ГДЗ Геометрія 10 клас Мерзляк 2023 профільний рівень

Page 1

§1. Вступ до стереометрії (№1.10-3.42)

1.Основні поняття стереометрії. (№1.10-1.31)

2.Наслідки з аксіом стереометрії (№2.4-2.22)

3.Просторові фігури. (№3.1-3.42)

§2.Паралельність у просторі (№4.1-7.42)

4.Взаємне розміщення двох прямих у прост. (№4.1-4.30)

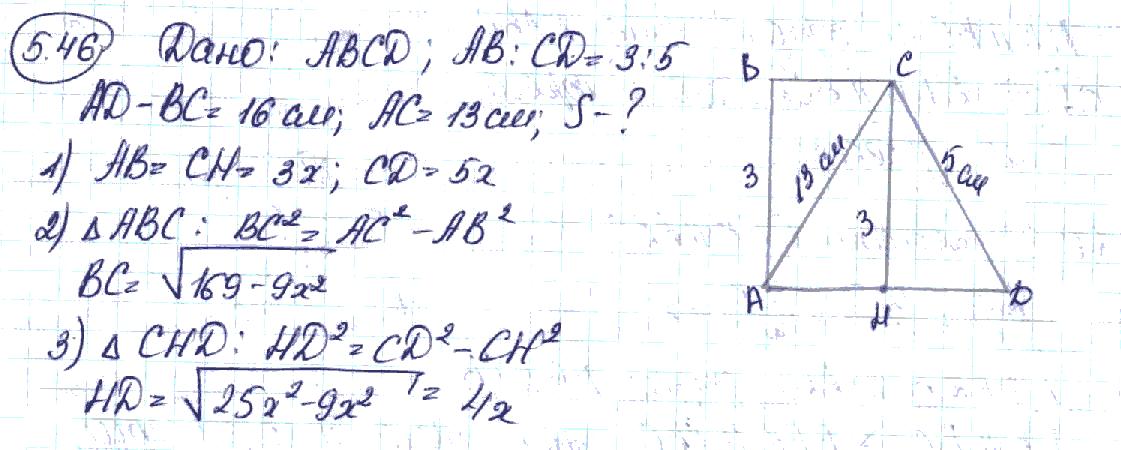
5.Паралельність прямої та площини (№5.1-5.46)

6.Паралельність площин (№6.3-6.36)

7. Перетворення фігур у просторі. (№7.3-7.42)

ГДЗ Геометрія
клас Мерзляк 2023 профільний рівень
10

§3. Перпендикулярність у просторі (№8.1-15.26)

8. Кут між прямими в просторі (№8.1-8.18)

9. Перпендикулярність прямої та площини (№9.2-9.42)

10. Перпендикуляр і похила (№10.1-10.41)

11. Теорема про три перпендикуляри (№11.1-11.30)

12. Кут між прямою та площиною (№12.2-12.35)

13. Двогранний кут. Кут між площинами (№13.1-13.42)

14. Перпендикулярні площини (№14.1-14.36)

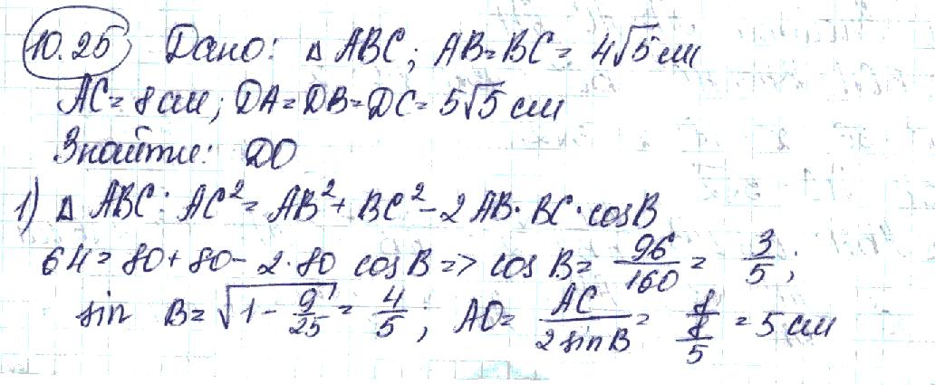
15. Площа ортогональної проекції (№15.1-15.26)

§ 4. Координати та вектори у просторі (№16.1-23.70)

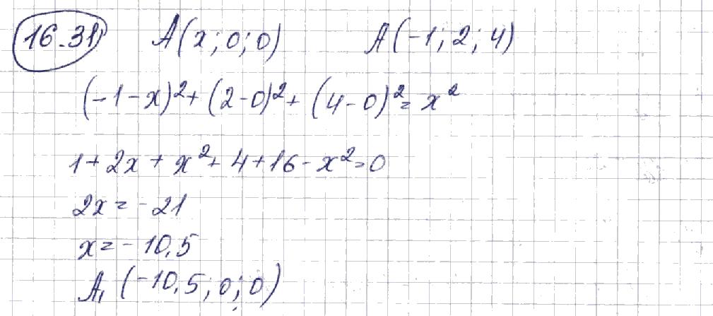
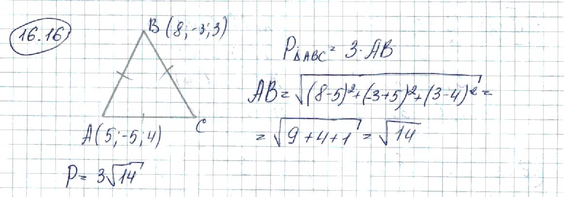
16. Декартові координати точки (№16.1-16.44)

17. Вектори в просторі (№17.1-17.29)

18. Додавання і віднімання векторів (№18.1-18.33)

19. Множення вектора на число. Гомотетія (№19.1-19.38)

20. Скалярний добуток векторів (№20.1-20.37)

21. Геометричне місце точок (№21.1-21.27)

22. Рівняння площини (№22.1-22.20)

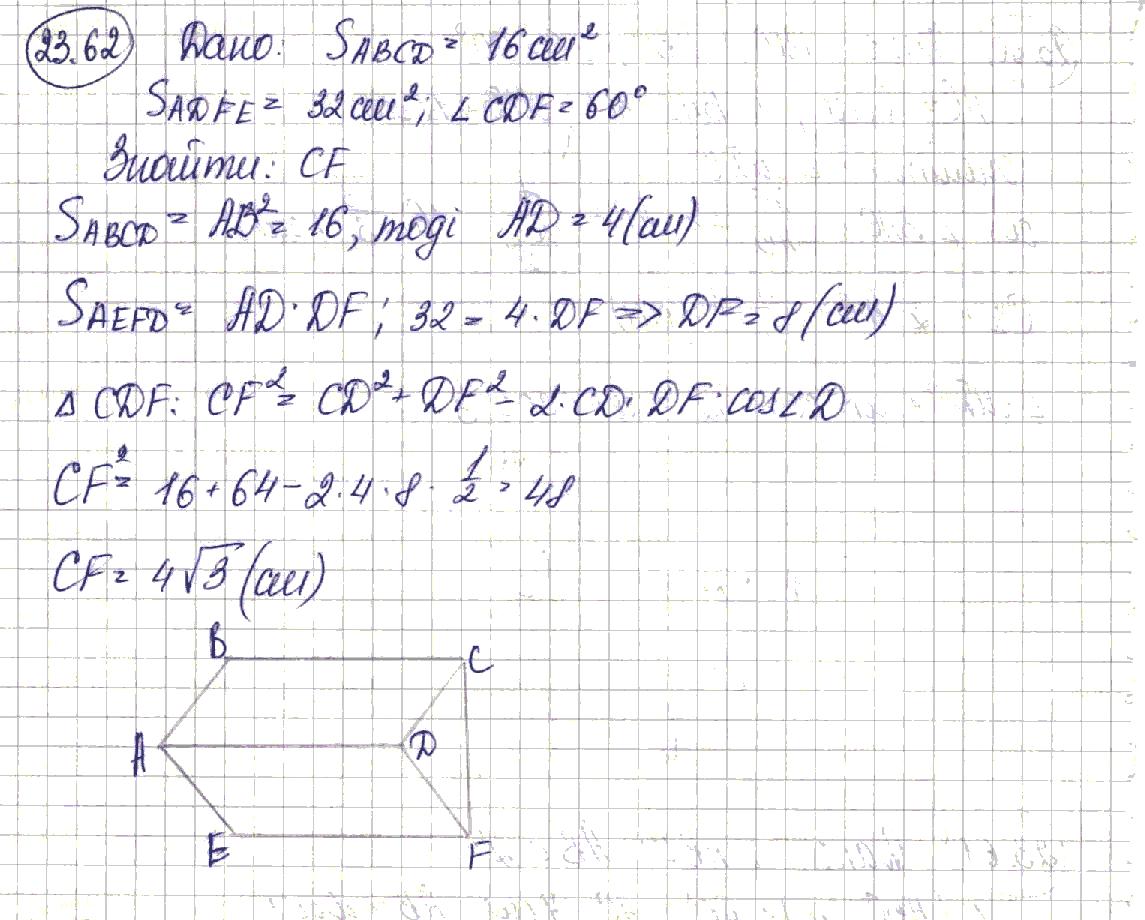
23. Вправи для повторення курсу геометрії (№23.1-23.70)

shkola.in.ua

1.
до стереометрії
стереометрії.
стереометрії 1.10. 1.11. 1.12. 1.13. 1.14. 1.15.
1.16. 1.17. 1.18. 1.19. 1.20. 1.21.
§
Вступ
1. Основні поняття
Аксіоми
Так Ні
1.22. 1.23. 1.24. 1.25. 1.26.
shkola.in.ua
1.27. 1.28. 1.29. 1.30. 1.31.
shkola.in.ua

shkola.in.ua

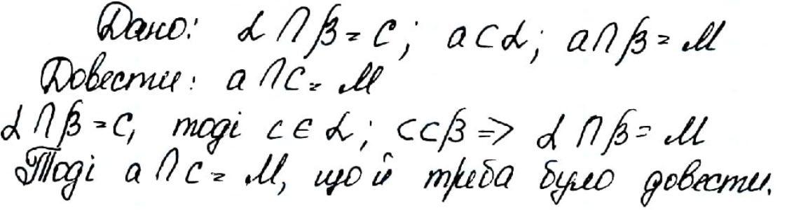
2. Наслідки з аксіом стереометрії

shkola.in.ua

shkola.in.ua

shkola.in.ua

3. Просторові фігури. Початкові відомості про многогранники

shkola.in.ua

shkola.in.ua

shkola.in.ua

shkola.in.ua

shkola.in.ua

shkola.in.ua

§2.Паралельність у просторі

4. Взаємне розміщення двох прямих у просторі

shkola.in.ua

shkola.in.ua

shkola.in.ua

shkola.in.ua

shkola.in.ua

5. Паралельність прямої та площини

shkola.in.ua

shkola.in.ua

shkola.in.ua

shkola.in.ua

shkola.in.ua

shkola.in.ua

shkola.in.ua

shkola.in.ua

shkola.in.ua

shkola.in.ua

6. Паралельність площин

shkola.in.ua

shkola.in.ua

shkola.in.ua

shkola.in.ua

shkola.in.ua

shkola.in.ua

shkola.in.ua

7. Перетворення фігур у просторі. Паралельне проектування

shkola.in.ua

shkola.in.ua

shkola.in.ua

shkola.in.ua

shkola.in.ua

shkola.in.ua

§3. Перпендикулярність у просторі

8. Кут між прямими в просторі

shkola.in.ua

shkola.in.ua

shkola.in.ua

shkola.in.ua

shkola.in.ua

та площини
9. Перпендикулярність прямої

shkola.in.ua

shkola.in.ua

shkola.in.ua

shkola.in.ua

shkola.in.ua

shkola.in.ua

shkola.in.ua

shkola.in.ua

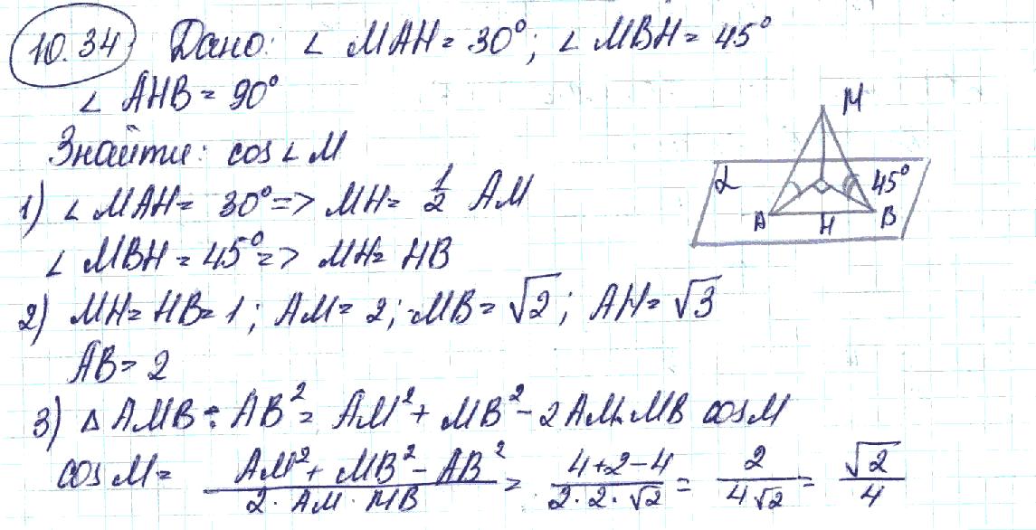
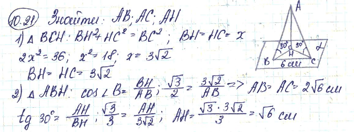
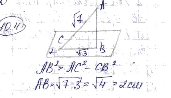
10. Перпендикуляр і похила
shkola.in.ua

shkola.in.ua

shkola.in.ua

shkola.in.ua

shkola.in.ua

shkola.in.ua

shkola.in.ua

shkola.in.ua

shkola.in.ua

shkola.in.ua

shkola.in.ua

11. Теорема про три перпендикуляри

shkola.in.ua

shkola.in.ua

shkola.in.ua

shkola.in.ua

shkola.in.ua

shkola.in.ua

shkola.in.ua

shkola.in.ua

shkola.in.ua

shkola.in.ua

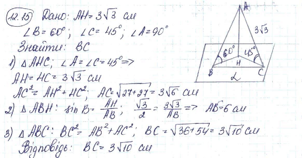
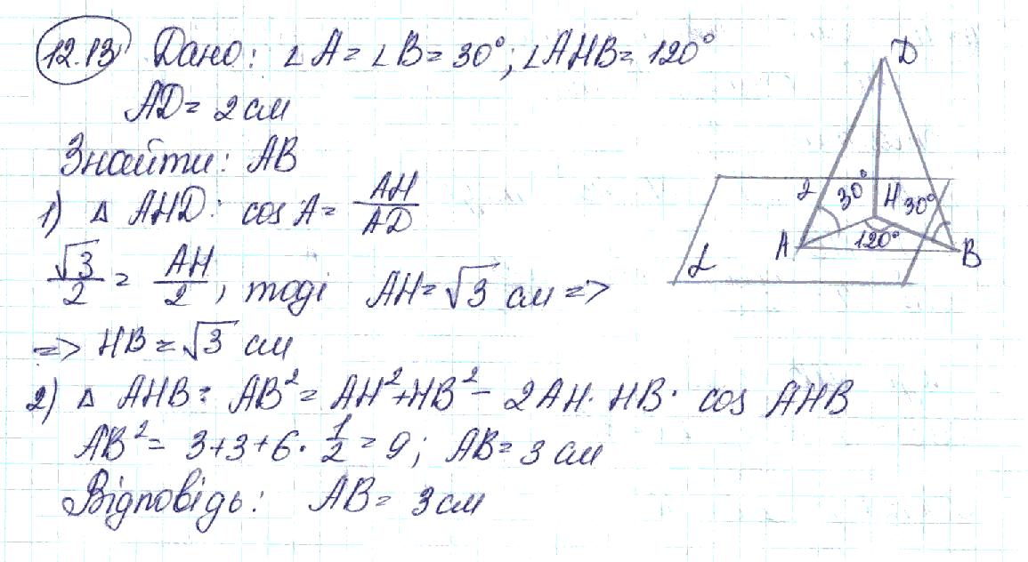
12. Кут між прямою та площиною

shkola.in.ua

shkola.in.ua

shkola.in.ua

shkola.in.ua

shkola.in.ua

shkola.in.ua

shkola.in.ua

shkola.in.ua

shkola.in.ua

shkola.in.ua

shkola.in.ua

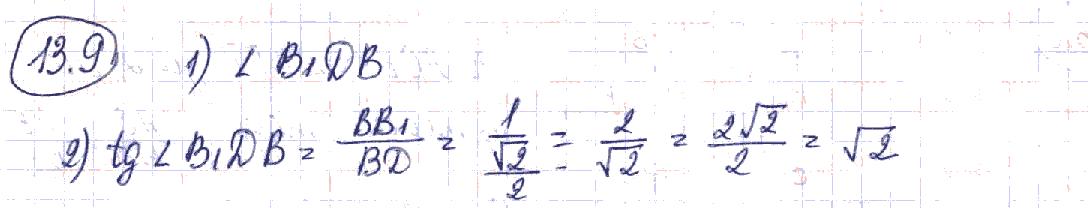
13. Двогранний кут. Кут між площинами

shkola.in.ua

shkola.in.ua

shkola.in.ua

shkola.in.ua

shkola.in.ua

shkola.in.ua

shkola.in.ua

shkola.in.ua

shkola.in.ua

shkola.in.ua

shkola.in.ua

shkola.in.ua

shkola.in.ua

shkola.in.ua

shkola.in.ua

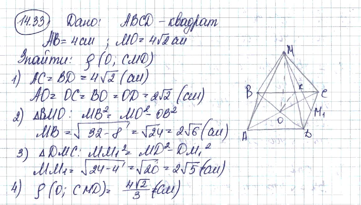
14. Перпендикулярні площини

shkola.in.ua

shkola.in.ua

shkola.in.ua

shkola.in.ua

shkola.in.ua

shkola.in.ua

shkola.in.ua

shkola.in.ua

shkola.in.ua

shkola.in.ua

shkola.in.ua

shkola.in.ua

shkola.in.ua

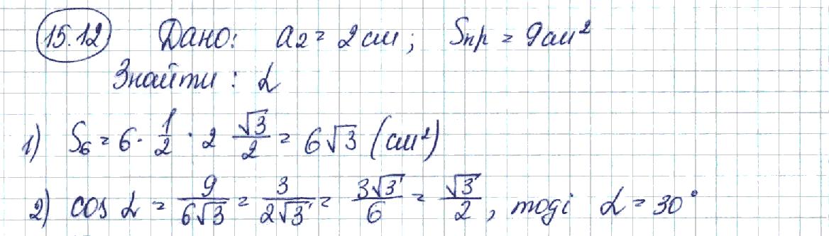
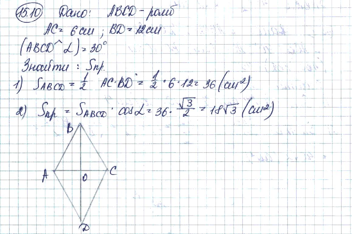
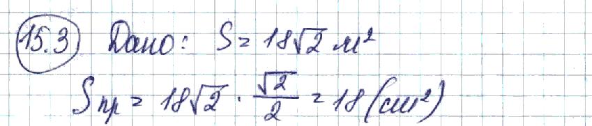
15. Площа

shkola.in.ua

ортогональної проекції многокутника

shkola.in.ua

shkola.in.ua

shkola.in.ua

shkola.in.ua

shkola.in.ua

shkola.in.ua

shkola.in.ua

shkola.in.ua

§ 3. Координати та вектори у просторі

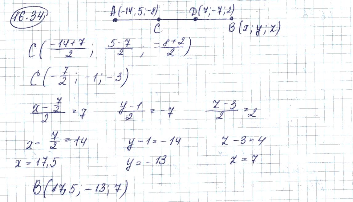
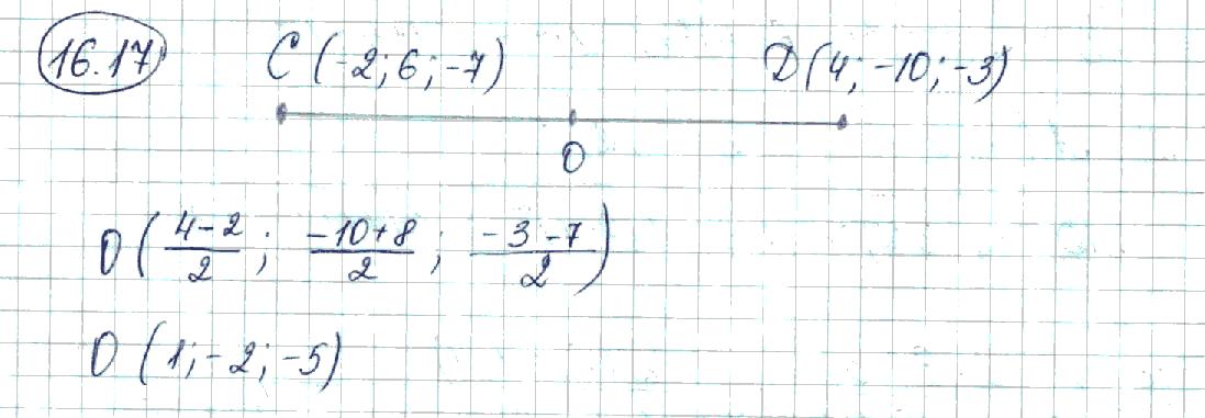
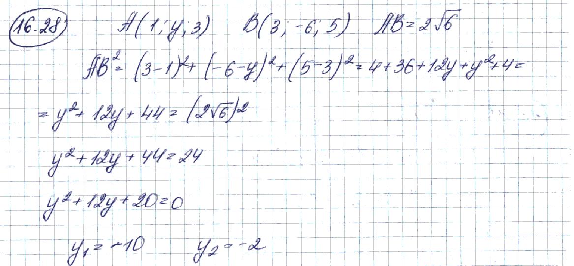
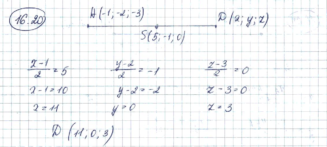
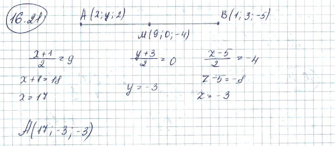
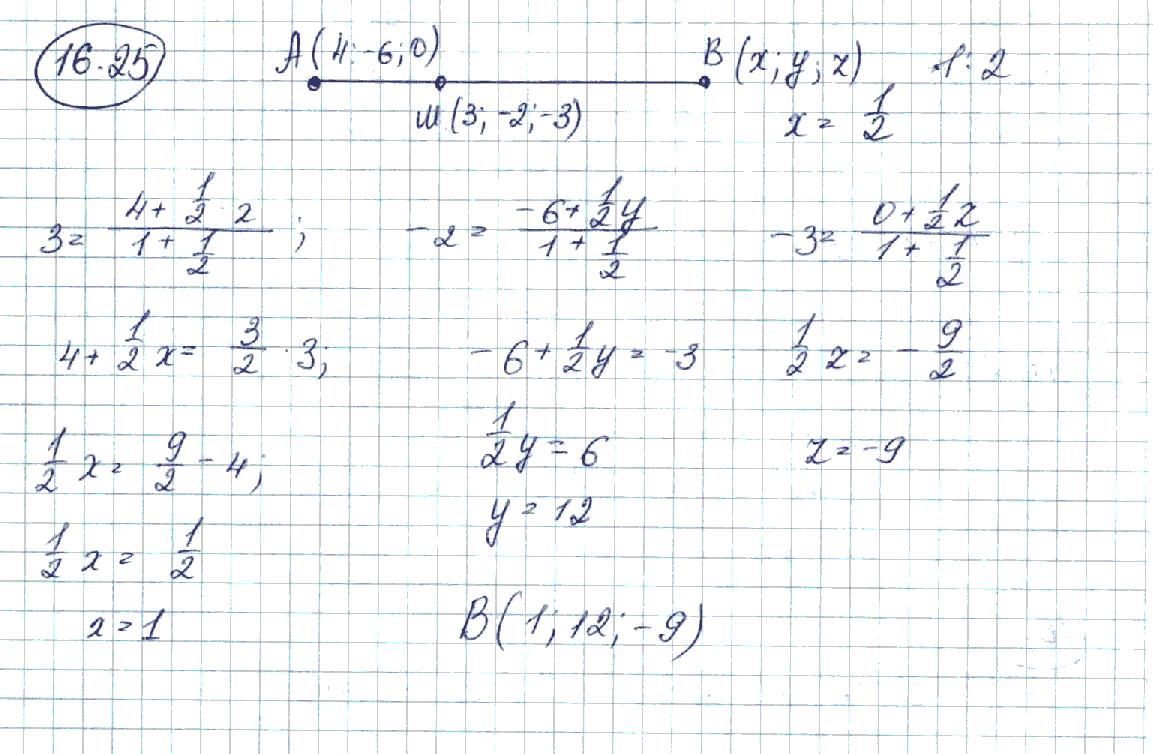
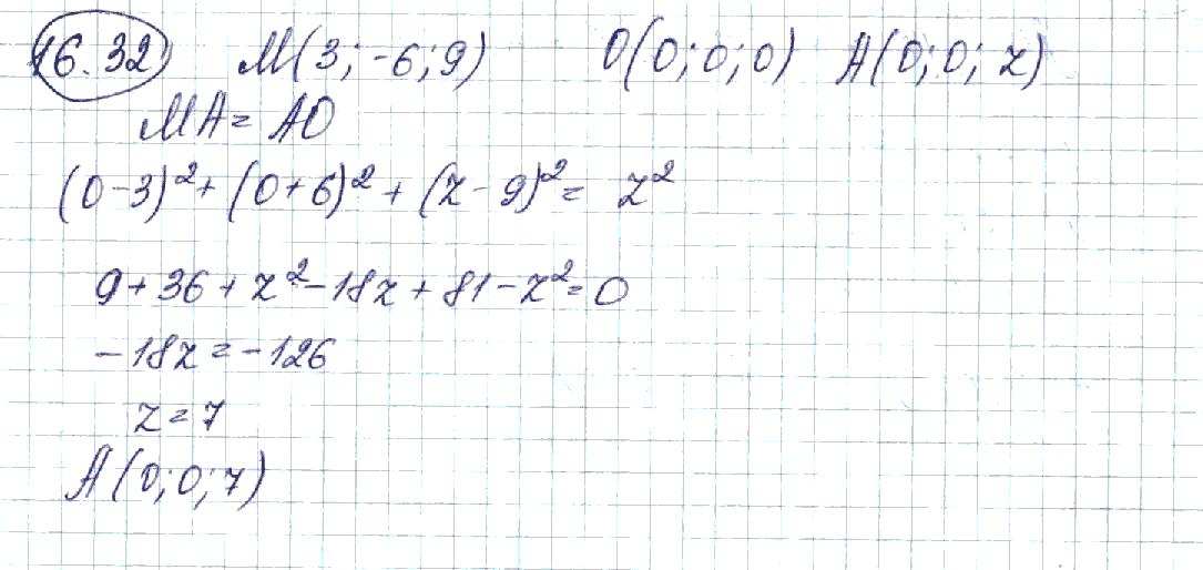
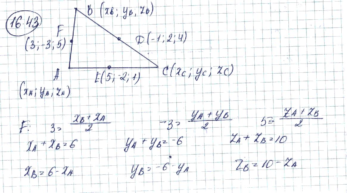
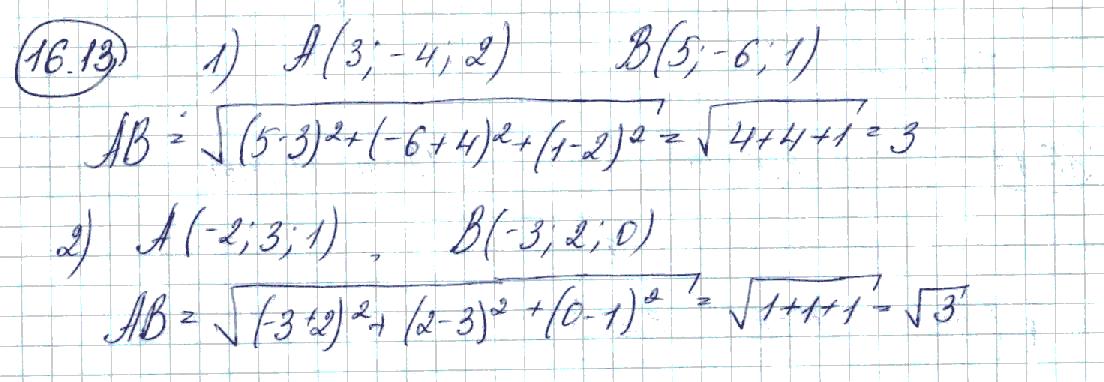
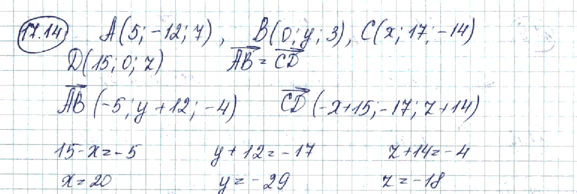
16. Декартові координати точки

shkola.in.ua

shkola.in.ua

shkola.in.ua

shkola.in.ua

shkola.in.ua

shkola.in.ua

shkola.in.ua

shkola.in.ua

shkola.in.ua

shkola.in.ua

shkola.in.ua

shkola.in.ua

shkola.in.ua

shkola.in.ua

shkola.in.ua

shkola.in.ua

shkola.in.ua

shkola.in.ua

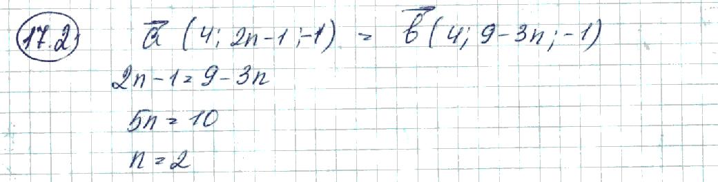
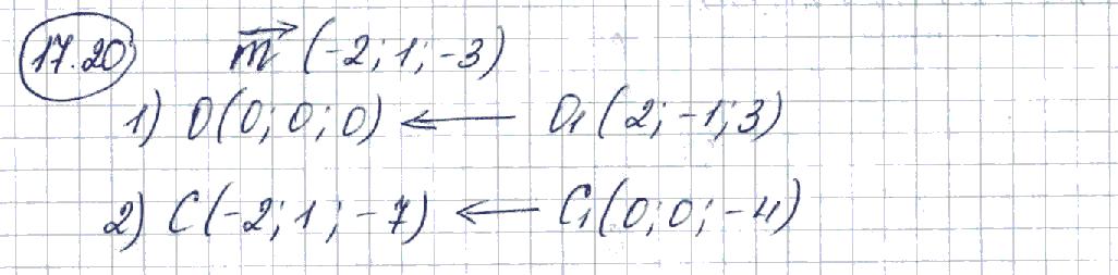
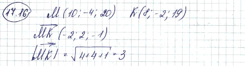
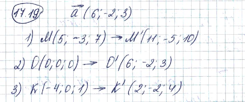
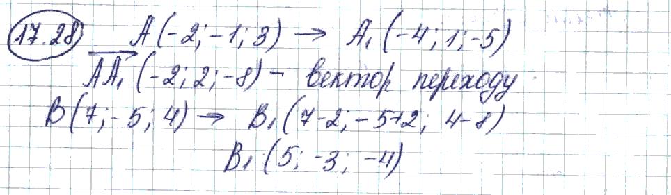
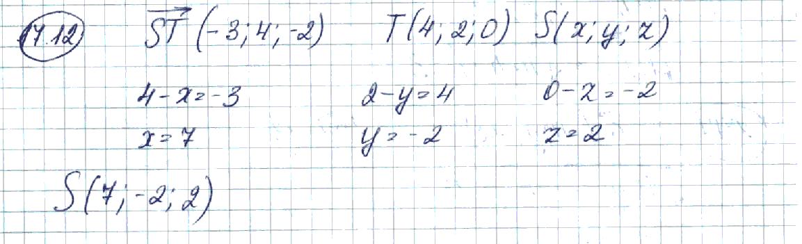
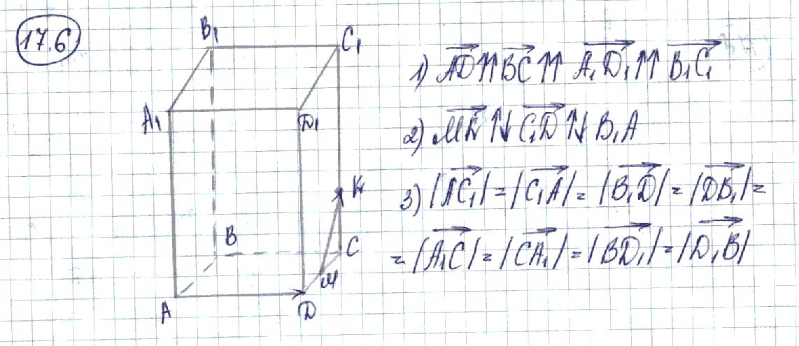
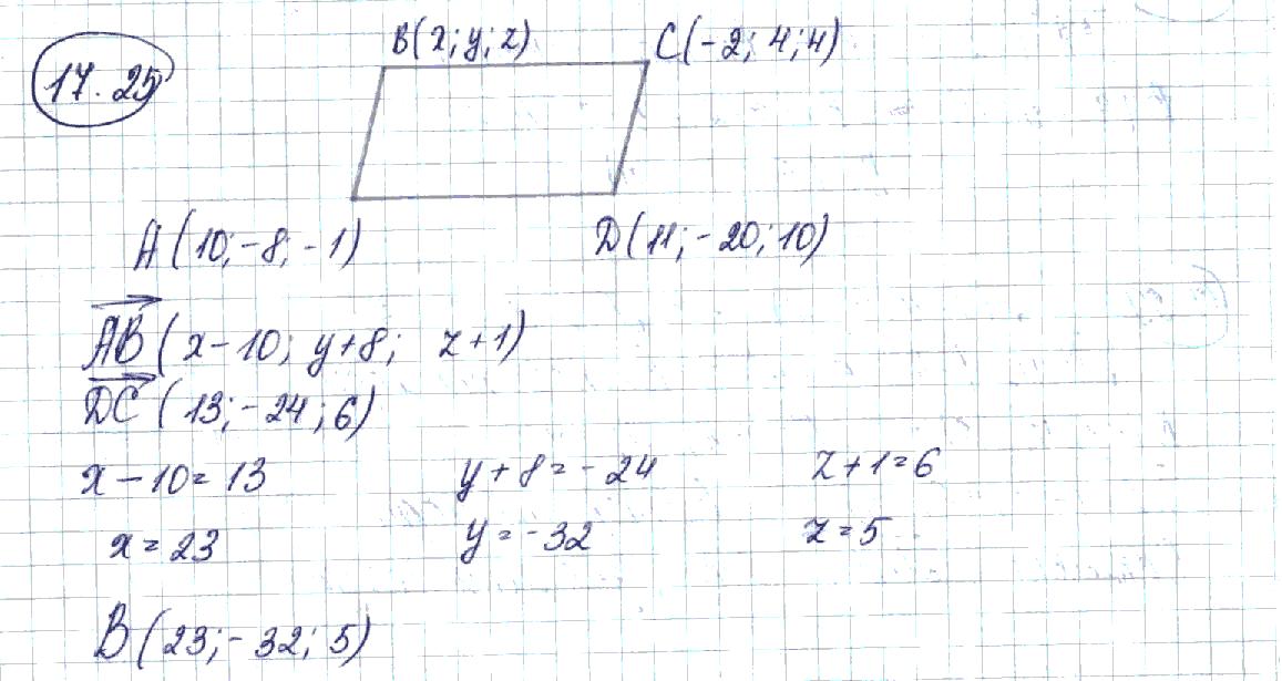
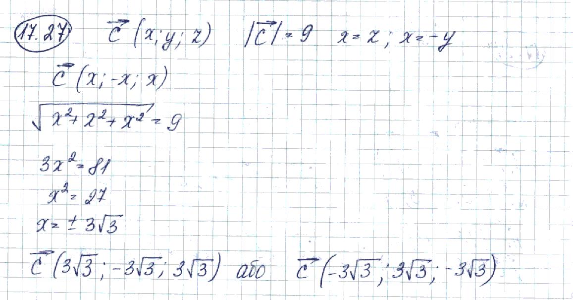
17. Вектори в просторі

shkola.in.ua

shkola.in.ua

shkola.in.ua

shkola.in.ua

shkola.in.ua

shkola.in.ua

shkola.in.ua

shkola.in.ua

shkola.in.ua

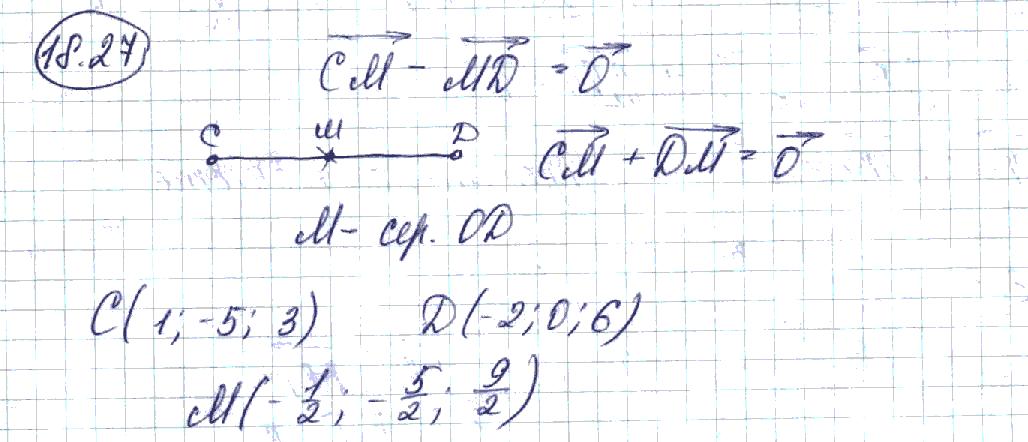
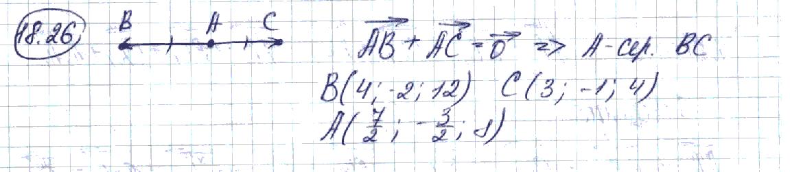
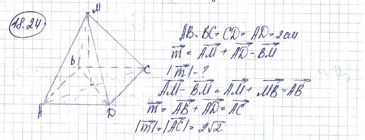
18. Додавання і віднімання векторів

shkola.in.ua

shkola.in.ua

shkola.in.ua

shkola.in.ua

shkola.in.ua

shkola.in.ua

shkola.in.ua

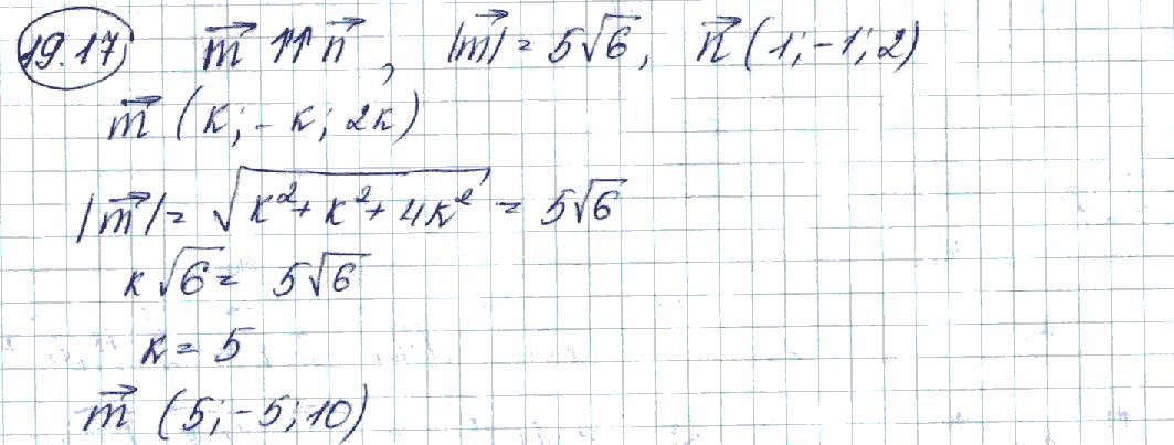
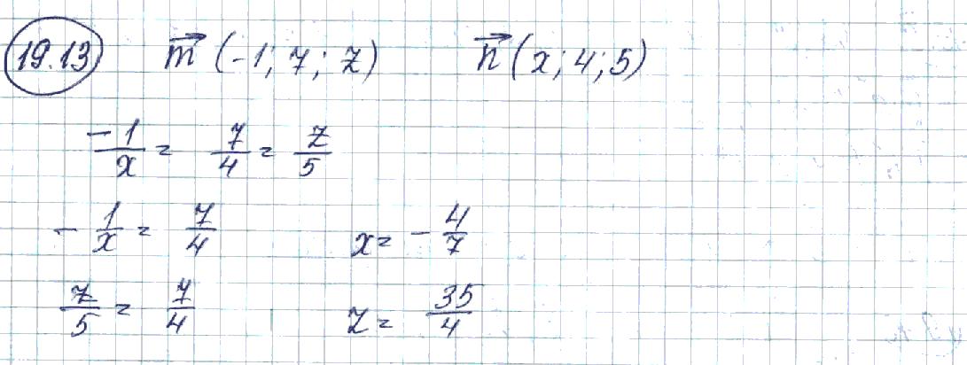
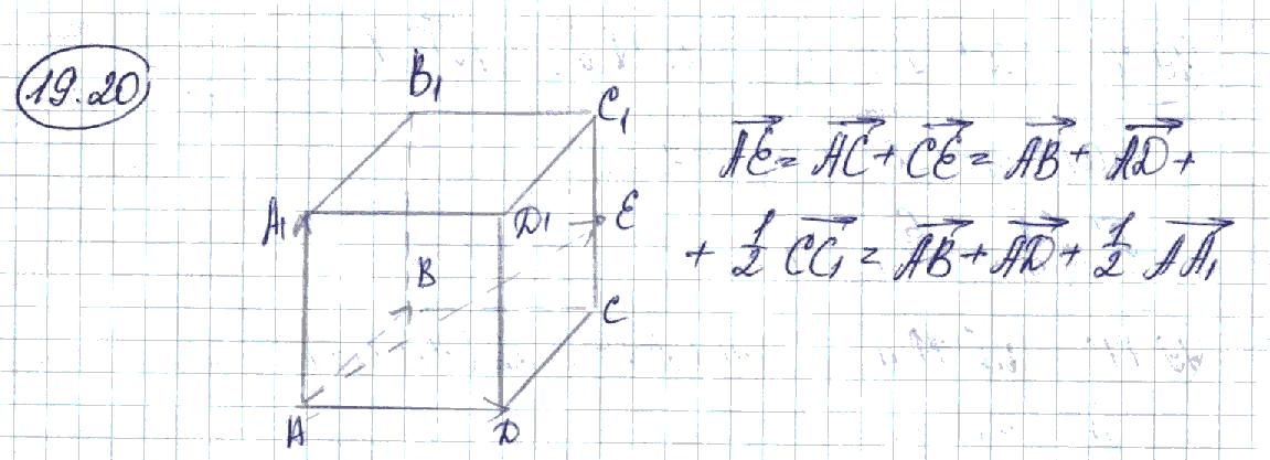
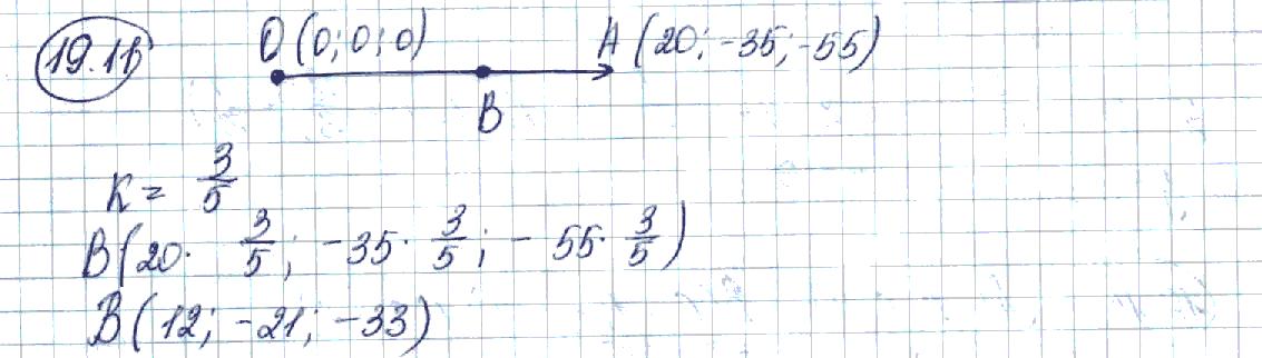
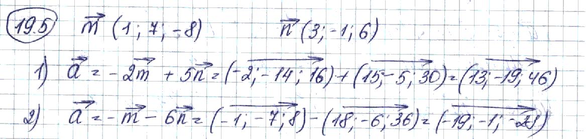
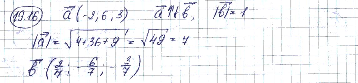
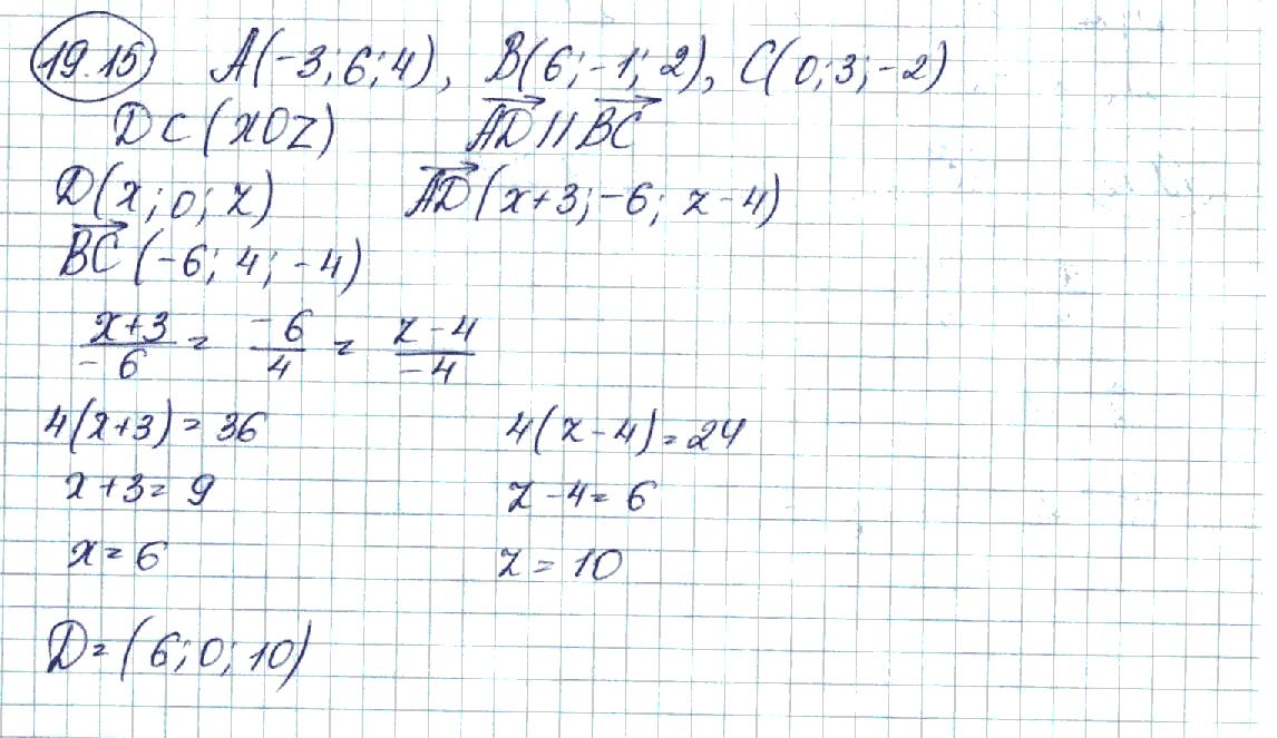
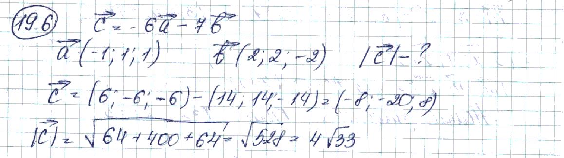
19. Множення вектора на число. Гомотетія

shkola.in.ua

shkola.in.ua

shkola.in.ua

shkola.in.ua

shkola.in.ua

shkola.in.ua

shkola.in.ua

shkola.in.ua

shkola.in.ua

shkola.in.ua

shkola.in.ua

shkola.in.ua

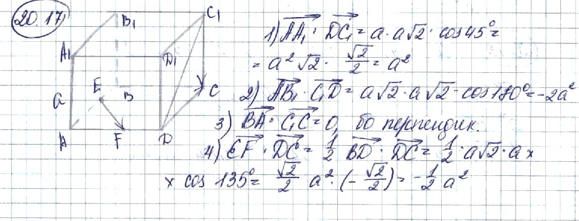
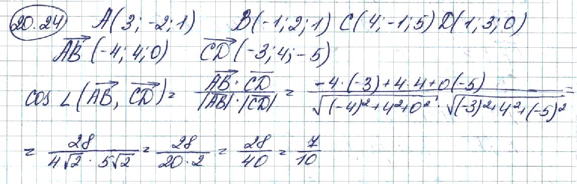
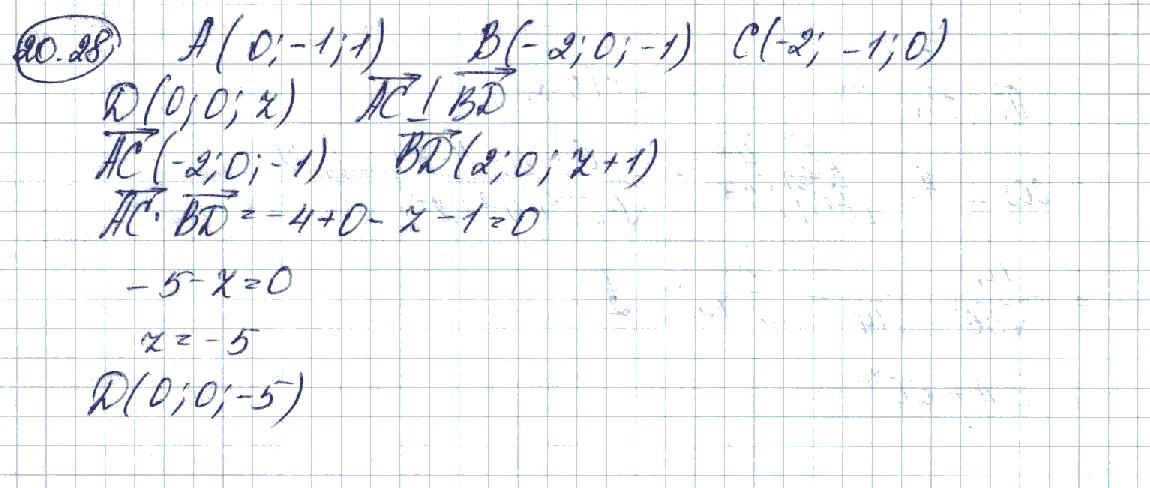
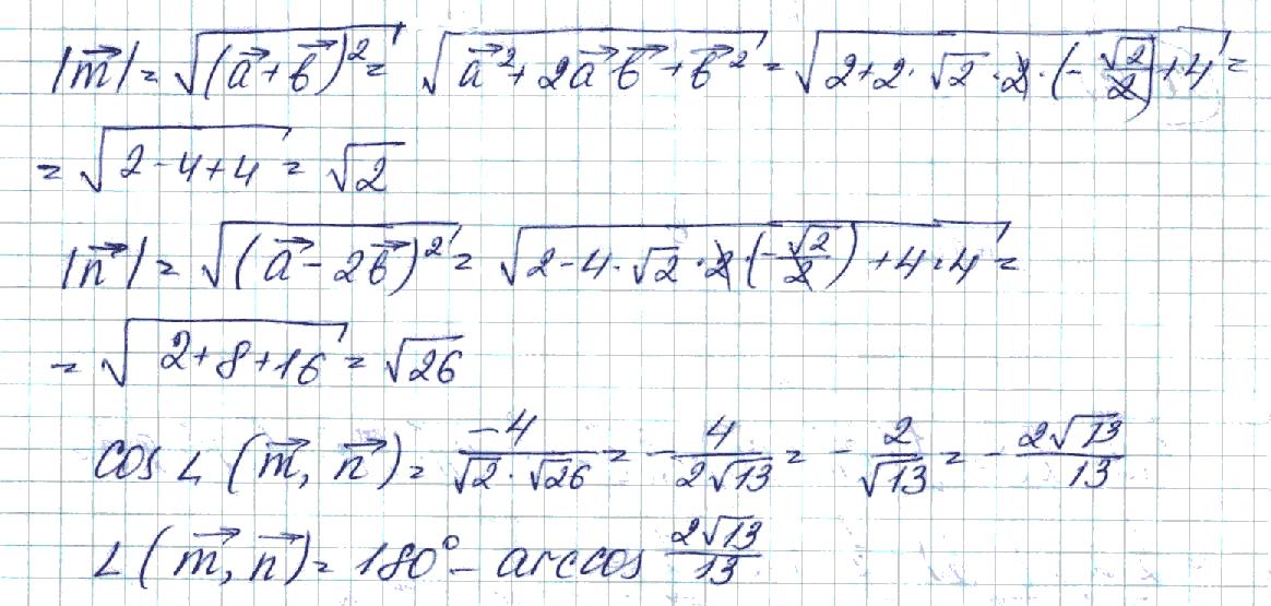
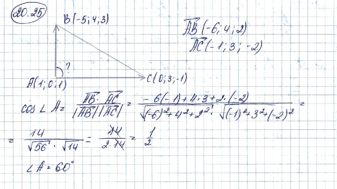
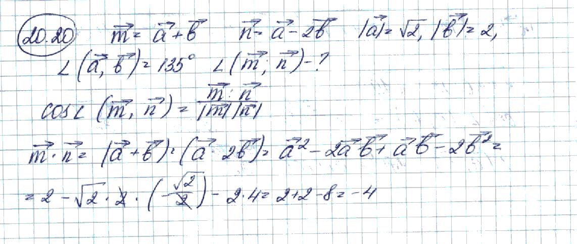
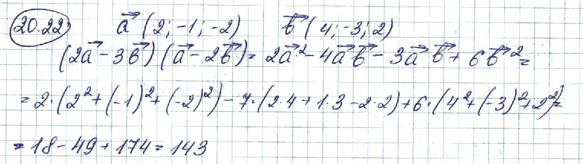
Скалярний добуток векторів
20.

shkola.in.ua

shkola.in.ua

shkola.in.ua

shkola.in.ua

shkola.in.ua

shkola.in.ua

shkola.in.ua

shkola.in.ua

shkola.in.ua

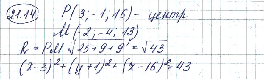
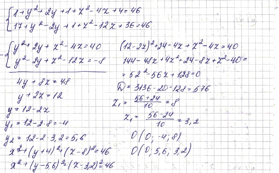
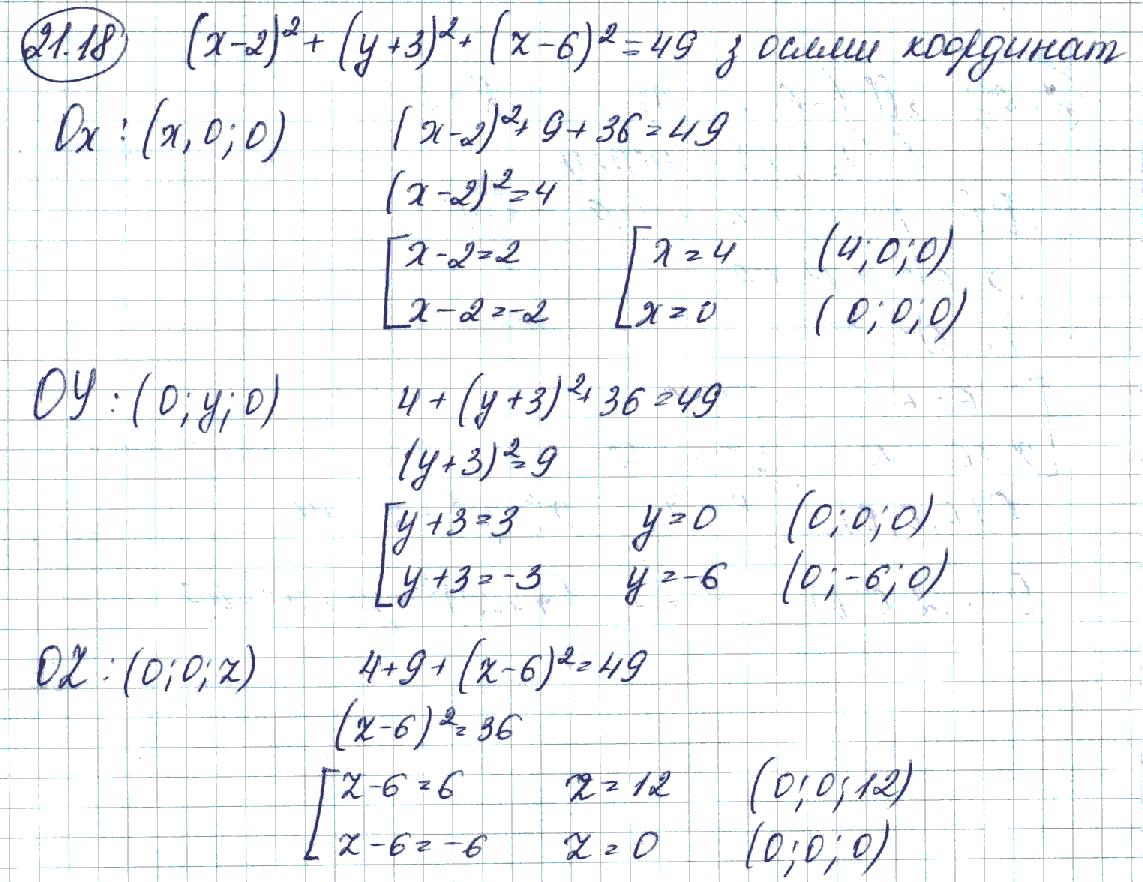
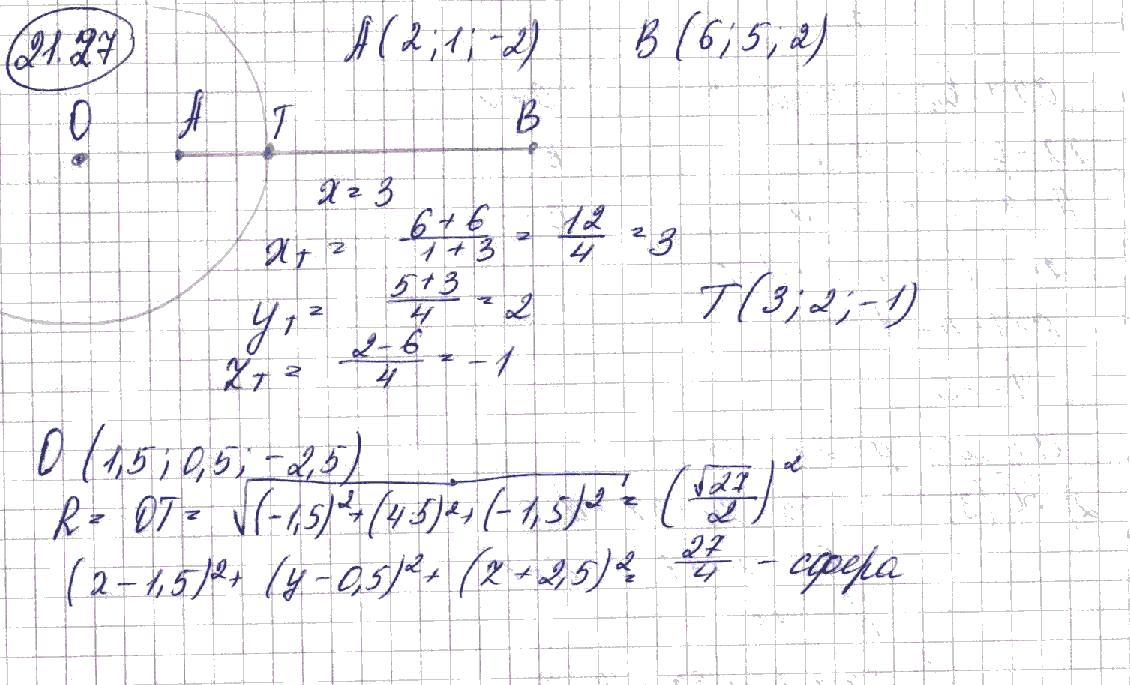
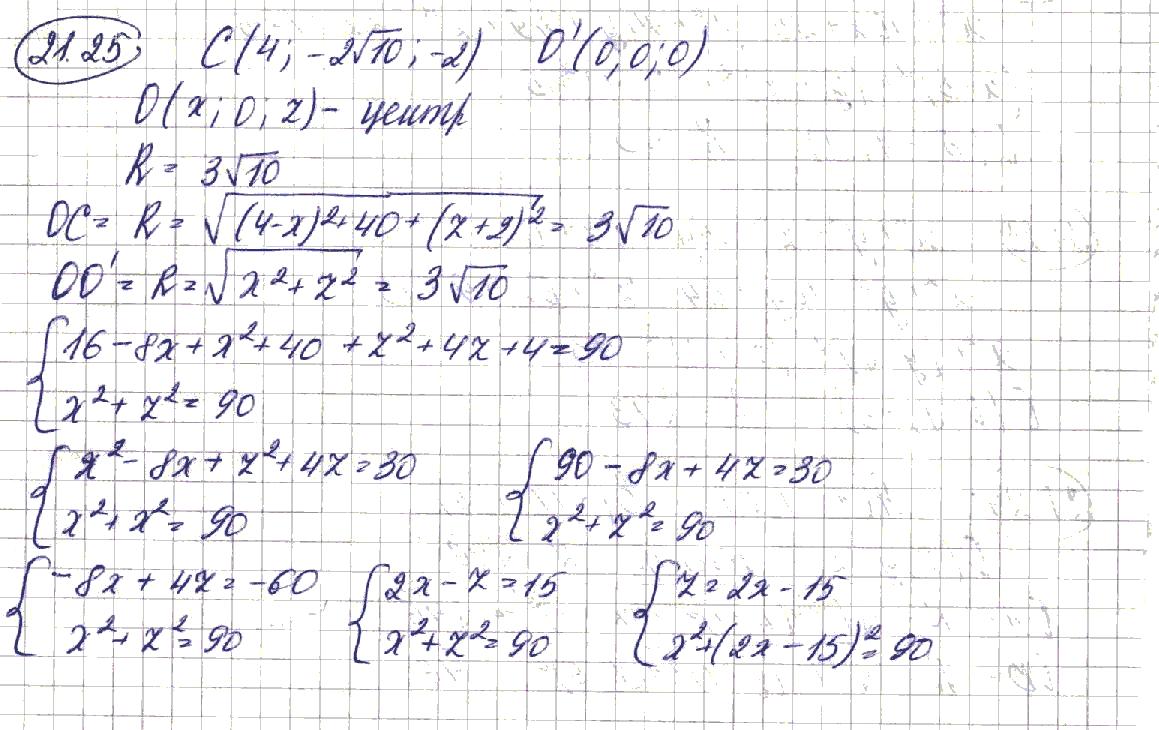
21. Геометричне місце точок. Рівняння сфери

shkola.in.ua

shkola.in.ua

shkola.in.ua

shkola.in.ua

shkola.in.ua

shkola.in.ua

shkola.in.ua

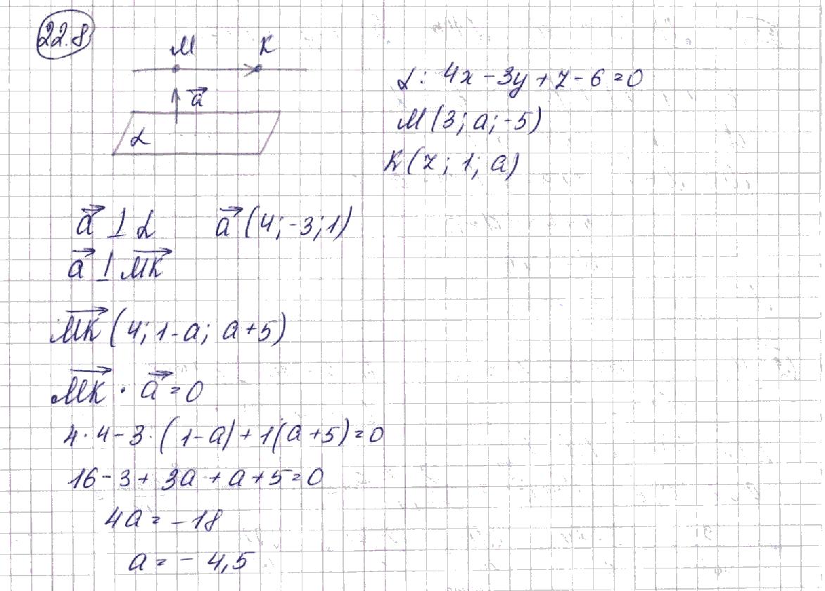
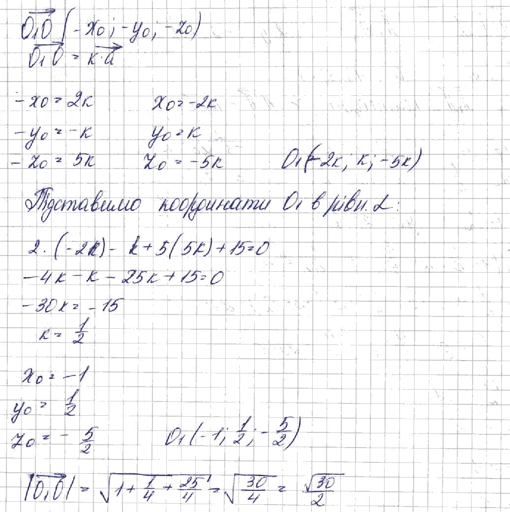
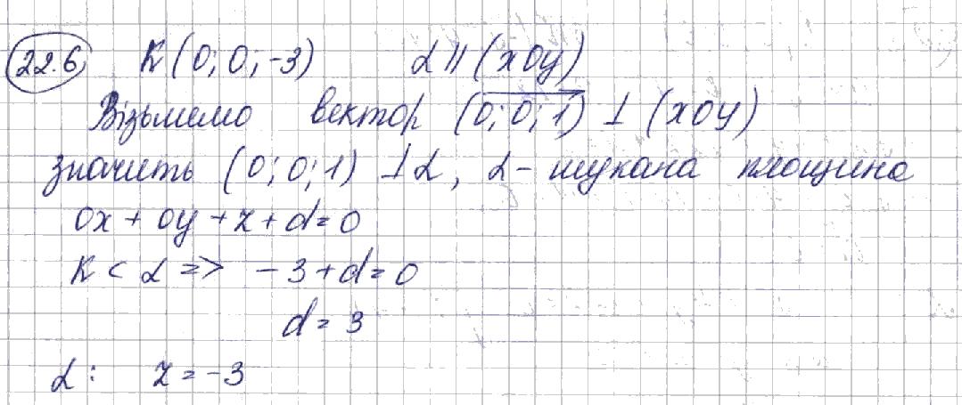
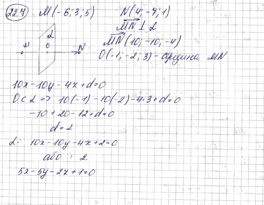
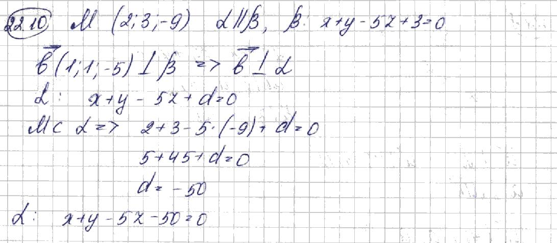
22. Рівняння

shkola.in.ua

площини

shkola.in.ua

shkola.in.ua

shkola.in.ua

shkola.in.ua

shkola.in.ua

shkola.in.ua

shkola.in.ua

shkola.in.ua

shkola.in.ua

shkola.in.ua

23. Вправи

shkola.in.ua

для повторення курсу геометрії 10 класу

shkola.in.ua

shkola.in.ua

shkola.in.ua

shkola.in.ua

shkola.in.ua

shkola.in.ua

shkola.in.ua

shkola.in.ua

shkola.in.ua

shkola.in.ua

shkola.in.ua

shkola.in.ua

shkola.in.ua

shkola.in.ua

shkola.in.ua

shkola.in.ua

shkola.in.ua

shkola.in.ua

shkola.in.ua

shkola.in.ua

shkola.in.ua

shkola.in.ua

shkola.in.ua

shkola.in.ua

shkola.in.ua

shkola.in.ua

shkola.in.ua

Turn static files into dynamic content formats.

Create a flipbook
Issuu converts static files into: digital portfolios, online yearbooks, online catalogs, digital photo albums and more. Sign up and create your flipbook.