Skip to main content

Rit LbhÍ nr. 177

Page 1


Korntilraunir 2024

Sunna Skeggjadóttir, Gunnhildur Gísladóttir, Jónína Svavarsdóttir, Helga Rún Jóhannsdóttir og Hrannar Smári Hilmarsson

Landbúnaðarháskóli Íslands, 2025

Rit LbhÍ nr. 177

ISSN 1670-5785

ISBN 978-9935-512-56-7

Verkefnin voru styrkt af: Matvælaráðuneytinu, Þróunarsjóði Nautgriparæktar, Matvælasjóði, Interreg NPA og Framleiðnisjóði Landbúnaðarins

Höfundar: Sunna Skeggjadóttir, Gunnhildur Gísladóttir, Jónína Svavarsdóttir, Helga Rún Jóhannsdóttir og Hrannar Smári Hilmarsson

Ljósmyndir: Jónína Svavarsdóttir og Sunna Skeggjadóttir

Uppsetning: Jónína Svavarsdóttir og Sunna Skeggjadóttir

Landbúnaðarháskóli Íslands starfar á sviði sjálfbærrar auðlindanýtingar, búvísinda, umhverfisvísinda, skipulagsfræði og matvælaframleiðslu á norðurslóðum. Fagfólk skólans nýtur akademísks frelsis og hefur sjálfdæmi við val á viðfangsefnum, túlkun niðurstaðna og birtingu þeirra, innan ramma starfsreglna skólans. Hlutverk Rits LbhÍ er að miðla faglegri þekkingu en það er ekki ritrýnt. Efni hvers rits er á ábyrgð höfunda og ber ekki að túlka sem álit Landbúnaðarháskóla Ísland

1 Formáli

Árið 2024 mun án efa sitja fast í minnum manna sem afar lélegt kornræktarár. En þannig hófst fyrsta starfsár í nýja plöntukynbótaverkefninu Völu Veturinn 2023-2024 var harður sem gerði það að verkum að frost var lengi að fara úr jörðu og sáningar drógust langt fram á vor víða um land Þrátt fyrir það var fyrsti dagur tilraunasáninga 30. apríl í Gunnarsholti en síðasta tilraun fór ekki í jörð fyrr en 17. maí 2024 á Hvanneyri. Loftþrýstingur var lágur yfir landinu um sumarið og var því mikið um lægðir. Einkennandi veðurfar sumarsins var kuldi, úrkoma og fáar sólskinsstundir. Samkvæmt gögnum frá Veðurstofu Íslands hefur meðalhiti sumars ekki mælst eins lágur á mörgum stöðum landsins síðan um aldamótin 2000. Snjór féll á Norðurlandi í byrjun júnímánaðar og frost mældist á nokkrum stöðum á landinu í ágúst sem hafði áhrif á kornfyllingu. Eflaust má þakka árangri í bættri ræktunartækni bænda ásamt plöntukynbótum fyrir að bændur fengu uppskeru þó svo að hún hafi verið minni og af lakari gæðum en tíðkast hefur.

Í þessu riti verður gerð grein fyrir helstu niðurstöðum bygg- og hafratilrauna ársins 2024 ásamt uppgjöri tilrauna síðustu ára Markmið skýrslunnar er að veita upplýsingar um afkomu kornyrkja við íslenskar aðstæður fyrir sáðvöruinnflytjendur, ráðgjafa og bændur ásamt öðrum hagaðilum til eflingar kornræktar í landinu. Því er yfirlit helstu eiginleika birt fyrir hverja tilraun en yfirlit fleiri eiginleika birt í uppgjöri síðustu ára. Það eru okkar meðmæli að tekið sé mið af meðaltölum í heildaruppgjöri síðustu ára umfram stakar tilraunir og þá sérstaklega horft til fjölda tilrauna þegar taflan er skoðuð.

Byggtilraunir ársins voru annars vegar samanburðartilraunir þar sem borin voru saman mismunandi yrki sem eru á markaði ásamt álitlegum kynbótalínum og hins vegar áburðartilraunir með vaxandi köfnunarefnisskömmtum. Samantekt niðurstaðna úr byggyrkjatilraunum spannar síðastliðin 38 ár

Niðurstöður úr uppskerutilraun með hafra sem lögð var út í Gunnarsholti eru hér kynntar. Í tilrauninni voru yrki á markaði borin saman við norskar kynbótalínur og einnig við yrki sem talin voru geta staðist íslenskt veðurfar. Sömuleiðis eru teknar saman niðurstöður úr uppskerutilraunum með hafra frá 2017-2024.

Sáðvöruinnflytjendunum, Líflandi, Sláturfélagi Suðurlands, Fóðurblöndunni og Bústólpa færum við þakkir fyrir að útvega okkur sáðvöru

Sérstakar þakkir fá bændur í Keldudal, Klauf, Flatey, Gunnarsholti, Stóra-Ármóti og Hvanneyri sem ljáðu land undir tilraunir og liðveislu Sömuleiðis fá starfsmenn Bútæknihúsins á Hvanneyri þakkir fyrir góðfúslega aðstoð við akstur og viðgerðir véla Einnig fá Egill Gautason og Sbatie Lama þakkir fyrir framlag við yfirlestur og tölfræðiuppgjör.

2 Samantekt

Niðurstöður á samanburði byggyrkja árið 2024 leiddu í ljós að marktæk samspilsáhrif voru á milli yrkja og staða á uppskeru, þurrefnishlutfalli og rúmþyngd. Það merkir að yrkin skila mismunandi uppskeru og gæðum eftir umhverfisaðstæðum Sexraða yrkin stóðu sig almennt betur en tvíraða yrkin á flestum stöðum. Alla jafnan skiluðu þau meiri uppskeru, hærra þurrefnishlutfalli og meiri rúmþyngd. Af sexraða yrkjunum stóð Smyrill sig best þvert á staði en þó munaði ekki miklu á milli yrkjanna. Af tvíraða yrkjunum stóð Kría sig best.

Niðurstöður áburðartilrauna sýndu að Smyrill jók uppskeru með vaxandi köfnunarefnisskömmtum en Kría náði hámarks uppskeru í næst stærsta skammti. Vaxandi köfnunarefnisskammtar höfðu letjandi áhrif á aðra gæða- og ræktunareiginleika kornsins í frjósamri jörð, en það kom ekki fram á rýrri jörð. Því er ráðlegt að áætla köfnunarefnisskammt miðað við jarðvegsgerð.

Niðurstöður prófana á íslenskum kynbótalínum sýna lofandi línur í stofninum, sem verða notaðar sem foreldralínur í víxlunum. Niðurstöðurnar nýtast einnig sem gögn í erfðamengjaspám.

Niðurstöður uppgjörs byggyrkjatilrauna frá árinu 1987-2024 sýna meðaltöl yrkja þvert á staði og ár. Þess vegna er það marktækari samanburður yrkja en í einni tilraun. Niðurstöðurnar sýndu að lofandi ný erlend yrki eru á markaði, sem þarf að prófa frekar

Hafratilraunir hafa færst í aukana á Íslandi undanfarin ár. Árið 2024 voru lagðar út tvær tilraunir með hafra til manneldis sem partur af alþjóðlegu samstarfsverkefni og eru niðurstöður úr annarri þeirra birtar hér.

Mikill breytileiki var í uppskeru, þar sem lakasta yrkið var undir tonni þurrefnis á hektara (þe/ha) og uppskerumesta var 3,2 tonn þe/ha. Ekki var mikill munur á þurrefni eða rúmþyngd. Við fræstærðarflokkun var hlutfall á fræjum breiðari en 2,5mm á bilinu 1-51%.

Í uppgjöri á samanburði hafrayrkja frá árunum 2017-2024 voru 34 þekkt yrki sem hafa verið prófuð víðs vegar um landið á þessum árum við mismunandi skilyrði. Tilraunirnar hafa verið gerðar upp þvert á staði og ár til að auðvelda samanburð. Þá eru sum yrki sem ætti heldur að rækta sem grænfóður

3

Veðurfar árið 2024

Veðurfar á vaxtartíma byggs og hafra frá veðurstöðvum sem voru í nálægð við tilraunir ársins

2024 eru sýndar í Töflu 1. Veðurstöðvarnar mæla lofthita, rakastig, vindhraða og úrkomu, að undanskildum Alexandersflugvelli á Sauðárkróki sem mældi einungis úrkomu í september og október. Veðurstöðin í Gunnarsholti er frá Land & Skógi en aðrar veðurstöðvar eru á vegum Veðurstofu Íslands

Tafla 1. Veðurfar 2024, Veðurstofa Íslands (2025)

Kálfhóll, Skeiða- og Gnúpverjahreppi

Gunnarsholt

Hvanneyri

Tafla 2 sýnir veðurfar yfir vaxtartímann (apríl-október) á þeim stöðvum sem voru í nálægð við tilraunir ársins.

Tafla 2. Veðurfar yfir vaxtartímann (apríl-október) á mismunandi veðurstöðvum

*Úrkoma á Sauðárkrók er aðeins fyrir september og október

4

Bygg

Tilraunir ársins töldu samanburð á yrkjum og arfgerðum, áburðartilraunir og prófun á kynbótaefnivið. Markmið samanburðartilraunanna er annars vegar að bera saman íslenskt og erlent bygg við ólíkar jarðvegs- og loftlagsaðstæður og hins vegar að prófa kynbótalínur. Áburðartilraunir hafa það að markmiði að kanna hver áhrif vaxandi köfnunarefnisskammta eru á uppskeru og gæði byggs. Einnig voru lagðar út tilraunir með skiptri áburðargjöf á mismunandi jarðvegsgerðum, 100 sænskum kynbótalínum til að prófa við íslenskar aðstæður og 1000 víxlanir úr kynbótaverkefni Völu en ekki verður fjallað um þessar þrjár tilraunir hér.

Yrkja, kynbóta- og áburðartilraunirnar eru hluti af kynbótaverkefni Völu sem styrkt er af matvælaráðuneytinu til eflingar kornræktar á Íslandi.

4.1 Yfirlit tilraunastaða

Árið 2024 voru lagðar út sjö samanburðartilraunir á byggi þar sem hver tilraun var 60-108 reitir. Í tilraunum voru prófuð: 13 yrki sem eru fáanleg á markaði, 34 íslenskar kynbótalínur sem eru hluti af Völu kynbótaverkefni LbhÍ, fimm norsk yrki og fimm kynbótalínur, eitt sænskt yrki og fimm kynbótalínur, tvö yrki frá Finnlandi Auk þess voru þrjú maltyrki prófuð, frá Bandaríkjunum, Þýskalandi og Mexíkó. Fjöldi arfgerða í tilraunum var mismunandi eftir stöðum. Tilraunastaðirnir eru tilgreindir í Töflu 3, ásamt upplýsingum um jarðvegsgerð, áburðarmagn, sáðdag og uppskerudag. Sáð var í 10m2 reiti með tilraunasáðvél af gerðinni Haldrup SB-25. Sáð var í þrjár endurtekningar í hverri tilraun sem settar voru upp með hefðbundnu blokkarskipulagi. Frekari útskýringar á aðferðum mælinga má sjá í Kafla 6: Efni og aðferðir.

Sáning í melajarðveg á Hvanneyri gekk afar illa sökum mikillar bleytu um vorið. Það þurfti þrjár atlögur til þess að sá og því eru þrír sáðtímar innan tilraunarinnar. Um haustið var tilraunin metin óþreskihæf vegna lítils þroska. Því voru einungis íslensku kynbótalínurnar, ásamt Kríu og Smyrli uppskornar með höndum. Byggið á mýrajarðvegi á Hvanneyri var sömuleiðis lítið þroskað og því tókst aðeins að þreskja um 30 reiti af 90.

Tafla 3. Tilraunastaðir 2024 ásamt jarðvegsgerð, áburði, sáðdegi og skurðdegi

Tilraunastaður

Jarðvegur Kg N/ha Sáðdagur Skurðdagur Flatey á Mýrum Malaraur 120 06.05.24 26.09.24

Gunnarsholt á Rangárvöllum Sandur 120 30.04.24 10.10.24

Hvanneyri í Andakíl Melur 80 05./09./17.05.24 06.11.24

Hvanneyri í Andakíl Mýri 60 08.05.24 30.09.24

Keldudalur í Skagafirði Mói 75 10.05.24 20.09.24

Klauf í Eyjafirði Mómýri 45 10.05.24 21.09.24

Stóra-Ármót í Flóa Mói 60 14.05.24 04.10.24

4.2 Samanburður byggyrkja

4.2.1 Flatey á Mýrum

Mynd 1. Þresking á Flatey á Mýrum

Tilraunin var lögð út á malaraur sem var plægður og tvær umferðir herfaðar með diskaherfi. Sáð var þann 6. maí 2024 og áburður felldur niður með fræinu, sem samsvarar 600 kg/ha (120 kg N, 26 kg P og 50 kg K) af 20-10-10 áburði frá Skeljungi.

Þann 11. júlí var úðað yfir tilraunina varnarefnablöndu sem samanstóð af Priaxor sveppalyfi og Express SX tvíkímblaða illgresiseyði. Tilraunin var uppskorin þann 26. september 2024 (Mynd 1)

Sexraða yrkin voru með áberandi meira hálsbrot og knjábrot samanborið við þau tvíraða. Sexraða yrkin voru einnig metin með meiri legu og má þá helst nefna Judit Lítið var um hrun úr axi í þessari tilraun en mest hafði hrunið úr finnska yrkinu Aukusti.

Mynd 2. Þurrefnishlutfall á Flatey eftir yrkjum

Mynd 3. Uppskera á Flatey eftir yrkjum

Mynd 4. Rúmþyngd á Flatey eftir yrkjum

Þurrefnishlutfall í tilrauninni mældist á bilinu 51-83% (Mynd 2). Tvíraða yrkið Annika var að meðaltali með lægsta þurrefnishlutfallið (55,1%) en Kría það hæsta (70,7%) af tvíraða yrkjunum. Smyrill og Vertti voru með hæsta þurrefnishlutfallið (76,3 og 76,4%) af sexraða yrkjunum

Uppskera í tilrauninni mældist á bilinu 1,9-4,5 tonn þe/ha en ómarktækur munur var á milli yrkja (Mynd 3). Smyrill skilaði að meðaltali mestri uppskeru (4,2 tonn þe/ha) af sexraða yrkjunum og Kría mestri af tvíraða yrkjunum (3,6 tonn þe/ha). Aukusti skilaði minnstri uppskeru (2,8 tonn þe/ha) og hugsanlega er það vegna mikils hruns úr axi.

Rúmþyngd mældist á bilinu 43,6-63,7 g/dL, svipuð að meðaltali hjá öllum yrkjum að undanskildum Anneli og Annika sem skiluðu áberandi lakari rúmþyngd (Mynd 4) Brage og Vertti voru að meðaltali með mestu rúmþyngdina af sexraðayrkjunum og Kría af tvíraða með yfir 60 g/dL.

4.2.2 Gunnarsholt á Rangárvöllum

Mynd 5. Tilraunin þreskt með Wintersteiger reitaþreskivél

Tilraunin var lögð út á sendnum jarðveg sem farið var tvisvar sinnum yfir með diskaherfi á um 12 cm dýpi. Sáð var þann 30. apríl 2024 og áburður felldur niður með fræinu, sem samsvarar 600 kg/ha (120 kg N, 26 kg P og 50 kg K) af 20-10-10 áburði frá Skeljungi.

Þann 18. júní var úðað yfir hluta tilraunarinnar varnarefna- og áburðarblöndu sem samanstóð af Priaxor sveppalyfi, Express SX tvíkímblaða illgresiseyði ásamt gramitrel áburði frá Yara. Hinn hlutinn var handúðaður þann 4. júlí með sömu blöndu. Tilraunin var uppskorin þann 10. október 2024 (Mynd 5).

Mynd 6. Þurrefnishlutfall í Gunnarsholti eftir yrkjum

Nokkur lega var í flestum reitum þar sem sexraða yrkin lágu áberandi mest. Einnig var mikið brot í mörgum reitum en afar lítið um hrun úr axi.

Mynd 8. Rúmþyngd í Gunnarsholti eftir yrkjum

Þurrefnishlutfall í tilrauninni mældist á bilinu 66-86% (Mynd 6). Flest yrkin voru um og yfir 80% þurrefni en tvíraða yrkin Anneli og Annika voru með áberandi lægra þurrefni. Smyrill skilaði að meðaltali hæsta þurrefninu af sexraða yrkjunum (85,3%) og Kría hæsta af tvíraða yrkjunum (83,4%).

Uppskera mældist á bilinu 1,0-4,1 tonn þe/ha (Mynd 7). Finnska yrkið Aukusti skilaði mestri uppskeru (3,6 tonn þe/ha) af sexraða yrkjunum og var með marktækt hærri uppskeru en öll tvíraða yrkin. Filippa skilaði mestri uppskeru af tvíraða yrkjunum eða 2,6 tonnum þe/ha.

Rúmþyngd mældist á bilinu 38-62 g/dL (Mynd 8). Vertti var með mestu rúmþyngdina af sexraða yrkjunum (57,6 g/dL) að meðaltali en Smyrill var skammt á eftir (57,0 g/dL). Anneli og Annika voru með áberandi lægstu rúmþyngdina af tvíraða yrkjunum (43,8 og 37,6 g/dL) en Kría með mestu rúmþyngdina (55,4 g/dL)

4.2.3

Mynd 9. Djúp för mynduðust vegna mikillar bleytu

Tilraunin var lögð út á melajarðvegi sem var plægður árið 2023 en farið yfir með pinnatætara vorið 2024. Vegna bleytu festist vélin (Mynd 9) og þurfti frá að hörfa við sáningar, endaði með að sáðdagar urðu þrír; 5. maí, 9. maí og 17. maí. Áburður var felldur niður með fræinu, sem samsvarar 500 kg/ha (80 kg N, 33 kg P og 50 kg K) af 16-15-12 áburði frá Skeljungi.

Þann 8. júlí var úðað yfir tilraunina varnarefna- og áburðarblöndu sem samanstóð af Priaxor sveppalyfi, Express SX og Primus tvíkímblaða illgresiseyðum, ásamt gramitrel áburði frá Yara.

Þann 26. ágúst mældist frost sem dró úr getu kornsins til að fylla sig. Haustmánuðirnir voru einnig kaldir og úrkomusamir (Tafla 1 og 2). Akurinn var því ófær og ákveðið var að uppskera tilraunina ekki á hefðbundinn hátt. Þann 6. nóvember 2024 voru sýni handskorin úr reitum af íslenskum kynbótalínum, ásamt Kríu og Smyrli sem viðmiðunaryrki. Sökum þess var hvorki hægt að reikna heildaruppskeru né þurrefnishlutfall. Hins vegar var tekin rúmþyngd og mældist hún 42,6 g/dL hjá Smyrli og 44,0 g/dL hjá Kríu (Tafla 6).

4.2.4 Hvanneyri í Andakíl – Mýri

Mynd 11. Þurrefnishlutfall á mýri eftir yrkjum

Mynd . Títurnar gerðu erfitt fyrir og stífluðu þreskivélina aftur og aftur

Tilraunin var lögð út á mýrajarðvegi sem var plægður og pinnatættur.

Jarðvegurinn var blautur vegna mikilla vorrigninga og enn var klaki í jörðu þegar sáð var þann 8. maí 2024. Áburður var felldur niður með fræinu, sem samsvarar 375 kg/ha (60 kg N, 24 kg P og 38 kg K) af 16-15-12 áburði frá Skeljungi.

Mynd 12. Rúmþyngd á mýri eftir yrkjum

Þann 8. júlí var úðað yfir tilraunina varnarefna- og áburðarblöndu sem samanstóð af Priaxor sveppalyfi, Express SX og Primus tvíkímblaða illgresiseyðum, ásamt gramitrel áburði frá Yara.

Tilraunin var illa farin vegna mikilla rigninga yfir sumarið og jarðvegurinn var vatnsmettaður allt sumarið. Frost mældist þann 26. ágúst og fyllti kornið sig ekki eftir það. Kornið var því óþroskað þegar kom að uppskerudegi.

Tilraunin var að hluta skorin upp þann 30. september 2024. Lítið sem ekkert var um hrun og legu í reitum. Örlítið var um brot, þar sem sexraða yrkin voru meira brotin. Óþroskað korn olli stíflum í reitaþreskivélinni (Mynd 10) og því eru uppskerutölurnar ómarktækar og engar uppskeruniðurstöður birtar. Öllum brögðum var beitt til þess að leysa þann vanda en að lokum var tekin sú ákvörðun að tilraunin teldist óþreskihæf. Sýni fengust úr 30 reitum af 90.

Þurrefnishlutfall í tilrauninni mældist á bilinu 45-60% en ómarktækur munur var á milli yrkja (Mynd 11). Finnska yrkið Vertti skilaði að meðaltali hæsta þurrefninu (55,7%) af sexraða yrkjunum og Kría af tvíraða yrkjunum eða 53,5%.

Rúmþyngd mældist á bilinu 27-45 g/dL en ómarktækur munur var á milli yrkja (Mynd 12). Sexraða yrkið Vertti skilaði mestu rúmþyngdinni (43,9 g/dL) og Kría var með mestu rúmþyngdina af tvíraða yrkjunum (39,8 g/L).

4.2.5 Keldudalur í Skagafirði

Mynd 13 Kornskurður í Keldudal

Tilraunin var lögð út á móajarðvegi sem var plægður, pinnatættur og valtaður. Sáð var þann 10. maí 2024 og áburður felldur niður með fræinu, sem samsvarar 469 kg/ha (75 kg N, 30 kg P og 47 kg K) af 16-15-12 áburði frá Skeljungi

Þann 8. júlí var úðað yfir tilraunina varnarefnablöndu sem samanstóð af Priaxor sveppalyfi og Express SX tvíkímblaða illgresiseyði.

Tilraunin var uppskorin þann 20. september (Mynd 13). Áberandi var hve grænn hálmurinn var og hliðarsprotar höfðu náð litlum þroska.

Mynd 14. Þurrefnishlutfall í Keldudal eftir yrkjum

Mynd 15. Uppskera í Keldudal eftir yrkjum

Mynd 16. Rúmþyngd í Keldudal eftir yrkjum

Lítið brot var í tilrauninni en meira hafði hrunið úr axinu. Mest hafði hrunið úr finnska yrkinu Mainio. Örlítil lega var í flestum reitum.

Þurrefnishlutfall í tilrauninni mældist á bilinu 38-61% (Mynd 14). Þar sem Smyrill var með hæsta þurrefnið (59,2%) af sexraða yrkjunum og Kría hæsta af tvíraða yrkjunum (46,7%).

Uppskera mældist á bilinu 0,5-2,9 tonn þe/ha (Mynd 15). Smyrill var uppskeruhæstur með 2,6 tonn þe/ha. Kría var áberandi uppskeruhæst af tvíraða yrkjunum með 2,5 tonn þe/ha

Rúmþyngd mældist á bilinu 28-55 g/dL (Mynd 16). Smyrill var með áberandi mestu rúmþyngdina (49,6 g/dL) af sexraða yrkjunum og Kría af tvíraða yrkjunum með 39,0 g/dL. Sexraða yrkin voru öll með hærri rúmþyngd en tvíraða yrkin.

4.2.6

Klauf í Eyjafirði

Mynd 17 Kornskurður í Klauf

Tilraunin var lögð út í mómýri sem farið var tvisvar sinnum yfir með pinnatætara. Sáð var þann 10. maí 2024 og áburður felldur niður með fræinu, sem samsvarar 300kg/ha (45 kg N, 20 kg P og 38 kg K) af 15-7-12 áburði frá Yara.

Um mánaðarmótin júní/júlí var tilraunin úðuð með varnarefna- og áburðarblöndu sem samanstóð af Priaxor sveppalyfi, Express SX tvíkímblaða illgresiseyðum, auk gramitrel áburðar frá Yara. Þegar akurinn í kring var úðaður var ekið yfir hluta af tilrauninni fyrir slysni, þeir reitir voru því metnir ónýtir og ekki notaðir við uppgjör.

19. Uppskera í Klauf eftir yrkjum

Mynd 20. Rúmþyngd í Klauf eftir yrkjum

Tilraunin var uppskorin þann 21. september 2024 (Mynd 17) Mikið af grasi og illgresi var í tilrauninni. Margir reitir lágu áberandi. Sökum illgresis og legu komu sniglar með í uppskeruna sem er heldur óvenjulegt. Mikið hrun var úr axi auk brots, þá helst hálsbrot.

Þurrefnishlutfall í tilrauninni mældist á bilinu 44-73% (Mynd 18). Smyrill var með hæsta þurrefnið (71,5%) af sexraða yrkjunum og Heder skammt á eftir (70,1%). Kría var með hæsta þurrefnið (60,5%) af tvíraða yrkjunum.

Uppskera mældist á bilinu 1,0-4,9 tonn þe/ha (Mynd 19). Vegna mikils hruns úr axi má áætla að uppskeran hefði geta verið meiri. Smyrill var uppskeruhæstur (4,3 tonn þe/ha) og var eina yrkið með yfir fjögur tonn. Anneli var uppskeruhæst af tvíraða yrkjunum með 3,1 tonn þe/ha.

Rúmþyngd mældist á bilinu 37-63 g/dL (Mynd 20). Smyrill var með mestu rúmþyngd af sexraða yrkjunum (60,6 g/dL) og Kría af tvíraða yrkjunum (58,6 g/dL). Mörg yrki voru með svipað háa rúmþyngd en tvíraða yrkin voru öll með heldur lakari rúmþyngd en þau sexraða.

Mynd 18. Þurrefnishlutfall í Klauf eftir yrkjum
Mynd

4.2.7 Stóra-Ármót í Flóa

Mynd 21. Sólsetur yfir kornakrinum á StóraÁrmóti

Tilraunin var lögð út í móajarðveg sem var plægður og tættur með hnífatætara. Sáð var þann 14. maí 2024 og áburður felldur niður með fræinu, sem samsvarar 375 kg/ha (60 kg N, 24 kg P og 38 kg K) af 16-15-12 frá Skeljungi.

Þann 4. júlí var úðað yfir tilraunina varnarefna- og áburðarblöndu sem samanstóð af Priaxor sveppalyfi, Express SX tvíkímblaða illgresiseyði ásamt gramitrel áburði frá Yara.

Tilraunin var uppskorin þann 4. október (Mynd 21). Nokkur lega var í öllum reitum. Brot var einnig metið, þar var meira um knjábrot en lítið sem ekkert hálsbrot. Eitthvað hrun úr axi mátti meta í öllum reitum en mest áberandi hafði hrunið úr yrkinu Heder.

Mynd 22. Þurrefnishlutfall á Stóra-Ármóti eftir yrkjum

23. Uppskera á Stóra-Ármóti eftir yrkjum

Þurrefnishlutfall í tilrauninni mældist á bilinu 44-65% (Mynd 22). Smyrill var með hæsta hlutfallið (64,8%) af sexraða yrkjunum. Tvíraða yrkin voru með ívið lægra þurrefnishlutfall samanborið við sexraða yrkin að undanskildu norska yrkinu Vilde. Kría var með hæsta þurrefnið (53,4%) af tvíraða yrkjunum.

Mynd 24. Rúmþyngd á Stóra-Ármóti eftir yrkjum

Uppskeran mældist á bilinu 0,8-2,3 tonn þe/ha og ómarktækur munur var á milli yrkja (Mynd 23) Judit var uppskerumest sexraða yrkjanna með 2,2 tonn þe/ha og Kría uppskerumest af tvíraða yrkjunum (2,0 tonn þe/ha).

Rúmþyngd mældist á bilinu 30-46 g/dL (Mynd 24). Smyrill var með mestu rúmþyngdina (42,9 g/dL) af sexraða yrkjunum og Kría mestu af tvíraða yrkjunum (40,2 g/dL).

Mynd

4.3 Samanburður á kynbótaefniviði

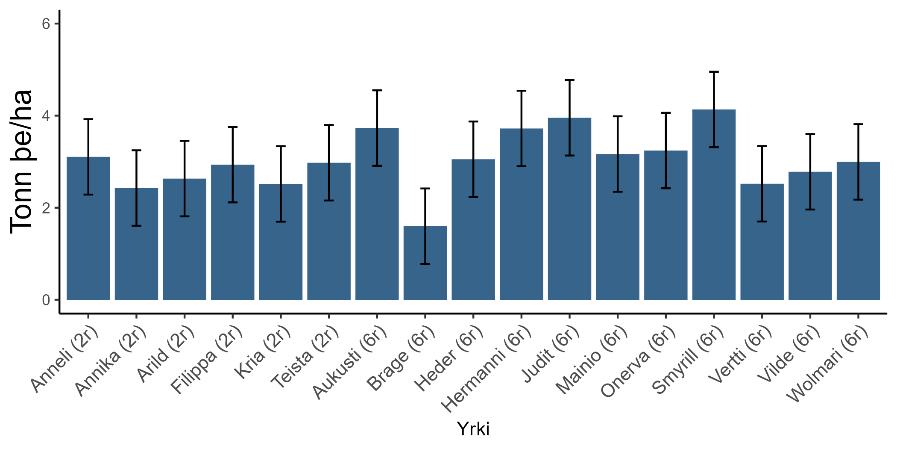
Í verkefninu eru yrkja- og kynbótatilraunir unnar samhliða Tilraunir með kynbótaefnivið hafa það að markmiði að prófa lofandi kynbótalínur sem geta orðið að yrki á sáðvörumarkaði eða nýtast í líkön við erfðamengjaúrval í kynbótaverkefninu Völu. Í Töflu 4 má finna uppskeruniðurstöður frá mismunandi stöðum. Í Töflu 5 eru þurrefnisniðurstöður og í Töflu 6 niðurstöður rúmþyngdar ásamt meðaltölum og staðalskekkju (e. standard error) þvert á arfgerðir. Íslensku kynbótalínurnar eru auðkenndar með númeri, þær norsku eru merktar Gn og þær sænsku Swa. Í tilraununum mátti einnig finna maltyrki (merkt með *) ásamt gömlum íslenskum og erlendum yrkjum.

Tafla 4. Uppskeruniðurstöður gefnar upp í tonn þe/ha

Arfgerð Raðgerð Uppruni Flatey Gh Keldud. Klauf Hvanneyri Mýri

Arfgerð Raðgerð Uppruni Flatey Gh Keldud. Klauf Hvanneyri Mýri Hvanneyri Melur StóraÁrmót

Skúmur I 6 Ísland

Tafla 5. Þurrefnishlutfall gefið upp í %

Arfgerð

Hvanneyri Melur StóraÁrmót

Arfgerð Raðgerð Uppruni Flatey Gh

Gn-16329 6 Noregur 84

Gn-17045 6 Noregur 84

Haukur 6 Ísland 85

Hrútur 6 Ísland 59

Kannas 2 Svíþjóð 64 75

Olsok 6 Noregur 84

Bor05189 2 Finnland 56

Swa10062 6 Svíþjóð 53

Saana 2 Finnland 57

Skúmur 6 Ísland 58

Skúmur I 6 Ísland 46

Sverre 6 Noregur 83

Swa10524 6 Svíþjóð 82

Swa11019 2 Svíþjóð 65

Swa17593 6 Svíþjóð 80 Thalis* 2 Þýskaland 60

Torgeir 2 Noregur 75

Ugla 2 Ísland 69 Valur 6 Ísland 75 85

Tafla 6. Rúmþyngd gefin

Arfgerð Raðgerð Uppruni Flatey Gh Keldud. Klauf Hvanneyri

Arve 6 Noregur

Bredo 6 Noregur

Dona Josefa* 6 Mexíkó

Gn-12096 6 Noregur

Mýri
Hvanneyri Melur
StóraÁrmót

4.4 Uppgjör á samanburði byggyrkja undanfarin ár

Á undanförnum mánuðum hafa verið tekin saman gögn úr byggtilraunum sem framkvæmdar voru á árunum 1987 til 2024 eða í 38 ár. Fjöldi staða á þessum árum eru 58 víðs vegar um landið. Heildarfjöldi arfgerða og yrkja telur 925. Í framhaldinu verða hér birtar niðurstöður ýmissa eiginleika fyrir valdar arfgerðir og yrki sem eru eða hafa verið á markaði, ásamt íslenskum arfgerðum sem þykja skara fram úr. Yrkjunum er raðað samkvæmt bestu línulegu mati fyrir hvern eiginleika (BLUE). Fyrst verða kynntar niðurstöður fyrir uppskeru, þurrefni og rúmþyngd, þar sem þessir þrír eiginleikar eru þeir sem hafa mest vægi í kynbótamati. Auk þessara þriggja eiginleika verða einnig birtar niðurstöður fyrir þúsundkornavigt, stráhæð, legu, knjábrot, hálsbrot og hrun úr axi. Með hverjum eiginleika fylgja staðalskekkja og fjöldi reita þar sem viðkomandi eiginleiki var mældur fyrir hverja arfgerð eða yrki. Sætistalan gefur til kynna í hvaða sæti ákveðin arfgerð/yrki er í samanburði við heildarfjöldann Íslensku kynbótalínurnar eru auðkenndar með númeri. Hér er birt mat fyrir yrki á markaði, lofandi línur úr kynbótum, og yrki sem voru áður þekkt á markaði.

Tafla 7 sýnir meðaluppskeru 34 valinna tvíraða arfgerða og yrkja og Tafla 8 sýnir meðaluppskeru 54 valinna sexraða arfgerða/yrkja yfir 38 ára tímabil. Alls voru 915 arfgerðir með niðurstöður fyrir uppskeru.

Tafla 7 Meðaluppskera tvíraða arfgerða/yrkja þvert á ár og staði

Sæti Arfgerð/ yrki Uppskera tonn þe/ha

Tafla 8. Meðaluppskera sexraða arfgerða/yrkja þvert á ár og staði

Tafla 9 sýnir meðalþurrefnishlutfall 34 valinna tvíraða arfgerða og yrkja og Tafla 10 meðalþurrefnishlutfall 54 valinna sexraða arfgerða/yrkja þvert á ár og staði yfir 38 ára tímabil. Alls voru 893 arfgerðir með niðurstöður fyrir þurrefnishlutfall

Tafla 9. Meðalþurrefnishlutfall tvíraða arfgerða/yrkja þvert á ár og staði

Sæti Arfgerð/

Tafla 10. Meðalþurrefnishlutfall

Tafla 11 sýnir meðal rúmþyngd 34 valinna tvíraða arfgerða og yrkja og Tafla 12 meðalrúmþyngd 54 valinna sexraða arfgerða/yrkja þvert á ár og staði yfir 38 ára tímabil. Rúmþyngdin er á þurru korni. Alls voru 924 arfgerðir með niðurstöður fyrir rúmþyngd á þurru korni.

Tafla 11. Meðalrúmþyngd tvíraða arfgerða/yrkja þvert á ár og staði

Tafla 12. Meðalrúmþyngd

Tafla 13 sýnir meðalrúmþyngd 34 valinna tvíraða arfgerða og yrkja og Tafla 14 meðalrúmþyngd 54 valinna sexraða arfgerða/yrkja þvert á ár og staði yfir 38 ára tímabil. Rúmþyngdin er á blautu korni. Alls voru 188 arfgerðir með niðurstöður fyrir rúmþyngd á blautu korni, sem hefur verið mælt frá 2020 með tilkomu nýrrar tilraunaþreskivélar og því eru ekki til niðurstöður fyrir allar arfgerðir eða yrki.

Tafla 13 Meðalrúmþyngd blauts korns tvíraða arfgerða/yrkja þvert á ár og staði

Sæti Arfgerð/ yrki Rúmþyngd g/dL

Tafla 14. Meðalrúmþyngd blauts korns sexraða arfgerða/yrkja þvert á ár og staði Sæti Arfgerð/ yrki Rúmþyngd g/dL

Tafla 15 sýnir meðalþúsundkornavigt 34 valinna tvíraða arfgerða og yrkja og Tafla 16 meðalþúsundkornavigt 54 valinna sexraða arfgerða/yrkja þvert á ár og staði yfir 38 ára tímabil. Alls voru 822 arfgerðir með niðurstöður fyrir þúsundkornavigt á árunum 1987-2024.

Tafla 15. Meðalþúsundkornavigt tvíraða arfgerða/yrkja þvert á ár og staði

Sæti Arfgerð/ yrki ÞKV g Staðal skekkja Fjöldi reita Sæti Arfgerð/ yrki ÞKV g Staðal skekkja Fjöldi reita

Sæti Arfgerð/ yrki ÞKV g Staðal skekkja Fjöldi reita

Sæti Arfgerð/ yrki ÞKV g Staðal skekkja Fjöldi reita

135 Kannas 35,9 1,25 88 492

32,1 1,45 9 142 Arild 35,9 1,25 84 534

1,40 12 546

1,45 9 147 160-7 35,7 1,28 46 558

167 Arlom 35,3 1,36 10 656

31,5 1,24

30,1 1,36 12 187 Kría 35,0 1,23 387 684

29,7 2,11 3 240 05-59 34,4 1,29 34 691 Pernilla 29,6 1,30 31 245 Teista 34,4 1,23 185 746 Vilde 28,5 1,36 20 253 Vilgott 34,3 1,30 36 - Torgeir - - -

Tafla 16. Meðalþúsundkornavigt sexraða arfgerða/yrkja þvert á ár og staði Sæti Arfgerð/ yrki ÞKV g Staðal skekkja Fjöldi reita Sæti Arfgerð/ yrki ÞKV g Staðal skekkja Fjöldi reita

Tafla 17 sýnir meðalstráhæð 34 valinna tvíraða arfgerða og yrkja og Tafla 18 meðalstráhæð 54 valinna sexraða arfgerða/yrkja þvert á ár og staði yfir 38 ára tímabil þvert á ár og staði. Alls voru 691 arfgerðir með niðurstöður fyrir stráhæð

Tafla 17 Meðalstráhæð tvíraða arfgerða/yrkja þvert á ár og staði

Tafla 19 sýnir meðallegu 34 valinna tvíraða arfgerða og yrkja og Tafla 20 meðallegu 54 valinna sexraða arfgerða/yrkja þvert á ár og staði yfir 38 ára tímabil þvert á ár og staði. Alls voru 282 arfgerðir með niðurstöður fyrir legu.

Tafla 19. Meðallega tvíraða arfgerða/yrkja þvert á ár og staði

Sæti Arfgerð/ yrki Lega Staðal skekkja Fjöldi reita Sæti Arfgerð/

146 294-47 2,87 0,46 3

187 Olsok 2,68 0,35 9 - 333-4

333-42 2,68 0,46 3

250-4

191 Torstein 2,67 0,46 3 - Lómur

197 Haukur 2,64 0,22 27 06-88

Tafla 21 sýnir meðalknjábrot 34 valinna tvíraða arfgerða og yrkja og Tafla 14 meðalknjábrot 54 valinna sexraða arfgerða/yrkja þvert á ár og staði yfir 38 ára tímabil. Nýlega hefur knjábrot verið metið sérstaklega og því eru ekki til niðurstöður fyrir allar arfgerðir eða yrki. Alls eru 191 arfgerðir með niðurstöður fyrir knjábrot

Tafla 21. Meðalknjábrot tvíraða arfgerða/yrkja þvert á ár og staði

Sæti Arfgerð/ yrki Knjábrot Staðal skekkja Fjöldi reita Sæti Arfgerð/ yrki Knjábrot

Tafla 22. Meðalknjábrot sexraða arfgerða/yrkja þvert á ár og staði

Tafla 23 sýnir meðalhálsbrot 34 valinna tvíraða arfgerða og yrkja og Tafla 24 meðalhálsbrot 54 valinna sexraða arfgerða/yrkja þvert á ár og staði yfir 38 ára tímabil. Nýlega hefur hálsbrot verið metið sérstaklega og því eru ekki til niðurstöður fyrir allar arfgerðir eða yrki. Alls eru 182 arfgerðir með niðurstöður fyrir hálsbrot.

Tafla 23. Meðalknjábrot tvíraða arfgerða/yrkja þvert á ár og staði

Sæti Arfgerð/ yrki Knjábrot

Staðal skekkja Fjöldi reita Sæti Arfgerð/ yrki Knjábrot

Staðal skekkja Fjöldi reita

1 Harbinger 3,08 0,50 3 - Amanda - - -

3 Kannas 3,07 0,36 9 - Nairn - - -

4 Annika 3,06 0,36 9 - Pernilla - - -

8 Torgeir 2,88 0,50 3 - Gunilla - - -

10 Filippa 2,84 0,26 21 - Sunnita - - -

12 Teista 2,79 0,36 9 - Lilly - - -

14 Kría 2,76 0,18 127 - 263-9 - - -

20 Arild 2,78 0,22 31 - Olve - - -

Sæti Arfgerð/ yrki Knjábrot

Tafla 24. Meðalknjábrot sexraða

Sæti Arfgerð/ yrki Knjábrot

Tafla 25 sýnir meðalhrun úr axi 34 valinna tvíraða arfgerða og yrkja og Tafla 26 meðalhrun úr axi 54 valinna sexraða arfgerða/yrkja þvert á ár og staði yfir 38 ára tímabil. Nýlega hefur hrun úr axi verið metið sérstaklega og því eru ekki til niðurstöður fyrir allar arfgerðir eða yrki. Alls eru 219 arfgerðir með niðurstöður fyrir hrun úr axi.

Tafla 25. Meðalhrun úr axi tvíraða arfgerða/yrkja þvert á ár og staði

Sæti

4.5 Áburðartilraunir með vaxandi köfnunarefni

Lagðar voru út áburðartilraunir á tveimur stöðum, í Klauf (mómýri) og á Flatey (malaraur), þar sem borin voru saman áhrif vaxandi köfnunarefnisskammta (N) á byggyrkin Kríu og Smyril. Tekin voru jarðvegssýni á tilraunastöðum fyrir sáningu og send í efnagreiningu. Niðurstöður úr jarðvegsgreiningunni má sjá í Töflu 27. Tilraunirnar fylgdu samanburðartilraununum og voru unnar á sama hátt. Nánari lýsing á mælingu hvers eiginleika má finna í Kafla 6: Efni og aðferðir Fimm mismunandi köfnunarefnisskammtar voru notaðir (30, 60, 90, 120 og 150 kg N/ha), auk viðmunarliðar sem fékk engan áburð, samtals sex meðferðarliðir Allir reitir fengu 25 kg/ha af fosfór (P) og 70 kg/ha af kalí (K) en notast var við hrein áburðarefni.

Tafla 27 Jarðvegsefnagreiningar

Flatey Klauf pH 5,34 6,13

P, mg/kg

mg/kg

mg/kg

mg/kg

mg/kg 31 77

mg/kg 10,2 2,5 Zn, mg/kg 0,4 11,5

Rúmþyngd, gr/cm3 1,12 0,65

Glæðitap, % 7,8 22,6

Heildar N, % 0,31 0,69

4.5.1 Niðurstöður

Marktækur munur var á meðaltali yrkja þvert á staði og áburðarskammta, á alla eiginleika sem voru mældir og metnir að undanskildu knjábroti. Smyrill skilaði bæði marktækt hærri uppskeru (3,40 tonn þe/ha) og þurrefnishlutfalli (73,9%) heldur en Kría (2,98 tonn þe/ha og 66,3% þurrefnishlutfall). Hins vegar var Kría með marktækt hærri rúmþyngd (59,9 g/dL) heldur en Smyrill (59,1 g/dL). Smyrill var með marktækt meira hrun úr axi (2,0), hálsbrot (3,6) og hærra strá (72,3 cm) heldur en Kría sem var metin með 1,4 í hrun, 1,4 í hálsbrot og 60,3 cm háar plöntur. Kría var aftur á móti með marktækt meiri legu (3,1) en Smyrill (1,9).

Marktækur munur var einnig á meðaltali staða þvert á yrki og áburðarskammta á alla eiginleika sem voru mældir og metnir að undanskildu knjábroti. Uppskeran í Klauf var marktækt hærri (3,61 tonn þe/ha) heldur en á Flatey (2,79 tonn þe/ha). Aftur á móti var bæði þurrefnishlutfallið og rúmþyngdin marktækt hærri á Flatey (77,4% og 60,6 g/dL) heldur en í Klauf (62,8% og 58,4 g/dL). Í Klauf var marktækt meira hálsbrot (3,9), hrun úr axi (2,1) og lega (3,8) ásamt því að vera með hærra strá (78,6 cm) en á Flatey. Á Flatey var hálsbrot metið á 1,1, hrun úr axi og lega metin 1,3 og hæð plantna 54,1 cm.

Marktæk samspilsáhrif voru á milli staða og áburðarskammta á þurrefni, hrun, legu, rúmþyngd og uppskeru. Hins vegar voru samspilsáhrif allra eiginleika ómarktæk á milli yrkja og áburðarskammta fyrir utan hrun úr axi. Samspilsáhrifin voru marktæk á milli staða og yrkja fyrir alla eiginleika nema uppskeru og hæð.

4.5.1.1 Uppskera

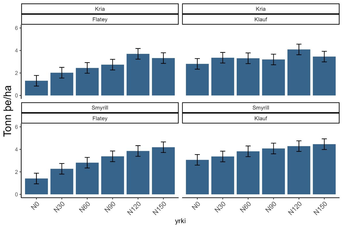
Niðurstöður aukins köfnunarefnismagns á uppskeru eftir yrkjum og stöðum má sjá á Mynd 25

Fyrir yrkið Smyril jókst uppskeran eftir því sem áburðarmagn fór vaxandi á báðum stöðum. Á

Flatey voru þrír lægstu skammtarnir (N0, N30 og N60) með marktækt lægri uppskeru (1,4; 2,3 og 2,8 tonn þe/ha) en uppskerumesti skammturinn (4,2 tonn þe/ha). Í Klauf var einungis N0 með marktækt lægri uppskeru (3,1 tonn þe/ha) en N150 sem gaf mestu uppskeruna (4,5 tonn þe/ha).

Fyrir Kríu náði uppskeran hámarki við 120 kg N/ha á báðum stöðum en fór svo lækkandi. Á

Flatey gáfu tveir lægstu skammtarnir (N0 og N30) marktækt lægri uppskeru (1,3 og 2,0 tonn þe/ha) en tveir uppskerumestu skammtarnir (3,7 og 3,3 tonn þe/ha). Ekki var marktækur munur á milli áburðarskammta í Klauf.

Mynd 25. Uppskera eftir auknu köfnunarefnismagni fyrir tvö yrki á tveimur stöðum

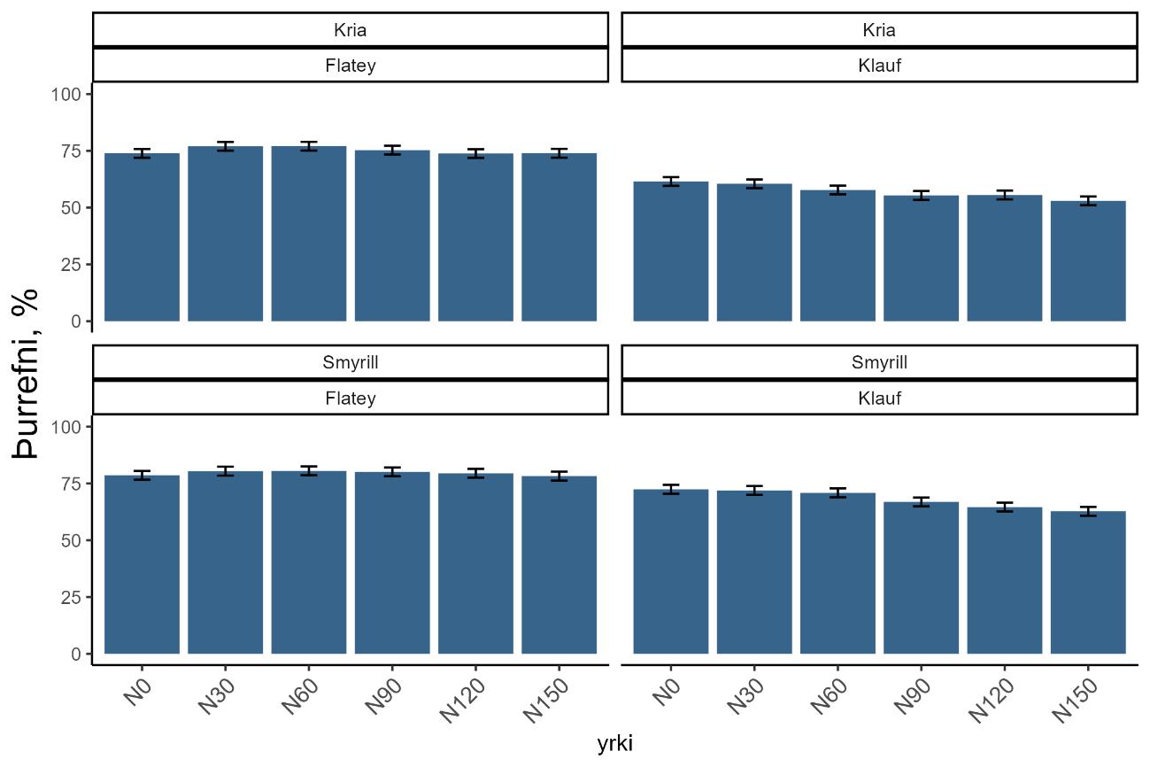
4.5.1.2 Þurrefnishlutfall

Niðurstöður aukins köfnunarefnismagns á þurrefnishlutfall við skurð eftir yrkjum og stöðum má sjá á Mynd 26. Í Klauf lækkaði þurrefnishlutfall fyrir bæði yrkin eftir því sem áburðarskammturinn varð stærri. Fyrir Kríu voru tveir lægstu skammtarnir (N0 og N30) með marktækt hærra þurrefnishlutfall (61,5 og 60,5%) heldur en N150 (53,0%). Fyrir Smyril voru þrír lægstu skammtarnir með marktækt lægra þurrefnishlutfall en N120 og N150 (64,6 og 62,7%).

Á Flatey var ómarktækur munur milli áburðarskammta en N60, N30 og N90 voru með hæsta þurrefnishlutfallið fyrir bæði yrkin. Fyrir Kríu og Smyril mældist N60 með hæsta hlutfallið (77,1 og 80,6%).

Mynd 26. Þurrefnishlutfall eftir auknu köfnunarefnismagni fyrir tvö yrki á tveimur stöðum

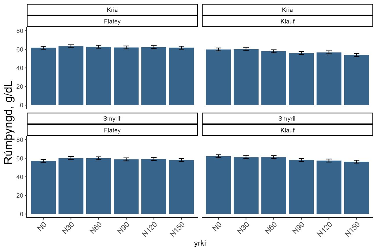
4.5.1.3 Rúmþyngd

Niðurstöður aukins köfnunarefnismagns á rúmþyngd eftir yrkjum og stöðum má sjá á Mynd 27. Í Klauf fór rúmþyngd alla jafnan lækkandi eftir því sem áburðarmagn jókst. Fyrir Kríu var N150 með marktækt lægri rúmþyngd (54,1 g/dL) heldur en N0 og N30 (59,9 og 60,2 g/dL). Sömu sögu má segja fyrir Smyril, þar sem stærstu skammtarnir, N120 og N150 voru með marktækt lægri rúmþyngd (57,5 og 56,3 g/dL) heldur en N0 og N60 (62,2 og 61,1 g/dL).

Á Flatey var sama röðun á rúmþyngd eftir áburðarskömmtun fyrir bæði yrkin þar sem N0 skilaði lægstu rúmþyngd, 57,2 g/dL fyrir Smyril og 61,8 g/dL fyrir Kríu. N30 skilaði mestri rúmþyngd, 60,2 g/dL fyrir Smyril og 63,3 g/dL fyrir Kríu. Ómarktækur munur var þó á milli áburðarskammta á Flatey fyrir bæði yrkin.

Mynd 27. Rúmþyngd eftir auknu köfnunarefnismagni fyrir tvö yrki á tveimur stöðum

4.5.1.4 Lega

Niðurstöður aukins köfnunarefnismagns á legu eftir yrkjum og stöðum má sjá á Mynd 28 Í

Klauf varð legan meiri eftir því sem áburðarmagn jókst fyrir bæði yrkin. Fyrir Kríu voru N120 og N150 með marktækt meiri legu (7,3 og 7,7) heldur en N0 og N30 (2,3 og 3,3). Fyrir Smyril var einnig stærsti skammturinn með marktækt meiri legu (4,3) heldur en tveir lægstu skammtarnir en báðir voru metnir með enga legu (1). Á Mynd 29 má sjá áberandi legu í

áburðartilrauninni á Klauf.

Á Flatey var ómarktækur munur á milli áburðarskammta fyrir bæði yrkin.

Mynd 29. Lega var mikil í áburðartilrauninni á Klauf
Mynd 28. Lega eftir auknu köfnunarefnismagni fyrir tvö yrki á tveimur stöðum

4.5.1.5 Hálsbrot

Niðurstöður aukins köfnunarefnismagns á hálsbrot eftir yrkjum og stöðum má sjá á Mynd 30 Í Klauf fór magn hálsbrots eilítið lækkandi eftir því sem áburðarmagn jókst fyrir Smyril en eilítið hækkandi eftir því sem áburðarmagn jókst fyrir Kríu. Þó var ómarktækur munur á milli áburðarskammta fyrir bæði yrki.

Á Flatey var ekkert hálsbrot metið hjá Kríu, en N90 og N150 sýndu örlítið brot (1,3 og 1,7) hjá Smyrli. Ómarktækur munur var þó á milli áburðarskammta fyrir bæði yrkin. Á Mynd 31 má sjá dæmi um mikið hálsbrot.

Mynd 30. Hálsbrot eftir auknu köfnunarefnismagni fyrir tvö yrki á tveimur stöðum

Mynd 31 Dæmi um mikið hálsbrot í tilrauninni í Klauf

4.5.1.6 Knjábrot

Niðurstöður aukins köfnunarefnismagns á knjábrot eftir yrkjum og stöðum má sjá á Mynd 32 Fyrir Kríu var N0 með marktækt minna knjábrot (1,7) en N120 (4,3) í Klauf. Á Flatey voru N0 og N120 með mesta knjábrotið (2,3) og N30 með minnsta (1,7) en ómarktækur munur var á milli áburðarskammta.

Fyrir Smyril var metið eilítið knjábrot fyrir alla áburðarskammta (2,3) á Flatey. Fyrir Smyril í Klauf virðist knjábrot aukast aðeins eftir því sem áburðarmagn jókst, að undanskildum N30 sem var með mesta knjábrotið (2,3) líkt og N150 (2,3). Ómarktækur munur var á milli áburðarskammta fyrir Smyril á báðum stöðum.

Mynd 32. Knjábrot eftir auknu köfnunarefnismagni fyrir tvö yrki á tveimur stöðum

4.5.1.7 Hrun úr axi

Niðurstöður aukins köfnunarefnismagns á hrun úr axi eftir yrkjum og stöðum má sjá á Mynd 33 Fyrir Kríu jókst hrun úr axi eftir því sem áburðarmagn jókst í Klauf að undanskildum N0 sem mældist með mesta hrunið (2,0) ásamt N150 (2,0). Fyrir Smyril jókst hrun sömuleiðis með auknu áburðarmagni að N120 og fór svo lækkandi. N120 og N150 voru með minnsta hrunið (2,0) og N90 með mesta hrunið (3,0). Ómarktækur munur var á milli áburðarskammta í Klauf fyrir bæði yrkin.

Ómarktækur munur var á milli áburðarskammta á Flatey fyrir bæði yrkin. Fyrir Kríu var einungis örlítið hrun við N60 (1,3) og N90 (1,7) og fyrir Smyril var N120 var með mesta hrunið (2,0) en ekkert hafði hrunið við N0

Mynd 33. Hrun úr axi eftir auknu köfnunarefnismagni fyrir tvö yrki á tveimur stöðum

4.5.1.8 Stráhæð

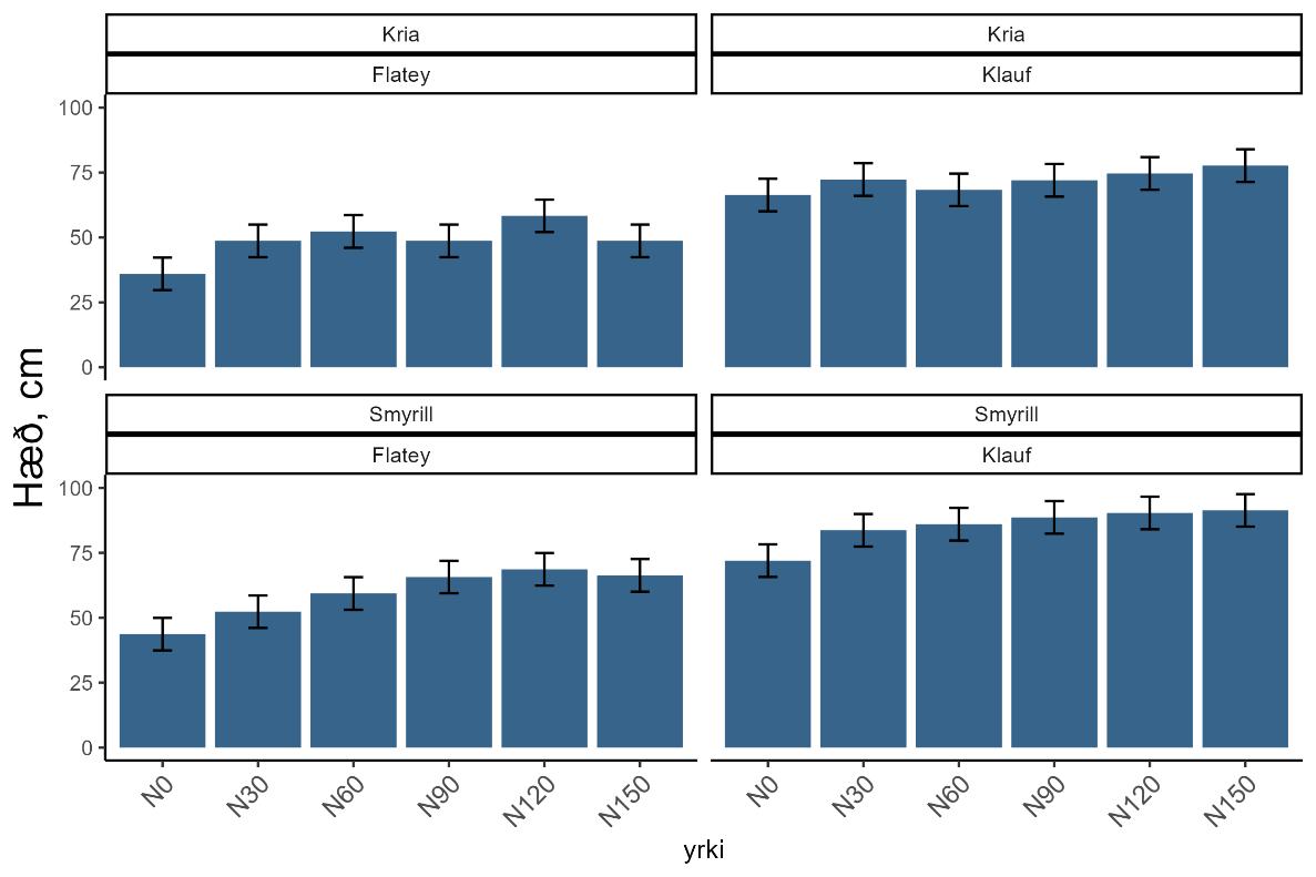
Niðurstöður aukins köfnunarefnismagns á hæð eftir yrkjum og stöðum má sjá á Mynd 34. Í Klauf urðu stráin alla jafnan hærri eftir því sem áburðarmagn jókst. Fyrir Kríu var N150 með hæstu plönturnar (77,7 cm) en þær voru marktækt hærri en lægsti áburðarskammtur (N0) eða 66,3 cm. Fyrir Smyril urðu plönturnar einnig hærri eftir því sem áburðarmagn jókst en N120 og N150 voru með marktækt hærri plöntur (90,3 og 93,1 cm) en N0 (72,0 cm).

Á Flatey urðu plönturnar hærri eftir því sem áburðarmagn jókst fyrir Smyril en náðu hámarki við N120 (68,6 cm). Marktækur munur var á milli lægsta skammts og þriggja stærstu skammtana. Fyrir Kríu var N0 með lægstu plönturnar (36,0 cm) og N120 með hæstu plönturnar (58,3 cm) og marktækur munur var þar á milli.

Mynd 34 Stráhæð eftir auknu köfnunarefnismagni fyrir tvö yrki á tveimur stöðum

4.5.2 Samantekt áburðartilraunar

Marktækur munur var á milli tilraunastaða þar sem að uppskeran var meiri á mómýrinni í Klauf heldur en á malaraurnum á Flatey. Ástæðan er líklega vegna þess að mómýrin er frjósamari og er því meira magn af aðgengilegum næringarefnum sem plöntur geta nýtt sér til viðbótar við tilbúna áburðinn eins og sjá má í Töflu 27. Áburðarsvörun Kríu fyrir uppskeru náði hámarki í næsthæsta skammti á báðum tilraunastöðum en Smyrill sýndi enn svörun við hæsta skammt.

Mikill munur reyndist vera á milli afkomu byggsins eftir tilraunastað samkvæmt öllum svipfarseiginleikunum að undanskildu knjábroti (Mynd 32). Hækkandi áburðarskammtar juku uppskeru í báðum jarðvegsgerðunum (Mynd 25) en þurrefnishlutfallið fór lækkandi í mómýrinni (Mynd 26). Stráhæð jókst með hækkandi áburðarskammti (Mynd 34) og í kjölfarið jókst legan (Mynd 28), sem skilar sér í minni þroska og þar af leiðandi lægra þurrefnishlutfalli

Jarðvegsgerð hafði einnig áhrif á frammistöðu yrkja. Alla jafna þroskast Smyrill hraðar en Kría en í áburðartilrauninni skilaði þroskinn sér í hærri uppskeru og hærra þurrefni, en meira var um hrun úr axi (Mynd 33).

5 Hafrar

Undanfarin ár hafa tilraunir með hafra til þroska vaxið að umfangi á Íslandi, það eru yrkja, áburðar og sáðmagnstilraunir. Í yrkjatilraunum hafa verið borin saman yrki á markaði og þekkt erlend yrki til að leggja mat á möguleika þeirra í ræktun á Íslandi við ólíkar umhverfisaðstæður Yrkin eru metin með tilliti til magns og gæða uppskerunnar, bæði sem fóður og til manneldis.

Yrkjatilraunir ársins 2024 með hafra voru tvær, og voru þær lagðar út í Gunnarsholti á Rangárvöllum. Í báðum tilraunum voru samtals 40 yrki og kynbótalínur, nokkur þeirra sem ekki höfðu verið prófuð áður á Íslandi. Fyrri tilraunin var uppskerutilraun með yrkjum á markaði. Í seinni tilrauninni voru prófuð yrki sem þróuð voru á norðlægum slóðum eða voru talin geta staðist íslenskt veðurfar. Síðari tilraunin er hluti af verkefninu Jaðarhafrar sem er alþjóðlegt samstarfsverkefni með það að markmiði að koma á fót hafrarækt á jaðarsvæðum og er styrkt af Interreg-NPA sjóðnum.

Í tilraununum tveimur voru borin saman yrki á markaði frá Finnlandi, Svíþjóð, Írlandi og Wales auk norskra kynbótalína. Í framhaldinu verða birtar saman niðurstöður úr báðum tilraunum en niðurstöður frá norsku kynbótalínunum eru ekki taldar upp í þessari skýrslu

Einnig var lögð út 900 smáreitatilraun í Gunnarsholti í sama verkefni og voru sambærilegar tilraunir lagðar út í Finnlandi, Svíþjóð, Noregi, Írlandi og í Wales. Verkefnið er styrkt af Interreg-NPA sjóðnum en ekki verður fjallað frekar um þessa tilraun hér.

Mynd 35. Fallega gulir hafrar á spildudegi í ágúst í Gunnarsholti

5.1 Samanburður hafrayrkja í

Gunnarsholti á Rangárvöllum

Sáningar fóru fram 1. maí 2024 í sendinn jarðveg, sem hafði verið unninn með diskaherfi í tvígang á um 12 cm dýpi. Sáð var í 10 m2 reiti og var áburðurinn, 15-7-12 frá Yara, felldur niður með fræi, því sem samsvarar 37,5 kg N/ha. Þann 4. júlí var sami skammtur borinn á aftur með höndum sem samsvarar þá í heildina 500 kg/ha (75 kg N, 33 kg P, 63 kg K)

Mynd 36 Hafrar í Gunnarsholti

Þann 18. júní var varnarefna- og áburðarblöndu úðað yfir hluta tilraunarinnar Dagana 4. og 6. júlí var síðan handúðað með sömu blöndu og þann 18. júní, af Priaxor sveppalyfi, Express SX tvíkímblaða illgresiseyðum ásamt gramitrel áburði frá

Yara, yfir þann hluta tilraunarinnar sem hafði ekki áður fengið úðun. Tilraunirnar voru uppskornar 11. október.

Skriðdagar voru á bilinu 77-85 dögum eftir sáningu. Dagar frá sáningu til þroska voru á bilinu 128-159, eða 48-79 dögum eftir skriðdag, þar sem Pol og Dovre voru fyrst til þroska og Oliver og Sang síðastir. Sjá má hafra við mismunandi þroskastig þann 6. september á Mynd 36

Örlítið var um hrun eða brot, einnig var lega hverfandi í flestum tilfellum. Þar sem Pol og Oliver voru þó með verulega legu.

Þurrefnishlutfall milli yrkja mældist á bilinu 71-85% (Mynd 37). Þar sem Inka mældist með lægsta þurrefnishlutfallið (70%) og Pol með hæsta (85%).

Töluverður breytileiki var í uppskerunni (Mynd 38), sem var á bilinu 0,9-3,2 tonn þe/ha. Þar sem Oliver hafði minnstu uppskeruna (0,9 tonn þe/ha) og Cilla var uppskerumest (3,4 tonn þe/ha). Rúmþyngdin mældist á bilinu 39,9-52,2 g/dL, þar sem sænska yrkið Dovre mældist með mestu rúmþyngdina (53,7 g/dL) og Matty með minnstu (38,6 g/dL) (Mynd 39).

Mynd 38. Uppskera í Gunnarsholti eftir yrkjum

Mynd 39. Rúmþyngd í Gunnarsholti eftir yrkjum

5.2 Uppgjör á samanburði hafrayrkja undanfarin ár

Niðurstöður samanburðartilrauna á hafrayrkjum frá árunum 2017 – 2024 hafa nýlega verið teknar saman. Á þessum árum hafa hafrayrki verið prófuð á Korpu í Reykjavík, Engihlíð í Vopnafirði, Hoffelli í Hornafirði, Möðruvöllum í Eyjafirði, Vindheimamelum í Skagafirði, Hvanneyri í Andakíl, Sandhóli í Meðallandi, Keldudal í Skagafirði, Stóra-Ármóti í Flóa og Gunnarsholti á Rangárvöllum í mismunandi jarðvegsgerðum Þá hafa verið prófuð yrki sem eru bæði ætluð sem grænfóður og til kornþroska, en ekki er gerður greinarmunur á þeim hér Töflur 28 og 29 sýna annars vegar uppskerueiginleika og hins vegar svipfarsgreiningar þvert á ár og staði Verklag og útskýringu á kvörðum svipfarsgreininga má sjá í Kafla 6: Efni og aðferðir

Af þeim 34 yrkjum sem hafa verið í tilraunum hér á síðustu átta árum eru Cilla og Haga mest prófuð, með 77 og 78 reitum Þau eru með uppskerumeiri yrkjum sem hafa verið prófuð. Í nýlegum tilraunum hafa komið fram fleiri yrki sem gefa svipaða uppskeru, skríða á svipuðum tíma eftir sáningu, en gefa stærri fræ með hærri rúmþyngd.

Tafla 28. Uppskerueiginleikar hafrayrkja

Uppruni

Tafla 30 sýnir uppskerugæði hafra þvert á ár og staði Hafrarnir voru flokkaðir eftir breidd fræja í þrjá flokka. Stærri en 2,5mm, milli 2,2-2,5mm og minni en 2,2mm. Í yrkjatilraun árið 2024 var Niklas með hæsta hlutfall stórra korna, eða 51% korna stærri en 2,5 mm að breidd og 17% minni en 2,2 mm. Fatima var hins vegar með minnsta hlutfall stórra korna, með 1% í stærsta stærðarflokknum og 58% í þeim minnsta, <2,2mm.

Að auki voru hafrarnir teknir úr hýðinu og afhýðingarhlutfall var reiknað, eða það hlutfall korns sem losnaði úr hýðinu. Hlutfallið var á bilinu 48-69%, þar sem yrkið Conway stóð sig síst en yrkið Sandy hafði hæsta hlutfall afhlýðingar. Yrkið Oliver er nakið afbrigði og var að mestu laust við hýðið áður en að kom að afhýðingu sem varð til þess að kornið molnaði mikið í ferlinu.

Lýsingu á verklagi við stærðarflokkun og afhýðingu má finna í kafla 6, ásamt matskvarða fyrir gæði afhýðingar og hörku í Töflum 32 og 33.

Tafla 30. Uppskerugæði hafrayrkja

Yrki Uppruni

6 Efni og aðferðir

6.1 Sáning

Sáð var í 1,5m breiða reiti og 6,67m langa, samtals 10 m2 með tilraunasáðvél Jarðræktarmiðstöðvar af gerðinni Haldrup SB-25 og var áburður felldur niður með fræi.

Í byggtilraunum var fræ talið fyrir hvern reit, samtals 5000 fræ/reit. Þetta samsvarar um 215 kg/ha af Smyrli, en þar sem fræ eru misjöfn af þyngd þá var léttasta fræið tæp 200 kg/ha (Judit) og náði það þyngsta upp undir 270 kg/ha (Arild). Þegar sáð var eldra fræi og/eða fræi úr eigin tilraunum var sáðmagnið 300 kg/ha til að vinna upp á móti lágu spírunarhlutfalli.

Í hafratilraununum var einnig fræ talið í reiti af sáðvöru sem fékkst hér innanlands, samtals 5000 fræ/reit. Þetta samsvarar um 165 kg/ha af léttasta fræinu (Nike) og upp að 218 kg/ha af því þyngsta (Niklas). Af nýjum efnivið var sáðmagnið 250 kg/ha.

6.2 Svipgerðargreiningar á vaxtartíma og skurðdegi

Yfir vaxtartímann var fylgst með tímasetningu skriðs bæði hjá byggi og höfrum, og það skráð. Reitur er talinn vera skriðinn þegar u.þ.b. hálfur reitur sýnir hálfan punt Þroski hafranna var einnig metinn reglulega yfir vaxtartímann. Reitur er talinn hafa náð þroska þegar u.þ.b. helmingur puntsins hefur náð þroska og er byrjaður að gulna.

Á skurðdegi voru framkvæmdar svipgerðargreiningar þar sem lega, hálsbrot, knjábrot og hrun úr axi var metið. Skali hvers eiginleika er línulegur á bilinu 1-9, þar sem 1 telst ekkert tjón og 9 altjón. Nánari skýring á skölum hvers eiginleika má sjá í Töflu 31.

Reglulega yfir vaxtartímann og á skurðdegi var þroski kornsins metinn með Trimble GreenSeeker NDVI mæli. Með honum fæst svokallaður grænkustuðull gefinn upp í % grænku á reit. Því lægri tala því þroskaðra er kornið.

Stráhæð var mæld með hefðbundnum tommustokki. Hæðin er tekin frá jarðvegsyfirborði upp að axi fyrir bæði hafra og bygg.

Tafla 31. Skali fyrir svipgerðargreiningar á skurðdegi

Skali

Skýring

1 Engin/ekkert (lega, hálsbrot, knjábrot, hrun)

2 Örlítil/ið (lega, hálsbrot, knjábrot, hrun)

3 Einhver/t (lega, hálsbrot, knjábrot, hrun)

4 Nokkur/t (lega, hálsbrot, knjábrot, hrun)

5 Veruleg/t (lega, hálsbrot, knjábrot, hrun)

6 Mikil/ð (lega, hálsbrot, knjábrot, hrun)

7 Áberandi (lega, hálsbrot, knjábrot, hrun)

8 Umtalsverð/t (lega/ hálsbrot/ knjábrot /hrun)

9 Kornið liggur flatt við jörð/ öll strá brotin við kné (knjábrot)/ axið hangir niður eða fallið til jarðar (hálsbrot)/ allt korn hrunið úr axi

6.3 Uppskera og gæði

Byggtilraunirnar í Klauf, Keldudal, á Stóra-Ármóti og yrkjatilraunin í Gunnarsholti, ásamt hafrayrkjatilrauninni voru skornar með eldri reitaþreskivél Jarðræktarmiðstöðvar, Wintersteiger A-4910, árgerð 1998. Byggyrkjatilraunin á mýrarjarðveginum á Hvanneyri ásamt byggyrkja- og áburðartilrauninni á Flatey voru skornar með nýju tilraunaþreskivél Jarðræktarmiðstöðvar, Haldrup C-70, 2019 Eins og áður hefur komið fram olli mikil bleyta því að ekki var fært með vélum á melajarðveginum á Hvanneyri og því var ákveðið að uppskera einungis íslensku línurnar ásamt Kríu og Smyrli með höndum.

Heildar blautvigt er vegin úr hverjum reit. Þurrefnishlutfall er ákvarðað út frá sýnatöku þar sem sýni úr hverjum reit er vegið, þurrkað við 55°C í þrjá daga og þá vegið aftur Eftirfarandi formúla er notuð við útreikninga á þurrefnishlutfalli.

(Þurrt sýni / blautt sýni) * 100 = Þurrefni (%)

Heildaruppskera er leiðrétt með tilliti til þurrefnis. Kg á 10m2 jafngildir tonn á ha

(Blautvigt (kg) * þurrefni (%) = Kg þe/10m2 = Tonn þe/ha

Eftir þurrkun voru sýnin hreinsuð og síðan voru mældir uppskerueiginleikar. Fyrir bæði bygg og hafra var mæld rúmþyngd og þúsundkornavigt kornsins.

Rúmþyngd var mæld með því að setja hreint korn í 100 ml mæliglas, slá niður nokkrum sinnum, fylla aftur, slá enn niður og sléttfylla síðan af korni og vigta.

(Vigt (g) /100 (mL)) = Rúmþyngd (g/dL)

Þúsundkornavigt var ákvörðuð með að renna hreinu korni í gegnum Data Count S25 frætalningavél og fjöldi fræja veginn.

(Fjöldi fræja talin / vigt (g))* 1000 = Þúsundkornavigt (g)

Hafrarnir voru auk þess fræstærðarflokkaðir með tveimur sigtum frá Pfeuffer GmbH. 2,50*20,0 mm og 2,20*20,0 mm að stærð, og botnfalli. Hlutasýni af uppskeru með hýði, sem vóg u.þ.b. 150g, var hellt á efsta sigtið, því lokað, hrist í 30 sekúndur, og magn korns á hverri hæð vigtað. Það var nýtt til að reikna hlutfall hvers stærðarflokks af heild

Til þess að afhýða hafra var 300g af hverju sýni rennt í gegnum Codema LH 5095 afhýðingarvél við 5 psi Brot og gæði afhýðingar var síðan metið á línulegum skala frá 1-9, þar sem einkunn 1 gaf verstu einkunn og 9 þá bestu (Tafla 32 og 33).

Tafla 32 Matskvarði fyrir brot í höfrum í afhýðingu (harka)

Skali Skýring

1 Nánast allt brotið >95% og molnar

2 Mikið brotið >85% og molnar

3 Frekar mikið brot >70%

4 Meira en helmingur brotinn >60%

5 Um helmingur brotinn 50%

6 Minni en helmingur brotinn <40

7 Frekar lítið brot <30%

8 Lítið brot <15%.

9 Nánast ekkert brot >5%

Tafla

Skali Skýring

1 Nánast ekkert afhýtt <5%

2 Mikill minnihluti hýðislaus <15%

3 Lítill hluti afhýddur <30%

4 Minna er helmingur afhýddur <40%

5 Um helmingur afhýddur 50%

6 Afhýðing >60%

7 Afhýðing >70%

8 Góð afhýðing >85%

9 Allt afhýtt >95%

6.4 Tölfræðiúrvinnsla

Tilraunirnar voru gerðar upp með tölfræðiforritinu R í gegnum RStudio (R Core Team, 2022), einnig var notast við Microsoft Excel.

Línur á súlum tákna efri og neðri 95% öryggismörk/ vikmörk.

Formúla fyrir línulegt líkan fyrir byggyrkjatilraunir var eftirfarandi:

Y= yrki+endurtekning+leifar

Formúla fyrir línulegt líkan fyrir byggáburðartilraunir var eftirfarandi:

Y= áburðarmeðferð*yrki*staður+yrki*staður*endurtekning+leifar

Í uppgjöri byggtilrauna frá árunum 1987- 2024 voru eftirfarandi formúlur notaðar til að reikna BLUE og BLUP.

Formúla fyrir blandað línulegt líkan (BLUE) fyrir byggyrki var eftirfarandi: Y= yrki+(staður*ár*jarðvegsgerð*endurtekning)+leifar Þar sem þættir utan sviga eru föst hrif en þættir innan sviga eru slembi hrif

Formúla fyrir blandað línulegt líkan (BLUP) fyrir byggyrki var eftirfarandi:

Y= staður*ár*jarðvegsgerð*endurtekning + (Yrki)+leifar

Þar sem þættir utan sviga eru föst hrif en þættir innan sviga eru slembi hrif

Formúla fyrir línulegt líkan fyrir hafrayrkjatilraunir var eftirfarandi: Y= yrki+endurtekning+endurtekning*smáblokk+leifar

Formúla fyrir blandað línulegt líkan fyrir hafrayrki var eftirfarandi:

Y= yrki+(staður)+(ár)+(staður*ár*endurtekning)+leifar

Þar sem þættir utan sviga eru föst hrif en þættir innan sviga eru slembi hrif

Turn static files into dynamic content formats.

Create a flipbook
Rit LbhÍ nr. 177 by Landbúnaðarháskóli_Íslands - Issuu