h-5-ma

Page 1

Розділ 4 РАЦІОНАЛЬНІ ЧИСЛАТА ДІЇ З НИМИ § 19 Додатні та від’ємні
Число
числа.
нуль 838. 1) так; 2) так; 3) так; 4) ні; 5) так; 6) ні. 845. 847. 848. 849. 850. 851. 852. 853. 854. 857. 858. 859. § 20 Координатна пряма 860. 861. 862. 863. 864. shkola.in.ua
Розділ 4 РАЦІОНАЛЬНІ ЧИСЛАТА ДІЇ З НИМИ
shkola.in.ua
865. 866. 867. 868. 869. 870. 873. 874. 875. 876. 877. 884. 885. 886. 887. 888. 889. 890.

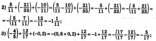
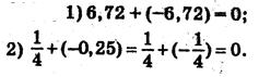
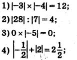
891. 892. 895. 896. § 21 Модуль числа 898. 899. 900. 901. 902.

903. 904. 905. 906. 907. 908. 909. 910. 911. 912.

Розділ 4 РАЦІОНАЛЬНІ ЧИСЛАТА ДІЇ З НИМИ
shkola.in.ua
Розділ 4 РАЦІОНАЛЬНІ ЧИСЛАТА ДІЇ З НИМИ
shkola.in.ua
913. 914. 915. 916. 917. 918. 919. 920. 921. 923. 924. 925. 926. 927. 928. 929.

930. 931. 933. 934. 935. 936. 937. 939. 941. 942. 943. 944.

945. 946. 947. 948. 949. 950. 952.

Розділ 4 РАЦІОНАЛЬНІ ЧИСЛАТА ДІЇ З НИМИ
shkola.in.ua

953. 954. 955. 956. 957. 958.

Розділ 4 РАЦІОНАЛЬНІ ЧИСЛАТА ДІЇ З НИМИ
§ 22 Цілі числа. Раціональні числа
shkola.in.ua
959. 960. 961. 962. 963. 964. 965. 966.
Розділ 4 РАЦІОНАЛЬНІ ЧИСЛАТА ДІЇ З НИМИ
967. 968. 969. 971. 972. 973. 974. 975. 976. 977. 979. 980. 981. shkola.in.ua
Розділ 4 РАЦІОНАЛЬНІ ЧИСЛАТА ДІЇ З НИМИ
23 Порівняння раціональних чисел
shkola.in.ua
982. 983. 984. 985. 986. 987. §
988. 989. 992. 993. 994. 995. 996.

997. 998. 999. 1000. 1001. 1002.

1003. 1004. 1005. 1006. 1007. 1008.

Розділ 4 РАЦІОНАЛЬНІ ЧИСЛАТА ДІЇ З НИМИ
shkola.in.ua
Розділ 4 РАЦІОНАЛЬНІ ЧИСЛАТА ДІЇ З НИМИ
1009. 1010. 1011. 1012. 1013. 1014. 1015. 1016. 1017. 1018. 1019. 1020. 1021. 1022. shkola.in.ua
Розділ 4 РАЦІОНАЛЬНІ ЧИСЛАТА ДІЇ
1029. 1031
1036
1037
shkola.in.ua
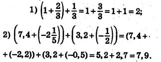
З НИМИ 1023. 1025. 1) 4 пачки морозива за ціною 13,5 грн; 4 ∙ 13, 5 грн = 54 грн > 50 грн грошей не вистачить; 2) 300 г цукерок, за ціною 154 грн за кілограм. 154 : 1000 ∙ 300 = 46 грн 20 к. < 50 Яка з покупок коштуватиме більше? Морозиво коштуватиме більше. 1026. 1027. 1028. § 24 Додавання раціональних чисел
. 1032. 1033. 1034.
.
.
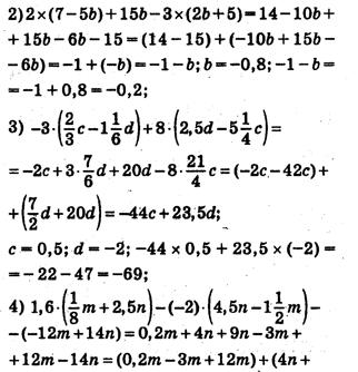
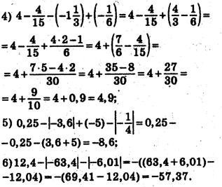
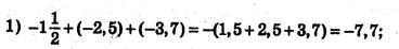
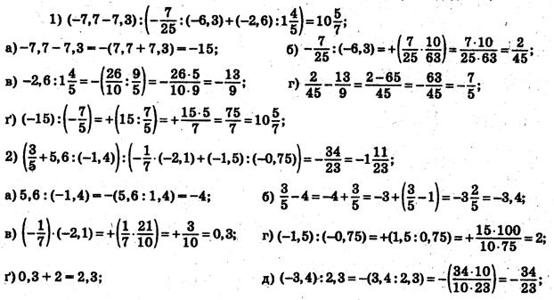
Розділ 4 РАЦІОНАЛЬНІ ЧИСЛАТА ДІЇ З НИМИ 1038. 1039. 1040. 1041. 1) −44 + (−6) = ( 44 +6) = 50; 2) −27 + (−97) = (27 +97) = 124; 3) −12 + (−11) = ( 12 + 11) = 23; 4) −78 + (−13) = (78+13) = 91; 5) −5 + (−8,5) = ( 5 + 8,5) = 13,5 ; 6) −6,89 + (−8) = (6,89 + 8) = 14,89; 7) −0,2 + (−0,2) = (0,2 + 0,2) = 0, 4; 8) −7,7 + (−8,7) = (7,7 + 8,7) = 16,4; 9) −0,9 + (−0,1) = (0,9 +0,1) = 1 1042. 1) −34 + (−43) = (34 + 43) = 77; 1043. 1044. 1045. 1046. 1047. 1048. shkola.in.ua
Розділ 4 РАЦІОНАЛЬНІ ЧИСЛАТА ДІЇ З НИМИ 1049. 1050. 1051. 1052. 1054. 1055. 1056. 1057. 1058. 1059. 1060. 1061. 1062.
shkola.in.ua
Розділ 4 РАЦІОНАЛЬНІ ЧИСЛАТА ДІЇ З НИМИ 1063. 1064. 1065. 1066. 1067. 1068. 1069. 1070. 1071. 1072. 1073. 1074. 1075.
shkola.in.ua
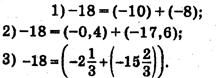
Розділ 4 РАЦІОНАЛЬНІ ЧИСЛАТА ДІЇ З НИМИ 1076. 1077. 1078. 1079. 1080. 1081. 1082. 1083. 1086. 1087. 1088. 1089. 1090. 1091. § 25 Віднімання раціональних чисел 1093. 1095. 1096. shkola.in.ua

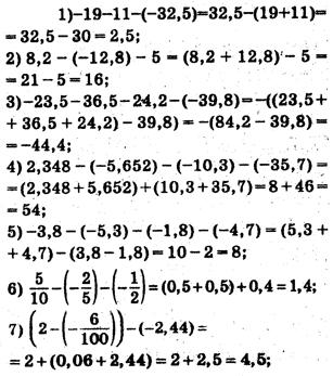
10) −3,7 − 4,7 = 8,4 ; 11) −2,7 − 2,6 = 5,3; 12) −254 165 = 419; 1104.

1) −4 12 = 16; 2) −72 34 = 106; 3) −6,4 − 2,4 = 8,8 1105.

1098. 1099. 1100. 1101. 1102. 1103. 5) −1 6 = 7; 6) −24 8 = 32;

1106.

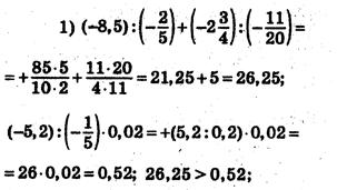
1) −8 − (−70) = 8 + 70 = 62; 2) −53 − (−53) = 0; 3) −82 − (−2) = 82 + 2 = 80; 4) −49 − (−54) = 49 + 54 = 5; 5) −745 − (−425) = 745 + 425 = 320; 6) −39 − (−28) = 39 + 28 = 11; 7) −5 − (−325) = 5 + 325 = 320; 8) −1,4 − (−2,9) = 1,4 + 2,9 = 1,5; 9) −5,6 − (−4,1) = 5,6 + 4,1 = 1,5; 10) −1,5 − (−1) = 1,5 + 1 = 0,5; 11) −4,7 − (−2,3) = 4,7 +2,3 = 2,4; 12) −34 − (−59) = 34 + 59 = 25 1107.

1) −5 − (−7) = -5 + 7 =2; 2) −13 − (−13) = 13 +13 =0; 3) −123 − (−105) = 123 + 105 = 18; 4) 4,9 − (−3,23) = 4,9 + 3,23 = 8,13 . 1108. 1109.

shkola.in.ua

Розділ 4 РАЦІОНАЛЬНІ ЧИСЛАТА ДІЇ З НИМИ 1097
.
Розділ 4 РАЦІОНАЛЬНІ ЧИСЛАТА ДІЇ З НИМИ 1110. 1111. 1112. 1113. 1114. 1116. 1117. 1118. 1119. 1120. 1121. 1122.
shkola.in.ua
Розділ 4 РАЦІОНАЛЬНІ ЧИСЛАТА ДІЇ З НИМИ 1123. 1124. 1125. 1126. 1128. 1129. 1130. 1131. 1132. shkola.in.ua
Розділ 4 РАЦІОНАЛЬНІ ЧИСЛАТА ДІЇ З НИМИ 1133. 1134. 1135. 1136. 1137. 1138. 1139. 1140. 1141. 1142. 1143. 1144. 1145. 1146. 1147. shkola.in.ua
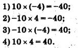
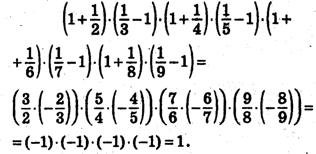
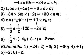
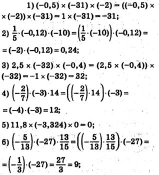
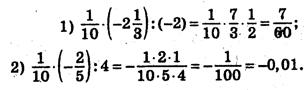
Розділ 4 РАЦІОНАЛЬНІ ЧИСЛАТА ДІЇ З НИМИ § 26 Множення раціональних чисел 1148. 1149. 1150. 1151. 1152. 1153. 1154. 1155. 1156. 1157. 1158. 1159. 1160. 1161. 1162. 1163. 1164. 1165. 1166. shkola.in.ua
Розділ 4 РАЦІОНАЛЬНІ ЧИСЛАТА ДІЇ З НИМИ 1167. 1168. 1169. 1170. 1171. 1172. 1173. 1174. 1175. 1176.
shkola.in.ua
Розділ 4 РАЦІОНАЛЬНІ ЧИСЛАТА ДІЇ З НИМИ 1177. 1178. 1179. 1180. 1181. 1182. 1183. 1184. 1185. 1186. 1187.
shkola.in.ua

shkola.in.ua

Розділ 4 РАЦІОНАЛЬНІ ЧИСЛАТА ДІЇ З НИМИ 1188. 1189. 1190. 1191. 1192. 1193. 1194. 1195. 1196. 1197. 1198. 1199.
Розділ 4 РАЦІОНАЛЬНІ ЧИСЛАТА ДІЇ З НИМИ 1200. 1201. 1202. 1203. 1204. 1205. 1206. 1207. 1208. shkola.in.ua
Розділ 4 РАЦІОНАЛЬНІ ЧИСЛАТА ДІЇ З НИМИ 1209. 1210. 1211. 1212.
вартість
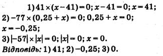
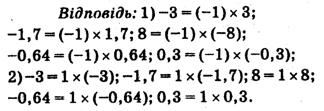
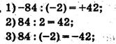
. 1214. 1215. 1216. § 27 Ділення раціональних чисел 1217. 1218. 1219. 1220. 1221. 1222. 1223. 1224. 1225. shkola.in.ua
1) 2 ∙ 28 = 56 грн
2 л молока; 2) 85 ∙ 1,5 =127, 5 грн вартість печива; 3) 290 (127,5 + 56 + 14,5) = 290 198 = 92 грн Відповідь: 92 грн 1213
Розділ 4 РАЦІОНАЛЬНІ ЧИСЛАТА ДІЇ З НИМИ 1226. 1227. 1228. 1229. 1230. 1231. 1232. 1233. 1234. 1235. 1236. 1237. 1238. 1239. 1240. 1241. shkola.in.ua
Розділ 4 РАЦІОНАЛЬНІ ЧИСЛАТА ДІЇ З НИМИ 1242. 1243. 1244. 1245. 1246. 1247. 1248. 1249. 1250. 1251. shkola.in.ua
Розділ 4 РАЦІОНАЛЬНІ ЧИСЛАТА ДІЇ З НИМИ 1252. 1253. 1255. 1256. 1257. 1258. 1259. 1260. 1261. 1262. shkola.in.ua
Розділ 4 РАЦІОНАЛЬНІ ЧИСЛАТА ДІЇ З НИМИ 1263. 1264. 1265. 1266. 1267. 1270. 1271. shkola.in.ua
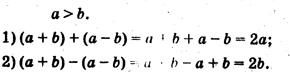
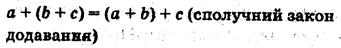
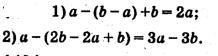
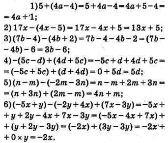
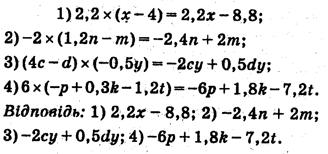
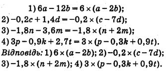
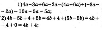
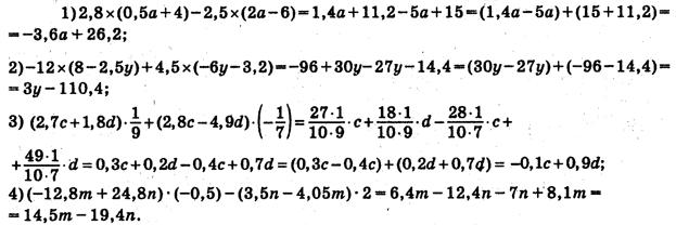
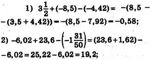
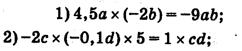
Розділ 4 РАЦІОНАЛЬНІ ЧИСЛАТА ДІЇ З НИМИ 1272. 1273. 1274. 1275. 1276. 1277. 1278. 1279. 1281. 1282. 1283. § 28 Вирази та їх спрощення 1284. 1285. 1286. shkola.in.ua
Розділ 5 ВИРАЗИ І РІВНЯННЯ 1287. 1288. 1289. 1290. 1291. 1292. 1293. 1294.
shkola.in.ua

shkola.in.ua

Розділ 5 ВИРАЗИ І РІВНЯННЯ 1295. 1296. 1297. 1298. 1299. 1300. 1301. 1302. 1303. 1304.
Розділ 5 ВИРАЗИ І РІВНЯННЯ 1305. 1306. 1307. 1308. 1309. 1310. 1311. 1312. 1314.
shkola.in.ua
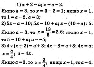
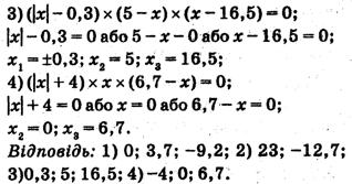
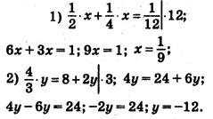
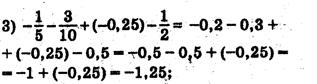
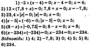
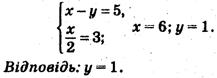
Розділ 5 ВИРАЗИ І РІВНЯННЯ 1315. § 29 Рівняння. Основні властивості рівнянь 1316. 1317. 1318. 1319. 1321. 1322. 1323. shkola.in.ua

shkola.in.ua

Розділ 5 ВИРАЗИ І РІВНЯННЯ 1324. 1325. 1326. 1327.

shkola.in.ua

Розділ 5 ВИРАЗИ І РІВНЯННЯ 1328.
1329. 1330.
Розділ 5 ВИРАЗИ І РІВНЯННЯ 1331. 1332. 1333. 1334. 1335.
shkola.in.ua
Розділ 5 ВИРАЗИ І РІВНЯННЯ 1336. 1337. 1341. § 30 Застосування рівнянь до розв’язування задач 1342. shkola.in.ua
Розділ 5 ВИРАЗИ І РІВНЯННЯ 1343. 1344. 1345. 1346. 1347. 1348. Нехай зошит коштує х, тоді ручка коштує х + 0,5, маємо рівняння: 6х + 4(х + 0,5) = 52 грн 6х + 4х + 2 = 52 10х = 52 2 10х = 50 х = 50 : 10 х = 5 грн коштує зошит; х + 0,5 = 5 грн 50 к. коштує ручка; Відповідь: 5 грн коштує зошит, 5 грн 5 копійок коштує ручка. 1349. Нехай
1351
1352
shkola.in.ua
1 кг печива коштує х грн, тоді 1 кг цукерок коштує х + 11, маємо рівняння: 2х + 3 (х + 11) = 233 грн 2х + 3х + 33 = 233 5х = 233 33 5х = 200 Х = 200 : 5 Х = 40 грн коштує 1 кг печива; Х + 11 = 40 + 11 = 51 грн коштує 1 кг цукерок; Відповідь: 40 грн коштує 1 кг печива, 51 грн коштує 1 кг цукерок. 1350.
.
.
Розділ 5 ВИРАЗИ І РІВНЯННЯ 1353. 1354. 1355. 1356. Нехай мама купила х кг цукерок першого виду, тоді вона купила (6 х) цукерок другого виду, маємо рівняння: х ∙ 84 + 50 ( 6 х) = 368 84х + 300 50 х = 368 34х = 368 300 34х = 68 х = 68 : 34 х = 2 кг цукерок купила за ціною 84 грн; 6 2 = 4 кг цукерок за ціною 50 грн. Відповідь: 4 кг та 2 кг. 1357. 1358. 1359. shkola.in.ua
Розділ 5 ВИРАЗИ І РІВНЯННЯ 1360. 1361. 1362. 1363. 1364. 1365. 1366.
shkola.in.ua
Розділ 5 ВИРАЗИ І РІВНЯННЯ 1367. 1368. 1369. 1370. 1371
. shkola.in.ua
Розділ 5 ВИРАЗИ І РІВНЯННЯ 1372. 1373. 1374. 1375. 1376. 1377. 1378. shkola.in.ua
Розділ 5 ВИРАЗИ І РІВНЯННЯ 1379. 1380. 1381. 1382. 1383.
shkola.in.ua
Розділ 5 ВИРАЗИ І РІВНЯННЯ 1384. 1385. 1388. 1389. § 31 Перпендикулярні та паралельні прямі 1392. 1393. 1396. 1398. 1399. 1406. shkola.in.ua

shkola.in.ua

Розділ 5 ВИРАЗИ І РІВНЯННЯ 1407. 1412. 1413. 1414. 1415. 1416. 1417. 1418. 1421.
Розділ 5 ВИРАЗИ І РІВНЯННЯ 1422. 1423. § 32 Координатна площина 1424. 1425. 1426. 1428. 1429. 1430. 1431. 1432. 1433. shkola.in.ua
Розділ 5 ВИРАЗИ І РІВНЯННЯ 1434. 1435. 1436. 1439. 1440. 1441. 1442. 1443. 1444. 1445. 1446.
shkola.in.ua

shkola.in.ua

Розділ 5 ВИРАЗИ І РІВНЯННЯ 1447. 1448. 1449. 1450. 1451. 1452. 1453. 1454. 1455.
Розділ 5 ВИРАЗИ І РІВНЯННЯ 1456. 1457. 1458. 1460. 1461. § 33 Графіки залежностей між величинами 1469. 1471. 1472. shkola.in.ua
Розділ 5 ВИРАЗИ І РІВНЯННЯ 1473. 1475. 1478. 1479. 1483. 1484.
shkola.in.ua

Turn static files into dynamic content formats.

Create a flipbook
Issuu converts static files into: digital portfolios, online yearbooks, online catalogs, digital photo albums and more. Sign up and create your flipbook.