Medical Magazine 11 2022

Page 1

БРОЙ 106 / 11.2022 СПЕЦИАЛИЗИРАНО ИЗДАНИЕ ЗА ЛЕКАРИ WWW.MEDMAG.BG БРОЙ 106| 11.2022 АНТИБИОТИЧНА РЕЗИСТЕНТНОСТ – НОВА НАДЕЖДА СТР. 4 ПРОУЧВАНЕ НА ИНВАЗИВНИ ПНЕВМОКОКОВИ ИНФЕКЦИИ ПРИ ХОСПИТАЛИЗИРАНИ ПАЦИЕНТИ СТР. 48 ВИРУСЕН ХЕПАТИТ А - НОВ ПОГЛЕД ВЪРХУ ПОЗНАТО ЗАБОЛЯВАНЕ СТР. 42 БАКТЕРИАЛНИ И ВИРУСНИ ИНФЕКЦИИ Проф. д-р Цеца Дойчинова: ИЗОПРИНОЗИН ПРИ ЛЕЧЕНИЕТО НА COVID-19

Проф. д р Диана Попова

Проф. д р Диляна Вичева Проф. д-р Димитър Масларов Проф. д р Иван Стайков Проф. д р Лъчезар Трайков

Проф. д р Мери Ганчева

Проф. д р Милена Станева Проф. д р Пенка Илиева Проф. д р Петър Петров

Проф. д р Соня Марина Проф. д р Цветомир Димитров

Проф. д р Цеца Дойчинова

Доц д р Асен Куцаров Доц. д-р Аспарух Николов

Доц д р Борис Тилов

Доц. д-р Валентин Вълчев Доц д р Гриша Матеев Доц. д-р Десислава Тодорова Доц д р Желязко Арабаджиев

Доц. д-р Иван Цинликов

Доц д р Ирена Велчева

Доц. д-р Любомир Дурмишев

Доц д р Мария Атанасова

Доц. д-р Петко Карагьозов

Доц д р Пламен Павлов

Доц д р Стоянка Динева

Доц д-р Тодор Попов

Доц. д р Цветелина Михайлова

Доц. д р Христина Видинова

Доц. д-р Цветелина Тотомирова

Д-р Александър Алексиев

Д-р Александър Носиков

Д-р Анелия Гоцева

Д-р Борислав Дангъров

Д-р Диана Димитрова

Д-р Екатерина Куртева

Д-р Иво Димитров

Д-р Ина Генева

Д-р Силвия Скелина

трябва да се пред стави в оригинал, не по-голям от формат А4 или като фай лове с разширение. tif или. jpg, с не по-малка разделителна способност от 150 dpi Списанието не носи отговорност за автентичността на она гледения материал. 6. В края на статията могат да се изказват благодарности към съвета, разгледал и подпомогнал оформянето на ста тията, към научния ръководител, сътрудници, лаборатории и др

Редакционната колегия си запазва правото: да публикува само материали, които счита за подходя щи  да публикува мнения, становища и въпроси към публи куваните материали Материалите се рецензират от членовете на редколегията и Редакционния съвет, а при необходимост и от поканени рецензенти Изисквания за авторите, желаещи да публикуват в сп. MEDICAl Magazine 1. Оригиналните авторски статии да са оформени по след ния начин: под заглавието се изписват имената на автора или авторския колектив с инициали за първо име и
то фамилно име,
цифри Статиите да имат обем до 8 страници,
и илюстрациите,
и резюметата. 2. Обзорите трябва да имат обем до 8 страници и литера турни източници до 20 заглавия 3. Казуистика - клинични случаи трябва да имат обем до 4 страници, без резюме, литерат урни източници до 10 за главия 4. Резюметата да съдържат текст на български език - до 200 250 думи и до 6 ключови думи, подредени по азбучен ред 5. Онагледеният материал - таблици, фигури и диаграми да се упоменава в скоби, непосредствено след параграфа, за който се отнася. Снимковият материал
за кореспонденция - на български език Той трябва да включва пълния пощ ен ски адрес и по възможност телефон за контакт на отговор ния автор Всички материали се изпращат на адрес: office@medmag.bg или сп Medical Magazine, 1164 София , ул „Плачковица“ 11 редакционен екип Кристиан Лечев Проф. д р Георги Христов Нели Христова 0894 39 99 50 Изпълнителен директор Главен редактор Отговорен редактор Реклама Разпространение Предпечат и дизайн Коректор Фотограф Печат Петя Дулева adv@medmag bg 0894 399 948 Ивомир Коларов Даниела
Ива Лалова Мартин Минев IFO DESIGN www.medmag bg Редакционна колегия Проф. д р
пълно
с пореден брой
включващи таблиците
литературните източници
7. Книгописът се дава на отделна страница 8. След книгописа се посочва адресът
Петрова
Анастас Баталов Проф. д р Ваня Юрукова
Адрес на редакцията: София 1407, п. к.177, телефон: 02) 868 82 95 Списание Medical Magazine е запазена марка на фирма „Ел Креатив“ ООД. Никаква част от това издание не може да бъде възпроизвеждана и/или публикувана без изричното писмено съгласие на издателя. e-mail: Списанието се обработва в БД „Българска медицинска лите ратура " Мненията и изявленията, изложени в материалите, принадлежат на авторите на съответните публикации и не са задължително споделяни от редакционния екип и издателите на списанието. Редакцията на списанието не се обвързва с рекламираните в него продукти, както и не дава гаранция за достоверността на информацията, изложена в съответните реклами, като не носи отговорност по предявени по този повод искания. „Ел Креатив” ООД е собственост на Кристиан Лечев и Петя Лечева. БРОЙ 106 НОЕМВРИ 2022 ISSN: 1314-9709 ПУБЛИКУВАНЕ БАКТЕРИАЛНИ И ВИРУСНИ ИНФЕКЦИИ Проф. д-р Цеца Дойчинова: ИЗОПРИНОЗИН ПРИ ЛЕЧЕНИЕТО НА COVID-19

04 АНТИБИОТИЧНА РЕЗИСТЕНТНОСТ – НОВА НАДЕЖДА Ц. Велинов, И. Велинов 10 ИЗОПРИНОЗИН ПРИ ЛЕЧЕНИЕТО НА COVID-19 Ц. Дойчинова, Е. Смирнова 14 СРАВНИТЕЛНО ПРОУЧВАНЕ НА АНТИБИОТИЧНАТА РЕЗИСТЕНТНОСТ НА STAPHYLOCOCCUS AUREUS МЕЖДУ 2018 И 2021 ГОДИНА М. Георгиев, А. Мирочник, В. Едрева, Х. Хиткова 20 АКТИВНА ПОДКРЕПА НА ИМУНИТЕТА С. Порязова

СЪДЪРЖАНИЕ 44 КОМБИНАЦИЯТА ОТ КИТАЙСКАТА И АФРИКАНСКАТА МЕДИЦИНА В БОРБАТА С ВИРУСНИ И БАКТЕРИАЛНИТЕ ИНФЕКЦИИ М. Пачева

48 ПРОУЧВАНЕ НА ИНВАЗИВНИ ПНЕВМОКОКОВИ ИНФЕКЦИИ ПРИ ХОСПИТАЛИЗИРАНИ ПАЦИЕНТИ В. Кънева, Я. Ангелова, В. Едрева, Х. Хиткова, Н. Йорданова

52 ОСТЪР ДИВЕРТИКУЛИТ И РЕЦИДИВИРАЩО ДИВЕРТИКУЛАРНО ЗАБОЛЯВАНЕ Й. Ценовски

56 КОРЕЛАЦИЯ МЕЖДУ ДИРЕКТНАТА МИКРОСКОПИЯ, ЛАТЕКС АГЛУТИНАЦИЯТА И КУЛТУРЕЛНОТО ИЗСЛЕДВАНЕ В МИКРОБИОЛОГИЧНАТА ДИАГНОЗА НА МЕНИНГИТИТЕ Ц. Найденова, В. Божинова, В. Едрева, Х. Хиткова, Т. МариноваБългаранова, Ц. Дойчинова 60

2 І Medical Magazine | ноември 2022
22
СВЪРЗАНИТЕ
М.
24 ЕСБЕРИТОКС И НЕГОВОТО ПРИЛОЖЕНИЕ В КЛИНИЧНАТА ПРАКТИКА А. Гълъбов 30 ОСТРИ ВЪЗПАЛЕНИЯ НА ГОРНИТЕ ДИХАТЕЛНИ ПЪТИЩА И ТЕХНИТЕ УСЛОЖНЕНИЯ Д. Попова 34 ОСТЪР РИНИТ Юл. Рангачев, Ст. Йорданов, Иг. Станчева, В. Маринов, Д. Попова 42 ВИРУСЕН ХЕПАТИТ А
СЪДЪРЖАНИЕ
УРИНАРНИ КАТЕТРИ И
С ТЯХ ИНФЕКЦИИ НА ПИКОЧО-ОТДЕЛИТЕЛНАТА СИСТЕМА
Дойков
- НОВ ПОГЛЕД ВЪРХУ ПОЗНАТО ЗАБОЛЯВАНЕ В. Велев
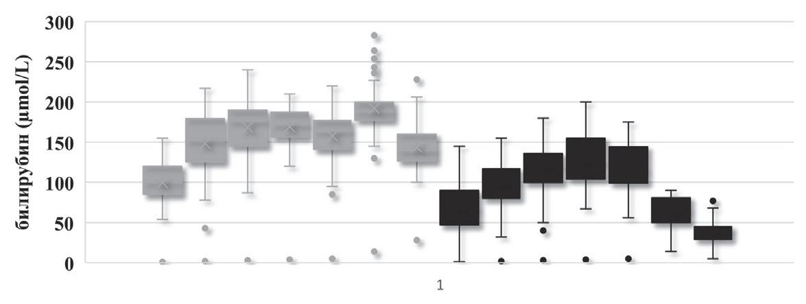
НЕОНАТАЛНА ХИПЕРБИЛИРУБИНЕМИЯ Т. Итова, В. Атанасова 68 ЧЕРНАТА СМЪРТ В ИСТОРИЯТА, ОБИЧАИТЕ И ИЗКУСТВОТО НА БЪЛГАРИЯ Г. Иванов, В. Едрева, Х. Хиткова EMPAGLIFLOZIN Е ПЪРВАТА И ЕДИНСТВЕНА ТЕРАПИЯ С ИНДИКАЦИЯ ЗА ЦЕЛИЯ СПЕКТЪР НА ХРОНИЧНАТА СЪРДЕЧНА НЕДОСТАТЪЧНОСТ 38
ПРОСЛЕДЯВАНЕ НА НОВОРОДЕНИ С ИНДИРЕКТНА ПРОЛОНГИРАНА

статистика (E. coli, S. aureus, K. pneumoniae, S. pneumoniae, A. baumannii и P. aeruginosa), а резистентността към флу орохинолони и β-лактамни антибиотици е отговорна за повече от 70% от смъртните случаи, дължащи се на антибиотична резистентност. Въпреки че наскоро одобрени антибиотици ре волюционизираха справянето с повечето карбапенем-резистентни ентеробактерии и мулти резистентни псевдомонади, наборът от агенти с надеждна активност срещу полирезистентни Acinetobacter, Stenotrophomonas и щамове, произвеждащи метало-β-лактамази, остава огра ничен. Дългоочакваната поява на нови антимикробни препарати вече е факт, но те бързо мо гат да станат жертва на резистентността, ако се продължи практиката на неправилна антибио тична употреба. руари 2022 г. се докладва, че през

от Infectious Diseases Society of America 10 × ’20“ през 2010 г., имаше за цел да бъдат одобрени 10 нови сис темни антибиотика до 2020 г. и за този период на

delafloxacin, tedizolid, lefamulin. Въпреки че наскоро

4 І Medical Magazine | ноември 2022 БАКТЕРИАЛНИ И ВИРУСНИ ИНФЕКЦИИ Антибиотична резистентност – нова надежда Ц. Велинов, д.м., И. Велинов СМДЛ „Велинов Диагно стика“ ЕООД гава антибиотици са модификации на съществуващи класове, което предполага, че резистентност към тях може да се развие сравнително
Предложената
одо
справянето с повечето карба Е фективните антибиотици са основното средство за ле чение на инфекции, при чинени от патогенни и ус ловно-патогенни бактерии. Появата и широкото разпростране ние на резистентността към анти биотици ерозира способността ни да лекуваме тези заболявания, да облекчаваме човешкото страдание и да спасяваме животи. Пандеми ята от COVID-19 е ясно напомняне за смъртоносните последици, пред които е изправен светът, когато не разполагаме с подходящо лечение. Антибиотичната резистентност е една от водещите причини за смърт в световен мащаб. В публи кацията „Global burden of bacterial antimicrobial resistance in 2019: a systematic analysis“ - Lancet от фев Антибиотиците си остават основното средство за лечение на инфекции, причинени от пато генни и условно-патогенни бактерии. Появата и широкото разпространение на резистентност та към антибиотици ерозира способността ни да лекуваме тези заболявания, да облекчава ме човешкото страдание и да спасяваме животи. Пандемията от COVID-19 е ясно напомняне за смъртоносните последици, пред които е изправен светът, когато не разполагаме с под ходящо лечение. Шест са водещите патогени, допринасящи за горната
и β-лактамни ан тибиотици е отговорна за повече от 70% от смъртните случаи, дължащи се на антибиотична резистентност. Изминаха 35 години от откриването на последния нов клас антибиотици (липопептиди). Всички открити отто Ключови думи: Антибиотици, резистентност.
бързо. Поради нарастващата рези стентност медицинската нужда от нови класове лекарства е ясна.
инициативата
пазара се появи ха антимикробни средства, насо чени към метицилин-резистент ният Staphylococcus aureus (MRSA), като ceftaroline fosamil, dalbavancin, оritavancin,
брени антибиотици революциони зираха
2019 г., 1,2 милиона смъртни случая се дължат на резистентни бактери ални инфекции. Това нарежда анти биотичната резистентност на тре то място, след исхемичната болест на сърцето и инсултът, като водеща причина за смърт. Шест са водещите патогени, до принасящи за горната статисти ка (E. coli, S. aureus, K. pneumoniae, S. pneumoniae, A baumannii и P. aeruginosa), а резистентността към флуорохинолони

пенем-резистентни Enterobacteriaceae (CRE) и мултирезистентни (MDR) Pseudomonas, на борът от агенти с надеждна активност срещу MDR Acinetobacter, Stenotrophomonas и ща мове, произвеждащи метало-β-лактамази (MBLs), остава ограничен. Тук ще обърна внимание на няколко нови антибактериални средства, техния спектър на действие, фармакология и мястото им в терапията.

CEFTOLOZANE/TAZOBACTAM

Ceftolozane е нов oxyimino-aminothiazole cephalosporin, който е структурно подо бен на цефтазидим. Подобно на други це фалоспорини, цефтолозанът проявява бак терицидна активност чрез инхибиране на пеницилин-свързващите протеини (PBP), като по този начин нарушава крайните ета пи на биосинтеза на пептидогликана, не обходим за бактериалната клетъчна сте на. Ceftolozane има афинитет към различни PBPs, който е поне 2 пъти по-висок и инхиби ра по-широк набор от PBP (вкл. присъстващи в Pseudomonas aeruginosa), отколкото цефта зидима. Цефтолозан не индуцира свръхекс пресия на хромозомни AmpC β-лактамази, което допълнително засилва неговата актив ност към P. aeruginosa. Накрая цефтолозанът се повлиява минимално от други резистент ни механизми в Pseudomonas като загуба на порин и ефлуксни помпи. Комбинацията му с тазобактам, утвърден β-лактамазен инхи битор, разширява спектъра му на действие срещу бактерии, произвеждащи β-лактама зи с разширен спектър (ESBL) и някои анае роби. Плазменият му полуживот е 2.3 часа, като повече от 92% се екскретира непроме нен в урината (необходими са корекции на дозата при умерена до тежка бъбречна не достатъчност). Одобрен е за интраабдоми нални инфекции (в комбинация с метрони дазол) и усложнени инфекции на пикочните пътища с дозов режим от 1.5 g. i.v. на 8 часа; а дозата му при HAP/VAP е 3 g./8 часа, дълги венозни инфузии (поне 1 час).

Спектърът на действие на Ceftolozane/ tazobactam включва стрептококи, Грам-от рицателни и някои анаеробни бактерии, но клиничната му ниша са инфекции, причине ни от β-лактам-резистентни P. aeruginosa. При проучване сред 32 болници в САЩ, цеф толозан/тазобактам е с най-висока актив ност (96.5%), като щамове проявяващи рез

истентност към цефепим, цефтазидим, пиперацилин/тазобактам и меропенем са чувствителни в 72%[12]

Макар че цефтолозан/тазобактам е ак тивен срещу много ESBL-продуциращи Enterobacteriaceae (88%), меропенем има по-високи нива на чувствителност (99%) и карбапенемите остават лекарството на из бор за такива инфекции[12]. Цефтолозан/тазо бактам не повлиява бактерии продуциращи карбапенемази. Ретроспективно изследване на 200 пациен ти сравнява резултатите с цефтолозан/тазо бактам и комбинации от полимиксини и/или аминогликозиди с други агенти, обикнове но карбапенеми[9]. Клиничното излекуване с цефтолозан/тазобактам е в 81% от случаите, в сравнение с 61% при режими, базирани на полимиксин или аминогликозид. Cтранични те ефекти от страна на бъбреците са значи телно по-ниски при цефтолозан/тазобактам (6% спрямо 34% при другите терапии). Това подкрепя избора на ceftolozane/tazobactam, като терапевтична алтернатива на полими ксин- или аминогликозид-комбинирани ре жими срещу P. аeruginosa, резистентни към конвенционалните β-лактами.

CEFTAZIDIME/AVIBACTAM

Ceftazidime е утвърден широкоспектърен це фалоспорин от трета генерация с изразена активност към Грам-отрицателни микроор ганизми. Avibactam е нов β-лактамазен ин хибитор, който няма в ядрото си β-лактамен пръстен. Спектърът му на действие е широк, като инхибира ESBL, карбапенемази и OXA48, както и AmpC β-лактамаза, но няма ак тивност срещу метало-β-лактамази (NDM, VIM, IMP).

ФК/ФД показатели на цефтазидим/ави бактам са идентични с тези на цефтазидим, ниско протеиново свързване (10%), добро проникване в белите дробове и плазмен по луживот от 2,8 часа. Комбинацията се ели минира предимно през бъбреците и е не обходима корекция на дозата при бъбречна недостатъчност. Стандартният дозов режим е 2.5 g. на 8 ч. с дълги венозни инфузии над 2 часа. Показа ни за терапия с цефтазидим/авибактам, са усложнени инфекции на пикочните пътища, интраабдоминални инфекции (в комбинация с метронидазол).

[www.medmag.bg ] 5

Включването на авибактам значително раз ширява спектъра на действие на цефтази дим. Мета-анализ, направен при преглед на над 36 000 клинични изолата от семейство Enterobacteriaceae, цефтазидим/авибактам е с активност при 99.9% от случаите като цяло, включително 99.6% срещу ESBL-продуцира щи щамове, 97.5% срещу CRE и 99.3% при резистентни на нечувствителен към цефта зидим Enterobacter[11]. Разширен е и спек търът на комбинацията при резистентни на цефтазидим P. aeruginosa, заради AmpC свръхекспресия (медиира цефтазидимова резистентността), а авибактам е мощен ин хибитор на AmpC β-лактамази. P. aeruginosa, показва чувствителност от 97.1% към цеф тазидим/авибактам, вкл. 81.3% при резис тентни на цефтазидим изолати и 71.8% при щамове, резистентни на всички конвенцио нални антипсевдомонални β-лактами. Друго показание за употребата на цефтази дим/авибактам е в комбинация с азтреонам срещу патогени, продуциращи метало-бе та лактамази (MBL), като NDM, VIM и IMP, L1, които се експресирани от някои представи тели на Enterobacteriaceae, Pseudomonas и Stenotrophomonas. Комбиниране на азтре онам с авибактам е уникален подход, при който авибактам инхибира AmpC, ESBL, KPC и OXA-48 β-лактамази и заради синергизма, който води почти хилядократно намаление на MIC при MBL-продуциращи грам негатив ни бактерии[3]. Понастоящем, тази комби нация може да се постигне само с цефтази дим/авибактам плюс азтреонам.

MEROPENEM/VABORBACTAM

Meropenem е антипсевдомонален карба пенем, стабилен срещу много β-лактама зи, включително AmpC и ESBL. Vaborbactam е нов β-лактамазен инхибитор, базиран на борната киселина. Способен е да инхиби ра действието на редица бета-лактамази, вкл. ESBLs и AmpC и KPCs (карбапенемаза).

Профилите на действие на авибактам и ва борбактам са сходни, като последният няма активност срещу OXA-48 β-лактамазa и мета ло-бета лактамазите (NDM, VIM, IPM). Стандартната доза при нормална бъбреч на функция е 4 g. i.v. на 8 часа, при минимум 3-часова инфузия. Тази стратегия на дозира не позволява на антибиотика да поддържа високи серумни концентрации, превишава щи минималните инхибиращи концентра

ции (MIC) на бактериите достатъчно дъл го време. По този начин се намалява рискът от създаване на резистентни бактерии и се оптимизира терапевтичното действие на препарата. Стандартната доза меропенем/ ваборбактам води до повече от 90% вероят ност за постигане на терапевтичен ефект при представители на сем. Enterobacteriaceae и P. аeruginosa[1].

Както беше отбелязано по-горе, добавя нето на ваборбактам разширява спектъ ра на действие на меропенем, включвайки KPC-продуциращите представители на сем. Enterobacteriaceae, един от честите меха низми за резистентност към карбапенеми в България.

В едно проучване на над 300 изолата, про дуциращи карбапенемази, средната чувст вителността към меропенем/ваборбактам е отбелязана като 74%[7]. Тези проценти оба че се различават значително в зависимост от експресията на различните карбапенема зи. Чувствителността срещу KPC-продуци ращи щамове е 99.5%, докато чувствител ността към OXA-48-подобни β-лактамази и продуценти на MBL е била съответно 24% и 4%. Изводът е, че комбинацията меропенем/ ваборбактам е отличен избор за щамове, произвеждащи KPC, но трябва да се избягва при продуценти на OXA-48 и MBL (NDM, VIM или IPM).

По отношение на P. aeruginosa, добавяне то на ваборбактам не разширява значител но активността на меропенем. Това е така, защото меропенемовата резистентност тук се дължи предимно на пермеабилитетни неудачи и ефлуксни помпи, а не на продук ция на бета-лактамази. Като допълнение ме ропенем/ваборбактам не увеличава зна чително активността на меропенем срещу Acinetobacter или Stenotrophomonas, чиито механизми на резистентност често включ ват ОХА-тип β-лактамази и/или MBL и няма значителна клинична роля при лечението на резистентни към меропенем Pseudomonas, Acinetobacter или Stenotrophomonas.

6 І Medical Magazine | ноември 2022
БАКТЕРИАЛНИ И ВИРУСНИ ИНФЕКЦИИ
Интересна е обаче комбинацията на ме ропенем/ваборбактам с азтреонам срещу Enterobacteriaceae и Stenotrophomonas, про дуциращи метало-бета лактамази (MBL). Едно малко ин витро изследване на осем NDM-продуциращи Enterobacteriaceae по

казва, че азтреонам плюс меропенем/вабор бактам, проявява синергизъм при тези изо лати[2]

Резултатите от рандомизираното клинично проучване TANGO II[14] , в което се сравняват монотерапията меропенем/ваборбактам с антибиотични комбинации, обикновено кар бапенем с аминогликозид или полимиксин, показват: Клиничното излекуване в края на терапията е по-високо с меропенем/вабор бактам (66% спрямо 33%) и общата смърт ност е по-ниска с меропенем/ваборбактам (4% спрямо 33%); Монотерапията също така е имала по-малко нежелани събития като цяло, особено при нежеланите реакции от страна на бъбреците (4% срещу 24%).

IMIPENEM/RELEBACTAM

Imipenem е известен антипсевдомонасен карбапенем в комбинация с циластатин, ин хибитор на бъбречна дехидропептидаза-1, който е необходим за предотвратяване на разграждането на имипенем. Relebactam е не-бета-лактамен, β-лактамазен инхиби тор с подобна химическа структура като ави бактам, който ефективно инхибира ESBL, KPC и AmpC β-лактамази. За разлика от ави бактам, релебактам има минимална актив ност срещу различните типове OXA β-лакта мази, включително OXA-48. Релебактам не инхибира ензимите от клас В (метало-бета лактамази) и няма антибактериална актив ност.

Спектърът на действие на комбинацията включва, освен чувствителните на Imipenem бактериални изолати и тези, продуцира щи различни бета-лактамази, които се ин хибират от релебактам. Трябва да се отбе лежи, че имипенем има ниска активност към групата Proteeae (Proteus, Providencia, Morganella), което не се компенсира с до бавянето на релебактам. Докладвана е ви сока активност (78%) на препаката при Imipenem-резистентните изолати от сем. Enterobacteriaceae (без Proteeae)[4] , като рези стентност са проявили само продуценти на OXA-48 и метало β-лактамази. При P. aeruginosa, основният механизъм на резистентност към имипенем е комбинация

от загуба на порин (OprD) и свръхекспресия

на AmpC бета-лактамаза и добавянето на ре лебактам ще разшири действието в тази по сока. По-високата активност на имипенем/

релебактам е проверена при над 3700 кли нични изолата P. аeruginosa, резистентни на имипенем. Доказана е чувствителност при 70% от тестваните щамове. Както при ме ропенем/ваборбактам, комбинацията аз треонам с имипенем/релебактам се очак ва да има синергетична активност срещу MBL-продуциращи изолати[5].

CEFIDEROCOL Cefiderocol е нов сидерофор-цефалоспори нов антибиотик с уникален механизъм на действие. Желязото в човешкото тяло е сил но ограничено и като цяло свързано с про теини. Бактериите, които заразяват или ко лонизират телата ни, са се приспособили да оцеляват в среда с относителен дефицит на желязо. Ключовият механизъм, чрез който се осъществява тази адаптация са сидеро форите, съединения, произведени от бак териите, които спомагат за свързване на желязото и образуване на комплекс сиде рофор-желязо, който активно се транспор тира в бактериалната клетка. Заради своята сидерофор-химична структура, сefiderocol се възползва от този механизъм и се транс портира активно в бактериалните клетки. Веднъж навлязъл в клетките действа по добно на цефепим и цефтазидим, свързвай ки се с пеницилин-свързващите протеини (PBP) и инхибира биосинтеза на пептидо гликана. Афинитетът на cefiderocol към PBP-тата е значително по-висок, отколко то на другите β-лактамни антибиотици, а структурата му е по-стабилна на действи ето на редица β-лактамази, включително KPCs, ОХА-типове и MBLs. В допълнение, cefiderocol има повишено натрупване в бак териалните клетки - не се повлиява от рез истентност базирана на на пермеабили тетни механизми и/или ефлуксни помпи[3]. Тези уникални качества правят цефидеро кол най-широкоспектърният анти-Грам (-) отр. β-лактам на пазара. Антибиотикът е с време зависимо убива не, а основният път на елиминация е през бъбреците (повече от 90% в непроменен вид), което налага корекция на дозата при умерена до тежка бъбречна недостатъч ност. Стандартната доза е 2 g. i.v./8 часа, чрез дълга, поне 3-часова инфузия. Основ ното му показание е усложнени инфекции на пикочните пътища, включително пиело нефрит. Цефидерокол има изключително широк

[www.medmag.bg ] 7

спектър на действие, включващ проблем ни Грам негативни аеробни бактерии. Чувст вителни на препарата са 95% от изолатите, продуценти на метало-бета лактамази (L1, IPM и VIM), както и OXA-тип и KPC β-лакта мази. Трябва да се отбележи, че активността на cefiderocol остава висока и срещу щамо ве с резистентност, свързана със загубата на порин (OprD, OmpK35, OmpK36) и ефлуксни помпи (MexAB-OprM).

Въпреки че резистентност към cefiderocol рядко се наблюдава, когато се появи, тя най-често се дължи на β-лактамазна свръхекспресия в комбинация с мутации в бактериалните транспортни системи за же лязо. Интересен факт е силно изразеното си нергистично действие на препарата с цефта зидим/авибактам, цефтолозан/тазобактам и меропенем[6]. Цефидерокол има минимал на или никаква активност срещу Грам-поло жителните и анаеробни бактерии; негово то място е изключително при терапията на резистентни Грам-отрицателни инфекции. Тестването за чувствителност на цефидеро кол изисква използването на Mueller-Хинтън бульон, катионно-коригиран и беден на же лязо.

OMADACYCLINE

Omadacycline е нов тетрациклинов антибио тик, който е класифициран като аминоме тилциклин, структурно различен от гли цилциклиновия представител - tigecycline и флуороциклина - eravacycline. Като ос таналите тетрациклинови антибиотици, и оmadacycline има бактериостатичен ефект, като инхибира протеиновата синтеза чрез свързване с 16S рибозомна РНК на бактери алната 30S рибозомална субединица. Ос новните механизми на тетрациклинова резистентност, като ефлуксни помпи и ри бозомална протекция, не действат на ома дацилцин. За разлика от тигециклин и ера вациклин, оmadacycline има по-висока бионаличност след per os употреба и е на личен и в двете интравенозна и орална фор ми. Задължително парентералната форма се приема на празен стомах, защото едновре менното приемане с храна драстично нама лява бионаличността на антибиотика. Както при другите тетрациклини PK/PD по казател, който най-добре предсказва in vivo ефикасността на оmadacycline, е съот ношението на 24-часова AUC към MIC или

AUC 0-24/MIC. Целевата AUC0-24/ MIC за оmadacycline варира от 23.2 за Streptococcus pneumoniae до 59.4 за K. Pneumoniae[10]. За ради дългият полуживот от 16-17 часа, оmadacycline може да се прилага веднъж дневно, но изисква натоварваща доза. За придобити в обществото бактериални пнев монии, препоръчваната дозата е: натоварва ща доза от 200 mg i.v. за 60 минути или 100 mg i.v. за 30 минути на 12 часа. Поддържаща доза една от двете: 100 mg интравенозно за 30 минути веднъж дневно или 300 mg перо рално веднъж на ден. Пероралният прием трябва да се разминава с храненето, прие ма на антиациди, мултивитамини или ми нерални добавки, поне 4 часа. Препаратът обикновено се понася добре, като най-чес то свързани с лечението нежелани реакции са гадене и повръщане, но те са значително по-рядко от тигециклин и не се изисква ко ригиране на дозата при бъбречно или чер нодробно увреждане.

Omadacycline има отлична in vitro активност срещу S. aureus (включително MRSA), стреп тококи, ентерококи (включително ванко мицин резистентните щамове), Bacteroides fragilis, Clostridioides и атипични патоге ни. Спектърът му на действие включва и Haemophilus influenzae, Moraxella catarrhalis, MDR Acinetobacter и Stenotrophomonas също така и Enterobacteriaceae (без група та на протеусите), включително ESBL-пози тивни щамове. Подобно на други тетраци клини, оmadacyclineът няма надеждна in vitro активност срещу Pseudomonas, Proteus, Providencia, Morganella или Burkholderia. В ин витро изследване на 49 000 клинич ни изолати от Европа и Съединените щати, оmadacycline инхибира 99% от S. aureus, включително 96% MRSA, 98% S. pneumoniae и 98% Enterococcus spp.[8].

Omadacycline има място и при лечението на MDR нетуберкулозни микобактериални ин фекции. Препаратът има предимството на перорална форма с по-добър профил на по носимост от тигециклин. При скорошно ин витро проучване, бе доказана активност на оmadacycline еквивалентна или по-добра от тигециклин срещу щамове на M. abscessus, M. chelonae и M. fortuitum.

PLAZOMICIN Plazomicin е нов аминогликозид, който ин хибира бактериалния протеинов синтез

8 І Medical Magazine | ноември 2022
БАКТЕРИАЛНИ И ВИРУСНИ ИНФЕКЦИИ

чрез свързване към 16S rRNA на 30S рибозомна субединица. Плазоми цинът се различава от по-старо то поколение аминогликозиди по ключови структури, които позво ляват на плазомицин да избегне почти всички аминогликозид-мо дифициращи ензими, генериращи резистентността към аминоглико зидите. За разлика от представи телите на сем. Enterobacteriaceae, резистентност към аминогликозид при Pseudomonas, Acinetobacter и Stenotrophomonas често се медиира от ефлуксни помпи или намалява не на пропускливостта на външна та мембрана, където плазомицинът няма предимство пред по-стари те аминогликозиди. ФК/ФД параме търът, който най-добре предсказва ефикасността на plazomicin е съот ношението AUC0-24/MIC, въпреки че ефикасността на аминогликози дите преди се смяташе, че коре лира най-добре със съотношение то Cmax/MIC. Стандартната доза плазомицин е 15 mg/kg i.v. на 24 часа, за предпочитане като 30-ми нутна инфузия. Както при другите аминогликозиди, дозата трябва да се преизчисли ако телесната маса надвишава 125% идейното телес но тегло, в който случай се използ ва корекционен коефициент 0.4. Плазомицин се елиминира почти изцяло през бъбреците (98% непро менен), и се препоръчва коригира не на дозата при стойности на CrCl

по-ниски от 60 ml/минута. Типичните странични реакции са както при другите аминогликози ди - нефротоксичност, ототоксич ност, невромускулна блокада и те ратогенност. Докладвани са много добри резултати за активност на плазомицин при представители те на сем. Enterobacteriaceae: 99% чувствителност при E. coli, 97% при Klebsiella spp., 100% при Enterobacter spp., 93% при Serratia spp. и 99% при Citrobacter spp. (Castanheira 2018). По- слаба е активноста на препарата срещу Morganella (69%), Providencia (68%) и Proteus mirabilis (75%). Поч ти 85% от CRE са чувствителни на плазомицин, включително 93% от производителите на KPC, 87% от производителите на OXA-48 и 95% от отрицателните за карбапенемази изолати. За сравнение, гентамицин и амикацин са били активни само срещу 43% и 34% от CRE, съответно. Ниска е активността на плазмоми цин (42%) срещу MBL-продуциращи Enterobacteriaceae, което се обяс нява с по-високата честота на рибо зомна експресия на метилтрансфе раза при тези изолати. Плазомицин, както и другите аминогликозиди няма клинично значима активност срещу стрептококи, ентерококи, S. maltophilia и анаероби. Резистентните бактерии са про блем, с който се сблъскваме еже дневно и един от основните фак

тори за тази резистентност е неправилната употреба на антиби отиците. Тя може да доведе до ко лонизиране или инфектиране на пациентите с резистентни бакте рии, повиши честота на Clostridium difficile инфекции, повишена забо леваемостта, увеличен болничния престой и смърт.

Дългоочакваната поява на нови ан тимикробни препарати вече е факт, но те бързо могат да станат жертва на резистентността, ако се продъл жи практиката на неправилна анти биотична употреба:

• Ненужно предписване на антибио тици; • Късното прилагане на правилна терапия при критично болни па циенти;

• Твърде тесен или твърде широк спектър на антибиотична тера пия;

• Много ниска или твърде висока доза на антибиотика, в сравнение с показаното за конкретния паци ент;

• Твърде кратко или много дълго лечение с антибиотици;

• Липса на оптимизиране на анти биотичната терапия спрямо на личните резултати от микробио логичното изследване.

От нас зависи да разчитаме на анти биотиците още дълго време.

1. Bhavnani SM et al. Pharmacokineticpharmacodynamic target attainment analyses to support plazomicin dose selection and recommendations for interpretive criteria for in vitro susceptibility testing for Enterobacteriaceae. Poster presented at: 3rd American Society for Microbiology Microbe 2018; June 2018

2. Biagi M, et al. Exploring aztreonam in combination with ceftazidime-avibactam or meropenem-vaborbactam as potential treatments for metallo- and serine-βlactamase producing Enterobacteriaceae. AAC 2019;pii:AAC.01426-19.

3. Ito A, et al. In vitro antibacterial properties of cefiderocol, a novel siderophore

cephalosporin, against gram-negative bacteria. AAC 2017;62:e01454-17.

4. Karlowsky JA, et al. In vitro activity of cefiderocol, a siderophore cephalosporin, against gram-negative bacilli isolated by clinical laboratories in North America and Europe in 2015-2016: SIDERO-WT-2015.Int J Antimicrob Agents 2019a;53:456-66.

5. Karlowsky JA, et al. Activity of imipenem/ relebactam against Pseudomonas aeruginosa with antimicrobial-resistant phenotypes from seven global regions:SMART 2015-2016. JGAR 2018.

6. Kazmierczak KM,et al. In vitro activity of cefiderocol, a siderophore cephalosporin, against a recent collection of clinically relevant carbapenem-non-susceptible

gram-negative bacilli, including serine carbapenemase- and metallo-b-lactamaseproducing isolates (SIDERO-WT-2014 study). Int J Antimicrob Agents 2019;53:177-84.

7. Pfaller MA, Huband MD, Mendes RE, et al. In vitro activity of meropenem/vaborbactam and characterisation of carbapenem resistance mechanisms among carbapenem-resistant Enterobacteriaceae from the 2015 meropenem/ vaborbactam surveillance program. Int J Antimicrob Agents 2018;52:144-50.

8. Pfaller MA, et al. Surveillance of omadacycline activity tested against clinical isolates from the United States and Europe: report from the SENTRY, 2016-2018. AAC 2020. 9. Pogue JM, et al. Ceftolozane/tazobactam

vs polymyxin or aminoglycoside-based regimens for the treatment of drug-resistant Pseudomonas aeruginosa. CID 2019.

10. Rodvold KA, Burgos RM, Tan X, et al. Omadacycline: a review of the clinical pharmacokinetics and pharmacodynamics. Clin Pharmacokinet 2020;59:409-25.

11. Sader HS, et al. Antimicrobial activity of ceftazidime-avibactam tested against MDR Enterobacteriaceae and P. aeruginosa isolates from U.S. medical centers.AAC 2017.

12. Shortridge D, Pfaller MA, Arends SJR, et al. Comparison of the in vitro susceptibility of ceftolozane-tazobactam with the cumulative susceptibility rates of standard antibiotic combinations when tested against

Pseudomonas aeruginosa from ICU patients with bloodstream infections orpneumonia. Open Forum Infect Dis 2019;6:ofz240.

13. Wenzler E, Deraedt MF, Harrington AT, et al. Synergistic activity of ceftazidimeavibactam and aztreonam against serine and metallo-β-lactamase-producing gramnegative pathogens. Diagn Microbiol Infect Dis 2017;88:352-4.

14. Wunderink RG, Giamarellos-Bourboulis EJ, Rahav G, et al. Effect and safety of meropenemvaborbactam versus best-available therapy in patients with carbapenem-resistant Enterobacteriaceae infections: the TANGO II randomized clinical trial. Infect Dis Ther 2018;7:439-55.

[www.medmag.bg ] 9
ИЗПОЛЗВАНА ЛИТЕРАТУРА:

Изопринозин при лечението на COVID-19

показатели и намалява

е слож

производно на пурин

синтетичен произход

проявява имуности мулиращо действие, а също така има неспецифични ан тивирусни ефекти. Изопринозинът има in vivo антивирусна активност срещу вируси на херпес симплекс, морбилозния вирус, цитомегалови рус, грип А и В, човешки Т-клетъчен лимфомен вирус тип III, полиовиру си. Инозин пранобекс представлява синтетичен имуномодулатор и про тивовирусен агент, който има по ложителни ефекти върху

Ц. Дойчинова, Е. Смирнова Инфекциозна клиника, УМБАЛ „Д-р Г. Стран ски“ – Плевен на върху някои кръвни показатели, имащи отношение към възпалител ните и оздравителни процеси при пациенти с COVID-19 инфекция. Материал и методи: наблюдението е осъществено в периода м. април – м. юни 2021 г. в Инфекциозна кли ника при УМБАЛ „Д-р Г. Странски“ Плевен. За този период в клиника та са лекувани 65 болни с диагно за COVID-19 пневмония. За изпълне ние на целта са оформени две групи пациенти – една с включен Изопри нозин към терапията и една кон тролна без такъв. И двете групи – и тази с включен Изопринозин към лечението и контролната група без Изопринозин са подбрани на слу чаен принцип и включват по 14 чо века. Проучването е насочено спе циално към: общ брой левкоцити; % дял лимфоцити; % дял моноцити; CRP; продължителност на болнич ния престой. Не се коментират кли ничните прояви и останалите тера певтични средства. Изследванията

престой. ноцитни клетки, активира експре сията на мембранните рецептори, разположени на повърхността на Т-хелперните клетки, предотвратя ва намаляването на активността на лимфоцитите. Поради тези си меха низми на действие Изопринозинът има имуностимулиращ и антивиру сен фармакологичен ефект. След пе рорално приложение той се абсор бира добре и сравнително бързо от стомашно-чревния тракт. C-max в кръвната плазма се наблюдава след 1-2 часа. Той се метаболизира бързо до пикочна киселина и се ек скретира с урината. Кумулация на лекарството

10 І Medical Magazine | ноември 2022 БАКТЕРИАЛНИ И ВИРУСНИ ИНФЕКЦИИ
И
имунната система, засилвайки пролифераци ята и диференциацията на Т-лим фоцитите и увеличавайки броя и токсичността на естествените клет ки убийци (NK). Друг важен ефект на IAD е инхибирането на синте за на вирусната РНК. Употребата на изопринозин води до възстано вяване на лимфоцитната функция по време на имуносупресия, пови шава бластогенезата в редица мо В лечебната практика от доста години се използва старото и добре познато лекарство Изопри нозин. До скоро се прилагаше при почти всички познати и разпространени вирусни инфекции - грип, херпесни инфекции (херпес симплекс, цитомегаловирус, варицела зостер, Епщайн-Бар вирус), паротит, човешки папилома вируси, използвайки неговия имуномодулиращ и антиви русен механизъм на действие. По време на пандемията от Sars-CoV-2 дълго време се търсеше подходящ антивирусен медикамент и след целенасоченото му приложение във всички ин фекциозни клиники в България се установи, че Изопринозинът допринася за по-благоприятно протичане на COVID-19 инфекцията, ускорява подобрението на параклиничните
не
на. Пълното елиминиране на
ството
от
циента
след
С тези си качества Изопринозинът предизвика въпроса: “Подходящ ли е при лечение на пациенти с диагно за COVID-19?“ Цел на настоящото съобщение е да покажем влиянието на Изопринози
зопринозинът
но
от
и
продължителността на болничния
в тялото
е установе
лекар
Isoprinosine
тялото на па
настъпва
24-48 часа.

на кръвните показатели са отчете ни при постъпването и първия кон тролен преглед след дехоспитали зацията. Терапевтичният курс на Изопринозин е: 3х1 саше (3х1000 мг) за 5 последователни дни, 2 дни по

известно, 71,4 0%

21,43 % мъже жени

отговор (Фиг. 28,6 0% мъже жени 78,57 %

71,4 0%

28,6 0% мъже жени 78,57 %

21,43 % мъже жени

Фиг. 1 Фиг. 3 Фиг. 4

Фиг. 1 Фиг. 2

Лимфоцити (N= 20 48%) при  постъпване при  контр.преглед 2 4 6 8 10 5,7 5,9 7,71 9,6 при постъпване при  0 5 10 15 20 25 20,45 5,6 3,57 2,7

21,42 % с изопринозин над  70г без изопринозин  над 70г 25 30 13 20,57 25,71 21,86

те е показано на Фиг. 2. Видно е, че в групата с Изопринозин – средна въз раст 57.78 г., в контролната група без Изопринозин – средна възраст 59.64 г. и възрастов диапазон – 40-90 го дини. На Фиг. 3 са показани стойностите на левкоцитите при постъпването и при контролния преглед в двете групи паци енти. В основната група ясно личи положителният ефект от приложението на Изопринозина върху стойностите на левкоцитите, които са нормализирани при контролния преглед. Още по-отчетлив е ефектът при лимфоцитите, а е Фиг.1 Фиг .1 Фиг.2 Фиг.4

Фиг.1 Фиг .1 Фиг.2 Фиг.3 Фиг.4

64,28 %

64,28 %

21,42 % с изопринозин над  70г без изопринозин  над 70г 0 5 10 15 20 25 30 13 20,57 25,71 21,86

Лимфоцити (N= 20‐48%) при  постъпване при  контр.преглед 8 10 5,7 5,9 7,71 9,6 Моноцити (N=1‐11%) при постъпване 20 25 20,45

CRP (N=0-5mg/dl) при постъпване

CRP (N=0-5mg/dl)

[www.medmag.bg ] 11
че те са основни клетки в клетъчно-медиирания
чивка и по възможност 3 последова телни курса. Резултати: разпределението по пол показва превалиране на мъжкия пол и в двете групи (Фиг. 1). Възрасто вото разпределение на пациенти 4).

на

основната

15.43 дни; Средната продъл

престой

група е 16.28 дни; В хода на проследяването на две те групи не се установиха странични действия на Isoprinosine, налагащи прекъсване на започнатото лечение. Изводи: Изопринозинът спома га за бързо нормализиране на об щия левкоцитен брой;

(Фиг. 5)

Резултатите 0 5 10 15 при  постъпване при  контр.преглед 0 2 4 6 8 10 5,7 5,9 7,71 9,6 Моноцити (N=1‐11%) при постъпване при  контр преглед 0 5 10 15 20 25 20,45 5,6 3,57 2,7

CRP (Фиг. 6 CRP (N=0-5mg/dl) при постъпване при контр.преглед Фиг. 5 Фиг. 6

до нормалните стойности броя на Ly и запазва броя на Мо, което е ва жно за преодоляване на имуно супресията; Бързо се нормализират стойностите на CRP, което е показа тел за овладяване на възпалител ния процес; Намалява се средна та продължителност на болничния престой, което освен чисто психо емоционално значение за паци ента има и финансово значение за болничното заведение и за паци ента; Преимущество е липсата на

от

странични реакции по време на те рапевтичния курс.

12 І Medical Magazine | ноември 2022 БАКТЕРИАЛНИ И ВИРУСНИ ИНФЕКЦИИ ИЗПОЛЗВАНА ЛИТЕРАТУРА: 1. Bystron J, Isoprinosine (inosine pranobex) –from experiment to clinical experience J Alergie 2020; 127-133. 2. Votava M. Beran J, The role of non-specific immunostimulant inosine pranobex in the treatment of SARS-CoV-2 virus infection, https://www.researchgate.net/community/COVID-19 Accessed April 2020 3. Isoprinosine 500 mg tablets: Summary of Product Characteristics, 15 November 2019 4. X.Yang, Y.Yu, J.Xu, S. Huaging, X. Jia'an, L.Hong, et al, “Clinical course and outcomes of critically ill patients with SARS-CoV-2 pneumonia in Wuhan, China: a single-centered, retrospective, observational study”. The Lancet Respiratory Medicine, Vol 8. pp. 475-481, May 2020 5. Campoli-Richards DM, Sorkin
6. Gołebiowska-Wawrzyniak
Средната
EM, Heel RC. Inosine pranobex. A preliminary review of its pharmacodynamic and pharmacokinetic properties, and therapeutic efficacy. Drugs 1986; 32:5: 383-424.
M, Markiewicz K, Kozar A et al. Immunological and clinical study on therapeutic efficacy of inosine pranobex. Pol. Merkur. Lekarski 2005;19:111: 379-382.
продължителност
болничния престой при
група е
жителност на болничния
при контролната
Повишава
на
) и моноцитите
потвърждават положителния ефект
приложението
зина. 1 Фиг.3
Въз основа на опита ни, придобит не само при лечение на Ковид инфекци ята, но и на други вирусни инфекции –HS, VZV, CMV и др., смятаме че включ ването на Isoprinosine в терапията на SARS-CoV2 инфекцията както при хос питализирани, така и при пациен ти, оставени на домашно лечение е уместно, независимо от тежестта на клиничната форма на заболяването. Фиг.6 Използвана литература:
на Изоприно
Фиг.4 Фиг.5
имуномодулираща антивирусна За допълнителна информация: Eвофарма ЕООД 1618 София, ул. „Пирински проход“ 24, Tел.: (02) 962 12 00, Факс: (02) 868 39 68 info@ewopharma.bg, www.ewopharma.bg Лекарствен продукт по лекарско предписание. За възрастни и деца на 1 год. KХП 51290/06.08.2020; 56264/08.10.2021; 51288/06.08.2020 ИАЛ 41545/25.09.2019 Информация, относно това как Евофарма събира, обработва и съхранява лични данни може да получите тук: https://www.ewopharma.bg/politika-za-poveritelnost/ Двойната сила сила срещу респираторните инфекции ISO_Add-HCPs-BG-Ver.2_24.01.2022

В ранната фаза на COVID-19 панде мията, вирусът инфектира повече от 3 милиона души с около 200 000 смъртни случая по света[1]. Честота та на бактериалните усложнения и ко-инфекциите варира от 5 до 11%[2] Независимо от сравнително ниска та честота на бактериални инфекции по данни от различни обширни про учвания, 75% до 94% от пациентите с COVID-19 са получавали антибак териални антибиотици[1]. В началото на пандемията най-широко използ вани са били бета-лактамните анти биотици, специално амоксицилин/ клавуланова киселина[3] , които по степенно са изместени от азитроми цин, като най-предпочитан, следван от левофлоксацин[4]. Подобни са да нните за България, които сочат, че употребата на антибактериални ан тибиотици през последните две го дини е нараснала драстично, като в момента страната е на

клиничните материали е извършва но върху кръвен агар с 5% овнешка кръв (HIMedia, India) при темпера тура 35 0 С в аеробни условия. Иден тификацията е извършена чрез кон венционални методи – каталазна проба, доказване на клъмпинг-фак тор, коагулиране на заешка плазма в епруветка и чувствителност към бацитрацин[7,8]. Чувствителността към антибиотици е определяна чрез дисково-дифузионен метод вър ху агар на Мюлер-Хинтон (HIMedia, India) или чрез минимални потиска щи концентрации с автоматизирана система VITEK-2 (bio Merieux, France). Резистентността към метицилин е определяна чрез цефокситинов тест с диск цефокситин 30 µg (BD, BBL, Sensi Disc, USA); индуцибелната рез истентност към линкозамиди е оп ределяна чрез D-тест с дискове Ери тромицин 15 µg и Клиндамицин 2 µg (BD, BBL, Sensi Disc, USA)[9] РЕЗУЛТАТИ И в двата анализирани периода до минират пациентите от мъжки пол – 239 (57,18%) за 2018 и 147 (54,85%)

14 І Medical Magazine | ноември 2022 БАКТЕРИАЛНИ И ВИРУСНИ ИНФЕКЦИИ Сравнително проучване на антибиотичната резистентност на Staphylococcus aureus между 2018 и 2021 година М. Георгиев1 , А. Мирочник1 , В. Едрева2 , Х. Хиткова2 1Медицински универси тет - Плевен, Кръжок по клинична микробиология 2Медицински универси тет - Плевен, Катедра
“Микробиология и виру сология”
първо място по употреба на антибиотици в Евро па[5]. Обширни рандомизирани про учвания показват, че използването на антибиотици няма особен успех в лечението на пациенти с COVID-19, Нарастването на употребата на антибиотици по време на пандемията от COVID-19 предполага увеличаване на резистентността на патогенните микроорганизми. Цел на проучването е да се анализира спектъра на инфекциите, причинени от Staphylococcus aureus при пациенти на болнично лечение преди и по време на пандемията и да се потърси промяна в резистент ността на изолираните щамове към антибиотици във връзка с увеличеното им използване. Не се наблюдава съществена промяна в профила на инфекциите, преди и по време на пандеми ята, но се наблюдава сигнификантно нарастване на резистентността на клиничните изолати S. aureus към антибиотиците, които са били най-широко прилагани за лечение и профилактика на бактериалните усложнения по време на пандемията. но увеличеното им използване
е свързано с нарастването на резис тентността на бактериалните пато гени към тях[5,6] ЦЕЛ Да се проучи спектърът на инфек циите, причинени от Staphylococcus aureus при пациенти на болнич но лечение преди и по време на COVID-19 пандемията. Да се потърси промяна в резистентността на изо лираните щамове към антибиоти ци във връзка с увеличеното им из ползване. МАТЕРИАЛИ И МЕТОДИ Проучването включва 735 щама Staphylococcus aureus, изолирани от 686 пациенти, лекувани в клиники те на УМБАЛ “Д-р Георги Странски”Плевен в периодите 01.01.2018 г. – 31.12.2018 г. (преди COVID-19 пан демията) и 01.01.2021 г. – 31.12.2021 г. (по време на пандемията). Паци ентите са били с различни основ ни заболявания, като само в незна чителна част от случаите е доказана COVID-инфекция. Култивирането на Ключови думи: Инфекции, резистентност, Staphylococcus aureus.

Фиг. 1 Разпределение на 686 пациенти със S. aureus инфекция по възрастови декади за 2018 г. и 2021 г.

Фиг. 2 Разпределение на 686 пациенти със S. aureus инфекция според профи ла на инфекцията за 2018 г. и 2021 г.

Табл. 1 Резистентност към анти биотици на 735 щама S. aureus изолирани от кли нични материали през 2018 г. и 2021 г.

материали (пунктати, аспирати, кръв за хе мокултура). Няма съществени различия в профила на инфекциите през сравнявани те периоди. Най-чести са изолатите S. aureus от инфекции на рани и меки тъкани – 142 (33,97%) и 98 (36,57%) през 2018 и 2021 го дина, респективно. Разпределението спо ред профила на инфекцията е представено на Фиг. 2.

[www.medmag.bg ] 15
за 2021 година. Не се наблюдават съществе ни различия в разпределението на пациен тите по възрастови групи, като и за двата пе риода най-голям е делът на пациентите до 10 години и над 50 години (Фиг. 1). И през двата анализирани периода преобла дават раневите секрети и материали от ин фекции на меки тъкани, следвани от про би от дихателна система и по-рядко други
16 І Medical Magazine | ноември 2022 БАКТЕРИАЛНИ И ВИРУСНИ ИНФЕКЦИИ
Фиг. 3 Промяна в резистент ността към антибиоти ци на 735 щама S. aureus изолирани от клинични материали през 2018 г. и 2021 г. Фиг. 4 Промяна в резистент ността към азитроми цин на клинични изола ти S. aureus през 2018 г. и 2021 г. Фиг. 5 Промяна в резистент ността към клиндами цин на клинични изола ти S. aureus, през 2018 г. и 2021 г. Фиг. 6 Промяна в индуцибел ната резистентност към клиндамицин на клинич ни изолати S. aureus през 2018 г. и 2021 г.

Резистентността към антибиотици е пред ставена в Табл. 1. и Фиг. 3

Не се наблюдава промяна в резистентност та на щамовете към Penicillin G антистафи лококовите пеницилини. За периода има намаляване на резистентността към амино гликозиди и тетрациклини. В същото време, обаче, се наблюдава значително увеличение на резистентността на клиничните изолати S. aureus към азитромицин и клиндамицин. (Табл. 1 и Фиг. 4, 5).

За периода се проявява тенденция към ма кар и бавно увеличаване на резистентността към ципрофлоксацин и левофлоксацин. До като за двата периода няма промяна в дела на метицилинрезистентните S. aureus (MRSA) се наблюдава значително увеличение на ща мовете с индуцибелна резистентност към клиндамицин за 2021 година (Фиг. 6).

И за двата периода не са регистрирани ща мове резистентни към ванкомицин, линезо лид и тигециклин.

ОБСЪЖДАНЕ

S. aureus е един от най-честите човешки па тогени. Спектърът от инфекции, които при чинява е изключително широк и обхваща локални инфекции на кожа и меки тъкани, раневи инфекции, дълбоки инфекции, кои то се разпространяват от кожата, причиняват бактериемия с или без ендокардит и засягат кости, стави, дълбоки органи и тъкани, както и токсин-медиирани заболявания[7]

В зората на антибиотичната ера S. aureus по казва добра чувствителност към Penicillin G, но бързо се появяват щамове, продуценти на ензима пеницилиназа, който разрушава бета-лактамния пръстен на Penicillin G. Пора ди това, насочено се разработват антистафи лококовите пеницилиназа-резистентни пе ницилини (метицилин, оксацилин и др.), но S. aureus развива резистентност и към тях. Щамовете, резистентни на метицилин, се означават като MRSA и са клинично резис тентни към всички бета-лактамни антибио тици, включително към карбапенеми[7,8]. Към момента по-малко от 10% от щамовете S. aureus в САЩ са чувствителни към Penicillin G[8]. В нашето проучване около една четвърт от щамовете все още са със запазена чувст вителност към Penicillin G, вероятно поради по-рядкото му приложение. Резистентност

пациентите и типа на инфекциите (придоби ти в обществото или вътреболнични). MRSA са важна причина за вътреболнични инфек ции[10]. Те са ендемични в много болници в Америка и Европа, в които 29-35% от клинич ните изолати са MRSA[11]. В нашето проучва не относителния дял на MRSA е нисък, като интересен е фактът, че този дял не се увели чава по време на COVID-пандемията. Според нас причините са две – по-малкото използ ване на пеницилини през пандемията от една страна и завишените хигиенни и проти воепидемични мерки в болниците във връз ка с COVID-19. Намаляването на резистент ността към аминогликозиди и тетрациклини вероятно също е свързано с това, че те не са били сред предпочитаните антибиотици за профилактика и лечение на бактериалните инфекции и усложнения през пандемията. В нашето проучване се наблюдава значи телно увеличение на резистентността към азитромицин и клиндамицин – от 13.8% на 22.3% и от 7.0% на 19.5%, респективно. Да нните за резистентността на S. aureus към азитромицин са различни в проучвания, пра вени по различно време, сред различни кон тингенти болни в различни географски ре гиони. Paff и съавт.[12] към 2006 г. намират бързо увеличение на резистентността към макролиди само за период от четири години при лечение на пациенти с цистична фибро за. По същото време Poiata и съавт. [13] съ общават 22% резистентност към азитроми цин при щамове, изолирани от медицински персонал, докато Afzal и съавт.[14] намират само 10% резистентност към 2021 г. Безспор но обаче, изследователите по целия свят са единодушни, че прекомерната консумация и употреба на този важен антибактериален

[www.medmag.bg ] 17
ни на света и силно зависи от контингента на
аг ент по време на пандемията от COVID-19 ще доведе до увеличаване на резистентността към него и той ще бъде загубен като сред ство за лечение на бактериални инфекции[15, 16]. Получените от нас резултати за увелича ване броя на щамовете с индуцибелна рез истентност към клиндамицин подкрепят ре зултати от други проучвания, според които масовото приложение на азитромицин води до бързо нарастване на щамовете с
белна
към клиндамицин
Независимо,
та към метицилин варира в различни регио
индуци
резистентност
[17]
че флуорохинолоните, в част ност левофлоксацин, са широко прилагани по време на пандемията, нашите данни от

ние напълно подкре пяме становището на Kariyawasam

съавт. [18] , базирано на мета-ана лиз на 38 проучвания прове дени на всички континенти, че свръхупотребата на антибиоти ци, в голяма част от случаите не обоснована и неефективна, води не само до нарастване резистент

ността на бактериите, но и до уве личаване относителния дял на инфекциите, причинявани от мно жествено-резистентни микроорга низми.

ЗАКЛЮЧЕНИЕ Не се наблюдава съществена про мяна в профила на инфекциите, причинявани от S. aureus, преди и по време на пандемията. На растването на резистентността на

щамовете е най-значително към антибиотиците, които са най-ши роко прилагани за лечение и про филактика на бактериални ин фекции, свързани с пандемията – макролиди, в частност азитро мицин, линкозамиди – основно клиндамицин и флуорохинолони – главно левофлоксацин. Така пан демията вероятно ще доведе до изостряне на проблема с антибио тичната резистентност.

[1] Izzati-Nadhirah M., Wong C.K-W., Chew C. et al. The landscape of antibiotic usage among COVID-19 patients in the early phase of pandemic; A Malaysian national perspective. J Pharm Pol & Pract. 2022; 15:4.

[2] Musunza J.S., Watson L., Parmasad V., et al. Prevalence and outcomes of co-infection and superinfection with SARS-CoV-2 and other pathogens: a systematic review and metaanalysis. PLoS ONE. 2021; 16: e 0251170

[3] Abelenda-Alonse G., Padulles A., Rombants A. et al. Antibiotic prescription during the COVID-19 pandemic: a biphasic pattern. Infect Control Hosp Epidemiol. 2020; 41:1371-1372.

[4] Tsay S. V., Bartoces M., Gouing K., et al. Antibiotic prescriptions associated with

COVID-19 outpatient visits among Medicare beneficiaries, April 2020 to April 2021. JAMA. 2022; 327 (20): 2018-2019.

[5] Kantardzhiev T. Antibiotic resistance. Academic lecture. XIX International medical scientific conference for students and young doctors. 26-30 Sept. 2022, Medical University-Pleven, Bulgaria.

[6] Kow C. S., Hasan S.S., Use of Azithromycin in COVID-19; a cantionary tale. Clin Drug Investig 2020; 40 (10) 989-990.

[7] Forbes B.A., Sahm D.F., Weissfeld A. S. Bailey & Scott's Diagnostic microbiology. 11th ed. Mosby, 2002: 285-297.

[8] Murray P. R., Rosenthal K. S., Pfaller M. A. Medical Microbiology, 7th ed. ELSEVIER

Saunders, 2013; 174-187.

[9] Jorgensen J.H., Pfaller M.A., Carrol K.C. et al. Manual of clinical microbiology, 11th ed. Vol. 1. ASM Pross, 2015; 360-382.

[10] Hofer U. Antibiotics predispose nosocomial infections. Nat Rev Microbiol 2022; 20:445.

[11] Haddadin A.S., Fappiano S.A., Lipsett L. Methicillin-resistant Staphylococcus aureus (MRSA) in the intensive care unit. Postgrad Med J 2002; 78:385-392.

[12] Phaff S.J., Tiddens H.A.W.M., Verbrugh H.A. et al. Macrolide resistance of Staphylococcus aureus and Haemophilus species associated with long-term azithromycin used in cystic fibrosis. J Antimicrobial Chemother 2006;

57(4):741-746.

[13] Poiata A., Tuchilus C., Ambarus A., et al. Antimicrobial susceptibility of S. aureus isolated from colonized hospital personel. Rev Med Chir Soc Med Nat Iasi 2006; 110(3):723-726.

[14] Afzal M., Kumar A., Stapletin F. Antimicrobial susceptibility of S. aureus from different ocular conditions. Invest Ophtalm Vis Sci 2021; 62:403.

[15] Johanshahlon F., Hosseini M-S. Antibiotic resistance: A disregarded concern for misuse of azithromycin in COVID-19 treatment. J Res Med Sci 2021; 26:101. IMLSB

[16] Abdelmalek S.M.A., Mousa A. Azithromycin misuse during the COVID-19

pandemic: A cross-sectional study from Jordan. Infect Drug Resists 2022; 15:747-755.

[17] Bojang E., Jofali J., Perreten V. et al. Short-term increase in prevalence of nasopharyngeal carriage of macrolideresistant Staphylococcus aureus following mass drug administration with azithromycin for trachoma control. BMC Microbiol 2017; 75:17.

[18] Kariyawasam R.M., Julien D.A., Jelinski D.C. et al. Antimicrobial resistance (AMR) in COVID-19 patients: a systematic review and meta-analysis (November 2019 – June 2021). Antimcrob Resist Infect Control 11, 45 (2022) https://doi.org/10.1186/ s 13756022-01085-Z.

18 І Medical Magazine | ноември 2022
БАКТЕРИАЛНИ И ВИРУСНИ ИНФЕКЦИИ ИЗПОЛЗВАНА ЛИТЕРАТУРА:
носно резистентността към тях за момента не са тревожни. В обобщение,
и

Активна подкрепа на имунитета НАДЕЖДНАТА, БАЛАНСИРАНА И ТРАЙНА ПОДКРЕПА НА ИМУНИТЕТА е особено важна за всички семейства, особено в тези с малки деца или възраст ни хора с по-крехко здраве. За това и фармацевтичният пазар предлага изобилие от продукти, но малко от тях действително изпълняват функциите, за които претендират. През последните две години един сравнително нов препарат спечели моето доверие. В на чалото Омникод имуно ме при влече с обстойните научни из следвания върху

20 І Medical Magazine |
ноември 2022
основната му активна съставка - натурални ят комплекс Епикор, получен от мая за печене чрез високо технологичен ферментацио нен процес. Подобни детайлни проучвания са рядкост при хра нителните добавки. В течение В своята практика на педиатър особено внимание отделям на подкрепата на имунната систе ма и поддържане на съпротивителните сили на организма срещу вируси и инфекции. Едно от най-честите притеснения, които родителите на малките пациенти споделят, е свързано именно с честата заболеваемост в ключови периоди като първите месеци в ясли или дет ска градина, сезона на вирусните инфекции на горните дихателни пътища или на стомаш но-чревните вируси. на времето се убедих, че Омни код имуно наистина е ефикасен и надежден имуномодулатор. ТОЙ ОКАЗВА СЕРИОЗНА МНОГОСПЕКТЪРНА ПОДКРЕПА НА ИМУННАТА СИСТЕМА, Споделен опит от д-р Сашка Порязова, ДКЦ „Софиямед“

като едновременно повиша ва устойчивостта срещу вируси и бактерии и понижава интен зитета и продължителността на изява на инфекциозна симпто матика.

ПАЦИЕНТИТЕ МИ СА ДОВОЛНИ от препарата и споделят зна чително подобряване на симп томите още в първите няколко дни след първия прием. Напоследък в практиката ми за честиха случаите на коксаки вирусни инфекции – херпанги ни и други протичащи с обриви вирози, които много бързо и добре се повлияха при включ ване на Омникод имуно – при някои самостоятелно, при дру ги – към симптоматичната тера

пия. До 24-48 часа температура та спадна, гърлоболът намаля значително до 3-тия ден, а също и локалните лезии по гърлото и кожата претърпяха обратно раз витие и епителизираха. С Омни код имуно се наблюдава мно го бързо начално повлияване на симптомите – още след вто рия час, т.е. с него имам един надежден, напълно естествен, безопасен съюзник в борбата с инфекциите от вся какво естество – вирусни, бакте риални, паразитни, микотични. Освен това бързо начало, благо дарение на имунния комплекс Епикор Омникод имуно има до бър ефект в дългосрочен план, което го прави предпочитан в периода на тръгване на децата на училище и в детски градини.

Включвам Омникод имуно поне 2-3 седмици преди началото на учебната година, като препоръч вам прием на три опаковки по следователно без прекъсване. Комплексът Епикор притежава и изразени пребиотични свойства. Влияе много добре на гастроин тестиналния тракт, като намаля ва симптомите на констипация и значително подобрява здравето на храносмилателната система –важен фактор за състоянието на имунитета. Много от пациентите ми имат различни видове алергии и за белязвам, че броят им в послед ните години нараства.

С Омникод имуно те се чувстват по-добре и споделят, че симпто мите намаляват и дори изчезват при по-продължителен прием. Не се налага да приемат често антихистамини както преди, ня мат симптоми на сънливост, гла воболие и умора. В МОЯТА ПРАКТИКА Омникод имуно се наложи като надежден препарат с мощ на протективна функция срещу вирусните инфекции на диха телните пътища и на стомаш но-чревния тракт, а така също като допълнителна защита в пе риода на поленовите алергии. Родителите съобщават и за до пълнителни ефекти като пови шени нива на апетита и енерги ята, както и по-добър и спокоен сън на децата. Омникод имуно се предлага в две форми – капсули за възраст ни и деца над 12 години и течна форма за деца над 1 г. Сиропче то има много приятен вкус и се приема с удоволствие дори от най-малките.

[www.medmag.bg ] 21

М. Дойков, д.м. Катедра по „Урология и Обща Медицина“, МУ - Пловдив Клиника по Урология, УМБАЛ „Каспела“Пловдив

Уринарни катетри и свързаните

ВЪВЕДЕНИЕ Уретралните катетри се поставят по ре дица причини – диагностични, тера певтични, включително и за удобство при пациенти с различни придружава щи заболявания. Наличието на катетър увеличава риска от бактериурия, коя то може да прогресира до сериозна ин фекция. Като цяло липсва консенсус от носно оптималния подход към този вид пикочни инфекции, освен възможно най-бързото премахване на катетъра, ако разбира се това е възможно. ЕПИДЕМИОЛОГИЯ Честота – бактериурия се среща при близително от 3 до 10% при пациенти с постоянни катетри на пикочния ме хур[1,2]. От тях 10 до 25% развиват симп томи на инфекция на пикочните пъти ща[3,4,5]. За съжаление, това

Това е само една от основните цели на превенцията[7,8]. Други рискови фактори включват женски пол, напреднала въз раст, захарен диабет, рядка подмяна на дренажната торба, липса на стерилност при поставяне на катетъра[9,10,11].

ПАТОГЕНЕЗА Инфекцията на пикочните пътища, свър зана с катетеризация, може да бъде екстралуменна или интралуменна. Екс тралуменната инфекция възниква чрез навлизане на бактерии в пикочния ме хур по протежение на биофилма, кой то се образува около катетъра в уретра та[12,13,14,15]. Интралуменната инфекция възниква поради застой на урина в слу чай на недобър дренаж или поради за мърсяване на торбата за събиране на урина с последваща възходяща инфек ция. Екстралуменната инфекция се сре ща по-често от интралуменната (66% срещу 34%)[16]. Сравнително рядко може да се срещ

възможно най-скоро.

може да бъде разграден до индоксил, ако има подходяща алкална среда и бактериални ензими (индоксил сулфа таза и индоксил фосфатаза). Продуктите от разграждането, индиго и индирубин, изглеждат съответно сини и черве ни[18,19]. Бактериите, способни да произ веждат тези ензими, включват Клебсие ла, Протеус и др. КЛИНИЧНИ ХАРАКТЕРИСТИКИ Симптомите на свързаните с наличието на катетър инфекции са разнообразни и не се отнасят непременно към пикоч ните пътища. Температурата е най-чес тият симптом[3,20]. Към локалните симп томи могат да се включват дискомфорт, най-често в надпубисната област, бо лезненост в костовертебралния ъгъл и запушване на катетъра. Въпреки това, много катетеризирани пациенти без данни за инфекция или дори без бак териурия могат да имат подобни симп томи. Като пример, в проучване, което включва 89 хоспитализирани пациен ти, които са развили бактериурия след поставяне на уретрален катетър, 18% са имали температура (>38.50C), 6% са има ли дизурия и 6% са имали спешна по требност да уринират[3]. Пациентите с увреждане на гръбначния мозък могат да имат особено нетипични и неспеци фични симптоми, включително повише на спастичност, неразположение и авто номна дисрефлексия. При лицата, които

22 І Medical Magazine | ноември 2022 БАКТЕРИАЛНИ И ВИРУСНИ ИНФЕКЦИИ
с тях инфекции на пикочоотделителната система
с нали чието на катетър инфекции на пикоч ните пътища е 1.4 до 1.7 на 1000 кате тър дни в стационарни медицински или хирургични отделения при възрастни и деца[6] РИСКОВИ ФАКТОРИ Продължителността на катетеризация та е важен рисков фактор за свързаната с катетъра бактериурия и за развитие то на последваща сериозна инфекция. Уринарните катетри могат да се поставят поради редица диагностични и терапевтични причи ни, както и за удобство на самия пациент. Наличието на катетър обаче увеличава риска от бак териурия, която може бързо да прогресира до сериозна инфекция. Цялостната липса на кон сенсус относно оптималния подход към свързаните с катетър инфекции на пикочните пътища, прави борбата с тях особено трудна. Важно е да се знае, че своевременното премахване на катетъра, особено когато вече не е необходими, е от решаващо значение за предотвратяване развитието на пикочни инфекции. Няма категорична полза от профилактичен прием на анти биотик за намаляване риска от развитие на инфекции на пикочните пътища, свързани с дъл готрайното носене на катетър. Най-важните аспекти на превенцията на катетър-асоциираните инфекции на пикочните пътища са избягване на ненужна катетеризация, използване на сте рилна техника при поставяне на катетъра и отстраняване на катетъра
се превръща в допълнителна тежест за всички паци енти с поставен катетър. През 2012 г. в САЩ, честотата на свързаните
не синдрома на „лилавата торбичка“[17] Лилавият цвят на урината се дължи на метаболитни продукти на биохимич ни реакции, образувани от бактериални ензими в урината. Флората на стомаш но-чревния тракт разгражда аминоки селината триптофан до индол,
впоследствие се абсорбира в портал ната циркулация и се
ксил
фатът
който
превръща в индо
сулфат. След това индоксил сул
се екскретира в урината, където Ключови думи: Уринарен тракт, инфекции, катетър, профилактика.

развиват инфекции скоро след отстра няване на катетъра, може да се наблю дават типичните пикочни симптоми на дизурия, честота и неотложност. Много пациенти смятат, че мътният вид или неприятната миризма на урината предполагат наличието на инфекция. Нито една от тези находки, обаче, не е доказана категорично като свързана с бактериурия или инфекция[20]. Лабораторни находки - пиурията е чес то срещана находка при катетеризира ни пациенти с бактериурия, независимо дали са с доказана инфекция. По дефиниция всички пациенти със свързана с катетър инфекция имат бак териурия или фунгурия. По-голямата част от пациентите със симптоматич на бактериурия имат растеж на бакте риални култури или растеж на гъбички в урината. ЛЕЧЕНИЕ Подходът при лечението на свързани те с катетър инфекции на пикочните пъ тища включва антимикробна терапия и наблюдение на катетъра. На всички пациенти с доказана инфек ция се обръща високо внимание пора ди наличните симптоми като: темпера тура, болезненост в костовертебралния ъгъл и хълбока, симптоми на инфекция в условията на пиурия и бактериурия. Тези случаи са в съответствие с остри сложни инфекции и трябва се третират като такива. Някои пациенти, по-специално тези, които наскоро са имали отстранява не на катетъра, имат изолирани симп томи на цистит (напр. дизурия, често уриниране или остра нужда от урини ране) при липса на температура или ха рактеристики на възходяща инфекция или простатит. Тези болни могат да бъ дат лекувани като пациенти с остри ци стити.

1.Warren JW, Platt R, Thomas RJ, et al. Antibiotic irrigation and catheterassociated urinary-tract infections. N Engl J Med 1978; 299:570.

2.Haley RW, Hooton TM, Culver DH, et al. Nosocomial infections in U.S. hospitals, 1975-1976: estimated frequency by selected characteristics of patients. Am J Med 1981; 70:947.

3.Tambyah PA, Maki DG. Catheter-

Изборът на антибиотици както за ус ложнена инфекция, така и за остър ци стит, отчита рисковите фактори за рез истентна инфекция и антибиотични алергии. След като са налични резултатите от урокултурата, антимикробният режим трябва да бъде съобразен с конкретния изолиран бактерий. Оптималната продължителност на тера пията трябва да бъде достатъчно дъл га. В зависимост от клиничния отговор, вида на бактерия и антибиотика, обик новено е подходящо лечение за около 10-14 дни. Пероралната терапия е удач на и може да се използва за целия курс на лечение, ако разбира се, бактерия е податлив и пациентът е достатъчно добре, за да приема перорални лекар ства с адекватна абсорбция. Третиране на катетъра - оптимални ят подход в условията на инфекция на пикочните пътища е неуточнен, въпре ки че се предпочита минимизиране на използването на постоянни катетри. Обичайно пациентите, които вече не се нуждаят от катетеризация, премахват катетъра и продължават с приема на подходяща антибиотична терапия. Па циентите, които се нуждаят от продъл жителна катетеризация, трябва да се третират с периодична катетеризация, ако това е възможно. Интермитентната катетеризация е свър зана с по-ниска честота на бактериурия и инфекции от дългосрочната постоян на катетеризация[21]. Ако е необходима продължителна катетеризация и перио дичната катетеризация не е осъществи ма, катетърът трябва да бъде заменен при започване на антимикробна тера пия[22]. Честата (на около 40 дни) подмя на на катетъра е свързана с по-малко и по-късни рецидиви, отколкото запазва нето на оригиналния катетър за дълъг период от време[23]

associated urinary tract infection is rarely symptomatic: a prospective study of 1,497 catheterized patients. Arch Intern Med 2000; 160:678.

3.Saint S. Clinical and economic consequences of nosocomial catheter-related bacteriuria. Am J Infect Control 2000; 28:68.

5.Leuck AM, Wright D, Ellingson L, et al. Complications of Foley catheters--is infection the greatest risk? J Urol 2012; 187:1662.

6.Dudeck MA, Weiner LM, Allen-Bridson K, et al. National Healthcare Safety Network (NHSN) report, data summary for 2012, Device-associated module. Am J Infect Control 2013; 41:1148.

7.Riley DK, Classen DC, Stevens LE, Burke JP. A large randomized clinical trial of a silver-impregnated urinary catheter: lack of efficacy and staphylococcal superinfection. Am J Med 1995; 98:349.

УСЛОЖНЕНИЯ По-важните усложнения на този тип ин фекции включват: сепсис, бактериемия и засягане на горните пикочни пътища. Приблизително 20% от всички бактери емии произхождат от пикочните пъти ща, а смъртността, свързана с това със тояние, е около 10%[24]. Инфекцията на горния тракт е друга ва жна последица от свързаните с катетър инфекции. В голяма серия от аутопси рани пациенти честотата на възпале ние на бъбречния паренхим е по-висока при тези с наличен катетър по време на смъртта, отколкото при тези, които не са били катетеризирани (38 срещу 5%)[25]

ЗАКЛЮЧЕНИЕ Най-важните аспекти в превенцията, на свързаните с наличието на катетър ин фекции на пикочните пътища, са избяг ването на ненужна катетеризация, из ползването на стерилна техника при поставяне на катетъра и отстраняването на катетъра възможно най-скоро. В голя мо проспективно проучване в САЩ, осъ ществяването на инициативи за засил ване на тези концепции са свързани с намаляване на базовия процент на свър заните с катетър инфекции в отделения за неинтензивно лечение[26]. По подобен начин в канадско проучване се наблю дава умерено, но трайно намаляване на наличието на следоперативна инфекция със стандартизиран подход за периопе ративна катетеризация на пикочния ме хур[27]. Не се наблюдава значима полза от антибиотично покритие докато пациен тите са с катетър, като превенция срещу поява на евентуална инфекция. Продъл жителността на периода, от поставянето на катетъра до премахването му, трябва да бъде добре прецезирана с цел да се сведе до минимум рискът от развитие на инфекция, която може допълнително да усложни състоянието на пациента.

8.Lo E, Nicolle LE, Coffin SE, et al. Strategies to prevent catheter-associated urinary tract infections in acute care hospitals: 2014 update. Infect Control Hosp Epidemiol 2014; 35:464.

9.Platt R, Polk BF, Murdock B, Rosner B. Risk factors for nosocomial urinary tract infection. Am J Epidemiol 1986; 124:977.

10.Wald HL, Ma A, Bratzler DW, Kramer AM. Indwelling urinary catheter use in

the postoperative period: analysis of the national surgical infection prevention project data. Arch Surg 2008; 143:551.

11.Kunin CM, McCormack RC. Prevention of catheter-induced urinary-tract infections by sterile closed drainage. N Engl J Med 1966; 274:1155. Пълната Библиографска справка съ държа 27 източника и е на разположе

[www.medmag.bg ] 23
ЛИТЕРАТУРА:
ИЗПОЛЗВАНА
ние в редакцията при поискване.

Инфекциите на горните дихателни пътища (ГДП) са едни от най-често срещаните вирусни заболявания през есенно-зимния сезон. Те са и сред най-честа та причина за намалена трудоспособност и отсъст вие от училище. Честотата на симптомите е пряко свързана с редица фактори като сезонност, възраст и влажност. Имайки предвид, че най-често тези за болявания засягат децата, които посещават учебни занимания, които на свой ред предават заболява нето на възрастните, които се грижат за тях у дома и в училище, можем да изтъкнем, че инфекциите на ГДП оказват и значително влияние върху семей ния бюджет и ежедневие. Освен това, една нелекувана инфекция на ГДП може да доведе до сериозни усложнения като развитие на бронхити, трахеити, астма, пневмонии, отити, абсце си, перикардити, миокардити и др.

Ангел С. Гълъбов Институт по микробиология „Стефан Ангелов“, Българска академия

За запазването на доброто здраве изключително важна роля играе добрият имунитет, онази съв купност от клетъчни и и хуморални фактори, която разпознава чуждите за организма нашественици, неутрализира ги и ги извежда от организма. Важни фактори в етиопатогенезата на много бе лодробни болести са хипо- и хиперреактивност та на Т-клетъчната система и ролята на ТН1 и ТН2 лимфоцитите. ТН1 съдействат за образуването на интерлевкин 2 (IL2) и гама-интерферон, дока то ТН2 лимфоцитите са свързани с продукцията на интерлевкин 4 и интерлевкин 10, които участ ват в продукцията на имуноглобулини, включи телно IgE.

24 І Medical Magazine | ноември 2022
КЛИНИЧНАТА
ЕСБЕРИТОКС И НЕГОВОТО ПРИЛОЖЕНИЕ В
ПРАКТИКА
За да се постигне баланс между двата типа иму нен отговор, могат да се използват различни иму номодулатори. на науките Есберитокс е фитоимуномодулатор, съдържащ комбинация от екстракти от два вида Ехинацея – purpurea и pallida, Baptisia tinctoria (Диво индиго) и Thuja occidentalis (Бял ке дър). Синергичното действие на трите билки, комбинацията от които се съдържа един ствено в Есберитокс, стимулира имунната система и действа антивирусно. При използването на комбинацията от Бял кедър, Диво индиго и Ехинацея в случаите на грип и настинка се наблюдава бързо облекчаване на симптомите, както и скъсяване на продължителността на боледуването. Есберитокс е подходящ и за съпътстваща терапия на бактериални заболявания заедно с антибиотик[5,6].

Дивото индиго повишава ак тивността на макрофагите, гранулоцитите, образуването на антитела и интерферон индуктираната активност.

Белият кедър активира и макро фагите, и Т-клетките. Той също така има директно антивирус но действие. Това стимулира предпазните функции на имун ната система.

Макар и трите билки да имат взаимнозаменя ем ефект, в комбинация те осигуряват по-ши рок спектър на действие, отколкото всяка бил ка поотделно. Тройната растителна комбинация съчетава антивирусните и имуностимулиращи те свойства на всяка билка за максимална ефек тивност.

Действайки заедно и допълвайки се, те подобря ват драстично функцията на имунната система и действат в няколко различни посоки, подобрявай ки специфичния и неспецифичния имунитет.

специфични

Ехинацеята увеличава активността на макро фагите, които разпоз нават и унищожават вирусните патогени. Подпомага образува нето на антителата, повишава цитокини новата активност, подпомага производ ството на интерлев кин и също като белия кедър има директно ан тивирусно действие.

болничния престой и заболеваемостта от повтаря щи се инфекции на ГДП при деца и възрастни. Съпътстваща терапия при лечение с антибио тици При тежки бактериални инфекции като бронхи ти, ангина, фарингити, отити и синузити. Прие мът на Есберитокс води до клинична картина, при която заболяванията протичат по-леко. Профилактика на често боледуващи или преди зимния грипен сезон Преходът между сезоните поставя имунната сис тема под допълнителни натоварвания. С пови шаването на влажността се увеличават и ин фекциите. Есберитокс може да се използва за профилактика и за повишаване на имунната за щита на организма. Други индикации: • Бактериални инфекции на кожата • Herpes

и пролифе рацията на клетките в слезката, има и директно антивирусно действие спрямо грипен вирус тип А. Ехинацеята въздейства и на Т-клетките чрез сиг налните протеини Интерлевкин-2. Ако между временно вирусите са проникнали в клетките, то Т-убийците ги откриват, пробиват с ензими инфек

[www.medmag.bg ] 25
хранене тези стойности могат да се по вишат. В клиничната практика Есберитокс се прилага успешно за: Профилактика и лечение на респираторни инфекции Подходящ е за профилактика на бактериални и ви русни инфекции на дихателната система. Има до казан ползотворен ефект върху хроничните не
белодробни болести,
КАКВО ПОКАЗВА ОПИТЪТ Основното приложение на Есберитокс е да овла дява респираторните вирусни и бактериални ин фекции и настинките. Също така може да действа като заместител или в комбинация с антибиотич ното лечение. Честотата на инфекциите на ГДП варира при децата и възрастните, като постепен но намалява с напредването на възрастта – от 8-10 пъти на година в предучилищна възраст, 4-6 пъти до 14-годишна възраст, до 2-3 пъти в годи ната при възрастните. В среда на чести контакти с болни, пасивно или активно пушене и нездра вословно simplex labialis – доказан директен анти вирусен ефект • Левкопении – след облъчване или цитостатич но лечение (или по време на провежданите ци кли) МЕХАНИЗЪМ НА ДЕЙСТВИЕ Механизмът на действие на Есберитокс е свързан с въздействието на различните съставки върху различни звена на имунните реакции. Ехинацея та индуцира продукцията на цитокини
намалява продължителността
на антибиотичното лечение,

тираната клетка и я унищожават. Дивото индиго стимулира образуването на антитела, увеличава броя на гранулоцитите и повишава активността на гама-интерферон. Стимулира синтеза на ан титела и повлиява хемотаксиса на левкоцитите (IL-8). Белият кедър активира макрофагите, стиму лира фагоцитозата и има директно антивирусно действие спрямо грипен вирус от тип А. Антитела та маркират вирусите и те биват разпознати и ели минирани от макрофагите.

Събрани в едно, тези свойства на различните със тавки повишават хуморалния имунитет.

26 І Medical Magazine
|
ноември 2022 Освен това, Есберитокс има доказан директен антивирусен ефект срещу вируса на херпес сим плекс и риновирусите от тип 2 при проучвания in vitro. КЛИНИЧНО ПРИЛОЖЕНИЕ Резултатите от проведените над 20 клинични про

учвания с Есберитокс потвърждават неговата ви сока терапевтична ефикасност, зад която стоят 90 години опит.

Добавен към терапията, Есберитокс е в състояние да активира клетъчния и хуморален имунен отго вор. Така помага за по-бързото възстановяване на болния и намалява броя на рецидивите. Двойно сляпо, рандомизирано, плацебо-контро лирано проучване сред 263 пациента с остра рес пираторна инфекция показва, че приемът на Есбе ритокс облекчава симптомите и съкращава с до 3 дни периода на боледуване[1,2] (Фиг. 1).

Друго мащабно проучване, проведено при 4,053 пациента с бактериална инфекция на горните дихателни пътища, също доказва добрата ефи касност на Esberitox. Резултатите показват зна чително намаляване (с до 90%) честотата на рецидивите при хората, при които към конвен ционалната антибиотичната терапия е добавен Есберитокс[3] (Фиг. 2). Едно друго мултицентрово, проспективно, плаце бо-контролирано клинично проучване сред паци енти с хроничен бронхит и тежка бактериална ин фекция показва, че добавянето на Есберитокс към лечението с антибиотици води до съкращаване на периода на възстановяване със 7 дни[4] (Фиг. 3).

Друго неинтервенционално, обсервационно кли нично изпитване сред 960 пациента потвърждава резултатите от предишни плацебо-контролира ни проучвания, доказващи ефикасния и безопа сен профил на растителния лекарствен продукт Есберитокс[5]. То показва, че 85% от пациентите оценяват ефикасността на Есберитокс като добра или много добра. Ранното започване на терапи ята с Есберитокс води до по-бързо облекчаване на симптомите. А процентът на нежеланите стра нични реакции е изключително нисък – само при 1.8% от всички изследвани (Фиг. 4 и 5).

[www.medmag.bg ] 27
ТЕРАПИЯ С ЕСБЕРИТОКС СА От направените изследвания можем да заклю чим, че Есберитокс Форте (за възрастни) и Есбери токс Фемили (подходящ и за деца над 4 години) облекчават не само симптомите на настинката, но и атакуват причинителите на вирусното забо ляване. • Намалява продължителността на вирусните и простудните заболявания с 2-3 дни. • Предотвратява усложненията. • Подходящ е за деца и има доказано безопасен профил. • С клинично доказана терапевтична ефикасност.
ПРЕДИМСТВА НА РАСТИТЕЛНАТА

ЗАЩО Е НЕОБХОДИМ ЕСБЕРИТОКС Всяка инфекция на белите дробове може да доведе до усложнения, които да оставят трай ни следи за организма. Често при лечението на подобни инфекции се стига и до прекомер на употреба на антибиотици. Особено в Бълга рия, която е единствената страна в ЕС, в която се регистрира увеличение на обема на използ ваните антибиотици, в сравнение с всички оста нали страни от общността. Това води до пови шена резистентност към антибиотиците, която все повече тревожи здравните власти по света. Затова и Есберитокс може да се използва за профилактика срещу възпаления на ГДП, а ко гато се налага, и като съпътстващ препарат при лечение с антибиотици при пациенти с остър тонзилит и други чести инфекции.

Използван самостоятелно или в комбинация с ан тибиотици, Есберитокс намалява съществено чес тотата на рецидивите от заболявания на ГДП. Есберитокс е необходим, защото: • Клиничните проучвания доказват ползата и безопасното приложение на комбинацията от Ехинацея, Бял кедър и Диво индиго. • Безопасен е при приложението при деца. • Намалява средната продължителност на боледуването. • По-бързо и ефективно подобрява симптоматиката. • Редуцира броя на рецидивите при инфекции на ГДП. Ето защо, още в началото на есенно-зимния сезон и при първите симптоми на настинка и грип, пре поръчвам на всеки пациент Есберитокс.

1. Henneicke-von Zepelin, H.-H., C. Hentschel, J. Schnitke., R. Kohnen, G. Köhler, P. Wüstenberg: Efficacy and safety of a fixed combination phytomedicine in the treatment of the common cold (acute viral respiratory tract infection): results of a randomised, double blind, placebo controlled, multicentre study. Current Medical Research and Opinion 15 (1999): 214−227

2. Naser, B., B. Lund, H.-H. Henneicke-von Zepelin, G. Köhler, W. Lehmacher, F. Scaglione.: A randomized, double-blind, placebo-controlled, clinical dose–response trial of an extract of Baptisia, Echinacea and Thuja for the treatment of patients with common cold. Phytomedicine 12 (2005): 715–722

3. Stolze, H., H. Forth.: Eine Antibiotikabehandlung kann durch zusätzliche Immunstimulierung optimiert warden. Der Kassenartz 23 (1983): 43-48.

4. Hauke W., Köhler G., Henneicke-von Zepelin H.H., Freudenstein J.: Esberitox® as Supportive Therapy When Providing Standard Antibiotic Treatment in Subjects with a Severe Bacterial Infection (Acute Exacerbation of Chronic Bronchitis). Chemotherapy (2002) 48: 259–266.

5. Henneicke-von Zepelin H.H., P. Nicken, B. Naser, J-C Kuchernig., N. Brien , Holtdirk A., J. Schnitker, K.-U. Nolte: Non-interventional observational study broadens positive benefit-risk assessment of an immunomodulating herbal remedy in the common cold. Current Medical Research and Opinion 35 (2019): 1711–1719.

6. Galabov, A. S., L. Nikolaeva-Glomb, L. Mukova, E. Ajvazova, M. Remichkova, I. Georgieva, M. Cseuz.: Large scale antiviral activity screening of a triple mixed herbal extract. Intern. J. Herbal Medicine. 5 (2017): 169-176.

28 І
ЛИТЕРАТУРА:
Medical Magazine | ноември 2022 ИЗПОЛЗВАНА
Лекарствени продукти без лекарско предписание. За допълнителна информация, моля, прочетете кратките характеристики на продуктите. 1.КХП на Есберитокс Форте 16 mg таблетки №: BG/MA/MP-56784/30.11.2021; 2.КХП на Есберитокс Фемили таблетки №: BG/MA/MP-53936/26.03.2021 1.Henneicke−von Zepelin, H.−H., Hentschel, C., Schnitker, J., Kohnen, R., Köhler, G., Wüstenberg, P.: E cacy and safety of a xed combination phytomedicine in the treatment of the common cold (acute viral respiratory tract infection): results of a randomised, double blind, placebo controlled, multicentre study, Current Medical Research and Opinion 15 (1999) 3: 214−227; 2.Naser B., Lund B., Henneicke-von Zepelin H.-H., Köhler G., Lehmacher W., Scaglione F.: A randomized, double-blind, placebo-controlled, clinical dose–response trial of an extract of Baptisia, Echinacea and Thuja for the treatment of patients with common cold, Phytomedicine 12 (2005) 715–722; 3.Stolze H., Forth, H.: Eine Antibiotikabehandlung kann durch zusätzliche Immunstimulierung optimiert warden. Der Kassenartz 1983; 23: 43-48. *Съгласно списък с разрешените за употреба лекарствени продукти без лекарско предписание в Република България към дата: 29.07.2022 г. Есберитокс Форте 16 mg таблетки, Състав: 1 таблетка съдържа: 16 mg сух екстракт (4-9:1) на смес от: Диво индиго, корени с коренище ( Baptisia tinctoria L., rhizoma cum radix); Пурпурна ехинацея, корен ( Echinacea purpurea Moench, radix); Eхинацея палида, корен ( Echinacea pallida Nutt, radix); Западна туя, листа и клонки ( Thuja occidentalis L., herba) (4,92:1,85:1,85:1). Екстрагент: етанол 30% (V/V). Другите съставки са: бетадекс, манитол (Ph. Eur.), глицеролов дибехенат (Ph. Eur.), магнезиев стеарат (Ph.Eur.) [растителен], захарин натрий, лимонена киселина монохидрат, аромат на лимон. Показания: За повишаване на имунната защита, като поддържащо лечение при вирусни инфекции на горните дихателни пътища, като общи настинки. Противопоказания: Свръхчувствителност към активните вещества или към някое от помощните вещества или към други растения от семейство Asteraceae (сложноцветни). Поради причини за безопасност, Есберитокс форте не трябва да се използва в случаи на: прогресивни системни заболявания като туберкулоза и саркоидоза; автоимунни болести, като колагенози, множествена склероза; СПИН, ХИВ-инфекции; имуносупресивна терапия напр. след трансплантация или химиотерапия за лечение на рак (цитостатична терапия); заболявания на белите кръвни клетки като левкемия и агранулоцитоза. Нежелани лекарствени реакции: Нарушения на имунната система: реакции на свръхчувствителност, като обрив по кожата, сърбеж, оток на лицето, задух, хипотония. Стомашно-чревни нарушения: коремна болка, повръщане, диария. Общи нарушения: виене на свят. Есберитокс Фемили таблетки, Състав: 1 таблетка съдържа: 3,2 mg сух екстракт (4-9:1) на смес от: Диво индиго, корени с коренище ( Baptisia tinctoria L., rhizoma cum radix); Пурпурна ехинацея, корен ( Echinacea purpurea Moench, radix); Eхинацея палида, корен ( Echinacea pallida Nutt., radix); Западна туя, листа и клонки ( Thuja occidentalis L., herba) (4,92:1,85:1,85:1). Екстрагент: етанол 30% (V/V). Другите съставки са: бетадекс, манитол (Ph. Eur.), глицеролов дибехенат (Ph. Eur.), магнезиев стеарат (Ph.Eur.) [растителен], захарин натрий, лимонена киселина монохидрат, аромат на лимон. Показания: За повишаване на имунната защита, като поддържащо лечение при вирусни инфекции на горните дихателни пътища, като общи настинки. Противопоказания: Свръхчувствителност към активните вещества или към някое от помощните вещества или към други растения от семейство Asteraceae (сложноцветни). Поради причини за безопасност, Есберитокс Фемили не трябва да се използва в случаи на: прогресивни системни заболявания като туберкулоза и саркоидоза; автоимунни болести, като колагенази, множествена склероза; СПИН, ХИВ-инфекции; имуносупресивна терапия например след трансплантация или химиотерапия за лечение на рак (цитостатична терапия); заболявания на белите кръвни клетки като левкемия и агранулоцитоза. Нежелани лекарствени реакции: Имунна система: Реакции на свръхчувствителност, като обрив по кожата, сърбеж, подуване на лицето, задух, спад на кръвното налягане, хипотония. Стомашно-чревен тракт: Коремна болка, повръщане, диария. Общи нарушения: виене на свят. Няма налични данни относно честотата. Специални предупреждения: Да не се прилага при деца под 4 години. НАДЕЖДЕН I ИМУНОСТИМУЛИРАЩ I АНТИВИРУСЕН ЕФЕКТ Единствено* в Съкращава периода на боледуване с 2-3 дена 1 Облекчава симптомите 1,2 Подобрява имунитета Намалява честотата на рецидивите с над 90% 3 ДИВОИНДИГО ПРИ ПЪРВИ СИМПТОМИ НА ГРИП И НАСТИНКА МОЩНА РАСТИТЕЛНА КОМБИНАЦИЯ

пространство. Ларингитите са изявите

ПАТОФИЗИОЛОГИЯ Касае се за директна инвазия на му козата на горните дихателни пъти ща. Основна е вирусната генеза. Раз витието на бактериална инфекция може да е първично или да се раз вие като вторична суперинфекция. След навлизането си причинителите преминават физикалната, механич на, хуморална и клетъчно-имунна бариера. Част от тях могат да бъ дат задържани в епифаринкса. Про меня се метаболизма на отделните клетки, а активността на мукоци лиарния клирънс спомага за транс порта към по-ниско разположените структурите. Аденоидните вегета ции и тонзилите притежават имун ни клетки, които реагират на инва зията

са

възпаление на структурите на

2.

3.

4.

5.

6.

7.

на горните дихателни пътища са най-масовите сред забо ляванията на общата популация. Те водят най-често до намаляване на трудоспобност и отсъствие от учеб ни занятия. Честотата на простудата,която има важно значение за развитие на тези заболявания, варира с възрастта. Най-висока е при деца под 5-годиш на възраст. Децата, които посеща ват детски и учебни заведения са най-голям резерв за боледуване, като предават инфекциите на тези, които се грижат за тях. Честотата при децата е 3-8 вирусни инфекции годишно. Подрастващите и възраст

30 І Medical Magazine | ноември 2022 БАКТЕРИАЛНИ И ВИРУСНИ ИНФЕКЦИИ Остри възпаления на горните дихателни пътища и техните усложнения Д. Попова Катедра по УНГБ при УМБАЛ „Царица Йоан на – ИСУЛ” МУ - София
ЧЕСТОТА Инфекциите
чрез имуноглобулин А, чрез хуморалния и клетъчен имунитет. Под въздействието на патогените се включват и макрофаги, моноци ти и еозинофили, които участват в унищожаването на микроорганиз мите от макроорганизма. Отделени те цитокини влияят върху имунния Острите възпаления на горните дихателни пътища са инфекции, ангажиращи горната част на дихателния тракт: нос, синуси, фаринкс и ларинкс. Това са ринити, синуити, фарингити, тонзи лити и ларингити. Ринитите са възпаления на носната лигавица, като при ринусинуитите има ангажиране и на параназалните синуси. Структурите на фаринкса включени с този процес са тонзили, увула и хипофаринкс. При острите епиглотити обхванати от възпалението
1. причинители предиз викват клинични изяви след инкуба ционен период , който варира: 1. Риновируси от 1 до 5 дни 2. Грип и грипоподобни вируси - 1-4 дни 3. Respiratory Syncytial Virus (RSV) - 7 дни 4. Пертусис - 7-21 дни 5. Дифтерия - 1-10 дни 6. Eбщайн-Бар вирус - 5-6 седмици Последните данни за най-честите бактериални причинители в Бълга рия сочат следното:
Str. pneumoniae – 36%
H. influenzae – 22%
S. aureus – 18%
M. catarrhalis – 8%
β – haemolyticstr. gr. A – 8%
E. fecalis – 6%
H. parainfluenzae – 2%
епиглогиса и супрагло тичното
на остро
ендола ринкса. отговор, променяйки посоката на процеса. Вирусите, включващи ог ромен брой серотипове, които мо гат да променят своята антигенност, влияят върху имунния отговор. Па тогените променят структурата на епитела чрез различни механизми - дифузна цилиарна парализа, про дукцията на токсини, протеазни и адхезивни фактори. ЕПИДЕМИОЛОГИЯ Различните

ни боледуват 2-4 пъти годишно, а хората над 60 години 1 път на година. Острият фарингит води до 1% от визитите при УНГ специалист. Най-чести са вирусни те и бактериални фарингити във възрастта между 4 и 7 години. Синуитите също са чес ти при вирусни възпаление на горните диха телни пътища. Преходни промени в околоносните кухи ни са регистрирани чрез Ro-графия/CT при по-вече от 80% от пациентите с неуслож нени вирусни възпаления на ГДП. Бактери алните риносинуити се появяват като ус ложнения само в 2% от болните с вирусни възпаления на ГДП. Епиглотитите са с често та 6-14 на 100 000 деца във възрастта между 2 и 7 години. За възрастни честотата е около 10 на милион.

СЕЗОННОСТ Пикьт на описаните заболявания е през къс на зима и ранна пролет. В края на август и началото на септември се повишава заболе ваемостта и става аналогична на тази през март и април. Предразполагащ фактор с осо бена важност е влажността. Риновирусите са активни през пролетта, лятото и ранната есен, коронавирусите през зимата и ранна та пролет, ентеровирусите през лятото, аде новирусите - късна зима, пролет и началото на лятото, а парагрипните и RSV от ноември до март. ПРЕДРАЗПОЛАГАЩИ ФАКТОРИ 1. Рискови *ко-морбидност - диабет; сърдечно-съдови заболявания, имунокомпрометирани паци енти и др.

[www.medmag.bg ] 31

*резистентни патогени *фактори на околната среда - хими кали, замърсители, пушек, травми, медикаменти, оперативни интер венции, посещение на детски гради ни, училища и др.

2. Фактори, свързани с пациента *алергия - пациентите с IgE медии ран алергичен ринит са склонни към по-чести инфекции в назофаринкса, хипертрофия на носните конхи, ла билна нервно-вегетативна систе ма, по-интензивно кръвоснабдява не и др. *имунен дефицит - ниските титри на IgG, А, М при някои пациенти водят до неповлияване от консервативно то лечение *генетични фактори - пациенти с кистозна фиброза, първична

*локални фактори - дефиация на носната преграда, дефекти на твър дото и мекото небце, аденоидни ве гетации и др. ДИАГНОСТИКА

1. Анамнеза 2. УНГ преглед - предна риноскопия, мезофарингоскопия, отоскопия

3. Микробиологично изследване

4. Кръвни показатели КЛИНИЧНИ СИМПТОМИ Могат да бъдат общи и локални. Общите са: отпадналост, адинамия, повишена температура, мускулни болки, повръщане и загуба на апе тит.

Локални: секреция от носа и затруд нено дишане, парене и кихане, ри нолалия, намалено или липсващо

обоняние, болки в гърлото, сухота, чувство за чуждо тяло, суха и драз неща кашлица и др. Важно е да се има предвид , че не винаги са проя вени всички симптоми.

МЕДИКАМЕНТОЗНО ЛЕЧЕНИЕ Симптоматично в зависимост от клиничните прояви - с антипирети ци, морски солеви разтвори, проти вовирусни препарати, орални или локални деконгестанти, муколити ци, противокашлични, общоукреп ващи и витамини.

Антибиотично лечение само при вторична бактериална инфекция и/ или при усложнения, необходимост та от нея се преценява от специа лист по УНГ болести.

Няколко са основните препоръки за лечение на острите възпаления на горните дихателни пътища:

• превенция на заболяемостта чрез намаление на рисковите фактори; • повлияване на болката, темпера турата и обезводняването на ор ганизма; • антимикробно лечение – неза бавно или отложено във време то (до 48-72 часа), препоръчва се амоксацилин с клаувонова ки селина, а при алергия с използ ват други антибиотични групимакролиди, като кларитромицин и други. ЗАКЛЮЧЕНИЕ Ранната диагностика е най-правил ният подход при лечението наостри те възпаления на горните дихателни пътища и техните усложнения. При избора на лечението е необходи мо да се прецизират и късните по следици по отношение на усложне нията.

PMC 1724675. PMID 12893713.

32 І Medical Magazine | ноември 2022 БАКТЕРИАЛНИ И ВИРУСНИ ИНФЕКЦИИ ИЗПОЛЗВАНА ЛИТЕРАТУРА: 1.
Casselbrant ML, Mandel EM. Epidemiology. In: Rosenfeld RM, Bluestone CD, eds. Evidence-BasedOtitis Media. 2nd ed. Hamilton, Ontario: BC DeckerInc; 2003:147–162. 2. Kassel, JC; King, D, Spurling, GK (2010-03-17). King, David. ed. "Saline nasal irrigation for acute upper respiratory tract infections". Cochrane database of systematic reviews (Online) (3): CD006821 3. ^ Spurling GKP, Del Mar C, Dooley L, Foxlee R. Delayed antibiotics for respiratory infections. Cochrane Database of Systematic Reviews 2007, Issue 3. Art. No.: CD004417. 4. Weidner T, Schurr T (August 2003). "Effect of exercise on upper respiratory tract infection in sedentary subjects". Br J Sports Med 37 (4): 304–6. doi:10.1136/bjsm.37.4.304.
цили арна дискинезия и др.

Юл. Рангачев, Ст. Йорданов, Иг. Станчева, В. Маринов, Д. Попова Катедра по УНГ болести, УМБАЛ „Царица Йоанна – ИСУЛ“ – София

Остър ринит

Д

нес е установено, че върху една клетка са разположени от 5 до 200 реснички. Дължина та им е от 600 до 1000 микрометра. Трептенията, които из вършват, са от 15 до 30 в секунда. Придвижват секрети, чужди тела, бактерии, прах и т.н. от 3 до 25 mm за минута. С помощта на радоизотоп – Tc 99м, оцветители или захаринов тест е ус тановено, че времето на придвиж ване на секрети от носната кухина до фаринкса е между 10 и 15 мину ти. При възпаление на носната лига вица, вкл. риносиуити, забавянето е над 20-30 минути, до пълно блокира не на мукоцилиарния клирънс. Назалната мембрана служи като ба риера срещу вирусна, бактериал на и различни по големина и форма външни частици. Аналогично на дру гите повърхностни мембрани, една от основните й функции е да протек тира подлежащите

Освен това

сухия въз

при инхалирането му. При екс тремни условия тази функция не може да се компенсира. Тя се осъ ществява чрез секретиране на муку сен секрет. Последният се увеличава при различни видове възспалителни промени. Назалните цикли са физиологична флуктуация на периодични фази на конгестия и дегонгестия на назална та мукоза, като около 80% от здра вите индивиди притежават регулар ни цикли. Назалните цикли спомагат за генери ране на плазмените ексудати, които физиологично почистват носната ли гавица от чужди тела и възпалител ни агенти. Повишаване на амплитудата на на залните цикли

Назалните цикли играят роля при ексудация на плазмата, дължаща се на симпатиковата инервация на вазоконструкторната гладка муску латура.

За 24 часа през носа преминава меж ду 10000-20000 l въздух. Всеки човек вдишва и издишва всеки ден около 23 000 пъти. Добре функциониращи ят нос стимулира работата на сърце то и белите дробове.

ОПРЕДЕЛЕНИЕ Острият ринит представлява възпа ление на носната лигавица, често и на околоносните кухини. Обикновено острият ринит се предхожда от вирус на инфекция с последваща бактериал на инвазия на горните дихателни пъ тища. Приема се, че вирусният ринит преминава в бактериален само около 0.5-2%. Ринитът е възпаление на муко зата на носната лигавица, съпроводе на със серозна или серомукозна секре ция. В първите дни от възпалителния процес мукозната мембрана е суха, за червена и оточна, което предизвиква назална обструкция, която затруднява нормалното носно дишане. Тези симп томи могат да се последват от обилна серозна, серомукозна или пурулентна секреция.

34 І Medical Magazine | ноември 2022 БАКТЕРИАЛНИ И ВИРУСНИ ИНФЕКЦИИ
тъкани и струк тури. Те помагат на организма да поддържа оптимална влажност. На залните мембрани и цилиите пред пазват от инхалирането на външни частици в долните дихателни пъти Носните структури са основният дихателен път и осигуряват възможността за дишане, затоп ляне; овлажняване; филтрация на вдишвания въздух. При нарушаване на възможността за съ ществяване на тези основни функции се поемат 30% по-малко кислород. Нормалното функциониране на носните структури се осъществява чрез мукоцилиарната транспортна система. За първи път тя е описана от Sharpey още през 1835 г. Състои се от рес ничест цилиндричен епител, жлези, чащковидни клетки. Цилиите са разположени в лигави чен филм, съставен от два слоя: • серозен, в който се придвижват цилиите, и • мукозен (на повърхността).
е свързана с носната инфекция, чрез която се увеличава ексудацията на плазма, поради ото чност на носната лигавица и хидрос татична филтрация от подлещащите кръвоносните съдове. При патологични условия назалното съпротивление се увеличава до то тална обструкция. Обикновено нос ната съпротива варира последова телно от едната и другата страна, дължаща се на цикличните мукозни промени на всеки 2 до 4 часа.
ща.
овлажнява
дух

ЕТИОЛОГИЯ

Назалната мукоза е подложена на около 200 вируса и бактерии, предизвикващи различни форми на възспалителни промени. Най-чес то срещаната причина за развитие на остър ринит е вирусна инфекция, която води и до промени в горните дихателни пътища. В някои случаи може да се прибави допълнител на бактериална инфекция, най-чес то след 5-7 ден. Най-често изоло раните бактерии са Streptoccocus pneumoniae, Haemophilus influenzae и Moraxella catarrhalis. Нормал ната флора при деца и възрастни влючва коагуло-отрицателни ста филококи, Corynebacterium spp., Staphylococcus aureus. Класифи кацията на бактериалните причи нители се базира на структурата и състава на клетъчната стена, мор флогичните им характеристики и метаболитните им изисквания. Ос новните разлики са в структурата на клетъчната стена при грам по ложителните и грам отрицателни те бактерии. При грам положител ните бактерии клетъчната стена се състои почти изцяло от плътен слой пептидогликани, прикачени към външната стена на цитоплазмена та мембрана. Грам отрицателните бактерии притежават хидрофобни липополизахаридни капсули (т.нар. ендотоксин), които ограждат липо протеино-фосфолипидна мембрана с малки канали. Някои щамове на бактерии притежават ензими, спо собни да разграждат молекулата на определени антибиотици – напри мер ензимът бета-лактамаза раз гражда пръстена на бета-лактамни те антибиотици и по този начин ги деактивира.Тези структурни разли чия се използват при съответната анти бактериална терапия.

ПРЕДРАЗПОЛАГАЩИ ФАКТОРИ Рискови групи пациенти: *ко-морбидност – диабет; сърдеч но-съдови заболявания, имуноком проментирани пациенти и др.; *резистентни патогени; *фактори на околната среда – хими кали, замърсители, пушек, травми,

медикаменти, оперативни интервен ции и др. Фактори, свързани с пациента: *алергия - пациентите с IgE медии ран алергичен ринит са склонни към по-чести инфекции в назофаринкса, хипертрофия на носните конхи, ла билна нервно-вегетативна систе ма, по-интензивно кръвоснабдява не и др.;

*имунен дефицит – ниските титри на IgG, А, М при някои пациенти водят до не повлияване от консервативно то лечение;

*генетични фактори – пациенти с кистозна фиброза, първична цилиар на дискинезия и др.; *локални фактори – девиация на нос ната преграда, дефекти на твърдото и мекото небце, аденоидни вегета ции и др.; *бременност и ендокринни фактори – директен хормонален ефект на ес трогените, прогестерона и плацен тарния растежен хормон. ПАТОФИЗИОЛОГИЯ Вирусите атакуват епителните клет ки в носната кухина, като предиз викват отделяне на хистамин, бра дикинин, цитокини (интерлевкини, левкотриен С4 и туморнекрозис фактор–алфа). Вирусите притежа ват супресивен ефект върху неутро филите – адхезивен, хемотаксичен, секреторен, фагоцитарен и бактери циден. Аналогичен супресивн ефект оказват и върху макрофагите и лим фоцитите. Натрупват се лимфоцити, привлечени от противовъзспалител ните фактори, определят клетъч ната инфилтрация, тъканите са с ексудат и локален оток. Продължи телното въздействие на патотените микроорганизми предизвиква син теза на имуноглобулини и интерфе рони. Отделеният хистамин дразни нервните окончания и предизвик ва кихане, вазодилатация и др. При този нарушен метаблизъм се отде лят простагландини и левкотриенни, които определят повишената жлез на секреция, повишена съдова про ницаемост. Освен това се наблюда ват и различните етапи и механизми на имунния отговор.

КЛИНИКА Острият ринит представлява вирус но и/или бактериално възпаление на носната кухина, като обикновено за почва с вирусна инфекция. Бактери алната инфекция може да се появи по всяко време. Началото е внезап но (поради вирусната генеза) с на личие на симптоми за около 5-7 дни и настъпва възстановяване. Първи те симптоми са кихане, ринорея, нос на конгестия, хипо-/аносмия, болки в главата, стичащ се секрет по задната фарингеална стена, възпалено гърло, запушване и кънтене в ушите.

Kартина на остро възпаление • Начало с хиперемирана и суха ли гавица за няколко часа с десква мация на епитела.

• Серозен оток в епител и субмуко за, повишена секреция с дребно клетъчна инфилтрация около жле зи и съдове.

• Набъбнала, оточна и зачервена лигавица.

• При инфекциозни и химически предизвикани ринити – тромбоза и некроза.

• С полинуклеарна инфилтрирация около съдове и жлези, венозен за стой и серозен излив в кухината на синуса.

Оздравителен процес – с намаляване на ексудата и възстановяване на епитела. Локална симптоматика • Остро начало с ангажиране и на двете носни половини.

• Начален сух стадий: часове до дни, сухота, дразнене, кихане и смущения в дишането, тежест и челно главоболие.

• Гнойна назална секреция/постна зална секреция.

• Лицева болка, налягане и пълнота. • Болка и напрежение в ушите. • Затруднено носно дишане до пъл на невъзможност. • Промени в обонянието, вкуса и тембъра на гласа.

Обща симптоматика Отпадналост, адинамия, субфебри литет.

[www.medmag.bg ] 35

СИМПТОМИ

При някои пациенти тези симпто ми не отзвучават, а напротив, задъл бочават се, най-често това се дължи именно на прибавена бактериална инфекция. При продължителност на острия ринит до четири седмици не се установяват трайни увреждания на лигавицата на носа.

При кърмачетата доминира обща та симптоматика с фебрилитет до развитие на гърчове и дразнене на менингите, обусловена от интокси кация, неефективно дишане и про менено хранене. Бързото развитие на симптомите се обяснява с анато мичните особенности на бебешкия нос и нарушенията в носното диша не, които предизвикват променен сън и хранене, неспокойство, отити. При по-големите деца все по-вече доминират локалните прояви, а об щите не са така бурни, защото защит ните сили са по-добре изразени. При 3-4-годишните ходът на заболя ването е като при възрастните. В някои случаи се наблюдава повта ряне на острите епизоди, които се повлияват от медикаментозно лече ние. При този рецидивиращ остър ринит се наблюдава също пълно въз становяване на лигавицата на носа. Хронифицирането на процеса (хро ничен ринит) се характеризира с пер систиращи симптоми, които не се по влият от медикаментозно лечение. Налице е трайна увреда на носната лигавица. ДИАГНОСТИКА 1. От анамнеза се събират данни за началото на

на травми, системни заболявания, придружаващи симптоми, неоплаз ми, продължителност, едностранен или двустранен процес, прогресия на заболяването и други.

2. УНГ преглед – предна риноскопия, мезофарингоскопия, отоскопия.

3. Микробиологично изследване.

4. Кръвни показатели.

5. Ринометрия и акустична риноме трия.

6. Изследване на обонянието.

7. Образни изследвания.

УСЛОЖНЕНИЯ

1. Назална полипоза.

2. Синуит.

3. Инфекция на средното ухо.

4. Абсцеси в парафарингиалното пространнство и меките тъкани на шията; абсцес на епиглотиса.

5. Затруднено дишане.

6. Трахеити, бронхити, пневмонии и астма.

7. Перикардити, миокардити и др.

8. Костни усложнения, възникнали от възпалителния на синусите –остеомиелит на плоските кости на черепа: челна и максила.

9. Екстериоризация към меките тъ кани на лицето.

10. Орбитални усложнения – ор битален едем, периостит, субпе риостален абсцес, орбитален флегмон, apex orbita syndrome, neuritis n. opticus retrobulbaris.

11. Eндокраниални риногенни усложнения: abscessus epiduralis, subduralis, cerebri, thrombosis sinus cavernosus, meningitis rhinogenica. МЕДИКАМЕНТОЗНО ЛЕЧЕНИЕ Симптоматично

1. Орални деконгестанти. 2. Муколитици. 2. Морски солеви разтвори.

ходимост и локални антибиотици. 4. Локален антихистаминов спрей (при наличие на алергии).

5. Антихистаминови препарати (при наличие на алергии).

Антибиотична терапия не по-рано от 5-7 ден и необходимостта от нея се преценява от специалист по УНГ бо лести. Антибиотичното лечение е само при вторична бактериална ин фекция и/или при усложнения. Препоръките за лечение на остри възпаления на горните дихателни пъ тища се прилагат само при здрави деца, без съпътстващи заболявания, които могат да променят естестве ния ход на заболяванията.

Няколко са основните препоръки за лечение на острите възпаления на горните дихателни пътища: превенция на заболяемост та чрез намаление на рисковите фак тори. повлияване на болката, тем пературата и обезводняването на ор ганизма.

Антимикробно лечение – незабав но или отложено във времето (до 4872 часа), подход „наблюдение и из чакване”. Основната цел на подхода „наблюдение и изчакване” е да се ограничи свръхупотребата на анти биотици и да се намали увеличава щата се антибиотична резистентност. ЗАКЛЮЧЕНИЕ Ранната диагностика е най-правил ният подход при лечението на ост рите възпаления на носа и около носните кухини. При избора на лече нието е необходимо да се прецизи рат и късните последици по

36 І Medical Magazine | ноември 2022
заболяването, наличие
3.
Локални деконгестанти, при необ
отноше ние на усложненията. БАКТЕРИАЛНИ И ВИРУСНИ ИНФЕКЦИИ ИЗПОЛЗВАНА ЛИТЕРАТУРА: 1. Национален консенсус по диагностика и медикаментозно лечение на острия бактериален риносинуит, 2007; 2. Arroll B, Kenealy T. Are antibiotics effective for acute purulent rhinitis? Systematic review and meta-analysis of placebo-controlled randomised trials. BMJ 2006;333: 279-81. 3. European Academy of Allergology and Clinical Immunology. European position paper on rhinosinusitis and nasal polyps. Rhinol Suppl 2005;18: 1-87. 4. Viral etiology of common cold in children, Finland ; Ruohola A, Waris M, Allander T et all.; Emerg.Infect. Dis. 2009, 15 (2); 344-6

Това е важно да се подчертае, тъй като до този момент, и особено след резултатите, пред ставени по време на Европейския кон грес по кардиология, еmpagliflozin оста на отново единственият медикамент, който в момента има индикация за ХСН независимо от фракцията на из тласкване. Empagliflozin е и първата терапия с категоричните си ползи за пациентите със запазена фракция на изтласкване“, това сподели проф. Нина Гочева - консултант в болница „София мед” и почетен член на борда

недостатъчност. Като едно от основните предизвика телства проф. Йотов посочи честота та на СНзФИ: „ Най-новите изследвания на Европейското дружество по карди ология1 показват, че пациентите със СНзФИ>50% са около 16%, а пациенти те с СНзФИ >40-49% са приблизител но 24%, което е общо около 40%. Той подчерта, че това е фенотипно по-раз лично заболяване и преди всичко зася га жените. По отношение на това колко опасна е СНзФИ, проф. Йотов споде ли, че при пациентите със СНзФИ се на блюдава около 30% по-добра прежи вяемост в сравнение с намалената ФИ и това е статистически значимо.

той.

Трудното диагностициране е друго се риозно предизвикателство за специа листите. проф. Йотов поясни, че в срав нение с намалената ФИ, където се използват сравнително по-малко пара метри, за да се уточни колко нарушена е ФИ, при запазената ФИ са необходими повече от 20 параметъра, за да се оп редели действителната функция на ля вата камера и да се постави диагноза. За диагностиката на СНзФИ се използ ват множество показатели и алгоритми, които включват смесица от клинични и неклинични белези. В своята презентация проф. Йотов отбе ляза, че съществуват много фенотипо ве на СНзФИ, които проявяват различни клинични и демографски характерис тики, съпътстващи заболявания и мето ди на лечение. Затова определянето на фенотипа е важна предпоставка за про гнозата на заболяването. „ Лечението на СНзФИ все още е предиз викателство, но проучванията показ ват, че еmpagliflozin има редица пре димства при всички класове пациенти

Empagliflozin е първата и единствена терапия с индикация за целия спектър на хроничната сърдечна недостатъчност Международни експерти се обединиха около позитивния ефект на медикамента, който дава възможност на пациенти със СН да живеят по-дълго и да се чувстват по-добре „ Днес за пореден път се потвърдиха възможностите на еmpagliflozin във всички аспекти на сърдечната
от фракция
изтласкване.
на дирек торите на Дружеството на кардиолози те в България, която беше и модератор на срещата. В началото на експертната
Ingelheim проведе сателитен симпозиум „Empagliflozin: първата и единствена терапия с индикация за целия спектър на хроничната сърдечна недоста тъчност“, който се състоя в рамките на XVII Национален Конгрес по Кардиология. В събитието се включиха
„Оп ределената фракция на изтласкване (ФИ) над 40% практически не показва различие по отношение на смърт ността, но тя рязко се влошава в за висимост от разположението на ФИ под 40%. По отношение на смърт ността и хоспитализациите поради СН – пациентите с
значително
недос татъчност, независимо
та на
среща проф. Йото Йотов д.м., УМБАЛ „Св. Марина“, представи основните предизвикател ства в лечението на сърдечната недос татъчност със запазена фракция на из тласкване (СНзФИ). На 12 октомври 2022 г. фармацевтичната компания Boehringer
бъл гарски и международни експерти, които споделиха своя опит в клиничната практика за лечение на пациенти със сърдечна
по-ниска ФИ имат
по-лоша прогноза, в срав нение с пациентите със запазена ФИ “, подчерта
38 І Medical Magazine | ноември 2022

и е медикамент, който може да се из ползва при различните фенотипове на пациенти със СН“, отбеляза в заключе ние проф. Йотов. Сателитна връзка с участниците на фо рума направи и проф. Стефан Анкерклиничен комплекс „Шаритѐ“, Герма ния, който е главен изследовател на програмата EMPEROR-Preserved. Той представи последните данни от кли ничното проучване EMPEROR-Preserved при пациенти със сърдечна недостатъч ност с леко-редуцирана фракция на из тласкване (ФИ) и при пациенти със запа зена ФИ. „Съществуват редица предизвикател ства при лечението на много от па циентите със СН, които нямат нама лена ФИ. В последните Препоръки вече са направени първи опити да се дадат насоки как да се процедира при паци енти със сърдечна недостатъчност с леко-редуцирана ФИ и запазена ФИ. По-специално, вече има някои групо ви анализи и мета-анализи, които се вземат под внимание в Препоръките и са базирани на SGLT2 инхибитори, бе та-блокери или MRA за пациенти с ФИ от 41-49%“, сподели проф. Анкер. В своето експозе проф. Анкер направи обобщен преглед на клиничните про грами, които изследват представяне то на SGLT2 инхибиторите, като обърна внимание на най-новите данни от про учването EMPEROR-Preserved, част от които предстои да бъдат публикувани. Професор Анкер подчерта, че клинич ното проучване EMPEROR-Preserved е проведено при пациенти с доказана СН зФИ 50% и по-висока, и обърна внима ние, че това прави резултатите от ана лиза на подгрупата наистина ценни. „В EMPEROR-Preserved empagliflozin де монстрира сигнификантно намалява не

но-съдова смърт или хоспитализа ция поради сърдечна недостатъчност (СН). Искам да подчертая, че тези ре зултати отчитат много бързо наис тина сигнификантни ползи за паци ентите със запазена ФИ, лекувани с empagliflozin“, отбеляза главният изсле довател на програмата, като добави, че резултатите при хоспитализацията по ради СН показват намаление с повече от 25%.

„Клиничното проучване EMPERORPreserved демонстрира категоричен успех на empagliflozin и в трите край ни точки – 21% намаляване на отно сителния риск, намаляване на хос питализацията поради сърдечна недостатъчност с повече от 25%, как то и съответните бъбречни ползи”, подчерта той.

ното проучване EMPEROR-Reduced при пациенти с левокамерна фракция на из тласкване (LVEF) над 40% категорично подкрепят употребата на empagliflozin при пациенти в целия

спектър на сър дечна недостатъчност, независимо от фракцията на изтласкване“.

на сърдеч

на относителния риск с
на
21% (вкл. 3.3% намаляване
абсолютния риск, 0,79 HR, 0,69-0,90 95% CI) в комбинира ната първична крайна цел
Доц.
Професор Анкер посочи, че по отноше ние на пациентите със СНзФИ, в пър вичната крайна точка на EMPERORPreserved се наблюдава значителен положителен резултат при първични те хоспитализации поради сърдечна не достатъчност, които са сигнификантно намалени, а също така и при цялостната хоспитализация поради СН. В заключение проф. Анкер обобщи: „Тези резултати заедно с данните от клинич кар диология „УМБАЛ Св. Георги“, Меди цински университет Пловдив, предста ви темата за ефективността на новите Препоръки и основните предизвикател ства пред лекарите по отношение на па циентите със СНзФИ и СНнФИ. „Най-голямото предизвикателство е СНзФИ, където освен обичайните пока затели и белези, както и фракция на из [www.medmag.bg ] 39
Мария Токмакова, Клиника по

тласкване, вече се проследяват и други показатели и биомаркери, а също така се прави и по-задълбочено ехографско из следване“, отбеляза доц. Токмакова и ко ментира, че в Препоръките има разлики между трите категории – СН с леко на малена ФИ, СНнФИ и СНзФИ, както и фе нотипове, които са добре очертани „В най-актуалните Американски Ръко водства за лечение на СН, в категори ята СН с леко редуцирана ФИ вече има ме подредба по нов фенотип, където SGLT2 инхибиторите са категория 1b, а ACEi, ARB, ARNI, MRA и основаните на доказателства бета блокери са кате гория 2b“, посочи доц. Токмакова. Доц. Токмакова обобщи, че кратката ха рактеристика на empagliflozin включва лечение на възрастни пациенти с хро нична сърдечна недостатъчност, кое то към момента го прави единственият

ското дружество по кардиология (ESC) (2020-2022), председател на Европей ската асоциация за СН (2018-2022), про фесор по кардиология в Белградския медицински университет. Проф. Сефе рович представи как най-добре могат да бъдат приложени Препоръките на Европейското дружество по кардиоло гия и Европейската асоциация за СН в грижите за пациентите. „Много е важно за всички нас да раз берем, че Европа не е хомогенна. Дру жеството на кардиолозите в Бълга рия има изключително значимо място в рамките на Европейското дружество по кардиология, а дейността му може да бъде разглеждана като една от най-важните за развитието на кардио логията в Европа“, подчерта в началото на своето изложение проф. Сеферович. Той припомни на аудиторията, че през 2019 г. за първи път се прави обобщен преглед на разпространението на сър дечната недостатъчност в Европа, в който са включени статистики

състояние, което обхваща широк спек тър от различни фенотипове. Тези припокриващи се фенотипове на СН се влияят от различни модификатори на заболяването и различни съпътства щи заболявания, което в много случаи прави лечението на заболяването из ключително сложно“, отбеляза проф. Сеферович.

Той сподели, че в последните две годи ни големите дружества по кардиология разработват Препоръки3, в които SGLT2 инхибиторите са разглеждани като ос новно лечение на СНзФИ, но също и като приложение при различните фено типове на СН.

презентация на проф. д-р Петър Сеферович, вицепрезидент на Европей

на СН - 17.20 на 1000 души. В това проучване обаче не е по ставено ясно разделение между СНзФИ и СНнФИ. „ За нас е изключително важно да зна ем, че сърдечната недостатъчност е

„През 2018 г. Асоциацията по СН към ESC представя Препоръки, в които за пръв път се посочва, че SGLT2 инхиби торите могат да бъдат прилагани и при СНнФИ при пациент без диабет, а не само при пациент с диабет. Резул татите от клиничното проучване EMPEROR-Reduced при СНнФИ показват намаление на комбинирания относи телен риск от сърдечносъдова смърт или хоспитализация поради сърдечна недостатъчност при тези пациенти, но също така отчитат положител ни резултати във вторичната крайна цел, които сочат отчетливо подобре ние“, отбеляза експертът. По отношение на клиничното проучва не EMPEROR-Preserved проф. Сеферо вич заяви: „За първи път в човешка та история има медикамент, който оказва положително влияние върху СН зФИ и хоспитализациите поради СН. От съществено значение е да намерим най-добрия начин как да го приложим в реалната практика“ В края на форума проф. Сеферович ка тегорично подчертава: „Вече същест вува медикамент с изключителни въз можности, който подобрява живота на пациентите, не се нуждае от ти триране и има незначителни стра нични ефекти. Вярвам, че основната ни цел е да намерим начин възможно

лекарствен продукт с тази индикация. „По отношение на СН empagliflozin е по казан при възрастни пациенти за лече ние на хронична сърдечна недостатъч ност (ХСН). Това ни дава възможност сега да можем да предложим лечение на всички пациенти със СН, без да се ин тересуваме от фракция на изтласква не“, заключи тя. Сателитният симпозиум завърши с он лайн
налните Дружествата
кардиология2 В този период средната годишна забо леваемост от СН е била
разпространение
от нацио
по
3.2, а средното
40 І Medical Magazine | ноември 2022

най-бързо да включим използването на SGLT2 инхибиторите и еmpagliflozin в нашите страни и да помогнем на паци енти със СН да живеят по-дълго и да се чувстват по-добре“. ЗА ПРОУЧВАНИЯТА ЗА СЪРДЕЧНА НЕ ДОСТАТЪЧНОСТ EMPEROR 4,5 Двете проучвания EMPEROR (EMPagliflozin outcomE tRial in patients with chrOnic heaRt failure) Фаза III за хронична сърдечна не достатъчност са рандомизирани, двойно слепи изпитвания, които изследват ефек та на empagliflozin, приеман веднъж днев но в сравнение с плацебо при възрастни пациенти със СН със запазена или нама лена фракция на изтласкване при пациен ти с и без захарен диабет тип 2, които са на лечение с обичайна терапия:

• EMPEROR-Reduced [NCT03057977] из следва профила на безопасност и ефи касност на empagliflozin при пациенти с хронична сърдечна недостатъчност с намалена фракция на изтласкване (HFrEF).

o Първична крайна цел – съвкупност от анализирани поотделно: време до на стъпване на сърдечно-съдова смърт или хоспитализация поради сърдечна недостатъчност o Брой на пациентите: 3 730 o Финализиране на проучването: 2020 г. o Link to lay summary • EMPEROR-Preserved [NCT03057951] из следва безопасността и ефикасността на empagliflozin при пациенти с хронич на сърдечна недостатъчност със запазе

на фракция на изтласкване (HFpEF).

o Първична крайна цел – съвкупност от анализирани поотделно: време до пър ва проява на сърдечносъдова смърт или хоспитализация поради сърдечна недостатъчност

o Брой пациенти: 5 988 o Финализиране на проучването: 2021 г.

ЗА ПРОГРАМАТА EMPOWER Програмата EMPOWER е създадена от Boehringer Ingelheim, за да изслед ва въздействието на empagliflozin вър ху основните клинични сърдечно-съдо ви и бъбречни резултати в спектъра от сърдечно-съдовите, бъбречните и ме таболитните състояния. Тези състоя ния са водещата причина за смъртност в световен мащаб и съставляват до 20 милиона смъртни случая на година6 Чрез програмата EMPOWER Boehringer Ingelheim работи за подобряване науч ните познания за тези взаимосвързани системи и в посока създаване на тера певтична грижа, която предлага инте грирани ползи за част от органите в чо вешкото тяло. Програмата EMPOWER се състои от осем клинични проучвания и две проучвания от реалната клинична практика. EMPOWER потвърждава дъл госрочния ангажимент на Boehringer Ingelheim за подобряване на резулта тите при пациенти със сърдечно-съдо ви, бъбречни и метаболитни състояния. Програмата EMPOWER е най-всеобхват ната и най-обширна клинична програ ма за SGLT2 инхибитор, провеждана до този момент, с участието на повече от 400 000 възрастни пациенти.

ЗА СЪРДЕЧНАТА НЕДОСТАТЪЧНОСТ (СН) Сърдечната недостатъчност е прогре сивно, инвалидизиращо и потенциал но животозастрашаващо състояние, което настъпва, когато сърцето е с на рушена помпена функция и не може да осигури необходимата циркулация, за да отговори на нуждите на органи зма за оксигенирана кръв или, когато, за да направи това се изисква увели чен обем на кръвта, което води до нат рупване на течност в белите дробове и периферните тъкани7. СН засяга над 60 милиона души по целия свят, и техният брой се очаква да нарасне със застаря ването на населението. Заболяването е широко разпространено сред паци енти със захарен диабет 8, но е важно да се знае, че приблизително полови ната от всички хора със сърдечна не достатъчност не са диагностицирани със ЗДТ29

ЗА EMPAGLIFLOZIN

Empagliflozin е перорален, приеман вед нъж дневно, високо-селективен инхи битор на натриево-глюкозния котранс портер 2 (SGLT-2) и първият одобрен за употреба медикамент за лечение на ЗДТ2, в чиято продуктова информация има включени данни за понижаване на риска от сърдечно-съдова смърт10 На 21 юни 2021 г. Европейската коми сия издава разрешение за употреба на empagliflozin за лечение на възрастни пациенти със симптоматична хронична сърдечна недостатъчност (ХСН) с нама лена фракция на изтласкване (систолна сърдечна недостатъчност)11

7 American Heart Association. What is Heart Failure? Available at: https://www.heart.org/en/health-topics/heart-failure/what-is-heart-failure. Accessed: June 2021.

8 Yancy CW, Jessup M, Bozkurt B, et al. 2013 ACCF/AHA guideline for the management of heart failure: a report of the American College of Cardiology Foundation/ American Heart Association Task Force on Practice Guidelines. J Am Coll Cardiol. 2013;128(16):e240–e327.

9 Suskin N, McKelvie RS, Burns RJ, et al. Glucose and insulin abnormalities relate to functional capacity in patients with congestive heart failure. Eur Heart J. 2000;21:1368–75. fraction. Int J Nephrol. 2011;2011:634903.

10 Jardiance® (empagliflozin) EU SPC 2022.

11 Marketing authorisation. Accessed: June 2021

ИЗПОЛЗВАНА ЛИТЕРАТУРА:
ESC
The
Atlas:
3 ESC
1
Heart failure long-term Registry 2
Heart Failure Association
Heart Failure Epidemiology and Management Statistics 2019
Guidelines for the diagnosis and treatment of acute and chronic HF/ 2022AHA/ADD/AHSA/ Guidelines for The Management of HF2021 4 ClinicalTrials.gov. EMPagliflozin outcomE tRial in Patients With chrOnic heaRt Failure With Preserved Ejection Fraction (EMPEROR-Preserved). Available at: https://clinicaltrials.gov/ct2/show/NCT03057951. Accessed June 2021. 5 ClinicalTrials.gov. EMPagliflozin outcomE tRial in Patients With chrOnic heaRt Failure With Reduced Ejection Fraction (EMPEROR-Reduced). Available at: https://clinicaltrials.gov/ct2/show/NCT03057977. Accessed June 2021.
6 GBD 2015 Mortality and Causes of Death Collaborators. Global, regional, and national life expectancy, all-cause mortality, and cause-specific mortality for 249 causes of death, 1980–2015: A systematic analysis for the Global Burden of Disease Study 2015. The Lancet. 2016; 388(10053):1459–544.
SC-BG-01379
[www.medmag.bg ] 41

Вирусен хепатит А - нов

ЕТИОЛОГИЯ Хепатитният А вирус (HAV) има сферична форма с диаметър 2728 nm. Класифициран е в семей ство Picornaviridae, първоначално в рода Enterovirus, поради което и до днес е ясно, че хепатит А е по при рода вирусна инфекция с тропизъм на вируса към чернодробните клет ки. Впоследствие поради своите ха рактерни свойства е обособен в от делен род Hepatovirus, където той е единствен член. Съществува само един серотип на HAV, като на базата на секвениране на генома на вируса са идентифицирани четири генотипа при хората[2,4,5]. Геномното секвениране на вируса рядко се прави при

Репликацията на HAV се осъществява изключително в клетките на черния дроб, в резултат на което нови вирус ни частици се секретират в жлъчка та през каналикуларната система. Ви русът се отделя с изпражненията на инфектираните лица, една до две седмици преди и най-малко една седмица след началото на първите симптоми на болестта. Това е пери одът в който болния е най-заразен за околните. Увреждането на хепатоци тите се изразява в дифузен възпали телен процес на черния дроб, хепато целуларна некроза

ранните стадии на болестта хисто логично се установяват и регенера торни процеси. Точният механизъм на чернодробното увреждане не е напълно изяснен. Повечето експе риментални модели подкрепят не цитопатичния механизъм на чернод робните увреждания с участието на имунни механизми в лизата на хепа тоцитите. Подобни са и данните за другите остри вирусни хепатити[5] КЛИНИЧНА КАРТИНА И ЛАБОРАТОРНИ ПОКАЗАТЕЛИ Хепатит А е остро самоограничава що се заболяване, което рядко може да доведе до смърт. Възможни са т. нар. Фулминантни форми, но те за щастие са изключително редки. В на шаите клиники в които се лекуват деца и възрастни от хепатит А сме на блюдавали само две такива форми за период от 12 години, едната при 4 годишно дете, като и двете завър шиха с оздравяване на болните. Ин кубационният период е сравнително дълъг, от 15 до 45 дни. Клинично то протичане варира от асимптомни, инапарентни форми, най-често в дет ска възраст, до иктерични, с холеста за или фулминантни форми, особено

42 І Medical Magazine | ноември 2022
поглед
заболяване В. Велев СБАЛИПБ „Проф. Ив. Ки ров“, Медицински универ ситет - София
върху познато
хора, тъй като няма значение за клиничното про тичане. Това високоспециализирано изследване има за цел да докаже, разпространението на вируса чрез методите на молекулярната епиде миология. До скоро то не се праве ше в България, но екипът на виру солози от НЦЗПБ и нашата болница започна подобни опити чрез работа върху вирус на деца с вирусен хепа тит А (ВХА)[2]. Вирусът на хепатит А (HAV) е открит и описан през 1973 г., като експерименталното заразява не на човекоподобни маймуни мармозети показва моделите на увреждане на хепатоцита, клиничното протичане и дори голяма час от съвременното познание за молекулярните меха низми на имунитета срещу вируса. Постепенно се разработват серологични и молекулярни те стове за диагностика, както и основни профилактични мерки за предпазване от заразяване, в това число активна и пасивна имунизация. Кулминацията на този процес е разработването и лицензирането на ефективни ваксини. Задължителни или препоръчителни ваксини срещу хе патит А са включени в имунизационните календари на много страни по света, влючително и в нашата, където все още е препоръчителна[1,2,8]
и мононуклеарни възпалителни инфилтрати. Може да се наблюдава уголемяване и на слез ката. Чернодробното увреждане е по механизмите на директно засяга не на хепатоцитите с рязко повишава не нивата на трансаминазите в кръв та, влошена чернодробна функция с понижени нива на серумни белтъци (основно албумин и някои фактори на кръвосъсирването), както и с холеста за – с повишени нива на серумния би лирубин и поява на различен по ин тензивност иктерен синдром. Успоредно с тези промени, още в БАКТЕРИАЛНИ И ВИРУСНИ ИНФЕКЦИИ
ПАТОГЕНЕЗА

при възрастни пациенти с подлежащи чернодробни заболявания. Продро мална фаза на болестта се наблюдава при повечето пациенти с жълтеница. Продъжителността й е около 4-5 дни. Има обща слабост, гадене, повръща не, намален апетит, тежест и болки в дясното подребрие и епигастриума. Катарални прояви се срещат в макси мум една четвърт от болните, често придружени със субфебрилитет, ос новно при деца. При възрастни макар и рядко, за ден-два в началото на за боляването температурата може да се повиши над 380С, но това е изклю чение. В края на продромалния пери од, 1-2 дни преди появата на иктера, урината потъмнява, а изхожданията стават светли (ахолични).

Появата на жълтеница, заедно с тъм ната урина поставя началото на ик терния период. Нарастването на жълтеницата по интензитет се съ провожда с отслабване на продро малните симптоми и подобряване на субективното състояние. Въпреки, че в този период субективното със тояние се подобрява, стойността на чернодробните трансаминази ряз ко нараства. Тоест това е моментът на най-сериозен разпад на хепато цитите. Черният дроб е увеличен на 1-3 сm под ребрената дъга, като по върхността му е гладка, има заоблен ръб и плътно-еластична консистен ция. При палпация можр да е чувст вителен. При около половината от болните е увеличена и слезката. Ик теричният стадий е средно 5-8 дни; по-бързо преминава при деца. В слу чаи на задебелена стена на жлъчния мехур, т. нар. реактивен акалкулозен холецистит, обикновено хепатитът, особено иктерната форма протичат по-бавно и затегнато, а към терапи ята не рядко се добавят и антибио

тици. Подобни случаи сме описва ли и ние при деца[7]. Заболяването протича в лека (70%) и средно теж ка форма (25%), а тежките форми са рядкост (5%). Критериите за тежест са клинични и биохимични. Реконва лесцентният период се характеризи ра с постепенно изчезване на симп томите. Той продължава 2-5 месеца, като продължителността му зависи от тежестта на заболяването. Услож ненията са редки – холангит, холеци стит, автоимунна тромбоцитопения, агранулоцитоза[3,6,8]

Чернодробното възпаление при хе патит А се най-често се идентифи цира по увеличените стойности на аминотрансферазите - аланин ами нотрансфераза (ALT) и аспартат ами нотрансфераза (AST), както и на га

ма-глутамилтранспептидазата (GGTР). Най-показателни са увеличе ните нива на AST и ALT – 4-100 пъти над нормалните стойности. При ик теричните форми - увеличен били рубин, предимно за сметка на ди ректната му фракция. Умерено повишение се наблюдава при стой ностите на холестазните ензими (AP) по-сериозно при т.нар. холостазни форми. Удължаването на протромби новото време и значителното нама ление на серумния албумин предпо лагат по-тежко протичане. Хепатит А вирусната инфекция се потвържда ва чрез доказване на специфични антитела. Анти-хепатит А вирусни ят имуноглобулин М (anti-HAV IgM) е наличен при появата на клиничните симптоми, нивото му остава високо в продължение на 4-8 седмици. Обик новено изчезва към 4–6-ти месец, но понякога се задържа и по-дълго. Ан ти-хепатит А вирусният имуноглобу лин G (anti-HAV IgG) се открива малко след появата на anti-HAV IgM и стой

ностите му се увеличават успоред но с понижаването на нивата на antiHAV IgM. Появата им е индикатор за наличие на хуморален имунитет, който може да бъде придобит, как то след инфекция с HAV, така и след имунизация. IgG антителата (anti-HAV IgG) персистират до живот и предпаз ват от повторна инфекция. Директ ният маркер за хепатит А вирусна ин фекция е установяването на хепатит А антиген (HAАg) във фекалиите, но рядко има диагностично значение. Златният стандарт за доказване на диагнозата остава наличие на antiHAV IgM в серума. Виремията про дължава краткотрайно според някои автори, до 3-5 дни, но в наши проуч вания с деца сме доказвали виремия и до 11 ден[1,3,5,6]

ЛЕЧЕНИЕ Лечението е симптоматично. Спе цифична антивирусна терапия липс ва. Хоспитализация е показана за па циенти със средно-тежка или тежка, както и с фулминантна форма на хе патит А. Според новите стандарти специални промени в диетата не са необходими, важно е приемането на достатъчно течности. Препоръчва се единствено намаляване на физиче ската активност за около 15-20 дни и задължително въздържане от ка къвто и да е алкохол минимум за ме сец[3,4,6,8] ПРОФИЛАКТИКА Общите предпазни мерки включват добра лична и обществена хигиена, миене на ръцете, контрол на питей ната вода и храните. Специфичната профилактика за хепатит А се състои в използване на хепатит А вирусен имуноглобулин IG, което напоследък почти загуби своето значение и хепа тит А вирусна ваксина [3,9]

Epidemiology, Natural History, Unusual Clinical Manifestations, and Prevention. Gastroenterol Clin North Am. 2020 Jun;49(2):191-199. 7. Velev V, Popov M, Tomov L, Golemanov B. Involvement of the gallbladder in the course of viral hepatitis A in childhood. Trop Doct.

2019 Oct;49(4):271-273.

8. Langan RC, Goodbred AJ. Hepatitis A. Am Fam Physician. 2021 Oct 1;104(4):368374.

9. Wasley A, Fiore A, Bell BP. Hepatitis A in the era of vaccination. Epidemiol Rev. 2006;28:101-11.

[www.medmag.bg ] 43
ИЗПОЛЗВАНА ЛИТЕРАТУРА: 1. Велев В. Вирусен хепатит А-атипично протичане и екстрахепатални прояви. Обща медицина, 2020, 22 (6):82-85. 2. Голкочева-Маркова Е., М. Попов, Р. Йорданова, Д. Велчева, В. Велев. Виремия при деца с вирусен хепатит А. XI Национален Конгрес по инфекциозни болести, 08-10.10.2020, София. 3. Мангъров А. Хепатит А – съвременно състояние и проблеми. Medinfo, 2010, 10, 11-13. 4. Попов Г., М. Баймакова, М. Карчева, и съавт. Хепатит А вирусна инфекция: обща характеристика и превенция,. Обща медицина,
5. Теохаров П., М. Кожухарова, Т. Червенякова . Хепатитни вируси и хепатити. В: Клинична вирусология под ред на Ст. Дундаров, София, Медицина и физкултура
6.
2018, бр. 2,. 68-75.
2006, 214-233.
Abutaleb A, Kottilil S. Hepatitis A:

Инфекциите на дихателните пътища се делят на горни и долни. Инфекциите на горните дихателни пътища биват на стинки, синузити, фарингити, епиглотити и ларингот рахеити. Най-често се причиняват от вируси, в това число, Rhinoviruses, респираторен синцитиален вирус [respiratory syncytial virus (RSV)], Parainfluenza viruses, Adenoviruses, но могат да бъдат и с бактериална гене за – Heamophilus influenzae type b и др. Бактериалния фарингит най-често се причинява от представители от рода Streptococcus pyogenes[1]. Инфекциите на долните дихателни пътища биват брон хиолити, бронхити и пневмонии. Отново инфекцията може да бъде с бактериална или вирусна генеза. От вирусите, най-честите причинители на заболяване са вирусът на грипа (Influenza viruses), Корона вируси (SARSCoV-1 и SARS-CoV-2), респираторен синцитиален вирус [respiratory syncytial virus (RSV)], Parainfluenza viruses, Adenoviruses. От бактериите най-честите патогени са Streptococcus pneumoniae, Mycoplasma pneumoniae, Klebsiella pneumoniae, Streptococcus pyogenes, Staphylococcus aureus, Haemophilus influenzae[1].

Патогените навлизат в организма посредством инха лация, аспирация или по хематогенен път. Патогенът се размножава върху епитела на дихателните пътища, прониква в клетките и това води до възпаление, по вишaва се мукозната секреция и се нарушава мукоци лиарната функция. При тежък бронхиолит възпаление то и некрозата на епитела могат да блокират малките дихателни пътища, което води до обструкция на диха телните пътища[1] Природата предоставя много оръжия за борба с пато гените, причиняващи респираторни инфекции. Един такъв представител е екстрактът от Радикс Исатидис (Radix Isatidis). Radix Isatidis притежава разно образни активни съставки, които включват флавоноиди, фе нилпропраноиди, аминокиселини, нуклеозиди, сте роли, сяра-съдържащи алкалоиди и много други. Ан тибактериалните и антивирусните

свойства на Radix Isatidis се дължат предимно на водоразтворимите със тавки[2] Вирусите действат посредством директна инвазия в епителните клетки на респираторната лигавица, ре плицират се вътре в клетката и резултатът от това е деструкция на епителната клетка. Противовирусните свойства на Radix Isatidis се осъществяват по няколко механизма. Билката притежава мощен цитопротекти Комбинацията от Китайската и Африканската медицина в борбата с вирусните и бактериалните инфекции Острите респираторни заболявания са проблем, който съществува от много години и цял свят се бори с тях. Най-честите причинители на този тип заболявания са бактерии и вируси. Много често тези заболявания са с ха рактеристика на епидемии (най-често вируса на грип) или пандемии (вирусът на SARS-CoV-2). Инфекциите на ди хателните пътища могат да протекат с различна клинична картина – от умерени до тежки, дори животозастраша ващи. Световната медицина се опитва от години да намери и иновативни
активно лечение на пнев
44 І Medical Magazine | ноември 2022
начини за справяне с тях. Д-р Мария Пачева бронхолог, интернист, пулмолог Началник на пулмологич но отделение на Специа лизираната болница за
мо-фтизиатрични за болявания "Д-р Никола Пенчев" – Пазарджик

вен ефект, поради факта, че активни съставки на Radix Isatidis се прикрепват към клетъчната мембрана на здрави човешки клетки, като я видоизменят[3]. По този начин блокират адхезията на вируса към клетката-гос топриемник и прекъсват инфектирането. Допълнител но, коренът предотвратява вирусната аглутинация, тъй като има директно инхибиращо действие върху при крепянето и свързването на аглутинина към клетъчни те рецептори. Това е допълнителен механизъм, кой то не позволява на вирусите да навлязат в клетките[3]. Нуклеотидите и индолните съставки в Радикс Исати дис блокират вирусната РНК и ДНК репликация, като по този начин намаляват вирусното мултиплициране[4].

Билката има доказан ефект срещу редица вируси, в това число вируса на грип (Influenza virus A, B), респи раторен синцитиален вирус, цитомегаловирус (HCMV), коксаки вирус и др.[5]

През 2003 г. в Китай се разразява епидемия от коро навирус SARS-CoV-1, причиняващ заболяването SARS (Severe Acute Respiratory Syndrome). Една от мерките, които са предприети в борбата със заболяването, е из ползването на традиционната китайска билка Радикс Исатидис (Radix Isatidis). Последвалият масов прием на екстракта от китайското население и ограничаването на разпространението на епидемията събужда инте реса на учените. През 2005 г. е публикувано проучване, което доказва, че Радикс Исатидис блокира размножа ването на SARS 1-коронавируса посредством блокира не на SARS-CoV 3CLpro-3C-подобната протеаза (3CLpro), която медиира протеолитичната обработка на репли казни полипептиди във функционални протеини и така играе важна роля във вирусната репликация[6] Обзорен анализ изследва фармакологичния ефект на екстракт от Radix Isatidis. При 33 активни съставки на екстракта и съответно 92 възможни таргет молекули на Radix Isatidis, при налични 259 подходящи таргети за повлияване на COVID-19, цели 11 таргета се оказват общи. Анализът потвърждава, че Radix Isatidis регулира IL-17, TNF (тумор некротизиращ фактор) и други сигнал ни пътища, за да потисне възпалението и свръхреак цията на имунния отговор, като по този начин ефек тивно се противопоставя на негативните ефекти от COVID-19[7] Освен противовирусни, Radix Isatidis притежава и ан тибактериални свойства. Механизмът на антибактери алното действие се обяснява с промяна в експресията на важни за бактериите протеини и фосфолипиди. Това води до разрушаване на клетъчната мембрана и смърт на бактериалните клетки[8] Radix Isatidis доказано неутрализира ефектите на бак териалния ендотоксин, посредством намаляване на

продукцията на TNF-a и IL-6[9] Екстрактът има доказан ефект срещу редица бак терии – Staphylococcus aureus, Staphylococcus epidermidis, Bacillus subtilis, E. coli, alpha Streptococcus, Pneumococcus, и др.[10]

Друг екстракт, използван от векове за лечение на на стинки от общ характер, тонзилофарингити, бронхи ти и синузити в Южна Африка, е африкански здравец (Pelagronium sidoides). Установени активни съставки в екстракта от африкански здравец са олигомерни про цианидини (OPC), фенолни киселини и силно оксигени рани кумарини (умкалин). Оксигенираните кумарини са отговорни за антибактериалната активност[11] Доказано е, че активните съставки в африканския здра вец антагонизират механизма на прикрепване на бак териалните клетки към здравия епител на дихателни те пътища, като по този начин предпазват организма от бактериални инфекции и суперинфекция на дихателна та система[12] Освен това е наблюдавано, че африканският здравец противодейства на репликацията на сезонни вируси

[www.medmag.bg ] 45

(грипни и парагрипни вируси, респираторно синцити ален вирус, човешки коронавируси, коксаки вируси и др.) и блокира действието на вирусни фактори като хе маглутинин, невраминидаза и др.[13] Друг много полезен ефект на Pelargonium sidoides е стимулирането на експекторацията, който се обясня ва с учестяване на движението на цилиите на муко цилиарната система, като по този начин се подпома гат естествените защитни и очистващи механизми на дихателната система и отделянето на задържаните секрети[14]. Съществуват множество двойно-слепи плацебо-кон тролирани клинични проучвания с общ брой на па цинети над 10 000, обследвани при различни инди кации, включително остър вирусен назофарингит, остър бронхит и остър синузит. Те доказват, че афри канският здравец намалява тежестта на симптомите и продължителността на инфекцията, както и елими нира необходимост от включване на антибиотик към терапията, което прави Pelargonium sidoides ефектив на алтернатива за лечение на тези заболявания с до

казан клиничен ефект [15,16,17]

В България, тези два екстракта могат да се открият в комбинация в продук та Stamatin. Него препоръчвам на пациентите си при първи симптоми на настинка или грип, както и за профилактика в есенно-зимния и про летен сезон. Стаматин е подходящ за възрастни и деца над 12-го дишна възраст. При първи симптоми на настинка и грип се прилага интензивната схема на прием: I-ви и II-ри ден – 2 капсули 3 пъти на ден III, IV, V и VI-ти ден – 2 капсули 2 пъти на ден VI-ми ден - 2 капсули За имуностимулация и профилактика се приемат по 2 капсули на ден. Комбинацията от клинично доказаните ефективни ек сатраки Радикс Исатидис и Пеларгониум сидоидес е из бор на лечение при първи симптоми на различни вирус ни и бактериални инфекции, както и за профилактика в рисковите периоди от годината.

Baodong Ling,

46
Medical
ИЗПОЛЗВАНА ЛИТЕРАТУРА: 1. https://www.ncbi.nlm.nih.gov/books/NBK8149/#:~:text=Pathogenesis%20is%20the%20process%20by,of%20virus%20into%20the%20environment 2. ]Research Progress of Chinese Herbal Medicine Radix isatidis (Banlangen) Wei Zhou* and Xiao-Yan Zhang 3. In vitro inhibition of influenza virus infection by a crude extract from Isatis indigotica root resulting in the prevention of viral attachment ZIFENG YANG 4. Research progress in Isatis indigotica Fort. Res. Pract. Chin. Med. 19: 51–55,2005. 5. Research Progress of Chinese Herbal Medicine Radix isatidis (Banlangen) Wei Zhou 6. Anti-SARS coronavirus 3C-like protease effects of Isatis indigotica root and plant-derived phenolic compounds 7. Network pharmacology study on the mechanism of the Chinese medicine Radix Isatidis (Banlangen) for COVID-19 Bin Yu, MM, Fei Lin, MMb, Hong Ning, MD,
MM 8. Study on
Extracts
9. Screening
chemical
10. Research
Radix
І Thermochemical
Magazine
| ноември 2022
Antibacterial Activity of Radix isatidis
and Preliminary Investigation of Their Antibacterial Mechanism
of
constituents with antiendotoxin activity from Radix Isatidis. Herald Med
Progress of Chinese Herbal Medicine
isatidis (Banlangen) Wei Zhou* and Xiao-Yan Zhang.
studies on the quantity-antibacterial effect relationship of four organic acids from Radix Isatidis on Escherichia coli growth,Kong W. Study on Antibacterial Activity of Radix
isatidis Extracts and Preliminary Investigation of Their Antibacterial Mechanism 11. Biostatistics for Medical and Biomedical Practitioners 2015, chapter 36, Pages 645-653 12. Extract of Pelargonium sidoides (EPss 7630) inhibits the interactions of group A-streptococci and host epithelia in vitro 13. The Clinician's Handbook of Natural Medicine (THIRD EDITION), 13 - Bronchitis and pneumonia Author links open overlay panelJoseph E.PizzornoND 14. Assessment report on Pelargonium sidoides DC and/or Pelargonium reniforme Curt., radix, EUROPEAN MEDICINES AGENCY 15. efficacy of a pelargonium sidoides preparation in patientswith the common cold: a randomized, double blind, placebocontrolled clinical trial Viktor g. Lizogub, md 16. Treatment of acute rhinosinusitis with the preparation from Pelargonium sidoides EPs 7630: A randomized, double-blind, placebo-controlled trial. Rhinology 2009 17. Pelargonium sidoides for acute bronchitis: A systematic review and meta-analysis Taofikat B.

Б

актериите от вида Streptococcus pneumoniae (пневмококи) са грам-поло жителни, каталаза-отрица телни коки с ланцетовидна форма, разположени по двойки и об градени с обща капсула. Притежават различни фактори на патогенност, водещи сред които са полизахарид ната капсула, която способства адхе зията и препятства фагоцитозата, както и пневмолизини, IgA1-протеази и други ензими[1,2] Пневмококите са нормални обита тели на назофаринкса при 5-40% от здравите хора, но могат да при чиняват и сериозни инфекции[3]. S. pneumoniae причиняват два типа ин фекции – неинвазивни и инвазив ни[4]. Като инвазивни се определят инфекциите, при които бактериите се изолират от клинични материали, взети от нормално стерилни анато мични области, напр. кръв, ликвор, бял дроб, плеврална и перитонеал на кухина, сърце, средно ухо, ста ви[5,6]. Към най-честите инвазивни ин фекции се отнасят остър среден отит, бактериемия, менингит, пневмония, плеврит, артрит и перикардит[5].

ЦЕЛ Да се проучат инвазивните пневмо кокови инфекции по отношение на пола и рисковите възрастови групи пациенти, сезонността и локализа цията им. Да се анализира резистент ността на изолираните щамове към антибактериални антибиотици. МАТЕРИАЛИ И МЕТОДИ Проучването включва 55 щама S. pneumoniae, изолирани от 52 паци енти с инвазивни инфекции, лекува ни в Университетска болница „Д-р Георги Странски“ – Плевен за 5-годи шен период (2017 – 2021 год.). Кул тивирането на клиничните материа ли е извършвано върху кръвен агар с 5% овнешка кръв (HIMedia, India) в

върху EMB – агар (HIMedia, India) и в течна

среда. Идентификацията на щамовете е из вършвана на база микроскопска мор фология, морфология на колониите, бърз тест с 3.5% водороден пероксид (каталазна проба), чувствителност към оптохин, както и чрез автомати зирана система VITEK-2 (bioMerieux,

France). Чувствителността на щамо вете към антибиотици е определя на чрез дисково-дифузионен метод върху агар на Мюлер-Хинтон, обо гатен с 5% овнешка кръв (HIMedia, India), в присъствие на 10% СО2 и/ или чрез определяне на минимал ни инхибиращи концентрации (MIC) чрез автоматизирана система VITEK-2 (bioMerieux, France).

РЕЗУЛТАТИ В анализираната от група домини рат пациентите от мъжки пол – 29 (55.8%). Средната възраст на пациен тите е 42.9 години (от 0 до 88 години) (Фиг. 1).

Рисковите възрастови групи са деца от 0 до 10 години – 12 (23.07%) и па циенти на възраст над 50 години – 28 (53.84%). Наблюдава се добре изра зена връзка между честотата и сезо на – доминират инфекциите в есен но-зимния период от годината – 33 (63.46%) случая (Фиг. 2).

48 І Medical Magazine | ноември 2022
10%
аеробни условия; върху шоколадов агар (HIMedia, India) в присъствие на
СО2;
обогатителна
Щамовете са изолирани от различ ни клинични материали. Най-го лям дял имат материалите от диха Проучване на инвазивни пневмококови инфекции при хоспитализирани пациенти В. Кънева1, Я. Ангелова1 , В. Едрева2 , Х. Хиткова2 , Н. Йорданова2 1Медицински университет – Плевен, Кръжок по кли нична микробиология 2Медицински университет – Плевен, Катедра микро биология и вирусология Бактериите от вида Streptococcus pneumoniae могат да бъдат част от нормалната микро флора в някои области на човешкото тяло, но могат да причиняват и тежки, застрашаващи живота на пациентите инфекции. Проучването включва 55 щама S. pneumoniae, изолира ни от клинични материали на пациенти, лекувани в УМБАЛ – Плевен за 5-годишен период. Анализират се инвазивните пневмококови инфекции по отношение на пола и възрастта на пациентите, сезонността и най-честите локализации, както и чувствителността на изо лираните щамове към антибиотици. По-предразположени към инвазивни пневмококови инфекции са пациентите от мъжки пол. Рискови групи за развитие на инфекциите са паци ентите до 10-годишна възраст и такива над 50 години. Наблюдава се по-висока честота на инфекциите през есенно-зимния сезон. Най-чести са инфекциите на белия дроб, централ ната нервна система и средното ухо. Изолираните щамове показват най-висока резистент ност към Penicillin G и сравнително добра чувствителност към макролиди и цефалоспори ни трета генерация. Не са изолирани щамове резистентни към гликопептиди. Ключови думи: Инфекции, резистентност, Streptococcus pneumoniae. БАКТЕРИАЛНИ И ВИРУСНИ ИНФЕКЦИИ

Фиг. 1

Разпределение на из следваните пациенти по декади

инфекции на окото – 3; хемо култури – 2; пунктат от синуси – 1. При трима от пациентите щамовете са изолирани от

русна инфекция при пациенти с хронична обструктивна бронхо-белодробна болест; 5 пациенти с емпинем на плеврата, 3 случая след травматични увреждания на плевра та; 3 случая на неопластични процеси на бе лия дроб; 2 случая на усложнения след пре карана белодробна туберкулоза и 7 случая на бактериална пневмония

(23.07%)

Фиг 2 Разпределение на бол ните според сезонността

[www.medmag.bg ] 49
два различни клинични материала по различ но време: в два от случаите – от ликвор и от ушен секрет на пациенти с отогенен менин гит и в един случай – от ушен секрет и ранев секрет при пациент със остър среден отит, ус ложнен с мастоидит и претърпял оперативна интервенция. В проследяваната група най-го лям е относителния дял на инфекциите на дихателната система
или бронхо-пнев мония. Инфекциите на централната нерв на система са 12
телната система, от които храчки, взети чрез транстрахеална аспирация – 11, плеврални пунктати – 8, бронхоалвеоларни лаважи – 4. Следват материали от централна нервна сис тема – ликвори, взети чрез лумбална пункция – 12; ушни секрети при инфекции на средно то ухо – 11; раневи секрети – 3; очни секре ти при дълбоки като при всички се е касаело за пневмококов
– 26 (50.0%) (Фиг. 3). От тях – 6 случая на усложнения след ви
менингит или ме
нингоенцефалит. В два от случаите е доказа на връзката между среден отит и развил се в последствие менингит. В тази група 3 от слу чаите са били с фатален за пациентите изход. Инфекциите на средното ухо и синусите зае мат трето по честота място. По-редки са били инфекциите в други анатомични области. В анализираната група само 2 от щамовете са изолирани от кръв за хемокултура, както и в

Фиг. 3 Разпределение според диагнози Фиг. 4 Резистентност към ан тибиотици на 55 щама S. pneumoniae, изо лирани от клинични материали

им са тежки основни заболявания – аспления или дисфункция на далака, хро нична обструктивна белодробна болест, хро нични сърдечни и чернодробни заболявания, диабет, имуносупресия, алкохолизъм, тю тюнопушене, индивиди с кохлеарни импланти и мозъчни шънтове[7,8,9,10]. В анализираната гру па като водещи рискови фактори се очертават хроничните респираторни заболявания, в това число ХОББ, астма и туберкулоза, както и он кологични и сърдечни заболявания. Други рискови фактори от страна на паци ентите са пола и възрастта. В разглеждана та група преобладават пациентите от мъж ки пол, данни които се подкрепят и от други автори, като се приема, че причината е влия нието на мъжките полови хормони, които по правило намаляват устойчивостта към бак териални инфекции. Интерес представля

50 І Medical Magazine | ноември 2022 БАКТЕРИАЛНИ И ВИРУСНИ ИНФЕКЦИИ двата случая се касае за пациенти с диагноза пневмония, при които обаче причинителя не е изолиран от дихателната система. Данните за резистентността на щамовете към антибиотици са представени в Табл. 1 и Фиг. 4. S. pneumoniae са с напълно запазена чувст вителност към Vancomycin, с много висока чувствителност към карбапенеми и хиноло ни. Наблюдава се увеличаване на резистент ността към цефалоспорини трета генера ция и най-високо ниво на резистентност към Penicillin G. ОБСЪЖДАНЕ (ДИСКУСИЯ) Инвазивните пневмококови инфекции са теж ки заболявания с продължителен инвалиди зиращ ефект или фатален изход[7]. Според раз лични автори главните
фактори
развитието
рискови
за

Антибиотик Чувствителни брой; % Резистентни брой; %

Penicillin G 24 (43.63%) 31 (56.36%)

Ceftriaxone 42 (76.36%) 13 (23.63%)

Erythromycin 30 (54.54%) 25 (45.45%)

Azithromycin 30 (54.54%) 25 (45.45%)

Tetracycline 36 (65.45%) 19 (34.54%)

Levofloxacin 46 (83.63%) 9 (16.36%)

Imipenem 53 (97.36%) 2 (3.63%)

Vancomycin 55 (100%) 0 (0.0%)

ва голямо проучване на Wagenvoort и съавт.[11], проведено в Норвегия за 12-годишен период и обхващащо 6906 пациенти с инвазивни пневмо кокови инфекции, в което авторите установяват, че преди въвеждането на пневмококовите ваксини PCV-7 и PCV-10 са боледували по-често мъже, а след въвеждането им боледуват по-често жени. Torres A и съавт.[12] намират, че инци дентите от инвазивни пневмококови заболявания се влияят от географска та локация, сезона, доминиращите серотипове, възрастта, коморбид ността и ваксинационния статус. Те откриват, че най-голяма е честота на инфекциите при деца под две години и възрастни над 65 години. Според Fokuda H. и съавт., децата под 5 годи ни и възрастни над 65 години имат по-висока възприемчивост към пнев мококови инфекции[13] В проучването се установява добре изразена връзка между сезона и чес тотата на инфекциите, което е в под крепа на данните от други проучва ния по отношение на сезонността[14], като някои обясняват това с по-голя

ма честота на грипни заболявания през студените месеци и приемат грипа като предразполагащ фактор за развитие на последваща пневмо кокова инфекция[15] Според Brooks G. F. и съавт.[3] най-чес тият тип инфекции са инфекциите на респираторния тракт, като пнев мококите причиняват 60% от бакте риалните пневмонии. Акцентира се на това, че само в 10-20% от пневмо ниите се наблюдава бактериемия и то в ранните стадии на заболяване то. Получените данни са в подкрепа на други автори, които намират, че най-честите пневмококови инфекции са тези на дихателната и централна нервна система[16]. Щамовете показ ват най-висока резистентност към пеницилини, умерена към цефалос порини, макролиди и тетрациклини и ниска до липсваща към хинолони и гликопептидни антибиотици, респек тивно. По данни на Brooks G. и съавт. [3], въпреки че Penicillin G е антибио тик на избор, в САЩ 15% от пневмо коките са резистентни към Penicillin G с минимални инхибиращи кон центрации >8 mg/ml. Penicillin G не се

приема за ефективен при менингит. В случаи на инфекции на централна та нервна система антибиотик на из бор е Ceftriaxone или Cefotaxime, но някои пеницилин-резистентни ща мове S. pneumoniae са резистентни и на Cefotaxime и Ceftriaxone. В проуч ването такива се оказаха 13 (23.63%) от изследваните, което подсказ ва, че при инфекции на централна та нервна система с предполагаема пневмококова етиология, емпирич ната терапия трябва да е комбини рана и задължително да включва Vancomycin. Данните относно резис тентността към антибиотици варират в различни проучвания и до голяма степен зависят от географския реги он, респективно различната честота на използване на различни антиби отици и времето, в което е правено проучването[17,18,19,20]

ЗАКЛЮЧЕНИЕ По-предразположени към инвазив ни пневмококови инфекции са паци ентите от мъжки пол. Рискови групи за развитие на инфекциите са пациен тите до 10-годишна възраст и такива над 50 години. Наблюдава се по-ви сока честота на инфекциите през ес енно-зимния сезон. Най-чести са ин фекциите на белия дроб, централната нервна система и средното ухо. Из олираните щамове показват най-ви сока резистентност към Penicillin G и сравнително добра чувствителност към макролиди и цефалоспорини трета генерация. Не са изолирани ща мове, резистентни към гликопептиди.

1. Murray P.R., Rosenthal K.S., Pfaller M.A. Medical Microbiology 7th ed., Elsevier, 2013; 199-203.

2. Forbes B. A., Sahm D. F., Weissfeld A. C. et

al. Diagnostic Microbiology, 11th ed. Mosby 2002; 298-310.

3. Brooks G. F., Carroll K. C., Butel J. S. et al. Janetz, Melnick & Adellberg’s Medical Microbiology, 26th ed. LANGE, 2013; 218-222.

4. Colman G., Streptococcus and Lactobacillus. In: Topley and Wilson’s Principles of Bacteriology, Virology and Immunity. Parker M.T., Collier L.H. (eds.) 8th Ed, Vol. 2. 1988. Mosby. 119-159

5. Centers for Disease Control and Prevention. Pneumococcal Disease. 2017. http://www. cdc.gov/pneumococcal/index.html

6. Smith A.L. Head and Neck. In: Mechanisms of Microbial Disease, Schaechter M., Medoff G., Eisenstain B.I. (eds.) 2nd Ed. 1993. Williams and Wilkins. 791-802

7. Cruickshank H., Jefferies J. M., Clarke S. C. Lifestyle risk factors for invasive pneumococcal disease: a systematic review. BMJ Open 2014; 4:e 005224. doi: 10. 1136/ bmj open – 2014-005224.

8. Burman L.A., Norrby R., Trollfors B. Invasive pneumococcal infections: incidence, predisposing factors and prognosis. Rev Inf Dis. 1985; 7 (2): 133-142

9. van Hoek A. J., Andrews N., Waight P. A. et al. The effect of underlying clinical conditions on the risk of developing invasive pneumococcal disease in England. Journal

of Infection 2012; 65 (1): 17-24

10. Talbot T.R., Hartert T. V., Mitchel E. et al. Asthma as a risk factor for invasive pneumococcal disease. N Engl Y Med 2005; 352: 2082-2090.

11. Wagenvoort G. H. J. Sanders E. A. M. , Vlaminckx B. J. et all. Sex differences in invasive pneumococcal disease and the impact of pneumococcal conjugate vaccination in the Netherlands, 2004 to 2015. Euro Surveill. 2017; 22 (10); 30481

12. Torres A., Blasi F., Dartois N. et al. Which individuals are at increased risk of pneumococcal diseases and why? Impact of COPD, asthma, smoking, diabetes, and/or chronic heart disease on community-aquired pneumonia and invasive pneumococcal

disease. Thorax. 2015; 70 (10); 984-989.

13. Fukudaa H.., Onizukab H, Nishimurac N. , Kiyoharad K. Risk factors for pneumococcal disease in persons with chronic medical conditions: Results from the LIFE Study. Int J Inf Dis. 2022; 116; 216-222.

14. Dowell S.F, Whitney G. C., Wright C. et all. Seasonal Patterns of Invasive Pneumococcal Disease. Emerg Infect Dis. 2003 May; 9(5): 574–579.

15. Weinberger D. M, Harboe Z.B., Viboud C. et all. Pneumococcal disease seasonality: incidence, severity and the role of influenza activity. Eur Resp J 2014 43: 833-841;

16. Austrian R, Pneumococcal infections. In: Bacterial Vaccines. Germanier R. (eds.) 1984. Academic Press, Inc. 257-287

17. Cillóniz C., Garcia-Vidal C., Ceccato A. et all. Antimicrobial Resistance Among Streptococcus pneumoniae. Nature Public Health Emergency Collection. Antimicrobial Resistance in the 21st Century. 2018 : 13–38.

18. Klugman P. K. Pneumococcal resistance to the third-generation cephalosporins: clinical, laboratory and molecular aspects. Int J Antimicrob Agents. 1944. vol 4. (1). 63-67

19. Schroeder M. R. and Stephens D. S. Macrolide Resistance in Streptococcus pneumoniae. Front Cell Infect Microbiol. 2016; 6: 98.

20. Sujatha S. and Praharaj I. Glycopeptide Resistance in Gram-Positive Cocci: A Review. Interdiscip Perspect Infect Dis. 2012; 2012: 781679.

[www.medmag.bg ] 51
ИЗПОЛЗВАНА ЛИТЕРАТУРА: Табл. 1. Резистентност към антимикробни агенти на 55 щама S. pneumoniae, изолирани от клинични материали

Д

ивертикулозата пред ставлява хронично бо лестно състояние, кое то се характеризира с формиране на торбо видни разширения в стената на де белото черво. С натрупването на бактерии в тези джобове могат да възникнат остри възпаления, обоб щени под името остър дивертикулит, което често е съпроводено с макроили микроскопска перфорация. Под усложнен дивертикулит се разби рат случаите, когато са налице аб сцес или флегмон, формирана фисту ла, стриктура, чревна обструкция или перитонит[11]. Остър дивертикулит се среща

тюнопушене, физическа активност, хранителни навици и особено консу мацията на фибри са свързани с раз витието на дивертикулит. Основните причини и рискови фактори за разви тие на дивертикулоза са тясно свър зани с приема на фибри с храната и възрастта. Повишеният прием на фи бри редуцира значително риска от поява на дивертикули. Фибрите по вишават теглото на изпражненията, повишават транзиторното време на колона и намаляват вътрелуменно то налягане. Появата на дивертику ли е свързана и с някои структурни и функционални особености на ко лона. Дивертикулозата, асоциирана с хипермотилитет, се характеризира със задебеляване на мускулния слой на

ПАТОГЕНЕЗА Смята се, че стаза или обструкция в областта на шийката на дивер тикула могат да доведат до бак териален свръхрастеж и локал на тъканна исхемия - промени, сходни с тези, които се наблюда ват при апендицит. Най-често изо лираните бактерии са анаероби - Bacteroides, Peptostreptoccocus, Clostridium, Fusobacterium, Грам-не гативни аероби (Е. coli) и факулта тивни Грам-позитивни бактерии (напр. стрептококи). Дивертикули тът може да се усложни с перико личен абсцес, флегмон, фистула, стриктура, обструкция или пери тонит. Генерализиран перитонит може да се развие в резултат на руптура на перидивертикуларен аб сцес или от свободна руптура на невъзпален дивертикул [11] . Високо степенна чревна обструкция

честота на дивертикулоза[20].

52 І Medical Magazine | ноември 2022
ване от първи епизод на дивертику лит, 16-19% от пациентите ще имат рецидив след 9 години и 15 години[2] ЕТИОЛОГИЯ Дивертикулит е най-честата хирур гично лекувана болест на дебело то черво след карцинома в индус триално развитите
при ~4% от пациентите с ди вертикулоза, а 30% от тези пациенти ще имат персистиращ или повтарящ се дивертикулит[1]. След възстановя
общества. Някои фактори на начина на живот като тю
стената и повишено вътрелумен но налягане,
ране на
през анатомично „слаби” места
стената. Друга въз можна причина за поява на диверти кули е слабост на стената на колона, която се среща в напреднала възраст
което причинява херни
мукозата
на
или при някои заболявания (напр. болести на съединителната тъкан) [11]. Синдромите на Ehlers-Danlos и на Marfan са асоциирани с повишена
може да бъде причинена от абсцес, оток или образувана стриктура в резул тат на рекурентни атаки от дивер тикулит [21] КЛАСИФИКАЦИЯ НА ДИВЕРТИКУЛИТА ПО HINCHEY[22] 1 ст. Малки, ограничени периколон Остър дивертикулит и рецидивиращо дивертикуларно заболяване Й. Ценовски I-ва хирургическа клини ка УМБАЛСМ "Н. И. Пирогов" - София Диагностичният подход на пациенти със съмнение за остър дивертикулит остава дискусио нен. Ако лечението на неусложнен остър дивертикулит, абсцес и фекален перитонит вече е добре определено, все още се обсъжда спешното хирургично или медицинско лечение на хе модинамично стабилни пациенти, които са с интраперитонеален въздух или течност без не контролиран сепсис. Освен това индикациите за лапароскопския лаваж все още не са добре установени. Известно е от години, че епизодите на остър неусложнен дивертикулит може да предизвика болезнени, повтарящи се симптоми на червата, известни като симптоматично не усложнено дивертикуларно заболяване и дивертикулозна болест на червата. Лекуват се ме дикаментозно и чрез диета, насочени към облекчаване на симптомите. Възможно е мястото на операцията да бъде обсъдено. БАКТЕРИАЛНИ И ВИРУСНИ ИНФЕКЦИИ

ни и мезентериални абсцеси. 2 ст. Големи абсцеси, често ограни чени в малкия таз. 3 ст. Перфорирал дивертикулит в случаите, когато перидивертикула рен абсцес руптурира и причинява пурулентен перитонит. 4 ст. Руптура с невъзпалени и необ турирали дивертикули в свободна та перитонеална кухина с фекална контаминация - т.нар. свободна руп тура. КЛИНИКА Дивертикулозата е състояние, кое то рядко има клинична симптома тика. Открива се често като случай на находка при провеждането на изследвания по друг повод. Поява та на възпаление или възникване то на усложнения, могат да бъдат причина за насочено търсене на за боляването. По-голямата част от па циентите с дивертикулоза са без оплаквания или с минимални симп томи, включващи подуване на коре ма, повишено газообразуване, нере довна дефекация, болки в корема. Други симптоми са гадене, безапе титие, обстипация, изтъняване на изпражненията или диария, кое то налага изключване на неопла зия. Симптомите на острия диверти кулит е са остра болка в ляв долен квадрант на корема, фебрилитет, левкоцитоза с олевяване и повишен CRP. Асоциирани симптоми са гаде не, повръщане, констипация, диа рия, дизурия, опипваща се туморна маса, клинично локализирана рез истентност на коремната стена. Ус ложненият дивертикулит може да се прояви с пневматурия или изтичане на фекулентно съдържимо от влага лището - клинични прояви на офор мени фистули. От прегледа - палпаторна болезне ност в ляв долен коремен квадрант, палпиращо се уплътнение в зоната. Белези на локален перитонит са де фанс и позитивен симптом на Блум берг. Палпираща се болезнена ту морна формация е суспектна за флегмон или периколичен абсцес. Интоксикация и прояви на перито

неално дразнене насочват към феку лентен перитонит [11]

ДИАГНОСТИКА Наскоро беше публикуван преглед, който стигна до заключението, че „клиничната оценка е недостатъч но точна“ и „съгласувана необходи мостта от образна диагностика в до пълнение към клиничната диагноза, за предпочитане чрез КТ“[4].

Изследва се кръв за ПКК, ДКК, био химия и анализ на урина, доказващи възпалителния процес.

От извършената обзорна рентге нография на корем по спешност се търсят усложненията, а именно сво боден газ под диафрагмата, указващ наличието на перфорация на дивер тикула на колона от възпалителния процес. Освен това, може се диаг ностицира чревна непроходимост. Най-често се откриват дилатация на тънко и дебело черво, променена плътност на меките тъкани, предпо лагаща формирането на абсцес [3] .

Иригография - представлява кон трастно рентгеново изследване на дебелото черво. Контрастната ма терия изпълва лумена на червото и на този фон могат ясно да се отгра ничат контурите на дивертикулите. Подпомага поставянето на диагно зата, но е противопоказана в случа ите на остър дивертикулит и перфо рация. Важна роля в диагностиката играе и коремният ултразвук, който в ръ цете на опитни изследователи може да се използва като чувствителна и специфична диагностична техника. Може да се визуализира свободно подвижна течност в коремната ку хина, параколичен абсес. Ултразву ковото изследване може да покаже задебеляване на чревната стена и кистични маси. Въздухът в червата и в стомаха не позволява огледът им с помощта на ултразвук. Компютърната томография (КТ) [19] с перорален или ректален и ин

травенозен контраст е метод с висо ка чувствителост и специфичност и позволява оценка на локалното раз пространение на болестния процес и трябва да се счита за изследване на дебелото черво от първа линия, тъй като предлага по-пълна оцен ка на неусложнени и сложни форми. Всъщност тежестта на дивертикули та се оценява с използването на мо дифицирани критерии на Hinchey, базирани на КТ изображения и пре доперативни констатации. Като се имат в предвид ролята на КT скани ране (точна диагноза/усложнен сре щу неусложнен дивертикулит/ло кализация на болестта в колона), изглежда разумно да се предложи КT сканиране на всички пациенти, за които се подозира, че имат остър дивертикулит. КТ изследване има предимството да оцени състояние то на чревната стена и мезентериу ма. Най-често откриваните КТ про мени при пациенти с дивертикулит са задебеляване на чревната стена над 4 mm, ангажиране на мезенте риалната мастна тъкан, възпаление на периколонната мастна тъкан или периколичен абсцес [5]. Може да се предложи операция със сигмоидек томия в случай на изтичане на кон траст в коремната кухина и второ при съмнение за карцином.Наход ките от КТ също са от съществено значение за информиране на па циентите за риска от рецидив след първи епизод на остър дивертику лит. За да бъде най-точно описател ното изобразяване, КТ трябва да се направи в рамките на 48 часа след появата на коремните симптоми. Виртуална колоноскопия - компю търна томография с насочено из следване на дебелото черво. Благо дарение на специална компютърна обработка се получава триизме рен образ на червото. Ролята на ко лоноскопията сега се променя и из глежда важна за пациентите след остър епизод на дивертикулит, за па циенти с трайни симптоми и за па циенти на възраст над 50 години[8] Колоноскопия обикновено се избяг ва, когато се подозира остър дивер

[www.medmag.bg ] 53

тикулит. Ендоскопско изследване се препоръчва след като острият ста дий затихне - обикновено след около 6 седмици, за да се изключи или по твърди наличието на други заболява ния - синдром на раздразненото чер во (IBD), карцином и др.[6] ДИФЕРЕНЦИАЛНА ДИАГНОЗА Диференциалната диагноза на ди вертикулита включва остър апенди цит, уроинфекции, гинекологични заболявания, перфорирал дебе лочревен карцином, улцерозен ко лит, болест на Крон, инфекциозен колит и др.

УСЛОЖНЕНИЯ[6]

• Илеус - около 10% от дебелочрев

ните обструкции.

• Абсцес - 23% от интраабдоминал

ните абсцеси се дължат на диверти кулозна болест.

• Свободна перфорация - висок смъртен риск (до 35% от случаите).

• Фистули - в 2% от пациентите с ком плицирана дивертикулна болест.

ЛЕЧЕНИЕ[11,19] Предлаганото лечение на остър ди вертикулит зависи от физиологичното състояние на пациента, физикалния преглед, оценка на възпаленитето и изображенията от КТ сканиране. В тази ситуация откритията на КТ са съ ществените ключове за решението за неоперативно лечение на болес тта. При хемодинамично стабилни па циенти с локализация на перфора ция на дебелото черво и размер на перитонеалния въздух, интраперито неална течност и местоположение и размер на абсцес, докладвани от КТ, заедно с клинична оценка и биоло гични изследвания, ще насочат лека ря да идентифицира пациенти, които могат да бъдат лекувани неоператив но и пациенти, които се нуждаят от спешно хирургично лечение. Неопе ративното личение включва инфузии, спазмолитици, антибиотици насоче ни към анаеробната флора, аналгети ци, лед на корема, глад. Тежестта на възпалението и инфекциозния про цес определят терапевтичното пове дение. Пациенти с минимални симп

про

при вло

Тези условия отговарят на 3-4 ст. по Hinchey. Усложненията на хроничния дивертикулит, включващи фистули, стриктури и стенози (обструкция), също се третират хирургично[23]. В мо мента възприетият стандарт е пър вична резекция, асоциирана с по-кра тък период на хоспитализация и по-добра преживяемост[7].

При пациенти с перидивертику ларен абсцес влиза в съображе ние перкутанен дренаж, като осно вен определящ фактор е размерът на абсцеса. Абсцеси, по-малки от 4 сm без перитонит (1 ст. по Hinchey) могат да бъдат лекувани консерва тивно. Абсцеси с размер над 4 сm са индицирани за перкутанен дре наж под КТ или ултразвуков кон трол. Перкутанният дренаж може да селектира болните, индицирани за спешно хирургично лечение[24]

В БАКТЕРИАЛНИ И ВИРУСНИ ИНФЕКЦИИ

края на XX век са описани две нови лечения на перфориран коло нен дивертикулит-перкутанния дре

54 І Medical
Magazine | ноември 2022
и левкоцитозата в
дължение на 2 до 3 дни или
шаване
След пълно възстановяване от епи зод на остър дивертикулит хирур гичната интервенция рядко влиза в съображение, само 20-30% от слу чайте имат повторен епизод. Пре поръчва се богата на фибри диета. Хирургичното лечение влиза в съо бражение след втори епизод на ди вертикулит. Резекция се препоръч ва обикновено 4-6 седмици след излекуване на острото възпале ние. Брой, тежест и местоположе ние на епизоди на остър дивертику лит са основни ключове за оценка на мястото на избирателната опе рация. Gervaz et al[9] откриха, че при 35% от пациентите, които са имали рецидив след първоначален неус ложнен сигмоидит, дивертикулитът ще включва друг сегмент на ляво то дебело черво. Знаейки, че 93% от острия дивертикулит включват сиг моида и низходящото дебело черво, тази констатация е много важна за насочване на избирателната хирур гия, която в идеалния случай трябва да премахне всички сегменти, засег нати от дивертикулит [10] състояние е пре поръчително повторно КТ-скениране и преценка за евентуална хирургична интервенция. Индикациите за спешно хирургично лечение включват свобод на перфорация с генерализиран пери тонит, неконтролируем сепсис, висце рална перфорация, наличие на голям, недостъпен за перкутанно дрениране периколичен абсцес или липса на по добрение от провеждана в продълже ние на 3 дни консервативна терапия.
томи без прояви на тежко възпаление могат да се лекуват амбулаторно с течно-кашава диета и перорален при ем на широкоспектърни антибиоти ци - напр. комбинация от ципрофло ксацин и метронидазол за 7-10 дни. Възможни са и други схеми - метро нидазол в комбинация с трета гене рация цефалоспорин, беталактам с беталактамазен инхибитор и др. Опи оидни аналгетици не се прилагат, за щото те повишават вътрелуменно то налягане в колона. След започване на терапията да се очаква подобре ние в рамките на 48-72 ч. Ако няма по добрение, да се търси интраабдоми нална колекция. Пациенти в увредено общо състояние, с прояви на теж ко възпаление, силни болки, налага щи приложение на опиоидни аналге тици и такива, при които перорален прием на медикаменти е невъзмо жен, се хоспитализират. Първоначал но се преустановява приема на хра ни и течности през устата. При данни за чревна обструкция е необходимо поставяне на назогастрална сонда. За конпенсация на загубите се включ ват нтравенозни вливания на електро литни разтвори. Прилагат се широкос пектърни интравенозни антибиотици - ampicillin/sulbactam; metronidazole + цефалоспорин или piperacillin/ tazobactam, инфузии на електролит ни и глюкозни разтвори. Ако има по добрение за 48-72 ч., се продължава с диета в острия период. Антибиоти цитите може да преминат към перо рални, ако пациентът е афебрилен за 24-48 ч. и има тенденция за понижа ване на левкоцитите. При липса на по добрение по отношение на болката, фебрилитета
на общото

наж

лапароскопска техника. Ла пароскопското лечение води до по-кратък болничен престой в отде лението за възстановяване и по-кра тък болничен престой. Въпреки това, трябва да приемаме тези ре зултати с повишено внимание, като се има предвид ниският брой избра ни пациенти. Мястото на лапаро скопското лечение е все още далеч от ясно и следователно, хирурзи те трябва да останат на разумна та страна на хирургическия избор (колектомия с анастомоза ± илеос томия или операцията на Хартман), ако открият видима колонна дупка, дифузен перитонит или за пациенти с коморбидност. За хемодинамич но стабилни пациенти с перфорация на дебелото черво лапароскопска та промивка е терапевтичен из бор между консервативно лечение и сигмоидектомия. Мястото му все още не е добре определено. И тук отново, по-висококачественото пре доперативно КТ сканиране с ректа лен контраст може да доведе до ва жни находки (дифузен контраст в коремната кухина и подозрение за рак на дебелото черво), което може да показва, че промиването не би било подходящо. РЕЦИДИВИРАЩО ДИВЕРТИКУЛАРНО ЗАБОЛЯВАНЕ Преди няколко години нараства ща информация показва, че остри ят дивертикулит може да се пре върне в хронично разстройство на

червата, състоящо се от повтарящи се коремни симптоми и значител но психосоциално въздействие. Но вото изследване предполага роля за нискостепенно възпаление, сензор но-двигателно увреждане на нерви те и дисбиоза в клинична картина, която имитира синдром на раздраз неното черво (IBS) и дори възпали телно заболяване на червата[12].

За последните няколко години два хронични различни синдрома, свър зани с дивертикуларна болест са идентифицирани освен класически те представяния на дивертикулит. Първото състояние е известно като „симптоматична неусложнена ди вертикуларна болест (SUDD)“[13] или „неусложнена симптоматична ди вертикуларна болест (SYMP-DD)“[14] , а второто състояние е известно като „IBS-подобна дивертикуларна бо лест“[13,15]. В първо състояние (SYMPDD), болката е по-дълга (>24 часа), не се облекчава чрез дефекация, ло кализира се в лявата илиачна об ласт, диарията е по-честа, често е свързана с треска, с повишен брой на левкоцити, За тези случаи тряб ва да се направи CT сканиране, за да се потвърди остър дивертику лит. „IBS-подобна дивертикуларна болест” се определя от повтаряща се, краткотрайна, дифузна ниска ко ремна болка и подуване, облекчена чрез дефекация, диарията не е изя вена и биоклиничните признаци на възпаление са нормални.

Вече знаем, че около една трета от пациентите с предишен потвърден епизод на остър дивертикулит ще имат повтаряща се коремна болка и нарушен навик на червата[16]. След остър дивертикулит възпалителни ят отговор и навлизането на белите кръвни клетки вероятно ще повре дят ентералните нерви, водещи до променено разпределение на нев ропептидите и може да предизви ка висцерална свръхчувствителност (соматизация)[17]. Пациентите с ви сока соматизация могат да реаги рат на антидепресанти, когнитивно поведение или насочени към мозъ ка терапии, докато пациентите с ни сък резултат могат да отговорят на месалазин, рифаксимин или проби отици и евентуално на хирургическа намеса[14]. Разумно е да се обмисли хирургично лечение за пациентите със SYMP-DD или SUDD и за пациен тите с IBS-подобна дивертикуларна болест, показваща ниска соматиза ция, които не отговарят на консер вативно лечение. Още преди 25 го дини Moreaux et al[18] съобщават за дългосрочни много добри резултати при 82% от 72 пациенти, оперирани за хронични симптоми и предпола гат, че хроничните симптоми трябва да се вземат предвид по отношение на хирургичните показания. Хирур гичният вариант за пациенти с хро нична симптоматична дивертику ларна болест, които не реагират на консервативно лечение, изглежда има нарастващо място.

1. Peery AF, Barrett PR, Park D, et al. A high-fiber diet does not protect against asymptomatic diverticulosis. Gastroenterology. 2012;142(2):266.e1–272.e1.

2. Anaya DA, Flum DR. Risk of emergency colectomy and colostomy in patients with diverticula disease. Arch Surg. 2005;140(7):681–685.

3. Morris J, stellato TA, Lieberman J, Haaga JR. The utility of computed tomography in colonic diverticulitits. Ann Surg 1986; 204; 128-32.

4. Vennix S, Morton DG, Hahnloser D, Lange JF, Bemelman WA, Research Committee of the European Society of Coloproctology Systematic review of evidence and consensus on diverticulitis: an analysis of national and international guidelines. Colorectal Dis. 2014;16(11):866–878.

5. Hulnick DH, Megibow AL, Balthazar

EJ, Naidich DP, Bosniak MA. Computed tomography in the evaluation of diverticulitits. Radiology 1984; 152:491-5.

6. Bloomfield RS, Rockey DC, Shetzline MA. Endoscopic therapy of acute diverticular hemorrhage. Am J Gastroenterol 2001; 96:2367-72.

7. Agiste L, Barrero E, Wise L. Surgical management of perforated colonoc diverticulitis. Arch Surg 1985;120:450-2.

8. Tursi A. The role of colonoscopy in managing diverticular disease of the colon.

J Gastrointestin Liver Dis.2015;24(1):85–93.

9. Gervaz P, Platon A, Widmer L, Ambrosetti P, Poletti PA. A clinical and radiological comparison of sigmoid diverticulitis episodes 1 and 2. Colorectal Dis. 2012;14(4):463–468.

10. Ambrosetti P, Gervaz P. Laparoscopic elective sigmoidectomy for diverticular

disease: a plea for standardization of the procedure. Colorectal Dis. 2014;16(2):90–94.

11. Таков Д.,Карагьозов П.-Дивертикулоза на дебелото черво-Medinfo бр.11/2009г.

12. Strate LL, Modi R, Cohen E, Brennan MR, Spiegel MR. Diverticular disease as a chronic illness: evolving epidemiologic and clinical insights. Am J Gastroenterol. 2012;107(10):1486–1493.

13. Tursi A, Elisei W, Picchio M, et al. Moderate to severe and prolonged leftlower abdominal pain is the best symptom characterizing symptomatic uncomplicated diverticular disease of the colon. J Clin Gast roenterol.2015;49(3):218–221.

14. Spiller R. Is it diverticular disease or is it irritable bowel disease syndrome? Dig Dis. 2012;30:64–69.

15. Spiller R. Editorial: new thoughts on the association between diverticulosis

and irritable bowel syndrome. Am J Gastroenterol. 2014;109(12):1906–1908.

16. Simpson J, Neal KR, Scholefield JH, Spiller R. Patterns of pain in diverticular disease and the influence of acute diverticulitis. Eur J Gastroenterol Hepatol. 2003;15(9):1005–1010.

17. Spiller RC, Humes DJ, Campbell E, et al. The Patient Health Questionnaire 12 Somatic Symptom scale as a predictor of symptom severity and consulting behavior in patients with irritable bowel syndrome and symptomatic diverticular disease. Aliment Pharmacol Ther. 2010;32(6):811–820.

18. Moreaux J, Vons C. Elective resection for diverticular disease of the sigmoid colon. Br J Surg.1990;77(9):1036–1038.

19. Ambroseti P.-Acute left sided diverticulitis.Clin.Exp.Gastroenterol. 2016; 9;249-257

20. Ferzoco LB, Raptopoulos V, Silen W. Acute diverticulitis. N Engl J Med 1998; 338:1521-6.

21. Brook I, Frazier EH. Aerobic and anaerobic microbiology in intra-abdominal infections associated with diverticulitis. J Med Microbiol 2000; 49:827-30.

22. Schwesinger WH, Page CP, Gaskill HV III, et al. Operative management of diverticular emergencies: strategies and outcomes. Arch Surg 2000;135:558-62.

23. Salzman H, Lillie D. Diverticular disease: diagnosis and treatment. Am Fam Physician 2005; 72:1229-34.

24. Siewert B, Tye G, Kruskal J, et al. Impact of CT-guided drainage in the treatment of diverticular abscesses: size matters. AJR Am J Roentgenol 2006; 186:680-6. [Erratum, AJR Am J Roentgenol 2007; 189:512.]

[www.medmag.bg ] 55
ИЗПОЛЗВАНА ЛИТЕРАТУРА:
и

Инфекциите на централната нерв на система са редки, но някои от тях могат да доведат до трайна инва лидизация на пациентите или фата лен край. Менингитът представля ва остър възпалителен процес на меките обвивки (менингите) на глав ния и гръбначния мозък. Заболява нето протича с характерна симптома тика, включваща най-често синдром на повишено вътречерепно наляга не (главоболие, повръщане, вратна ригидност), огнищни неврологични прояви, общомозъчни и психични ув реди[1]. В зависимост от причинителя, менингитите

диагноза. 2016г. до април 2022 г. При някои от пациентите са осъществени повече от една лумбални пункции, поради което общия брой проби ликвор е 35. Директното микроскопско изслед ване е извършвано чрез оцветява не по Грам и с метиленово синьо по Льофлер. Латекс аглутинационен тест е извършван с Wellcogen Bacterial Antigen Kit, Oxoid, UK. Културелното изследване е извършвано чрез посяв ка върху шоколадов агар (10% CO2), кръвен агар (5% овнешка кръв), среда на Левин (HIMedia, India) и течна обо гатителна среда. Цитобиохимично то изследване на ликвора е извърше но в клинична лаборатория в УМБАЛ – Плевен, като референтните стой ности на основните диагностични па раметри на ликворните показатели са: Левкоцити – 0.8x10^6/l – 6x10^6/l; Белтък – 0.1-0.45 g/l; Ликворна захар –2.2-4.4 mmol/l.

стандарт в микробиологията, а имен но директна микроскопия, латекс аг лутинация, културелно изследване[1,2] Експресната и точна етиологична ди агноза е от изключително голямо зна чение за назначаването на адекватна антибактериална терапия и за изхода от заболяването. ЦЕЛ Да се анализират всички случаи на бактериологично доказани менин гоенцефалити при пациенти, леку вани в УМБАЛ „Д-р Георги Странски“

56 І Medical Magazine | ноември 2022
се разделят на 3 типа –бактериален, вирусен и гъбичен[2] За провеждане на микробиологич но изследване при съмнение за ме нингит най-често се изследва проба ликвор от пациента, взета чрез лум бална пункция, но могат да се изслед ват и кръв, назофарингеален секрет или материал от обривите, каквито се наблюдават при някои от инфекции те на ЦНС.
ду
ване,
аглутинационен тест, културелното изследване и ре зултата от цитобиохимичното из следване на ликвора. МАТЕРИАЛИ И МЕТОДИ Ретроспективен анализ на резултати те от клинико-лабораторните и ми кробиологични изследвания на про би ликвор от 29 пациенти, лекувани в УМБАЛ – Плевен в периода ноември Корелация между директната микроскопия, латекс аглутинацията и културелното изследване в микробиологичната диагноза на менингитите Ц. Найденова1 , В. Божинова1 , В. Едрева2, Х. Хиткова2 , Т. Маринова-Българанова2 , Ц. Дойчинова3 1Кръжок по клинична ми кробиология, МУ – Плевен 2Катедра „Микробиоло гия и вирусология“, МУ – Плевен 3Катедра „Инфекциозни болести“, МУ – Плевен Инфекциите на централната нервна система са редки, но са с тежко протичане и възможен фатален изход. Те изискват бърза и прецизна диагноза. В проучването се анализират случаи те на микробиологично доказани инфекции на централната нервна система при пациенти, ле кувани в УМБАЛ „Д-р Георги Странски“ – Плевен за 6-годишен период и се търси корелация между директното микроскопско изследване, бързият латекс аглутинационен тест, културел ното изследване и резултата от цитобиохимичното изследване на ликвора. Установява се ко релация на окончателната микробиологична диагноза с директната микроскопия – 82.85%, с латекс аглутинацията – 83.33%, с културелното изследване – 82.85% и с цитобиохимичните изследвания – 86.2%. Всеки от сравняваните методи има предимства и недостатъци, пора ди което използването им едновременно увеличава вероятността за поставяне на правилна етиологична
и
Раз пределението на пациентите по въз БАКТЕРИАЛНИ И ВИРУСНИ ИНФЕКЦИИ Ключови думи: Микроскопия, латекс аглутинация, култивиране, менингоенцефалит.
В хода на микробиологич ното изследване се използва златният
Плевен за 6-годишен период (20162022). Да се потърси корелация меж
директното микроскопско изслед
бързият латекс
РЕЗУЛТАТИ От изследваните пациенти 15 са мъже (52%)
14 – жени (48%).

Фиг. 1

раст е представено на Фиг. 1. В анализира ната група заболяването се среща по-често в рисковите групи от 0 – 10 и над 50 години (Фиг. 1).

Наблюдава се по-голяма честота на инфек циите през зимно-пролетните месеци с пико ве през м. февруари и м. април (Фиг. 2) и не равномерно разпределение на случаите през отделните години на анализираният пе риод (Фиг. 3). Случаите за 2020 г. и 2021 г. са по-малко от останалите години, което би мог ло да се дължи на повишаването на хигиен ните и противоепидемични мерки по време на COVID-19 пандемията.

Изолираните патогени са както следва: Streptococcus pneumoniae (15), Neisseria meningitidis (3), Acinetobacter baumannii (3), Escherichia coli (2) и по един случай Pantoea agglomerans, Klebsiella pneumonia, Haemophilus influenzae, Pseudomonas aeruginosa, Listeria monocytogenes и Cryptococcus neoformans.

На Табл. 1 са представени резултати от про ведените микробиологични изследвания на ликворните проби. При анализиране на ре зултатите от различните микробиологич ни методи се установи следното: директна та микроскопия е потвърдила диагнозата при 29 от 35 проби ликвор, което е 82.85% коре лация с окончателната диагноза; резултатите от латекс аглутинацията показаха корелация 83.33%; от културелното изследване – коре лация 82.85%.

На Табл. 2 са представени резултатите от кли нико-лабораторните изследвания на ликво ра. Интерпретацията на ликворните показате ли е според приетите референтни стойности. След анализ на данните се установява коре лация с окончателната микробиологична ди агноза при 25 от пациентите – 86.2%. ДИСКУСИЯ В анализираните случаи доминиращи те бактериални патогени са S.pneumoniae, N.meningitidis, Acinetobacter baumannii и H.influenzae. По литературни данни, най-чес тите бактериални патогени са S.pneumoniae, N.meningitidis и H.influenzae, като честотата им варира според възрастта на пациентите и ваксинационния им статус[1,2,7,10] За микробиологичната диагноза на инфекци ите на централната нервна система се използ

ват различни методи, но най-добрият подход е едновременното им приложение. Директно то микроскопско изследване е задължително. В проучването то е извършвано от всички про би, като корелацията между него и окончател ната микробиологична диагноза е 82.85%, т.е. при 5 от пациентите не са наблюдавани бакте рии в ликвора. При директната микроскопия за микробиолога са от значение

левкоцити (PLMNs) и наличие на бак

Фиг. 2

Фиг. 3

Според Tunkel и съавт.[2] при нетретирани с антибиотици пациенти, бро ят на белите кръвни клетки в ликвора обикно вено е повишен с доминация на неутрофили те. Такова е и становището на Maning и съавт. [3], които намират, че броя на PLMNs в ликво ра има голяма предиктивна стойност. При око ло 4% от случаите може да не се наблюдават PLMNs. Това се случва най-често при недоно сени и при новородени до четвъртата седми

в

[www.medmag.bg ] 57
два показате ля – наличие и количество на полиморфонук леарни
терии
ликвора.

ца след ражда нето, както и при имунокомпроме тирани пациен ти[4]. Откриване то на бактерии в ликвора е от го лямо значение за експресната диа гноза и назначава нето на адекватна емпирична тера пия, поради харак терната морфоло гия на най-честите причинители[5] Насочващи са формата на бак териите, отнася нето им по Грам и разположение то им спрямо лев коцитите. Оцве тяването по Грам е бърз и акуратен метод за иденти фикация на при чинителите в 6090% от пациентите със специфичност приблизително 100%. Откриване то на бактерии

те в микроскопския препарат до голя ма степен зависи от морфологията на причинителя – бактериите се откри ват в 90% от случаите на пневмококов менингит, в 86% от случаите причи нени от Haemophilus influenzae, в 75% от случаите на менингококов менин гит и само при една трета от пациен тите с менингит, причинен от Listeria monocytogenes[6]. Според Forbes и съ авт.[1] бактериите се виждат по-труд но, когато са Грам-отрицателни, тъй като и PMNLs са оцветени в розо во-червено, а също и когато са раз положени вътре в левкоцитите, както листериите. В проучването бакте рии не са наблюдавани при 5 случая, като в 4 от тях те са били Грам-отрица телни (Аcinetobacter spp. - 2, Pantoea agglomerans – 1, E. coli - 1) и в един случай на листериозен менингит. Спо ред Tunkel и съавт.[2] ниското количе ство на PMNLs в ликвора и голямото количество бактерии има лоша про гноза. В проучването при 4 от случа ите с фатален изход количеството на левкоцитите е било оскъдно, а бак териите са били в изобилие. В обоб щение, основното предимство на оц ветяването по Грам е, че методът е евтин, лесен и бърз за изпълнение (отнема максимум един час) и има висока чувствителност и специфич ност[7] Основното предимство на латекс аг лутинационните тестове е, че са бър зи (отнемат около 15 минути) и лес ни за изпълнение. Като недостатък се посочва вариабилната им чувстви телност и специфичност според при чинителя[7]. Латекс аглутинацията от крива антигени на H. influenzae type b, S. pneumoniae, N. meningitidis, E. coli K1 и S. agalactiae. Обаче повечето тър говски китове не включват тестове за откриване на N. meningitidis type b, L. monocytogenes и Грам-отрицателни бактерии като Acinetobacter, Klebsiella, P. aeruginosa. Латекс аглутинация е из вършена при 30 от пробите в проучва нето. В останалите пет, тестът не е пра вен поради оскъдното количество на ликвора. В 12 от случаите резултатът е бил отрицателен, тъй като теста не е включвал реагенти срещу причинните микроорганизми. При останалите 18

58 І Medical Magazine | ноември 2022
БАКТЕРИАЛНИ И ВИРУСНИ ИНФЕКЦИИ
вания Фиг.
микроорганизми
Табл. 1. Резултати от проведените микро биологични изслед
4. Изолирани

случая резултатът от латекс аглутина цията е съвпаднал с окончателната ми кробиологична диагноза в 15 случая, така че чувствителността на метода е 60%, а корелацията му с окончателна та диагноза е 83.33%. Културелното изследване е прове дено при всички проби. Наличие на бактериален растеж е имало при 29, като корелацията с окончателната

диагноза е 82.85%. В останалите се е касаело за пациенти с инициирана антибиотична терапия, която нама лява вероятността за положителен резултат от културелното изслед ване. Най-голямото предимство на културелното изследване е възмож ността за изолиране на причинителя и определянето на чувствителността му към антибиотици. Основният му

недостатък е, че методът е бавен и стандратно отнема 1-3 дни[7]. Maning и съавт. намират положителен ре зултат от културелното изследване в 75-95% от пациентите без антибак териална терапия. В случаите на за почната антибактериална терапия, вероятността за изолиране на причи нителя намалява[3]. Цитобиохимичното изследване не е задължително в микробиологичната диагноза на инфекциите на централ ната нервна система, но е от голяма полза. В анализираните случаи раз движване на показателите е имало в 25 случая, като корелацията между ци тобиохимичното изследване и окон чателната микробиологична диагноза е 86.24%. При бактериални менингити обикновено се наблюдава увеличение на броя на PMNLs, увеличаване на бел тъка, понеже самите бактерии са бел тък и намаляване на захарта, тъй като с малки изключения причинителите разграждат глюкозата[1,8,9]. ЗАКЛЮЧЕНИЕ Чувствителността и специфичността на трите метода е почти еднаква и всеки един от тях има своите предимства и недостатъци. Директното микроскоп ско изследване и латекс аглутинаци ята дават бърза и предварителна ди агноза. Това е полезно при избора на адекватна антибиотична терапия. Кул турелното изследване е важно поради възможността за определяне чувстви телността на изолираните микроорга низми към антибиотици и евентуал на промяна в лечението. Използването на тези три подхода заедно увеличава вероятността за поставяне на бърза и правилна етиологична диагноза на за

1. Forbes B. A., Sahm D. F., Weissfeld A. S. Bailey & Scott`s Diagnostic Microbiology, 11th ed. Mosby, 2002; 907 – 917.

2. Tunkel A. R., Scheld W. M. Central Nervous System infections. In: Reese & Betts A practical approach to infection diseases. Betts F. R., Chapman S. W., Pen R. L. (eds.) Lippincott Williams & Wilkins, 5th ed. 2003; 173 – 221.

3. Maning L., Laman M., Mare T. et al. Accuracy of cerebrospinal leucocyte count, protein and culture for the diagnosis of acute bacterial meningitis: a comparative study using Bayesian latent class analysis. Trop Med Intern Health. 2014; 19(12): 1520-1524.

4. Coll M. T., Uriz M. S., Pineda V. et al. Meningococcal meningitis with “normal” cerebrospinal fluid. J Inf Dis 1994; 29: 289-294

5. Taniguchi T., Tsuha S., Shiiki S., et al. Pointof-care cerebrospinal fluid Gram stain for the management of acute meningitis in adults: a retrospective observational study. Ann Clin Microbiol Antimicrob. 19, 59 (2020). https:// doi.org/10.1186/512941-020-00404-9

6. Milonakis E., Hohmann E., Callderwood S. B. Central nervous system infection with Listeria monocytogenes: 33 years` experience at a

general hospital and review of 776 episodes from the literature. Medicine (Baltimore) 1998; 77: 313 – 336

7. Poplin V., Boulware D. R., Bahr N. C. Methods for rapid diagnosis of meningitis etiology in adults. Biomarkers in medicine. 2020; 14 (6). https://doi.org/10.2217/bmm-2019-0333

8. Brooks G. F., Carroll K. C., Butel J. S. et al. Jawetz, Melnick & Adelberg`s Medical

Microbiology, 26th ed. Langle, 2013; 785 –789.

9. Marton K. I., Gean A. D. The Spinal Tap: a new look at an old test. Ann Intern Med. 1986; 104: 840 – 848.

10. Van de Beck D., Cabellos C., Dzupova O., et al. ESCMID guideline: diagnosis and treatment of acute bacterial meningitis. Clin Microbiol Inf. 2016. 22 (3): 37-62.

[www.medmag.bg ] 59
2.
ИЗПОЛЗВАНА ЛИТЕРАТУРА:
боляването. Табл.
Резултати от цитобиохимичните изследвания

Сигнификантността на билирубине мията е оценявана чрез коефицента на билирубинова токсичност (BIND-М). Резултати: В Група ПрНЖ мъжкият пол съставлява 60% (p=0.078), децата с г.в. 37-38 г.с. заемат 53% (p<0.001). Причини за ПрНЖ: храносмилателни проблеми (57%), хемолиза (19%), вродени аномалии на отделителна система без подлежаща инфекция (12%), други (4%), неустановени (8%). Най-висока е билирубинемията през пролетта, най-продължителна – през лятото. Зна чимо по-често се наблюдава ПрНЖ при анамнеза за преживяна НЖ от братя/сестри (p=0.017), при изразен тегловен спад към 5-ти ден и незадоволителен тегловен прираст към 28-ми ден. Най-високи средни нива на общ БР на 14-ти (p=0.001) и 28-ми ден (р<0.001) и най-продължи телна ПрНЖ (p<0.001)

60 І Medical Magazine | ноември 2022 ВЪВЕДЕНИЕ Пролонгираната неонатална жълте ница (ПрНЖ) продължава повече от 14 дни при доносени новородени (НР)[1,2]. Стойност на общия билиру бин (БР) над 85.5 µmol/L (≥5 mg/dL) в края на неонаталния период се счита за патологична[3]. Все още не е утвър ден общоприет протокол за диагно стика и поведение при ПрНЖ. Причи ните за това са различията в честота на етиологичните причини, цената на прегледите при ПрНЖ и системи те на здравеопазване в отделните страни[4]. Продължителната неконю гирана хипербилирубинемия може да бъде свързана с някои фактори на майчината кърма, имунна или неи мунна хемолиза, вроден хипотирео идизъм, инфекция на пикочните пъ тища (ИПП)[1,2]. Честотата ѝ варира от 2 до 15%[2], въпреки че има съобще ния и за по-висока честота сред ази атската популация – 32%[3] През 1999 г. е разработен алгоритъм от Johnson LH и съавт.[5] за прецен ка на неврологичната дисфункция, предизвикана от хипербилируби немия (BIND), като се оценяват с 1, 2 или 3 точки, съответно, леко, уме рено или тежко отклонение в пси хичното състояние на НР, мускул ния тонус или плач. Оценка по BIND ≥4 може да бъде полезна за оцен ка на състоянието на НР, приети пов торно, поради екстремна хипербили рубинемия[6]. Radmacher PG и съавт. модифицират схемата за оценка на Проследяване на новородени с индиректна пролонгирана неонатална хипербилирубинемия Т. Итова¹, В. Атанасова² ¹Началник Отделение Неонатология, УМБАЛ Медика Русе ООД ²Началник Клиника по Неонатология, УМБАЛ "Д-р Г. Странски" ЕАД, Плевен Цел: Да се проучат етиологичната структура, рисковите фактори, клиничният ход и дълго срочната неврологична прогноза на пролонгираната индиректна неонатална хипербили рубинемия. Материал и методи: 92 доносени новородени (НР) с пролонгирана неонатална жълтеница (ПрНЖ) са наблюдавани от раждане до 6-месечна възраст. Проведена е транскутанна билиру бинометрия от първи ден до окончателното инволюиране на неонаталната жълтеница (НЖ). Проследявани показатели: при НР – пол, гестационна възраст – г.в., тегло, оценка по Апгар, анамнеза за неонатална жълтеница при по-голям брат/сестра, сезон на раждане, физическо и нервно-психическо развитие (използван коефицентът на развитие (КоР) по методика на Мано ва-Томова), функционални нарушения на храносмилателната система, вродени аномалии на отделителната система; при майката – възраст, местоживеене, образование, семейно поло жение, поредност на бременност, поредност на раждане.
тът на билирубинова токсичност
към
е 0 при 29.3%, от 1 до 3 при 66.3%, 4 при 2.2% и 5 при 2.2% от групата. Коефицентът на развитие (КоР) по методика на Манова-То мова от първи до 6-ти месец е: 83±20; 92±10; 95±6; 97±4; 97±10; 98±3. Заключение: Според нашите данни, граничната зрялост и анамнезата за НЖ при братя/сестри определят сигнификантно по-висок риск от развитие на ПрНЖ. Рискът за пролонгиране на НЖ през лятото и утежняването ѝ през пролетта е значим. Използването на BIND-М и КоР е лесен и удобен начин за обективизиране актуалното състояние на дете с НЖ и предикция на невро логичната прогноза. БАКТЕРИАЛНИ И ВИРУСНИ ИНФЕКЦИИ Ключови думи: Новородено, хипербилирубинемия, пролонгирана неонатална жълтеница.
се регистрира в групата с аномалии на отделителна система. Коефицен
(BIND-М)
Ден 14.5±4.9

BIND-M като добавят и четвърти по казател – промяна в погледа. Така максималният брой точки става 12. Резултат ≥7 показва тежка и много тежка остра билирубинова енцефа лопатия с очакван дългосрочен нев рологичен дефицит[7]

Оценка на нервно-психическото раз витие при деца в Република България се осъществява с помощта на „Мето дика за изследване на интелектуал ното развитие от раждането до 3 го дишна възраст“ на Манова-Томова според Наредба №2/04.02.2003 г. Из ползват се четири показателя: мото рика, сензорна дейност, емоционал но-социално развитие и развитие на говора, от които се калкулира съот ветната психична възраст. Прогнозата на ПрНЖ е добра в пове че от 90% от случаите, като това зави си от навременното диагностицира не и подлежащата патология. Почти всички пациенти с ПрНЖ се възста новяват без остатъчни проблеми до възраст 8 седмици[14].

МАТЕРИАЛ И МЕТОДИ Проучването е кохортно ретроспек тивно и проспективно и обхваща до носени новородени деца, родени от януари, 2017 г. до октомври, 2020 г., лекувани в Отделение за новородени на УМБАЛ Медика Русе. Критерии за включване на НР са гестационна въз раст (г.в.) при раждане на и ≥37 геста циони седмици (г.с.) и тегло при раж дане ≥2500 гр. г.в. е определяна по аменореята на майката и по морфо логични критерии (New Ballard Score). Критерии за изключване на НР от про учването са г.в. при раждане под 37 г.с. и/или тегло под 2500 гр.; интрауте ринна хипотрофия; хирургични услож нения вследствие на вродени ано малии, налагащи спешна оперативна намеса; вродени хромозомни боле сти и грешки на обмяната. Пациентите са разделени в две гру пи: • Група ПрНЖ – НР с пролонгира на индиректна хипербилирубине мия, лекувани само с фототера

пия; • Група ФНЖ – контролна група без НЖ или с физиологична НЖ. Проследени показатели от страна на НР са пол, г.в., рождено тегло, оцен ка по Апгар, анамнеза за неонатал на жълтеница при по-голям брат/се стра, сезон на раждане, физическо и нервно-психическо развитие до 6-месечна възраст. Проследени де мографски показатели на майката са възраст при раждане, местоживеене, образование, семейно положение, поредност на бременност, поредност на раждане.

БР е измерван в µmol/L на челото на НР чрез транскутанна билирубино метрия с билирубинометър KJ-8000 ежедневно от първи до последния ден на престоя в Неонатологично от

деление, между 12-ти и 14-ти ден и 28-ми и 30-ти ден. Ако са установе ни танскутанни нива на БР над рефе рентните стойности за съответния ден, те са потвърдявани чрез изслед ване на серумни нива на БР. При про лонгиране на НЖ е продължено с проследяването до достигане на фи зиологични стойности на БР. За оцен ка на необходимостта от терапия при установена НЖ използвахме номо грама за лечение на хипербилиру бинемия чрез фототерапия на Аме риканската Академия по Педиатрия, тъй като за България няма приета та кава[1]. Като горно гранична стойност при ПрНЖ на транскутанен БР се мар кира такава над 171 µmol/L (10 mg/dL) на 14-ти ден и 85.5 µmol/L (≥5 mg/dL) след 28-ми ден от раждане[3]. Проследени са ежемесечно физиче ско и нервно-психическото развитие на наблюдаваните НР до навършване на 6-месечна възраст. Използвани са ръстомер Seca 207, електронна вез на Seca 384. Сравнени са с показате ли на физическото развитие, публи кувани в Наредба №2/04.02.2003 за организация и провеждане на про филактични прегледи при лица от 0 до 18 години. Нервно-психическото развитие е оценявано по ,,Методи ка за изследване на интелектуалното развитие от раждането до 3-годишна възраст“ на Манова-Томова според

същата наредба, като е изчисляван ежемесечно коефицент на развитие от първи до 6-ти месец по показате ли моторика, сензорна дейност, емо ционално-социално развитие и раз витие на говора. Данните са снети от родителите. Изпълнението на един показател има стойност единица. КоР е изчисляван по следната форму ла: КоР = ПВ/КВ*100 (ПВ – установена психична възраст, КВ – календарна възраст). Стойностите на КоР се ин терпретирани както следва: над 120 – много изпреварващо психично раз витие, 110-119 – изпреварващо; 90109 - нормално; 80-89 – изоставащо; 70-79 – гранично (Табл. 1). Оценката на влиянието на хиперби лирубинемията върху неврологич ния статус осъществихме с помощта на коефицента BIND-M. В изчисле нието му са включени параметрите: психично състояние, мускулен тонус, плач и промяна в погледа. BIND-M е изчислен при профилактичен пре глед към 14-ти постнатален ден или при снемане на актуален статус в деня на рехоспитализация, ако се е наложило лечение на ПрНЖ (Табл. 2). Всеки показател получава оценка от 0 до 3 точки, които се сумират. Ин терпретацията на резултатите е след ната: 1-4 – лека остра билирубинова енцефалопатия, 5-6 – умерена, ≥7 –тежка и много тежка такава. Ехографският преглед на коремни органи е осъществен с апарат Chsison Q9. Биохимичните, хематологични те изследвания и уринния анализ са извършени в Клинична лаборатория при УМБАЛ Медика Русе. Статистическата обработка на да нните е осъществена с помощта на програма за статистическа обработ ка IBM SPSS Statistics version 23 и про грама за електронни таблици, част от пакета MS Office – Microsoft Excel version 2016. РЕЗУЛТАТИ Група ПрНЖ са включени 92 НР, а в контролната Група ФНЖ – 227 НР. Няма статистически значима разли

[www.medmag.bg ] 61

Х

4 Г.

Х 3 ЕС.

Х 2 Д.

Х 1

4 Г. Изпълнява поръчки при словесни указания Х 3 ЕС. Радва се при похвала ,,браво“ Х 2 Д. Различно играе с различни играчки Х 1 М. Ходи водено за ръка Х 36

4 Г. Произнася по подражание срички Х 3 ЕС. Прави ,,довиждане“ с ръка Х 2 Д. Чука две кубчета едно в друго Х 1 М. Пристъпва встрани Х 32

4 Г. Търси с поглед предмет при запитване Х 3 ЕС. Радва се при игра на криеница Х 2 Д. Настойчиво се добира до играчка Х 1 М. Изправя се, хванато за опора Х 28

4 Г. Произнася продължителни звукосъчетания Х 3 ЕС. Радва се на приятен човек Х 2 Д. Заиграва се продължително с играчки Х 1 М. Опитва се да сяда самостоятелно Х 24

4 Г. Различава гласа и това при говорене Х

3

4 Г. Произнася случайни звукосъчетания Х 3 ЕС. Вглежда се в образа си в огледалото Х 2 М. Само взема играчка и се заиграва Х 1 Д. Опитва се да пълзи Х 20

2

1

62 І Medical
|
Табл.1.
БАКТЕРИАЛНИ И ВИРУСНИ ИНФЕКЦИИ Седмици Показатели Криви
КоР
52 4 Г.
Х 3
Х 2
Х 1
Х
4
Х 3
2
1
Magazine
ноември 2022
Показатели за изчисляване на КоР 1 (М) – моторика, 2 (Д) – сензорна дейност, З (ЕС) – емоционално-социално развитие, 4 (Г) – развитие на говора
на развитие
4 8 12 16 20 24 28 32 36 40 44 48 52
Произнася 4-5 осмислени думи Х 16 4 Г. Произнася разнообразни звуци Х 3 ЕС. Смее се с глас при закачки Х 2 Д. Посяга и хваща висящи играчки Х 1 М. Обръща глава по посока на звука Х 12 4 Г. Гука често и продължително Х 3 ЕС. Реагира оживено при говор Х 2 Д. Следи с глава движещи се предмети Х 1 М. Държи глава изправена, опора на крака Х 8 4 Г. Издава тихи и гладки гърлени звуци Х 3 ЕС. Усмихва се, когато му говорят Х 2 Д. Следи с поглед движещи се предмети Х 1 М. Задържа главата си, взето на ръце Х 4 4 М. Издава неопределени викове и звуци Х 3 ЕС. Вглежда се в човек, надвесен над него Х 2 Д. Трепва и се вслушва в силен звук Х 1 М. Изправя глава за късо време Х Възрастови периоди в седмици 4 8 12 16 20 24 28 32 36 40 44 48 52
ЕС. Радва се, когато изпълни задача
Д. Поставя две кубчета едно над друго
М. Пристъпва самостоятелно
48
Г. Опит да произнася първи думи
ЕС. Реагира с неудоволствие при забрана Х
Д. Пие самостоятелно с чашка Х
М.
Застоява се без опора
44
Произнася звукоподражания
Радва се при име на приятен човек
Поставя кубче в кутия
М. Застоява се без опора Х 40
ЕС. Различава познати от непознати Х
Д. Хваща подадена играчка и я задържа Х
М. Обръща се от гръб на корем

Табл.2. Оценка по BIND-M на състоянието на новородено с НЖ

Показател Степени Оценка

1. Психично състояние нормално 0 сънливо, но реагира; леко нарушено хранене вял или силно изразен сукателен рефлекс 1 летаргия или повишена раздразнителност, 2 прекома; апнея; липса на сукателен/гълтателен рефлекс; гърчове; кома 3

2. Мускулен тонус нормален 0 лека до умерена хипотония 1 лека до умерена хипертония, редуваща се с хипотония; кръстосване или „ножица“ на ръцете или краката, но без гърчове на ръце и крака и без тризмус 2 остотонус, ретроколис – стереотипни движения или потрепвания на крайници 3 3. Плач нормален 0 писклив при стимул / събуждане 1 писклив, трудно за утешаване дете 2 неутешителен плач / слаб плач или липсващ плач 3

4. Промяна в погледа нормален 0 „залязващо слънце“; парализа при поглеждане нагоре 3 Показател ФНЖ ПрНЖ Р* n 227 92 Пол ♂ ♀ 51 49 60 40 0.078 Г.в. (г.с.)

Средна 37-38 39-41

Тегло (грама)

Средно тегло <3000 3000-3999 ≥4000

39.0±1.1 38 62

3355.1±417.3 22 72 6

38.5±1.0 53 47 <0.001

3374.4 ±401.1 22 70 9 NS

Механизъм на раждане** PN SC 45 55 46 54 NS Apgar ≤7 >7 18 82 17 83 NS

Сезон на раждане

Възраст на майката (год.)

Зима Пролет Лято Есен

Средна <20 20-29 30-39 ≥40

14 31 35 20

28.9±5.2 1 61 34 4

22 19 37 23 NS

29.0±5.5 1 63 32 4

Табл.3. Сравнителна характеристика на групите (в % от всички в групата) ка в между групите в разпределе ние по средно рождено тегло и г.в., пол, механизъм на раждане и оцен ка по Apgar. В Група ПрНЖ доминират децата с г.в. 37-38 г.с. (53 срещу 38%, р<0.001) и тези, при които по-големи братя или сестри са лекувани заради НЖ (78%, p=0.017). Средната продъл жителност на клинична изява на нео наталния иктер (до регистриране на транскутанно ниво на БР <85 µmol/L) е 59±14 дни (Табл. 3).

NS

Семейно положение Омъжена Неомъжена 55 45 68 32 0.062 Анамнеза за НЖ Да Не 53 47 78 22 0.017

Сезонът на раждане не се отразява значимо на общата честота на НЖ. При детайлно изучаване на сезонно то разпределение на случаите само в групата на ПрНЖ се установява, че към 28-ми ден най-високи са средни те нива на БР през пролетта и лято то (съответно 146.1±25.7 и 155.4±31.8 µmol/L; р=0.014; Eta²=0.113), а най-продължителна е ПрНЖ през лятото (64.7±15.2 дни) и най-кратка през зимата (53.8±11.1 дни, р=0.010; Eta²=0.120) (Фиг. 1).

Не се установява сигнификантна раз лика между групите по демографски те показатели на майката (Табл. 3). Във Фиг. 2 са проследени нивата на

[www.medmag.bg ] 63
Образование Основно Средно Висше 2 64 34 1 58 41 NS Местоживеене Обл. град Град Село 66 14 20 70 10 20 NS Поредност на бременността 1 >1 72 28 60 40 NS Поредност на раждането 1 >1 72 28 65 35 NS *р≤0.05; **PN – партус нормалис, SC – секцио Цезареа

Tawfeek et al, 2020, Egypt [16] 55 15% 32.7% 25.6% 20%

Kazem et al, 2015, Iran [34] 100 70% 5% 14% 6% 5%

Hannam, 2000, UK [17] 154 0.6% 1.3% 1.9%

Хепатобластом – 0.6% Тризомия 9 – 0.6% Недохранване – 0.6%

Кефалхематом – 2.8% ИГДП – 2.8% Недохранване – 0.6% Вродени инфекции и сепсис – 2.3% Banakar& Subbarayan, 2008, UK [35] 60 1.7% 23% 5% 1.7% 3.3% Неизвестна – 28%

Andre & Day 2016, New Zealand [23] 176 1.1% 3.4% 1.1%

Hazlienor et al, 2019, Malaysia [36] 291 1.7% 84.5% 3.8% 3.5% Сепсис – 3.8% Неизвестна – 6.5%

Сфероцитоза – 1.1% Кефалхематом – 1.1% Адренална хеморагия – 1.1% Çetinkaya et al, 2008, Turkey [15] 154 53% 10% 29% 8%

Aygün et all, 2020, Turkey [37] 90 73.3% 13.3% 8.9% 1.1% 1.1%

включват по едно дете с гигантски хе мангиом, преходен хипотиреоиди зъм, диабетна фетопатия и вродена сърдечна малформалция – хемодина мично значим междукамерен дефект.

При 11 деца (12% от групата) с ПрНЖ при абдоминален ехографски пре глед се доказа вродена аномалия на колекторната част на отделителната сиситема без доказана подлежаща ИПП през неонаталния период, както и друга причина

Най-високи средни нива на БР на 14-ти ден се наблюдаваха при не адекватен тегловен прираст (съот ветно 201 и 222 µmol/L), а на 28-ми ден – при абнормности в отдели телната система и други форми (съ ответно 165 и 189 µmol/L), като при последните НЖ е и най-продължи телна (73 дни). С най-ниски нива на БР на 14-ти ден са НР с пробле ми в дефекацията (179 µmol/L), а на 28-ми ден – прехранените и пов ръщащите НР(съответно 129 и 140 µmol/L), като при последните ПрНЖ инволюира най-бързо (за 55 и 52 дни съответно) (Фиг. 3). Проследихме тегловните криви от раждане до 6-месечна възраст. Сиг нификантна отрицателна връзка показаха коефицентът на корела ция между нивото на общия БР към 28-ми ден и процентната загуба на

64 І Medical Magazine |
Табл.4. Етиологична структура на ПрНЖ по литературни данни БАКТЕРИАЛНИ И ВИРУСНИ ИНФЕКЦИИ Автор Брой новородени в проучването Етиологична структура Директен иктер Майчина кърма Хемолиза ИПП Вроден хипоти реоидизъм Г6ФД Неустановени и други причини
ноември 2022
Najati et all, 2010, Iran [38] 100 75% 1% 7% 4% 7% Сепсис – 1% Тризомия 21 – 1% Неизвестна – 4% Kazem S et al, 2015, Iran [34] 100 70% 5% 14% 6% 5% БР по групи от 1-ви до 5-ти, на 14-ти и на 28-ми ден. Тези на Група ПрНЖ са сигнификантно по-високи за всички отчетени измервания в сравнение с Група ФНЖ (р<0.001). Етиологичният анализ на ПрНЖ по казва, че преобладават изключи телно кърмените НР с храносмила телни проблеми – 57%, като 12% са със свръхнаддаване на тегло; 21% - с често повръщане / гастроезофа геален рефлукс, 13% – неадекватен тегловен прираст през първия ме сец; 11% – със затруднена дефека ция. Хемолитичен тип ПрНЖ се среща в 19% от случаите (9% – кръвно-групо ва несъвместимост; 8% – резорбция на мекотъканни хематоми от родов травматизъм, 2% - полицитемия). В други форми на ПрНЖ (4%) се за НЖ. В 8% от случаите с ПрНЖ не се уста нови причината. Наблюдава се сигнификантна разлика
в средните нива
на об щия билирубин на 14-ти (p=0.001; Eta²=0.273) и 28-ми ден (р<0.001; Eta²=0.827) и в продължителността на ПрНЖ (p<0.001 Eta²=0.359) в за висимост от етиологията на ПрНЖ.

тегло към пети по стнатален ден, от една страна, и про центния тегловен прираст към 28-ми ден – от друга стра на (Фиг. 4 A, Б ).

Оценихме влияние то на хипербилиру бинемията върху не врологичния статус в Група ПрНЖ с по мощта на коефицен та за билирубинова токсичност – BIND-M. Средната стойност на BIND-M е 1.5±1.2. Преобладават де цата с коефицент от 1 до 3 (66.3%), стой ност 0 имат 29.3%, две са с коефицент 4 (2.2%), две – с 5 (2.2%).

Проследихме и срав нихме чрез изчис ляване на КоР нерв но-психическото развитие от ражда нето до 24-та пост натална седмица на всеки 4 седми ци в двете групи. НР с ПрНЖ показват значимо по-ниски стойности на КоР за целия период на на блюдение (Фиг. 5).

Съпоставихме два

та показателя – КоР

и BIND-M, изчислени към 4-та постнатална

седмица, и установи хме умерено силна отрицателна корела ция между BIND-M и изчисления КоР

Pearsonʼs R=-0.731)

Eta²=0.359 р=0.001; Eta²=0.273 р<0.001; Eta²=0.827

Eta²=0.359 р=0.001; Eta²=0.273 р<0.001; Eta²=0.827

p=0.014; Eta²=0.113 р=0.010; Eta²=0.120

ПрНЖ

(µmol/L)

Фиг.2 Транскутанни нива на билирубина (в µmol/L) по групи от първи до пети ден и на 14-ти и 28ми ден

Фиг.3 Продължителност (в дни) и нива на билиру бин (µmol/L) към 14-ти и 28-ми ден в Група ПрНЖ

[www.medmag.bg ] 65 0 50
прехранване повръщане неадекватно хранене обстипацио отделителна система други
продължителностбилирубин 14-ти ден билирубин 28-ми ден (дни) (µmol/L) (µmol/L) 1
4 5 14 28 1
постнатален ден ПрНЖ ФНЖ р<0.001 55 187 129 52 185
68
64 179
73 193
73 222
0 50 100 150 200 250 прехранване повръщане неадекватно хранене обстипацио отделителна система други р<0.001;
продължителностбилирубин 14-ти ден билирубин 28-ми ден (дни) (µmol/L) (µmol/L) 1 2 3 4 5 14 28 1 2 3 4 5 14 28 постнатален ден ПрНЖ ФНЖ
100 150 200 250
р<0.001;
2 3
2 3 4 5 14 28
140
201 154
161
165
189
р<0.001 Фиг.1 Нива на транскутан ния билирубин
на 28-ми ден и продъл жителност на изява на ПрНЖ, разпределени според сезон на ражда не в Група
есен есен
между
са
вените от нас. Рискът от хипербилирубине мия и ПрНЖ значи телно нараства с на маляване на г.в. [1, 3] , както установихме и ние. Честотата на НЖ е по-висока при НР с братя и сестри, преболе дували и лекувани за НЖ, като според Najib K et al. това е втори по честота рисков фак тор[42,43]. Това се потвърждава и от нашия ана лиз в Група ПрНЖ. Проследената билирубинемия при двете гру пи не показа абнормни нива на БР през пър вите пет дни, въпреки че Група ФНЖ има сиг нификантно по-ниски средни нива на БР.
(р<0.001;
(Фиг. 6). ОБСЪЖДАНЕ Делът на мъжкия пол при НР с ПрНЖ е
58 и 69% [38, 39, 40, 41]. Тези резултати
сходни с устано

първите дни след раждането, както и незадоволителни ят тегловен прираст през първия месец, са определящи фак тори за пролонгира не на НЖ. Нашите резултати за превалиране на ес тествено хранените (57%) в Група ПрНЖ съвпадат с резулта тите от други проуч вания. Най-много се доближаваме в ана лиза на етиологич ната структура на ПрНЖ с резултатите на Çetinkaya et al[15] Неадекватното над даване на тегло след първата сед мица води до заба вена евакуация на БР и, респективно, до задържане на хи пербилирубинеми ята[16], поради кое то е рисков фактор за утежняване и про лонгиране на НЖ[17] Отрицателната ко релация, която ре гистрирахме между нивата на БР на 28ми ден и тегловния спад към 5-ти ден, от една страна, и те гловния прираст към 28-ми ден – от друга, потвърждава това. В проучване на Пер вишко ОВ и съ авт. (2017) се прави ретроспекция на про блемите при деца с ПрНЖ и през първите три години от живота и авторите описват та кива, свързани с функ ционални нарушения на храносмилателна та система – оригва ния, повръщания, ме теоризъм, нередовни

66 І Medical Magazine | ноември
Фигура
Фигура
тегловен спад в
ден билирубин
ден
прираст на тегло в
ми ден билирубин
на
ден
КоР седмица
ПрНЖ ФНЖ р<0.001
Фиг.4 Корелации между стой ността на БР на 28-ми ден и: А) тегловния спад в % на 5-ти ден; Б) прира ста на тегло в % към 28ми ден Фиг.5 Сравняване на КоР на Група ПрНЖ и Група ФНЖ
Връзка между
и BIND-M в Група ПрНЖ Фигура
Фигура
тегловен спад в
на
ден
Б) 60 65 70 75 80 85 90 95 100 105
КоР седмица след раждане ПрНЖ
р<0.001
Фигура 6. y
0 20 40 60 80 100 120 0123456 КоРна 4та седмица
р<0.001;
Значително по-високите средни стойности на БР към 14-ти и 28-ми ден при ПрНЖ могат да се обяснят с различията в причините за раз витие на ПрНЖ. По литературни данни (Табл. 4) най-честа та причина за пролонгирана индриректна хи пербилирубинемия е майчината кърма – 23 до 84.5%, следвана от хемолиза – 1 до 25.6%, ИПП – 1.7 до 29%, вроден хипотиреоидизъм – 1.1 до 8%, глюкозо-6-фосфат-дехидрогена за (Г6ФД)
причини за ПрНЖ ва рира от 4 до 28%. Естественото хране не е предпоставка за задържане на сигни фикантно по-високи нива на БР след края на неонаталния пе риод, заради усиле ния ентерохепатален кръговрат на БР под влияние на някои от съставките на кър мата. Значителният
2022
4.
5. y = -0,0202x -2,0935 R² = 0,0474 -10,0 -8,0 -6,0 -4,0 -2,0 0,0 2,0 50 100 150 200 250
% 5ти
(µmol/L) на 28-ми
р=0.037; Pearsonʼs R=-0.218 А) y = 0,148x R² = -0,319 0,0 10,0 20,0 30,0 40,0 50,0 50 100 150 200 250
% 28-
(µmol/L)
28-ми
р=0.043; Pearsonʼs R=-0.188 Б) 60 65 70 75 80 85 90 95 100 105 4812162024
след раждане
р<0.001 р<0.001 р<0.001 р=0.003 р=0.001
Фиг.6
КоР
4.
5. y = -0,0202x -2,0935 R² = 0,0474 -10,0 -8,0 -6,0 -4,0 -2,0 0,0 2,0 50 100 150 200 250
% 5ти ден билирубин (µmol/L) на 28-ми ден р=0.037; Pearsonʼs R=-0.218 А) y = 0,148x R² = -0,319 0,0 10,0 20,0 30,0 40,0 50,0 50 100 150 200 250 прираст на тегло в % 28ми ден билирубин (µmol/L)
28-ми
р=0.043; Pearsonʼs R=-0.188
4812162024
ФНЖ
р<0.001 р<0.001 р<0.001 р=0.003 р=0.001
= -12,443x + 100,32 R² = 0,5346
BIND-M
Pearsonʼs R=-0.731
– 1.1 до 7%. Други етиологични фак тори са сепсис, кефалхематом, инфекции на горни дихателни пътища (ИГДП), хромозом ни аномалии, сфероцитоза, адренална хемо рагия, недохранване. Делът на неустановени
тегловен спад през
БАКТЕРИАЛНИ И ВИРУСНИ ИНФЕКЦИИ

изхождания [18]. Нито едно проучване обаче не детайлизира храносмилател ните проблеми на изключително кър мените НР с ПрНЖ[16,19,20,21,22,23], както го осъществихме ние. Установихме, че 12% от децата са със свръх наддава не на тегло, 21% - с чести повръщания / гастроезофагеален рефлукс, 13% - с не задоволително наддаване на тегло за първия месец, а 11% са с проблеми в дефекацията. ИПП се споменават като една от най-честите причини за ПрНЖ, въ преки че има противоречиви съоб щения, тъй като отправната точка на интерпретиране на състоянието на НР с ПрНЖ е различна – от търсене на подлежаща патология при асимп томни ИПП до тежки ИПП с фебрили тет и интоксикация[24,25,28,29,30]. Изчис леното разпространение на ИПП при кърмачета с ПрНЖ намалява значи телно, когато резултатите от уринен анализ се интерпретират като се има предвид дефиницията на ИПП[26]. В нашата група наблюдавани деца не открихме ИПП, но при 12% доказа

хме вродени аномали на отделител ната система, а това е предпоставка за развитие на ИПП. Разликата в ста тистическите данни произлиза ве роятно от различията в мястото на раждане и начина на отглеждане и проследяване на НР[27,28,29,30,31,32] Изчисленият коефициент BIND-М в Група ПрНЖ при 96.7% е на стойност до 3, което е свързано с благоприят на прогноза. Ние установихме силна обратна корелационна зависимост на BIND-М с изчисления КоР в по-къс на възраст. Това потвърждава на блюденията на McKiernan, PJ (2001) и Gundur, NM и съавт. (2010), че прогно зата на ПрНЖ в 90% от случаите е до бра и почти всички пациенти с ПрНЖ се възстановяват[14,33]. Резултат 5 на BIND-М при едно от наблюдавани те деца корелира в по-късна възраст с по-ниски показатели на КоР. Не сме регистрирали деца с коефициент, който показва тежка билирубинова токсичност. Въпреки това проследе ният КоР на групата с ПрНЖ, сравнен с КоР на група ФНЖ, показва сигни

фикантно по-ниски нива за първите 24 седмици от живота, което е пока зател за неблагоприятното влияние на хипербилирубинемията и нейния пролонгиран ход върху нервно-пси хическото развитие при НР, без да се е оформила клиника на хронична би лирубинова енцефалопатия. ИЗВОДИ Според нашите данни г.в. при раж дане и анамнезата за НЖ при по-го леми братя и сестри определя сигни фикантно по-висок риск от развитие на ПрНЖ. Мъжкият пол е несигни фикантно определящ фактор. Сезо нът на раждане насочва към значим риск за пролонгиране на НЖ през ля тото и утежняване на НЖ през про летта. Значителен дял в структурана на ПрНЖ заемат изключително кър мените деца със съпътстващи храно смилателни проблеми. Използване то на BIND-М и КоР е лесен и удобен начин за обективизиране актуалното състояние на дете с НЖ и предикция на неврологичната прогноза.

1. American Academy of Pediatrics Subcommittee on Hyperbilirubinemia. Management of hyperbilirubinemia in the newborn infant 35 or more weeks of gestation. Pediatrics. 2004 Jul;114(1):297-316.

2. Maisels MJ, еt al. Hyperbilirubinemia in the newborn infant ≥35 weeks’ gestation: an update with clarifications. Pediatrics. 2009 Oct 1;124(4):1193-8.

3. Weng YH, et al. Risk assessment of prolonged jaundice in infants at one month of age: A prospective cohort study. Scientific reports. 2018 Oct 4;8(1):1-6.

4. Aygün E, Semerci SY. Prolonged Jaundice in Newborn. In: Barría, R. M. editor. Topics on Critical Issues in Neonatal Care .2021 [Working Title] [Internet].

5. Johnson L, et al. BIND-a clinical score for bilirubin induced neurologic dysfunction in newborns. Pediatrics. 1999 Sep;104(3):746-7.

6. Hameed NN, Hussein MA. BIND score: A system to triage infants readmitted for extreme hyperbilirubinemia.Seminars in Perinatology. 2020 Dec 1;(p. 151354).

7. Radmacher PG, et al. A modified Bilirubininduced neurologic dysfunction (BIND-M) algorithm is useful in evaluating severity of jaundice in a resource-limited setting. BMC pediatrics. 2015 Dec;15(1):1-7.

8. Ebbesen F, Møller J. Agar Ingestion Combined with Phototherapy in Jaundiced Newborn Infants. Neonatology. 1977;31(1–2):7-9.

9. Newman T, et al. Outcomes among newborns with total serum bilirubin levels of 25 mg per deciliter or more. N Engl J Med.

2006; 354:1889-900.

10. Ozmert E, et al. Long-term follow-up of indirect hyperbilirubinemia in full-term turkish infants. Acta Paediatr. 1996;85:1440-4.

11. Wong V, et al. Short- and long-term outcome of severe neonatal nonhemolytic hyperbilirubinemia. J Child Neurol. 2006;21:309-15.

12. Duman N, et al. Long-term follow-up of otherwise healthy term infants with marked hyperbilirubinaemia: should the limits of exchange transfusion be changed in Turkey? Acta Paediatr. 2004;93:361-7.

13. Vandborg PK, et al.. Follow-up of extreme neonatal hyperbilirubinaemia in 5- to 10-year-old children: a Danish populationbased study. Dev Med Child Neurol. 2015;57:378-84.

14. Gundur NM, et al. Natural history and predictive risk factors of prolonged unconjugated jaundice in the newborn. Pediatrics International. 2010 Oct;52(5):76972.

15. Çetikaya M, et al. Prolonged neonatal hyperbilirubinemia and urinary tract infections. Early Human Development. 2010;86:S72.

16. Tawfeek MA, et al. Study of some factors associated with prolonged neonatal jaundice. Menoufia Medical Journal. 2020 Jan 1;33(1):167.17.Hannam S, et al. Investigation of prolonged neonatal jaundice. Acta paediatrica. 2000 Jun;89(6):694-7.

17. Çoban A, Türkmen MK, Gürsoy T. Turkish Neonatal Society guideline to the approach,

follow-up, and treatment of neonatal jaundice. Turkish Archives of Pediatrics/ Türk Pediatri Arşivi. 2018;53(Suppl 1):S172.

18. Pervishko OV, et al. Catamnesis of children with chronic conjugated jaundice. Kubanskij nauchnyj medicinskij vestnik. 2017;24(4);105-108. (In Russian)

19. Bratton S, et al. Breast Milk Jaundice. [Updated 2020 Nov 18]. StatPearls Publishing, Treasure Island (FL). 2020.

20. Maruo Y, et al. Prolonged unconjugated hyperbilirubinemia associated with breast milk and mutations of the bilirubin uridine diphosphate- glucuronosyltransferase gene. Pediatrics. 2000;106(5):E59.

21. Chen YJ, et al. Risk factors for hyperbilirubinemia in breastfed term neonates. Eur J Pediatr. 2012;171(1):167-171.

22. Wang Jin. Poor weight gaining is a Risk Factor for Severe Prolonged Neonatal Unconjugated Hyperbilirubinemia. Am J Pedi and Healcare. 2019;1(1):01-02.

23. Andre M, Day AS. Causes of prolonged jaundice in infancy: 3-year experience in a tertiary paediatric centre. N Z Med J. 2016 Jan 29;129(1429):14-21.

24. Krober MS, et al. Bacterial and viral pathogens causing fever in infants less than 3 months old. Am J Dis Child. 1985;139:889-892.

25. Crain EF, Gershel JC. Urinary tract infections in febrile infants younger than 8 weeks of age. Pediatrics. 1990;86:363-367.

26. Chang PW, Schroeder AR, Lucas BP, McDaniel CE. Impact of Diagnostic Criteria on UTI Prevalence in Young Infants With

Jaundice: A Meta-analysis. Hospital Pediatrics. 2022 Apr 1;12(4):425-40.

27. Chowdhury T, et al. Does UTI cause prolonged jaundice in otherwise well infants? European journal of pediatrics. 2015 Jul;174(7):971-3.28.Bourchier D, et al. Radiological abnormalities ininfants with urinary tract infections. Arch Dis Child. 1984;59:620–624

28. Chen LJ, Chen PJ, Yang SF, Chen JY. Causative organisms and antimicrobial susceptibility in jaundiced infants with significant bacteriuria. Journal of the Chinese Medical Association. 2022 Apr 1;85(4):514-8.

29. Iyengar AA, Capolicchio JP, ElSherbiny M. UTI in Paediatrics: Long-term Management and Prevention. Sat. 2022 Apr 23.

30. Garcia FJ, Nager AL. Jaundice as an early diagnostic sign of urinary tract infection in infancy. Pediatrics. 2002 May 1;109(5):846-51.

31. Afzal N, et al. Urinary tract infection presenting as jaundice in neonates. Journal of Pakistan Medical Association. 2012;62(7):735.32.

32. Pashapour N, et al. Urinary tract infection in term neonates with prolonged jaundice. Urology Journal. 2007;4(2):91-94.

33. McKiernan, PJ. The infant with prolonged jaundice: investigation and management. Current Paediatrics, 2001, 11.2: 83-89.

34. Kazem S, et al. Etiologies of prolonged unconjugated hyperbilirubinemia in neonates admitted to neonatal wards.

Iranian Journal of Neonatology IJN. 2015;6.4:37-42.

35. Banakar MK, et al. A study of prolonged jaundice screen in healthy term babies. Indian Journal of Clinical Biochemistry. 2008;23.3:286-289.

36. Hazlienor MH, et al Prolonget neonatal jaundice charactristics at primary health clinics in Kota Bharu, Kelantan. July to September 2019.

37. Aygün E et al. Evaluation of Etiological, Clinical and Laboratory Findings in Infants with Prolonged Jaundice. Age, 2020, 3: 3-33.

38. Najati N, et al. Underlying etiologies of prolonged icterus in neonates. Pakistan journal of biological sciences: PJBS. 2010 Jul 1;13(14):711-4.

39. Topal H, Topal Y Hakan N, Özer E. Clinical Characteristics Of Infants With Prolonged Jaundice. Kocatepe Tıp Dergisi. 2020; 21(1): 116-120.

40. Margaret A, Andrew S. Day causes of prolonged jaundice in infancy. New Zealand Med J.2016;129:1429.

41. Agrawal V, et al. Different causes of prolonged unconjugated Jaundice in the newborns. Int J Contemp Pediatr, 2017, 4.3: 984-8.

42. Hansen TWR. Neonatal jaundice.2017.< ttps://emedicine.medscape.com/ article/974786-overview>

43. Najib KS, et al. Incidence, risk factors and causes of severe neonatal hyperbilirubinemia in the South of iran (fars province). Iranian Red Crescent Medical Journal, 2013, 15.3: 260.

[www.medmag.bg ] 67
ИЗПОЛЗВАНА ЛИТЕРАТУРА:

преносител е "чумната муха" Xenopsilla cheopsis,

е доказано, че 124 вида бълхи и

вида кърлежи могат да пренасят чума. След ухапване от ектопарази ти, бактерият прониква през кожа та и започва да се размножава вътре и извънклетъчно. От мястото на про никването си Y. pestis се разпростра нява по лимфен път, което е послед вано от дисеминация в слезката, белия дроб, черния дроб и централ ната нервна система. Инкубационни ят период е от 2 до 7 дни. Различават се 4 клинични форми на заболява нето: бубонна, белодробна, чревна, септична[1,2,3,4] В миналото бактерият е причинил опустошителни пандемии през

68 І Medical Magazine | ноември 2022 Yersinia
е
рицателна,
пръчица с
оц ветяване,
"ладийка" и без способност да
спори. Произвежда
тифагоцитозен слой
слуз.
факултативен анаероб,
тимална температура на развитие 28 0
чиито растеж се стимулира от добавяне към хранителните среди на хемолизирала кръв и натриев сул фит. Върху твърди хранителни среди дава характерни микроколонии, кои то могат да се наблюдават под лупа и изглеждат като късчета натроше но стъкло, а след по-продължител но култивиране се оприличават на "дантелени кърпички". В течни хра нителни среди бактерия расте под формата на ципа на повърхността, от която в бульона се спускат повлекла наподобяващи "сталактити", които по-късно се превръщат във флокули и се утаяват на дъното на епруветка та. Подобно на другите Yersinia видо ве, тя дава отрицателни тестове за уреаза, лактозна ферментация и ин дол. Каталазната проба е положи телна. Yersinia pestis причинява особено опасна инфекция - чума, популяр на като "Черната смърт". Чумата е най-смъртоносната инфекция в исто рията на човечеството. Основен из точник и резервоар на бактерия са гризачите, но допълнителни източ ници са домашните животни и за болелите от чума. Основният път за пренасяне на заразата от гризачите към човека е трансмисивният – по средством техните бълхи, кърлежи и въшки.
от
изток до Среди земно море през VI и VIII век и убива около 25% от населението в района на Алпите. Опустошителната за Евро Черната смърт в историята, обичаите и изкуството на България Г. Иванов1 , В. Едрева2 , Х. Хиткова2 1Кръжок по клинична ми кробиология, Медицински университет - Плевен 2Катедра "Микробиология и вирусология", Медицин ски университет - Плевен Чумата е остро инфекциозно заболяване, отнело милиони човешки животи. Днес то не е загу било значението си поради възможността причинителя да бъде използван като биологично оръжие. Цел: Да намерим сведения за разпространението на чумата по българските земи в далечното и близкото минало. Да потърсим специфични обреди и ритуали за борба с болестта, както и мястото й в българското изкуство и литература. Методи: Използвани са данни от археологически проучвания, исторически факти, църковни документи и
от етнографски
Резултати: Чумата е върлувала по българските
БАКТЕРИАЛНИ И ВИРУСНИ ИНФЕКЦИИ
pestis
грам-от
неподвижна
биполярно
наподобяваща
образува
ан
от
Yersinia pestis е
с оп
C,
Най-честият
но
9
три различни исторически периода: Юс тиниaновата чума е била разпрос транена
Близкия
описания
проучвания.
земи още преди османското владичество. През вековете са наблюдавани периодични взривове поради демографски, търговски, социал но-икономически причини. Българите са имали уникални ритуали за прогонване на болестта и предпазване от нея. Заключение: Поради факта, че предоставените данни са изключително слабо познати, наше то съобщение показва приноса на българските историци, духовници и археолози в изследва нето на болестта.
Ключови думи: България, изкуство, история, обичаи, чума.

па "Черна чума" през VIII и XIV век, убива 25 милиона души (почти 25% от населението). Третата пандемия започва през 1855 г. в Ки тай и е причинила милиони смъртни случаи.

Епидемични и спорадични случаи има и към момента! Учените вече са проследили пътя на чумата към Европа и респективно българ ските земи. Масовите ѝ развъдници са места, наречени още чумни резервоари. Те се нами рат, дори и днес, в пустинята Гоби, Южен Си бир, провинция Йънан в Китай, някои пустин ни части на Либия и Иран, Източна Африка и Арабския полуостров. В края на ХІІІ в. климатът се променил, в Гоби и Централна Азия настъпило засушаване и така популациите от заразени с бълхи гриза чи се изтеглили на юг, което ги довело до все още съществуващия Път на коприната. Дос тигайки търговските артерии на тогавашния свят, заболяването бързо се разпространява ло с ужасяващи размери. За това благоприят ствали ниските хигиенни навици и недораз витата медицина. Черната смърт настъпва към Балканите през късната есен на 1347 г., но дава на българите известна възможност за подготовка, поради факта, че чумните бакте рии стават латентни при ниски температури и разпространението на болестта е допълни телно възпрепятствано, вследствие на харак терния за България планински релеф. Съще временно информацията за смъртоносната болест в черноморските крайбрежни градо ве и Константинопол, неизбежно достига до по-отдалечените български територии, да вайки известен аванс от поне няколко месеца за подготовка. Сведения за битката водена от българите със заразата ни дават археологическите разкопки на територията на някогашната могъща Дръ стърска крепост (Фиг. 1). Датираните от края на XIV в. гробове №190 и №192, разкриват наличието на кремирани индивиди. Кремацията, като форма на трети ране на тленни човешки останки е крайно не обичайна за този период и дори в нашето съ времие Църквата гледа на нея с неодобрение като на неканонична форма на погребение. Поради това кремацията е тълкувана от ар хеолозите като доказателство, свидетелства що за положени усилия и мерки от страна на българските власти от периода за справяне или ограничаване размера на епидемията[5].

Надгробна плоча на починал от чума жител на Пловдив се съхранява и в Националния ар хеологически музей[6] (Фиг. 2).

Според изследвания на архим. Павел Стефа нов, са свикани два църковни събора през 1347-1348 г. и през 1360 г.[7,8]. В житието на св. Теодосий Търновски се отбелязва, че първи ят събор е насочен срещу хора, дошли в Тър ново от Солун и Константинопол. Те са обви нени в богомилство, като се имат предвид конкретно Лазар, поп Стефан и Кирил Босо та. Но както отбелязва архим. Стефанов, бо гомилството в този исторически период е из ключително слабо документирано. Той счита, че обвинените в тази ерес са всъщност бегъл ци от чумата, които, в желанието си да избя гат от епидемията, се установяват в България. В житието има достатъчно данни и за страш ния глад, който е върлувал сред тези бегъл ци – едно от обвиненията срещу тях е, че се хранели със "скверна храна", т.е. храна, заку пена от цигани или евреи, или такава, която обикновено не се консумира – жаби, змии и др. Това показва в пълна светлина безизходи цата на хората, които подгонени от чумата, се озовават на съвсем чуждо място без препи

Фиг. 1

Дръстърска крепост

Фиг. 2 Надгробна плоча на по чинал от чума, НАМ

[www.medmag.bg ] 69

тание и са принудени да се изхранват по вся

какъв възможен начин. Вторият събор в Тър ново е свикан през 1360 г., когато има втора чумна вълна на Балканите. Той е насочен ди ректно срещу евреите. Тези настроения оба че следва да се тълкуват и като закъснял из раз на антисемитските настроения в Европа именно от 1347-1348 г., когато евреите са об винени, че са причинили епидемията от чума, като са заразили кладенците на християните. По-същественото обаче, е че сред решения та на свикания събор е обявяването на док трината на исихазма като официална форма на християнството, изповядвано в България. Сред неговите най-изтъкнати привържени ци е и последен патриарх на България – Ев тимий. Същността на исихазма акцентира върху строгия аскетизъм, като начин на пре чистване от покварената светска тлен и дис танцирането от светските дела с цел духов но възвисяване и търсене на единение с Бог. Анализирайки това, което знаем за доктри ната, можем лесно да предположим какви са били социално-религиозните нагласи сред голяма част от българското население. Както някои средновековни българи твърдят, през втората половина на XIV в. сред жителите на цяла средновековна Европа царели силно апокалиптични настроения. В един силно ре лигиозен и суеверен свят, какъвто са обита вали жителите на средновековните Балкани е трудно да не се свърже идването на края на дните с пристигането на четиримата библей ски конници на апокалипсиса – Война, Глад, Чума и Смърт.[8] Само за няколко години страшната болест връща страната ни със столетия назад в раз витието, унищожава 40% от тогавашните българи, води до разпад на царството и об ществото и прави страната лесна плячка за нахлуващите от юга османски пълчища. Ма

транила навсякъде. По информация на Иван Дуйчев (1939 г.) през 1643 г. епидемията е по твърдена със сведението, „че в София и дру гите турски градове умирали дневно стоти ци души“, и според Петър Богдан чумата не преставала да върлува по всички селища. За тихва едва към 1648 г.[9] В българските източници чумата е слабо ко ментирана през първото десетилетие на ХVІІІ в. Това дава основание да се предположи, че епидемията тук постепенно се разсейва и за тихва. От тези години е запазен и един ос мански документ. Това е донесение на наиба на Нови пазар от 24 март 1704 г., който съоб щава за починали от върлувалата чумна епи демия в махалата Ахмед паша на града. В ре зултат на това събирането на авариза (вид данък) не е възможно и отново се налага на маляването броя на ханетата (вид облагател на единица за немюсюлманското население) да бъде отразено в дефтера (имперски да нъчен регистър)[10]. Разпространяването на болестта проличава и от пътеписите на Пол Люка. През 1706 г. при пътуването си по Диа гоналния път той установява, че няма чума в Цариград, Свиленград, Харманли, Пловдив, Асеновград, Родопите, Драма и Солун. Отдел ни нейни прояви има в района на Русе – 1703 г., Дупница – 1706 г., Никопол – 1708 г.[9]

За една от чумните епидемии споменава и К. Иречек: "На следната година (1795) избухна ла чума, която изморила повече турци, откол кото българи."[11]. От това може да се направи изводът, че българите са ползвали многове ковния опит в борбата със страшния бич и са вземали предпазни мерки, докато мюсюл маните, отдадени на фатализма, пасивно са посрещали идващата смърт. Според изслед ванията на Д. Маринов върху народните вяр вания "всички болести, които идат било по човека, било по добитъка, са зли духове, кои то са създадени само да го мъчат и да му причиняват зло." Някои от тия духове наказ ват хората за техните грехове. Съществувало е и поверие, че св. Харалампий успял да за пуши в едно шише чумата и по тоя начин да спаси света. Понякога тя се измъквала оттам, нападала хората, но светецът успявал отново да я улови и затвори в шишето. Друго вярва не е, че светецът успял

като в крайна сметка болестта се разпрос

70 І Medical Magazine |
ноември 2022
анализи,
ос манско владичество. Днес се приема, че при предполагаемо население на българското царство от около 2.5 млн. в навечерието на епидемията, след нея са останали не повече от 1.5 млн. българи.[8] Информацията от българите католици съоб щава за многобройни загуби на свещеници, монаси и обикновено население в Никопол ско, Чипровци, Копиловци, Петокладенци,
кар и често подценявана в историческите
именно черната смърт е основна та причина за падането на България под
На
БАКТЕРИАЛНИ И ВИРУСНИ ИНФЕКЦИИ
да окове чумата с де вет вериги[12] (Фиг. 3).
тази епидемия има посветен специален празник – Чумин ден, който се празнувал на

10 февруари в чест на светеца. На този ден не се работело, месел се обреден хляб и се раз давал за "чумно здраве". Колкото и опасна и зловеща да е чумата, има утвърдени от традицията начини за справяне с нея. При появата на епидемия се следвало правилото "При чума бегай у шума": хората са напускали селищата си и са се изнасяли в го рата, докато бедствието отмине – една пър вична форма на физическа изолация. По този начин, разказват преданията, възниквали нови селища или пък съществуващите сменя ли местата си. По данни на М.Кръстев "през 1836-1837 г. чумата се появила отново в Бъл гария, пренесена от турци от Мала Азия. Пър вите заболявания и смъртни случаи започ нали от 14.11.1836 г. През пролетта на 1837 г. обхванала и българските махали в Плевен и околните села. Според преданията в с. Къ шин е имало над 300 моми и 300 момци, кои то били покосени от страшната болест. От ця лото село на ден са измирали по 50-60 души. Хората почнали да бягат по долината на р. Вит и р. Чернялка, в пещерите и бранищата, но и там били покосявани от болестта. По край лошотиите си, чумата в Плевенско има ла за българите и добра страна: турското население оредяло, а в с. Къшин напълно из чезнало. След 2-3 години населението се ус покоило, но страхът от болестта, жаждата и гладът за земя накарало бедното българско селячество да напусне родните си домове и да ги премести на нова територия"[13]. Имен но поради тази причина с. Къшин се измест ва на 2 км. от първоначалното си местополо жение – понастоящем наречено местността "Гнилата".

Предприемали се и ритуални мерки за спра вяне с бедата. Видният български етнограф Димитър Маринов описва обреда "заорава не", който се прилагал както при създаване на ново село за предпазване от злини, така и при поява на епидемия. Накратко описан, тоя сложен обред се извършва така: намират дърво близнак и от него правят ярем,

Фиг. 3 Фреска на Чумата, вър зана от Св. Харалампий от църквата “Св. св. Пе тър и Павел” в Тресонче

Фиг. 4 Ритуални предмети за обреда “заораване”ярем, воище, рало, па лешник

[www.medmag.bg ] 71
воище и рало. Събира се желязо от девет каази и от това желязо се прави палешник (Фиг. 4). Палешникът се прави нощно
голямо, то заораването става наширо ко. Тоя обред се е извършвал само, когато върлувала чума и холера. Ако заорат селото, чума не може да мори това село. Заораване то е ставало при заселване на селището или когато се чуе, че идва чумна епидемия. Освен в „заорано” селище, чумата не могла да вли за и мори хората там, където има кучета съ ботници и стопаните на селата са самовили. Друг ритуал с подобен смисъл е провиране то през дреха. Това е особена магическа дре ха, изработена
време, в по тайна доба от двама голи ковачи-близна ци. Намират се два вола - близнаци и ковачи те заорават селището с тях, т.е. правят около цялото селище три бразди във вид на кръг. Понеже се предполага, че селото някога ще бъде
за една нощ: остригва се въл на от черен овен, която се изпира, изсушава, изприда и изтъкава, а от плата се скроява и

ушива дреха. Всичко трябва да е го тово преди изгрев слънце. В потайна доба всички членове на домочадие то, отново голи, се провират през тая дреха и така стават недосегаеми за болестите. Друг обред е добиване то на „млад“, „жив“ или „див“ огън –отново от братя близнаци, които за палват огън чрез триене на дървени предмети[12]. Семантиката и на трите обреда на сочва към ритуално повторение на митичното сътворяване на света и живота. Завръщането към сакрално то първоначално е призвано да обно ви света и човека и да ги върне към изначалната хармония и ред. Придвижването на чумата ставало от село в село, но от песни и предания се разбира, че в Странджанско тя ви наги е идвала от юг, от близките до Мала Азия селища и главно от „Стам бола”, средиземноморски кръстопът и граница на два континента. Прене сена по море или от пътуващи търго вци, епидемията се развихряла през най-горещите и сухи дни на лятото. В песенния фолклор е наречена с епи тетите „черна“ или „огнена“, защо то пали и гори и оставя след себе си всичко в черно. В народните предста ви тя е имала образа на стара, грозна бабичка с дълги ръце и огромни но

кти. В ръцете си държала коса, с коя то отсичала главите на хората. Била облечена в черни дрипи. Тя била тол кова страшна, че само като я поглед нел човек и умирал от страх. Била из пращана от Господ на хората тогава, когато повечето жители на селото или града започвали да вършат без закония и станели грешници. Макар че работела по списък, тя често про явявала самовластие – можела да мори където си поиска и колкото по желае хора. Според вярването, ко гато тръгнела да мори, тя била при дружавана от своето дете – чумниче. За да ги умилостивят, стопаните при готвяли корито, гребен, хума и ко тел с топла вода, за да може чумата да се умие и да окъпе детето. Слага ли и софра с медена пита, вино и сол, за да я нагостят. Смятали, че така ще я умилостивят и тя ще подми не къщата. Най-предпочитани от нея били махалите или къщите, в кои то живеели престъпници, магьосни ци, леки жени, кръчмари, които кръ щавали виното и ракията, търговци, които удряли в кантара или слагали натрошена керемида в червения пи пер. Безпощадна била и към преда тели, насилници и народни изедни ци. И обратно – не влизала в къщите на вдовици със сирачета[14,15]. Дими тър Маринов цитира текст от народ на песен от с. Ресен, Търновско, сви

детелстващ за срещата на чумата със сирака Стоян, който бил записан в тефтера ѝ: "Иди си, Стоене, не бой се. Чумата сираци не мори!"[16]. Явно са ѝ приписвани и социално-защит ни функции. Българският автор Йордан Йовков определя времето в разказа "През чумавото" като нездраво и задушно. Напластявайки описанията с при зрачни и страшни детайли, авторът ни въвежда директно в изпълнена та с мъка и безнадеждност дейст вителност. Тук селяните живеят в страх от чумата, страх, който помът ва разума. Светът в разказа е двуполюсен - тук в селото, където броди не чумата, а страхът, и там в долните села, къ дето вилнее смъртоносната болест. В "През чумавото" пространствени те ориентири са изведени във вер тикал горе-долу. В долния свят се намира чумата. Тя символизира аб солютното зло, всички нещастия, които могат да застигнат човека, смъртта. Тя е свързана с пътя между двата полюса, отдолу-нагоре. Тя пъ тува на кон, лети с орлите, тя е път ник, който сполита човешкия свят и унищожава всичко в него. Тя е про клятие, изпратено от Бога заради човешките грехове[17]

ed., Vol.2,1988, B.C. Decker Inc, PA, 497-508

Scheld W.M.,Craig W.A,Hughes J.M.,Emerg ing infections ,5th ed.,2001,ASM Press,215-218

72 І Medical Magazine | ноември
2022
ИЗПОЛЗВАНА ЛИТЕРАТУРА: 1. Forbes B.A., Sham D.F., Weissfeld A.S., Bai ley &
Diagnostic
2. Murray
Rosenthal K.S., Pfaller M.A.,
3. Parker M.T., Collier L.H., Toply & Wilson’s,
4.
5. Веселин Асенов .Как Черната смърт „завладя“ Балканите
7. Тантилов, Хр. 1941а: Исторически данни и хронология на чумните епидемии в България от 1239 до 1838 година. –Терапевтичен месечник, бр. 2. 8. Николов М. Чумната епидемия на Балканите и пътят ѝ в Европа през XIVв. https://www.burgasmuseums.bg/bg/enc detail/chumnata-epidemiya-balkanite-pu tyat-evropa-prez-xivv-310 9. Манолова-Николова Н., М. ПетковаЕнчева. За чумната епидемия на Балканите в края на ХVІІ – началото на ХVІІІ век. Културна и медицинска антропология. Издателство БАН „Проф. Марин Дринов“, 2015, с. 166 – 171. 10. Велков, А. 1986: Видове османотурски документи. Принос към османотурската дипломатика. София. 11. Иречек, К. История на българите. С., 1978, с. 530. 12. Маринов, Д. Народна вяра и религиозни народни обичаи. София, 1994. 13. Кръстев, М.И. Доклад за историческото и революционно минало на с.Къшин, ок. Плевенградска. АрхивКметство с.Къшин 14. Троева, Е. Демонизираните образи на другостта. – Етнографски проблеми на народната култура. Т. 8. Съст. А. Анчев. Академично издателство „Проф. М. Дринов”. София, 2011, 151-176. 15. Георгиев, М. Слово за словото. Опит върху антропологията на ритуала. София, 2002 16. Срв. Маринов, Д. Избрани съчинения. Т. 1. С., 1984, с. 282, 283; Т. 2. С., 1984, 118120, 611. 17. Йовков Йордан – „През чумавото” (кратък анализ) БАКТЕРИАЛНИ И ВИРУСНИ ИНФЕКЦИИ
Scott’s
Microbiology,11th ed. 2002, Mosby, 365-367
P.R,
Medical Microbiology,7th ed.,2013, Elsevier Sanders, PA, 267-269
Principles of bacteriology, virology and im munity ,8th
https://bulgarianhistory.org/chuma-cher na-smurt/ 6. https://bnr.bg/en/post/101373034/ first-quarantine-centers-in-bulgaria-were-es tablished-because-of-cholera-in-19th-centu ry?fbclid=IwAR2efiH8rieupu5PEOwNYnVx QFsZwuvUL-vn1QtFrBf4Ti1hDXE1faCqy2Y

Derma-Act

София, бул. Черни връх 150

De rma-Act Infinity

София, ул. Папрат 6В

Turn static files into dynamic content formats.

Create a flipbook
Issuu converts static files into: digital portfolios, online yearbooks, online catalogs, digital photo albums and more. Sign up and create your flipbook.