https://shkola.in.ua/2397-hdz-alhebra-8-klas-bevz-2016.html

















































































https://shkola.in.ua/2397-hdz-alhebra-8-klas-bevz-2016.html
1. Провідміняй слова: дріб, частка, знаменник.
Дріб – число, що складається з частин одиниці.
Іменник, чоловічий рід, 2 відміна, тверда група
називний дріб
родовий дробу
давальний дробові, дробу
знахідний дріб
орудний дробом
місцевий дробі
кличний дробе
Частка – результат, одержаний при
Іменник, жіночий рід, 1 відміна, тверда група
називний частка
частку
орудний часткою
місцевий частці
кличний частко
Знаменник
https://shkola.in.ua/2397-hdz-alhebra-8-klas-bevz-2016.html
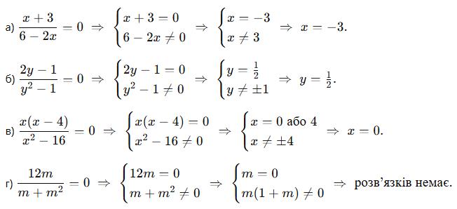
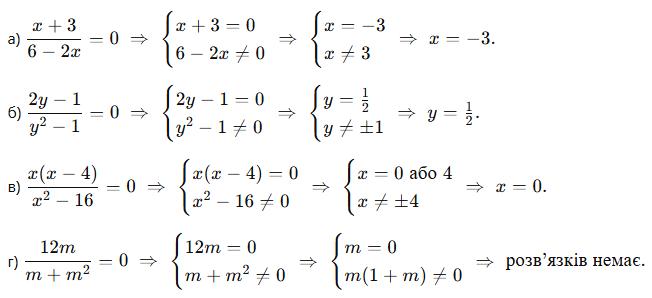
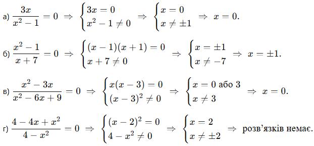
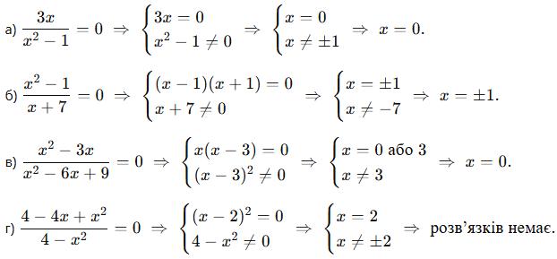
х+����;
Знаменник: х + 3 ≠ 0
х ≠ -3
Допустимі значення: х ≠ -3 б) ����
х����
Знаменник 1 + с2х2
Оскільки 1 + с2х2 > 0 для всіх х,
знаменник ніколи не дорівнює
нулю.
Допустимі значення: будь-яке х.
(х−у);
Знаменник: х(х – у) ≠ 0 Рівняння х(х – у) = 0 має розв’язки х = 0 або х = у.
Допустимі значення: х ≠ 0, х ≠ у.
г) а а���� −���� .
Знаменник: а2 – 1 ≠ 0
Розкладемо: (а – 1)(а + 1) ≠ 0, тобто а ≠ ±1
Допустимі значення: а ≠ ±1.
https://shkola.in.ua/2397-hdz-alhebra-8-klas-bevz-2016.html
https://shkola.in.ua/2397-hdz-alhebra-8-klas-bevz-2016.html
нулю.
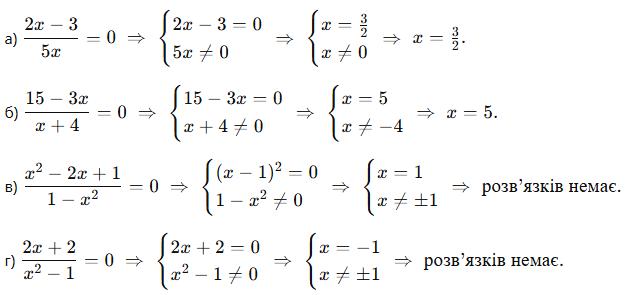
а) 3а
а2 −16;
Знаменник: а2 – 16 = 0
Розв’язок:
а2 = 16
а = ± 4 Допустимі
б) 1
х(х2 −9);
Знаменник: х(х2 – 9) = 0
Розв’язок:
х = 0 або х2 – 9 = 0 ⇒ х = ± 3
в) ����
(����−1)(����+4);
Знаменник: (m – 1)(m + 4) = 0
Розв’язок: m – 1 = 0 ⇒ m = 1
m + 4 = 0 ⇒ m = −4
а2 +1 .
Знаменник: а2 + 1 = 0
Розв’язок:
а2 = -1
Оскільки а2 = -1
https://shkola.in.ua/2397-hdz-alhebra-8-klas-bevz-2016.html
х2 = 1 ⇒ x = ±1
Допустимі
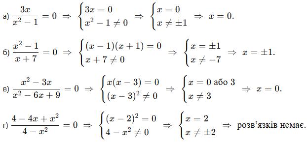
в) 3
4х−х3 ;
Знаменник: 4х – х3 = 0
Розв’язок:
х(4 – х2) = 0
х = 0 або 4 − x2 = 0 ⇒ x2 = 4 ⇒ x = ±2
1+х2
Знаменник: 1 + х2 = 0
Оскільки
а) 12х3а2 : 2ха2;
Знаменник: 2ха2 = 0
Розв’язок:
х = 0 або а =0
Допустимі значення змінної: х ≠ 0, а ≠ 0.
б) 9,5m7 : 0,5m2x5;
Знаменник: 0,5m2x5 = 0
Розв’язок:
m2 = 0 або х5 = 0
m = 0 або х = 0
Допустимі значення змінної: m ≠ 0, x ≠ 0.
в) 5х7с : (-0,5х5).
Знаменник: -0,5х5 = 0
Розв’язок: х5 = 0 ⇒ x = 0
Допустимі значення змінної: х ≠ 0.
22. Знайди
https://shkola.in.ua/2397-hdz-alhebra-8-klas-bevz-2016.html
в) -7,2х3у5с3 : (-0,8у3с).
Знаменник: -0,8у3с = 0
Розв’язок:
у3 = 0 або с = 0
y = 0 або с = 0
Допустимі значення змінної: у ≠ 0, с ≠ 0.
23. Запиши дроби, які не мають змісту, якщо:
а) x = 3 → дріб 1 ����−3 не має змісту.
б) y = -1 → дріб 1 ����+1 не має змісту.
в) y = -4 і y = 0 → дроби 1 ����+4, 1 ���� не мають змісту.
г) a = 0 і a = 0,5 → дроби 1 ���� , 1 ����−0,5 не мають змісту.
д) m = 1 і m = -5 → дроби 1 ����−1, 1 ����+5 не мають змісту.
24. Запиши дроби, які не мають змісту, якщо:
а) x = 5 → дріб 1 ����−5 не має змісту.
б) z = -3 → дріб 1 ����+3 не має змісту.
в) t = 0 → дріб 1 ���� не має змісту.
г) x = 0 і x = -3 → дроби 1 ���� , 1 ����+3 не мають змісту.
д) x = -2 і x = 2 → дроби 1 ����+2,
https://shkola.in.ua/2397-hdz-alhebra-8-klas-bevz-2016.html
5 =1
с + 2 = 5
с = 5 – 2 с = 3
2:
=2 с + 2 = 10
с = 10 – 2 с = 8
-3:
4 = 3
3х – 12 = -12
3х = -12 + 12
3х = 0 х = 0
https://shkola.in.ua/2397-hdz-alhebra-8-klas-bevz-2016.html
+ 2 = 0
= -2
-100:
= 100
+ 2 = -500
= -500 – 2
= -502
0:
=0
– 12 = 0
= 12 х = 4
34. What values of x are acceptable for a fraction?
а) х2 −5х+100 (х2 −4)(х4 −1) : Прирівняємо знаменник
(х2 – 4)(х4 – 1) = 0.
2 – 4 = 0 х2 = 4 х = 0
х = -1
4 – 1 = 0
2 – 1)(х2 – 1) = 0
= 1
+ 2 = -5
= -5 – 2
= -7
= 8
https://shkola.in.ua/2397-hdz-alhebra-8-klas-bevz-2016.html
2х
а)
х(х+7)(х−2) :
Прирівняємо знаменник до нуля:
х(х + 7)(х – 2) = 0.
Рівняння виконується, коли х = 0, х = -7 або х = 2.
Відповідь: допустимі всі значення х, крім -7, 0, 2.
б) 4
(1+2х)(х2 −9) :
Прирівняємо знаменник до нуля: (1 + 2х)(х3 – 9) = 0.
Це рівняння виконується, якщо 1 + 2х = 0 або х2 – 9 = 0.
1 + 2х = 0
2х = -1
х = -0,5
х2 – 9 = 0
х2 – 9
х = 3 або х = -3
Відповідь: допустимі всі значення х, крім -3, -0,5, 3.
в) 5а (а2 +3)(3а2 +2) :
Розглянемо знаменник: (а2 + 3)(3а2 + 2).
Вираз а2 завжди невід’ємний
Аналогічно, 3а2 + 2 завжди буде
Оскільки жоден із множників не може
нулю. Відповідь:
г) ����+12 ����2 −8����+16 :
Прирівняємо знаменник до нуля: m3 – 8m + 16 = 0.
Це є повний квадрат: (m – 4)2 = 0.
Рівняння виконується, коли m – 4 = 0, тобто m = 4.
Відповідь: допустимі всі значення m, крім m = 4. 36. Чи
https://shkola.in.ua/2397-hdz-alhebra-8-klas-bevz-2016.html
2х−х2 −1
Чисельник х2 + 6: оскільки х2 ≥ 0, чисельник
будь-якому значенні.
Відповідь: ні.
37. Доведи, що при будь-якому
дробу (−3)2 −3−х2 від’ємне.
х���� +���� :
Чисельник 5 є додатниим числом.
Знаменник х2 + 3. Вираз х2 для будь-якого х є
значення знаменника – це 0 + 3 = 3. Отже, знаменник завжди є додатним числом.
Оскільки і чисельник, і знаменник завжди додатні, то
Що і треба було довести. (−����)����
−����−х���� :
Чисельник (-3)2 = 9 є додатним числом.
Знаменник -3 – х2. Винесемо мінус за дужки: -(3 + х2). Вираз х2 завжди є невід’ємним (х2 ≥ 0).
(більшим або рівним 3).
Отже, весь знаменник –(3 + х2)
Оскільки чисельник
https://shkola.in.ua/2397-hdz-alhebra-8-klas-bevz-2016.html
х = 3а+2
а−2
б)
а2х – 3 = ах + а
а2х – ах = а + 3
х(а2 – а) = а + 3
х(а(а – 1)) = а + 3
х = а+3
а(а−1)
Рівняння має корені, якщо
в) 4(а2х – 3) = а + х
4а2х – 12 = а + х
4а2х – х = а + 12
х(4а2 – 1) = а + 12
х = а+12 4а2 −1 Рівняння
а) 3ах – 2а = а2х + 6
3ах – а2х = 2а + 6
х(3а – а2) = 2а + 6
х = 2а+6
3а−а2 Рівняння
б) ах – а = 7х – а
ах – 7 7х = а – 4
х(а – 7) = а – 4
х = а−4
а−7
9х – 5 = а(ах – 2)
9х – 5 = а2х – 2а
9х – а2х = 5 – 2а
х(9 – а2) = 5 – 2а
х = 5−2а 9−а2
https://shkola.in.ua/2397-hdz-alhebra-8-klas-bevz-2016.html
в) у(у + 2х) – (х + у)2
у(у + 2х) = у2 +2ху
-(х – у)2 = -(х2 + 2ху + у2) = -х2 – 2ху – у2
у2 + 2ху – х2 – 2ху – у2
Відповідь: -х2
45. Розклади на множники вираз.
а) х2 – 16 = (x – 4)(x + 4)
б)
х2 – 9у4 = (x – 3y2)(x + 3y2)
в) х2 – 6х + 9 = (x – 3)2
г) а3 – 4а = a(a – 2)(a + 2)
ґ) 3а2 – 6ab + 3b2 = 3(a – b)2 д) 2х + 2у – ах – ау = (x + y)(2 – a) 46.
г) (b + 4)2 – (b – 3)(b + 3)
(b + 4)2 = b2 + 8b + 16 -(b – 3)(b + 3) = -(b2 – 9) = -b2 + 9
b2 + 8b + 16 – b2 + 9
Відповідь: 8b + 25


https://shkola.in.ua/2397-hdz-alhebra-8-klas-bevz-2016.html
https://shkola.in.ua/2397-hdz-alhebra-8-klas-bevz-2016.html
https://shkola.in.ua/2397-hdz-alhebra-8-klas-bevz-2016.html
)
4а2 −х2
= 2а
д)
х2 +2х+1 х+1 = х +1; (х+1)2 х+1 = х +1; х +1= х +1. Тотожність доведено. 73. Доведи тотожність.
а) 6�������� 2����2 ���� = 3�������� ���� ���� 2 ; 3���� �������� = 3���� �������� . Тотожність доведено.
б) а2 −1 а+1 = а− 1; (а−1)(а+1) а+1 = а− 1; а− 1= а− 1. Тотожність доведено.
в) 2(х−1) ху−у2 = 4(х−у) 2у(х−у) ; 2(х−у) у(х−у) = 2(х−у) у(х−у) . Тотожність доведена.
г)
4а2 −х2 2а+х = 2а −х; (2а−х)(2а+х) 2а−х = 2а −х; 2а −х = 2а −х. Тотожність доведено.
ґ) (а+с)3 а+с = (а + с)2 ; (а + с)2 = (а + с)2 . Тотожність доведено. д)
х2 −2х+1 х−1 = х− 1; (х−1)2
74. Доведи тотожність.

80.
https://shkola.in.ua/2397-hdz-alhebra-8-klas-bevz-2016.html
4а2 + 12ab + 9b2 = (2a + 3b)2 (2����+3����)2 −1 2����+3����+1 = (2����+3����−1)(2����+3���� +1) 2����+3����+1 =2
3b
а3 – a2b + ab2 – b3 = (a2 + b2)(a – b) a8 – b8 = (a4 – b4)(a4 + b4) = (a – b)(a + b)(a2 +
2
+
) (����4 +����4 )(����2 +����2 )(����−����) (
2 )(
4 +����4 ) = 1
. a + b = 12,25 – 2,25 = 10 = 1 10
Відповідь: 1 10 .
88. Скороти дріб і знайди його значення.
а) ����2 −4�������� +4����2 −9 ����−2����−3 , якщо а = 2, b = 1 2 .
a2 – 4ab + 4b2 = (a – 2b)2
(����−2����)2 −9 ����−2����−3 = (����−2���� −3)(����−2���� +3) ����−2����−3 =
2���� +3. a – 2b + 3 – 2 – 1 + 3 = 4
Відповідь: 4.
б) ����8 ����8 (����3 +����2 ����+��������2 +����3 )(����4 +����4 ), якщо а = -5,25, b = 1 4 . a8 – b8 = (a4 – b4)(a4 + b4) та
(
)(����3 +����2 ����+��������2 +����3 )(����4 +����4 ) (����3 +����2 ����+����
a – b = -5,25 – (-0,25) = -5 Відповідь: -5.
https://shkola.in.ua/2397-hdz-alhebra-8-klas-bevz-2016.html
)





96. Для кожного значення а розв’яжи рівняння.
а) (а – 3)х = а2 – 3а
(а – 3)х = а(а – 3)
(а – 3)х – а(а – 3) = 0
(а – 3)(х – а) = 0
а – 3 = 0 або х – а = 0
а = 3 а = х
97. Для кожного
а) (а + 5)х = 2а2 + 10а
(а + 5)х = 2а(а + 5)
(а + 5)х – 2а(а + 5) = 0
(а + 5)(х – 2а) = 0
а + 5 = 0 або х – 2а = 0
а = -5 а = 1 2 х
б) (а2 – 1)х = 2(а – 1) ха2 – х = 2а – 2 ха2 – х – 2а + 2 = 0 х(а2 – 1) – 2(а – 1) = 0
х(а – 1)(х(а + 1) – 2) = 0 (а – 1)(х(а + 1) – 2) = 0 (а – 1)(ха + х – 2) = 0
– 1 = 0 або ха + х – 2 = 0
= 1 а = −х+2 х
б) (а2 + 6а)х = а2 – 36 ха2 + 6ха = а2 – 36
ха2 + 6ха – а2 + 36 = 0
ха(а + 6) + 36 – а2 = 0
ха(а + 6) + (6 – а)(6 + а) = 0
(а + 6)(ха + 6 – а) = 0
а + 6 = 0 або ха + 6 – а = 0 а = -6 а = 6 х 1
https://shkola.in.ua/2397-hdz-alhebra-8-klas-bevz-2016.html
Якщо
5 г: ���� 10 =5 →���� = 50 г. Якщо норма 6 г: ���� 10 =6 →���� = 60 г. Відповідь:
містять сіль.
103. Розв’яжіть
5−2x(3x −2) = x(x + 4)−7x(x −5) = х(х + 4) – 7х(х – 5)
5 – 6х2 + 4х = х2 + 4х – 7х2 + 35х
35х = 5
х = 1 7
104. Складіть вираз

105. Побудуйте графік функції: а) y = 2x + 3; б) y = 2x − 1. а) y = 2x + 3; б) y =


https://shkola.in.ua/2397-hdz-alhebra-8-klas-bevz-2016.html

https://shkola.in.ua/2397-hdz-alhebra-8-klas-bevz-2016.html
3; б) –5; в) ±4; г) 3.
=0 ⇒���� +5=0 ⇒���� = 5.
⇒���� (����− 1) =0 ⇒���� =0(непідходить), ���� =1.
Відповідь: а) –5; б) 2; в) ±6; г) 1.
(−1)2 (����−1)2 = 1 (����−1
https://shkola.in.ua/2397-hdz-alhebra-8-klas-bevz-2016.html
Відповідь: а) ���� = 3; б) ���� =5; в) ���� =0; г) ���� =1. 123. Solve the equation:
b)
+4 =0 ⇒� ����− 2=0 ���� 2 +4 ≠ 0 ⇒� ���� =2 ���� 2 ≠−4 ⇒���� =2.
c) ���� 2 −25 (����+5)2 =0 ⇒ � ���� 2 25 =0 (���� +5)2 ≠ 0 ⇒ ����� 2 = 25 ����≠−5 ⇒����� =±5 ����≠−5 ⇒ ���� =5.
d) 2���� 2 −10���� ����(����+5) =0 ⇒ �2���� (����− 5) =0 ���� (���� +5) ≠ 0 ⇒� ���� =0
a) 0;
128.
https://shkola.in.ua/2397-hdz-alhebra-8-klas-bevz-2016.html




якщо
то
https://shkola.in.ua/2397-hdz-alhebra-8-klas-bevz-2016.html
якщо
https://shkola.in.ua/2397-hdz-alhebra-8-klas-bevz-2016.html
https://shkola.in.ua/2397-hdz-alhebra-8-klas-bevz-2016.html
https://shkola.in.ua/2397-hdz-alhebra-8-klas-bevz-2016.html
https://shkola.in.ua/2397-hdz-alhebra-8-klas-bevz-2016.html
https://shkola.in.ua/2397-hdz-alhebra-8-klas-bevz-2016.html
164. Find the difference of the
https://shkola.in.ua/2397-hdz-alhebra-8-klas-bevz-2016.html
https://shkola.in.ua/2397-hdz-alhebra-8-klas-bevz-2016.html
https://shkola.in.ua/2397-hdz-alhebra-8-klas-bevz-2016.html
https://shkola.in.ua/2397-hdz-alhebra-8-klas-bevz-2016.html
���� (2����− 3)(2���� +3) + (2���� 3) 2(2���� + 3) + (2���� + 3) 3(2���� 3) =0; 72���� + 3(2���� 3)² + 2(2���� + 3)² 6(2���� − 3)(2���� + 3) =0; �
72���� + 3(4����² 12���� + 9) + 2(4����² + 12���� + 9) = 0 6(2���� 3)(2���� + 3) ≠ 0 ;
20���� 2 + 60���� + 45 =0
6(2����− 3)(2���� +3) ≠ 0 ; � 4���� 2 + 12���� +9=0 6(2����− 3)(2���� +3) ≠ 0 ;
(2���� + 3)² = 0
6(2���� − 3)(2���� + 3) ≠ 0 ; розв’язків
+ 3) ≠ 0 ;
² + 2���� + 4
https://shkola.in.ua/2397-hdz-alhebra-8-klas-bevz-2016.html
Отже,
�������� (����−���� )
�������� (����−���� ) =1.
Тотожність доведено.
215. Запиши замість

Візьмемо:
В = 8 (вісім), Д = 10 (десять),
суми рядків:
8+8+ 10 = 26, 4+ 10 + 10 = 24, 4+6+6= 16;
суми стовпчиків:
8+4+4= 16, 8+ 10 +6= 24, 10 + 10 +6= 26.
Отримані
216. Обчисли.
а) 530 ⋅ 330 (1515 1)(1515 +1); 530 ⋅ 330 = (5 ⋅ 3)30 = 1530 ; (1515 1)(1515 +1) = (1515 )2 1= 1530 1; 1530 (1530 1) =1. б) 724 ⋅ 824 + (1 5612 )(1+ 5612 ); 724 ⋅ 824 = (7 ⋅ 8)24 = 5624 ; (1 5612 )(1+ 5612 ) =1 (5612 )2 =1 5624 ; 5624 +1 5624 =1.
217. Виконай дії.
а) 2+ 8 15 ⋅ 1 9 16 ; 1 9 16 = 25 16 ; 2+ 8 15 ⋅ 25 16 =2+ 200 240 =2+ 5 6 = 17 6 .
6(x+15) – 4x = 220.
6x + 90 – 4x = 220, 2x + 90 = 220, 2x = 130, x = 65.
https://shkola.in.ua/2397-hdz-alhebra-8-klas-bevz-2016.html
https://shkola.in.ua/2397-hdz-alhebra-8-klas-bevz-2016.html
9.
5(����− 5) +5(���� +5) +2���� 2 (����− 5)(���� +5) =0
5����− 25 +5���� + 25 +2���� 2 (����− 5)(���� +5) =0
https://shkola.in.ua/2397-hdz-alhebra-8-klas-bevz-2016.html
237.
239. Find the product of fractions.
https://shkola.in.ua/2397-hdz-alhebra-8-klas-bevz-2016.html
https://shkola.in.ua/2397-hdz-alhebra-8-klas-bevz-2016.html


https://shkola.in.ua/2397-hdz-alhebra-8-klas-bevz-2016.html
https://shkola.in.ua/2397-hdz-alhebra-8-klas-bevz-2016.html
https://shkola.in.ua/2397-hdz-alhebra-8-klas-bevz-2016.html
https://shkola.in.ua/2397-hdz-alhebra-8-klas-bevz-2016.html
https://shkola.in.ua/2397-hdz-alhebra-8-klas-bevz-2016.html
https://shkola.in.ua/2397-hdz-alhebra-8-klas-bevz-2016.html
296.

Кількість точок: 5, 10, 15.
Продовження: 20, 25, 30, 35…
297.
8(2����− 3����− 3) =6���� (4����− 3) 3����(8����− 5), 3(10���� +3���� +3����) =9����(4���� +7) 6���� (6���� +1);
16����− 24����− 24 = 24�������� 18����− 24�������� + 15����, 30���� +9���� =
https://shkola.in.ua/2397-hdz-alhebra-8-klas-bevz-2016.html
https://shkola.in.ua/2397-hdz-alhebra-8-klas-bevz-2016.html
https://shkola.in.ua/2397-hdz-alhebra-8-klas-bevz-2016.html
https://shkola.in.ua/2397-hdz-alhebra-8-klas-bevz-2016.html
доведено. в)
доведено.
доведено.
https://shkola.in.ua/2397-hdz-alhebra-8-klas-bevz-2016.html
320. Find the value of the expression
https://shkola.in.ua/2397-hdz-alhebra-8-klas-bevz-2016.html
https://shkola.in.ua/2397-hdz-alhebra-8-klas-bevz-2016.html
https://shkola.in.ua/2397-hdz-alhebra-8-klas-bevz-2016.html
2


https://shkola.in.ua/2397-hdz-alhebra-8-klas-bevz-2016.html
https://shkola.in.ua/2397-hdz-alhebra-8-klas-bevz-2016.html
386. Розв’яжи рівняння.
(����− 3)(���� +3) + 2 ���� +3 3 ����− 3 =0
12 +2(����− 3) 3(���� +3) (����− 3)(���� +3) =0
Це рівняння рівносильне системі:
12 +2����− 6 3����− 9=0 (����− 3)(���� +3) ≠ 0 ; � −���� 3 = 0 ����≠ 3 і ����≠−3; � ���� = 3 ����≠ 3 і ����≠−3
Значення ���� = 3 не задовольняє умову ����≠−3,
Відповідь: Рівняння коренів
) 2���� +4 3 −���� +1= 5 −���� ���� +2 (2���� +4) ����− 3 +1 5 −���� ���� +2 =0 (2���� +4)(���� +2)
7����− 2
https://shkola.in.ua/2397-hdz-alhebra-8-klas-bevz-2016.html
(2 −���� )(2+ ���� ) + 5(2 −���� ) (2+ ���� )(2 −���� ) 3(2+ ���� ) (2 −���� )(2+ ���� ) =0
(7����− 2) +5(2 −���� ) 3(2+ ���� ) (2 −���� )(2+ ���� ) =0
7����− 2+ 10 5����− 6 3���� (2 −���� )(2+ ���� ) =0
7����− 5����− 3����− 2+ 10 6 (2 −���� )(2+ ���� ) =0 −���� +2
(2 −���� )(2+ ���� ) =0
рівняння рівносильне системі:
https://shkola.in.ua/2397-hdz-alhebra-8-klas-bevz-2016.html
https://shkola.in.ua/2397-hdz-alhebra-8-klas-bevz-2016.html
https://shkola.in.ua/2397-hdz-alhebra-8-klas-bevz-2016.html
1.
https://shkola.in.ua/2397-hdz-alhebra-8-klas-bevz-2016.html
14����− 8=2���� 2 8 ⇒ 2���� 2 14���� =0 ⇒ 2���� (����− 7)=0
Знаходження коренів та перевірка ОДЗ:
����1 =0 або ����2 =7.
ОДЗ: ����≠ 2 і ���� >0.
����1 =0 не задовольняє ���� >0 (швидкість човна не може бути нульовою).
����2 =7 задовольняє ОДЗ (7 ≠ 2 і 7>0).
Власна швидкість човна ���� =7 км/год.
Відповідь: 7 км/год.
405. Човен пройшов 96 км за течією річки і повернувся назад, витративши
шлях 20 год. Знайди
https://shkola.in.ua/2397-hdz-alhebra-8-klas-bevz-2016.html
https://shkola.in.ua/2397-hdz-alhebra-8-klas-bevz-2016.html
https://shkola.in.ua/2397-hdz-alhebra-8-klas-bevz-2016.html
https://shkola.in.ua/2397-hdz-alhebra-8-klas-bevz-2016.html
а) (����− 2)(����− 5) ����−���� =0
Умова: ����−����≠ 0 ⟹����≠���� . Рівняння чисельника: (����− 2)(����− 5)=0. Корені: ����1 = 2, ����2 =5
1. Якщо ����≠ 2 і ����≠ 5: Корені рівняння: ���� =2 та ���� =5
2. Якщо ���� =2: Корінь ����1 =2 відкидається (не задовольняє ОДЗ).
Корінь рівняння: ���� =5.
3. Якщо ���� =5: Корінь ����2 =5 відкидається (не задовольняє ОДЗ).
Корінь рівняння: ���� =2.
Значення параметра ���� Корені рівняння ����≠ 2 і ����≠ 5 ���� =2; ���� =5 ���� =2 ���� =5 ���� =5 ���� =2
б) ����−���� (���� +2)(����− 4) =0
Умова: (���� +2)(����− 4) ≠ 0 ⟹����≠−2 і ����≠ 4.
Рівняння чисельника: ����−���� =0. Корінь: ���� = ���� .
1. Якщо ����≠−2 і ����≠ 4: Корінь рівняння: ���� = ���� . 2. Якщо ���� = 2 або ���� =4: Корінь ���� = ���� відкидається
Рівняння коренів не має. Значення
https://shkola.in.ua/2397-hdz-alhebra-8-klas-bevz-2016.html
Умова: ����− 6 ≠ 0 ⟹����≠ 6.
Корені чисельника: ���� (����−���� )=0 ⟹����1 =0, ����2 = ���� .
чисельника
3. Якщо ����1 =0 відкидається (неможливо, 0 ≠ 6): ����2 = ���� відкидається (���� =6). Залишається ���� =0.
4. Якщо ����2 = ���� відкидається (���� =6):
Залишається ���� =0.
5. Якщо корені збігаються (����1 = ����2 ): ���� =0.
����1 = ����2 =0 0 ≠ 6. Залишається ���� =0
Відповідь: єдиний розв'язок при ���� =6 або ���� =0. в) ����−���� (����− 1)(���� +3) =0
Умова: (����− 1)(���� +3) ≠ 0 ⟹����≠ 1 і
Корінь чисельника: ����−���� =0 ⟹���� = ����
Рівняння має єдиний розв'язок,
1. Якщо ����≠ 1 і ����≠−3:
Корінь рівняння:
Якщо
Умова: ����− 10 ≠ 0 ⟹����≠ 10
Корені
2. Якщо ���� =0:
3. Якщо ���� = 10: ����2 = 10. Корінь ����2 = 10 відкидається. Залишається ���� =0.
Значення параметра ���� Корені рівняння ����≠
https://shkola.in.ua/2397-hdz-alhebra-8-klas-bevz-2016.html
(�������� + �������� ) − (�������� + �������� )= 10 − 8 ⟹�������� −�������� =2
2. Знаходимо споживання Мами (�������� ):
Додаємо рівняння �������� −�������� =2 та (3): (�������� −�������� )+(�������� + �������� )=2+6 ⟹ 2�������� =8 ⟹�������� =4
3. Знаходимо споживання Сина та Тата: �������� =6 −�������� =6 4=2 �������� = 10 −�������� = 10 4=6
Річне споживання: Тато — 6, Мама — 4, Син — 2 поросята.
Знаходження часу на 1 порося (у тижнях)
Приймаємо, що 1 рік складається з 48 тижнів. Час на одне порося дорівнює 48,
поділеному на річне споживання:
• Тато: 48/6=8 тижнів.
• Мама: 48/4= 12 тижнів.
• Син: 48/2= 24 тижні.
Відповідь: Тато за 8 тижнів, Мама за 12 тижнів,
418. Розв’яжи математичні кросворди,

Складемо систему рівнянь:

8���� + ���� = 19, 3 + ���� = 3���� − 4;
https://shkola.in.ua/2397-hdz-alhebra-8-klas-bevz-2016.html
25���� = 50 ⇒���� = 2; ���� = 19 8����⇒���� = 3.
419. Які з чисел 7, 84,0, 2 9 ,0.5, 8,2 1 3 , 24,9
Множина
Натуральні (ℕ) 7, 84,9 Цілі (ℤ) 7, 84,0, 8, 24,9
Раціональні (ℚ) 7, 84,0, 2 9 ,0.5, 8,2 1 3 , 24,9
420. Доведи що:
https://shkola.in.ua/2397-hdz-alhebra-8-klas-bevz-2016.html


Правильна
https://shkola.in.ua/2397-hdz-alhebra-8-klas-bevz-2016.html
160(����− 2,4) = 136(���� +2,4); 160����− 384 = 136���� + 326,4; 24���� = 710,4; ���� = 710,4 24 = 29,6.
Відповідь:
433. Rewrite the fraction as a power with a negative integer exponent.
https://shkola.in.ua/2397-hdz-alhebra-8-klas-bevz-2016.html
https://shkola.in.ua/2397-hdz-alhebra-8-klas-bevz-2016.html
Правильна
Правильна Відповідь: А.
481.
482.
) 8320000 =8,32 ⋅ 106 ⇒ 106 ;
) 0,000008 =8 ⋅ 10−6 ⇒ 10−6 ;
https://shkola.in.ua/2397-hdz-alhebra-8-klas-bevz-2016.html
483. Обчисли.
а) 2⋅ 104 +3 ⋅ 104 = (2+3) ⋅ 104 =5 ⋅ 104 ;
б) 5⋅ 107 3 ⋅ 107 = (5 3) ⋅ 107 =2 ⋅ 107 ;
в) (2 ⋅ 107 ) ⋅ (3 ⋅ 107 ) =2 ⋅ 3 ⋅ 107+7 =6 ⋅ 1014 ;
г) (6 ⋅ 109 ): (3 ⋅ 109 ) = (6:3) ⋅ 109−9 =2 ⋅ 100 =2.
484. Запиши без показника степеня.
а) 7⋅ 105 = 700000; б) 2,3 ⋅ 108 = 230000000;
в) 4,7 ⋅ 1010 = 47000000000;
г) 9,83 ⋅ 10−11 =0,0000000000983;
ґ) 3⋅ 10−9 =0,000000003;
д) 7,8 ⋅ 10−6 =0,0000078.
485. Запиши без показника степеня.
а) 2,7 ⋅ 105 = 270000;
б) 3⋅ 107 = 30000000;
в) 3,02 ⋅ 1010 = 30200000000;
г) 9⋅ 10−8 =0,00000009;
ґ) 3,5 ⋅ 10−12 =0,0000000000035;
д) 1,95 ⋅ 10−9 =0,00000000195.
486. Запиши у
а) 370000000 =3,7 ⋅ 108 ;
б) 4250000000 =4,25 ⋅ 109 ;
в) 1002000000 =1,002 ⋅ 109 ;
г) 0,000047 =4,7 ⋅ 10−5 ;
ґ) 0,000000365 =3,65 ⋅ 10−7 ;
д) 0,00000000107 =1,07 ⋅ 10−9 .
487. Write the number in scientific notation.
���� ) 290000000 =2,9 ⋅ 108 ;
����) 1070000000000 =1,07 ⋅ 1012 ;
���� ) 130020000000 =1,3002 ⋅ 1011 ;
���� ) 0,00000053 =5,3 ⋅ 10−7 ;
����) 0,00000000027 =2,7 ⋅ 10−10 ;
https://shkola.in.ua/2397-hdz-alhebra-8-klas-bevz-2016.html
https://shkola.in.ua/2397-hdz-alhebra-8-klas-bevz-2016.html
https://shkola.in.ua/2397-hdz-alhebra-8-klas-bevz-2016.html
1,04 ⋅ 1023 3,26 ⋅ 1023 = 1,04 3,26 ≈ 0,32. Маса
1,04 ⋅ 1023
3,26 ⋅ 1023 =0,32.
1,04 3,26 ⋅ 1023−23 =0,319.
1,04 ⋅ 1026 3,26
https://shkola.in.ua/2397-hdz-alhebra-8-klas-bevz-2016.html
https://shkola.in.ua/2397-hdz-alhebra-8-klas-bevz-2016.html
) 4911,2 ≈ 4910 =4,91 ⋅ 103 . 507. Округли
а) 157,415 ≈ 157 =1,57 ⋅ 102 ; б) 8901,5 ≈ 8902 =8,902
https://shkola.in.ua/2397-hdz-alhebra-8-klas-bevz-2016.html
а) 6,8 ⋅ 1013 і 8,8 ⋅ 1013 : 6,8<8,8 ⇒ 6,8 ⋅ 1013 <8,8 ⋅ 1013 ; б) 3,7 ⋅ 10−8 і 2,7 ⋅ 10−8 : 3,7>2,7 ⇒ 3,7 ⋅ 10−8 >2,7 ⋅ 10−8 ; в) 2,26 ⋅ 1020 і 8,12 ⋅ 1019 : 2,26 ⋅ 1020 = 22,6 ⋅ 1019 ; 22,6>8,12 ⇒ 2,26 ⋅ 1020 >8,12 ⋅ 1019 ; г) 4,71 ⋅ 10−12 і 5 ⋅ 10−13 : 5 ⋅ 10−13 =0,5 ⋅ 10−12 ; 4,71 >0,5 ⇒ 4,71 ⋅ 10−12 >5 ⋅ 10−13 .
числа a
а) 1000����: 1000 = 103 ; ���� = 10−12 ; 1000���� = 103 ⋅ 10−12 = 10−9 ;
Порядок: 9;
б) 0,0001����:
-12.
0,0001 = 10−4 ; ���� = 10−12 ; 0,0001���� = 10−4 ⋅ 10−12 = 10−16 ;
Порядок: − 16;
в) ����⋅ 1015 : 10−12 ⋅ 1015 = 103 ;
Порядок: 3;
г) ���� 10−20 : ���� = 10−12 ; 10−12 10−20 = 10−12−(−20) = 108 ;
Порядок: 8.
числа? а) 100����:
100 = 102 ; ���� = 108 ; 100���� = 102 ⋅ 108 = 1010 ;
Порядок: 10;
) 0,000001����: 0,000001 = 10−6 ; ���� = 108 ; 0,000001���� = 10−6 ⋅ 108 = 102 ;
Порядок: 2; в) ����⋅
https://shkola.in.ua/2397-hdz-alhebra-8-klas-bevz-2016.html
299792458 м/с =2,99792458 ⋅ 108 м/с;
696000000 м =6,96 ⋅ 108 м;
510083000 км2 =5,10083 ⋅ 108 км2 ;
384400000 м =3,844 ⋅ 108 м; 149600000000 м =1,496 ⋅ 1011 м.
цифру.
2,99792458 ⋅ 108 ≈ 3 ⋅ 108 м/с.
6,96 ⋅ 108 м >3,844 ⋅ 108 м; 6,96 ⋅ 108
3,844 ⋅ 108 ≈ 1,8.
⋅ 1011
https://shkola.in.ua/2397-hdz-alhebra-8-klas-bevz-2016.html
Порядок: − 1;
б) 1000000���� + ����:
1000000 = 106 ; 106 ⋅ 10−6 = 100 =1; 1+ 105 ≈ 105 ;
Порядок: 5;
в) 0,000001���� + ���� :
0,000001 = 10−6 ; 10−6 ⋅ 105 = 10−1 ; 10−1 + 10−6 ≈ 10−1 ;
Порядок: 1.
https://shkola.in.ua/2397-hdz-alhebra-8-klas-bevz-2016.html

541. Які
https://shkola.in.ua/2397-hdz-alhebra-8-klas-bevz-2016.html
точок A(-8; 1), B(16; 0,5), D(2; -4), E(-32; 0,25), F(80; 0,1), K(-0,08; 1000) належать
����( 8; 1): ���� = 8 8 =1 так ���� (16; 0,5): ���� = 8 16 = 0,5 ≠ 0,5 ні ���� (2; − 4): ���� = 8 2 = 4 так ���� ( 32; 0,25): ���� = 8 32 =0,25 так
(80; 0
( 0,08;

https://shkola.in.ua/2397-hdz-alhebra-8-klas-bevz-2016.html



https://shkola.in.ua/2397-hdz-alhebra-8-klas-bevz-2016.html


https://shkola.in.ua/2397-hdz-alhebra-8-klas-bevz-2016.html







https://shkola.in.ua/2397-hdz-alhebra-8-klas-bevz-2016.html



10 2 =7 2; 5=5. 10 5 =7 5; 2=2.
����1 =2, ����2 =5.
= 2, ���� = −����− 1;

(−2; 1), (1; −2).
https://shkola.in.ua/2397-hdz-alhebra-8-klas-bevz-2016.html
��������� =6, ���� + ���� =5.

Відповідь: (2; 3), (3; 2).
561.
а)
=4, ���� = ���� +3;

Відповідь: ( 4; 1), (1; 4). б) ��������� =6, ���� =6���� .

https://shkola.in.ua/2397-hdz-alhebra-8-klas-bevz-2016.html
4= ���� 3 ⇒���� = 12
4= 12 ·3+ ���� ⇒���� =4 36 = 32
) ����(4; 6)
6= ���� 4 ⇒���� = 24
6= 24 ·4+ ���� ⇒���� =6 96 = 90 565.
8= ���� 1 ⇒���� =8
8=8· ( 1) + ����⇒���� =0



https://shkola.in.ua/2397-hdz-alhebra-8-klas-bevz-2016.html


https://shkola.in.ua/2397-hdz-alhebra-8-klas-bevz-2016.html


https://shkola.in.ua/2397-hdz-alhebra-8-klas-bevz-2016.html


���� =
https://shkola.in.ua/2397-hdz-alhebra-8-klas-bevz-2016.html
8 ���� , ���� < 2, 4, 2 ≤���� <2, 8 ���� , ����≥ 2.

а) ���� = �6 ���� , ���� < 2, 1,5���� , 2 ≤���� <2, 6 ���� , ����≥ 2;

https://shkola.in.ua/2397-hdz-alhebra-8-klas-bevz-2016.html


https://shkola.in.ua/2397-hdz-alhebra-8-klas-bevz-2016.html



https://shkola.in.ua/2397-hdz-alhebra-8-klas-bevz-2016.html
https://shkola.in.ua/2397-hdz-alhebra-8-klas-bevz-2016.html
Перевіримо: 6 1 = 6, 6⋅ ( 1) = 6; 6 1 =6, 6⋅ 1=6.

=1.
https://shkola.in.ua/2397-hdz-alhebra-8-klas-bevz-2016.html
���� 2 =0,16
���� =±�0,16 ���� =±0,4
����1 =0,4, ����2 = 0,4
Правильна відповідь – В
578.
Правильна відповідь –
4= ���� 2 ⇒���� =±2
0= ���� 2 ⇒���� =0
1=
= 2, −1, 0,
https://shkola.in.ua/2397-hdz-alhebra-8-klas-bevz-2016.html

https://shkola.in.ua/2397-hdz-alhebra-8-klas-bevz-2016.html

https://shkola.in.ua/2397-hdz-alhebra-8-klas-bevz-2016.html

=1, ���� =3
(1) =12 =1, ����(3) =32 =9

https://shkola.in.ua/2397-hdz-alhebra-8-klas-bevz-2016.html


https://shkola.in.ua/2397-hdz-alhebra-8-klas-bevz-2016.html


) ���� 2 = ���� +6;
= ���� 2 , ���� = ���� +6.
https://shkola.in.ua/2397-hdz-alhebra-8-klas-bevz-2016.html

Перевірка: ( 2)2 = 2+6, 32 =3+6.
, ����1 = 2, ����2 =3. б) ���� 2 +2����− 3=0;

https://shkola.in.ua/2397-hdz-alhebra-8-klas-bevz-2016.html
Перевірка: ( 3)2 = 2 ⋅ ( 3) +3, 12 = 2 ⋅ 1+3.
, ����1 = 3, ����2 =1.
) ���� 2 = 8 ���� .

22 = 8 2 ,4=4.
https://shkola.in.ua/2397-hdz-alhebra-8-klas-bevz-2016.html
https://shkola.in.ua/2397-hdz-alhebra-8-klas-bevz-2016.html


г) ���� 2 = 4
���� 2 =4
���� =±2
https://shkola.in.ua/2397-hdz-alhebra-8-klas-bevz-2016.html
���� 2 = 81
Точки: ( 2; 4), (2; 4)
603. Порівняй значення функції ���� = ���� 2 , якщо:
а) ���� = −2,1 і ���� =1,3
����( 2,1) = ( 2,1)2 =4,41
����(1,3) = (1,3)2 =1,69
4,41 >1,69
б) ���� = 2,1 і ���� =2,1
����( 2,1) = ( 2,1)2 =4,41
����(2,1) = (2,1)2 =4,41
4,41 =4,41
в) ���� = 2,1 і ���� =2,3
����( 2,1) = ( 2,1)2 =4,41
����(2,3) = (2,3)2 =5,29
4,41 <5,29
604. Compare the values of the function ���� = ���� 2 , if:
a) ���� = 3,2 and ���� =0,7
����( 3,2) = ( 3,2)2 = 10,24
����(0,7) = (0,7)2 =0,49
10,24 >0,49
b) ���� = −3,2 and ���� =3,2
����( 3,2) = ( 3,2)2 = 10,24
����(3,2) = (3,2)2 = 10,24
10,24 = 10,24
c) ���� = 3,2 and ���� =3,5
����( 3,2) = ( 3,2)2 = 10,24
����(3,5) = (3,5)2 = 12,25
10,24 < 12,25
605.
���� 2 < 10
д) ���� 2 = 81
���� 2 = 81
���� =±9
Точки: ( 9; 81), (9; 81)
= −3, −2, −1, 0, 1, 2, 3
2 > 10
= 5, −4, 4, 5
606.
=52
= 25, ���� = 25
(5; 25)
2 = 25
=±5
���� = ( 2)2 ���� =4, ���� =4
Точка: ( 2;4)
2 =4
=±2
(2;4)
���� = �
https://shkola.in.ua/2397-hdz-alhebra-8-klas-bevz-2016.html


https://shkola.in.ua/2397-hdz-alhebra-8-klas-bevz-2016.html


https://shkola.in.ua/2397-hdz-alhebra-8-klas-bevz-2016.html


https://shkola.in.ua/2397-hdz-alhebra-8-klas-bevz-2016.html

https://shkola.in.ua/2397-hdz-alhebra-8-klas-bevz-2016.html


https://shkola.in.ua/2397-hdz-alhebra-8-klas-bevz-2016.html
Якщо ���� =1, то
���� = 1 ⇒ (1; 1) - точка у IV чверті.
Якщо ���� = 1, то ���� =1 ⇒ ( 1;1) - точка у
Точки (1;-1) і (-1;1) симетричні

�0,01 =0,1; �0,04 =0,2; �0,09
619. Знайди
9 =3;
620. Який із виразів
має змісту? А) √16; Б) √28; В) √ 25; Г) √0.
25 - не має змісту.
621. Яка з умов хибна?
√36 =6; Б) √16 =±4; В) √0 =0; Г) √ 25 не існує.
умова: √16 =±4. 622. Чи правильна рівність?
√48 − має; б) √ 49 − немає;
√64 = 8 має;
�( 5)2 =5 має;
https://shkola.in.ua/2397-hdz-alhebra-8-klas-bevz-2016.html
ґ) �( 4)3 = √ 64 − немає;
д) �8 ⋅ ( 4) = √ 32 − немає;
е) − √ 17 − немає;
є) �( 6) ⋅ ( 12) = √72 − має.
624. Покажи, що 8 — квадратний
числа 64?
82 = 64; (−8)2 = 64.
Отже, числа 8 і -8 — квадратні
кореня дорівнює 8.
625. Покажи, що:
а) ( 5,4)2 = 29,16;
б) ( 0,99)2 =0,9801;
в) �29,16 =5,4; �0,9801 =0,99.
Для √29,16 =5,4:
Число 5,4 невід'ємне (5,4 ≥ 0), 5,42 = 29,16.
Для √0,9801 =0,99:
Число 0,99 невід'ємне (0,99 ≥ 0), 0,992 =0,9801. Отже, рівність правильна.
626. Чи є число
( 37)2 = 1369, 372 = 1369.
Отже, -37 і 37 — квадратні
квадратного кореня, бо -37 < 0.
627. Заповни таблицю.
https://shkola.in.ua/2397-hdz-alhebra-8-klas-bevz-2016.html
630. Обчисли значення виразу.
а) √169 = 13; б) √256 = 16; в) √324 = 18; г) √361 = 19;
ґ) √400 = 20; д) √900 = 30; е) √2500 = 50; є) √3600 = 60.
631. Обчисли значення виразу.
а) √121 = 11; б) √196 = 14; в) √225 = 15; г) √625 = 25; ґ) √100 = 10; д) √10000 = 100; е) √1600 = 40; є) √2500 = 50.
632. Обчисли значення виразу.
а) √0,04 =0,2; б) √0,09 =0,3; в) √0,16 =0,4; г) √0,64 =0,8; ґ) √1,21 =1,1; д) √1,44 =1,2; е) √2,89 =1,7; є) √3,24 =1,8.
633. Обчисли значення виразу.
√0,01 =0,1; б) √0,49 =0,7; в) √1,96 =1,4; г) √
https://shkola.in.ua/2397-hdz-alhebra-8-klas-bevz-2016.html
https://shkola.in.ua/2397-hdz-alhebra-8-klas-bevz-2016.html
64 см2 : √64 = 8 см;
662. Знайди
а) 48: 482 = 2304;
б) 3,7: (3,7)2 = 13,69;
в) 0,07: (0,07)2 =0,0049;
г) − 0,0004: не існує,
663. Find the number whose square root is equal to:
a) 54: 542 = 2916;
b) 7,3: (7,3)2 = 53,29;
c) 0,06: (0,06)2 =0,0036;
d) − 23,7: не існує.
664. Чи
а) √���� =4: ���� =42 = 16;
б) √���� =0: ���� =02 =0;
в) √���� = 2: не існує;
г) √−���� =7: −���� = 49 ⇒���� = 49
665. Чи
https://shkola.in.ua/2397-hdz-alhebra-8-klas-bevz-2016.html
а) √���� = 100: ���� = 1002 = 10000;
б) √3���� =0: 3���� =0 ⇒���� =0;
в) 5+ √���� =0: не існує;
г) √−���� =2: −���� =4 ⇒���� = 4.
666. Добудуй блок-схему.
Це завдання на логіку розв’язання рівняння √���� = ����.
Суть в тому, що арифметичний квадратний
алгоритм перевіряє знак числа ���� .
Ось як потрібно домалювати блок-схему:
1. Гілка «+» (Якщо ����≥ 0)
Якщо
квадрату.
2. Гілка «–» (Якщо ���� <0)
Якщо умова не виконується (тобто ����
від'ємному числу.
3. Завершення

https://shkola.in.ua/2397-hdz-alhebra-8-klas-bevz-2016.html
668. Розв’яжи рівняння.
а) 5 ⋅ ����� = 10; ����� =2,
22 = ����, ���� =4; б) − 3+ ����� =0; ����� =3,
669. Розв’яжи рівняння.
а) √���� +3 =5;
32 = ����, ���� =9; в) 4 ⋅ √���� =8; √���� =2, 22 = ����, ���� =4.
52 = ���� +3, ���� +3= 25, ���� = 22; б) �11 −���� =7; 72 = 11 −����, 11 −���� = 49, −���� = 38, ���� = −38; в) √5����− 1 =3; 32 =5����− 1, 5����− 1=9, 5���� = 10, ���� =2;
г) √1+2���� =5;
52 =1+2���� ,
1+2���� = 25,
2���� = 24, ���� = 12; ґ) 12 √���� +2 =3;
670. Розв’яжи рівняння.
а) √���� +2 =3;
32 = ���� +2, ���� +2=9, ���� =7;
г) 15 √����− 3 =3;
3√����− 3 = 15,
√����− 3 =5,
52 = ����− 3, ���� = 28;
3√���� +2 = 12, √���� +2 =4,
42 = ���� +2, ���� +2= 16, ���� = 14;
б) √����− 12 =8;
28 √���� +5 =7;
√���� +5 = 28,
+5 =4, 42 = ���� +5, ���� +5= 16, ���� = 11.
82 = ����− 12, ����− 12 = 64, ���� = 76; в) 36 √����− 5 =4; 4√����− 5 = 36, √����− 5 =9, 92 = ����− 5, ���� = 86;
ґ) √14 +5���� =8; 82 = 14 +5���� , 14 +5���� = 64, 5���� = 50, ���� = 10;
д) 1+ √1 −���� =0; √1 −���� = 1 - не існує. 671.
1. Квадрат числа 1000.
2. Знак √ .
3. Латинська назва многочлена. 5. Четверте просте число.
6. Латинська буква.

По горизонталі: 4) Піфагор; 7) вісь; 8) ідея; 9) доданок.
По вертикалі: 1) мільйон; 2) радикал; 3) поліном; 5) сім; 6) зет.
672. Розв’яжи рівняння.
а) �√���� +5 =4;
673. Назви порядок числа. а) 2,3 ⋅ 108 → 108 ; порядок
https://shkola.in.ua/2397-hdz-alhebra-8-klas-bevz-2016.html

https://shkola.in.ua/2397-hdz-alhebra-8-klas-bevz-2016.html
ірраціональне (воно раціональне).
679. Укажи правильні твердження.
Наприклад, число 5 —
Правильні твердження: а) 2���� — число дійсне; ���� — ірраціональне, тому 2
твердження:
Від'ємні.
Схема правильна, бо раціональні
додатних, нуля і від'ємних.
Схема б):
Дійсні числа ℝ: Раціональні
https://shkola.in.ua/2397-hdz-alhebra-8-klas-bevz-2016.html
682. Який із записів правильний? Правильні записи:
в) 10,7 ∈ℚ; 10,7 — десятковий дріб, отже, раціональне число; г) 10,8 ∈ℝ; 10,8 — десятковий дріб, отже, дійсне число; д) √4 ∈ℤ; √4 =2; 2 — ціле число;
е) 12 ∈ℚ; 12 — натуральне (ціле) число, отже, раціональне число;
є) 13 ∈ℝ; 13 — натуральне (ціле, раціональне) число, отже, дійсне число;
з) √6 ∈ℝ. √6 — ірраціональне число, отже, дійсне число.
Неправильні записи:
а) 10,5 ∈ℕ; 10,5 не є натуральним числом;
б) 10,6 ∈ℤ; 10,6 не є цілим числом;
ґ) √3 ∈ℕ; √3 — ірраціональне число, не є
√5 ∈ℚ; √5 — ірраціональне
числом;
https://shkola.in.ua/2397-hdz-alhebra-8-klas-bevz-2016.html
https://shkola.in.ua/2397-hdz-alhebra-8-klas-bevz-2016.html
г) 17 16 =1 1 16 =1+ 1 16 =1+0,0625 =1,0625
ґ) 1 125 = 1⋅8 125⋅8 = 8 1000 =0,008
691. Подай у вигляді
а) 2 3 =0,666...=0,(6)
б) 5 6 =0,8333...=0,8(3)
в) 16 15 =1 1 15 =1+ 1 15 =1+0,0666...=1,0666...=1,0(6)
г) 38 12 = 19 6 =3 1 6 =3+ 1 6 =3+0,1666...=3,1666...=3,1(6)
ґ) 1 7 =0,142857142857...=0,(142857)
692. ЗНО
число 8 3 у
відповідь – Г 2,7
2,0379 <2,0401
2,333...>2,327
696. Порівняй числа.
https://shkola.in.ua/2397-hdz-alhebra-8-klas-bevz-2016.html
0,(6)>0,(58)
0,(58)<0,6<0,(6) 0,6
705. Відомо,
https://shkola.in.ua/2397-hdz-alhebra-8-klas-bevz-2016.html
713.
√5 ⋅ √5 =5, якщо множники
8 − 6=2
https://shkola.in.ua/2397-hdz-alhebra-8-klas-bevz-2016.html
https://shkola.in.ua/2397-hdz-alhebra-8-klas-bevz-2016.html
https://shkola.in.ua/2397-hdz-alhebra-8-klas-bevz-2016.html
https://shkola.in.ua/2397-hdz-alhebra-8-klas-bevz-2016.html
https://shkola.in.ua/2397-hdz-alhebra-8-klas-bevz-2016.html
https://shkola.in.ua/2397-hdz-alhebra-8-klas-bevz-2016.html


https://shkola.in.ua/2397-hdz-alhebra-8-klas-bevz-2016.html
про втрати.
Квашена капуста (≈ 30 мг/100 г): Вживати як салат.
б) План поповнення вітаміну С навесні Петрушка (≈ 150 мг/100 г): Щоденне додавання 30
(наприклад, салатів чи супів після приготування) покриває
Ківі та Апельсини/Лимони: Продовжувати
гарячу воду, щоб зменшити втрати.
Рання білокачанна капуста (≈ 40 мг/100 г): Вживати сирою
Головний принцип: Вживати
https://shkola.in.ua/2397-hdz-alhebra-8-klas-bevz-2016.html
1) 16 > √16, бо 16 >4; 400 > √400, бо 400 >
https://shkola.in.ua/2397-hdz-alhebra-8-klas-bevz-2016.html
https://shkola.in.ua/2397-hdz-alhebra-8-klas-bevz-2016.html
https://shkola.in.ua/2397-hdz-alhebra-8-klas-bevz-2016.html
https://shkola.in.ua/2397-hdz-alhebra-8-klas-bevz-2016.html
https://shkola.in.ua/2397-hdz-alhebra-8-klas-bevz-2016.html

1+ ���� =7 ⇒���� =6
(9;3):
(0,01;0,1):
https://shkola.in.ua/2397-hdz-alhebra-8-klas-bevz-2016.html
https://shkola.in.ua/2397-hdz-alhebra-8-klas-bevz-2016.html


https://shkola.in.ua/2397-hdz-alhebra-8-klas-bevz-2016.html
Якщо ���� =1,3, то ����≈ 1,7 Якщо ���� =1,7, то ����≈ 2,9
Якщо ���� =2, то ���� =4

а) Якщо ���� =0, то ���� =0
Якщо ���� =0,5, то ����≈ 0,7
Якщо ���� =2, то ����≈ 1,4
Якщо ���� =2,5, то ����≈ 1,6
Якщо ���� =3, то ����≈ 1,7
б) Якщо ���� =0,5, то ���� =0,25
Якщо ���� =1, то ���� =1
Якщо ���� =1,5, то ���� =2,25
Якщо ���� =2,2, то ���� =4,84
856. Функцію
https://shkola.in.ua/2397-hdz-alhebra-8-klas-bevz-2016.html
Якщо ���� =1,1, то √���� =1,1, ���� =1,12 , ���� =1,21
Якщо ���� = 13, то √���� = 13, ���� = 132 , ���� = 169
857. The function is given by the formula ���� = √���� . Find the value of:
a) the function if the argument value is equal: 9; 25; 1,21; 0,04; 4900;
b) the argument if the function value is equal: 1; 0,3; 1,2; 15.
���� ) Якщо ���� =9, то ���� = √9 =3
Якщо ���� = 25, то ���� = √25 =5
Якщо ���� =1,21, то ���� = �1,21 =1,1
Якщо ���� =0,04, то ���� = �0,04 =0,2
Якщо ���� = 4900, то ���� = √4900 = 70
����) Якщо ���� =1, то √���� =1, ���� =12 , ���� =1
Якщо ���� =0,3, то √���� =0,3, ���� =0,32 , ���� =0,09
Якщо ���� =1,2, то √���� =1,2, ���� =1,22 , ���� =1,44
Якщо ���� = 15, то √���� = 15, ���� = 152 , ���� = 225
https://shkola.in.ua/2397-hdz-alhebra-8-klas-bevz-2016.html
860. Порівняй числа:
а) 32 < 35, тому √32 < √35
б) 1,17 >1,07, тому �1,17 > �1,07
в) 7= √49; 48,8< 49, тому �48,8 <7
г) 20√5 = √400 ⋅ 5 = √2000; 2300 > 2000, тому √2300 > 20√5
861. Порівняй числа:
а) 73 > 72, тому √73 > √72
б) 0,38 <0,4, тому �0,38 < �0,4
в) 8= √64; 65,1> 64, тому �65,1 >8
г) 30√2 = √900 ⋅ 2 = √1800; 1800 = 1800, тому √1800 = 30√2
862. Між якими
) 1<2<4, тому √1 < √2 < √4,1< √2 <2
) 16
2: √17
https://shkola.in.ua/2397-hdz-alhebra-8-klas-bevz-2016.html
1) ���� = 49, ���� =2 ⋅ √49 =2 ⋅ 7= 14 (Ч)
2)
3)
4) ���� = 25, ���� =2 ⋅ √25 =2 ⋅ 5= 10 (О)
5) ���� = 400, ���� =2 ⋅ √400 =2 ⋅ 20 = 40 (Т)
6) ���� =0,09, ���� =2 ⋅ �0,09 =2 ⋅ 0,3=0,6 (А)
7) ���� = 169, ���� =2 ⋅ √169 =2 ⋅ 13 = 26 (Р)
8) ���� =1, ���� =2 ⋅ √1 =2 ⋅ 1=2 (Ь)
9) ���� =0, ���� =2 ⋅ √0 =2 ⋅ 0=0 (О)
10)
графічно рівняння.
) √���� =3 ���� = √���� та ���� =3.

https://shkola.in.ua/2397-hdz-alhebra-8-klas-bevz-2016.html


https://shkola.in.ua/2397-hdz-alhebra-8-klas-bevz-2016.html




https://shkola.in.ua/2397-hdz-alhebra-8-klas-bevz-2016.html
=
а) ���� =1; б) ���� = 1; в) ���� =4; г) ���� = 4; ґ) ���� = 100; д) ���� = 100?
перетинає, то в якій точці?
а) ���� =1: √���� =1, ���� =12 , ���� =1. Перетинає в точці (1;1)
б) ���� = 1: √���� = 1. Оскільки √���� ≥ 0, не перетинає
в) ���� =4: √���� =4, ���� =42 , ���� = 16. Перетинає в точці (16;4)
г) ���� = 4: √���� = 4. Не перетинає
ґ) ���� = 100: √���� = 100, ���� = 1002 , ���� = 10000. Перетинає в точці (10000; 100)
д) ���� = 100: √���� = 100. Не перетинає
870. Не
а) √���� =3, ���� =32 , ���� =9. Точка (9;3)
б) √���� = −3. Оскільки √���� ≥ 0, точок перетину немає
в) √���� = 144, ���� = 1442 , ���� = 20736. Точка (20736; 144)
г) √���� = 144. Оскільки
873.
)
Порядок зростання: 0, 322 ;0,32; √0,32 б) 1,74 >1. На цьому проміжку √���� < ���� < ���� 2 . Порядок зростання: √1,74;1,74;1, 742
874. Розмісти числа у порядку спадання: а) 3,57;3, 572 ; �3,57; б) 0,2;0,22 ; √0,2. а) 3,57 >1. На цьому проміжку
Порядок спадання: 3, 572 ;3,57; �3,57
) 0<0,2<1.

https://shkola.in.ua/2397-hdz-alhebra-8-klas-bevz-2016.html


https://shkola.in.ua/2397-hdz-alhebra-8-klas-bevz-2016.html


https://shkola.in.ua/2397-hdz-alhebra-8-klas-bevz-2016.html

Рівняння розв’язків не має.

https://shkola.in.ua/2397-hdz-alhebra-8-klas-bevz-2016.html


https://shkola.in.ua/2397-hdz-alhebra-8-klas-bevz-2016.html

���� =1: ���� = √1 =1, ���� = 1 3 (1+2)=1. (Перший корінь) При ���� =4: ���� = √4 =2, ���� = 1 3 (4+2)=2. (Другий корінь)
Рівняння має 2 корені.

https://shkola.in.ua/2397-hdz-alhebra-8-klas-bevz-2016.html

https://shkola.in.ua/2397-hdz-alhebra-8-klas-bevz-2016.html


https://shkola.in.ua/2397-hdz-alhebra-8-klas-bevz-2016.html

https://shkola.in.ua/2397-hdz-alhebra-8-klas-bevz-2016.html


https://shkola.in.ua/2397-hdz-alhebra-8-klas-bevz-2016.html


https://shkola.in.ua/2397-hdz-alhebra-8-klas-bevz-2016.html


https://shkola.in.ua/2397-hdz-alhebra-8-klas-bevz-2016.html



https://shkola.in.ua/2397-hdz-alhebra-8-klas-bevz-2016.html


https://shkola.in.ua/2397-hdz-alhebra-8-klas-bevz-2016.html

49 < 51 < 64
√49 < √51 < √64
7< √51 <8
Відповідь: В 7 і 8
3. Укажи, яке число є ірраціональним.
А) √25 =5 раціональне
Б) − 1,7 − раціональне
В) 3,14 − раціональне
Г) √5 ≈ 2,236... ірраціональне
Відповідь: Г √5

https://shkola.in.ua/2397-hdz-alhebra-8-klas-bevz-2016.html
https://shkola.in.ua/2397-hdz-alhebra-8-klas-bevz-2016.html
892. Розв'яжіть рівняння: а) ���� 2 9 = 0; ���� 2 =9; ���� =±√9; ����1 =3, ����2 = −3. б) 2���� 2 8 = 0; 2���� 2 =8; ���� 2 =8 ∶ 2; ���� 2 =4; ����1 =2, ����2 = 2. в) ���� 2 + 1 = 0; −���� 2 = 1; ���� 2 =1; ����1 =1, ����2 = 1.
893. Яке з рівнянь має один корінь?
А 2���� 2 =8;
2 =4;
=±2 — два корені;
2���� 2 =0;
2 =0;
=0 — один корінь; В 2���� 2 = 8; ���� 2 = 4 — коренів
Б.
894. Скільки коренів має рівняння 5���� 2 + 20 =0? 5���� 2 = 20;
https://shkola.in.ua/2397-hdz-alhebra-8-klas-bevz-2016.html
1) ���� 2 +3����− 7=0; ���� =1, ���� =3, ���� = 7.
2) 2���� 2 + √3����− 4=0; ���� = 2, ���� = √3, ���� = 4.
3) 1 3 ���� 2 +2���� =0; ���� = 1 3 , ���� =2, ���� =0.
4) 9���� 2 =0; ���� =9, ���� =0, ���� =0.
Неповні квадратні рівняння: 1) 1 3 ���� 2 +2���� =0; ���� = 1 3 , ���� =2, ���� =0.
2) 9���� 2 =0; ���� =9, ���� =0, ���� =0. 897. З наведених рівнянь
рівняння:
1) ���� 2 2���� +6=0;
���� =1, ���� = 2, ���� =6.
2) ���� 2 25 = ���� ;
���� 2 −����− 25 =0;
���� =1,
3����−���� 2 5���� 2 +4=0; 6���� 2 +3���� +4=0; ���� = 6, ���� =3, ���� =4.
в) 4���� 2 =2����(3���� +5);
4���� 2 =6���� 2 + 10����; 4���� 2 6���� 2 10���� =0; 2���� 2 10���� =0; ���� = 2, ���� = 10, ���� =0. г) (1 −���� )(3����− 2)=2���� + ���� 2 ; 3����− 2 − 3���� 2 +2���� =2���� + ���� 2 ; 3���� 2 +5����− 2 2����−���� 2 =0; 4���� 2 +3����− 2=0; ���� = 4, ���� =3, ���� = 2. 899.
а) (���� 1)(���� 2) = 4���� ; ���� 2 2����−���� +2=4���� ; ���� 2 3���� +2 4���� =0; ���� 2 7���� +2=0;
=1, ���� = 7, ���� =2.
900. Розв'яжіть рівняння:
а) 3���� 2 − 27 = 0; 3���� 2 = 27; ���� 2 = 27 ∶ 3; ���� 2 =9; ����1 =3, ����2 = 3. б) 3���� 2 + 27 = 0; 3���� 2 = 27; ���� 2 = 9; коренів немає.
в) 0,5���� 2 + ���� = 0; ����(0,5���� +1)=0; ���� =0 або 0,5���� +1=0; 0,5���� = 1; ���� = 1 ∶ 0,5; ����1 =0, ����2 = 2.
ґ) ���� 2 − 144 = 0; ���� 2 = 144; ����1 = 12, ����2 = 12.
г) ���� 2���� 2 = 0; ����(1 2����)=0; ���� =0 або 1 2���� =0; 2���� =1; ���� =1 ∶ 2; ����1 =0, ����2 =0,5.
д) 0,16���� 2 + 100 = 0; 0,16���� 2 = 100; ���� 2 = 100 ∶ 0,16; коренів немає.
2 =0;
е) 16���� 2 = 25; ���� 2 = 25 ∶ 16; ���� 2 = 25 16 ; ����1 =1,25, ����2 = −1,25. є) 4���� 2 = 0;
=0. ж) (√7 √3)���� 2 =0;
Розв'яжіть рівняння:
2���� 2 8���� = 0; 2���� (����− 4)=0; 2���� =0 або ����− 4=0; ����1 =0, ����2 =4.
12���� = 0,24���� 2 ; 0,24���� 2 12���� =0;
(0,24����− 12)=0;
=0 або 0,24���� = 12;
= 12
0,24; ����1 =0, ����2 = 50.
���� 2 + 3���� = 0;
=0 або ���� +3=0;
=0, ����2 = 3.
=0 або 1 −���� =0; ����1 =0, ����2 =1. ґ) 0,1���� 2 = 0; ���� 2 =0; ���� =0.
9���� 2 = 0; ���� 2 =0;
ж) 100���� 2 225 =0; 100���� 2 = 225; ���� 2 =2,25; ����1 =1,5, ����2 = −1,5.
���� 2 = 25���� ;
https://shkola.in.ua/2397-hdz-alhebra-8-klas-bevz-2016.html
���� (����− 25)=0;
���� =0 або ����− 25 =0;
����1 =0, ����2 = 25.
Відповідь: Б 0; 25.
б) 4���� 2 =1;
���� 2 =1:4;
���� 2 =0,25;
���� =±�0,25;
����1 =0,5, ����2 = 0,5.
Відповідь: Д -0,5; 0,5.
903. Гра. Один із учасників
розв'язати.
Приклад:
Учень 1: Записую рівняння 4���� 2 100 =0
Учень 2: Розв'язую:
4���� 2 = 100;
���� 2 = 100 ∶ 4;
���� 2 = 25;
����1 =5, ����2 = 5.
904. Розв'яжіть рівняння:
а) (����− 1)���� +3���� =0;
���� 2 −���� +3���� =0;
���� 2 +2���� =0;
���� (���� +2)=0;
���� =0 або ���� +2=0;
����1 =0, ����2 = 2.
б) 2����(���� +5)=6����;
2���� 2 + 10����− 6���� =0;
2���� 2 +4���� =0;
2����(���� +2)=0;
2���� =0 або ���� +2=0;
����1 =0, ����2 = 2.
(���� +2)(���� − 2)=0;
https://shkola.in.ua/2397-hdz-alhebra-8-klas-bevz-2016.html
а) 4,022���� 2 − 9,0495 =0
4,022���� 2 =9,0495
���� 2 =9,0495 ∶ 4,022
���� 2 =2,25
���� =±�2,25
����1 =1,5; ����2 = 1,5
б) 7,467���� 2 =7,84035���� 7,467���� 2 7,84035���� =0
���� (7,467����− 7,84035)=0
����1 =0 або 7,467����− 7,84035 =0
7,467���� =7,84035
���� =7,84035 ∶ 7,467
����2 =1,05 914. 55
= 55 + 89 = 144 (га)
(����− 1)(����− 5)+(���� +3)2 = ���� 2 + 18
https://shkola.in.ua/2397-hdz-alhebra-8-klas-bevz-2016.html
= 3
=3
= 2 5 −���� = 7 ����2 =7
3���� 2 + 36���� = 108 3���� 2 + 36���� + 108 =0 3(���� 2 + 12���� + 36)=0
+6)2 =0
���� +1= 18 +1= 19
18 і 19.
https://shkola.in.ua/2397-hdz-alhebra-8-klas-bevz-2016.html
умовою: √���� =2,5 ⋅���� Піднесемо обидві частини рівняння
(√���� )2 =(2,5����)2
���� =6,25���� 2
6,25���� 2 −���� =0 ���� (6,25����− 1)=0
����1 =0 або 6,25����− 1=0 6,25���� =1
����2 =1 ∶ 6,25
����2 =0,16
Перевірка для ���� =0:
Перевірка для ���� =0,16:
√0,16 =0,4;
0,4 ∶ 0,16 =2,5
Відповідь: 0,16.
930. Добуток двох
https://shkola.in.ua/2397-hdz-alhebra-8-klas-bevz-2016.html
=6+8+ 10 = 24 (м)
Відповідь: 24 м. 932. Знайди периметр прямокутника,
120 см².
Нехай сторони прямокутника
���� =2 (оскільки ���� >0) Знайдемо сторони: ���� =5 ⋅ 2= 10 (см)
���� =6 ⋅ 2= 12 (см)
���� =2(���� + ���� )
���� =2(10 + 12)=2 ⋅ 22 = 44 (см)
Відповідь: 44 см.
https://shkola.in.ua/2397-hdz-alhebra-8-klas-bevz-2016.html
https://shkola.in.ua/2397-hdz-alhebra-8-klas-bevz-2016.html
https://shkola.in.ua/2397-hdz-alhebra-8-klas-bevz-2016.html
2(���� +3)=3����
2���� +6=3����
���� =6 (дм) — сторона меншої серветки.
���� +3=6+3=9 (дм) — сторона
Знайдемо периметри:
����вел =4 ⋅ 9= 36 (дм)
����мал =4 ⋅ 6= 24 (дм)
Загальна кількість мережива:
���� =2 ⋅����вел +6 ⋅����мал
���� =2 ⋅ 36 +6 ⋅ 24 = 72 + 144 = 216 (дм)
Відповідь: 216 дм.
937. За
https://shkola.in.ua/2397-hdz-alhebra-8-klas-bevz-2016.html
https://shkola.in.ua/2397-hdz-alhebra-8-klas-bevz-2016.html

Відповідь: ���� = −5 б) ���� 2 (|����| 3)����−���� 2 +3���� =0 |���� | 3=0 |���� |=3 ���� =3 або ���� = 3
https://shkola.in.ua/2397-hdz-alhebra-8-klas-bevz-2016.html

а) Мал. 18.4 (лінійна функція):
Область визначення: ����∈ (−∞;+∞)
Область значень: ����∈ (−∞;+∞)
Нулі функції: ���� =0 при ���� =1,5
Проміжки знакосталості: ���� >0 при ����
Зростання/спадання: функція спадна на
б) Мал. 18.5 (обернена пропорційність):
Область визначення: ����≠ 0
Область значень: ����≠ 0
Нулі функції: немає Проміжки
а) ���� 2 2���� +1=0;
https://shkola.in.ua/2397-hdz-alhebra-8-klas-bevz-2016.html
���� =( 2)2 4 ⋅ 1 ⋅ 1=4 4=0;
���� =0, один корінь.
б) ���� 2 +2���� +1=0;
���� =22 4 ⋅ 1 ⋅ 1=4 4=0;
���� =0, один корінь.
в) ���� 2 6���� +1=0;
���� =( 6)2 4 ⋅ 1 ⋅ 1= 36 4= 32;
���� >0, два корені.
г) ���� 2 +6���� 1=0;
���� =62 − 4 ⋅ 1 ⋅ (−1)= 36 +4= 40;
���� >0, два корені.
ґ) 2���� 2 −���� +1=0;
���� =( 1)2 4 ⋅ 2 ⋅ 1=1 8= 7;
���� <0, коренів немає.
д) 3���� 2 2����− 1=0;
���� =(−2)2 − 4 ⋅ 3 ⋅ (−1)=4+ 12 = 16;
���� >0, два корені.
952. Яке з рівнянь не має коренів?
А) ���� 2 2���� +2=0;
���� =(−2)2 − 4 ⋅ 1 ⋅ 2=4 − 8= −4;
���� <0, коренів немає.
Б) ���� 2 +2����− 2=0;
���� =22 4 ⋅ 1 ⋅ ( 2)=4+8= 12;
���� >0, два корені.
В) ���� 2 +5���� +6=0;
���� =52 4 ⋅ 1 ⋅ 6= 25 24 =1;
���� >0, два корені.
Г) ���� 2 6���� +9=0;
���� =( 6)2 4 ⋅ 1 ⋅ 9= 36 36 =0;
���� =0, один корінь.
Відповідь: А.
953. Яке з рівнянь
А) ���� 2 +2���� +1=0;
https://shkola.in.ua/2397-hdz-alhebra-8-klas-bevz-2016.html
���� =22 4 ⋅ 1 ⋅ 1=4 4=0;
���� =0, один корінь.
Б) 2���� 2 +3����− 3=0;
���� =32 4 ⋅ 2 ⋅ ( 3)=9+ 24 = 33;
���� >0, два корені.
В) 4���� 2 +2���� +3=0;
���� =22 4 ⋅ 4 ⋅ 3=4 48 = 44;
���� <0, коренів немає.
Г) ���� 2 +2���� +3=0;
���� =22 4 ⋅ 1 ⋅ 3=4 12 = 8;
���� <0, коренів немає.
Відповідь: Б.

https://shkola.in.ua/2397-hdz-alhebra-8-klas-bevz-2016.html
���� =( 8,8)2 4 ⋅ 8 ⋅ 2,1= 77,44 67,2= 10,24; ����1 = 8,8+ √10,24 2 ⋅ 8 = 8,8+3,2 16 = 12 16 =0,75; ����2 = 8,8 − 3,2 16 = 5,6 16 =0,35. 963. Користуючись формулою
рівняння: а) 10���� 2 0,8���� =1,92; 10���� 2 0,8����− 1,92 =0; ���� =( 0,8)2 4 ⋅ 10 ⋅ ( 1,92)=0,64 + 76,8= 77,44;
= 0,8+ √77,44 2 ⋅ 10 = 0,8+8,8 20 = 9,6 20 =0,48; ����2
А (3; 5).
Б (1; 3).
а) 4����(����− 1)=3; 4���� 2 4����− 3=0; ���� =( 4)2 4 ⋅ 4 ⋅ ( 3)= 16 + 48 = 64; ����1 = 4+8 8 =1,5; ����2 = 4 8 8 = −0,5; б) 3����(3����− 8)= 20; 9���� 2 24����− 20 =0; ���� =( 24)2 4 ⋅ 9 ⋅ ( 20)= 576 + 720 = 1296; ����1 = 24 + 36 18 = 60 18 =3 1 3 ; ����2 = 24 36 18 = 12 18 = 2 3 ; в) 3����(2����− 5)=2(���� 2 +2); 6���� 2 15���� =2���� 2 +4; 4���� 2 15����− 4=0;
=(−15)2 − 4 ⋅ 4 ⋅ (−4)= 225 + 64 = 289;
= 15 + 17 8 =4; ����2 = 15 17 8 = 0,25; г) 2����(3���� +4)=4���� 2 +5���� + 27; 6���� 2 +8���� =4���� 2 +5���� + 27; 2���� 2 +3����− 27 =0; ���� =32 4 ⋅ 2 ⋅ ( 27)=9+ 216 = 225; ����1 = 3+ 15 4 =3; ����2 = 3 15 4 = 4,5; ґ) (���� +4)(2����− 3) (5����− 6)(����− 3)= 10; 2���� 2 3���� +8����− 12 (5���� 2 15����− 6���� + 18)= 10; 2���� 2 +5����− 12 5���� 2 + 21����− 18 10 =0; −3���� 2 + 26����− 40 =0; 3���� 2 26���� + 40 =0;
=( 26)2 4 ⋅ 3 ⋅ 40 = 676 480 = 196; ����1 = 26 + 14 6 = 40 6 =6 2 3 ; ����2 = 26 − 14 6 =2.
) 4����(���� − 1)= 15; 4���� 2 4���� 15 =0;
=( 4)2 4 ⋅ 4 ⋅ ( 15)= 16 + 240 = 256; ����1 = 4+ √256 2 ⋅ 4 = 4+ 16 8 = 20 8 =2,5; ����2 = 4 16 8 = 12 8 = 1,5;
) 3����(3����− 4)=5; 9���� 2 12����− 5=0;
=( 12)2 4 ⋅ 9 ⋅ ( 5)= 144 + 180 = 324; ����1 = 12 + √324 2 ⋅ 9 = 12 + 18 18 = 30 18 =1 2 3 ; ����2 = 12 18 18 = 6 18 = 1 3 ; в) ���� (7 −���� )=5����− 8; 7����−���� 2 5���� +8=0;
2 +2���� +8=0;
2 2����− 8=0;
=(−2)2 − 4 ⋅ 1 ⋅ (−8)=4+ 32 = 36; ����1 = 2+6 2 =4; ����2 = 2 6 2 = 2; г) 3����(5���� +3)=2���� (6���� +5)+2; 15���� 2 +9���� = 12���� 2 + 10���� +2; 3���� 2 −����− 2=0; ���� =( 1)2 4 ⋅ 3 ⋅ ( 2)=1+ 24 = 25; ����1 = 1+5 6 =1;
https://shkola.in.ua/2397-hdz-alhebra-8-klas-bevz-2016.html
����1 = 8+6 2 =7;
����2 = 8 6 2 =1;
г) (3����− 5)2 = 10����− 19;
9���� 2 30���� + 25 10���� + 19 =0;
9���� 2 40���� + 44 =0;
���� =( 40)2 4 ⋅ 9 ⋅ 44 = 1600 1584 = 16;
����1 = 40 +4 18 = 44 18 =2 4 9 ;
����2 = 40 4 18 =2.
969. ЗНО Розв’яжи рівняння 2���� (���� +2)=5(���� +2).
2���� (���� +2) 5(���� +2)=0;
(���� +2)(2����− 5)=0;
���� +2=0 або 2����− 5=0;
����1 = 2;
2���� =5;
����2 =2,5;
Відповідь: Д (-2; 2,5).
970. Розв'яжи рівняння:
а) ���� +3= ���� +3 ���� ;
���� (���� +3)= ���� +3, де ����≠ 0; ���� 2 +3����−����− 3=0; ���� 2 +2����− 3=0; ���� =22 4 ⋅ 1 ⋅ ( 3)=4+ 12 = 16;
����1 = 2+4 2 =1;
����2 = 2 4 2 = 3;
б) ���� = 18 ����− 3 ;
����(����− 3)= 18, де ����≠ 3;
���� 2 − 3����− 18 =0;
����2 = 1 0,6 2 = 0,4 2 =0,2
974.
1 ⋅ ( 272)=1+ 1088 = 1089
= 33 ����1 = 1+ 33 2 = 16 ����2 = 1 33 2 = 17 (не є натуральним) Якщо ����
https://shkola.in.ua/2397-hdz-alhebra-8-klas-bevz-2016.html
2) З віссю �������� (���� =0): ���� 2 + ����− 20 =0 ���� =12 4 ⋅ 1 ⋅ ( 20)=1+ 80 = 81
����1 = 1+9 2 =4; ����2 = 1 9 2 = 5. Точки (4;0) і ( 5;0).
б) 1) З віссю �������� (���� =0): ���� =0,5 ⋅ 02 5 ⋅ 0+8=8. Точка (0;8).
2) З віссю �������� (���� =0): 0,5���� 2 5���� +8=0 | ⋅ 2 ���� 2 10���� + 16 =0 ���� =( 10)2 4 ⋅ 1 ⋅ 16 = 100 64 = 36 ����1 = 10 +6 2 =8; ����2 = 10 6 2 =2. Точки (8;0) і (2;0).
Відповідь: а) (0; -20), (4; 0), (-5; 0); б) (0; 8), (8; 0), (2; 0)
977. Не виконуючи
1)
Точки (1;0) і (0,5;0).
а) (0; -28), (4; 0), (-7; 0); б) (0; -1), (1; 0), (0,5; 0)
https://shkola.in.ua/2397-hdz-alhebra-8-klas-bevz-2016.html
г) (����− (−2))(����− (−6))=0 ⇒ (���� +2)(���� +6)=0
а) (����− 2)(����− 5)=0 ���� 2 − 5����− 2���� + 10 =0 ���� 2 7���� + 10 =0 б) (����− 3)(����− ( 7))=0 (����− 3)(���� +7)=0
2 +4����− 21 =0
) (����− 0,5)(����− 4)=0
2 − 4����− 0,5���� +2=0 ���� 2 4,5���� +2=0
г) (����− ( 0,2))(����− ( 8))=0
(���� +0,2)(���� +8)=0
���� 2 +8���� +0,2���� +1,6=0
���� 2 +8,2���� +1,6=0
https://shkola.in.ua/2397-hdz-alhebra-8-klas-bevz-2016.html
���� =92 4 ⋅ 1 ⋅ 14 = 81 56 = 25
����1 = 9+5 2 = 2; ����2 = 9 5 2 = 7
Якщо ����1 = 2, то ����1 =( 2)2 2 ⋅ ( 2) 16 =4+4 16 = 8
Якщо ����2 = 7, то ����2 =( 7)2 2 ⋅ ( 7) 16 = 49 + 14 16 = 47
Точки перетину: (−2; −8), (−7; 47).
б) 6 ���� = ����− 5 | ⋅���� , ����≠ 0 6= ���� 2 5���� ���� 2 5����− 6=0
=( 5)2 4 ⋅ 1 ⋅ ( 6)= 25 + 24 = 49 ����1 = 5+7 2 =6; ����2 = 5 − 7 2 = 1 Якщо ����1 =6, то ����1 =6 − 5=1
Якщо ����2 = −1, то ����2 = −1 − 5= −6
Точки перетину: (6;1), (−1; −6).
(���� +3)4 +(���� +3)2 2=0;
���� 2 +2���� +1= ����
https://shkola.in.ua/2397-hdz-alhebra-8-klas-bevz-2016.html
https://shkola.in.ua/2397-hdz-alhebra-8-klas-bevz-2016.html
https://shkola.in.ua/2397-hdz-alhebra-8-klas-bevz-2016.html
https://shkola.in.ua/2397-hdz-alhebra-8-klas-bevz-2016.html
����1 =1,5 або ����2 = −0,5 2) При ���� =1: (2����− 1)2 =1
����1 =6, ����2 = 6
Відповідь: 6; -6
https://shkola.in.ua/2397-hdz-alhebra-8-klas-bevz-2016.html