Skip to main content

Algorithm 10.0

Page 1

ALGORITHM ||

THE TENTH EDITION | MAY,2024

Evolution of Math : Past, Present, and Future

Welcome to the tenth episode of Algorithm, where we'll take a fascinating tour through the history of mathematics, from its ancient roots to its cutting-edge frontiers. Mathematics, commonly known as the "queen of sciences," plays an important role in human knowledge, molding not just our understanding of the cosmos but also impacting subjects ranging from physics and engineering to economics and computer science. Our journey starts by diving into the rich fabric of mathematical history. The earliest records of mathematical reasoning may be found in ancient civilizations such as Mesopotamia and Egypt when mathematical concepts were applied to practical uses such as architecture, surveying, and trading. From ancient Greece's geometric theorems to

ancient India's algebraic breakthroughs, mathematics thrived as a tool for problemsolving and world comprehension. Indian mathematics, in particular, contributed significantly to the growth of mathematical knowledge.Fromtheintroductionofthedecimal numeral system to pioneering work in algebra and trigonometry, Indian mathematicians established the foundation for many key mathematical principles that are being used today. The contributions of intellectuals like Aryabhata, Brahmagupta, and Bhaskara pushed the boundaries of mathematical knowledge and inspired mathematical thinking throughoutcivilizations.Mathematicspermeates every area of our lives today, from the algorithms that run our smartphones to the economic models that determine global markets.

Computers have transformed mathematical study, allowing for intricate simulations, data analysis, and the exploration of hitherto unthinkable mathematical structures. Mathematics acts as a universal language, bridging cultural and linguistic divides and offering a shared framework for scientific research and technological growth. Looking ahead, the future of mathematics is full of promiseandopportunity.Emergingtechnologies like quantum computing, artificial intelligence, and cryptography provide fertile ground for mathematical innovation, stretching the limits of human understanding and technological power. Thesearchfornewmathematicalstructuresand principles has the potential to reveal deep insights into the nature of reality, ranging from themysteriesoftheuniversetothecomplexityof thehumanmind.

Inside
String Theory| P11 Zero to Infinity| P3 Game Theory| P13-14Evolution
Vedic Mathematics | P6-7
Reeya Joshi, Year III Illustration: Ojasvi Kapoor, Year III

EDITORS’ NOTE

Reflecting on my journey with Algorithm fills me with gratitude and fulfilment. What started as an exploration into uncharted territory has transformed into a journey of personal and professional growth beyond my expectations. Along the way, I've discovered hidden facets of myself and embraced learning, turning challenges into opportunities for growth. From the chaotic beginnings of Matharena to its success, every twist and turn has been purposeful and exciting.

As my journey with Algorithm concludes, I'm filled with pride witnessing the tremendous growth of our team and the evolution of our newsletter. We've not only progressed as individuals, but also as friends and colleagues.

Introducing the latest edition of Algorithm, where we delve into the evolution of mathematics from ancient marvels to present innovations. With dedicated involvement from students in content, design, and more, our diverse collection offers a panoramic view of mathematical progress.

A heartfelt acknowledgment goes to my dear sub-editor-in-chief, Tanvi. Her unwavering support and dedication have been invaluable. Together, we've traversed a long road, and her contributions have been indispensable.

As this chapter closes, I look forward to the future with anticipation. Each day brings new opportunities to explore, learn, and grow. I hope the next team will elevate Algorithm to new heights, building upon the foundation laid by our seniors. Keep exploring and learning. Happy reading!

In celebrating this milestone, we've chosen to explore the theme of the Evolution of Mathematics for our 10th Edition. As Math enthusiasts, we've undergone significant transformations while delving into various branches of Math. Understanding the origins of the Math we study today offers profound insights into its development over time.

Our edition boasts a diverse array of articles covering topics ranging from Calculus and Vedic Math to the historical journey of Greek letters as the language of mathematics, Euclidean Geometry, Game Theory, String Theory, Number Theory, and the profound impact of math in fields like AI and Astrology. Moreover, we reflect on this semester's events in the Math Department.

As our undergraduate journey draws to a close, we've put together a yearbook for our classmates, capturing cherished memories and achievements. Working with Algorithm has been an honor, and I'm thrilled to have shared this experience with a team full of talented and driven individuals. I eagerly anticipate witnessing Algorithm's evolution in the years to come. Happy Reading!

02

ZERO TO INFINITY

Anam, Year I & Shreya, Year III

India has a rich mathematical history, unmatched by any other nation, and has made a huge impact on how numbers work today. Archaeology hints at the regular use of math in the Indus Valley civilisation in day-to-day activities, which set the stage for a deep dive into the world of numbers. Our oldest known mathematical texts- the Sulba-sutras of Baudhayana, Apastamba and Katyayana, date back to 800 BC! This article showcases the unique journey of mathematics in India and its profound impact on understanding emptiness as well as limitless possibilities.

Mathematically, infinity can be defined as the limit of n/x as x approaches 0, n being any finite number; ♾ can thus be written as n/0, as alluded by Bhaskara. Further, infinity plus or minus any finite number is still infinity, as theSupremeremainsunchanged.

Conversely, zero, its counterpart, can be written as n/ ♾ . Both zero and infinity are beyond our physical grasp, much like the concept of divinity. Ramanujan saw zero as Absolute Reality and infinity as its boundless manifestation, encompassing all creation. Infinity is basically a never-ending journey, and zero is the starting point of that journey, both intertwined in a cosmic dance of numbers.

The concepts of "zero" and "infinity" played crucial roles in shaping the current decimal system. In the 7th century, the Indian mathematician Brahmagupta used small dots to show the zero placeholder, but also recognized it as a number, with a null value called “shunya”, which brought the birth of zero that transformed the global landscape. It was the first time that zero was not a mere placeholder, but a legitimate number. This model shift paved the way for advancements in arithmetic and algebra, influencing the mathematical trajectory for generations.

A famous incantation in the Isa Upanishad of the Yajurveda reads: "purnam-adah

India's mathematical journey did not stop here! Weaving a narrative of innovation and intellectual prowess, Madhava, a prominent mathematician from Kerala School, developed infinite series expansions for trigonometric functions centuries before European mathematicians' work on calculus. Moreover, the universe is described as 'Anantashunyam' in Sanskrit, which means endless space or void. This term beautifully combines zero and infinity to portray the universeasanentitybeyondmeasureorlimit. Thus, as we move from zero to infinity, India's mathematical legacy keeps unfolding, sharing a captivating story that goes beyond time and echoesthroughouttheworldofmathematics.

It translates to "From fullness comes fullness, and removing fullness from fullness, what remains is also fullness", pointing to the “incalculable” religiously and philosophically.

In ancient India, thinkers like Bhaskara-II pondered not only the math behind infinity but also at its deeper meaning. Bhaskara-II, in his work 'Beeja Ganitam,' compared infinity to the Almighty, untouched by the cycles of creation and dissolution

ALGORITHM 01 2024
udacyatepurnashyapurnamadaayapurameva-avashisyate"
purnnam-idampurnatpurnam-
03
Illustration: Ojasvi Kapoor & Lubhani Chadha, Year III

rigin of Greek Letters in Math

Nandini Rawat, Year III & Avni Jain, Year I

Mathematics serves as a universal language. The number system remains likewise in opposite corners of the world. However, we witness the extensive use of Greek letters in mathematics. The tradition of Greek Letters in Mathematics has continued through centuries, with scholars and mathematicians adopting and expanding upon these notations. They have offered mathematicians a concise and standard means of representing variables, constants, functions, and mathematical concepts. Hence, "convenience" is probably the most appropriate word to reason for the extensive use of Greek letters. The usefulness of mathematics depends upon its unequivocal and at the same time general, brief, and yet perfectly definite, statement.

However, one might question the road to the universal use of Greek Letters. The answer lies in a combination of history, legacy, and flexibility. Ancient Greek mathematicians, such as Pythagoras, Euclid, Archimedes, and others, made foundational contributions to mathematics. Their writings and proofs often used Greek letters to represent mathematical concepts and variables. Pythagoras and his followers also employed Greek letters in their mathematical and philosophical writings, to symbolize mathematical constants, variables, and principles.

For example, the use of π to represent the ratio of a circle's circumference to its diameter was popularized by a Welsh mathematician William Jones in 1706. Euler did, however, use π as well as Σ extensively in his mathematical work and helped establish its importance in mathematics. For Indian Mathematicians, Sanskrit was the chief medium for its premodern mathematical texts and maintained a strictly oral literary tradition for centuries. Greek mathematical models in astronomy and astrology appeared in India following the invasion of Alexander The Great. Additionally, as one moves forward in Mathematics, one also witnesses the use of Hebrew letters(א), and Cyrillic letters (Ш)

Therefore, Greek letters in mathematics became commonplace due to the convenience of assigning them to various mathematical concepts which offered a certain degree of flexibility due to their symbolic representation. This tradition persists today, reflecting the historical development and standardization of mathematical notation. The use of Greek letters dates back to ancient Greek mathematicians and has thus persisted through the modern mathematics era due to its legacy, flexibility, and universality.

In conclusion let us see what commonly used Greek letters represent in Mathematics :

(Alpha) Represents constants, angles, and coefficients

(Beta) Represents coefficients, constants , and parameters

(Gamma) Used for angles, constants, and functions

(Delta) Used in calculus to denote a small change in variable

(Epsilon) Represents a small quantity

(Sigma) Represents standard deviations

(Lambda) Represents eigenvalues, wavelengths or Lagrange multipliers (Mu)

Used for coefficients or means

(Nu) Represents statistical parameter, index or sequences

(Theta) Represents angles, variables or parameters

04
Source of Images: Google Images

THE EVOLUTION OF CALCULUS

the evolution of calculus the evolution of calculus the evolution of calculus the evolution of calculus the evolution of calculus

the evolution of calculus

Calculus is the study of change and motion through mathematics, with its methods based on summation and infinitesimal differences. It has become an indispensable tool for engineering, economics, biological and physical studies. Newton-Leibniz are often regarded as the fathers of calculus, they have made metamorphosing changes in the field, which have held in modern mathematics as well, however, the evolution of calculus holds a vast and beautiful history, which we aim to highlight through this article.

Newton-Leibniz worked upon the foundation laid by the ancient Greek philosophers around the fiftieth century BC. Archimedes, for instance, used methods akin to integration to compute areas and volumes. These Greek Philosophers would only consider a theorem true if it could be represented geometrically. Hence, the first stage of calculus arose out of geometry and shapes. Additionally, the ideas of infinity were considered paradoxes. As "Zeno's Paradox of Infinity" by a Greek philosopher Zeno of Elea, 5th century BCE states all forms of motion are fundamentally impossible as if you keep dividing the distance into half of the distance you walked prior, ad infinitum. This implied motion is an illusion and an infinite number of steps would be required to reach any given point. Studies have also often argued if calculus had been discovered in India two hundred years before Newton-Leibniz, Indian mathematicians in Kerala would have identified infinite series to develop Taylor polynomials for functions like sin x and cos x before 1500.

Following this, Gallelio's efforts made the two separately studied concepts - differentiation and integration come together through his applied methods while studying gravity. Issac Barrow was the first to state and prove this relationship. Following this was the most transformative period in the evolution of Calculus with the efforts of Newton and Leibniz. History reports a vast controversial dynamic of Newton and Leibniz with accusations of plagiarism and more. However, contributions made by both of them have been considered equal and effective Newton's methods and notations were primarily based upon and used in physics while Leibiniz followed a purely mathematical approach.

Newton used his independent study to calculate the motion of celestial bodies whereas Leibniz's was used to calculate infinitesimal changes in x and y. Newton used a geometric-based approach while Leibiniz used an algebraic approach. In today's age, Leibiniz's approach is the widely and universally followed one.

The eighteenth century witnessed Leonard Euler developing fundamental concepts of calculus such as logarithm in calculus. The nineteenth century gave birth to three foundational mathematicians - AugustinLouis Cauchy, Karl Weierstrass, and Bernhard Riemann. Cauchy was one of the first to state and rigorously prove theorems of calculus, rejecting the heuristic principle of the generality of algebra of earlier authors. Bernhard Reimann clarified the notion of integral by defining what we now call the Riemann integral.

Currently, in the 20th century, advancements in computing and numerical analysis in the mid-20th century allowed for the efficient application of calculus to solve complex problems in science and engineering. The vast history of the evolution of calculus represents the endeavour of countless thinkers and mathematicians and holds a mirror to the adaptability, ubiquity and comprehensiveness of mathematics!

05
Illustration: Lubhani Chadha, Year III

VEDIC MATHEMATICS

Vedic mathematics is a system of mathematics that was discovered by an Indian mathematician, Jagadguru Sri Bharati Krishna Tirthaji, during A.D. 1911 and 1918. He printed his findings in a Vedic Mathematics book – Tirthaji Maharaj. The brain’s capacity and its speed of calculations increase fivefold with the practice of Vedic math.

Vedic Mathematics is a collection of methods or Sutras to solve numerical computations quickly and faster. It consists of 16 Sutras called Formulas and 13 sub-sutras called Subformulas, which can be applied to the solving of problems in arithmetic, algebra, geometry, calculus, conics, etc. All the Sutras and subsutras of Vedic math help to perform mathematical operations quickly and accurately.

By using Vedic math, the problems are solved mentally with the use of techniques which increase accuracy and reduce mistakes. Through the application of the sutras, it ensures both speed and accuracy and enhances computational skills. Vedic Math is easy to master and apply. A single method can be used for several math functions, making it easier to learn and remember.

Learning math is a great way to boost one's general IQ. Vedic Math necessitates both abstract and concrete reasoning, which results in the development of brain muscles. The use of pencil and paper is discouraged in it.

The student 'holds' the number in their brain while conducting extra procedures for the final answer. This improves the student's memory retention. It increases memory and boosts self-confidence with time and with practice.

06 Source of Images: Google Images

The meaning of various sutras and sub sutras are summarised below :

Ekadhikena Purvena

Nikhilam Navatashcaramam Dashatah

Urdhva-Tiryagbyham

Anurupyena

MEANING

By one more than the previous one.

Sisyate Sesasamjnah All from 9 and the last from 10

Adyamadyenantyamantyena Vertically and crosswise

Paravartya Yojayet Kevalaih Saptakam Gunyat Transpose and adjust

Shunyam Saamyasamuccaye Vestanam

When the sum is the same that sum is zero

Anurupye Shunyamanyat Shunya Anyat

Sankalana-vyavakalanabhyam

Purana Purana Byham

Chalana-Kalanabyham

Yavadunam

Vyashtisamasthi

If one is in ratio and other is zero

Yavadunam Tavadunikritya Varga Yojayet

Sopaantyadvayamantyam

By addition and by subtraction

Antyayordashake Pi By the completion or noncompletion

Antyayoreva

Samuccayagunitah

Lopanasthapanabhyam

Differences and Similarities

Whatever the extent of its deficiency

Part and Whole

Shesanyankena Charamena Vilokanam The remainders by the last digit

Gunitasamuccayah Samuccayagunitah

Ekanyunena Purvena Dhvajanka

Gunitasamuchyah Dwandwa Yoga

Gunakasamuchyah

Adyam Antyam Madhyam

The ultimate and twice the penultimate

By one less than the previous one

The product of the sum is equal to the sum of the product

The factors of the sum is equal to the the sum of the factors

SUB
SUTRA
SUTRA
07 Source of Images: Google Images

There are different combinations of planets in the horoscope, giving rise to various permutations and combinations. Taking into account the degrees of the planets in the horoscope (kundali), we can observe the behavior of two planets. This could also be interpreted mathematically by applying the concepts of correlation and regression. Correlation occurs when two variables, say X and Y, are so related that a change in one variable affects the other variable. Depending on the correlated value (ρ), which lies between -1 and +1, the horoscopes could be analyzed:

Astrology is a practice that deals with the forecasting of earthly and human events through the observation of the positions of stars, the sun, the moon, and other planets. Astrology involves projective geometry. The relative positions of celestial bodies on celestial spheres are important. This relies on the use of charts, and in order to construct those charts, a lot of math is used.

There are 12 main zodiac signs. The reason for having 12 zodiac signs is determined by the number of times the Earth rotates around the sun. Now, for the calculation of the degrees of each zodiac sign, we make use of the fact that the Earth completes one full orbit, which is 360 degrees, and the number of times the moon orbits the Earth, which is 12 (number of months).

(two planets have a positive impact on each other , great friends)

If ρ ∈ (-1,0) ⇒ negative correlation (how much negative impact , will depend on the calculated value of ρ)

If ρ ∈ (0,+1) ⇒ positive correlation (how much positive impact , will depend on the calculated value of ρ)

*Since, 360/12=30, therefore each zodiac sign holds 30° in space.

So, now we are aware that we have 12 zodiac signs in total. Let’s add a little fun activity here. How about we assign different mathematical disciplines to each zodiac sign? Assigning mathematical disciplines to zodiac signs is a fun exercise in creativity. Here’s a whimsical take on matching disciplines:

08 Source of Images: Google Images
Cheshta, Year II & Sneha Gupta, Year II

Aries : Game theory- Game theory which studies strategic decision making fits well with Aries’ assertive and competitive nature.

Taurus : Financial mathematics- People with taurus sign are good at focusing on investment, managing resources and budgeting because of their resourceful nature.

Gemini : Graph theory- Geminis are known for their adaptability and love of communication. Graph theory which deals with connections represent Gemini’s sociable nature.

Cancer : Statistics- Cancers are generally sensitive and intuitive and pay close attention to patterns. Statistics which involve analysing data resonate with their nature.

Leo : Geometry- Leos are confident and often have a strong sense of self. Geometry, with its focus on shapes, symmetry and spacial arrangements, reflects Leo’s sense of pride and love for aesthetics.

Virgo : Calculus- Virgos are famous for their attention to detail and analytical nature. Calculus deals with rate of change and accumulation which accurately suits Virgo’s meticulous approach to problem solving.

Libra : Optimization theory- People with this zodiac sign values harmony and balance. Optimization theory which aims at finding the most accurate solution goes well with Libra’s desire for equilibrium and fairness.

Scorpio : Cryptology- Scorpios are often associated with mystery and intensity. Cryptology which involves creating and cracking codes, suits their nature.

Sagittarius : Chaos theory- Sagittarians have an adventurous and philosophical outlook. Chaos theory which deals with complex systems and unpredictability, resonates with their love for exploration and new experiences.

Capricorn : Number theory- Capricorns are known for their leadership qualities. Number theory which explores the properties of numbers, reflects their affinity for standing out.

Aquarius : Topology- Aquarians are often associated with innovation and unconventional thinking. Topology which studies the properties of space that are preserved reflects their interest in abstract and boundary pushing concepts.

Pisces : Fractal geometry- Pisceans are imaginative and intuitive individuals. Fractal geometry often involves dealing with shapes that exhibit self-similarity at different scales, which appeals to their creative nature.

09

Graphtheoryplaysanimportant roleinanalyzingsocialnetworks and interpersonal relationships within astrological framework. Graph theory is like a tool that helpsusunderstandconnections between things that are represented by dots and connectedbylines.

If two signs are considered compatible, we draw a line betweenthem.Thishelpsussee which signs get along well and which don’t. By studying these graphs, we can figure out which signshaveabiggerinfluenceon socialgroups.

Therefore, the mathematical approachgivesastrologyamore scientific edge, making it more accessible and reliable. The combination of math and astrology deepens our understanding of the universe and ourselves. Graph theory plays an important role in analyzing social networks and interpersonalrelationshipswithin the astrological framework. Graph theory is like a tool that helpsusunderstandconnections between things that are represented by dots and connected by lines. Imagine each person’s zodiac sign as a dotonthegraph.

Illustration: Ojasvi Kapoor, Year III 10

String Theory

String theory is a theoretical framework in which the dotlike particles of particle physics are replaced by onedimensional objects called strings. String theory says everything in the universe is connected. It tries to connect quantum physics and general relativity. Quantum physics revolves around very small things, like electrons and atoms. General relativity is about the universe as a whole and how everything works together. The theory of quantum gravity could be a way to bring together quantum physics and general relativity, and string theory (or it’s sometimes called the Theory of Everything) may be the way to make that happen. To understand string theory, you need to know where the scientists think the strings are. If you cut a table in half and then cut it into smaller pieces, and then grind it up finely enough, you will be able to see tiny particles of the table under a microscope. Things get much smaller inside those particles. First, there are molecules, then you’ll get to the atoms, then you get to the electrons in the atoms that are spinning around the nucleus, which also has protons and neutrons... and inside them, there are even smaller particles, called quarks! String theory is the idea that there are little vibrating strings of energy inside tiny, dot-like particles. String theory tries to tie together the four forces in the universe: electromagnetic force, the strong nuclear force, the weak nuclear force, and gravity. Scientists theorize that the strings from these 4 different forces interact with each other.

String theory is a theoretical framework in which the dot-like particles of particle physics are replaced by onedimensional objects called strings. String theory posits that everything in the universe is connected, aiming to bridge the realms of quantum physics and general relativity. Quantum physics delves into the behavior of very small entities, such as electrons and atoms, while general relativity concerns itself with the overarching structure and dynamics of the universe. The concept of quantum gravity emerges as a potential unifier of these theories, with string theory, sometimes referred to as the Theory of Everything, offering a possible avenue for their reconciliation. Understanding string theory entails grasping the proposed location of these strings. If you were to cut a table in half, then into smaller fragments, and further grind it to fine particles, you could observe minuscule particles under a microscope. Within these particles, the scale diminishes even further: molecules, atoms, electrons orbiting nuclei containing protons and neutrons, and within those, quarks, yet smaller particles. String theory posits the existence of vibrating strings of energy within these minute, dot-like particles, striving to unify the four fundamental forces in the universe: electromagnetic force, the strong nuclear force, the weak nuclear force, and gravity. Scientists speculate that these strings from the four forces interact with each other, offering a comprehensive framework for understanding the cosmos.

The second aspect of the interaction between mathematics and string theory is more original and unprecedented. Sometimes physics indeed suggests some interesting problems and a general pattern for their solution, but precise mathematical statements coming from physics are rare and they tend to be more sparse as we move towards the “purest” aspects of the mathematical structure. In contrast, string theory has provided an enormous amount of precise conjectures in disciplines that belong in principle to the most abstract parts of mathematics, like algebraic geometry and differential topology. A famous example, which we will develop in detail later in this article, is Witten’s conjecture on intersection theory on the moduli space of Riemann surfaces. As we will see, string theory requires naturally in its formulation the calculation of integrals over this moduli space. According to the classical pattern of interactions between mathematics and physics, we would expect that such a connection would encourage mathematicians to develop this integration theory and that mathematical progress in this area would make it possible to obtain further results in string theory. It is harder to imagine that developments in the physics of string theory lead to a full solution to the problem of intersection theory in the moduli space of Riemann surfaces and that the solution to this problem involves a completely unsuspected mathematical structure—the theory of classical integrable systems.

It should be remembered that, despite all its refinement over the last 30 years, string theory remains a theory in progress, not yet tested by experimental confirmation. “It has yet to make definitive predictions whose experimental investigation could prove the theory right or wrong. We are still at an early stage in our attempt to meld quantum physics and gravity. For all its advances, it remains a wholly mathematical theory and will remain speculative until a convincing link to experiment or observation is forged.

11
Source of Images: Google Images

Number Theory Number Theory

Number Theory is a branch of mathematics that deals with the properties and relationships of integers. It has fascinated mathematicians for centuries, and its applications range from cryptography to computer science.

At its core, Number Theory explores patterns and structures within the realm of integers. One of its fundamental concepts is divisibility, which examines how integers can be divided evenly by other integers without leaving a remainder. This concept leads us to prime numbers, which are integers greater than 1 that have no positive divisors other than 1 and themselves. Prime numbers play a significant role in Number Theory, with numerous hypotheses and conjectures revolving around their distribution and properties.

One of the most famous problems in Number Theory is Pierre de Fermat's Last Theorem. It states that no three positive integers a, b, and c can satisfy the equation a^n + b^n = c^n for any integer value of n greater than 2. This conjecture remained unsolved for over 350 years until it was finally proven by Andrew Wiles in 1994, using techniques from arithmetic geometry and modular forms.

Another important concept in Number Theory is modular arithmetic, which studies the remainders of numbers when divided by a fixed integer, called the modulus. Modular arithmetic has applications in cryptography, where it forms the basis of many encryption algorithms, such as the RSA algorithm.

The study of Diophantine equations is also central to Number Theory. These equations, named after the ancient Greek mathematician Diophantus, involve polynomial equations with integer coefficients and seek integer solutions. Famous examples include Fermat's Last Theorem and the Pythagorean theorem a^2 + b^2 = c^2, where a, b, and c are integers representing the sides of a right-angled triangle.

Number Theory intersects with other branches of mathematics, such as algebra, combinatorics, and geometry. For example, algebraic number theory studies algebraic structures related to number fields, which are extensions of the rational numbers obtained by adjoining roots of polynomials with integer coefficients.

Overall, Number Theory is a rich and diverse field with deep connections to other areas of mathematics and practical applications in cryptography, computer science, and beyond. Its exploration of the fundamental properties of integers continues to captivate mathematicians and inspire new discoveries.

1 2 3 4 5 6 7 8 9 10 1 2 3 4 5 6 7 8 9 10 2 4 6 8 10 12 14 16 18 20 3 6 9 12 15 18 21 24 27 30 4 8 12 16 20 24 28 32 36 40 5 10 15 20 25 30 35 40 45 50 6 12 18 24 30 36 42 48 54 60 7 14 21 28 35 42 49 56 63 70 8 16 24 32 40 48 56 64 72 80 9 18 27 36 45 54 63 72 81 90 10 20 30 40 50 60 70 80 90 100
12

GAME THEORY

Chestha, Year II & Vrinda Kwatra, Year I

Game theory is a branch of mathematics that provides tools to deal with situations in which players make interdependent decisions. It was originally developed by Hungarian-born American mathematician John von Neumann and his colleague Oskar Morgenstern, a German-born American economist, to solve problems in economics. They observed that economics is much like a game, wherein players anticipate each other’s moves, and therefore requires a new kind of mathematics, which they called game theory. They wrote a book called "The Theory of Games and Economic Behavior," which was published in 1944. This interdependence causes each player to think about the possible decisions and strategies of other players in formulating his or her strategy.

The concept of game theory comes under probability distribution, which keeps a note of the player’s information regarding the timings, time of move, order of move, direction of motion, etc. Game theory keeps in view the mathematical and logical actions of the players to get the best possible outcomes. Some of the most common games studied under game theory are chess and tennis. Only in 1944 was game theory recognized, and in the late 1970s, its application gained notoriety.

In game theory, games are analyzed as well-defined mathematical entities. A game needs to list all of its players, the actions and information that each player has access to at each decision point, and the rewards for each result in order to be considered completely defined. There are three main areas into which game theory can be divided: dynamic, combinatorial, and classical.

Classical game theory focuses on optimal play in situationswhereoneormore people must make a decision and the impact of that decisionandthedecisionsof those involved is known. For example,whileplayingpoker, or in strategic military decision-making.

Dynamic game theory focuses on the analysis of games in which players must make decisions over time and in which those decisions will affect the outcome at the next moment in time. It often relies on differential equations to model the behavior of players over time. For example, optimal play in a dogfight.

Combinatorial game theory focuses on optimal play in twoplayer games in which each player takes turns changing in predefined ways. For example, while playing popular games like chess, checkers,orGo.

13

Now, the concept of game theory is not just limited to definition and its classification but is fairly broad Game theory situations are analyzed using probability, linear algebra, and other mathematical ideas. The following examples make it simple to understand how game theory is applied:

The prisoner’s dilemma is a very classic example of game theory where linear algebra is used to decipher the problem. The prisoner’s dilemma is as follows: The police arrest two criminals, Rob and Bill (who have never met), for selling drugs. The cases are open and shut, and both will go to jail for two years. However, the police notice that they look like two criminals who had committed a bank robbery together. Two deals are offered to both of them. If they deny the accusation, they will go to jail for two years for selling drugs. If Rob confesses but Bill does not, then Rob will only go to jail for one year while Bill will go to jail for ten years. And if Bill confesses but Rob does not, then Bill will only go to jail for one year while Rob goes away for ten years. If both of them confess, then both will go to jail for three years. The question that arises is what choice are Rob and Bill most likely to make?

The deal made by the police can be laid out in a chart. Each number represents the years either Rob or Bill will go away for. It may be more beneficial for Rob and Bill if they confess on the chance that the other does not because they would only get less time in jail. Since both Rob and Bill have two choices, confess or deny, we can calculate the payoff using the Nash Equilibrium (A non-cooperative game is said to be in Nash equilibrium if no player has an incentive to change his individual game strategy after considering the strategies of all other players). Thus,

n = m = 2

Rob = Bill = { confess , deny } Representation: Confess = “0”; Deny = “1”

Now we can calculate the cross product of each of the choices

If Rob confesses but Bill does not, Rob ✕ Bill = = -1.

If Rob denies but Bill confesses, Rob ✕ Bill = = 1

If both Rob and Bill deny, Rob ✕ Bill = = 0

If both Rob and Bill confess, Rob ✕ Bill = = 0

It is shown that if one prisoner confesses while the other denies, the resulting determinant does not equal zero. This makes sense because one prisoner only gets one year in jail while the other gets ten, and neither prisoner would want to deny and take this risk. This leads into the other two choices where both confess or both deny. The determinant of these choices is zero, which means that these choices are more beneficial to the prisoners for getting less jail time. Now the prisoners must decide if they trust each other. They have no contact with each other, so there is no way to coordinate a similar choice. It would be optimistic to say that both would deny they committed the bank robbery and get the regular two years. The prisoners take on a lot of risk if they were to deny since it would be the difference between two years and ten years in jail. Thus, to get the most reward, the most likely option to get the least amount of jail time would be to confess since it is the difference between one year and three years in jail.

14
Illustration: Shreya, Year III

REVOLUTIONARYGEOMETRY:EUCLIDIAN TONON-EUCLIDIANGEOMETRY

Anam, Year I & Shaivi Shubh, Year I

The rich and diverse history of the evolution of geometry extends over a substantial period of time, influenced by numerous individuals with exceptional mathematical abilities. Among such individuals was a luminary figure – Euclid, an ancient Greek mathematician, who left an indelible mark in the field, often hailed as the “Father of Geometry”. The purpose of Euclid’s life work was to explore the realms of the fundamental branch of mathematics –the relationships and various properties of geometric figures in two and three-dimensional spaces. In this article, we will explore the transformative shift from Euclidean to non-Euclidean geometry, which expanded the mathematical horizons and significantly influenced how we perceive space and other core mathematical operations.

Euclid was the first to build a logical structure –"The Elements” – a well-crafted systematic approach that entails assuming a small set of intuitively appealing axioms and hence deducing subsequent propositions. This laid the foundation for Euclidean Geometry. Rooted in five fundamental postulates, Euclidean geometry encompasses the fundamentals of points, lines, and planes. The Pythagorean theorem establishes a relationship among the sides of a right-angled triangle, exemplifying one of Euclidean geometry's key results. Unlike analytic geometry, formulated by René Descartes a short while later, Euclidean geometry progresses from basic axioms to complex propositions, steering clear of using complex coordinates and algebraic formulas

For over two millennia, the term "Euclidean" was synonymous with intuitively obvious axioms. Theorems derived from these axioms were considered absolute truths, leaving no room for alternative geometric perceptions. However, the 19th century brought a major shift — the emergence of non-Euclidean geometry.

GEOMETRY IS THE ART OF CORRECT REASONING FROM INCORRECTLY DRAWN FIGURES

The non-Euclidean theories challenged Euclidean assumptions and led to revolutionary contributions from key figures such as Nikolai Lobachevsky and János Bolyai, who independently introduced hyperbolic geometry, defying Euclid's parallel postulate. Bernhard Riemann's unified framework consisted of elliptic and hyperbolic geometries, paving the way for Riemannian geometry, which proved to be crucial in Albert Einstein's general theory of relativity. We further saw Carl Friedrich Gauss delving into non-Euclidean ideas in his unpublished works on absolute geometry. M.C. Escher visually interpreted hyperbolic tessellations, skillfully bridging the gap between mathematics and creativity. Georg Cantor's set theory and Henri Poincaré's contributions vastly enriched nonEuclidean geometry and its connections to physics, art,andphilosophicalfoundations.

Priyanshi Dalmia, Year I 15 Source of Images: Google Images
Illustration:

Mathematics and AI

Palak

Year II & Sanvi Khandelwal, Year II

Mathematics is the most beautiful and most powerful creation of the human spirit.

Mathematics is often regarded as the universal language, and AI as the language of technology. In terms of cricket, mathematics can be likened to the bat that strikes AI, the ball, moving it forward until it transcends the boundary of imagination. This integration has driven advancements in various fields, bolstering the economy and promoting sustainability, which is the need of the hour. Particularly after the COVID-19 lockdown, the education system has transformed, becoming more inclusive with the aid of Mathematics and AI. This amalgamation has emerged as a prominent area of study, with Deep Reinforcement Learning (DRL), Generative Adversarial Networks (GANs), and Quantum Machine Learning (QML) standing out as key examples.Deep Reinforcement Learning (DRL) represents an AI approach where an AI system learns decision-making by interacting with an environment, like how a child learns to ride a bike. Through trial and error, the system attempts various actions and receives feedback, thereby enhancing its decision-making capabilities. Yann LeCun, a renowned researcher, has made significant contributions to DRL. DRL is famously used in training self-driving cars to navigate complex environments by learning from past experiences. It also enables robots to learn tasks such as grasping objects or walking through trial and error, without explicit programming.

Generative Adversarial Networks (GANs) are another pivotal research area where two AI models, a generator and a discriminator, compete to create realistic fake data, similar to a gaming model. GANs are used to generate lifelike artworks, including paintings and sculptures, by training the generator to produce images indistinguishable from human-created art. Additionally, GANs are utilized to generate synthetic data samples for training machine learning models, thereby enhancing model performance.

Quantum Machine Learning (QML) merges quantum physics with machine learning, leading to faster and more efficient problem-solving. Despite progress, challenges persist in developing superior quantum algorithms and hardware. QML is employed in simulating molecular interactions, hastening the discovery of new drugs by accurately predicting their behavior. QML algorithms are also applied to optimize trading strategies by analyzing vast datasets and identifying intricate patterns for improved decision-making.

Integrating mathematics and AI faces various challenges, including the potential reflection of societal biases in AI algorithms. For example, an AI hiring tool trained on historical data that favored male candidates for managerial positions could unfairly favor male candidates in the future, even if qualifications are equal. Security concerns arise from AI's potential for attacks, as evidenced by data breaches such as the one experienced by Equifax in 2017, which exposed the personal information of over 147 million people.

The rise of deepfake technology in Asia, particularly in Bollywood is also seen, where AI-generated fake videos featuring celebrities are flooding social media. These deepfakes raise concerns about the potential for misinformation, privacy violations, and the need for regulations to address this growing threat.

Recently, Saudi Arabia's first male robot, named "Omar," harassed a female reporter during a live event. The robot made inappropriate comments and gestures towards the reporter, highlighting concerns about the ethical use of AI and the need for guidelines in human-robot interactions.

AI can replace manual jobs by performing tasks more quickly, accurately, and tirelessly than humans, leading to increased productivity but also potential job displacement. However, in roles requiring empathy and personalized care like psychology, AI may lack the emotional intelligence to provide adequate support, potentially reducing the quality of care and the human connection crucial for therapeutic outcomes.

In conclusion, mathematics and AI are symbolic of human creativity and unpredictability, transforming us into an era of innovation and progress. To ensure AI benefits society responsibly, collaboration between mathematicians, AI experts, and policymakers is imperative. By using AI responsibly, addressing issues like bias and security, we can create a future where technology serves humanity's best interests.

Stefan Banach
Illustration: Kavneet Kaur, Year II 16 Source of Images: Google Images
17
18
TODAY TOP 2 MATH ANIMES TODAY TOP
TODAY
19
TOP 2 MATH MOVIES
3 MATH TV SHOWS
ALGO RECCS
20

CLASS AGENDA

DATE:

PERIOD I

KEEPING UP WITH CAUCHY

PERIOD II

Up Next: Cauchy Integral Theorem where nothing is real

PERIOD III

PERIOD IV

ALGEBRA

Group Group Theory Theory

NOTHING SAYS "FUN" LIKE PROVING THAT A SET WITH AN OPERATION FORMS A GROUP FOR THE UMPTEENTH TIME

welcome to greek letters 101

can you make it to the end? did you finish the theorem or did it finish you?

PERIOD V-VII

partial diff eqn

21
DEPARTMENT MATHEMATICS of 2 0 2 4 22

On 8th November 2023, the department of mathematics organized an interactive speaker session on the 'Basics of AI and Deep Learning'. On November 8th, renowned guest speaker Abhishek Gagneja, Assistant Professor at Bharati Vidyapeeth College of Engineering, gave an enlightening talk in the Seminar Hall from 1:00 PM to 2:00 PM. The programme, which was available to all JMC students, sought to give attendees a solid foundation in Artificial Intelligence and Deep Learning ideas. Participants got the chance to study essential ideas and applications in this rapidly growing discipline. Gagneja's experience revealed different elements of AI and Deep Learning, providing great insights to interested students. The workshop created an environment suitable for information sharing and lively discussion. Students that attended received a better grasp of these cutting-edge technologies, which will provide them with valuable abilities in the future. The Department of Mathematics thanks Abhishek Gagneja and all participants for their enthusiastic involvement, and looks forward to presenting similar educational programmes in the future

SESSION WITH GOA INSTITUTE OF MANAGEMENT

On 11 October 2023, Department of Mathematics, JMC conducted a speaker session with Ms Shelly Pandey on CAREERS AFTER UG. The session aimed at sharing enviable insights into the career prospects after graduation using a diverse and forward-thinking approach. The speaker of the session, Ms Shelly Pandey, is currently working as an Assistant professor at the Goa Institute of Management. It was an hour-long session that began with an introduction given by the president of the Department of Mathematics followed by the speaker’s words providing insights about the various career aspects, especially in the field of Marketing and Business. She articulated facts such as preparation time, coaching required including how GIM could be one of our top choices. She broadened our horizons to different types of master’s courses we could pursue. Throughout the session, the speaker was open to questions and many of the students cleared their doubts regarding scholarships, campus, placements and much more. It was truly an insightful session.

MATHEMATICS WEEK

Mathematics Week was a joyous celebration of Srinivasa Ramanujan's talent! On December 18th, participants were immersed in the fascinating realm of numbers through a thrilling intradepartmental quiz. The air was electric with enthusiasm as kids demonstrated their mathematical prowess. A unique short video presentation on Ramanujan's birth anniversary, December 22nd, presented fascinating insights into his life and career. Throughout the week, guests were encouraged to pursue their passion for mathematics, creating collaborative genius. Cash incentives provided an additional incentive, demonstrating that achievement in mathematics deserves respect and reward. The event effectively recognised Ramanujan's legacy and sparked excitement for mathematics.

MATHARENA

On 28th of February, 2024, the department of Mathematics had their annual academic day, none other than, MATHARENA! After weeks of hard work, at 10 am on Wednesday, the programme started with the Inaugural ceremony. The anchors welcomed the audience, teachers and the Chief guest, Prof. Parvin Sinclair. The President of the Department gave the welcome speech, followed by the principal’s address. Students of the department then presented a spectacular rhythm of feet, The Saraswati Vandana. The faculty members and the chief guest then lighted the lamp, this marking an official beginning of the event. We then started with a fiery competition of paper presentation, with a lot of cross questioning and budding excitement and nervousness. Near the purple wall, we provided a little entertainment with our two beautiful stalls, with gifts and much more for every person out there! After the break, we continued with the most awaited competitions for the day. The Mathematical Quiz with over 200 registrations, The Clueclidean Code- Mathematical Escape Room Adventure with its quirky questions, The Pi-Thon Relay Race with people dedicatedly running in the scorching sun and Mathematical Mosaics- an artistic collaboration with Algorithm took place simultaneously in The Thevenet Hall, at the purple wall and in the 3rd Floor Classrooms. There were many students running here to there, covering every aspect of the event which eventually translated to a successful event. The Keynote Speaker then honoured us with her enlightening words and told us various insights on mathematics itself. It was truly worth the wait. It was almost time to wrap up the competition so then came in the Math Department students with their utmost zeal and shining faces and shook the floor with the most energetic dance performance ever! It was almost as if the stage was on fire. We then proceeded to with the prize distribution, awarding the unwavering efforts of the ones who participated and won. Signing off with the Vote of Thanks by the Vice President of the Department, our spectacular event came to an end

BASICS OF AI AND DEEP LEARNING
23

MATHARENA PRESENTS

PAPER PRESENTATION COMPETITION “MATH

THROUGH THE AGES: BEYOND THE CLASSROOM”

TOPOLOGICAL QUANTUM COMPUTING THROUGH BRAIDS

Can we tell apart classical particles under exchange?

Yes, no matter the permutation of the colours, we can always distinguish between two balls with full knowledge of the system and hence the trajectory

The Aharonov– Bohm effect

An electron moving around a tube of magnetic field picks up a phase.

Can we say the same for quantum particles?

Quantum States are completelely specified by wavefuntions, when two wavefuntions overlap and then scatter, they completely lose identity.

Bosons follow BoseEinstein Statistics, are Symmetric under exchange. There are two worlds

Fermions follow FermiDirac Statistics, are Antisymmetric under exchange.

In quantum physics, identical states are indistinguishable.

Quantum States are completelely specified by wavefuntions, when two wavefuntions overlap and then scatter, they completely lose identity

Onto R^2

A loop around a point can be continuously deformed into itself in 3D space, not in 2D. 2

Consequently, in 2D space θ can lie any where between 0 and π. These particles with with intermediate phases are called any-ons, with properties somewhere between bosons and fermions

24
Borishan Ghosh, Hansraj College: I Position

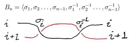
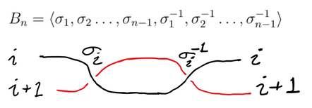
THE BRAID GROUP

No strands can be tangent to each other at any point.

Only two strands can cross at any point.

No two crossings can occur at the same horizontal level.

ARTIN GENERATORS

1

1.
2.
3.
3 4 25
2

QUANTUM CIRCUITS

A qubit is a vector on the Bloch Sphere.

1.Initialize an input state Apply unitary transformations (Rotations along the Bloch Sphere) 2. 3.Measurement

Topological QC

Adding a time axis, to anyon exchanges resembles braids. Every permutation of anyons can be written as an element in the braid group. With every braiding, the initial wavefuntion picks up a unique phase. Just like the braids, these exchanges are not necessarily abelian.

There you have it !

Measurement by fusion

From Artin’s simple Toy example from the 1950s to Quantum computers, you can today

1. Have perfect end to end communication without espionage (BB84)

3.

Break RSA encryption, or most of the encryption algorithms protecting banks, texts, digital vaults, and more (Shor’s Algorithm)

2. Search faster than classically possible (Grover’s Search)

Universality

All operations in Quantum Computing can be written as a combination of Single Qubit rotations and the CNOT gate.

26
1 2 3
1. Ananya Pareek 2. Aanchal Chourasiya
27
3. Deepanshu Kandpal
28

ACHIEVEMENTS

ANAM (Batch of 27') - 3rd position in "Spin A Yarn" Story Writing Competition organized by Motilal Nehru College

NAVYARAVEENDRAN (Batch of 26') - 3rd prize in Logo redesigning competition in Miranda House

AVNIJAIN (Batch of 27') - Conducted a workshop on spoken word poetry at IIT-D for their annual literature and arts fest Literati.

- Was a guest performer at BITS Pilani during BITS Apogee, their technology festival.

- Was a judge and guest performer at Deshbandhu College for their annual literary fest, Epiphany.

RISHIKAAGARWAL (Batch of 24') - First Position in Mathematics Honours in Second Year.

CHHAVIPAHWA (Batch of 24') - Secured Admission in NMIMS for MBA.

SAACHISAHNI (Batch of 24') - Selected for CDS interview - Published a Thesis on Global Equity Markets in Flux: Unraveling the Post Pandemic Realities in India, EU, and USA.

SAISTUTIMITTAL (Batch of 24’) - Lead Organiser of TEDxJMC.

DAMINIBAKHSHI (Batch of 24’) - President of 180dc JMC.

MUSKAANBABBAR (Batch of 24’) - General Secretary of Training and Development Division, Placement Cell, JMC. Placed at PWC through Campus Recruitment.

KHYATISHARMA (Batch of 24’) - Vice President of Chanakya, The Economics Cell, JMC. Placed at PWC through Campus Recruitment.

TANVISARDANA (Batch of 24’)- President of Training and Development Division, Placement cell, JMC. Placed at Bain and Company through Campus Recruitment.

AARUSHISONI (Batch of 24’) - President of Puzzle Society, JMC.

MANASVIMITRA (Batch of 24’) - Senior Advisor at Digilit, JMC.

FACULTY

Prof. (Dr.) Alka MarwahaMs. Rama SaxenaDr. Ambika Dr.Bhambhani Anu AhujaMs. Richa Krishna

Dr. Shruti TohanDr. ST Khaiminthang Ms.Vaiphei Sunita NarainDr. Indrakshi Dutta Dr. Rashmi Sehgal Thukral

OFFICE BEARERS

|| PRESIDENTVICE PRESIDENTTREASURER

Prakriti RamanVijay BhartiRia Kapoor

29

CLASS OF 2024

No regrets, just memories!!! Kyuki Zindagi na milegi dobara...

Life is really complex just like math has both real and imaginary aspects, so just keep analysing to make it a bit better.

You may think I’m small, but I have a universe inside my mind.

I'm not great at senior quotes. Can I interest you in a sarcastic comment ?

Aarushi Soni Aditi Joshi Aditi Singh Aditi Yadav There's still a riddle to uncover Akhila Anil Not perfect but real Angel Maria Varghese Anjali Kapoor Main apni favourite hu !!! Ann Priya Thomas Number of memories made in college = Anushka Gangwar Introvert

CLASS OF 2024

“Dum spiro spero, Dum spero Amo, Dum Amo vivo”

Keep going. Everything you need will come to you at the perfect time.

Sometimes it's better to just remain silent and smile :)

Be like the moon; lonely,full of imperfections but still shining in the dark��

Spent 3 years pretending I knew what was going on. Turns out, nobody does. Graduating with a degree in 'winging it.'

Don't take the cosmic prank too seriously, no one's gonna make it out alive :)

If you don’t believe in miracles, perhaps you have forgotten you are ONE✨

Beneta Susan Abraham Brighty Saji Chhavi Pahwa Crispina Dcruz Damini Bakhshi watch out world Janvi Batra Trust the process Khushi Garg Khyati Sharma Lubhani Chadha

CLASS OF 2024

If procrastination were an Olympic sport, we'd all have gold medals by now.

The most amazing things that can happen to a human being will happen to you, if you just lower your expectations.

Nandini

"Be Myself" what kind of garbage advice is that?

If you obey all the rules, you miss all the fun

You are the creator of your own destiny.

Tu right nai hai, bas mujhse bohot alag hai!

I don't know about the limit, but my patience is definitely tending to zero.

Navya Arora

Mary Oliver said, “Pay attention, be astonished, tell someone.” I’ll add ‘eat pizza, seriously eat all the pizza’

Never be so kind that you forget to be clever, never be so clever that you forget to be kind.

Manasvi Mitra Muskaan Babbar Namrata Chettri Rawat Nandini Vatsa Neha Nixon K Nishtha Kaushik Oditi Sumbh

Graduating soon in 'Muggle Mathematics'. Future plan - PhD (Permanent Head Damage)

CLASS OF 2024

Life is beautiful the way it is and it’s best for you.

Worry less, smile more

Sober, yet the drunkest out there

Surely we all were amazed by proof of 1>0

You don't grow when you are comfortable!

Today is the beginning of your next great adventure.

You are never “TOO MUCH”, but always enough��

Not everyone wishes for you,so play dumb for all the smart reasons.

Ojasvi Kapoor Prakriti Raman Priyanshi Varshney Radhika Chadha Renu Ria Kapoor Rishika Aggarwal Ritika Chauhan Saachi Sahni

CLASS OF 2024

And I knew exactly what to do. But in a much more real sense, I had no idea what to do.

Sapna College is where friendships grow forever. #BFFsForLife

Sai Stuti Mittal Shreya The Office : S5 E14, 9:11 Shubhangi Das Seize the moment, savour the memories �� Shubhanshi Mittal Live Laugh Love Steffy Koshy Kal pe sawaal hai, jeena filhaal hai :) Suhana Chaudhary Babu Moshai...zindagi badi honi chahiye, lambi nahi. Surabhi Tiwari Season Finale of “Keeping up with Cauchy” Tahira Khan kya jaldi jaldi bade ho gaye yaar hum.

CLASS OF 2024

I suppose we only know what we are capable of when we test our lim f(x).

Live everyday like you’re Elle Woods after Warner told her she wasn’t smart enough for Law School.

Nothing is permanent except change

It is what it is.

I’m not great at yearbook quotes but feels nice to finally graduate.

"Mein Apni FAVOURITE hu ����"Jab We Met

It's going to be legen- wait for it-dary, legendary!

Tanvi Sardana Tapasya Tesa Joby Titiksha Mittal Tushti Udi Bhasin Vandana

EDITORIAL BOARD editorial board

Algorithm, Jesus and Mary College, 2024

Ojasvi Kapoor Chief Illustrator Aditi Joshi Editor-in-Chief Tanvi Sardana Sub Editor-in-Chief Surabhi Tiwari Principal Designer Reeya Joshi Content Strategist
36
Namrata Chettri Social Media & Outreach Head

Meet the team

Content
Anam
Content
Content , SM & Outreach
Anjali Kapoor
Avni
Content
Cheshta
Content
Palak Sindwani
Content
Nandini Rawat
Content , Design , Illustration
Priyanshi Agarwal
Design , Content
Shaivi Shubh
Content Sneha Content Shreya Design , Content
Sanvi Khandelwal
Content , SM & Outreach
Content , SM & Outreach
SM & Outreach
Vrinda Kwatra
Yashi
Archie Singhal
Design
Diya Mariya Varghese
Design 37
Kanika Saroha

Meet the team

SM & Outreach , Illustration

& Design

SM & Outreach

Outreach ,

SM & Outreach

Outreach

Kavneet Kaur Lubhani Chadha Illustration Priyanshi Dalmia Design, SM & Illustration Riddhi Singhal Design Sapna Steffy Koshy Suhana Chaudhary SM & Tanisha Dosi Design
38
Khushi Goyal Illustration

Turn static files into dynamic content formats.

Create a flipbook
Algorithm 10.0 by jmc_algorithm - Issuu