita construir un grupo colegiado que rija todos las políticas, normas y procedimientos en las diferentes tareas, proyectos y trabajos que se desarrollan en Venezuela en la industria de HVAC/R, con el fin de apoyar, fisca lizar y vigilar el cumplimiento de los diferentes protocolos inter nacionales firmados por Venezuela en materia del cuidado del medio ambiente, además de buscar que los diferentes sistemas que se instalen cumplan con los niveles de eficiencia energética requeridos por este país.
Este Comité creará una mesa técnica buscando establecerse como un grupo colegiado donde todos sus agremiados estén debidamente certificados en las buenas prácticas de refrige ración y aire acondicionado; dicha certificación emitida por el FONDOIN en las próximas semanas se estaría ya conformando formalmente la Junta directiva para legalmente registrar el Co mité como grupo colegiado ante las instituciones Venezolanas.
* Información compartida por el Ing. Jimy Danelli.
México. San Luis Potosí será el estado donde Daikin construirá su nueva plan ta de fabricación de once hectáreas, que se estima tenga un valor de US$300 mi llones y que genere alrededor de 2 500 empleos para este nuevo espacio que iniciará operaciones en el año 2024.
La ceremonia de anuncio de inversión contó con la presencia del Secretario de Desarrollo Económico del Gobierno del Estado de San Luis Potosí, Juan Carlos Va lladares Eichelmann, así como los ejecu tivos, Shigeki Hagiwara, Oficial Asociado Senior, Representante de Latinoamérica, Daikin Industries, LTD y Andrés Benavides, Director General de Daikin Manufacturing Mexico. La inversión de Daikin en San Luis Potosí, forma parte de la estrategia de cre cimiento de la compañía, en respuesta a la creciente demanda de productos en La tinoamérica y América del Norte.
“La producción regional, la innovación, la calidad japonesa y también el forta lecimiento de vínculos con la sociedad en los países en que tenemos presen cia, convertirán a Daikin en el líder de
la industria de HVAC en Latinoamérica y Norteamérica”, afirmó Shigeki Hagiwara, mientras que Andrés Benavides agregó que en esta nueva fábrica se producirán productos residenciales y comerciales, ambos con tecnologías innovadoras y sustentables.
El Secretario de Desarrollo Económico del Gobierno del Estado, Juan Carlos Va
lladares Eichelmann, enfatizó que “esta nueva inversión de Daikin sienta un pre cedente importante para lograr el objeti vo planteado por el gobernador Ricardo Gallardo Cardona para posicionar a San Luis Potosí como el mejor estado para invertir en México; al mismo tiempo, impulsar la expansión y el crecimiento de las empresas que actualmente se en cuentran en territorio potosino”.
Los sistemas HVAC para hoteles, además de entregar confort según demanda y preferencia de cada huésped, hoy en día tienen la exigencia de adaptarse a la arquitectura sin desfavorecerla, pero sobre todo de ser energéticamente sostenibles.
El uso de los sistemas de climatización es crucial en la industria hotelera, pues su oferta de servicio está inclinada hacia la satisfacción del cliente, en la que las experiencias positi vas y de bienestar hacen que este modelo de negocio se consolide con éxito. De ahí que el confort climático sea uno de los factores obligatorios en su check list.
Ahora bien, los dispositivos HVAC tienen un fuerte llamado a ser energéticamente eficientes. Como lo expresa el informe “Cri tical Factors To Attract Hotel Investment” del World Travel and Tourism Council (WTTC), los
destinos con un compromiso y un plan claro para de alcan zar las emisiones netas cero, así como los que adopten un enfoque holístico integrando elementos socioeconómicos y medioambientales, estarán a la cabeza de la atracción de inversiones. Pues la sostenibilidad y la inclusión son factores centrales, para lograr mayor resiliencia y competitividad.
Pero también hay una exigencia de rentabilidad en la ope ración que estos ofrecen. Tal como lo afirma la investiga ción “Estado del arte sobre los principales indicadores de
consumo en el Sector Hotelero” (2020) de la Universidad Simón Bolívar, más del 50% del gasto general de los ho teles se lo lleva el consumo energético, y la climatización hace parte de las principales fuentes de consumo. En este aspecto, la marca Interact asevera que “la calefacción, el aire acondicionado y la iluminación suelen suponer más del 60 % del consumo de energía de un hotel”.
Fabio Clavijo, ingeniero especialista, consul tor y asesor de proyectos de tratamiento de aire y gestión energética, indicó que otros desafíos están asociados con “el confort térmico, acústico, calidad del aire interior, higiene y salud para los ocupantes, personal operativo y técnico de apoyo”.
Con relación con eso, la presencia de los dispositivos HVAC debe apenas ser perceptible, por lo que deben ubicarse en zonas alejadas de los huéspedes, pero con acceso cómodo para el personal de mantenimiento. Así como garantizar el uso de filtros adecuados, un requerimiento que ha entrado en mayor vigencia como consecuencia extendida de la pandemia.
“Mantener 55 % a 60 % de HR a lo largo de todo un año, se vuelve un tema muy delicado y requiere sí o sí tecnología de control de humedad. En muchos países de la región no hay regulación al respecto y esto puede poner barreras, tanto técnicas como económicas”.
Por su parte, Juan Gus tavo Mahecha, docente universitario y fundador de JGM Ingenieros Con sultores en Colombia, manifestó que, para el caso de Latinoamérica, las normas Ashrae son las que rigen el panorama. Siendo el estándar 62.1 sobre calidad de aire interior, junto al estándar 90.1 de eficiencia energética, las guías principales para el diseño.
“El tipo de equipos a implementar de penderá siempre de la extensión y distri bución arquitectónica del espacio, sea un hotel en torres o superficie extendida”. De estas particularidades que influyen en la selección final, Juan aseguró que “sigue prevaleciendo el uso de sistemas de condensación por agua o agua helada, debido a su eficiencia y mejor manejo de la humedad relativa”.
Entre tanto, Carlos Grin berg, Presidente del Capí tulo Argentina de Ashrae y coordinador general de Estudio Grinberg Ingenie ros Consultores, resaltó que “la pandemia hizo que los hoteles pusieran especial atención al filtrado e intercambio de aire en las zonas comunes, donde hay más tráfico de personas y el riesgo de contagio de virus por proximidad es mucho más alto”.
Entonces en esos lugares los sistemas de climatización han visto aumentada la
cantidad y frecuencia de renovación de aire exterior, así como mejoramiento de la calidad del tipo de filtro. “Son temas que previamente figuraban en la agenda, pero no eran fundamentales para el dise ño de los hoteles”, puntualizó Grinberg. Entonces, para que un sistema HVAC responda a las exigencias del mercado de la hospitalidad, cuya finalidad última, como lo aseveró el ingeniero Clavijo, sea “producir un mejor servicio y confort para los huéspedes de la manera más eficiente y medible en el tiempo”, se debe tener en cuenta el diseño a medida de la solución de climatización, la garantía de calidad de aire interior, sumado a un “análisis psicrométrico completo en la etapa de diseño, que permita regular y equilibrar todos los costos energéticos”, requisito indispensable según Mahecha.
Mauricio Romero, direc tor de ingeniería mecáni ca en Sinergia Ingeniería en Costa Rica, explicó que se precisa de seguir ocho pasos. A saber: el estudio de los estándares de diseño de la cadena de hotel; el estu dio de la normativa obligatoria aplicable al proyecto; el cálculo de carga térmica; la simulación energética preliminar; la definición de la tecnología a utilizar; la
selección de los equipos; la coordinación interdisciplina ria en planos y documentos constructivos; finalmente, la puesta en marcha.
Mauricio también comentó desde su experiencia, que en este tipo de proyectos cuando están en el trópico y es imperativo “mantener 55 % a 60 % de HR a lo largo de todo un año, se vuelve un tema muy delicado y requiere sí o sí tecnología de control de humedad. En muchos países de la región no hay regulación al respecto y esto puede poner barreras, tanto técnicas como económicas”.
Asimismo el experto reseñó que “un buen diseño de HVAC depende en gran medida de un buen cálculo de carga térmica. Optimizar y decidir entre un sistema, u otro no es algo que aplique para todos los proyectos hoteleros, hay muchos factores que hacen único a cada proyecto, por lo que se debe analizar puntualmente. En ese sentido, la simulación energética es una herramienta importante, dado que se aúna el tópico técnico y económico en un solo estudio”.
Igualmente, Fabio Clavijo, señaló que no hay una fórmula única. “Cada caso merece y requiere de estudios detallados de ingeniería y arquitectura, combinados y armonizados desde las primeras etapas de diseño. De este estudio se desprenderán soluciones acordes a las características par ticulares de cada proyecto”.
Mahecha expresó que para lograr las mejores condiciones de funcionamiento se recomienda hacer uso de ciertas tecnologías actuales, “como lo son las ruedas entálpicas, los recuperadores de calor y el uso de DOAS. Con esto se logra un acondicio namiento del aire exterior antes de ser introducido a las habi taciones, para efectos de la calidad del aire, haciendo un pre secado que ayude a mantener unas condiciones óptimas de humedad relativa en el hotel”.
“Hay que tener cuidado precisamente con la alta hume dad en los hoteles en América Latina, por el desgaste que genera en el mobiliario. Una de las formas de manejo de esto es el enfriando el aire, al hacerlo necesitamos aumentar la carga térmica de enfriamiento, entonces ahí tenemos que buscar un balance con el estándar 90.1 de Ahsrae (eficiencia energética) , para que no tengamos que recalentar mucho el aire posteriormente”.
Otra particularidad a considerar es que “la hotelería es de las pocas aplicaciones donde coexisten siempre el aire acondicionado y los sistemas de calentamiento de agua. Los primeros son sistemas de transferencia de calor de
un lado a otro, con calor de rechazo presente, por otro lado, los segundos son consumidores primarios de calor o energía, en cualquiera de sus formas. Así que cualquier tecnología de recuperación de calor (fuentes renovables o calor de rechazo) debería ser estudiada sí o sí, como parte de la etapa de diseño del proyecto”, sugirió Romero.
Por su parte, Grinberg asegura que es importante “contar con un sistema versátil que te permita tener sistema de verano e invierno para satisfacer las necesidades de dis tintos clientes, una buena renovación de aire y por último tener instalaciones especiales para los espacios como piscinas cubiertas. El hotel es un mundo de experiencias y uno debe tratar de ajustarse en función de la solución que esté diseñando”.
Pero ¿qué sucede cuando no se trata de un hotel nuevo? ¿A qué se enfrenta un profesional al momento de asu mir un diseño pensado en la modernización de sistemas HVAC ya existentes? En palabras de Mauricio, esto implica diversos retos, pues se debe lidiar con factores como el nivel técnico de los departamentos de mantenimiento y operación, es decir, la falta de capacitación, documenta ción técnica y actualización en estas áreas.
También se debe enfrentar el alto costo de la energía, además del nivel técnico de los profesionales de diseño y construcción, que en muchos países no es el requerido. En otras dificultades, el ingeniero expuso que a veces es complejo encontrar el “timing adecuado entre el momento para la implementación técnica y la ventana posible según la ocupación del hotel”.
Por su parte, para Clavijo el mayor reto para llegar a la modernización de estos espacios es mental y de forma ción. “No habrá espacio para abordar nuevos enfoques, soluciones y tecnologías si no se dispone de un asesor en HVAC que informe y documente las nuevas tecnologías
y oportunidades que están disponibles”. En contraste afirma que el futuro del servicio hotelero está basado en instalaciones sostenibles y amigables con el ambiente, e indica que en los cambios están las grandes oportunidades de ahorro y mejora del funcionamiento.
Mahecha afirmó, frente a la modernización en términos de las metas ambientales, que “para lograr esa sostenibilidad y esa meta de Cero Neto en consumo de energía se deben buscar fuentes alternativas. Pero en términos generales seguimos dependiendo del petróleo, es una realidad que no podemos cambiar de golpe. Lo que tenemos es que buscar una conversación que nos permita utilizar sistemas híbridos, para que poco a poco podamos cambiar y ajustar las tecnologías que usamos a la nueva realidad ambiental”.
Finalmente, Grinberg describió cómo abordar este tópico desde un proyecto actual. “Justo ahora estamos moder nizando el hotel más grande de Buenos Aires, el cual tiene más de 50 años y cuenta con 1 200 habitaciones. Este edificio tenía un sistema de agua helada de doble serpentín agua fría y caliente que decidimos cambiar por un sistema VRF híbrido”.
Y agregó: “Estos dispositivos también se eligieron porque la condición de la renovación es que no se puede cerrar el hotel, entonces no podemos cambiar los chillers ni las calderas. Estamos colocando una condensadora exterior con intercambiador de calor cada 10 habitaciones, para que entregue agua fría y caliente a los usuarios. Con esta estrategia podemos hacer la obra por piso, sin perturbar la estancia de los huéspedes en el hotel”.
La acción por el clima de la Organización Mundial del Turismo (UNWTO), declaró en el último estudio de la Organización Mundial del Turismo (OMT) y el ITF (2019), presentado durante la COP25 de la Convención Marco de las Naciones Unidas sobre el Cambio Climático, que las emisiones de CO2 co rrespondientes al turismo aumentarán al menos un 25% para 2030.
De ahí que propusiera que la resiliencia de ese sec tor dependerá de que sea capaz de “recortar sus emisiones de carbono en un 50% de aquí a 2030”. Más aún, la “Declaración de Glasgow sobre la Ac ción Climática en el Turismo”, indica que se debe “alcanzar el cero neto a la mayor brevedad posible, y siempre antes de 2050”.
La responsabilidad del sector hotelero en esta te mática se da porque, como lo señala la OMT, en el documento “Turismo y cambio climático: Hacer frente a los retos comunes”, el alojamiento causa en torno al 21 % del total de emisiones del sector turístico. Donde “los grandes hoteles producen más emisiones […] porque consumen más energía para hacer funcionar otras instalaciones como restauran tes, bares, piscinas y spas”.
Análisis, recomendaciones, procesos y herramientas para efectuar una correcta soldadura en esta clase de sistemas.
En la industria de la refrigeración y del aire acondicionado se utilizan, en la mayoría de los casos, tuberías de cobre soldadas a diferentes codos, uniones y accesorios, que si no procuramos hacer el procedimiento adecuado se producirán una serie de con taminantes que circularán en el sistema ocasionando algunos problemas.
A menudo se realizan soldaduras con mate rial de aporte, sea para unir tuberías o para instalar accesorios que nos permitan desviar o reducir dichas tuberías. Para hacer esta unión o instalación deberíamos usar ciertas
técnicas que nos permitan realizar dicho trabajo con el menor de los riesgos en cuanto a residuos u óxidos dentro de la tubería.
En la atmosfera el aire que se respira está lleno de conta minantes, los cuales a alta temperatura permiten la oxi dación del cobre, dejando un hollín que queda dentro de la tubería y va a dar al cárter del compresor directamente en algunos casos, en otros va a parar a los elementos de expansión, o con suerte al filtro de línea.
Para los sistemas con VEE (válvula de expansión electrónica) que la misma posee micro filtros es todo un tema: tapa la VEE o limita su movimiento, de ahí que los sistemas inverter sean tan incisivos en el tema de las soldaduras, esto para evitar estos y otros males relacionados.
El método correcto: dejar pasar un hilo de N2 creando una atmósfera libre de aire, dónde los contaminantes no hagan este efecto en el cobre, es decir no hay oxidación, en este punto creo que todos estamos de acuerdo aunque a veces se complique hacer dicha soldadura con esta técnica, sea por falta de N2 o por cuestiones prácticas, de ubicación,
requerimiento de urgencia para la entrega del trabajo, última soldadura de un compresor, etc.
Más esto no exime al profesional de conocer tanto la técnica como la consecuencia, algunas veces sin ellas y otras no, porque hasta en reacciones químicas se han encontrado producto de este hollín, si no puedes hacer está soldadura al menos realiza un lavado de las tuberías una vez terminas la instalación, porque la cantidad de hollín está relacionada con la cantidad de soldaduras, y como lo he dicho en otras ocasiones, los filtros de línea son elementos estáticos del sistema, es decir, no salen a buscar el sucio o la humedad.
Cómo experiencia personal hemos encontrado sistemas con problemas hasta de lubricación, en inverter por falta de técnica de soldadura o de limpieza posterior.
Las fugas normalmente se presentan en las uniones sol dadas y en las roscadas, incluso estas conexiones roscadas solo sellan en la parte de la copa cónica del flering y al gunos técnicos colocan en la rosca de la tuerca selladores tipo teflón lo cual genera fugas, estos viajan hasta los filtros de las máquinas y en ocasiones se localizan en las válvulas de expansión, por lo cual, se deben revisar los puntos en los que se interviene; si no es posible localizar la fuga con sistema en vacío, se debe proceder a cargar nitrógeno a presión utilizando un detector de fugas, o únicamente con agua y jabón recorrer de nueva cuenta todas las uniones sospechosas soldadas, y también las roscadas de todo el circuito de refrigeración hasta loca lizar la fuga y corregirla.
La corrección de fuga puede solucionarse a través de una soldadura en el poro que se pudo haber constituido accidentalmente. Esto suele suceder muy a menudo en el evaporador; al aplicar la soldadura, debe realizarse con corriente de nitrógeno a una presión aproximada de 4 lb/ in2. Si el poro es pequeño se puede recurrir a soldaduras
químicas y, si el orificio es muy grande, se puede reempla zar la tubería de aluminio por tubería de cobre, cambiar el evaporador por uno nuevo o simplemente ajustar donde se presentó la fuga.
Los primeros materiales para soldadura utilizados en la industria frigorífica fueron el cobre y el latón, empleados todavía para la soldadura de determinados metales. Dichos materiales presentan el inconveniente de no resistir bien la corrosión y, sobre todo, de poseer puntos de fusión relativamente elevados.
La adición de cierta cantidad de plata a las aleaciones de cobre y zinc tiene por efecto la reducción del punto de fusión, además de mejorar sus cualidades mecánicas, así como su resistencia a la oxidación y a la corrosión.
La reducción del punto de fusión de las aleaciones ternarias –cobre, plata, zinc, puede obtenerse añadiendo cadmio, que contribuye también a mejorar las características físi cas de la aleación así elaborada, lo que permite obtener soldaduras conocidas comercialmente como soldaduras de plata.
Soldar cobre no resulta complicado, sin embargo, requiere un poco de práctica para llegar a realizar soldaduras de buena calidad. Hay dos asuntos claves para soldar con facilidad y calidad:
1. Las partes por soldar deben estar secas; la más míni ma salida de agua por alguna de las partes impedirá la soldadura.
2. Las zonas que resultarán soldadas deben estar perfecta mente libres de grasa y óxidos; el cobre debe lucir brillante.
• Preparar el interior del accesorio, limpiar la existencia de óxido y grasa con un cepillo de alambre redondo
• Preparar el exterior del tubo, limpiar excedente de óxido y grasa con una tira de papel de lija fino
• Aplicar el fundente de ser necesario en el extremo del tubo unos 25 mm; quitar el remanente dejado por el corte en el interior y acoplar las dos piezas
• Calentar la unión de la parte media del accesorio, no del tubo, hasta que el fundente comience a crepitar
• Tocar el borde de la unión con la varilla, si se funde está listo para soldar
• Separar la llama de la unión e insertar la varilla hasta cubrir la unión; esta irá entrando a la unión por capilaridad. Una buena soldadura muestra la plata en toda la periferia del borde. Hay que tener cuidado: el tubo puede estar caliente aun estando lejos de la unión.
a) Un trozo de papel de lija fino o un cepillo de alambre para limpiar el tubo exteriormente b) Un cepillo de alambre de diámetro apropiado para lim piar los accesorios de unión interiormente; en su defecto, se puede forrar con papel de lija fino una pieza cilíndrica de madera
c) Una antorcha u otro dispositivo similar que produzca una llama concentrada
d) Un buen fundente para estaño, libre de componentes nocivos, y una brocha pequeña para esparcir el fundente e) Un rollo de soldadura debe tener las siguientes carac terísticas: soldadura 95:5
f) Un paño grueso para la limpieza final de la soldadura
• Si la soldadura se hará en una tubería ya instalada y detrás de ésta hay un material combustible, por ejemplo, madera, usar una plancha metálica u otro dispositivo simi lar entre el tubo y la madera a fin de evitar fuego
• Cuando la tubería ya está instalada, la soldadura se debe realizar con corriente de nitrógeno, como lo indica la norma técnica
• Delimitar el área de trabajo y tener un recipiente con agua o un extintor en caso de contingencia
• No sobrecalentar la unión; esto hace que la plata y el cobre se oxiden, y la soldadura quedará defectuosa
• Si se trabaja “sobre cabeza”, protegerse de las posibles go tas de plata fundida que puedan caer, especialmente los ojos
• Nunca tocar la soldadura y sus zonas aledañas, hasta no estar seguro de que está fría.
• Evitar enfriar con agua las soldaduras ya que contaminan las tuberías y accesorios.
* Jimy Danelli es asesor de mantenimiento en aire acondicionado y refrigeración. Pueden escribirle al correo electrónico: jdane lli36@gmail.com
Conozcamos todas las características de un proyecto para una compañía de dispositivos médicos realizado en la Zona Franca Coyol, Costa Rica.
Las instalaciones de MicroVention, empresa de Terumo Group, recibieron solu ción a sus necesidades de climatización por parte de Ecoaire, que ejecutó un proyecto robusto el cual debió ser instalado en tres etapas, desde 2018 hasta el 2022.
Esta integración, que intervino los espacios de tres cuartos limpios, dos coating room, oficinas y áreas sociales, se ubica en el edificio de la compañía ubicado en la Zona Franca Coyol. Un dato importante es que esta empresa se dedica a la fabricación de equipos médicos.
Ahora bien, los productos y fabricantes usados en este proyecto fueron, chillers de Trane y Smardt, manejadoras de Trane y VTS, ventiladores Greenheck y Loren Cook, filtración de la marca Camfil y, finalmente, el sistemas de bombeo de Bell&Gossett y el fabricante Armstrong.
En general, el proyecto consistió en la instalación de siste mas HVAC para aplicación de cuartos limpios, coating ro mos, oficinas y otras amenidades, como las áreas sociales, gimnasio, comedor y salas de estar. Toda la solución fue diseñada por el Ingeniero Jorge Lossley J. M.Sc., director ejecutivo de la empresa AEG Consultores en Ingeniería S.A.
En este proyecto de HVAC las diferentes etapas de enfria miento se realizan mediante sistemas de agua helada de tipo primario variable, redundantes, con Chillers Centrifu gos Magnéticos de velocidad variable, enfriados por aire y libres de aceite de la marca Smardt; así como Chillers de Tornillo con velocidad variable de la marca Trane.
Es relevante mencionar que ambas tecnologías cuentan con circuitos múltiples para mejorar la confiabilidad del sistema. Además, todos los chillers cuentan con sistemas de recuperación de calor que se utilizan para proveer el recalentamiento necesario para el control de humedad de las manejadoras, cuya funcionalidad es garantizar las condiciones de operación de los cuartos limpios ISO Clase 8, en una huella aproximada de 18,750m2.
Otro elemento que destaca son los sistemas de ventilación industrial de las marcas Greenheck y Loren Cook, que se encargan de la renovación y ventilación del aire en general. Adicionalmente, cuenta con sistemas de admi nistración y automatización de edificios (BMS y BAS) de las marcas Trane y Schneider Electric, los cuales permiten controlar y monitorear todas las variables de operación, algo fundamental para las condiciones de producción en la industria médica.
Ahora bien, frente al porqué de las tecnologías escogidas específicamente para este proyecto, la compañía Ecoaire indicó que “las tecnologías con que se trabajaron las dife rentes etapas fueron seleccionadas con base en estrictos criterios de uso eficiente de energía, ahorro energético y confiabilidad de los sistemas. Las tecnologías empleadas permiten al cliente asegurar la continuidad de su negocio y disminuir su costo operativo”.
Toda la Zona Franca Coyol se ha caracterizado por ser un parque empresarial con lo último en tecnología y una in fraestructura disponible para la utilización en las principales plantas de industria médica en Costa Rica. Es por esto que el cliente había construido, en una primera etapa, un sis tema de agua helada que utiliza Chillers Tornillo enfriados por aire de velocidad variable y manejadoras aplicadas de Trane, para el primer cuarto limpio y las áreas de oficina.
Ahora bien, durante la implementación no sé utilizaron recursos de la etapa 1, al contrario, la segunda etapa del proyecto, que fue donde intervino Ecoaire, tomó en con sideración la interconexión de los sistemas de agua helada de la primera etapa (existente) con la segunda etapa,
permitiendo que el cliente pudiera operar sus plantas de agua helada de una forma más eficiente.
Esto permitió operar la etapa 1 con la planta de agua helada de la segunda etapa, de eficiencia superior, lo que representa un ahorro en costo operativo y una mejora en la confiabilidad de ambas etapas.
Este proyecto HVAC tuvo por misión principal garantizar el suministro de ambiente controlado para Cuartos Limpios ISO Clase 8, así como propiciar un sistema capaz de con trolar las condiciones de temperatura, humedad, limpieza y presurización de los Cuartos Limpios y oficinas, con una integración a los otros dispositivos electromecánicos (OFA, ATS, Subestación eléctrica) por medio de un sistema de administración y automatización de edificios (BMS).
Las principales dificultades presentadas fueron del tipo logístico, debido a la afectación que generó la pandemia del COVID-19 en los tiempos de entrega de los diferentes equipos, esto obligó a tomar medidas de contingencia para no afectar los plazos previamente establecidos para la ejecución del proyecto, gracias a la amplia experiencia del equipo de ejecución e inspección del proyecto se lo gró tomar decisiones oportunas que permitieron que el proyecto saliera en tiempo y forma.
Finalmente, Harry Gutiérrez, director de Ecoaire, manifestó que “consideramos que las expectativas y necesidades del cliente fueron superadas, ya que recibió un sistema suma mente robusto, eficiente y que le facilita la administración de su operación”.
En la tercera y última parte de este especial hablaremos sobre el espesor económico de aislamiento térmico.
¿Alguna vez te has preguntado cuál es el espesor adecuado para reducir la pérdida/ ganancia de calor? ¿Es cierto que cuanto mayor sea el aislamiento térmico, mejor será el rendimiento?
Una respuesta corta y rápida a esa pregunta es "sí, lo es". Eso es lo primero que suele venir a la mente. ¿Por qué no? ¿Es eso correcto?
El espesor del aislamiento térmico se puede calcular en función de dos requisitos diferen tes en el caso de sistemas de enfriamiento:
uno es para evitar la condensación y el otro es reducir la densidad de la transferencia de calor (pérdida / ganancia de calor). Los cálculos básicos se definen en la norma ISO 12241.
Para evitar la condensación en cualquier sistema de enfria miento, solo se necesita el espesor mínimo de aislamiento, que es un valor que depende de las condiciones ambien tales del aire circundante (temperatura y humedad), si estas condiciones cambian, entonces el espesor mínimo de aislamiento para evitar la condensación será diferente. ¿Qué tan diferente? Para eso, debemos referirnos a la norma ISO 12241, Cláusula 4.3 Prevención de la conden sación superficial. Espesor mínimo para evitar la condensación.
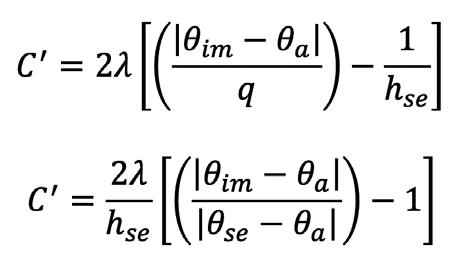
Calcular el espesor mínimo para evitar la condensación de la superficie en tuberías es una tarea muy fácil, de acuerdo con la norma ISO 12241 necesitamos calcular el parámetro de espesor C'. Hay dos ecuaciones para ello:
Donde,
θ_im: Temperatura del medio
θ_a: Temperatura ambiente
θ_se: Temperatura de la superficie externa λ: Conductividad térmica a temperatura media
q: Densidad del flujo de calor hse: Coeficiente superficial de transferencia de calor
La ecuación (1) trabaja con la densidad del flujo de calor mientras que la ecuación (2) trabaja con la temperatura de formación de rocío.
Hagamos un ejemplo considerando la temperatura de formación de rocío, el siguiente ejemplo es para explicar el espesor mínimo para evitar la condensación en tubería de acero.
θ_im: 10 grados centígrados
θ_a: 20 grados centígrados
D: 0.108 m (tubería de acero al carbono)
λ: 0.039 W/(m.K)
φ: 85% h_se: 5.4 W/(m2. K)
Paso 1- Temperatura de formación de rocío.
De acuerdo con la norma ISO 12241, Tabla 4: Paso 2 – Cálculo del parámetro C'.
Utilizando la ecuación (2) y un elastómero como aislante, la temperatura media es de 13.7 °C.
Cuando el parámetro C' es de 0.0334m, con la ayuda de la figura 9 de ISO 12241*, el espesor mínimo para evitar la condensación es de 13.00mm aproximadamente.
La condensación de la superficie depende no solo de los parámetros que afectan la temperatura de la superficie, sino también de la humedad relativa del aire circundante, que muy a menudo no puede ser declarada con precisión por el usuario.
Cuanto mayor es la humedad relativa, más aumentan las fluctuaciones de humedad o de temperaturas superficia les el riesgo de condensación superficial. A menos que se disponga de otros datos, es necesario hacer suposi ciones como en la Tabla 3* para calcular el espesor de aislamiento necesario para evitar la formación de rocío en las tuberías. Utilizando la Ecuación (48)*, el espesor de aislamiento necesario para prevenir la formación de rocío se puede obtener mediante técnicas iterativas. La diferencia de temperatura permitida, expresada en Kel vin, entre la superficie y el aire ambiente para diferentes humedades relativas al inicio de la formación de rocío se da en la Tabla 4*.
*Todas las tablas, ecuaciones y figuras referencia das en este artículo se encuentran en la norma ISO 12241 la cual puede ser adquirida en línea a través de su página oficial www.iso.org
Espesor óptimo para reducir la densidad del flujo de calor (Pérdida/ganancia de calor): El espesor económico es el grosor de un material de aislamiento térmico que minimiza el costo total (inversión y costos de funcio namiento) durante un período especifico - equilibra el costo de los pagos de intereses incurridos para aislar el sistema contra el costo de la energía ahorrada como consecuencia.
El aislamiento de cualquier sistema significa una inver sión. Por lo tanto, el factor más importante en cualquier sistema de aislamiento es analizar el aislamiento térmico con respecto al costo. La efectividad del aislamiento sigue la ley de rendimientos decrecientes. Por lo tanto, hay un límite económico definido para la cantidad de aislamiento, lo cual está justificado. Un espesor mayor no es económico y no se puede recuperar a través de una baja mejora de rendimiento térmico. Este valor limitante se denomina espesor económico del aisla miento térmico.
Veamos un ejemplo, considerando las mismas condi ciones descritas en el ejemplo anterior: utilizamos 4 espesores diferentes de un elastómero (NBR) con con ductividad térmica 0.033 W/mK a 23 grados centígra dos como temperatura media de estudio - a partir del espesor mínimo para evitar la condensación, que era de 13 mm (1/2”), luego aumenta gradualmente el grosor a 25 (1”), 50 (2”) y 75 mm (3”). consulte la figura 1 y 2 para los resultados.
Hay dos métodos para calcular el espesor económico:
(1) Método gráfico: después de recopilar todos los datos, incluida la inversión inicial, el costo de aislamiento, opera ción y mantenimiento, el costo de energía / combustible, se organizará un gráfico como se muestra en la figura 3.
Cálculos computarizados: existen varios programas infor máticos diseñados para calcular el espesor económico del aislamiento térmico.
Para calcular el grosor económico, necesitamos organizar la siguiente información:
• Temperatura de la superficie de la tubería sin aisla miento.
• Dimensiones como el diámetro, la longitud y el área de superficie de la sección de tubería en consideración.
• Temperatura ambiente media.
• Dado que estamos haciendo los cálculos para el es pesor de aislamiento disponible comercialmente, se requerirán algunos cálculos de prueba y error para decidir la temperatura de la superficie después de colocar el aislamiento.
• Seleccione un material de aislamiento, con valores de conductividad térmica conocidos en el rango de temperatura media de aislamiento.
• Calcule la resistencia térmica y el grosor del aisla miento.
• Estime el área de superficie de la tubería con dife rentes espesores de aislamiento y calcule la pérdida total de calor de las superficies.
Figura 1.
• Estime el costo de las pérdidas de energía.
• Calcule el valor presente neto de los costos de ener gía futuros durante una vida útil de aislamiento de típicamente 5 años a 10 años – dependiendo del material aislante.
• Calcule el costo total de poner aislamiento en la tubería (material + costo de mano de obra)
• Calcule el costo total de los costos de energía y aislamiento para 3 situaciones.
• El espesor de aislamiento correspondiente al menor costo total será el espesor económico.
Figura 2.
El siguiente gráfico (figura 3) se ha realizado utilizando Aero-calc para determinar la pérdida/ganancia de calor basándose en el ejemplo anterior. Teniendo en cuenta el costo total del aislamiento y su instalación, para este caso particular el espesor económico está entre de 25mm (1”)
a 32 mm (1-1/4”), se recomienda seleccionar el siguiente tamaño estándar. Resultado en tabla 1.
Los beneficios del espesor económico variarán según la aplicación y el método de evaluación financiera. Uno de los métodos más simples de evaluación financiera es el análisis "Payback", donde los costos se comparan con los ahorros y el resultado se expresa en términos de periodo de recuperación.
* Ayuda a estimar el retorno de la inversión (ROI): Un sistema de aislamiento correctamente diseñado e insta lado proporciona un excelente retorno de la inversión y una rápida recuperación a través del ahorro de costos.
El aislamiento es una inversión de bajo riesgo porque el ahorro y la recuperación se pueden pronosticar con un alto grado de precisión.
Figura 3.
La tabla 1 contiene cálculos del costo del aislamiento y la energía eléctrica – si nos enfocamos en el comportamiento, a medida que aumentamos el espesor aumenta el costo combinado pero el ahorro energético se no mejora en una escala considerable. Podemos concluir que la solución no está en elegir al azar el aislamiento mas grande sin antes hacer un estudio detallado.
¿Cuáles son las diferencias entre el espesor mínimo para evitar la condensación superficial y el espesor económico?
El espesor mínimo evitará la formación de rocío; sin embargo, la cantidad de ahorro de energía será tan baja que puede provocar pérdidas económicas para el usuario final - cuanto más tiempo se use el material, más dinero perderá el usuario final - La solución no es seleccionar un espesor mayor antes de hacer un análisis detallado. Ese análisis es el espesor económico, que ayudará a equilibrar el costo de inversión y operación junto con el retorno de la inversión basado en el ahorro de energía.
El aislamiento es una de las pocas tecnologías en las que la recuperación de la inversión se considera más que aceptable en comparación con muchas otras compras de equipos o mantenimiento. Si el sistema aislado está bien mantenido, los ahorros de la inversión continúan durante la vida útil de la instalación. De hecho, cuesta más no aislar adecuadamente. A menudo, el aislamiento se paga con el presupuesto de mantenimiento y luego reduce el pre supuesto de operaciones durante la vida útil del sistema.
* Ayuda a controlar la temperatura y estabilidad de los procesos: El aislamiento se puede utilizar para mantener las temperaturas del proceso en diferentes industrias, incluidas las de alimentos y bebidas, farmacéuticas, de petróleo y gas, e incluso en edificios y construcciones. Además, según sea la aplicación, puede proporcionar seguridad a usuarios manteniendo una temperatura adecuada de las superficies de los sistemas.
Proteger el al medio ambiente reduciendo las emisiones de CO2.
Espesor (mm) Costo del aislamiento (factor) Costo combinado (factor)
Ganancia de calor (Wh) Costo de la energía (Moneda/Wh)
Tubería desnuda 0.00 1.400,00 394.52 1.350,00
13 (1/2”) 100.00 900,00 359,31 600,00
20 (3/4”) 130.00 600,00 324,10 300.00 25 (1”) 180,00 500,00 253,66 180,00 32 (1-1/4”) 230.00 550,00 206.15 150,00 40 (1-5/8”) 300,00 750,00 182,40 130,00 50 (2”) 500,00 1.000,00 158.65 120.00 75 (3”) 800.00 1.300,00 122,15 60.00
¿Qué más puede ofrecer el grosor económico?
Un menor consumo de energía significa menos contamina ción. El aislamiento térmico reduce el consumo de energía, lo que significa que se quema menos combustible fósil para producir esa energía. Esto, a su vez, disminuye el número de gases contaminantes como el dióxido de carbono y el dióxido de azufre emitidos a la atmósfera. Debido a que el dióxido de carbono es uno de los principales gases de efecto invernadero que contribuyen al calentamiento global, el aislamiento juega un papel importante en la protección del medio ambiente.
Teniendo en cuenta el ejemplo anterior, calculamos la emisión de CO2 para XLPE (Poliolefina) y NBR (elastómero) considerando 4 espesores, además los árboles necesarios para absorber el CO2 emitido. Usando un gráfico, es fácil recono cer que la mejor mejora en términos de reducción de CO2 y el número de árboles necesarios se produce alrededor del espesor económico como se siembra en el siguiente gráfico:
A continuación, se presentan los resultados del análisis sobre la emisión de CO2, considerando tubería de 10m de longitud.
Escrito por: Arcadio J. Velásquez | Ingeniero Mecánico. Sr. Technical Marketing Engineer - Hira Industries LLC. Especialista en Aislamiento Térmico Dubái, Emiratos Árabes Unidos. j.arcadio@rhira.com
Espesor del aislamiento (mm)
Emisión de CO2 (Kg/m/año)
necesarios
absorber el CO2
Emisión de CO2 (Kg/m/año)
necesarios para absorber el CO2
4.
Una Academia que ha visualizado el cambio en la educación técnica en Latinoamérica.
por ING. ANDRÉS FELIPEHace dos años cuando comenzamos a vivir la pandemia no sabíamos cómo enfren tarnos con esa realidad, como trabajar desde casa y continuar capacitándonos sin estar reunidos de manera presencial. Si hacemos una retrospectiva sobre cómo estábamos viviendo antes y de lo que podemos dispo ner ahora, observamos cambios y avances interesantes en el tema de educación a nivel global y de continente.
Muchas empresas exploraron nuevas plata formas digitales para desarrollar webinars y cursos online, esto nos enseñó que podemos
tener el conocimiento de manera más cercana, con expositores con alta experiencia que podrían haber tenido anteriormente menos viabilidad de asistir o de dictar una conferencia de manera presencial por temas de tiem po, costos, logística y desplazamientos.
En mi experiencia personal, tuve la oportunidad de realizar un curso vir tual en el año 2020 sobre auditorías energéticas en edificios con la UTN (Universidad Tecnológica Nacional de Buenos Aires Argentina) y ASHRAE capítulo argentino, además de reco mendarlo, fue una de las inspiracio nes que como en cualquier disciplina se debe tener un compromiso para alcanzar los objetivos; es importante conocer donde está la información, saber que profesional puede comple mentar su conocimiento y hacer lo que yo personalmente denomino SIC (Sinergia Integral del conocimiento).
El conocimiento ha cambiado y cam biará permanentemente en su forma y fondo, ya no es de horas y horas aprendiendo y memorizando concep tos, la clave es recibirlo, pero también y lo más importante, compartirlo y saberlo utilizar.
Desde niño siempre he amado la do cencia y en esa pasión ensayé muchas formas de transmitir el conocimiento, pero me di cuenta que habían fac tores que no permitían desarrollar el proyecto educativo que quería en un 100% (tiempo, desplazamientos, costos, logística, entre otros).
Tuve entonces algunos días para pensar sin el afán de lo cotidiano y visualizar que la educación técnica cambió su manera de enseñar desde hace unos años, inspirándome a crear un modelo educativo-colaborativo llamado Aca demia de Fundamentos Técnicos AFT, cuya misión es generar conocimiento técnico y valor en los estudiantes, apoyándonos en un grupo de profe sionales, amigos, colegas y expertos
no solo de Colombia, sino también de Latinoamérica, que tuvieran la misma filosofía y pasión por la educación, pilar fundamental del progreso de la sociedad, cuando esta educación es de calidad y de fácil acceso. De ahí nació nuestro slogan “porque el conocimien to no tiene límites ni fronteras”.
Es así como en abril de 2021 con solo dos personas (ya hoy somos 7 personas en el grupo), inició este proyecto educativo de la Academia como una prueba, sin conocer el comportamiento y la aceptación de las personas, pero con la fe y la visión clara que brindaríamos lo mejor en
temas técnicos, realizando cursos de calidad y fácil acceso para todas las personas del público objetivo de la Academia (ingenieros, arquitectos, técnicos, tecnólogos, personal de campo, coordinadores técnicos, administradores, jefes de mantenimiento, entre otros), en general para todo el pú blico que tuviera una necesidad de reforzar o de aprender sobre temas técnicos y nuevas tecnologías.
Hoy la Academia de Fundamentos técnicos se ha conver tido en un referente del cambio educativo, con nuevos cursos de actualización de conocimientos y aptitudes, mediante cursos no certificados de 2 horas que profundi zan en resolver inquietudes puntuales de los estudiantes, cursos con posibilidad de certificación (8 horas) con el aval de una destacada universidad de Colombia y de Latinoamérica (Universidad de Medellín), próximamente un servicio de consultoría virtual con expertos en temas técnicos específicos y en general, un servicio educativo que comprende seis módulos que atiende la Academia de Fundamentos Técnicos:
• Manejo de software técnicos
• Disciplinas técnicas complementarias (RCI, Ilumina ción, electricidad, obras civiles, entre otras)
• Climatización (aire acondicionado, ventilación y extracción mecánica)
• Sostenibilidad y medio ambiente
• Refrigeración
Queremos seguir cambiando, evolucionando y mejorando
las competencias de nuestros clientes, mediante la realiza ción de cursos técnicos 100% dictados en idioma inglés por docentes de América Latina.
Es un hecho que la educación actual se ha transformado de cierta forma, pero deberá seguir contando con institu ciones, profesionales, medios de comunicación, empresas, asociaciones, entidades gubernamentales, que sigan cre yendo en la formación de calidad para el desarrollo de un país y de nuestra región, Latinoamérica.
Tenemos todo el potencial, creatividad y conocimientos, pero nos hace falta convencernos más que somos muy buenos en lo que hacemos y que necesitamos que las nuevas generaciones continúen por buen camino en el proceso educativo y formativo-operativo (conocimiento – práctica).
Personalmente y para compartir un poco mi experiencia como docente de la materia “Introducción a la Ingeniería Mecánica”, en mi amada Universidad de Antioquia, de la cuál soy un orgulloso egresado de esa carrera, les quiero sembrar a mis estudiantes la semilla del cambio de pensa miento, a los clientes de la empresa AFT Ingenieros Con sultores y los estudiantes de la Academia de Fundamentos Técnicos, con dos tips que deseo compartir: el primero es cambiar tus pensamientos y obtendrás mejores resultados, el segundo, y muy importante: antes de ser profesionales debemos ser personas.
Deseo darle las gracias a nombre propio y del equipo de la Academia a la revista ACR Latinoamérica, a nuestros patrocinadores diamante y zafiro, a las personas que hacen parte del equipo de La Academia (es una nueva generación con mente fresca y renovada), a los colegas y amigos de ASHRAE (Sociedad Americana de Ingenieros de Calefacción, Refrigeración y Aire Acondicionado) y especialmente a la Universidad de Medellín, en cabeza de su decano de Ingeniería y de la directora de educación continuada de esta universidad para realizar el convenio que certificará algunos de los cursos técnicos y por hacer
posible una trasformación del cambio en la educación, por creer como lo hacemos en La Academia AFT, que la única barrera de la educación técnica de calidad somos nosotros mismos.
En la Academia de Fundamentos Técnicos se tienen las puertas abiertas para que puedan disponer de los cursos, servicios, publicaciones de calidad, alianzas y que entre todos sigamos siendo el pilar de la nueva formación de profesionales en la parte técnica, no solo en la parte del conocimiento, sino desde la parte humana, de generar más que riqueza, valor en nuestra sociedad.
Los invitamos a que visiten nuestra plataforma www.academiaaft.com y sean parte de este proyecto que fue creado y desarrollado para los que estemos convencidos que en la educación está la verdadera transformación.
* Andrés Felipe Trujillo Rodríguez Ingeniero mecánico - Universidad de Antioquia Consultor HVAC +57 3105455233 gerencia@aftingenierosconsultores.com
/ info@academiaaft.com
La relevancia de la digitalización para combatir el desperdicio de alimentos.
Durante muchos años la industria logística y sus clientes estuvieron a ciegas respecto a lo que sucedía dentro de los contenedores y los productos que se transportaban. No obstante, la tecnología ha empujado a una evolución en esta área y actualmente es posible para los productores y comerciantes ver el estado en tiempo real de la carga perecedera.
Esta visibilidad tiene beneficios impresionantes, no solo por la evaluación de la calidad del pro ducto, sino por la eficiencia en la entrega del producto, mayor satisfacción del cliente, y un mejor rendimiento de la cadena refrigerada.
El integrador logístico Maersk es un ejemplo de ello por herramientas como la Gestión Remota de Contenedores (RCM, por sus siglas en inglés, Remote Container Mana gement) que los clientes pueden seguir a través de una plataforma llamada Captain Peter, un sistema de moni toreo digital instalado en cada uno de los contenedores refrigerados y que monitorea la temperatura, la humedad, la atmósfera y la ubicación de la carga por medio de GPS.
Para las empresas el uso de esta tecnología se ha conver tido en primordial para evitar pérdidas y desperdicio de alimentos que, según identifica la Organización de la Na ciones Unidas para la Alimentación y la Agricultura (FAO), a nivel global ocurre principalmente en las explotaciones agrícolas, los almacenes, el transporte de alimentos, los comercios y el hogar, y estima que alrededor de 14% de los alimentos producidos en el mundo se pierden antes de llegar al nivel minorista.
“El socio asistente virtual de RCM es Captain Peter, la plataforma de visibilidad que usan nuestros clientes y que muestra datos de monitoreo de las condiciones en cada uno de sus contenedores refrigerados. Esto les per
mite tomar decisiones significativas basadas en métricas informadas en una variedad de paneles y notificaciones”, sostiene Michael McBride, especialista en contenedores refrigerados para la región de Sealand - Maersk.
Para el área de América Latina, de acuerdo con un estu dio de Maersk, 28% de la pérdida de alimentos sucede durante la producción, mientras que 22% se da durante el manejo y almacenaje; 17% acontece en el proceso de
distribución y colocación de alimentos en el mercado, y 28% se pierde durante el consumo final.
Esta tecnología permite a los clientes tomar decisiones importantes basadas en datos y métricas en tiempo real. Desde productos agrícolas hasta farmacéuticos, carne, aves congeladas y pescado, todos estos segmentos de productos perecederos se benefician de los datos digitales y los informes sobre los envíos refrigerados.
El monitoreo durante todo el viaje del contenedor re frigerado permite evaluar la condición de la carga con temperaturas controladas. Por ejemplo, Fyffes, uno de los mayores importadores y distribuidores de productos tropicales, ha usado los datos de visibilidad de Captain Peter para identificar problemas de calidad del producto y, así, mejorar sus resultados de carga y transporte.
De diez contenedores refrigerados cargados con pláta nos costarricenses que se dirigían al puerto de Filadelfia, en Estados Unidos, Fyffes revisó los informes de datos y descubrió que la temperatura en uno de los contenedores frigoríficos estaba ligeramente elevada, lo que provocaría que el producto madurara más rápido que el del resto de los contenedores. Con esta información el equipo de control de calidad de Fyffes tomó medidas y pudo aconsejar a su clien te final que vendiera primero ese cargamento específico. Esta serie de datos permitieron a Fyffes trabajar de manera más cercana y eficiente con su cliente para aumentar la satisfacción y construir una relación comercial más sólida.
En Estados Unidos, algunas frutas requieren tratamientos únicos antes de la aprobación de la importación por parte del USDA (Departamento de Agricultura de EU), como el tratamiento en frío. En estas circunstancias, los registros de temperatura de los contenedores refrigerados se verifican antes de despachar los contenedores en la entrada del puerto.
En Sealand - Maersk, el RCM acelera este proceso, ya que permite monitorear y compartir datos de temperatura digitalmente con el USDA antes de que el buque llegue al puerto, lo que acelera la aprobación de la carga de tratamiento en frío. Además, se evitan retrasos y compro baciones manuales.
La conectividad digital y los datos de visibilidad en tiempo real permiten que los remitentes obtengan datos críticos para evaluar la calidad del producto; que los informes di gitales optimicen el rendimiento de la cadena refrigerada; y que los datos de visibilidad sean un factor fundamental para los envíos globales de contenedores refrigerados en la actualidad.
Sin duda, la sostenibilidad ha ganado fuerza en todas las industrias y ahora es una prioridad principal para las em presas. En la industria de los bienes de consumo rápido la transición ha sido acelerada, con un número cada vez mayor de marcas y compañías, como Sealand - Maersk, que están tomando medidas sostenibles y que apuntan a reducir o eliminar el desperdicio de alimentos en la cadena de suministro.
Los sistemas de automatización de edificios requieren de importantes medidas de protección ante los riesgos latentes por seguridad y accesos no autorizados.
Las personas y la propiedad son primordiales para la misión de la mayoría de las organizaciones. Para reducir el ries go, las organizaciones cierran las puertas para asegurar adecuadamente las instala ciones, prestan una atención significativa a la seguridad de las redes e infraestructuras de tecnología de la información (TI). Sin embargo, a menos que tomen medidas específicas para asegurar sus sistemas de tecnología operativa (OT), es muy probable que su personal y propiedad, junto con su preparación operativa, estén expuestos a un riesgo significativo.
Ocultos en las salas de máquinas y en los techos de los edificios modernos se encuentran complejos sistemas eléc tricos y mecánicos que protegen la salud y el bienestar de las personas y las instalaciones a las que sirven. Un sistema de automatización de edificios utiliza redes de micropro cesadores y sensores para monitorear automáticamente el entorno construido y manipular su equipo para equilibrar delicadamente un entorno interior saludable con un uso eficiente de los recursos.
Al igual que los sistemas de TI, los sistemas de automa tización de edificios crean, procesan y almacenan datos electrónicos. Cuando un sistema de automatización de edificios se integra con sistemas e infraestructura de TI para monitorear y manipular procesos físicos, se convierte en un sistema OT.
Aunque similares, los sistemas OT difieren significativa mente de los sistemas de TI. La lógica que se ejecuta en un OT tiene un efecto directo e inmediato en el mundo físico. Esta influencia puede presentar un riesgo significativo para la salud y para la seguridad de las vidas humanas, un daño grave al medio ambiente, un impacto financiero y una influencia negativa en la capacidad de una organización para ejecutar su misión (Stouffer et al., 2015).
El acceso no autorizado a los sistemas y datos de OT se explota con una frecuencia cada vez mayor para causar molestias a los inquilinos, interrumpir las operaciones de las instalaciones y dañar los equipos o las instalaciones (ASHRAE SSPC 135, 2020). Puede representar un riesgo significativo para la reputación de una organización. Así como protegemos los activos de TI del acceso no autorizado mediante la ciberseguridad, los sistemas OT deben propor cionar una protección acorde con los controles de seguridad ya establecidos en el dominio de TI. Estos controles deben ser acordes pero apropiados para las distintas necesidades de OT, que requiere protecciones que no son comunes en el ámbito de TI (Granzer et al., 2010; Boeckl et al., 2019).
El principio subyacente se conoce como endurecimiento, o el proceso de mejorar la seguridad de un sistema de información mediante la reducción de la exposición de vul nerabilidades. El riesgo no se puede mitigar por completo; el objetivo del endurecimiento es mejorar la misión o las capacidades comerciales mitigando el riesgo a un nivel acep table (Stoneburner et al., 2004). Para los sistemas OT, esto significa preservar la integridad y disponibilidad de los datos.
Cada organización debe realizar una evaluación objetiva del impacto potencial en las operaciones comerciales
normales en caso de un incidente OT y debe equilibrar los controles de seguridad con los requisitos de desempeño. Hay muchos recursos y estándares públicos y privados para la ciberseguridad integral de OT. Afortunadamente, el sentido común y algunos pasos simples pueden mejo rar drásticamente la postura de protección de cualquier sistema OT.
Un proveedor calificado respaldado por el fabricante del sistema está idealmente posicionado para brindar reco mendaciones de diseño seguro que reduzcan las vulnera bilidades de su hardware y software. Solicite experiencia en fortalecimiento de OT como calificación del proveedor y trabaje en estrecha colaboración con un proveedor califi cado para establecer pautas de fortalecimiento adecuadas para las necesidades de su organización.
Articular medidas de protección de ciberseguridad ade cuadas y criterios de aceptación durante la fase de diseño en lugar de durante la ejecución o puesta en marcha. Las redes de TI y OT son diferentes, con distintos requisitos de acceso, seguridad y rendimiento. Sus vulnerabilidades
exponen la instalación y la preparación operativa a riesgos separados.
Considere segregar estos sistemas dispares en zonas de red dedicadas con un único punto de acceso y requisitos de seguridad comunes (ISA/IEC 62443, 2019). Esto mejora la seguridad y la resiliencia de las redes de TI y OT al tiempo que minimiza la interacción y las interdependencias. La separación física es ideal pero no estrictamente necesaria.
Durante la fase de diseño, desarrolle un plan de conti nuidad y de recuperación adecuado a las necesidades y recursos de su organización para un incidente de seguridad o de red. Designar una entidad que sea responsable de los planes, la ejecución y la respuesta de ciberseguridad de OT. Si esta no es la entidad responsable de la seguridad de TI, los dos deben coordinarse estrechamente (Stouffer & Pillitteri, 2021). Como mínimo, un plan de continuidad debe considerar lo siguiente:
• ¿Cuál es el proceso para mantener los activos par cheados y actualizados?
• ¿Cuál es la respuesta a un incidente o interrupción de la red? ¿Cómo se puede separar el OT de la red y operar de forma aislada?
• ¿Cuál es el proceso para la copia de seguridad del sistema? El respaldo frecuente y el almacenamiento seguro de las bases de datos OT, la lógica operativa y la configuración minimizan la recuperación y el tiempo de inactividad.
Trabaje en estrecha colaboración con su proveedor para garantizar que se sigan las pautas de refuerzo durante la implementación. Hasta que estén protegidos adecuada mente, aísle los dispositivos integrados, las estaciones de trabajo físicas y virtuales y los servidores de las redes de producción e Internet.
Parchee y actualice los sistemas operativos y las aplica ciones utilizando los recursos del fabricante o una fuente confiable. Audite la configuración con el proveedor en el momento de la entrega y antes de la implementación.
El acceso directo a la red o Internet a través de dispositivos OT a menudo presenta una importante vulnerabilidad de seguridad y elude las medidas de autenticación y protec ción. Deshabilite o autentique cuidadosamente y supervise tecnologías como servicios basados en la nube, banda ancha móvil, Wi-Fi, LoRaWAN, Bluetooth y comunicación de campo cercano (NFC) que pueden proporcionar acceso no adminis trado o no supervisado a la zona de la red local o a Internet.
Los sistemas OT de protocolo abierto transmiten datos en texto sin formato utilizando procesos estándar definidos públicamente. Esto es crucial para la interoperabilidad entre componentes, pero plantea una importante vulnera bilidad de seguridad, ya que expone los datos a la manipu lación. Las credenciales de usuario siempre deben cifrarse en la transmisión y el almacenamiento. La transmisión local de datos interoperables es aceptable para la mayoría de las aplicaciones. Sin embargo, cuando cruza los límites de la red, los datos deben cifrarse y debe implementarse un mecanismo para autenticar el origen y el destino.
El estándar de la Sociedad Estadounidense de Ingenieros de Calefacción, Refrigeración y Aire Acondicionado (ASHRAE) para la interoperabilidad de OT, BACnet, ha evolucionado para ofrecer una sólida seguridad de la información para el intercambio de datos en una amplia gama de entornos de TI (ASHRAE SSPC 135, 2020). El cifrado de datos BACnet a través de redes privadas virtuales BACnet y redes de conexión segura está ampliamente disponible.
La administración de cuentas de usuario representa simul táneamente uno de los mecanismos de control de acceso más efectivos y las vulnerabilidades más peligrosas para la seguridad efectiva de la red. Para garantizar la respon sabilidad, a cada usuario se le deben asignar credenciales únicas y permisos apropiados según el nivel previsto de acceso e interacción del sistema.
Esto significa controlar cuidadosamente quién puede acceder al sistema, qué pueden ver y qué pueden modifi car. La administración adecuada de la cuenta de usuario es bastante simple, pero a menudo se ignora o se da por sentado, y debe incluir los siguientes pasos:
• Deshabilite las cuentas de usuario públicas y pre determinadas.
• Habilite el cierre automático de cuentas de usuario inactivas.
• Minimice los administradores de superusuarios. Considere la posibilidad de autorización dual para que ningún usuario individual pueda cambiar los controles de seguridad o las credenciales.
• Considere un sistema de acceso basado en roles que clasifique a los usuarios por los permisos específicos requeridos para realizar las tareas diarias en lugar de las personas que realizan las tareas (Reliable Controls, 2019).
• Implementar el privilegio mínimo. Comience con confianza cero para cada rol. Agregue acceso y permisos solo cuando se demuestre que son nece sarios para la eficacia operativa (Stouffer & Pillitteri, 2021).
• Aplicar una política de gestión de contraseñas razonable con la fuerza adecuada. Considere contraseñas que sean difíciles de adivinar pero fáciles de recordar. Los requisitos de contraseña innecesariamente complejos a menudo dan como resultado una mala higiene de la seguridad personal y contraseñas vulnerables (por ejemplo, registradas en notas Post-it).
A medida que el sistema entra en funcionamiento es importante hacer un inventario de los activos de OT. Do cumente los dispositivos que componen el sistema y cómo se utiliza cada activo. Identificar los activos más críticos. Compruebe y elimine todos los activos no autorizados. Es fundamental mantener una buena higiene de seguri dad. Mantenga los activos actualizados y completamente parcheados.
Capacite a los usuarios sobre por qué la seguridad ciber nética es una prioridad organizacional, sobre sus respon sabilidades y sobre cómo buscar cosas fuera de lo común que pueden ser evidencia de un incidente de seguridad cibernética. Audite regularmente la actividad del operador y deshabilite las cuentas no utilizadas. Revocar el acceso que no sea estrictamente necesario. Deshabilitar cuentas inmediatamente cuando alguien deja la organización (Stouffer & Pillitteri, 2021).
La salud y el bienestar de las personas y las propiedades en el entorno construido dependen de sistemas mecánicos y eléctricos complejos que son críticos para la preparación operativa y consumen recursos significativos. La seguridad cibernética deficiente de OT es una amenaza clara y pre sente para nuestra gente y nuestra propiedad. Un enfoque reflexivo para la seguridad del sistema OT no tiene por qué ser oneroso o complejo.
Incluso una estrategia simple mejora las capacidades de la misión al mitigar el riesgo a un nivel aceptable. Correc tamente operados y asegurados, estos sistemas aseguran la comodidad y el bienestar de las instalaciones y sus ocupantes.
* Levi M. Tully es vicepresidente ejecutivo de ventas de Reliable Controls Corporation en Victoria, Columbia Británica, Canadá. Puede comunicarse con él en ltully@reliablecontrols.com.
ACR Latinoamérica participó en Expo ACAIRE 2022, un evento que sirvió de reencuentro para la industria colombiana.
Miles de profesionales llegaron a participar en la edición 2022 de Expo Acaire, evento que se realizó en el marco de la Feria Inter nacional de Bogotá, en Corferias, del 26 al 30 de septiembre.
La feria contó con una masiva participación de visitantes profesionales, contratistas, con sultores, fabricantes, quienes se acercaron a los más de 60 expositores con los que contó el evento en esta oportunidad.
Adicionalmente, Expo Acaire ofreció un pro grama de conferencias bastante interesante
con 64 charlas técnico-comerciales, además de otras ac tividades como el 4° Foro Iberoamericano de Calidad del Aire Interior, la 4ta Jornada Nacional de Cadena de Frío, el Encuentro Anual de Distritos Térmicos en Colombia, el Foro Mujeres HVAC, talleres, entre otras.
ACR Latinoamérica estuvo presente en este evento donde pudo recibir en su stand a diferentes personalidades de la industria del HVAC/R en Colombia y a nivel internacional, quienes se ven optimistas con el posible crecimiento del sector en este país.
ACAIRE confirmó que para el 2023, la feria se realizará en Cúcuta y Cartagena, en fechas por confirmar.
La AHR Expo México dio a conocer los resultados del evento que se desarrolló del 20 al 22 de septiembre en Guadalajara.
El evento confirmó que para esta edición de 2022 parti ciparon 11,350 profesionales de las diferentes soluciones para la industria de aire acondicionado y refrigeración. Adicionalmente, esta edición, que celebrara su aniversario número 25 contó con la participación de 298 empresas de la industria, procedente de 12 países.
• Cantidad de empresas expositoras: 298
• Cantidad de expositores: 2.302
• Cantidad de visitantes: 6.629
• Cantidad de personas que regresaron: 2.419
• Total: 11.350
Cabe mencionar que el 60% de los asistentes a la AHR Expo la visitaban por primera vez, lo que significa que Guadalajara permitió llegar a un nuevo mercado de gran crecimiento, como lo es el Bajío.
“No nos queda más que agradecer nuevamente su confian
za y apoyo en la promoción del evento. Esperamos contar nuevamente con su participación en la próxima edición de la AHR Expo México 2023, CDMX en el Centro Citibana mex, le invitamos a visitar el plano interactivo del próximo evento. Si aún no ha reservado su espacio para el 2023 le invitamos a llenar la solicitud”, destacó la organización en un comunicado oficial.
Para nuestro gremio es oportuno y necesario participar en esta gran iniciativa de la digitalización del campo a través de la agrotrónica.
En la búsqueda de temas que sean de interés para el gremio de la C&R (Clima tización y Refrigeración) encontré el de la agrotrónica, en el cual podemos participar de manera muy importante, para su buen desempeño, y en algunos casos como la conservación de semillas de largo plazo, es absolutamente indispensable.
La agrotrónica podría definirse como la apli cación de la electrónica y la robótica para las labores agrícolas en el caso de este artículo.
ACIEM (Asociación Colombiana de Ingenie ros Eléctricos, Mecánicos y Ramas Afines) ha
hecho una propuesta para la transformación digital del sector agropecuario en Colombia, que puede ser aplicado en toda Latinoamérica y seguramente otros países de la región también lo estén implementando.
A propósito de esta propuesta, ACIEM realizó un foro sobre agrotrónica, al cual asistí y pude aprender lo fun damental sobre estas nuevas tecnologías de drones, sensores, software, hardware, proyectos y programas gubernamentales y privados, que sin duda producirán una modernización de la producción agrícola en nuestro país y espero que también en Latinoamérica.
El foro se centró en cómo era el propósito del mismo en los temas mencionados, pero al finalizar pedí la palabra y comenté que no se había tratado un tema fundamental para lograr frutas, verduras, hortalizas gramíneas etc., sanas y frescas sin la contribución de la climatización, la refrigeración y por supuesto la cadena de frío. El organi zador del foro opinó que fue cuestión del corto tiempo, pero que tomaría atenta nota para incluir estos aspectos en futuros foros sobre agrotrónica.
Fue muy interesante y motivante apreciar en ese foro sobre agrotrónica, que el departamento del Valle del Cauca en Colombia, cuya capital es Cali, ciudad en la cual vivo; es líder en este tema. Desde hace 54 años existe en la región el CIAT (Centro Internacional de Agricultura Tropical) dedicado a la producción y conservación de semillas de frijol (37.938 accesiones (1)), yuca (6.155) y forrajes tropicales (22.694), de todo el mundo, con el fin de garantizar la seguridad alimentaria del planeta, en donde se hace investigación en estos temas de altísimo nivel con científicos de todo el mundo, la gran mayoría con nivel académico en sus respec tivos campos de doctorado (Ph D). Es una institución digna de conocer, lo cual recomiendo si tienen la oportunidad.
Recientemente en la Pontificia Universidad Javeriana de Cali se instaló un laboratorio con la misma misión, llamado OMICAS, cuyo lema es “por un mundo sin hambre”, que se dedica a “Descubrir y promover la transferencia de conocimiento, tecnologías y productos relacionados con el mejoramiento de la salud de organismos vivos vegeta les animales y humanos, con el objetivo de contribuir al desarrollo sostenible del país y del mundo (tomado de su página web)”.
Me llamó la atención la precisión que requiere el sistema de posicionamiento para las labores en la agrotrónica. Cuando usamos el GPS de Google, la precisión de ubi cación puede estar en los 10 m, pero cuando se trata de
sembrar semillas o abonar plantas con drones, la precisión requerida es de centímetros, lo cual requiere sensores y software que lo permitan.
Desde los años 80s, he participado en varios proyectos de climatización y refrigeración para el CIAT, que ahora se lla ma Alianza Bioversity – CIAT; inicialmente como contratista en donde rediseñé e instalé el sistema de refrigeración para la conservación de semillas de frijol. Fue un proyecto muy exigente y complejo, para mi experticia en el tema en esa época, ya que era necesario lograr menos 25 °C en una de sus cámaras frigoríficas, con el mínimo de transferencia de humedad a través de sus paredes, es decir casi nula y lo más importante garantizar el funcionamiento del sistema de refrigeración de forma ininterrumpida, para conservar
las semillas de frijol por 30 años; y realicé diseños y con sultorías en el lapso de más de 40 años.
El CIAT hizo una actualización de su laboratorio de Germo plasma o banco de semillas, que son lugares destinados a la conservación de la diversidad genética de varios cultivos, en este caso como se dijo, de frijol, yuca y forrajes tropicales; dicha conservación requiere muy bajas temperaturas y mí nimo transporte de humedad del medio ambiente, lo cual implica un aislamiento y barreras de vapor altísimamente exigentes para mantener dichas semillas bien conservadas hasta 50 años, en este caso.
Las semillas tienen duplicados en bancos de conservación en Groenlandia. Tuve la oportunidad de ser interventor para el diseño y los términos de referencia de la climati zación en conjunto con otros colegas que lo hicieron para el diseño de la refrigeración y de las cámaras frigoríficas.
El proyecto es de gran complejidad por lo comentado de la confiabilidad y redundancia del 100% del servicio en un lapso de tiempo muy extenso, fue necesario rediseñar varias veces por diferentes razones. El proyecto del labora torio con su climatización y refrigeración tenía un valor de 17 millones de dólares cuando se terminó, hasta cuando participé, entiendo que le hicieron algunos ajustes durante la construcción. El sistema de control es sofisticado y de gran precisión. También se montó una planta de genera ción fotovoltaica de 1000 kW. En el edificio se tuvieron en cuenta consideraciones bioclimáticas para disminuir la carga térmica, recomendaciones del estándar Passive House y certificación LEED Platino.
El otro gran tópico con referencia a la seguridad alimenta ria en el mundo es la cadena de frío, que consiste en tener temperaturas y humedades relativas controladas desde la cosecha, hasta el consumidor de manera ininterrumpida en la producción, almacenamiento y distribución de los pro ductos agrícolas perecederos en el caso de este artículo; para preservar, extender y asegurar su vida y almacena
miento hasta el consumo final, que se inició a mediados del siglo XIX y que hoy es absolutamente indispensable.
A pesar de que se ha progresado muchísimo en este sentido, aún se pierde aproximadamente un tercio de lo producido en el campo, por cadenas de frío inexistentes o deficientes.
Para terminar les cuento que el mes pasado hice un viaje por carretera de 2.550 kilómetros de Cali a Santa Marta y regreso. Como siempre llegué maravillado de la belleza y fertilidad de este bello país. Los valles del Cauca y el Magdalena, las tres cordilleras de los Andes, las sabanas del norte del pais y la costa Atlántica, son regiones que tienen un potencial para convertirse en la despensa del mundo, soy consciente de todos los problemas que tene mos, pero más de la gran oportunidad que hay allí para todos y específicamente para nuestro gremio es oportuno y necesario participar en esta gran iniciativa de la digitali zación del campo a través de la agrotrónica.
1. Accesión: Una muestra distinta, singularmente identifi cable de semillas que representa un cultivar, una línea de cría o una población y que se mantiene almacenada para su conservación y uso.
Hemos notado que se está aplicando con más frecuencia el concepto de los enfriadores modulares de frío solamente y/o combinados con simultáneos fríocalor.
A petición de varios colegas amplío un escrito anterior referente a los enfriadores modula res, combinando enfriamiento solamente y enfriamiento simultáneo con calentamiento.
En aplicaciones de hospitales, farmacéuti cas, industrias y centros de cómputos que necesitan redundancia, capacidad adicional para siempre tener disponibilidad ya sea de frío o de calor, en caso de que uno de los enfriadores que cubren la carga térmica básica dejen de operar.
¡La energía más económica de producir es la que se ahorra!
Cuando no se habían desarrollado los enfriadores modula res se necesitaba instalar capacidad adicional y si la carga térmica se satisfacía con dos enfriadores, de por ejemplo 200 toneladas cada uno, había que añadir otro de 200 toneladas para siempre tener redundancia, respaldo en capacidad del sistema.
Hemos visto algunos proyectos en los cuales el ingeniero consultor ha utilizado varios enfriadores pequeños, no mo dulares en paralelo. Al estimar el costo inicial, en muchas ocasiones no se considera el costo adicional de la tubería y conexiones necesarias. En el caso de los enfriadores mo dulares, estos vienen con todas las conexiones incluidas, junto con los controles y conexiones eléctricas.
Sin embargo, con el desarrollo de los enfriadores mo dulares usando 8 de 50 toneladas se satisface la carga básica y solamente añadiendo 1 de 50 toneladas se logra el respaldo necesario, redundancia, con un costo inicial menor.
En el caso de los enfriadores modulares se pueden selec cionar varios enfriadores más pequeños en vez de tener dos o tres enfriadores grandes manejando cada uno la mitad o la tercera parte de la capacidad. Si fuera necesario para lograr la redundancia, en el caso de los modulares, solo habría que añadir un enfriador pequeño a un costo inicial mucho más bajo.
Como pueden ver, de la selección adjunta, en este proyec to que se trata de una aplicación en una planta farmacéu tica, hemos utilizado una combinación de 3 enfriadores frío solamente ASP y 2 simultáneos de frío-calor ARA todos enfriados por aire. El agua caliente es para recalentar el aire de suministro y controlar la temperatura de bulbo seco y la humedad relativa. Las condiciones de diseño son:
• Agua fría entrada = 52F y salida = 40F
• Agua caliente entrada = 85F y salida = 95F
• Aire exterior (bulbo seco) = 95F
Los enfriadores ASP, de frío solamente, a carga máxima consumen 1.26 Kw/tonelada. Mientras que los ARA, si multáneos de frío-calor en enfriamiento consumen 0.78 Kw/tonelada y en calentamiento 3.36 COP.
Hemos notado que se está aplicando con más frecuencia el concepto de los enfriadores modulares de frío solamen te y/o combinados con simultáneos frío-calor, producto de las bondades que ofrecen, especialmente cuando es necesario tener un enfriador adicional para cumplir con el término “capacidad más uno”, redundancia. Ya que no es lo mismo añadir un enfriador de la mitad o la tercera parte de la carga térmica que añadir un enfriador del 12.5% o menos de la capacidad total.
De necesitar más información de este tema, favor de comunicarse a través del correo asotolongo@protecinc.com
No te sientas frustrado porque tu empresa te consume al 100%; empieza corrigiendo la estructura.
La esencia de una empresa es “ser una máquina de hacer dinero”, no una fuente inagotable de problemas para sus dueños. A mí se me dificultaba mucho pagar nómina, proveedores, impuestos, etc., porque tenía mos gastos sin control en la empresa que ni siquiera identificábamos, y eso nos golpeaba muy fuerte personal y empresarialmente.
Yo creía que hacer empresa era constituirla legalmente, pero no hay nada más lejano de una realidad empresarial que eso. A base de golpes entendí algo básico: los negocios se conforman por tres dimensiones esenciales:
Figura 1.
Quiero mostrarles cómo los fracasos y los aciertos me hicieron entender estas tres dimensiones:
Yo no sabía cómo gerenciar mi empresa, es más, creía que tenía todo el derecho a ser el gerente porque era el dueño, pero no encontraba la manera de hacerlo de forma adecuada, pues aunque veía que crecíamos en personal (cuando creé INGENIN en 2004 fue en el garaje de mi
casa sin herramientas ni personal y para 2018 éramos 45 personas).
Las ventas eran un número interesante para esta época COP 3.500 millones (unos USD 920.000) por año. Pero cuando llegó la pandemia estábamos en un punto crítico, donde casi cerramos la empresa debido al gran problema de flujo de caja que teníamos, porque yo no veía sano ni oportuno empezar a salir de personal, tenía deudas gran des de salarios, con proveedores, al gobierno, a bancos, particulares y a todo el que se acercara a mí, porque había que generar flujo de caja como fuera.
Confieso que los anticipos de proyectos se utilizaban en cubrir compromisos anteriores, pago de primas, salarios, proveedores y demás retrasos que acumulábamos porque la operación de mí empresa no alcanzaba para cubrir todo lo que gastaba la misma, pero cuando se generaba flujo de caja me tranquilizaba por un tiempo mientras se volvía a complicar todo.
En medio de la pandemia nuestro personal empezó a aban donar la empresa poco a poco, tal vez viendo el futuro negro
inminente que cada vez se cristalizaba más y más. Yo por mi parte no entendía que alguien como yo que tenía un nivel de ingeniería respetable, capacitador de profesionales internacionales en el área de cargas térmicas y ductería, con proyectos de grandes resultados en climatización, con años de estudiar gerencia estratégica, ISO 9001, maestría en climatización y cuanto podía para tratar de mejorar mi desempeño como gerente iba directo a la quiebra.
Se vienen a mi mente las palabras de mi contadora que hace un año, duramente y a quema ropa, me dijo: “Inge niero, lo admiro, porque cuando llegué aquí esta empresa estaba quebrada y hoy en día la veo muy bien, con flujo para cubrir sus obligaciones y un plan de pagos que está cumpliendo”.
Debo confesar que esta es una de esas verdades que due len intensamente en el corazón y hieren el ego en lo más profundo, pero también son unas palabras que me dieron mucha moral para comprender que estábamos realizando cambios para bien, después de 17 años de operación, pero por fin mejorando mi gerencia, que era lo que realmente estaba buscando.
Regresando un poco a la pandemia, agradezco a la misma que trajo a mi vida a Sofanor Alarcón, que es un coach de empresas HVAC, quien me ayudó de manera efectiva para transformarme de un diamante en bruto a una persona con energías bien encaminadas hacia el éxito, luego de esto también trabajamos con Dan Macías, quien es un coach en ventas de Sandler, y logramos mejorar nuestros pro cesos de ventas, porque teníamos la ingeniería adecuada pero no sabíamos cómo lograr que el cliente viera eso en nosotros; hoy en día, generalmente, planteamos entre 3 y 10 soluciones a un cliente para un mismo proyecto, y en el 80% de los casos vendemos la solución más costosa pero es la que mejor se adapta a resolver todos los dolores que hemos descubierto en el cliente.
No todos los prospectos quieren lo mismo, cada uno es diferente y hay que realizar todo un proceso para gestionar nuestra venta (que es compleja), ya que siempre vendemos proyectos instalados o programas de mantenimiento en nuestras empresas MEP (mecánicas, eléctricas y plome ría), pero cada cliente requiere cosas diferentes que se entregan con equipos instalados y sistemas mantenidos. Ahora quiero describirte rápidamente las tres dimensiones empresariales que hemos mejorado.
Yo entendí que mi mejor apoyo en ventas es el mismo prospecto, no era yo como experto, tuve que aprender a escuchar y a callar, porque el prospecto debe hablar tres veces más que yo (el vendedor), luego mi ingeniería debe generar soluciones que se adapten de forma adecuada a lo que el prospecto quiere y si logro calificar a ese prospecto como cliente potencial con un presupuesto acorde a mis soluciones, entonces puedo presentar la oferta, la cual tiene un porcentaje cercano al 60% de cierre, porque no estoy entregando un Excel con números; que todos sabe mos que solo será ganador si es el más barato.
El líder de servicios, gerente de operaciones, director de mantenimiento, líder de proyectos o quien quiera que esté manejando en mi empresa este departamento, se encarga de ejecutar lo vendido, pero tiene dos propósitos esencia les, el primero es entregar al cliente lo que compró…. Alto ahí, no es el proyecto instalado o el mantenimiento a un sistema, es entregar lo que realmente le duele al cliente según todo el proceso que hice en ventas, por ejemplo, arquitectura, orden y aseo, consumo energético, longevi dad del proyecto, variables controladas, estado físico de los equipos, ruido del sistema, etc.
Con todo eso logré que el cliente fuera leal a nosotros y pudimos retenerlos en un 90% porque periódicamente nos reunimos con él para revisar si estamos cumpliendo los indicadores que realmente son importantes para él y que definimos antes de iniciar, además le muestro novedades en su industria para que las evalúe, y oportunidades de mejora en mi campo para poder iniciar de nuevo un pro ceso de ventas, porque es siete veces más fácil venderle a un cliente actual que a un cliente nuevo.
El segundo propósito de este líder es conseguir que los grupos operacionales produzcan el dinero suficiente para pagar su salario y contribuir con los gastos de la empresa que permitan entregar utilidades al dueño, en palabras
claras, hoy en día cada grupo operacional debe estar ge nerando en mano de obra unos COP 3,6 Millones (USD 850) semanales antes de impuestos. Así que si este cargo tan importante cumple con su trabajo siempre tendremos dinero para pagar salarios del grupo operativo y tener ganancias para el dueño.
Esta parte es la que más he estudiado, porque como soy ingeniero creía que el mundo giraba sobre un compre sor funcionando y no entendía la importancia de esta dimensión (las empresas se quiebran por finanzas no por técnicas) que debe controlar los ingresos y los gastos de la empresa para garantizar que haya ganancias, y con ello que se garantice la supervivencia de la empresa. Para mí fue monstruoso entender que si lograba ganancias reales en mi empresa entonces podía asegurar el trabajo a mi equipo humano.
Confieso que el proceso fue muy duro, complicado y se basó en hacer cambios, probar y equivocarme, pero hoy en día me siento feliz porque tengo claridad de lo que estoy haciendo y para donde voy, INGENIN tiene un plan de pagos que terminará en 2023 y de ahí en adelante queda mucho por ganar.
Por otro lado confieso que INGENIN trabaja de forma me jorada, sin dependencia total de mí, esto lo logré pasando de vender anualmente COP 50 Millones por empleado a vender COP 200 Millones por empleado, pero la meta es llegar a los COP 500 Millones o USD 120.000 que es lo que factura una empresa aceptable internacionalmente según el siguiente KPI.
Ver figura 2.
Tengo tiempo hasta para mostrar mi historia de vida y compartirla con grandes profesionales como ustedes, que van también a lograr muchas cosas maravillosas, les aconsejo que piensen en lo que a mí me sirvió mucho, que es la frase célebre de Einstein: “Locura es pensar que haciendo lo mismo vamos a tener resultados diferentes”.
Por eso ¡ánimo!, cambien, estudien, investiguen, prue ben, equivóquense, pero siempre tengan claridad de lo que quieren.
Un abrazo grande para todos.
* Rolando Torrado, Ingeniero Mecánico, Master en Climatización (HVAC) que trabaja con empresas MEP que no desean depender del dueño al 100% porque no son autosostenibles en crecimiento y rentabilidad. rolando.torrado@ingenin.com.co
Rango anual de KPI
Ingresos por trabajador de la empresa (Incluye a todos en la nómina) $120,000 $130,000 $140,000 Acuerdos de servicio por cada millón de ventas al detal 1,000 1,100 1,200
Ingresos por cliente de contrato de servicio $750 $800 $850 Ventas por consultorías de confort por cada vendedor $900,000 $1,200,000 $1,350,000
Ingresos por cada camioneta de técnicos $100,000 $120,000 $140,000
Indicadores clave de rendimiento Operaciones y ventas
En esta edición del Profesional del mes, destacamos la trayectoria y el liderazgo de José Luis Urrutia, presidente de Compañía Climatizadora.
José Luis Urrutia es un enamorado del negocio del aire acondicionado y la refrigera ción. Su carisma y su facilidad para socializar son características que le han permitido llevar a Compañía Climatizadora a ser uno de los contratistas más importantes de Panamá y de la región. En 2022, la empresa celebra 75 años en el negocio y José Luis es la tercera generación de la familia dirigiendo a la firma especializada.
El presidente de Climatizadora llegó a Pana má a la edad de tres años. Nació en Bloo mington, Indiana (EE.UU.), siendo el tercero
de cuatro hermanos, cuando su señor padre hacía su doctorado en Indiana University. Su llegada a la empresa se dio cuando aún cursaba arquitectura en la Universidad de Panamá.
Climatizadora es una empresa que fue fundada por su abuelo en 1947 luego de pasar un año en 1944 en Carrier Syracuse. La empresa inicia como el distribuidor de Carrier para Panamá y en relativamente corto tiempo realizó una serie de instalaciones en los comercios y oficinas más importantes de ese país.
José Luis es “felizmente casado” y tiene dos hijos: Sergio y Alana. Entre sus hobbies está el de practicar el foso olímpico, que es una modalidad de tiro, “también de niño siempre me gustaron los deportes como vela, buceo, snowboard y la pesca, algunos que aún practico hoy en día”, comenta.
Ahora, conozcamos más detalles sobre cómo José Luis se enamoró de esta industria y cuáles son sus opiniones sobre el estado actual del mercado en su país y en Amé rica Latina.
ACR: ¿Cómo fue su proceso de vinculación a esta industria?
José Luis: De pequeño pasé muchos veranos trabajando en Climatizadora, aprendí mucho de los trabajadores y de la empresa. Mientras estudiaba arquitectura trabajé
con una firma de arquitectos, luego en una constructora donde estuve hasta 1995, cuando el entonces gerente de operaciones, Arquimedez Broce, me pidió que me involucrara en la empresa familiar para liderar la misma.
Una vez dentro tomé el control de la empresa donde defi nimos metas en corto, mediano y largo plazo. Estas metas se han ido actualizando y hoy día tenemos un excelente equipo de trabajo que permite a la compañía desarrollar varias unidades de negocio que son totalmente indepen dientes pero todas relacionas.
ACR: ¿Qué retos enfrenta usted como profesional?
José Luis: Retos siempre van a haber, hoy día por ejemplo: la cadena de suministro está totalmente afectada donde un equipo que antes se fabricaba en 8 a 10 semanas, te puede tomar hasta 47 semanas o más de fabricación, para luego entrar en los retos de logística, por ello hay que estar realmente preparado para manejar estas situaciones y evitar las afectaciones al cliente final.
Climatizadora este 2022 cumple 75 años y son esos re tos los que hacen que sea todo aún más interesante; 75 años de buen clima no es sólo un slogan publicitario, es donde nos hemos enfocado en educar, guiar y ayudar a nuestros clientes a lograr sus metas en sus proyectos con los mejores productos utilizando nuestras tiendas, diferentes canales de representación y distribución de fabricantes y mayoreo.
ACR: ¿Cuáles cree usted que son las razones para su reconocimiento en este mercado?
José Luis: Estoy muy agradecido por este reconocimiento, por mi trayectoria de lo que hemos alcanzado en Clima tizadora durante estas últimas décadas. A mí me gusta conectar con otras personas de la industria para que juntos nos apoyemos y le podamos transmitir el conocimiento obtenido a lo largo de estos años a nuestros aliados comerciales, siempre dando lo mejor a nuestros clientes.
Amo lo que hago, mi ética de trabajo honesta viene de familia con valores y es algo que lo comunico a mis hijos y a nuestro equipo de trabajo.
ACR: Desde su punto de vista, ¿cuál ha sido la evolución que ha tenido la industria en su país en los años que lleva trabajando en ella?
José Luis: La historia del aire acondicionado moderno indica que estos sistemas se desarrollaron primero para su uso en lugares públicos, teatros, comercios y oficinas de trabajo.
Mantenemos un programa de educación y entrenamiento para nuestro equipo y clientes, con nuestros proveedores en nuestro centro de capacitaciones, a través de orga nizaciones que apoyamos como APAFAM (Asociación Panameña de Facility Manager), Green Building Council de Panamá y universidades locales, entre otros. Trabajamos con humildad y respeto a nuestros colaboradores, ellos como nuestros clientes, son el centro de todo.
A lo largo de la última parte del siglo XX y hasta el día de hoy, el cambio climático ha tenido un impacto notable en las tem peraturas en la mayor parte del mundo y Panamá no escapa de esto, lo que ocasiona que cada vez más personas recurren a las unidades de aire acondicionado para enfriar su hogar, así como también para cuidar la cadena de frío de alimentos y medicinas de suma importancia en estos tiempos actuales.
De hecho nosotros somos distribuidores de prestigiosas marcas que a lo largo del tiempo han impactado en la industria gracias a la invención de Willis Carrier, y donde hoy en día nos beneficiamos del aire acondicionado para diversificar usos. Como muestra, contamos con Carrier como marca pionera donde su impacto en educación de sistemas de HVAC, software de diseño HAP, y equipos de alta eficiencia han marcado la pauta en la industria; siste mas de movimiento de agua como bombas Taco, tuberías Aquatherm, manejo eficiente del aire con Price Industries, Belimo, ABB, manejo de cadena de frío y sistemas de refri geración con marcas como Hussman, Bitzer, entre otras.
Todas estas marcas presentan educación continua como pilar fundamental para nuestros aliados comerciales y al final poder brindarle al cliente el mejor servicio.
ACR: ¿Cómo ve usted el futuro de esta industria?
José Luis: En Climatizadora creamos un buen clima para crecer, aprender, enseñar y llevar el futuro adelante. Siempre nos mantenemos a la vanguardia, en la búsqueda de avances tecnológicos para ofrecer mejores productos a nuestros clientes, brindándoles el buen clima que nos caracteriza y así ir creciendo en el mercado regional, pero siempre de forma responsable.
Una gran amenaza que presenta nuestro rubro es la so brecarga por el uso de millones de aires acondicionados, lo que obliga a que los sistemas que ponemos sean los más eficientes para su uso y que sean instalados y operados por personal idóneo lo que evita causar daños al ambiente.
Sin embargo, nuevos equipos con nuevos refrigerantes
de bajo impacto al ambiente, y con altas tecnologías han llegado al mercado, lo que se traduce en ahorros de energía eléctrica con mejor funcionamiento.
José Luis: Anécdotas hay muchas pero creo que lo que siem pre llevo es el trabajo en equipo que hay en Climatizadora. Tenemos, al igual que yo, varios colaboradores que trabajan con nosotros en su tercera generación. Donde la transferencia de experiencia y conocimiento se da dentro del personal, porque es importante apoyarnos entre todos y creo que lo he logrado. Estoy muy orgulloso de contar con un equipo de personas tan comprometidas como yo.
Para Informes y cotizaciones contáctenos en: Brasil: +55 (11) 3042 2103 México: +52 (55) 4170 8330 USA: +1 (305) 285 3133 Colombia: +57 (1) 381 92 15 mrave@induguia.com (ext 91) Colombia jzapata@induguia.com (ext. 99) Colombia
Para Informes y cotizaciones contáctenos en: Brasil: +55 (11) 3042 2103 México: +52 (55) 4170 8330 USA: +1 (305) 285 3133 Colombia: +57 (1) 381 92 15
mrave@induguia.com (ext 91) Colombia
PARA INFORMACIÓN GRATUITA ACERCA DE ESTOS PRODUCTOS CONSULTE EN LA PÁGINA: INDUGUIA.COM
El intercambiador de ca lor de placas consiste en un paquete de placas de metal corrugadas con tomas para el paso de los dos fluidos entre los que se realiza el intercam bio de calor.
El conjunto de placas está montado entre una pla ca bastidor fija y otra de presión desmontable, y se mantiene apretado mediante pernos. Las placas in corporan juntas que sellan la periferia y dirigen los fluidos por canales alternos. El número de placas de pende del caudal, propiedades físicas de los fluidos, pérdida de carga y programa de temperaturas.
La corrugación de las placas favorece la turbulencia del fluido y contribuye a que las placas resistan la presión diferencial. Las placas de intercambio tér mico y placa de presión están suspendidas en una barra guía superior y se apoyan en una barra guía inferior. Ambas barras están fijas a una columna de soporte. Las conexiones están siempre situadas en la placa fija del bastidor a menos que uno o am bos fluidos requieran más de un paso, en cuyo caso también se sitúan en la placa de presión movible.
Las unidades evaporadoras waterloop con com presor son equipos compactos para instalación en el interior de pequeñas cámaras frigoríficas, dise ñados con refrigerante natural R-290 y condensado en bucle de agua.
Estos equipos cuentan con mínima carga de refri gerante natural R290 de alta eficiencia energética, instalación fácil y segura con conexión a circuito de agua de condensación.
La nueva gama PICV Dynasty ha sido diseñada para ofrecer to das las ventajas de la gama de válvulas PICV existentes con la ventaja adicional de poder operar en agua muy contaminada.
Es de resaltar que la válvula tiene una característica lineal y ha sido diseñada para permitir la extrac ción, limpieza y reemplazo de los componentes de forma muy simple sin alterar el rendimiento de la válvula.
La válvula Dynasty opera un buen control de agua en los intercambiadores de calor y es ideal para ser usada en unidades terminales donde resulta difícil mantener una buena calidad de agua de bido a la dificultad de acceder a cada unidad.
La válvula Dynasty también se puede montar en nuestros kit hydronicos premontados para unida des Fan Coil.
Dentro de sus principales ventajas hay un diseño compacto, lineal, cuenta con cartucho libre de su ciedad. Además tiene actuadores termoeléctricos y la presión mínima es muy reducida.
Vale destacar que las unidades eva poradoras water loop son sistemas compactos herméticamente sellados con mínima carga de R-290, exentos de aplicación del Regla mento RSIF y EN 378. Poseen una mínima carga de refrigerante R-290 inferior al límite práctico del volumen refrigeración.
Los recubrimientos resistentes a la co rrosión GulfCoat Circuit Shield están diseñados específicamente para la pro tección de tableros de circuitos que se utilizan en ambientes al aire libre. Esto permite mayor protección de los equi pos HVAC, paneles de control de ascensores, telecomu nicaciones y más.
Los recubrimientos están formulados para mejorar la adhe sión, la resistencia a la humedad, la protección UV y la resis tencia a la corrosión. El producto puede aplicarse en el sitio o agregarse durante la fabricación.
Es de resaltar que el recubrimiento acrílico microdelgado que, cuando se aplica correctamente, proporcionará una capa protectora que reducirá y minimizará los efectos no civos de la corrosión y mitigará los problemas causados por plagas como geckos, hormigas, serpientes y ratones.
Las válvulas de zona ZoneTight QCV (dependiente de la presión) y PIQCV (independiente de la presión) tienen incorporadas nue vas conexiones de ajuste a pre sión para una instalación rápida, consistente y confiable.
Dichos conjuntos de válvulas están diseñados y construi dos para lograr la máxima eficiencia en espacios reduci dos y son adecuados para edificios comerciales donde se desea un mayor cierre y un flujo adaptable.
Vale destacar que los conjuntos admiten agua fría o ca liente, 60 % de glicol y una clasificación de presión cor poral de 250 psi, el diseño de válvula de bola de fuga cero elimina las pérdidas de energía y es resistente a las obstrucciones. Además, el rango disponible dependien te de la presión de 1/2 a 1" e independiente de la pre sión de 1/2 - 3/4". Cuentan con un menor consumo de energía hasta un 95 % menos que las válvulas de zona convencionales. También el flujo es ajustable en campo para cumplir con sus requisitos de diseño.
El nuevo modelo RVC (ventilador de techo con nú cleo de recuperación de energía) de Greenheck es la última incorporación a su línea de sistemas de aire exterior dedicados para aplicaciones de aire exterior de alto porcentaje y 100 %. El modelo RVC incorpo ra un núcleo de entalpía total que proporciona trans ferencia de calor sensible y latente y cumple con las eficiencias mínimas de ASHRAE 90.1.
El diseño de flujo cruzado del núcleo de entalpía evita que las corrientes de aire de suministro y es cape se crucen, lo que da como resultado una rela ción de transferencia de aire de escape (EATR) de 0 a 1 % según la prueba AHRI 1060.
El modelo RVC está disponible en tres tamaños de carcasa con un flujo de aire de hasta 15 000 cfm y de 5 a 70 toneladas de capacidad de enfriamiento DX empaquetada. Un núcleo de fibra está disponi ble en tamaños de hasta 30 toneladas; un núcleo de polímero está disponible en tamaños de hasta 70 toneladas. Como el núcleo de entalpía no tiene partes móviles, la necesidad de mantenimiento y reparación mecánica se reduce considerablemente. Es de resaltar que el núcleo es fácilmente accesible para limpiarlo en su lugar. También está disponible una opción de compuerta de derivación integral para economizador y control de escarcha.
A su vez, el RVC incluye un condensador montado en la parte superior y una plataforma de contro les mejorada con una interfaz de usuario web que viene de serie. El controlador probado, cableado y programado de fábrica puede funcionar como una unidad independiente o integrarse con un sistema de gestión de edificios (BMS).
Diseñado para evolucionar con su edificio y adaptarse a una amplia gama de aplicaciones de volumen de aire variable (VAV) y control de habitacio nes, Reliable Controls RC-FLEXair es un controlador de edificios BACnet (B-BC) cargado con potencia de procesamiento de datos que inspirará confianza en su entorno construido en los próximos años.
El RC-FLEXair cuenta con un sensor de flujo de aire de precisión opcional y un actuador de compuerta de CC sin escobillas, lo que lo hace ideal para muchos tipos de aplicaciones de control de terminales. Los puertos del sensor de presión son muy resistentes y están hechos de aluminio fundido a presión; combi nado con la carcasa de aluminio y la placa base de acero, este controlador es resistente y está construi do para durar.
Empresa Página
AHR EXPO USA 49
ARMSTRONG FLUID TECHNOLOGY 15 ARNEG SPA 11
BELIMO AMERICAS 23
Los deshumectadores DH son equipos con bom ba de calor y etapa de recuperación de calor del aire exterior mediante Free Cooling. Los equipos deshumectadores DH han sido diseñados para gestionar el calentamiento y deshumectación del recinto, asegurando las renovaciones de aire ne cesarias y asegurando una calidad de aire ideal para el confort de las personas y la durabilidad de los materiales de construcción y mobiliario. Es importante señalar que los sistemas cuenta con caudales desde 3.000 m³ /h hasta 17.000 m³ /h, cuentan con ventiladores Plug Fan EC, perfil de aluminio extruido con rotura de puente tér mico, junta de goma para estanqueidad con los paneles, paneles tipo sándwich de 25 a 45 mm de espesor, con panel exterior lacado, evapo rador con intercambiador de expansión directa con tubos de cobre y aletas de aluminio con aca bado especial anticorrosivo. Adicional, tienen condensador con intercambia dor y circuito frigorífico mediante compresores herméticos scroll, recuperadores de calor de flu jo cruzado de alta eficiencia, etapas de filtración para las retenciones de las partículas, cuadro eléctrico incorporado y adaptadas a la necesi dad de la instalación.
CARRIER INTERAMERICA CORP CARÁTULA 2 CARRIER INTERAMERICA CORP 3 CARRIER INTERAMERICA CORP
CARÁTULA 3
FULL GAUGE CONTROLS 29 GIWEE GROUP 33
GUANGDONG ZHONGGUANG HEATING VENTILATION & AC CO., LTD. (OUTES HVAC) 45
INDUGUIA 57
KEYTER TECHNOLOGIES S.L. 43 KMC CONTROLS 47
LENNOX GLOBAL CARÁTULA 4 MITSUBISHI ELECTRIC 7
OLDACH | MIDEA 27
QINGDAO HISENSE HITACHI AIRCONDITIONING MARKETING CO., LTD 5 RED-WHITE VALVE 17
RELIABLE CONTROLS CORPORATION USA 21 SECOP 35
TACO COMFORT SOLUTIONS 9
TECNOEDIFICIOS 41
TOP 100 CONNECT CONTRATISTAS – INSTALADORES LATINOAMERICANOS INDUSTRIA HVAC/R 59
TOP 100 CONNECT OPERADORES DE AE ROPUERTOS EN LATINOAMERICA 65
Refrigeración comercial
Diseños de supermercados
CO2