h-6-ma

Page 1

Розділ 1 ПОДІЛЬНІСТЬ НАТУРАЛЬНИХ ЧИСЕЛ ГДЗ Математика 6 клас Тарасенкова 2020 §1. Дільники і кратні натурального числа. Прості числа 1. 2. 3. 4. 5. 6. 7. 8. 9. 10. 11. 12. 13. 14. 15. 16. 17. 18. 19. 20. 21. 22. 23. 24. 25. 26. shkola.in.ua
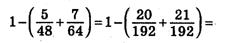
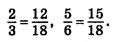
Розділ 1 ПОДІЛЬНІСТЬ НАТУРАЛЬНИХ ЧИСЕЛ 27. 28. Це квадрати простих натуральних чисел. 29. 30. 31. 32. 33. 34. § 2 Ознаки подільності на 2, 10, 5 35. 36. 37.
52. 53. 54. shkola.in.ua
38. 39. 40. 41. 42. 43. 44. 45. 46. 47. 48. 49. 50. 51.
Розділ 1 ПОДІЛЬНІСТЬ НАТУРАЛЬНИХ ЧИСЕЛ 55. 56. 57. 58. 59. 60. 61. 62. 63. 64. 65. 66.
к.
77. 78. shkola.in.ua
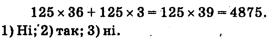
67. Так. У Василька було 50 грн, він використав 5х грн, залишилося ( 50 –5х) грн. Ця різниця ділиться на 5, число 13 грн ділиться на 5, тому решту правильно дали. Ручка коштує 7 грн 40
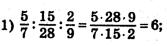
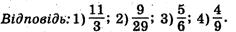
68. 69. 70. 71. 72. 73. 74. 75.

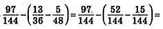
96. 97. 98. 99. 101. 103. 104. 105. 106. 107. 108. 109. 111. 112.

93. 94. 95.

Розділ 1 ПОДІЛЬНІСТЬ НАТУРАЛЬНИХ ЧИСЕЛ 79.
б)
§ 3 Ознаки подільності на 9, 3 80. 81. 82. 83. 84. 85. 86. 87. 88. 89. 90. 91. 92. а)
shkola.in.ua
Розділ 1 ПОДІЛЬНІСТЬ НАТУРАЛЬНИХ ЧИСЕЛ 113.
Ні,
бо
§ 4 Розкладання чисел на
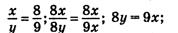
Найбільший спільний
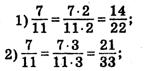
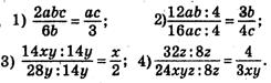
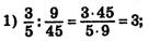
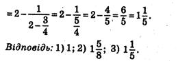
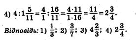
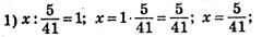
125. 126. 1) на 2; 2) на 4; 3) на 3; 4) на 1; 127. 1) 21 3 7 7 1 21 = 3 ∙ 7 2) 48 = 2 ∙ 2 ∙ 2 ∙ 2 ∙ 3 48 2 24 2 12 2 6 2 3 3 1 3) 9 3 3 3 1 9 = 3 ∙ 3 4) 11 11 1 11
11 ∙ 1
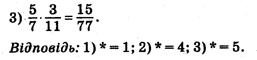
1) 35 5 2) 72 2 7 7 36 2 1 18 2 9 3 3 3 1 3)
2 4) 7 7 4
1
shkola.in.ua
114. 115. 116. 117.
не правильно,
60 грн
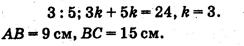
17 грн = 43 грн, не ділиться на 3 кг яблук. 119. 120.
множники.
дільник 121. 122. 123. 124.
=
128.
8
2
2 2 1 129. 1) 42 = 2 ∙ 3 ∙ 7 ∙ 1 2) 54 = 2 ∙ 3 ∙ 9 ∙ 1 3) 84 = 2 ∙ 2 ∙ 3 ∙ 7 4) 96 = 2 ∙ 2 ∙ 2 ∙ 2 ∙ 2 ∙ 3 130. 131. 132. 133. 134.

shkola.in.ua

Розділ 1 ПОДІЛЬНІСТЬ НАТУРАЛЬНИХ ЧИСЕЛ 135.
136. 137. 138. 140. 141. 142. 143. 144. 145. 146. 147. 148. 149. 150. 151. 152. 153.

shkola.in.ua

Розділ 1 ПОДІЛЬНІСТЬ НАТУРАЛЬНИХ ЧИСЕЛ 154.
155. 156. 157. 158. 159.
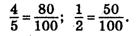
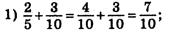
Розділ 1 ПОДІЛЬНІСТЬ НАТУРАЛЬНИХ ЧИСЕЛ 160. 161. § 5 Найменше спільне кратне 162. 163. 164. 1) ні; 2) ні; 3) так; 4) ні; 165. 166. 168. 169. 170.
shkola.in.ua
171. 172. 173. 174. 175. 176. 177. 178. 179. 180. 181.

185. 186. 187. 188. 189. 190. § 6 Основна

властивість дробу. Скорочення дробу 191.

Розділ 1 ПОДІЛЬНІСТЬ НАТУРАЛЬНИХ ЧИСЕЛ
182. shkola.in.ua
183. 184.
192. 193. 194.
Розділ 2 ЗВИЧАЙНІ ДРОБИ ТА ДІЇ З НИМИ
195. 196. 197. 198. 199. 200. 201. 202. 203. 204. 205. 206. 207. 208. 209. 210. 211. 212. shkola.in.ua
Розділ 2 ЗВИЧАЙНІ ДРОБИ ТА ДІЇ З НИМИ 213. 214. 215. 216. ����) ���� ���� = ������������а ������������а ; ���� ���� = ������������а ������������а ; �������� �������� = ������������а ������������а 217. 218. 219. 220. 221. 222. 223. shkola.in.ua
Розділ 2 ЗВИЧАЙНІ ДРОБИ ТА ДІЇ З НИМИ
224. 225. 226. 227. 228. 229. 230. 231. 232. 233. 234. shkola.in.ua
Розділ 2 ЗВИЧАЙНІ ДРОБИ ТА ДІЇ З НИМИ
§ 7 Зведення дробів
знаменника.
shkola.in.ua
235. 236. 237.
до спільного
Порівняння дробів 238. 239. 240. 241. 242. 243. 244. 245. 246.
Розділ 2 ЗВИЧАЙНІ ДРОБИ ТА ДІЇ З НИМИ
247. 248. 249. 250. shkola.in.ua

251. 252. 253.

254. 255. 256. 257. 258. 259.

shkola.in.ua

Розділ 2 ЗВИЧАЙНІ ДРОБИ ТА ДІЇ З НИМИ
Розділ 2 ЗВИЧАЙНІ ДРОБИ ТА ДІЇ З НИМИ 260.
261. 262. 263. 264. 265. 266. 267. 268. 269. shkola.in.ua
Розділ 2 ЗВИЧАЙНІ ДРОБИ ТА ДІЇ З НИМИ
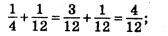
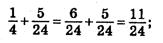
270. 271. 272. § 8 Додавання і віднімання дробів 273. 274. 275. 276. 277. 278. 279. 280. 281. shkola.in.ua

shkola.in.ua

Розділ 2 ЗВИЧАЙНІ ДРОБИ ТА ДІЇ З НИМИ
282. 283. 284. 285. 286. 287. 288. 289. 290.
Розділ 2 ЗВИЧАЙНІ ДРОБИ ТА ДІЇ З НИМИ 291. 292. 293. 294. 295. 296. 297.
299. 300. 151 5 − 62 3 = 453 310 15 = 143 15 =9 8 15 грн Відповідь: на 9 8 15 грн
shkola.in.ua
298.
301. 302.

shkola.in.ua

Розділ 2 ЗВИЧАЙНІ ДРОБИ ТА ДІЇ З НИМИ
303. 304. 305. 306. 307. 308. 309. 310.

shkola.in.ua

Розділ 2 ЗВИЧАЙНІ ДРОБИ ТА ДІЇ З НИМИ
311. 312. 313. 314. 315. 316.
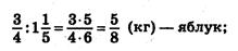
Розділ 2 ЗВИЧАЙНІ ДРОБИ ТА ДІЇ З НИМИ 317. 318. 319. х− 8 1 5 = 20 1 2 х = 20 1 2 + 8 1 5 = 20 5 10 +8 2 10 = 28 7 10 ; х = 28 7 10 ; 20 1 2 8 1 5 = 12 5 − 2 10 = 12 3 10 Відповідь: у Тетяни було 28 7 10 ;у Марійки 12 3 10 320.
§ 9 Множення дробів. Знаходження дробу від числа.
shkola.in.ua
321. 322.
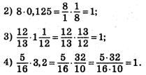
323. 324. 325. 326. 327. 328.

shkola.in.ua

Розділ 2 ЗВИЧАЙНІ ДРОБИ ТА ДІЇ З НИМИ
329. 330. 331. 332. 333. 334. 335.
Розділ 2 ЗВИЧАЙНІ ДРОБИ ТА ДІЇ З НИМИ
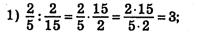
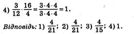
336. 337. 338. 339. 340. 341. 342. 343. 344. 345. 346. shkola.in.ua

shkola.in.ua

Розділ 2 ЗВИЧАЙНІ ДРОБИ ТА ДІЇ З НИМИ
347. 348. 349. 350. 351. 352. 353. 354.
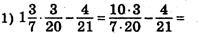
Розділ 2 ЗВИЧАЙНІ ДРОБИ ТА ДІЇ З НИМИ 355.
362.
356. 357. 358. 359. 360. 361.
363. 364. 365. shkola.in.ua
Розділ 2 ЗВИЧАЙНІ ДРОБИ ТА ДІЇ З НИМИ 366.
shkola.in.ua
367. 368. 369. 370. 371. 372. 373. 374. 375. 376. 377.
Розділ 2 ЗВИЧАЙНІ ДРОБИ ТА ДІЇ З НИМИ 378.
381.
5 ∙ 80 1 2 +3 ∙ 41 2 5 = 402 1 2 + 124 1 2 = 527 Відповідь: 527 грн. 384.
shkola.in.ua
379. 380.
382. 383.
385. 386. 388.
Розділ 2 ЗВИЧАЙНІ ДРОБИ ТА ДІЇ З НИМИ
§ 10 Ділення дробів. Знаходження числа за його дробом.
shkola.in.ua
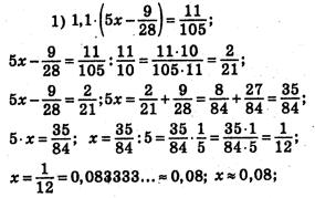
389. 390. 391. 393. 394. 395. 396. 397. 398. 399.
400. 401.
Розділ 2 ЗВИЧАЙНІ ДРОБИ ТА ДІЇ З НИМИ
402. 403. 404. 405. 406. 407. 408. 409. 410. 411. 412. shkola.in.ua

shkola.in.ua

Розділ 2 ЗВИЧАЙНІ ДРОБИ ТА ДІЇ З НИМИ
413. 414. 415. 416. 417. 418. 419. 420.
Розділ 2 ЗВИЧАЙНІ ДРОБИ ТА ДІЇ З НИМИ
shkola.in.ua
421. 422. 423. 424. 425. 426. 427. 428. 429. 430. 431. 432.

shkola.in.ua

Розділ 2 ЗВИЧАЙНІ ДРОБИ ТА ДІЇ З НИМИ 433.
434. 435. 436. 437. 438. 439.

shkola.in.ua

Розділ 2 ЗВИЧАЙНІ ДРОБИ ТА ДІЇ З НИМИ
440. 441. 442. 443. 444. 445. 446.
Розділ 2 ЗВИЧАЙНІ ДРОБИ ТА ДІЇ З НИМИ
447. 448. 449. 450. 451. 452. 453. 454. 455. shkola.in.ua
Розділ 2 ЗВИЧАЙНІ ДРОБИ ТА ДІЇ З НИМИ
Перетворення звичайного
shkola.in.ua
§ 11
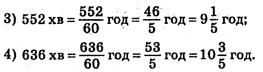
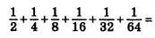
дробу в десятковий. Десяткові наближення звичайного дробу. 456. 458. 459. 460. 461. 462. 463. 464. 465. 466. 467. 468. 469. 470. 471. 472. 473. 474. 475. 476. 477. 478. 479. 480.

shkola.in.ua

Розділ 2 ЗВИЧАЙНІ ДРОБИ ТА ДІЇ З НИМИ
481. 482. 483. 484. 485. 486. 487. 488. 489. 490. 491. 492. 493. 494. 495.

shkola.in.ua

Розділ 2 ЗВИЧАЙНІ ДРОБИ ТА ДІЇ З НИМИ
496. 497. 498. 499. 500.
Розділ 2 ЗВИЧАЙНІ ДРОБИ ТА ДІЇ З НИМИ 501.
503.
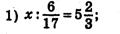
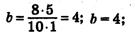
§ 12 Відношення та його властивості 511.
shkola.in.ua
502.
504. 505. 508. 509.
512. 513. 514.
Розділ 3 ВІДНОШЕННЯ І ПРОПОРЦІЇ
515. 516. 517. 518. 521. 522. 523. 524. 525. 526. 527. shkola.in.ua
Розділ 3 ВІДНОШЕННЯ І ПРОПОРЦІЇ 528.
§ 13 Пропорція та її властивості
529. 530. 531. 532. 533. 534. 537. 538.
540. 541. 543. 544. 545. 546. shkola.in.ua
Розділ 3 ВІДНОШЕННЯ І ПРОПОРЦІЇ
547. 548. 549. 550. 551. 552. 553. 554. 555. 556. 557. 558. shkola.in.ua

561.

shkola.in.ua

562. 563. 564. 565. 566.

Розділ 3 ВІДНОШЕННЯ І ПРОПОРЦІЇ
559. 560.
Розділ 3 ВІДНОШЕННЯ І ПРОПОРЦІЇ
567. 568. 569. 570. 571. shkola.in.ua
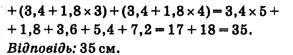
Розділ 3 ВІДНОШЕННЯ І ПРОПОРЦІЇ 573. 574. § 14 Пряма та обернена пропорційні залежності 575. 576. 577. 578. 579. 580. 581. 10 кг – х грн 4 кг – 256 грн х = 256 ∙ 10 : 4, х = 640 грн Відповідь: 640
582. 7 кг – х грн 3 кг – 45 грн х = 7 ∙ 45
3
105
Відповідь:
shkola.in.ua
грн.
:
=
грн
105 грн. 583. 584. 585.

586. 587. 588. 589. 590. 591. 592. 593.

594. 595. 596. 597. 598. 599. 600.

Розділ 3 ВІДНОШЕННЯ І ПРОПОРЦІЇ
shkola.in.ua
Розділ 3 ВІДНОШЕННЯ І ПРОПОРЦІЇ
611.
§ 15 Поділ числа в даному відношенні. Масштаб 616. shkola.in.ua
601. 602. 603. 604. 607. 608. 609. 610.
612. 613. 614.
Розділ 3 ВІДНОШЕННЯ І ПРОПОРЦІЇ
617. 620. 621. 622. 623. 624. 625. 626. 627. 628. 629. 630. 631. 632. 633. 634. 636. 637. 638. 639. shkola.in.ua
Розділ 3 ВІДНОШЕННЯ І ПРОПОРЦІЇ
shkola.in.ua
640. 641. 642. 643. 644. 645. 646. 647. 648. 649. 650.

653. 654. 655.

656. 657. 658. 660. 661. 662. § 16 Коло і круг. Круговий сектор 663. 664. 665. 666.

Розділ 3 ВІДНОШЕННЯ І ПРОПОРЦІЇ
shkola.in.ua

679. 680. 681. 682. 683. 684. 685. 686.

Розділ 3 ВІДНОШЕННЯ І ПРОПОРЦІЇ
667. 668. 669. 670. 671. 672. 673. 674. 675. 676. 677. 678. shkola.in.ua

shkola.in.ua

Розділ 3 ВІДНОШЕННЯ І ПРОПОРЦІЇ
687. 688. 689. 690. 691. 692. 694. 695. 696. § 17 Діаграми 697. 698. 699. 700. 701.
Розділ 3 ВІДНОШЕННЯ І ПРОПОРЦІЇ
702. 703. 704. 705. 706. 707. 708. 709. 710. 711. 712. shkola.in.ua

shkola.in.ua

Розділ 3 ВІДНОШЕННЯ І ПРОПОРЦІЇ 713.
714. 715. 716. 717. 718. 719. 720.

shkola.in.ua

Розділ 3 ВІДНОШЕННЯ І ПРОПОРЦІЇ 721. 722. 723. 724. 725.
726. 727.
Розділ 3 ВІДНОШЕННЯ І ПРОПОРЦІЇ 728.
732. § 18 Відсоткові розрахунки 733. 734.
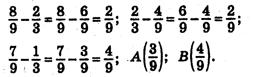
shkola.in.ua
731.
735. 736. 737. (773) 738. (774) 739. (775) 740. (776) 741. (777) 742. (778)

743. (779) 744. (780) 745. (781) 746. (782) 747. (783) 748. (784) 749. (785)

750. (786) 751. (787) 752. (788) 754. 755. 756. 757. 758.

shkola.in.ua

Розділ 3 ВІДНОШЕННЯ І ПРОПОРЦІЇ

763.

1) 3000 : 100 ∙ 20 = 600 грн – це 20 % від вартості смартфона; 2) 3000 + 600 = 3600 грн Відповідь: 3600 грн коштує смартфон Михайлика. 764.

shkola.in.ua

765. 50 : 100 ∙ 20 + 50 = 60 грн Відповідь: 60 грн нова вартість квитка. 766. 767. 768. 769. 770.

Розділ 3 ВІДНОШЕННЯ І ПРОПОРЦІЇ
759. 760. 761. 762.
Розділ 3 ВІДНОШЕННЯ І ПРОПОРЦІЇ 771. х
Х =
=
shkola.in.ua
грн - 100 % 12840 грн – 107 %
12840 ∙100 107
12 000 грн Відповідь: 12 000 грн. 772. 773. 774. 775. 776. 777. 778. 779. 780. 781. 782. 783.
Розділ 3 ВІДНОШЕННЯ І ПРОПОРЦІЇ
784. 785. 786. 787. 788. 789. 790. 791. 792. 793. 794. 795. 796. 797. shkola.in.ua
Розділ 3 ВІДНОШЕННЯ І ПРОПОРЦІЇ
shkola.in.ua
798. 799. 800. 801. 802. 803. 804. 805. 806. 807. 808. 809.
Розділ 3 ВІДНОШЕННЯ І ПРОПОРЦІЇ 810. 811. 812. 1) 15 000 : 100 ∙ 15 = 2250 грн – нарахує за перший рік; 2) 15 000 + 2250 = 17 250 грн – буде у вкланика через 1 рік; 3) 17 250 : 100 ∙ 15 + 17 250 грн = 19 837 грн Відповідь: 19 837 грн 813. 1) 50 000 : 100 ∙ 10 = 5000 грн – це 10 % за перший рік; 2) 50 000 + 5000 = 55 000 грн – становить борг після першого року; 3) 55 000 : 100 ∙ 10 = = 5500 грн – це 10 % за 2 рік; 4) 55 000 + 5500 = 60 500 грн Відповідь: 60 500 грн 814. 815. 816. 13 800 грн – х% 12 000 грн – 100% х = 13 800 ∙ 100 : 12 000 = 115 % 115% - 100% = 15 % Відповідь: 15 %. 817. 818. shkola.in.ua

820. 821. 822. 823.

824. 825. 826. 827. 30 ∙ 100 : 150 = 20 % Відповідь: 20 %. 828. 829. 830. 832. 833.

Розділ 3 ВІДНОШЕННЯ І ПРОПОРЦІЇ
shkola.in.ua
Розділ 3 ВІДНОШЕННЯ І ПРОПОРЦІЇ 834. 835.
shkola.in.ua

Turn static files into dynamic content formats.

Create a flipbook
Issuu converts static files into: digital portfolios, online yearbooks, online catalogs, digital photo albums and more. Sign up and create your flipbook.