קרסנטי אילה_ מלון בוטיק מסגנון כפרי REVIT

Page 1

Country Hotel

ד"סב סמ ןויליג :' טקיורפה תחנמ המגמה תזכר הללכמה םש טוטרסו ןוונכת ךיראת 28/05/2024 טפסנוק ןויליג 1 דא ביברז הרש דא ןייטשלוג תירוא יטנסרק הליא עבשילא תונב
חטש חותיפ בוציע תותיזח תונויליג תמישר מ"נק ןויליג םש מ ס טפסנוק ןויליג 1 1:250 הביבס םישרת הדמעהו 2 1:100 חטש חותיפ 3 1:100 חטש חותיפ 4 1:100 תויגוציי תותיזח 5 1:100 יגוצי ךתח 6 1:50 1תמוק הדובע- 7 1:50 עקרק תמוק הדובע 8 1:50 הדובע גג תמוק 9 1:50 הדובע ךתח 10 1:50 הדובע תותיזח 11 1:100 היצקורטסנוק 12 1:20 תוגרדמ ןוילג 13 1:10 םיטרפ 14 היצטנזרפ 15 החיתפ לש העונתב םילגעת םה חטשה חותיפ יווק רורחש תרדשמש , עגורו םיקפוא תבחרה . ירפכ ןונגסב תובצועמ תותיזחה תותיזחב. , םיפערה תוגגל תחתמ הנימזמו המימח השוחת ןתונש םישוג לש קחשמ שי . הנומש די בושיב הגספ לע , ןולמה שרגמ אצמנ . עגור אוה יתננכת ותואש ןולמה לש ידוחייה טפסנוקה , ונימצעל רוביחו הוולש םייח ונבור םויכ הדובע לש יביסנטניא חרואב , הרבחו החפשמ ייח שפוחה תא םסקמל םיצור ונא שפוחל םיאצוי ונחנאשכו , םישדח תוחוכב ונמצע תא ןיעטהלו , עגורהו עבטהש , םתוא םינתונ .. תרגתאמ היפרגופוט תמייק שרגמב . סונימ תמוקל התוא יתלצינ ףונה תא םיחיוורמ הז ידי לעש . חטשה חותיפו תוילרוטספה . עגור לש השוחת רדשמ ןולמה . עבטל הברקו תומימח . הכומנו תכרואמ הרוצב ןולמה ןונכתב שגרומ , םישוגה קחשמב . םיפער גג לש יופיח שי וילעש . תומימח תשוחת קינעמה . סנכהל ןימזמו ...
1855 2858 2171 2365 707 1074 B-B C-C D-D 1015 מ שרגמ לובג ןיניב וק מ ב מ ב 1527 2013 4366 B C D A 692.4 692.5 692.3 692.1 692 690 691.14 691.3 691.5 691.6 691.7 691.8 696.5 690 691 691.5 692.5 693 694.5 695 697.5 691 692.5 692 693 693.5 697.5 695 694.5 694 692 692.5 692.5 693.3 692.34 690.05 690.5 690 689.5 687.5 689.5 686.5 685 686.5 691.4 692 692 692 692 689 691 689.54 691.54 691.5 692 689 691.5 692 698.7 689 689.6 689.6 689.6 689.6 694.5 697.5 695 693.5 693 693 ןופצ ד"סב סמ ןויליג :' טקיורפה תחנמ המגמה תזכר הללכמה םש טוטרסו ןוונכת ךיראת 28/05/2024 הדמעהו הביבס םישרת 2 דא ביברז הרש דא ןייטשלוג תירוא יטנסרק הליא עבשילא תונב 500 הביבס תינכות 1 250 הדמעה תינכות תונויליג תמישר מ"נק ןויליג םש מ ס טפסנוק ןויליג 1 1:250 הביבס םישרת הדמעהו 2 1:100 חטש חותיפ 3 1:100 חטש חותיפ 4 1:100 תויגוציי תותיזח 5 1:100 יגוצי ךתח 6 1:50 1תמוק הדובע- 7 1:50 עקרק תמוק הדובע 8 1:50 הדובע גג תמוק 9 1:50 הדובע ךתח 10 1:50 הדובע תותיזח 11 1:100 היצקורטסנוק 12 1:20 תוגרדמ ןוילג 13 1:10 םיטרפ 14 היצטנזרפ 15 שרגמה תביבס שרגמל העגה תפמ הביבס םישרת תוקלחו םישוג םישרת שרגמל תוכומס תוקלחב עבת
1.5 % 1.5 % 691.40691.40 693.99693.99 CC CC 696.89696.89 698.10698.10 691.94691.94 1.5% 1.5% 1.5% 1.5% 1.5% 1.5% 1.5% 692.96692.96 692.84692.84 692.39692.39 691.94691.94 2 % 2 % 11.4% 692.39692.39 692.84692.84 691.94691.94 124 64 119 8% 8% 692.83692.83 691.33691.33 692.04692.04 693.16693.16 692.61692.61 692.70692.70 692.73692.73 692.84692.84 694.15694.15 693.65693.65 693.10693.10 692.90692.90 692.93692.93 692.40692.40 691.95691.95 691.13691.13 691.94691.94 691.94691.94 691.94691.94 691.09691.09 691.39691.39 696.00696.00 695.00695.00 694.00694.00 693.12693.12 1.5 % 1.5 % 692.12692.12 692.93692.93 692.87692.87 692.88692.88 691.99691.99 692.50692.50 2 % % 2 % 2 % 2 % 2 % 2 % 2 % 2 % 0.00 697.00 0.00 697.00 -0.07 696.93 -0.04 696.78696.78 696.74696.74 696.82696.82 696.88696.88 696.78696.78 696.94696.94 696.96696.96 697.03697.03 696.90696.90 אשד רצח טוהיר 3אסרוכ אסרוכ רצח טוהיר לש עופיש 1.5% קדל תחתמ ועצובי םיעופישה לש עופיש 1.5% קדל תחתמ ועצובי םיעופישה ןוטב ףופ ןוטב ףופ ןוטב ףופ ןוטב ףופ ןוטב ףופ ןוטב ףופ ןוטב ףופ םימ ISH- תיכוכז הירטמ אשד קלוחמ תיכוכז הקעמ תיבשומ וד הפס אסרוכ הפק ינחלוש הפשא חפ הפשא חפ הפשא חפ הפשא חפ הפשא חפ קלחומ ןוטב הקרזמ ןוטב ףופ אשד 153 58 70 70 70 70 70 70 70 70 70 70 70 70 70 70 70 83 ת ת ע ת הפשא חפ ת ת ת ע ת ת ת ןוטב ףופ ןוטב ףופ אשד ןבא לספס לספס ןוטב בלושמ ץע לספס ןוטב בלושמ ץע לספס הפשא חפ הפשא חפ ןוטב ףופ הפשא חפ אשדל הפצר תרואת ת 697.30697.30 697.30697.30 697.00697.00 696.65696.65 696.25696.25 695.25695.25 694.25694.25 695.25695.25 696.25696.25 697.00697.00 694.00694.00 698.15698.15 697.14697.14 698.14698.14 694.29694.29 694.90694.90 694.30694.30 694.30694.30 694.30694.30 693.55693.55 694.65694.65 693.20693.20 692.80692.80 692.80692.80 691.35691.35 691.35691.35 691.00691.00 692.80692.80 692.77692.77 692.86692.86 רופא ןוווגב תיעבט ןבא תבלתשמ ןבא ןייטשרקארופא ןוווגב תיעבט ןבא 189 146 351 27 694.55694.55 697.40697.40 693.55693.55 694.65694.65 694.65694.65 ןולמה יבול 67 חבטמ 16 תודווזמ מ להנמ םע רצחל האיצי םיזוק 183 םידבוע 10 אפס יבול 21 תומח תוכירב רדח םיזוק 43 תווצ רדח 15 שיגנ 3 םישנ 7 םירבג מ הרוחס ןולעמ רצחל האיצי 145 תילעמ םילופיט רדח מ החונמ רדח 40 מ םילופיט רדח 13 לכוא רדח 58 םיתורישו תוחתלמ 13 מ רבעמ מ םילופיט רדח מ הנואס החונמ רדח מ תוריש רוזא האובמ 9 ק שרגמ לובג ןיניב ארקמ 252.03 םייק יטולוסבא סלפמ זוקינה ןוויכל עקרקב םיעופיש ורוטלא גוסמ יעבט אשד הכומנ הייחמצ ע היחמצ ףונ לכירדא טלפסא ץע קד קלחומ ןוטב רופא ןווג תיעבט ןבא תבלתשמ ןבא הייחש תכירב ץע לספס ץע לספס 8% היינחהמ היילע תפמר 4 6 7 8 9 1 3 10 11 12 352 100 254 250 580 250 250 472 637 472 250 250 252 100 250 350 353 235 235 20 252 20 הפשא רדח היינח םוסחמ H=97 35 787 10 452 841 593 32 H=40 H=35 ןוטב ףופ 1024 379 ןבא מ מ ק ק 302 302 300 300 מ הניעטו הקירפ חטש -0.02 0.00 -0.02 +0.00 +0.00 -0.02 0.00 הסינכ הסינכ ןוטב םיפופ ע ת הרואת דומע הפשר חפ היונב רדג גניפוק+ 723 0.00 -0.02 0.020.00 -0.02 +0.00 -0.02 0.00697.32697.32 697.47697.47 697.15697.15 697.41697.41 697.03697.03 697.01697.01 697.01697.01 696.97696.97 696.97696.97 הניעטו הקירפ חטש 477 682 287 20 130 20 195 10 205 20 279 537 10 619 444 24 484 325 20 337 10 207 10 150 10 527 342 147 324 685 259 10 264 20 276 10 218 402 20 110 20 425 533 524 265 284 676 470 1233 1468 699 1004 1468 608 B C D A רופא ןוווגב תיעבט ןבא לוחלח רוב לוחלח רוב לוחלח רוב עצומ יטולוסבא סלפמ 252.03 692.4 692.5 692.3 692.1 692 690 691.14 691.3 691.5 691.6 691.7 691.8 69 696.5 690 691 691.5 692.5 693 694.5 695 697.5 691 692.5 692 693 693.5 697.5 695 694.5 694 692 692.5 692.5 693.3 692.34 690.05 690.5 690 689.5 687.5 689.5 686.5 685 686.5 691.4 692 692 692 692 689 691 689.54 691.54 691.5 692 689 691.5 692 הדנדנ הדנדנ הדנדנ הדנדנ 2.5% 2.5% הלעת ןג ןבא ןג ןבא ןג ןבא 696.95 697.03697.03 2% טלפסא 694.28694.28 693.79693.79 693.13693.13 698.7 689 689.6 689.6 689.6 689.6 694.5 697.5 695 693.5 693 693 696.93696.93 ןופצ ד"סב סמ ןויליג :' טקיורפה תחנמ המגמה תזכר הללכמה םש טוטרסו ןוונכת ךיראת 28/05/2024 חטש חותיפ 3 דא ביברז הרש דא ןייטשלוג תירוא יטנסרק הליא עבשילא תונב תונויליג תמישר מ"נק ןויליג םש מ ס טפסנוק ןויליג 1 1:250 הביבס םישרת הדמעהו 2 1:100 חטש חותיפ 3 1:100 חטש חותיפ 4 1:100 תויגוציי תותיזח 5 1:100 יגוצי ךתח 6 1:50 1תמוק הדובע- 7 1:50 עקרק תמוק הדובע 8 1:50 הדובע גג תמוק 9 1:50 הדובע ךתח 10 1:50 הדובע תותיזח 11 1:100 היצקורטסנוק 12 1:20 תוגרדמ ןוילג 13 1:10 םיטרפ 14 היצטנזרפ 15
CC CC 692.40692.40 691.95691.95 1.5 % 1.5% 1.5% 1.5% 1.5% 1.5% 1.5% 2 % 8% 8% % 1.5 % 691.40691.40 693.98693.98 694.35694.35 691.94691.94 692.96692.96 692.84692.84 692.39692.39 691.94691.94 692.84692.84 691.94691.94 692.04692.04 693.16693.16 692.62692.62 692.70692.70 692.73692.73 692.84692.84 694.15694.15 693.65693.65 693.10693.10 692.90692.90 692.93692.93 691.13691.13 691.94691.94 691.09691.09 691.39691.39 694.00694.00 693.12693.12 693.12693.12 692.93692.93 692.87692.87 692.88692.88 691.99691.99 692.50692.50 ןוטב ףופ ןוטב ףופ ןוטב ףופ המדא עצמ לכ אשד ןוטב ףופ ןוטב ףופ ןוטב ףופ ןוטב ףופ תיבשומ וד הפס אסרוכ הפק ינחלוש הפשא חפ הפשא חפ הפשא חפ הפשא חפ הפשא חפ הפשא חפ הפשא חפ הפשא חפ הפשא חפ םימ קלחומ ןוטב ןוטב ףופ לש עופיש 1.5% קדל תחתמ ועצובי םיעופישה לש עופיש 1.5% קדל תחתמ ועצובי םיעופישה לש עופיש 1.5% קדל תחתמ ועצובי םיעופישה המדא עצמ לכ אשד ע ע ת ת ע ת הפשא חפ הפשא חפ ת ע ת ת ע ת ע ת ע ת ת 694.35694.35 694.35694.35 694.27694.27 694.25694.25 694.35694.35 694.35694.35 694.35694.35 694.27694.27 692.80692.80 694.30694.30 694.30694.30 694.30694.30 694.30694.30 694.30694.30 693.04693.04 694.17694.17 693.06693.06 693.08693.08 693.09693.09 189 146 351 חוריא רדח 24 הצחר מ ר חוריא רדח 24 ח הצחר 6 חוריא רדח 26 הצחר חוריא רדח 25 ר ח הצחרמ6 חוריא רדח 25 הצחר חוריא רדח 24 הצחר חוריא רדח מ24 ר ח הצחר 6 שרגמ לובג ןיניב וק ןסחמ ןויקינו הקוזחת תינרדחל 11 ןולעמ דיחיל חוריא רדח 23 דיחיל חוריא רדח 24 מ םיתוריש ממ - עונלוק רדח 17 הטיווס רדח 13 הטיווס רדח 27 מ הצחר ר הטיווס רדח 13 הטיווס רדח 27 הצחר תילעמ ןולמה יבול 187 הצחר הצחר ארקמ 252.03 םייק יטולוסבא סלפמ זוקינה ןוויכל עקרקב םיעופיש ורוטלא גוסמ יעבט אשד הכומנ הייחמצ היחמצ ףונ לכירדא טלפסא ץע קד קלחומ ןוטב רופא ןווג תיעבט ןבא תבלתשמ ןבא הייחש תכירב ץע לספס ץע לספס מ ק מ ב ק ןוטב םיפופ ע ת הרואת דומע הפשר חפ היונב רדג גניפוק+ 693.47693.47 694.34694.34 694.17694.17 ימאניד ןורא תיבשומ וד הפס Bath Freestanding 364 20 325 325 20 366 20 468 20 480 20 480 468 12 500 20 478 657 645 645 645 656 414 10 403 672 20 140 672 480 346 210 240 518 362 362 362 1970 2024 1004 1763 1291 1588 1356 2757 םימשג לוחלח חטש H=32 H=31 H=37 H=30 H=32 H=41 H=43 H=44 H=41 H=43 B C D A עצומ יטולוסבא סלפמ 252.03 692.4 692.5 692.3 692.1 692 690 691.14 691.3 691.5 691.6 691.7 691.8 696.5 690 691 691.5 692.5 693 694.5 695 697.5 691 692.5 692 693 693.5 697.5 695 694.5 694 692 692.5 692.5 693.3 692.34 690.05 690.5 690 689.5 687.5 689.5 686.5 685 686.5 691.4 692 692 692 692 689 691 689.54 691.54 691.5 692 689 691.5 692 ץעמ הבישי ילספס ץעמ הבישי ילספס הקלחה דגנ קלחומ ןוטב 694.31694.31 693.10693.10 693.07693.07 2.2 693.10693.10 693.08693.08 693.12693.12 לוחלח רוב לוחלח רוב לוחלח רוב 2 % % 1.5% ע ת 692.35692.35 תוטשפתה רפת רטמ לכ תוטשפתה רפת רטמ הדנדנ הדנדנ הדנדנ הדנדנ 691.72691.72 הקלחה דגנ קלחומ ןוטב ההכ רופא ןווגב םיקירב 2% 698.7 689 689.6 689.6 689.6 689.6 694.5 697.5 695 693.5 693 693 הקלחה דגנ קלחומ ןוטב 1.5% ןופצ ד"סב סמ ןויליג :' טקיורפה תחנמ המגמה תזכר הללכמה םש טוטרסו ןוונכת ךיראת 28/05/2024 חטש חותיפ 4 דא ביברז הרש דא ןייטשלוג תירוא יטנסרק הליא עבשילא תונב תונויליג תמישר מ"נק ןויליג םש מ ס טפסנוק ןויליג 1 1:250 הביבס םישרת הדמעהו 2 1:100 חטש חותיפ 3 1:100 חטש חותיפ 4 1:100 תויגוציי תותיזח 5 1:100 יגוצי ךתח 6 1:50 1תמוק הדובע- 7 1:50 עקרק תמוק הדובע 8 1:50 הדובע גג תמוק 9 1:50 הדובע ךתח 10 1:50 הדובע תותיזח 11 1:100 היצקורטסנוק 12 1:20 תוגרדמ ןוילג 13 1:10 םיטרפ 14 היצטנזרפ 15
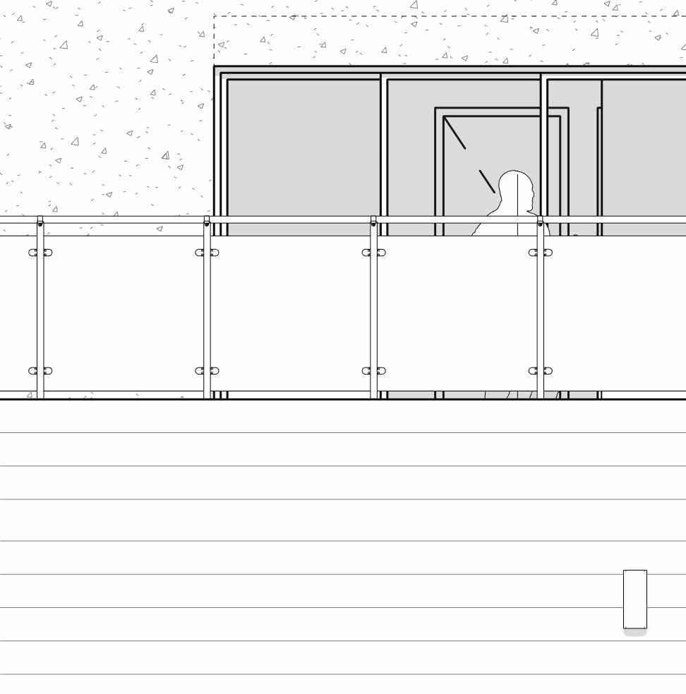
5.69 קק ט +6.12 7.48 2.18 698.10 697.00 698.10 698.10 ןיניב וק שרגמ לובג ןיניב וק שרגמ לובג םוח ןווג םיקירב ןבא רופא ןווג ןוטב יפער ןייטשרקאםוח ןווג םיקירב ןבא תרבח ץע יומד םיכרואמ ןוטב יחירא SHERA ץוח חיט - רופא ןווג תרבח ץע יומד םיכרואמ ןוטב יחירא SHERA תרבח ץע יומד םיכרואמ ןוטב יחירא SHERA רופא ןווג ןוטב יפער ןייטשרקא698.15 698.15 698.80 5.64 +3.98 696.95 696.85 7.18 0.40 6.61 7.48 -1.49 -1.43 2.40 697.30 -1.43 -1.41 698.10 698.10 694.97 694.15 693.65 ןיניב וק שרגמ לובג ןיניב וק שרגמ לובג רופא ןווג ןוטב יפער ןייטשרקאתרבח ץע יומד םיכרואמ ןוטב יחירא SHERA ץוח חיט - רופא ןווג םוח ןווג םיקירב ןבא תרבח ץע יומד םיכרואמ ןוטב יחירא SHERA ההכ רופא ןווגב םיקירב ןוטב ףופ היינח םוסחמ הפשא רדח 7.18 +0.40 1.50 0.40 1.50 0.40 1.50 169 174 174 692.99 692.95 693.55 694.65 693.12 693.12 ץוח חיט - רופא ןווג םוח ןווג םיקירב ןבא 7.48 1.80 +1.10 698.10 -1.49 -1.65 -1.45 -1.45 +2.40 -2.85 694.25 -2.50 698.10 696.86 696.65 694.25 694.25 692.75 ןיניב וק שרגמ לובג -2.03 +0.40 +0.40 רופא ןווג ןוטב יפער ןייטשרקארופא ןווג ןוטב יפער ןייטשרקאתרבח ץע יומד םיכרואמ ןוטב יחירא SHERA ץוח חיט - רופא ןווג 692.37 691.95 691.48 691.22 691.37 695.25 694.25 696.73696.73 ןיניב וק שרגמ לובג -2.85 -1.80 -1.67 +7.48 +1.80 698.10 -2.85 -2.05 694.65 694.25 692.66 ןיניב וק שרגמ לובג -4.23 ןוטב ףופ ןוטב ףופ ע 694.65 694.95 694.15 694.30 ת רופא ןווג ןוטב יפער ןייטשרקאתרבח ץע יומד םיכרואמ ןוטב יחירא SHERA ץוח חיט - רופא ןווג םוח ןווג םיקירב ןבא ץוח חיט - רופא ןווג לק הקעמ - הטסורנ תיצקורטסנוק םע תיכוכז 0.40 1.50 1.80 7.18 7.48 3.70 3.70 3.70 3.64 3.70 6.01 3.25 3.25 3.25 3.25 3.25 ןוטב ףופ 696.73 692.80 -0.02 100 תימורד תיזח 100 תינופצ תיזח 100 תיברעמ תיזח 100 תיחרזמ תיזח ד"סב סמ ןויליג :' טקיורפה תחנמ המגמה תזכר הללכמה םש טוטרסו ןוונכת ךיראת 28/05/2024 תויגוציי תותיזח 5 דא ביברז הרש דא ןייטשלוג תירוא יטנסרק הליא עבשילא תונב תונויליג תמישר מ"נק ןויליג םש מ ס טפסנוק ןויליג 1 1:250 הביבס םישרת הדמעהו 2 1:100 חטש חותיפ 3 1:100 חטש חותיפ 4 1:100 תויגוציי תותיזח 5 1:100 יגוצי ךתח 6 1:50 1תמוק הדובע- 7 1:50 עקרק תמוק הדובע 8 1:50 הדובע גג תמוק 9 1:50 הדובע ךתח 10 1:50 הדובע תותיזח 11 1:100 היצקורטסנוק 12 1:20 תוגרדמ ןוילג 13 1:10 םיטרפ 14 היצטנזרפ 15
דיחיל חוריא רדח 24 דיחיל חוריא רדח 23 ןולמה יבול 187 הטיווס רדח 27 הטיווס רדח 27 ןיניב וק שרגמ לובג 694.25 691.43 692.75 698.10 +7.48 1.80 0.00 -3.87 2.40 -1.70 -1.70 -1.70 -1.70 7.48 ץוח חיט - רופא ןווג רופא ןווג ןוטב יפער ןייטשרקארופא ןווג ןוטב יפער ןייטשרקאץוח חיט - רופא ןווג 6.01 +5.45 3.25 3.25 1.50 0.40 698.12 696.65 694.95 ןיניב וק שרגמ לובג קק קק 696.91696.91 696.15696.15 695.91695.91 692.21692.21 קק קק 691.34691.34 690.81690.81 691.60691.60 691.94691.94 692.57692.57 ןולמה יבול 187 מ ןולמה יבול 67 מ םוח ןווג םיקירב ןבא םוח ןווג םיקירב ןבא רופא ןווג ןוטב יפער ןייטשרקאןולמה יבול 187 חוריא רדח 24 מ הצחר רופא ןווג ןוטב יפער ןייטשרקא0.00 -3.85 -4.20 -0.35 3.25 3.25 3.25 +7.18 +3.70 +3.25 3.70 5.64 7.18 3.70 6.61 5.71 3.70 -0.02 35 280 60 45 661 1.50 698.15 694.25 695.25 696.25 697.00 694.25 694.30 698.15 698.15 696.78 קפלד ןיניב וק שרגמ לובג ןיניב וק שרגמ לובג 697.63697.63 697.39697.39 696.65696.65 695.27695.27 691.57691.57 693.58693.58 המדא 692.69692.69 693.04693.04 קק קק קק קק 696.70696.70 7.48 ןסחמ ןולמה יבול 187 ןולמה יבול 67 לכוא רדח 58 מ חבטמ 16 הרוחס ןולעמ ןולעמ מ םיתוריש ןויקינו הקוזחת ח תינרדחל 11 ממ ם - עונלוק רדח 17 ןולמה יבול 187 ר שיגנ םילופיט רדח דיחיל חוריא רדח 23 ןולמה יבול 187 םע רצחל האיצי םיזוק 184 רופא ןווג ןוטב יפער ןייטשרקא- רופא ןווג ןוטב יפער ןייטשרקארופא ןווג ןוטב יפער ןייטשרקא6.13 0.40 -1.45 2.15 -1.70 -1.70 -1.04 0.00 -1.70 -1.70 -1.70 7.18 3.70 6.13 -1.58 -2.63 תוגרדמ רפסמ 22 םור 18 6.01 -3.85 -4.00 רופא ןווג ןוטב יפער ןייטשרקא- רופא ןווג ןוטב יפער ןייטשרקאיליפורפ RHS 20 20 סבג בצינ הנואס -3.82 -3.85 תוריש רוזא ר תומח תוכירב רדח םיזוק 43 תוקלורו םיעופישל הדמ 695.92695.92 697.24697.24 696.45696.45 696.20696.20 696.02696.02 696.02696.02 695.51695.51 695.01695.01 695.34695.34 694.44694.44 693.94693.94 693.15693.15 692.66692.66 ןיניב וק שרגמ לובג ןיניב וק שרגמ לובג 691.55691.55 692.93692.93 694.30 694.65 קק 100 ךתח CC ןופצ ד"סב סמ ןויליג :' טקיורפה תחנמ המגמה תזכר הללכמה םש טוטרסו ןוונכת ךיראת 28/05/2024 יגוצי ךתח 6 דא ביברז הרש דא ןייטשלוג תירוא יטנסרק הליא עבשילא תונב 100 ךתח BB 1 100 ךתח AA תונויליג תמישר מ"נק ןויליג םש מ ס טפסנוק ןויליג 1 1:250 הביבס םישרת הדמעהו 2 1:100 חטש חותיפ 3 1:100 חטש חותיפ 4 1:100 תויגוציי תותיזח 5 1:100 יגוצי ךתח 6 1:50 1תמוק הדובע- 7 1:50 עקרק תמוק הדובע 8 1:50 הדובע גג תמוק 9 1:50 הדובע ךתח 10 1:50 הדובע תותיזח 11 1:100 היצקורטסנוק 12 1:20 תוגרדמ ןוילג 13 1:10 םיטרפ 14 היצטנזרפ 15
ךתח A ךתח A 20 1.5 % 1.5 % 1.5 % 1.5 % ןסחמ ףוציר טינרג תפצר ןלצרופ ריק יופיח ןבל חיט הרקת גוס חפ ישגמ ןויקינו הקוזחת ףוציר טינרג תפצר ןלצרופ ריק יופיח ןבל חיט הרקת גוס חפ ישגמ ח תינרדחל 11 ףוציר ןלצרופ טינרג ריק יופיח יעבט שיש ןולעמ 110 208 תודימב דיחיל חוריא רדח 23 ףוציר שיש ריק יופיח ץע יופיח הרקת גוס סבג תרקת הכמנהה עבוג 70 דיחיל חוריא רדח ףוציר שיש ריק יופיח ץע יופיח הרקת גוס סבג תרקת הכמנהה עבוג 70 םיתוריש ממ - עונלוק רדח 17 ףוציר ןלצרופ טינרג ריק יופיח ןבל חיט הרקת גוס הכמנה תיביטרוקד הטיווס רדח 13 ףוציר ןלצרופ טינרג ריק יופיח יעבט שיש הטיווס רדח 27 ףוציר שיש ריק יופיח ץע יופיח הרקת גוס סבג תרקת הכמנהה עבוג 70 הצחר ףוציר ןלצרופ טינרג ריק יופיח יעבט שיש הטיווס רדח 13 ףוציר ןלצרופ טינרג ריק יופיח יעבט שיש הצחר ףוציר ןלצרופ טינרג ריק יופיח יעבט שיש תילעמ תילעמ את רובע 140 110 תודימב MRL גוסמ הצחר ףוציר ןלצרופ טינרג ריק יופיח יעבט שיש הצחר ןווגב רמילופמ תיפנכ דח תיריצ תלד ןווגב רמילופמ תיפנכ תיריצ ןווגב רמילופמ ןווגב רמילופמ תיפנכ תיריצ תלד ןווגב רמילופמ תיפנכ דח תיריצ תלד ןבל ןווגב רמילופמ תיפנכ דח תיריצ תלד ןבל ןווגב רמילופמ ןווגב רמילופמ ןבל ןווגב רמילופמ תידסומ ףדה תלד תיריצ החיתפב תיפנכ תלד תיריצ החיתפב תיפנכ תלד 1.5% 1.5% הטיווס רדח 27 ףוציר שיש ריק יופיח ץע יופיח הרקת גוס סבג תרקת הכמנהה עבוג 70 1911 1970 2024 1004 2465 2465 ןטלוק ןטלוק ןטלוק ןטלוק ןטלוק ןטלוק ןטלוק ןטלוק ןטלוק ןטלוק 10 ןטלוק 11 תיפנכ דח תיריצ ןבל ןווגב רמילופמ 376 220 240 90 185 240 190 240 300 131 240 300 100 100 302 198 308 192 302 198 240 300 112 240 300 200 240 300 116 421 210 150 720 חוריא רדח 24 ףוציר שיש ריק יופיח ץע יופיח הרקת גוס סבג תרקת הכמנהה עבוג 70 הצחר ףוציר ןלצרופ טינרג ריק יופיח יעבט שיש חוריא רדח 25 ףוציר שיש ריק יופיח ץע יופיח הרקת גוס סבג תרקת הכמנהה עבוג 70 הצחר ףוציר ןלצרופ טינרג ריק יופיח יעבט שיש 20 480 180 246 765 10 210 10 240 10 518 222 20 110 20 362 60 10 210 80 48 10 74 210 80 85 155 10 210 80 208 10 230 20 112 165 353 105 66 70 94 10 362 32 456 10 66 10 240 10 234 10 170 10 128 10 265 403 672 20 140 416 246 20 672 70 210 70 106 482 10 217 135 210 80 50 24 210 322 210 70 73 210 127 210 70 73 262 210 80 44 200 1972 933 -5.35 -2.63 -3.85 18 26 156 136 182 10 300 20 300 168 123 מ א מ א 70 111 111 78 -3.85 -3.85 -3.85 0.00 -2.05 מ -2.05 מ -2.05 -2.05 מ -2.05 -2.05 -2.05 -2.05 -3.92 -3.85 693.08693.08 693.16 13 108 111 111 106 781 156 210 80 20 175 20 -2.85 -2.81 -2.11 ץוח חיט - רופא ןווג -ןוטב ןבל רמג ןולגלג תרושקת חוריא רדח 24 ףוציר שיש ריק יופיח ץע יופיח הרקת גוס סבג תרקת הכמנהה עבוג הצחר מ ףוציר ןלצרופ טינרג ריק יופיח יעבט שיש -ןוטב ןבל רמג תרבח ץע יומד םיכרואמ ןוטב יחירא SHERA תרבח ץע יומד םיכרואמ ןוטב יחירא SHERA -ןוטב ןבל רמג םיקולב ריק -ןוטב ןבל רמג -ןוטב ןבל רמג -ןוטב ןבל רמג -ןוטב ןבל רמג -ןוטב ןבל רמג תרבח ץע יומד םיכרואמ ןוטב יחירא SHERA -ןוטב ןבל רמג ץוח חיט - רופא ןווג -ןוטב ןבל רמג ץוח חיט - רופא ןווג -ןוטב ןבל רמג -ןוטב ןבל רמג םיקולב ריק םיקולב ריק םיקולב ריק הדובע B הדובע B םילתמ לפקתמ םיכנ זחאמ תרתסנ הייולת הלסא לפקתמ םיכנ שי זחאמ יכנאו יקפוא עובק זחאמ ינבלמ רויכ ילמינימ ןוחלקמ ןווגב רמילופמ 492 20 478 210 60 210 70 72 60 70 72 חוריא רדח 26 ףוציר שיש ריק יופיח ץע יופיח הרקת גוס סבג תרקת הכמנהה עבוג 70 הצחר ףוציר ןלצרופ טינרג ריק יופיח יעבט שיש 60 210 70 72 חוריא רדח ףוציר שיש ריק יופיח ץע יופיח הרקת גוס סבג תרקת הכמנהה עבוג 70 הצחר מ 210 98 98 158 158 158 158 חוריא רדח 24 ףוציר שיש ריק יופיח ץע יופיח הרקת גוס סבג תרקת הכמנהה עבוג 70 הצחר ףוציר ןלצרופ טינרג ריק יופיח יעבט שיש 60 70 72 98 158 202 10 445 10 468 20 480 480 20 468 190 322 512 32 10 202 10 10 212 433 0 34 180 300 20 300 10 158 20 +0.03 רורחש רוניצ ריווא 2.15 רוניצ ריווא תסינכל ריווא גוזימל הנכה רוניצ Ø 2.35 20 80 15 80 15 80 15 80 15 םיריפל הדלפ תותלד תופוחמ ןבל םוינימולאב לע טוליש םיריפה דועי 12 72 71 14 44 61 60 42 62 63 64 65 46 70 68 69 67 43 41 51 52 58 40 םוינימולא תורוק תלוגרפ 20 20 -3.85 -3.87 -3.85 -3.87 -3.85 -3.87 -3.85 -3.87 -3.85 -3.87 -3.85 -3.873.873.853.873.853.873.87-3.85 -3.87 -3.85 -3.87 45 A 50 4998 884 1356 2751 4992 1291 0.15 0.15 0.15 0.15 693.11693.11 693.10693.10 693.07693.07 693.10693.10 260 436 260 הייונב עקרק תכירב הייונב עקרק תכירב םוינימולא תורוק תלוגרפ 20 20 693.15 -5.35 37 -3.85 -3.87 -3.89 -4.11 -3.89 -4.11 -3.89 -4.11 הקעמ - םע תיכוכז הטסורנ תיצקורטסנוק הקעמ - םע תיכוכז הטסורנ תיצקורטסנוק ןוטב ריק 20 שיש גניפוק םע ןוטב ריק 20 שיש גניפוק םע לש עופיש 1.5% קדל תחתמ ועצובי םיעופישה RHS 10 RHS 10 -3.89 -3.92 210 80 78 50 32 435 10 212 10 A 657 693.15693.15 92 210 80 210 80 50 50 68 210 10 80 210 80 210 80 158 300 10 170 158 10 300 202 222 10 423 חוריא רדח 25 ףוציר שיש ריק יופיח ץע יופיח הרקת גוס סבג תרקת הכמנהה עבוג 70 הצחר ףוציר ןלצרופ טינרג ריק יופיח יעבט שיש 31 365 325 20 325 20 366 492 434 10 212 10 210 80 154 10 657 217 10 484 20 210 384 10 260 10 386 RHS RHS 10 RHS 10 לפקתמ םיכנ שי זחאמ םודא ץעמ ץע קד לש עופיש 1.5% קדל תחתמ ועצובי םיעופישה לש עופיש 1.5% קדל תחתמ ועצובי םיעופישה לש עופיש 1.5% קדל תחתמ ועצובי םיעופישה ןופצ ד"סב סמ ןויליג :' טקיורפה תחנמ המגמה תזכר הללכמה םש טוטרסו ןוונכת ךיראת 28/05/2024 1תמוק הדובע7 דא ביברז הרש דא ןייטשלוג תירוא יטנסרק הליא עבשילא תונב תונויליג תמישר מ"נק ןויליג םש מ ס טפסנוק ןויליג 1 1:250 הביבס םישרת הדמעהו 2 1:100 חטש חותיפ 3 1:100 חטש חותיפ 4 1:100 תויגוציי תותיזח 5 1:100 יגוצי ךתח 6 1:50 1תמוק הדובע- 7 1:50 עקרק תמוק הדובע 8 1:50 הדובע גג תמוק 9 1:50 הדובע ךתח 10 1:50 הדובע תותיזח 11 1:100 היצקורטסנוק 12 1:20 תוגרדמ ןוילג 13 1:10 םיטרפ 14 היצטנזרפ 15
ךתח A ךתח 40 80 20 ןולמה יבול 67 ףוציר 120/120 ןלצרופ טינרג ריק יופיח ןבל חיט חבטמ 16 מ ףוציר שיש ריק יופיח חיט עבצ הרקת גוס ישגמ םיררוחמ םוינימולא תודווזמ ףוציר 120/120 ןלצרופ טינרג ריק יופיח ןבל חיט להנמ ףוציר 120/120 ןלצרופ טינרג ריק יופיח ןבל חיט םע רצחל האיצי םיזוק 184 םידבוע 10 ףוציר 120/120 ןלצרופ טינרג ריק יופיח ןבל חיט אפס יבול 21 ףוציר 120/120 ןלצרופ טינרג ריק יופיח ןבל חיט תומח תוכירב רדח גו םיזוק 43 ףוציר 120/120 ןלצרופ טינרג ריק יופיח ןבל חיט תווצ רדח 15 ףוציר 120/120 ןלצרופ טינרג ריק יופיח ןבל חיט שיגנ מ םירבג הרוחס ןולעמ רצחל האיצי 145 תילעמ תילעמ את רובע 140 110 תודימב MRL גוסמ החונמ רדח 40 ףוציר 120/120 ןלצרופ טינרג ריק יופיח ןבל חיט םילופיט רדח 13 ףוציר ןלצרופ טינרג ריק יופיח יעבט שיש לכוא רדח 58 ףוציר ןלצרופ טינרג ריק יופיח ןבל חיט הרקת גוס הכמנה תיביטרוקד םיתורישו תוחתלמ ףוציר שיש ריק יופיח חיט עבצ הרקת גוס ישגמ םיררוחמ םוינימולא רבעמ ףוציר 120/120 ןלצרופ טינרג ריק יופיח ןבל חיט ןטלוק ןטלוק 11 ןטלוק 10 5 702 470 1233 1468 1120 ןטלוק 26 210 70 42 15 210 28 210 70 210 70 10 ןטלוק ןטלוק 17 150 377 702 470 1233 555 914 81 463 40 468 409 446 201 300 483 128 201 20 568 458 10 163 12 507 10 477 1797 264 20 504 32 10 1169 32 207 10 150 10 219 631 157 182 139 246 200 10 282 20 80 15 80 15 80 15 80 10 204 175 20 -5.35 0.00 -0.02 ר -0.25 ב -0.02 פ -0.25 מ א מ א 88 103 40 80 40 40 697.00 -0.02 696.98696.98 0.40 +0.40 -1.58 -2.63 0.40 0.00 0.00 697.00697.00 13 208 32 697.00697.00 -0.02 696.98696.98 -0.06 696.93 -0.04 696.96 ןבל חיט םיקולב ריק כ א ןולגלג -ןוטב ןבל רמג תרבח ץע יומד םיכרואמ ןוטב יחירא SHERA -ןוטב ןבל רמג ןבל חיט -ןוטב ןבל רמג -ןוטב ןבל רמג םוח ןווג םיקירב ןבא תרבח ץע יומד םיכרואמ ןוטב יחירא SHERA -ןוטב ןבל רמג -ןוטב ןבל רמג תרבח ץע יומד םיכרואמ ןוטב יחירא SHERA -ןוטב ןבל רמג -ןוטב ןבל רמג -ןוטב ןבל רמג ץוח חיט - רופא ןווג ץוח חיט - רופא ןווג -ןוטב ןבל רמג תרבח ץע יומד םיכרואמ ןוטב יחירא SHERA תרבח ץע יומד םיכרואמ ןוטב יחירא SHERA -ןוטב ןבל רמג -ןוטב ןבל רמג םוח ןווג םיקירב ןבא -ןוטב ןבל רמג םילופיט רדח ףוציר ןלצרופ טינרג ריק יופיח יעבט שיש הנואס ףוציר ץע טקרפ ריק יופיח ץע ילגרס הרקת גוס ץע-תינלס 548 10 172 10 337 812 482 682 10 488 110 118 118 םילופיט רדח ףוציר ןלצרופ טינרג ריק יופיח יעבט שיש םוינימולא חול תרבח ץע יומד םיכרואמ ןוטב יחירא SHERA 141 10 398 264 10 565 685 20 1057 20 276 10 218 B B 210 386 210 80 114 120 210 80 210 155 80 20 תיפנכ תיריצ תלד ןווגב רמילופמ תיפנכ תיריצ ןווגב רמילופמ תיפנכ תיריצ ןבל ןווגב רמילופמ תיריצ החיתפב תיפנכ תיפנכ דח תיריצ תלד ןבל ןווגב רמילופמ ןווגב רמילופמ ןבל ןווגב רמילופמ תיריצ החיתפב תיפנכ תלד תיפנכ תיריצ תלד ןווגב רמילופמ ןווגב רמילופמ תיפנכ תיריצ ןבל ןווגב רמילופמ םינותנ סינכהל םיתוריש תלד םינותנ סינכהל םיתוריש תלד םינותנ סינכהל םיתוריש תלד םינותנ סינכהל תיפנכ דח תיריצ תלד ןבל ןווגב רמילופמ תיפנכ תיריצ תלד ןווגב רמילופמ תיפנכ דח תיריצ ןבל ןווגב רמילופמ ץע 210 80 155 210 210 םישנ 175 210 80 תיפנכ תיריצ ןבל ןווגב רמילופמ תיפנכ תיריצ תלד ןווגב רמילופמ 92 210 10 15 70 28 70 24 תיפנכ דח תיריצ תלד ןווגב רמילופמ 210 237 210 397 210 תיפנכ תיריצ ןבל ןווגב רמילופמ 45 140 45 151 45 140 תוריש רוזא ףוציר שיש ריק יופיח חיט עבצ הרקת גוס ישגמ םיררוחמ םוינימולא םיריפל הדלפ תותלד תופוחמ ןבל םוינימולאב לע טוליש םיריפה דועי האובמ ףוציר שיש ריק יופיח חיט עבצ הרקת גוס ישגמ םיררוחמ םוינימולא םוח ןווג םיקירב ןבא תיכוכז ריק סכר סכר סכר וק סכר וק סכר -5.35 34 10 32 28 26 25 24 30 31 22 21 15 17 14 12 64 66 -3.85 -3.88 -3.86 11 35 שיגנ הלבק קפלד 20 45 188 H=75 H=105 H=75 109 210 533 564 סכר 150 216 0.00 -0.02 0.020.00 -0.02 +0.00 -0.02 0.00 -0.02 0.000.00 -0.02 גגל היילע םלוס תוריש חתפ B C D A -0.02 -0.25 =+ 439 1488 699 126 150 153 243 232 150 332 700 133 211 133 292 141 165 100 130 165 100 137 519 4995 1761 699 1004 1468 608 519 4299 28 =+ גמצל תחלצ -ןוטב ןבל רמג 61 מצ יעבט ץע ידומע 5/10 יעבט ץע ידומע 5/10 U.K.=-210 U.K.=75 U.K.= 40 םוח ןווג םיקירב ןבא םוח ןווג םיקירב ןבא -0.02 -0.25 0.00 -0.15 -0.02 -0.25 1956 34 34 158 368 30 =+ 33 הייונב תינגא 76 75 81 77 78 79 80 סכר וק סכר הדמ םע ועצובי םיעופישה קדה ףוצירל תחתמ ןוטב ריק 20 שיש גניפוק םע ןוטב ריק 20 שיש גניפוק םע 0.40 1.46 1.47 0.40 1.47 4 10 82 ןופצ ד"סב סמ ןויליג :' טקיורפה תחנמ המגמה תזכר הללכמה םש טוטרסו ןוונכת ךיראת 28/05/2024 הדובע עקרק תמוק 8 דא ביברז הרש דא ןייטשלוג תירוא יטנסרק הליא עבשילא תונב תונויליג תמישר מ"נק ןויליג םש מ ס טפסנוק ןויליג 1 1:250 הביבס םישרת הדמעהו 2 1:100 חטש חותיפ 3 1:100 חטש חותיפ 4 1:100 תויגוציי תותיזח 5 1:100 יגוצי ךתח 6 1:50 1תמוק הדובע- 7 1:50 עקרק תמוק הדובע 8 1:50 הדובע גג תמוק 9 1:50 הדובע ךתח 10 1:50 הדובע תותיזח 11 1:100 היצקורטסנוק 12 1:20 תוגרדמ ןוילג 13 1:10 םיטרפ 14 היצטנזרפ 15
30 30 34.7° 34.7° 30 30° 30° 6.61 7.48 3.70 3.70 6.12 6.12 30° 30° 30 30° 30° 3.70 +3.70 3.70 +6.61 6.61 7.18 3.70 1309 1390 1205 801 994 1390 673 532 89 1123 252 338 265 603 +5.64 503 503 1110 1257 105 655 -3.90 -0.02 -3.89 -3.89 ינכט גג 550 550 סכר וק סכר וק סכר וק סכר סכר סכר וק 111 356 3.98 סכר ןטלוק רורווא ןטלוק רורווא Ø ןטלוק רורווא ןטלוק רורווא Ø ןטלוק רורווא Ø ןטלוק רורווא 636 516 642 586 350 350 103 673 532 2367 1794 485 654 184 471 1390 474 128 603 220 315 550 443 ריווא גוזימ ריפ רורווא רופא ןווג ןוטב יפער ןייטשרקארופא ןווג ןוטב יפער ןייטשרקארופא ןווג ןוטב יפער ןייטשרקארופא ןווג ןוטב יפער ןייטשרקארופא ןווג ןוטב יפער ןייטשרקארופא ןווג ןוטב יפער ןייטשרקאםוח ןווג םיקירב ןבא -0.09 3.70 +5.56 4.57 3.97 3.70 3.70 +4.87 ינכט 4.32 637 164 120 115 100 115 50 B C D A 0.15 0.15 -2.10 -3.87 -3.95 ןוולגמ חפ תלעת 12בחור ןוולגמ חפ תלעת 12בחור 12 12 36 36 ןוולגמ חפ תלעת 12בחור 30 3.70 רופא ןווג ןוטב יפער ןייטשרקא30 1.5 % 1.5 % 4.03 3.95 1.5 % 1.5 % 3.89 3.83 3.81 3.94 10 1.5 % 3.77 3.91 3.80 3.80 19 1.5 % 3.76 +3.80 3.80 2.95 2.95 3.85 +3.91 1.5 % 3.94 +3.85 3.83 1.5 % 1.5% 3.88 1.5 % 3.94 1.5% 3.91 3.91 3.88 1.5 % 11 18 17 מצ 16 12 3.14 3.14 +3.16 +3.16 % 1.5 % 36 14 13 15 42 82 40 52 38 39 68 % 3.96 3.92 ןופצ ד"סב סמ ןויליג :' טקיורפה תחנמ המגמה תזכר הללכמה םש טוטרסו ןוונכת ךיראת 28/05/2024 הדובע גג תמוק 9 דא ביברז הרש דא ןייטשלוג תירוא יטנסרק הליא עבשילא תונב תונויליג תמישר מ"נק ןויליג םש מ ס טפסנוק ןויליג 1 1:250 הביבס םישרת הדמעהו 2 1:100 חטש חותיפ 3 1:100 חטש חותיפ 4 1:100 תויגוציי תותיזח 5 1:100 יגוצי ךתח 6 1:50 1תמוק הדובע- 7 1:50 עקרק תמוק הדובע 8 1:50 הדובע גג תמוק 9 1:50 הדובע ךתח 10 1:50 הדובע תותיזח 11 1:100 היצקורטסנוק 12 1:20 תוגרדמ ןוילג 13 1:10 םיטרפ 14 היצטנזרפ 15
7.48 14 ןסחמ ןולמה יבול 187 ןולמה יבול 67 מ לכוא רדח 58 חבטמ 16 הרוחס ןולעמ ןולעמ מ םיתוריש ןויקינו הקוזחת ח תינרדחל 11 ממ רדחעונלוק 17 ןולמה יבול 187 שיגנ םילופיט רדח חוריא רדח דיחיל 23 ןולמה יבול 187 םע רצחל האיצי םיזוק 184 רופא ןווג ןוטב יפער ןייטשרקארופא ןווג ןוטב יפער ןייטשרקא6.13 0.40 -1.45 +2.15 -1.70 -1.70 -1.04 -1.70 -1.70 -1.70 +7.18 +3.70 6.13 -1.58 18-2.63 X 26 תוגרדמ רפסמ 22 םור 18 14 14 14 14 14 14 2 613.4 45 58.8 1.2 35 17.5 17.5 17.5 17.5 17.5 17.5 17.5 17.5 17.5 17.5 17.5 17.5 17.5 17.5 6.01 -3.85 -4.00 רופא ןווג ןוטב יפער ןייטשרקא-ןוטב ןבל רמג -ןוטב ןבל רמג תרבח ץע יומד םיכרואמ ןוטב יחירא SHERA -ןוטב ןבל רמג הנואס -3.82 -3.85 תרבח ץע יומד םיכרואמ ןוטב יחירא SHERA תוריש רוזא תוכירב רדח גו תומח םיזוק תיפנכ תיריצ תלד ןווגב רמילופמ תיפנכ תיריצ תלד ןווגב רמילופמ תיפנכ תיריצ ןבל ןווגב רמילופמ תיפנכ תיריצ תלד ןווגב רמילופמ תיפנכ תיריצ ןבל ןווגב רמילופמ תלד 14 6 20 1.50 693.10693.10 694.90 694.30 ינכט החונמ רדח 40 קלוחמ תיכוכז הקעמ - די זחאמ סבג חול םיריפל הדלפ תותלד תופוחמ ןבל םוינימולאב טוליש םיריפה דועי קק רוניצ ריווא תסינכל ןוניס תכרעמ ריווא 14 20 טכה םירפא תורוקמ תולמל הרקת 36/40 695.35 695.07 694.77 695.56 695.88 696.21 696.09 695.88 695.65 695.76 696.00 696.10 695.75 -3.85 +2.10 3.65 6.43 +3.00 2.52 2.49 4.32 4.62 +4.32 3.92 +3.25 2.15 +2.18 +2.15 +0.85 -1.45 +0.40 +2.18 +3.92 +0.00 -5.35 0.00 -1.04 -0.45 -1.05 +0.00 -0.02 1.50 םוינימולא חול 2.10 -1.70 רצונש גגה ללח תריגס םיקולב ריק םע רצונש גגה ללח תריגס ןוטב םע יליפורפ RHS 20 יליפורפ RHS יליפורפ RHS 20 יליפורפ RHS יליפורפ RHS 20 20 180 177 177 177 ינבלמ ליפורפ 15/5 ךסמ ריק - לילק תרבח רופא ןווגב םוינימולא יליפורפ ןאסיטנא תיכוכז ההכ הדוברו תמסוחמ ךסמ ריק - לילק תרבח רופא ןווגב םוינימולא יליפורפ ןאסיטנא תיכוכז ההכ הדוברו תמסוחמ ךסמ ריק - לילק תרבח רופא ןווגב םוינימולא יליפורפ ןאסיטנא תיכוכז ההכ הדוברו תמסוחמ 4.62 +3.70 +3.25 ץוח חיט - רופא ןווג ןוטב 0.00 סבגל םיבצינ סבג חול סבגל םיבצינ סבג חול סבגל םיבצינ -1.05 -1.04 -1.05 -1.05 +2.40 3.85 יליפורפ RHS יליפורפ RHS 20 20 יליפורפ RHS יליפורפ RHS 20 20 5.68 -1.05 -0.45 -1.04 ןלצרופ טינרג ןוטב לוח יולימ םושמוש ןלצרופ טינרג RHS 200 800 mm RHS 200 800 mm לק הקעמ - םע תיכוכז הטסורנ תיצקורטסנוק קק 693.09693.09 קק קק ןוטב ריק 20 שיש גניפוק םע ןוטב ריק שיש גניפוק םע 45 556 15 30 45 703 15 30 302 168 215 45 176 173 174 45 204 152 213 15 30 340 15 20 155 152 155 ינבלמ ליפורפ 15/5 ינבלמ ליפורפ 15/5 ינבלמ ליפורפ 15/5 ינבלמ ליפורפ 15/5 ינבלמ ליפורפ 15/5 ינבלמ ליפורפ 15/5 םודא ץעמ ץע קד ןולמה יבול 187 ןולמה יבול 67 םוח ןווג םיקירב ןבא םוח ןווג םיקירב ןבא רופא ןווג ןוטב יפער ןייטשרקא14 9 14 10 14 14 14 11פ ןולמה יבול 187 מ חוריא רדח 24 הצחר -ןוטב ןבל רמג ףצקומ ןרטסילופ -ןוטב ןבל רמג תרבח ץע יומד םיכרואמ ןוטב יחירא SHERA 14 90 תיריצ החיתפב תיפנכ תלד -3.85 -4.20 -0.45 3.25 3.25 3.25 7.18 3.70 3.25 3.70 5.64 7.18 3.70 6.61 5.71 3.70 -0.02 35 280 60 45 616 45 14 18 14 13 םע םוינימולא םיליפורפ רדג ספטמ ץע לק הקעמ - םע תיכוכז הטסורנ תיצקורטסנוק ע ןוטב ףופ ןוטב ףופ ןוטב בלושמ ץע לספס ןוטב בלושמ ץע לספס הפשא חפ 696.79696.79 698.15698.15 35 280 60 43 42 110 קק 694.77 695.22 695.52 696.59 693.58 697.24 697.09 697.40 14 12 14 15 14 16 14 17פ 14 19 +2.15 2.15 +3.65 +2.15 -0.02 0.00 +0.12 1.80 1.50 -4.20 -3.85 -4.20 1.50 +0.40 1.80 2.58 2.15 0.00 -0.02 רופא ןווג ןוטב יפער ןייטשרקאיליפורפ RHS 20 20 יליפורפ RHS -2.03 ץוח חיט - רופא ןווג -ןוטב ןבל רמג קולב ןבל חיט םודא ץעמ ץע קד תינגא ןלצרופ טינרג שיגנ הלבק קפלד +1.05 0.75 -0.45 -0.45 -1.67 -1.05 -1.04 698.15698.15 697.00697.00 698.15698.15 696.83696.83 יליפורפ RHS 20 20 יליפורפ RHS רופא ןווג ןוטב יפער ןייטשרקאלק הקעמ - םע תיכוכז הטסורנ תיצקורטסנוק ד"סב סמ ןויליג :' טקיורפה תחנמ המגמה תזכר הללכמה םש טוטרסו ןוונכת ךיראת 28/05/2024 הדובע ךתח 10 דא ביברז הרש דא ןייטשלוג תירוא יטנסרק הליא עבשילא תונב 50 ךתח A 50 הדובע B תונויליג תמישר מ"נק ןויליג םש מ ס טפסנוק ןויליג 1 1:250 הביבס םישרת הדמעהו 2 1:100 חטש חותיפ 3 1:100 חטש חותיפ 4 1:100 תויגוציי תותיזח 5 1:100 יגוצי ךתח 6 1:50 1תמוק הדובע- 7 1:50 עקרק תמוק הדובע 8 1:50 הדובע גג תמוק 9 1:50 הדובע ךתח 10 1:50 הדובע תותיזח 11 1:100 היצקורטסנוק 12 1:20 תוגרדמ ןוילג 13 1:10 םיטרפ 14 היצטנזרפ 15
שרגמ לובג קק ט 6.12 +7.48 2.18 םוח ןווג םיקירב ןבא תרבח ץע יומד םיכרואמ ןוטב יחירא SHERA רופא ןווג ןוטב יפער ןייטשרקאםוח ןווג םיקירב ןבא תרבח ץע יומד םיכרואמ ןוטב יחירא SHERA ץוח חיט - רופא ןווג רופא ןווג ןוטב יפער ןייטשרקאתרבח ץע יומד םיכרואמ ןוטב יחירא SHERA יליפורפ RHS 20 20 תרבח ץע יומד םיכרואמ ןוטב יחירא SHERA רופא ןווג ןוטב יפער ןייטשרקאתיריצ החיתפב תיפנכ +3.70 7.18 +4.01 3.70 3.70 3.25 3.25 3.70 6.01 6.61 3.70 3.25 3.25 לספס לספס ןוטב ףופ ןוטב ףופ לק הקעמ - םע תיכוכז הטסורנ תיצקורטסנוק תיריק הרואת ץוח+2.40 2.40 0.75 +0.75 2.40 +0.90 היצירב ירפכ םגד תיכוכז ןולח סקלפירט ןולח םע לילק ליפורפ 3400 סקלפירט ןולח םע לילק ליפורפ 3400 ןוטב ףופ ןוטב בלושמ ץע לספס 20 20 20 20 20 20 20 20 20 20 20 20 20 20 20 696.88 696.95 696.98 1.50 -0.20 0.00 -0.20 0.00 -0.20 0.00 -0.20 0.00 -0.20 0.00 -0.20 +0.00 -0.20 0.00 -0.20 0.00 5.64 3.64 3.25 3.64 3.25 יופיח תלחתה םוח םיקירב ןוטב רדג םוח םיקירב ןוטב רדג יעבט ץע ידומע 5/10 יעבט ץע ידומע 5/10 תיריק הרואת ץוחןטלוק 10 20 20 20 20 20 20 20 20 20 20 20 20 20 20 20 20 20 20 20 20 20 20 20 20 20 20 20 20 20 20 20 20 20 20 20 20 20 20 20 20 20 20 יופיח תלחתה יופיח תלחתה תלחתה 292 133 211 133 700 ךסמ ריק - לילק תרבח רופא ןווגב םוינימולא יליפורפ ןאסיטנא תיכוכז ההכ הדוברו תמסוחמ 128 5 38 205 15 15 15 15 15 15 15 15 15 15 15 15 15 15 15 15 15 15 15 15 15 יופיח לגרס דרוב טנמצ יופיח לגרס םיקירב ןבא 3.70 קק 697.36 697.55 697.42 697.31 697.27 697.57 697.92 698.12 קק קק קק קק קק 3.70 3.25 7.48 1.80 698.10 698.10 -1.49 -1.65 -1.45 -1.45 2.40 -2.85 -2.50 698.10 ןיניב וק שרגמ לובג -2.03 0.40 0.40 רופא ןווג ןוטב יפער ןייטשרקא- רופא ןווג ןוטב יפער ןייטשרקאץוח חיט - רופא ןווג תרבח ץע יומד םיכרואמ ןוטב יחירא SHERA תרבח ץע יומד םיכרואמ ןוטב יחירא SHERA ץוח חיט - רופא ןווג ןבל חיט ןוטב ףופ ןוטב ףופ ןוטב ףופ ןוטב ףופ ןוטב ףופ +6.01 +3.70 7.48 3.70 7.48 697.00 696.65 696.25 695.25 694.25 -2.03 1.50 0.40 ןבל חיט ע ע ת ת ןוטב ףופ ןוטב ףופ הפשא חפ הפשא חפ תיריצ החיתפב תיפנכ תלד קק קק המדא עצמ לכ אשד ע ריק גניפוק -ןוטב ןבל רמג תרגסמ תיכוכז הזזה תלד םוינימולא סקלפירט ןולח םע לילק ליפורפ 3400 סקלפירט ןולח םע לילק ליפורפ 3400 סקלפירט ןולח םע לילק ליפורפ 3400 לק הקעמ - םע תיכוכז הטסורנ תיצקורטסנוק -0.22 -0.02 -0.22 -0.02 לק הקעמ - םע תיכוכז הטסורנ תיצקורטסנוק 696.94 696.90 693.16693.16 -0.22 -0.02 2.58 2.78 -0.20 +0.00 -4.05 -3.85 -4.05 -3.85 ןוטב בלושמ ץע לספס -ןוטב ןבל רמג תיריק הרואת ץוחההובג רדג -2.03 -2.10 +3.25 3.25 ןטלוק ןטלוק רורווא 20 20 20 20 20 20 20 20 20 20 20 20 20 20 20 20 20 20 20 20 20 20 20 20 20 20 25 20 20 20 ןבא הפוחמ ןוטבךמת ריק יופיח תלחתה 692.33 692.62 692.17 692.08 693.61 694.04 694.85 695.31 694.89 694.36 695.16 694.17 קק קק קק קק ןוטב ףופ יופיח לגרס דרוב טנמצ ד"סב סמ ןויליג :' טקיורפה תחנמ המגמה תזכר הללכמה םש טוטרסו ןוונכת ךיראת 28/05/2024 הדובע תותיזח 11 דא ביברז הרש דא ןייטשלוג תירוא יטנסרק הליא עבשילא תונב 50 הדובע תיברעמ תלחתה תונויליג תמישר מ"נק ןויליג םש מ ס טפסנוק ןויליג 1 1:250 הביבס םישרת הדמעהו 2 1:100 חטש חותיפ 3 1:100 חטש חותיפ 4 1:100 תויגוציי תותיזח 5 1:100 יגוצי ךתח 6 1:50 1תמוק הדובע- 7 1:50 עקרק תמוק הדובע 8 1:50 הדובע גג תמוק 9 1:50 הדובע ךתח 10 1:50 הדובע תותיזח 11 1:100 היצקורטסנוק 12 1:20 תוגרדמ ןוילג 13 1:10 םיטרפ 14 היצטנזרפ 15
63 62 61 60 42 58 41 51 52 71 54 49 48 45 46 65 66 69 70 68 43 10 40 17 14 12 RHS RHS 10 RHS 10 RHS 10 RHS 10 RHS 10 50 34 44 45 46 69 67 43 10 59 33 36 32 26 30 31 23 21 11 20 18 27 13 17 14 12 RHS 20000 200 mm RHS 10000 200 mm RHS 15000 200 mm RHS 10000 200 mm RHS 10000 200 mm RHS 10000 200 mm RHS 15000 200 RHS 10000 200 63 62 61 60 58 41 51 52 71 72 A 65 66 70 םוינימולא תורוק תלוגרפ 20/20 RHS 10 RHS 10 77 75 76 79 81 28 10 50 RHS 50 30 RHS 50 30 12 13 10 11 16 15 17 18 20 34 36 32 25 24 30 31 22 23 35 21 14 78 79 77 75 76 26 28 32 36 RHS 200 200 RHS 200 800 mm RHS 50 30 RHS 200 800 mm RHS 10000 200 mm םוינימולא תורוק תלוגרפ 20/20 RHS 15000 200 mm ןופצ ד"סב סמ ןויליג :' טקיורפה תחנמ המגמה תזכר הללכמה םש טוטרסו ןוונכת ךיראת 28/05/2024 היצקורטסנוק 12 דא ביברז הרש דא ןייטשלוג תירוא יטנסרק הליא עבשילא תונב 100 היצקורטסנוק סונימ 100 עקרק תמוק 100 גגג תמוק היצקורטסנוק תונויליג תמישר מ"נק ןויליג םש מ ס טפסנוק ןויליג 1 1:250 הביבס םישרת הדמעהו 2 1:100 חטש חותיפ 3 1:100 חטש חותיפ 4 1:100 תויגוציי תותיזח 5 1:100 יגוצי ךתח 6 1:50 1תמוק הדובע- 7 1:50 עקרק תמוק הדובע 8 1:50 הדובע גג תמוק 9 1:50 הדובע ךתח 10 1:50 הדובע תותיזח 11 1:100 היצקורטסנוק 12 1:20 תוגרדמ ןוילג 13 1:10 םיטרפ 14 היצטנזרפ 15
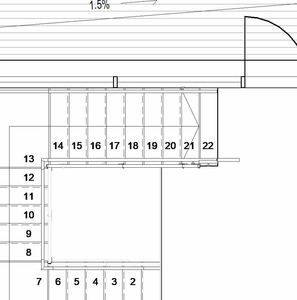
13 13 0.00 -1.58 םיקולב ריקב תוגרדמה ללח תריגס זחאמ H=90 הטסורינ רוניצ Ø ריקל ןגועמ ןבל רוחש שיש רופא רוחש שיש יחירא רופא רוחש שיש יחירא ןבל רוחש שיש סבג חול םוינימולא ילגרס םיקולב ריקב תוגרדמה ללח תריגס םיקולב ריק רופא רוחש שיש יחירא ןבל רוחש שיש סבג חול די זחאמ H=90 הטסורינ רוניצ 4 ריקל ןגועמ לק הקעמ - הטסורנ תיצקורטסנוק םע תיכוכז זחאמ H=90 הטסורינ רוניצ Ø ריקל ןגועמ םוינימולא ילגרס לאנפ חיט 13 95 133 158 םיקולב ריקב תוגרדמה ללח תריגס די זחאמ H=90 הטסורינ רוניצ Ø ריקל ןגועמ זחאמ H=90 הטסורינ רוניצ Ø ריקל ןגועמ רופא רוחש שיש יחירא -ןוטב ןבל רמג רופא רוחש שיש יחירא -3.85 -1.58 תוגרדמ רפסמ 22 םור 18 -1.86 109 ןבל רוחש שיש רופא רוחש שיש יחירא ןבל רוחש שיש לק הקעמ - הטסורנ תיצקורטסנוק םע תיכוכז זחאמ H=90 הטסורינ רוניצ ריקל ןגועמ 20 -A A -A C C C C -1.58 -2.63 C-C C-C 110 156 זחאמ H=90 הטסורינ רוניצ Ø ריקל ןגועמ 112 232 112 130 26 די זחאמ H=90 הטסורינ רוניצ 4 ריקל ןגועמ די זחאמ H=90 הטסורינ רוניצ Ø ריקל ןגועמ זחאמ H=90 הטסורינ רוניצ Ø ריקל ןגועמ לק הקעמ - הטסורנ תיצקורטסנוק םע תיכוכז 40 -2.63 156 -A -A C C C -3.68 26 110 156 112 130 112 די זחאמ H=90 הטסורינ רוניצ 4 ריקל ןגועמ די זחאמ H=90 הטסורינ רוניצ ריקל ןגועמ 40 די זחאמ H=90 הטסורינ רוניצ Ø ריקל ןגועמ לק הקעמ - הטסורנ תיצקורטסנוק םע תיכוכז םוינימולא ילגרס ןבל רוחש שיש רופא רוחש שיש יחירא ןלצרופ טינרג לוח יולימ םושמוש 0.00 רופא רוחש שיש יחירא ןבל רוחש שיש 17 3 26 15 חיט חיט חיט -ןוטב ןבל רמג הקלחה דגנ סופסח הקלחה דגנ סופסח רופא רוחש שיש יחירא ןבל רוחש שיש ןלצרופ טינרג לוח יולימ םושמוש -ןוטב ןבל רמג חיט 26 -ןוטב ןבל רמג חיט ןבל רוחש שיש -3.68 -3.85 8 X 26 70 רופא רוחש שיש יחירא ןבל רוחש שיש -ןוטב ןבל רמג סבג חול זחאמ H=90 הטסורינ רוניצ ריקל ןגועמ די זחאמ H=90 הטסורינ רוניצ 4 ריקל ןגועמ רוביחל ליפורפ די זחאמ ןוגיע הטזור ד"סב סמ ןויליג :' טקיורפה תחנמ המגמה תזכר הללכמה םש טוטרסו ןוונכת ךיראת 28/05/2024 תוגרדמ ןוילג 13 דא ביברז הרש דא ןייטשלוג תירוא יטנסרק הליא עבשילא תונב 20 C C 20 B - B 20 A -A 20 עקרק תמוק תוגרדמ תינכות 20 המוק תוגרדמ תינכות -1 C טרפ הגרדמ - הפצרל רוביח B טרפ תיסופיט הגרדמ טרפ A טרפ הנושאר הגרדמ טרפ 10 הגרדמה בחור טרפ תונויליג תמישר מ"נק ןויליג םש מ ס טפסנוק ןויליג 1 1:250 הביבס םישרת הדמעהו 2 1:100 חטש חותיפ 3 1:100 חטש חותיפ 4 1:100 תויגוציי תותיזח 5 1:100 יגוצי ךתח 6 1:50 1תמוק הדובע- 7 1:50 עקרק תמוק הדובע 8 1:50 הדובע גג תמוק 9 1:50 הדובע ךתח 10 1:50 הדובע תותיזח 11 1:100 היצקורטסנוק 12 1:20 תוגרדמ ןוילג 13 1:10 םיטרפ 14 היצטנזרפ 15
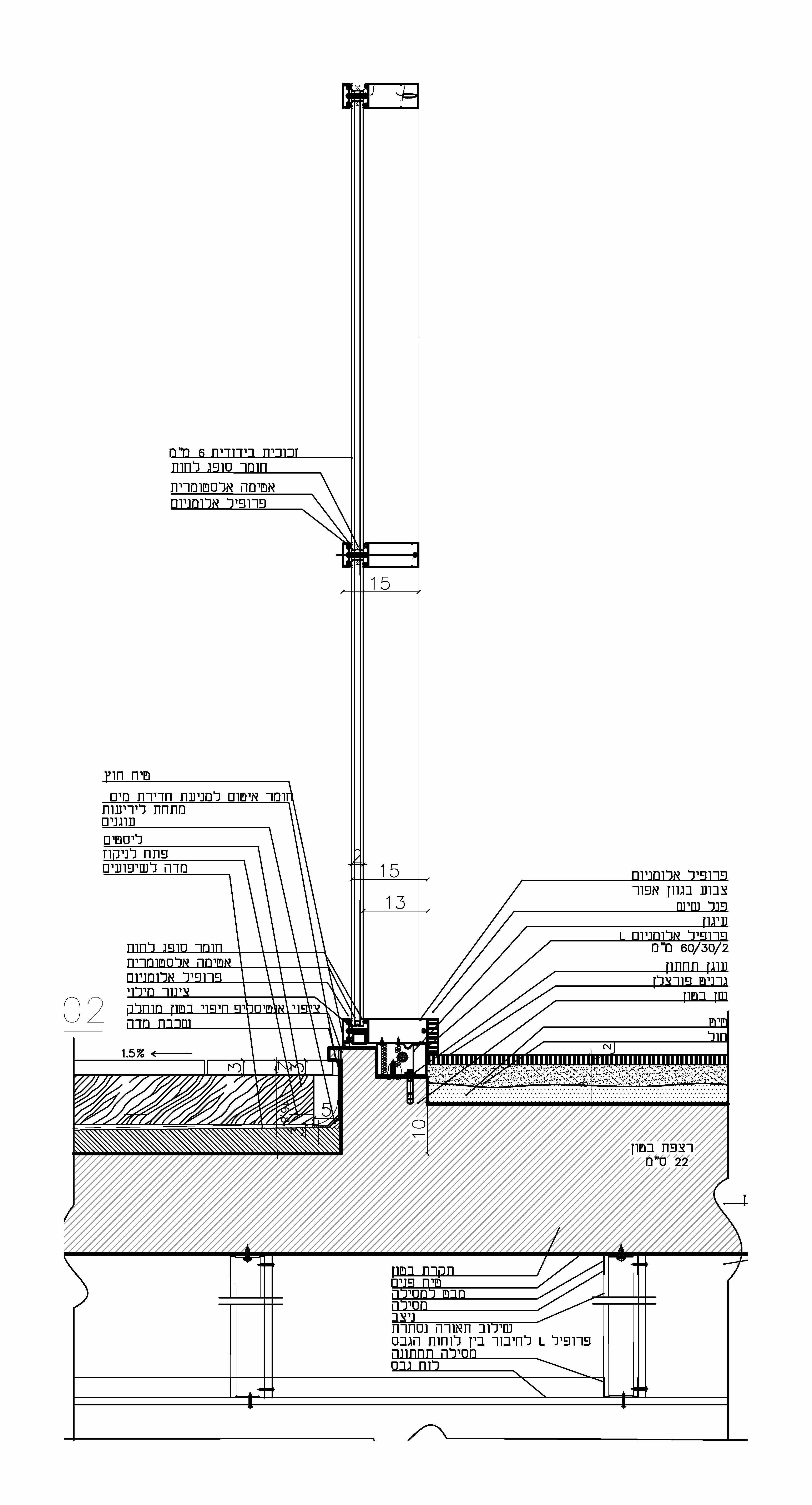
תרבח ץע יומד םיכרואמ ןוטב יחירא SHERA םוינימולא חול תיטנמצ הצברה םינפ ץוח ליפורפ - קותינ ליפורפ תבלתשמ ןבא -5.35 -ןוטב ןבל רמג ףצקומ ןרטסילופ ץוח חיט - רופא ןווג -ןוטב ןבל רמג המדא קדוהמ עצמ קדוהמ עצמ -3.89 חיטה תריגסל ליפורפ ןולעמ תוגמוא םע סבג תכמנה 10 ףצקומ ןרטסילופ תוקלורו םיעופישל הדמ הקלור 5/5 הקלור 5/5 זקנמ ףער לש זוקינ תלעת קיטסמ רבליסמוטיב םע הפסכה חיט םע הריגס ליפורפ גרוב 4.34 החונמ רדח 20 יליפורפ RHS 20 20 םינפ ץוח ןוילע שירמ 5/5 ןוילע שירמל ספת סכרל רורווא תעירי בכורל ספת בכור 7.44 6.81 רופא ןווג ןוטב יפער ןייטשרקאחול חצמ זגרא תורוק RHS 100 50 זקנמ ףער לש זוקינ תלעת זקנמ ףער תינמוטיב העירי תינמוטיב העירי יליפורפ RHS יליפורפ RHS 20 20 תוגמוא םע סבג תכמנה RHS 200 200 20 3 12 11 3 3 20 2 5 20 3 21 -ןוטב ןבל רמג -ןוטב ןבל רמג 20 םינפ ץוח קדוהמ עצמ קדוהמ עצמ 0.00 0 12 3 יליפורפ RHS ןוילע שירמ 5/5 ןוילע שירמל ספת יליפורפ RHS 20 20 סכרל רורווא תעירי בכורל ספת בכור תוגמוא םע סבג תכמנה תוגמוא םע סבג תכמנה RHS 200 200 +6.00 יליפורפ RHS 20 20 יליפורפ RHS חול OSB תינמוטיב העירי רופא ןווג ןוטב יפער ןייטשרקאRHS 30 50 יליפורפ RHS 20 יליפורפ RHS חול OSB תינמוטיב העירי רופא ןווג ןוטב יפער ןייטשרקאתוגמוא םע סבג תכמנה זקנמ ףער לש זוקינ תלעת RHS 200 200 RHS 200 200 6.12 +6.05 6.36 - ליפורפ ליפורפ תרבח ץע יומד םיכרואמ ןוטב יחירא SHERA םוינימולא חול ףצקומ ןרטסילופ חול חצמ תישאר הרוקב הכימתל ןתיווז הרוקב תופסונ תוכימת לש רוביחלו תיטנמצ הצברה זגרא תורוק גרוב RHS 100 50 ץע תרוק חול OSB תינמוטיב העירי הלעתל תיתשת ליפורפ זקנמ ףער לש זוקינ תלעת זקנמ ףער יליפורפ RHS 20 יליפורפ RHS חול OSB תינמוטיב העירי רופא ןווג ןוטב יפער ןייטשרקאהקיצי תמלשה - ליפורפ קדוהמ עצמ ןלצרופ טינרג לוח יולימ םושמוש -ןוטב ןבל רמג ןבל חיט קולב ףצקומ ןרטסילופ םיחיראה תקבדהל טלמ קדוהמ עצמ ףוציר םאות עוקש לנפ המדא המדא המדא עוקש לנפ ליפורפ קיטסמ רבליסמוטיב םע הפסכה ליפורפ גרוב -3.85 -3.87 חוריא רדח תוקלורו םיעופישל הדמ ץע תורוק םודא ץעמ ץע קד 2 11 20 הטזורינמ טומ םינפ ץוח סבג חול ןבל חיט ןוגיע הטזור 2 ץוח חיט - רופא ןווג ףצקומ ןרטסילופ קולב ןבל חיט הקלור 5/5 זקנמ ףער לש זוקינ תלעת ליפורפ גרוב קיטסמ רבליסמוטיב םע הפסכה 1.50 +0.40 -0.45 -0.45 -1.05 -1.04 סבגל םיבצינ זחאמ הדובר תיכוכז תיכוכזה ןוגיעל פילק 20 6 1 5 10 הקלור 5/5 הקלור 5/5 זקנמ ףער לש זוקינ תלעת קיטסמ רבליסמוטיב םע הפסכה ליפורפ גרוב 4.34 5.02 +5.10 החונמ רדח תוגמוא םע סבג תכמנה ףצקומ ןרטסילופ זקנמ ףער לש זוקינ תלעת זקנמ ףער הרבה טומ םוא הבייש טכה םירפא תורוקמ תולמל הרקת 36/40 M6 הגרבה טומ טכה םירפא& הרקתל ןוגיע זילפ לביד ןוטב תרקת 4 24 2 ןוטב תרקתל ןגועמ דודיב -ןוטב ןבל רמג -ןוטב ןבל רמג 3.68 ןולמה יבול 4.23 3.21 חפ חול חצמ זגרא תורוק הרוק ץע10/20 RHS 100 50 חול OSB תינמוטיב העירי זקנמ ףער זקנמ ףער לש זוקינ תלעת הלעתל תיתשת ליפורפ םוח ןווג םיקירב ןבא השבי היילתב םיקירבל חוורמ 20 ףצקומ ןרטסילופ חיט רופא ןווג ןוטב יפער ןייטשרקא15 1 15 10 3 תרבח ץע יומד םיכרואמ ןוטב יחירא SHERA םוינימולא חול ףצקומ ןרטסילופ תיטנמצ הצברה RHS 200 200 - ליפורפ תוגמוא םע סבג תכמנה הקיצי תמלשה ףצקומ ןרטסילופ יליפורפ RHS 20 20 יליפורפ RHS חול OSB תינמוטיב העירי רופא ןווג ןוטב יפער ןייטשרקא25 םינפ ץוח רופא ןווג ןוטב יפער ןייטשרקאתינמוטיב העירי יליפורפ RHS 20 20 חול OSB תוגמוא םע סבג תכמנה תישאר הרוקב הכימתל ןתיוז RHS 30 50 RHS 200 200 חול חצמ זגרא תורוק זגרא תורוק RHS 100 50 זקנמ ףער לש זוקינ תלעת זקנמ ףער גרוב ץע תרוק - ליפורפ םינגוע תוגמוא םע סבג תכמנה 20 3 2 3 23 2 3.99 ןולמה יבול לוחכ סבג עבצ 3 9 14 12 -0.02 0.25 +0.22 0.12 ףצקומ ןרטסילופ תוקלורו םיעופישל הדמ תינמוטיב העירי תינכטואיג העירי םישרוש תמסוח העירי ץצח תינכטואיג העירי המדא יולימ ןוטב ריק 20 שיש גניפוק םע תוקלורו םיעופישל הדמ קיטסמ רבליסמוטיב םע הפסכה ליפורפ גרוב תינמוטיב העירי תינכטואיג העירי הקלור 5/5 םודא ץעמ ץע קד ץע תורוק 1.2 58.8 20 1 10 10 2 חפ חול חצמ 5.62 5.21 5.65 זגרא תורוק הרוק ץע10/20 RHS 10 50 טכה םירפא תורוקמ תולמל הרקת 36/40 קחרמל ספילק רגיל 80 םיריצ ןיב רגילל היצפוא 55 טכה םירפא M הגרבה טומ טכה םירפא ד"סב סמ ןויליג :' טקיורפה תחנמ המגמה תזכר הללכמה םש טוטרסו ןוונכת ךיראת 28/05/2024 םיטרפ 14 דא ביברז הרש דא ןייטשלוג תירוא יטנסרק הליא עבשילא תונב - טרפחיט לש יופיחל טנמצ יופיח ןיב רוביח 5 - טרפחיט ץוח יופיח םע םינפל ץוח טרפ 7 - טרפחוטש גג הצק - טרפחוטש גג רוביחו סכר 10 - טרפםינפל ץוח ךסמ ריק 11 - טרפךסמ ריק םע םיקירב רוביח 14 - טרפךסמ ריק םע םינפו ץוח - טרפלודג סכר טרפ 1 - טרפיכנאו יקפוא רוביח גג 3 - טרפריק םע םיפער גג הצק רוביח 90 - טרפחיט יופיח םינפל ץוח טרפ 18 - טרפהקעמ טרפ 6 - טרפרוביח תוגג + חוטש גג תונויליג תמישר מ"נק ןויליג םש מ ס טפסנוק ןויליג 1 1:250 הביבס םישרת הדמעהו 2 1:100 חטש חותיפ 3 1:100 חטש חותיפ 4 1:100 תויגוציי תותיזח 5 1:100 יגוצי ךתח 6 1:50 1תמוק הדובע- 7 1:50 עקרק תמוק הדובע 8 1:50 הדובע גג תמוק 9 1:50 הדובע ךתח 10 1:50 הדובע תותיזח 11 1:100 היצקורטסנוק 12 1:20 תוגרדמ ןוילג 13 1:10 םיטרפ 14 היצטנזרפ 15 20 - טרפתולמל תרקת 12 - טרפהסינכ ןוגג 15 - טרפדרובטנמצ תוחול הפוחמ ריק םע םיפער גג רוביח 13 - טרפךסמ ריק 16 - טרפךסמ ריק םע גג הצק 17 - טרפתינגא תינגא הצק 19 - טרפיכנא גג הצק רוביח
CC CC דיחיל חוריא רדח 24 דיחיל חוריא רדח 23 ןויקינו הקוזחת מ ןסחמ מ תינרדחל 11 ןולעמ םיתוריש 1.5 % % 1.5 % 1.5 % 1.5 % 1.5 % ממ - עונלוק רדח 17 64 62 60 42 58 51 52 71 54 49 48 44 45 46 69 70 67 43 10 17 12 הצחר 6 הצחר הטיווס רדח 13 הטיווס רדח 27 ח הצחר הטיווס רדח 13 הטיווס רדח 27 הצחר 693.15693.15 חוריא רדח 24 תילעמ הצחר תוגרדמ רפסמ 22 םור 18 ISH 20ןוטב 15יולימ חוריא רדח 25 הצחר חוריא רדח 24 הצחר חוריא רדח 26 הצחר חוריא רדח 25 הצחר חוריא רדח 24 ח הצחר חוריא רדח 24 הצחר -3.85 B C D A CC CC ןופצ ןולמה יבול 67 מ לכוא רדח 58 חבטמ 16 מ ח תודווזמ להנמ םע רצחל האיצי םיזוק 184 םידבוע 10 אפס יבול 21 מ תומח תוכירב רדח גו םיזוק 43 ש שיגנ םישנ םירבג הרוחס ןולעמ רצחל האיצי 145 תילעמ םילופיט רדח החונמ רדח 40 םילופיט רדח 13 הסינכ 0.00 ץע ילספס םילופיט תטימ ד"סב סמ ןויליג : טקיורפה תחנמ המגמה תזכר הללכמה םש טוטרסו ןוונכת :ךיראת 28/05/2024 היצטנזרפ 15 דא ביברז הרש דא ןייטשלוג תירוא יטנסרק הליא עבשילא תונב 100 1תמוק יגוצי100 יגוצי עקרק תמוק 3D -1 תונויליג תמישר מ"נק ןויליג םש מ ס טפסנוק ןויליג 1 1:250 הביבס םישרת הדמעהו 2 1:100 חטש חותיפ 3 1:100 חטש חותיפ 4 1:100 תויגוציי תותיזח 5 1:100 יגוצי ךתח 6 1:50 1תמוק הדובע- 7 1:50 עקרק תמוק הדובע 8 1:50 הדובע גג תמוק 9 1:50 הדובע ךתח 10 1:50 הדובע תותיזח 11 1:100 היצקורטסנוק 12 1:20 תוגרדמ ןוילג 13 1:10 םיטרפ 14 היצטנזרפ 15
ד"סב סמ ןויליג :' טקיורפה תחנמ המגמה תזכר הללכמה םש טוטרסו ןוונכת ךיראת 28/05/2024 היצטנזרפ 17 דא ביברז הרש דא ןייטשלוג תירוא יטנסרק הליא עבשילא תונב תונויליג תמישר מ"נק ןויליג םש מ ס טפסנוק ןויליג 1 1:250 הביבס םישרת הדמעהו 2 1:100 חטש חותיפ 3 1:100 חטש חותיפ 4 1:100 תויגוציי תותיזח 5 1:100 יגוצי ךתח 6 1:50 1תמוק הדובע- 7 1:50 עקרק תמוק הדובע 8 1:50 הדובע גג תמוק 9 1:50 הדובע ךתח 10 1:50 הדובע תותיזח 11 1:100 היצקורטסנוק 12 1:20 תוגרדמ ןוילג 13 1:10 םיטרפ 14 היצטנזרפ 15
ד"סב סמ ןויליג :' טקיורפה תחנמ המגמה תזכר : הללכמה םש טוטרסו ןוונכת ךיראת 28/05/2024 היצטנזרפ 18 דא ביברז הרש דא ןייטשלוג תירוא יטנסרק הליא עבשילא תונב ןוטב יפער הדלפ תיצקורטסנוק עקרק תמוק סונימ המוק תונויליג תמישר מ"נק ןויליג םש מ ס טפסנוק ןויליג 1 1:250 הביבס םישרת הדמעהו 2 1:100 חטש חותיפ 3 1:100 חטש חותיפ 4 1:100 תויגוציי תותיזח 5 1:100 יגוצי ךתח 6 1:50 1תמוק הדובע- 7 1:50 עקרק תמוק הדובע 8 1:50 הדובע גג תמוק 9 1:50 הדובע ךתח 10 1:50 הדובע תותיזח 11 1:100 היצקורטסנוק 12 1:20 תוגרדמ ןוילג 13 1:10 םיטרפ 14 היצטנזרפ 15 ינכט גג
ד"סב סמ ןויליג טקיורפה תחנמ המגמה תזכר הללכמה םש טוטרסו ןוונכת ךיראת 28/05/2024 היצטנזרפ 19 דא ביברז הרש דא ןייטשלוג תירוא יטנסרק הליא עבשילא תונב תינוציח תספרמ ןולמה יבול אפס רוזא ץוח ןוניג תוינח תונויליג תמישר מ"נק ןויליג םש מ ס טפסנוק ןויליג 1 1:250 הביבס םישרת הדמעהו 2 1:100 חטש חותיפ 3 1:100 חטש חותיפ 4 1:100 תויגוציי תותיזח 5 1:100 יגוצי ךתח 6 1:50 1תמוק הדובע- 7 1:50 עקרק תמוק הדובע 8 1:50 הדובע גג תמוק 9 1:50 הדובע ךתח 10 1:50 הדובע תותיזח 11 1:100 היצקורטסנוק 12 1:20 תוגרדמ ןוילג 13 1:10 םיטרפ 14 היצטנזרפ 15 תמייק היפרגופוט עצומ חטש חותיפ תמייק היפרגופוט

Turn static files into dynamic content formats.

Create a flipbook
Issuu converts static files into: digital portfolios, online yearbooks, online catalogs, digital photo albums and more. Sign up and create your flipbook.