Replacement of vapor compression system of domestic refrigerator by an ejector refrigeration system

Page 1

International Research Journal of Engineering and Technology (IRJET) e ISSN:2395 0056

Volume: 09 Issue: 06 | June 2022 www.irjet.net p ISSN:2395 0072

"Replacement of vapor compression system of domestic refrigerator by an ejector refrigeration system"

***

Abstract: Ejector Refrigeration System as name indicated that it uses the ejector as the main replacement for the compressorreferstoconventionalrefrigerationsystems.

Ejector Refrigeration system is heat driven process; it uses low grade heat as power source for refrigeration systems. Wasteprocessheatandwastesteamiscommoninindustryandituseforheating,cleaningandabsorptioncoolingcycles alongwithotheruses.

EjectoristhecriticalcomponentoftheEjectorRefrigerationSystems.So,Designof ejectorplayanimportantroleinERS. Ejectorhasfewermovingpartscomparetothecompressor.

Anejectorisadeviceinwhichahigh velocityjetoffluidmixeswithasecondfluidstream.Themixtureisdischargedintoa regionatapressurehigherthanthesourceofthesecondfluid.So,therewilllesswearofcomponents.

ERShelpinreductioninGlobalwarmingandGreenhouseEffectEmission.,SonowdaysweusingNaturalRefrigerantsuch ascarbondioxide,air,waterandammonia,havebeenusedasRefrigerantsincoolingsystems.

ItisbeenrequiredforcoolingiscommoninmanyIndustriesandhomerefrigerationtospacecooling.

The main aim of ERS is to use low grade heat to drive an ERS Cooling Systems. This is cycle is recently drawn renewed attentiondueitssimplicityofconstruction,ruggednessandfewmovingparts.

1. INTRODUCTION:

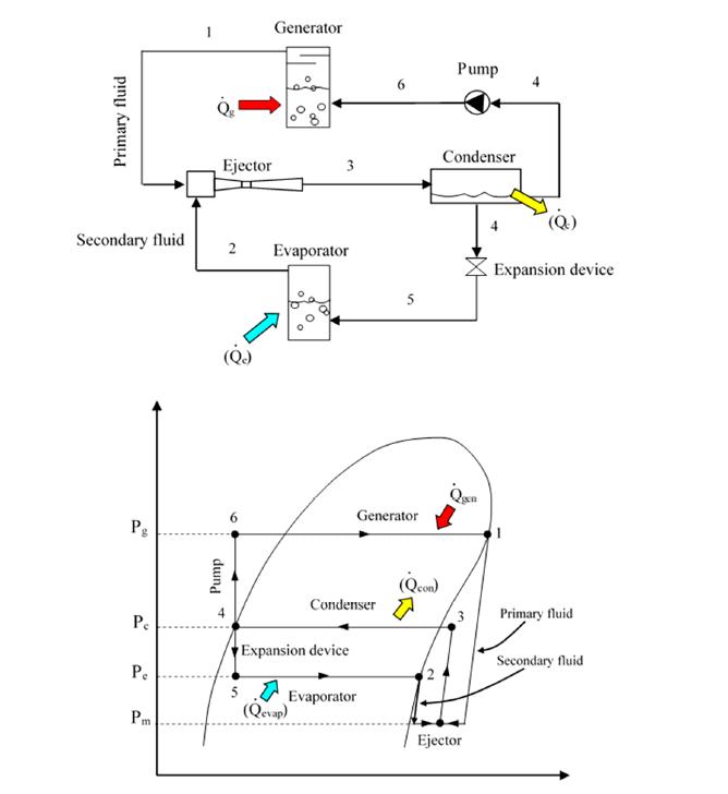
Anejectorrefrigerationsystemcanbeconsideredasamodificationofaconventionalvapor compressioncycle(VCC).An ejectortakestheplaceofacompressortopressurizetherefrigerantvaporflowingfromanevaporatoranddischargeitto a condenser. The conventional ejector refrigeration cycle. Working fluid is heated at a high pressure and temperature in thegenerator.High pressurerefrigerantvaporentersthenozzle.Workingfluidisthenacceleratedtoahighvelocityand entrains motive steam from the evaporator, resulting in a cooling effect. After that, mixed vapor steams are discharged from the nozzle to the condenser where they are cooled down and condensed to liquid fluids. A part of the liquid refrigerant returns to the evaporator through an expansion valve whereas the other part is pumped to the generator. Ejectorcoolingtechnologycanbeusedforairconditioningintrainsandlargebuildings.

Ejector is the critical component of the ejector. So, design of ejector plays a significant role in ERS. Ejector has fewer moving parts compared to the compressor. The main aim of the ERS is to use low grade heat to drive an ERS Cooling System. ERS helps in reducing Global warming and Greenhouse Effect Emission. However, ejector refrigeration systems always havea smaller coefficient of performance (COP) compared with that of vaporcompression systems, but itcan be morepracticalandeconomicalwhenwasteheat,solarenergy,orexhaustheatareusedtoprovideheattothegeneratorof anejectorsystem.

1.1 Problem Statement:

In a conventional vapor refrigeration system, Refrigerant leakage problems are more and the refrigerant used in vapor compression cycle is costly and toxic. The compressor used in the conventional system uses electrical energy for compressingtherefrigerantgas.TheCompressorusedisverynoisy.Thecompressormayfailduetoelectricalfailureand alsoduetohightemperatureandpressure.

© 2022,
|
7.529 | ISO
Certified Journal | Page1009
IRJET
Impact Factor value:
9001:2008

International Research Journal of Engineering and Technology (IRJET) e ISSN:2395 0056

1.2 Objective:

Themainpartoftheejectorrefrigerationsystemisejector.Inconventionalrefrigerationsystemweusecompressorthat utilize electrical energy. Ejector works like a mechanical compressor and can be used to increase the fluid pressure withoutanymovingparts.

Anejector basedcoolingsystemoffersseveraladvantagessuchasnomovingparts,efficientutilizationofthewasteheat andlowcost.So,theimprovedsystemperformancewillreduceenergyconsumptionaswellasreduceCO2emissions.

1.3 Scope:

Therearealotofbenefitsassociatedwiththeejectorrefrigerationsystemthatuseswasteheat.Toreducetheemissionof greenhousegases,specificallyCO2emissions.Thesystemisveryreliable,sotherunningandmaintenancecostisless.This ejectorrefrigerationsystemprovidesabenefitthattraditionalrefrigeratorsdonot,anon toxic,inflammableworkingfluid (R718i.e.,water).

1.4 Methodology:

Anejectorrefrigerationsystemcanbeconsideredasamodificationofaconventional vaporcompressioncycle(VCC).An ejectortakestheplaceofacompressortopressurizetherefrigerantvaporflowingfromanevaporatoranddischargeitto acondenser.

Working fluid is heated at a high pressure and temperaturein the generator. High pressure refrigerant vapor enters the nozzle.Workingfluidisthenacceleratedtoahighvelocityandentrainsmotivesteamfromtheevaporator,resultingina coolingeffect.Afterthat,mixedvaporsteamsaredischargedfromthenozzletothecondenserwheretheyarecooleddown and condensed to liquid fluids. A part of the liquid refrigerant returns to the evaporator through an expansion valve whereastheotherpartispumpedtothegenerator.

2. Why is an ejector preferred?

The air conditioning test performance of the ejector refrigerator based air conditioner (ERAC) was proposed under varioushotwatertemperatures,primarynozzlesizes,coolingloadsandair conditionedspacetemperatures.

ThiswastodemonstratethepracticaluseoftheERACinarealair conditioningapplicationunderthewarmambientwhile thesystemwasdrivenbyarelativelylowtemperatureheatsource.TheoptimalperformanceoftheERACworkingunder thethermalcomfortcondition(Tair con=25C)wasdemonstrated.

Volume: 09 Issue: 06 | June 2022 www.irjet.net p ISSN:2395 0072 © 2022, IRJET | Impact Factor value: 7.529 | ISO 9001:2008 Certified Journal | Page1010

International Research Journal of Engineering and Technology (IRJET) e ISSN:2395 0056

Volume: 09 Issue: 06 | June 2022 www.irjet.net p ISSN:2395 0072

Thefindingsofthispresentworkaresummarizedasfollows:

• For a certain hot water temperature and primary nozzle used, an increase in the cooling load caused the air conditionedspacetemperaturetobeincreased.However,thecoolingloadmustnotbetoohighwhenthethermal comfortconditionisconsidered.

• Foracertainhotwatertemperature,whentheprimarynozzlethroatwasenlarged,adecreaseintheTair conwas foundatidenticalcoolingload.However,usingabiggerprimarynozzlecausedadecreaseinthesystemCOP.

• For operating at the thermal comfort condition, initially, increasing the hot water resulted in increasing the systemCOPuntilitreacheditsmaximumvalue(optimalperformance).Later,thesystemCOPdecreasedwhenthe hot water continued to increase. Therefore, the optimal heat source for this particular working condition was determined.

• When operating at the thermal comfort condition, enlarging the primary nozzle throat required a lower Thot to producetheoptimalpointofoperation.However,aslightdecreaseinthesystemCOPwasfound.

• Achangeintheair conditionedspacetemperature significantlyaffectedtheoptimalperformance.Itwasevident thattheoptimalperformanceoftheERACwasachievedwithalowerThotandviceversa.

Theair conditioningtestsindicatedthehighpotentialoftheERACforrealoperation.

Theresultsareusefulforbeingareferencecasetofurtherdeveloptheejectorrefrigerationsystemforpracticaluse.

In“Energy Analysisof a Novel Ejector Compressor CoolingCycle Driven byElectricityand Heat” wesaw that Low grade heat is abundantly available as solar energy and as industrial waste heat which can be converted into cooling by the proposedEEVCRCsystemwhichhasbeenmodeled,compared,analyzed,andoptimizedusingEES.

The ejector model used in EES simulations of the system is a new analytical model which gives an on design optimal performanceofejectorsfortheavailableworkingconditions.

Thesystemgivesbetterperformancethanallthethreesystemsithasbeencomparedwith.

The sensitivity analysis found that the COP of the proposed system increases exponentially at lower condensation temperaturesandhigherevaporatortemperatures,makingitverysuitableforindustrialwater cooledsystemsandhigher temperaturecoolingapplications.

© 2022, IRJET | Impact Factor value: 7.529 | ISO 9001:2008 Certified Journal | Page1011

International Research Journal of Engineering and Technology (IRJET) e ISSN:2395 0056

Volume: 09 Issue: 06 | June 2022 www.irjet.net p ISSN:2395 0072

At 50C condenser temperature, the electrical COP of EEVCRC is 50% higher than conventional VCC while at 35C, the electrical COP of EEVCRC is 90% higher than conventional VCC. For the higher temperature heat source, and hence the highergeneratortemperatures,theelectricalCOPofEEVCRCincreaseslinearlywhilethereisnoincreaseintheelectrical COPforECS.

Itisfoundthatbyusingthesecondejectorattheupstreamoftheelectricalcompressor,theelectricalCOPisincreasedby 49.2%ascomparedtoasingleejectorsystem.At50Ccondensertemperature,theelectricalCOPofEVCCis67.7%higher thanconventionalVCCwhileat35C,theelectricalCOPofEVCCis85.6%higherthanconventionalVCC.

For the higher temperature heat source, and hence the higher generator temperatures, the electrical COP of EVCC increaseslinearly.

The relatively better global COP indicates that a small solar collector will be needed if this system is driven by solar thermalenergy.

In“ASteamEjectorRefrigerationSystemPoweredbyEngineCombustionWasteHeat”theenginecombustionwasteheat astheheatsourceisdrivenbythesteamejectorrefrigerationsystem,whichcanimprovetheenergyutilizationandsave cost,asisproposed.

Theeffectoftheshockwavestructureonthepumpingperformanceofthesteamejectoristhoroughlystudied.Theshock train and co velocity region locating in the mixing chamber and throat sections is defined as the pseudo shock region. Whiletheotherpartistheoblique shockregionconsistingofasinglenormalshockwaveandaseriesoftheobliqueshock waveslocatinginthesubsonicdiffusersection.Theshocktrain,thesinglenormalshockwaveandtheobliqueshockwave arethethreetypesofshockwaves,respectively.

Inconclusion,themainfindingsofthisstudyareasfollows:

(i) The shock wave structure is thoroughly studied by the experimental CFD method. An experimental system of the ejector refrigeration was established and the CFD model was verified. Based on the ideal gas model, the k w SST turbulencemodelischosen,asitcanpredictthecomplexflowintheejector.

(ii) Thestructureoftheshockwaveisdividedintotworegions:pseudo shockregionandtheoblique shockregion.Three typesofshockwavesaredeterminedastheshocktrain,thenormalshockwaveandtheobliqueshockwave,respectively.

(iii) Thelengthofthepseudo shockregionincreaseswiththeincreasingoftheprimaryfluidpressurewhenthepressure islessthan0.34MPa,thenmaintainsconstant.Duetoapartoftheenergyofthemixedfluidisconsumed,theentrainment ratioandthepumpingperformanceofthesteamejectordecreases.Thebifurcationshockwavesincrease,andtheenergy of the normal shock wave decreases with the increase of the primary fluid pressure when the primary fluid pressure is morethan0.34MPa.

(iv) Astheprimaryfluidpressureincreases,theentrainmentratiodeclinesandthecriticalbackpressureandthelengthof shockwavesincreasingofthesteamejectorincrease.

© 2022, IRJET | Impact Factor value: 7.529 | ISO 9001:2008 Certified Journal | Page1012

International Research Journal of Engineering and Technology (IRJET) e ISSN:2395 0056

Volume: 09 Issue: 06 | June 2022 www.irjet.net p ISSN:2395 0072

(v) Theidealizedprimaryfluidpressureisbetween0.32MPaand0.36MPaandtheidealizedMachnumberisbetween1.6 and 2.1. The growth rate of the critical back pressure with the primary fluid pressure at 0.40 MPa 0.46 MPa accelerates 61%comparedwiththepressureat0.32MPa 0.40MPa.

With the utilization of CFD analysis, the critical operating primary fluid pressure of the steam ejector system was identified.Itcanenhancetheeffectivenessofconvertingcombustionwasteheattorecyclableandusefulenergysourcesin a steamejector refrigerationsystem.Future workscanbecarriedouttofurtherenhancetheunderstandingof theshock structureviaexperimentationusinghigh speedphotographytechniques.

In“DesignandanalysisofejectorrefrigerationsystemusingR 134arefrigerant”Ejectorchillersmayenterthemarketof heat powered refrigeration as soon as their cost per unit cooling power becomes equal or lower than that of absorption chillerssystems.

However,marketcompetitivenessofejectorchillersmaybereachedonlyafteranincreaseofthesystemCOP,hereinthis projectacompletedesignofallcomponentsofejectorrefrigerationsystemfora1.5 toncapacityhasbeendesigned.

In“PerformanceAnalysisonaPowerandEjector RefrigerationSystemandtheInvolvedEjector”Inordertomakebetter use of the thermal energy at low and medium temperature and improve the organic Rankine cycle performance, the power, and ejector refrigeration system has been put forward and a lot of research has been carried out. This article presentsanewstudyofthecombinedsystemandthekeycomponentejectorusingthezeotropicmixtureR134a/R123as workingfluid.

First, the influence of heat source temperature, turbine outlet pressure, and different mixture compositions on the performanceofthecombinedsystemandejectorwereanalyzed.Itcanbefoundthatentrainmentratioisnotsensitiveto thechangeofheatsourcetemperature.

Throughenergyanalysisofthecombinedsystem,itcanbefoundthatejector,evaporator,andcondensertakeupformost energydestructionofthesystem.

The result illustrates that energy destruction mainly occurs in the component of ejector, which can reach 50.28%. Then, therelationshipbetweeninputheatofejector,netpowerchangevalueandpowersavedbyejectorwascompared.Itcan befoundthatnetpowerreductionislessthanpowersavedbyejectorandrefrigerationoutput.

© 2022, IRJET | Impact Factor value: 7.529 | ISO 9001:2008 Certified Journal | Page1013

International Research Journal of Engineering and Technology (IRJET) e ISSN:2395 0056

Volume: 09 Issue: 06 | June 2022 www.irjet.net p ISSN:2395 0072

Finally, the energy efficiency of ejector was defined and the effects of other parameters on it are analyzed. The results showthattheenergyefficiencyofejectorandCOPareoppositelychanging.

In the combined system, scholars have done a lot of research on evaporator, condenser, turbine and pump. This article mainlyfocusesonfactorsthataffectejectorperformance.Comparedwithcompressors,ejectorconsumeslesspower.

Therefore, the relationship between saving power and energy destruction in ejector requires more research. Many parameters affect net power and refrigeration output of the combined system. According to the research situation, this articlestudiestheinfluenceofturbineoutletpressure,heatsourcetemperatureandmassfraction ontheperformanceof thecombinedsystem.

In“Performanceofejectorrefrigerationcyclebasedonsolarenergyworkingwithvariousrefrigerants”Theconventional compressor basedrefrigerationsystemoperateswithCFCscausingozonelayerdepletionandhaslargeenergy consuming movingparts.

Thisenergymostlyextractsfromnon renewablesourceslikefossilfuels.

Ontheotherhand,thecoolingdemandisincreasingdaybyday,andcontinuousdependenceonnaturalfuelcontributesto CO2emissionsintotheatmosphere.

Solar thermal refrigeration system (STRS) is a better alternative way which converts heat energy from the renewable energy source and waste heat source and provides a cooling effect. Solar thermal energy emerges as a smart energy systemthatiscost effectiveand100%renewableenergysystem.

Utilization of solar thermal energy in the refrigeration system conserves energy as well as reduces the global CO2 footprint,andhence,thistechnologydrawstheinterestofboththescientificcommunityandindustries[1].Moreover,TRS is capable of operating a wide range of working fluids that are environmentally safe, non toxic, nonflammable, and non corrosive.

A one dimensional theoretical analysis of the ejector refrigeration system working with low grade energy resources is presentedinthispresentwork.

A computer program based on a series of isentropic relations of ejector flow is developed in SciLab and interfaced with coolprop,athermodynamiclibrary,formaterialpropertiesofdifferentworkingfluids.

Initially, the performance of the ejector refrigeration systems is calculated under the overall operation mode. Later, the systemperformanceisevaluatedwithdifferentrefrigerantsundercriticalmode.

Beforethesubcritical modeofoperation,ata constantarea ratioandcondenserpressure,thecoefficientof performance increaseswithanincreaseinthegeneratortemperatureuntilthechockingcondition.

Atthechockingcondition,thegeneratortemperatureattainsanoptimumvalueandgivesthehighestCOP.ThisCOPvalue ranges from 0.25 to 0.17 at a given area ratio of 11.2 under overall mode. In the critical mode, further increment in generatortemperaturediminishestheperformance.

© 2022, IRJET | Impact Factor value: 7.529 | ISO 9001:2008 Certified Journal | Page1014

International Research Journal of Engineering and Technology (IRJET) e ISSN:2395 0056

Volume: 09 Issue: 06 | June 2022 www.irjet.net p ISSN:2395 0072

Under the critical mode operation, at a constant generator temperature as well as a constant evaporator temperature, increasing the area ratio widens the hypothetical throat area and allows more secondary flow and enhances the performance.

In contrast, increasing the generator temperature increases the primary flow and stalls the secondary flow. Thus, the increment in evaporator temperature enhances the system performance while the increment in generator temperature diminishesthesystemperformance.

Among the six considered refrigerants, R717 exhibits substantially better performance in terms of entrainment ratio, coefficient of performance, and cooling load. Even though the R718 shows the least coefficient of performance and entertainmentratio,itshowsmoderatecoolingcapacitythanR141b,R245fa,R123,andR365mfc.

3. ANALYTICAL CALCULATIONS (NH3)

3.1 Design of Nozzle:

• Firstofallwehavetodecideapproximatevalueofpressureforoursystem;

Soletusconsider:

• CondenserPressure=10Bar

• EvaporatorTemperature=1Bar

• BoilerPressureTemperature=20Bar

3.1.1 Throat Design:

• Gamma("γ")=Cp/Cv=1.337

• Cp=2.08

• forwater.

• ThroatArea(At):

• Wt=flowratethroughboilertoentrynozzlesis20kg/s

• Pt=Pressureatthroat,sowehavetomatchtheprimaryvaporpressure withsecondarypressure,i.e.,pt.=1bar

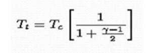
• Tt=TemperatureofthroatisgivenbyFormula

• Tt=85.554℃fromaboveFormula

• AfterCalculationAt=347.2mm2.

© 2022,
|
7.529 | ISO 9001:2008 Certified Journal | Page1015
IRJET
Impact Factor value:

International Research Journal of Engineering and Technology (IRJET) e ISSN:2395 0056

Volume: 09 Issue: 06 | June 2022 www.irjet.net p ISSN:2395 0072

• DiameterofThroatdt=(4*At/π)^1/2.

• DiameterofThroatBycalculation=21mm

3.1.2 Inlet Design:

• Fromthestudyitisfoundthattheinletdiameterofnozzlesshouldbe3 5TimesofNozzleThroat,sotheejector willhaveusableface.

• Dc=InletDiameterofnozzle=3*Dt

• Dc=63mm.

• AreaAc=π*dc^2/4

• Ac=3117.25mm^2.

3.1.3 Exit Design:

• Me MassflowrateatExitisgivenbelowFormula

• Me^2=4.669kg/sthereforeMe=2.16

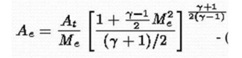
• Ae=AreaExitofNozzleisgivenBelowFormula

• Ae=700mm^2.

• SonowwefindthediameterofExitpart,Formulais

• De=(4*Ae/π)^1/2.

• De=29.86mm.

3.1.4 Angle and Length:

• Alpha(α)=Thenozzleangledivergence

• halfangleisα<15degree.

• Beta(β)=TheNozzleconvergencehalfangleisβ=60degree.

• Vc=volumeofinletChamber=1.1*Ac*lc

• Vc=38500mm^3

• Lc=50mm

©
Page
2022, IRJET | Impact Factor value: 7.529 | ISO 9001:2008 Certified Journal |
1016

3.1.5

International Research Journal of Engineering and Technology (IRJET) e ISSN:2395 0056

Volume: 09 Issue: 06 | June 2022 www.irjet.net p ISSN:2395 0072

Efficient of working of nozzle:

• ThereareSomeParameterHastobefollowedtoincreasetheefficiencyofSystems

• SuctionHeadShouldbemountedontheTopPart.

• PressureatPrimaryNozzleexitshouldbelessthantheEvaporatorPressure.

• ReducedtheBackpressureofvapor

3.1.6 Dimension of Nozzle:

• Dc=InletDiameterofNozzle=63mm

• Dt=ThroatDiameter=21mm.

• De=ExitDiameterofNozzle=34mm.

• Alpha(α)<15degree.

• Beta(β)=60degree.

• Lc=CharacteristicLength=50mm

3.2.

Design of Ejector:

3.2.1

Throat Design:

• Gamma("γ")=Cp/Cv=1.337

• Cpforwater=2.08

• ThroatArea(At):

• Wt=flowratethroughboilertoentryofEjectorwhichcombinationofprimaryandsecondaryflowis40kg/s

• Pt=Pressureatthroat,sowehavetomatchtheprimaryvaporpressure

• withsecondarypressure,i.e.Pt=pt+ps=1.5bar

• Tt=TemperatureofthroatisgivenbyFormula

• Tt=85.55degfromaboveFormula

• AfterCalculationAt=462mm^2.

• DiameterofThroatBycalculation=(4*At/π)^1/2.

• DiameterofThroatdt=24mm.

3.2.2 Converging Part Design

• FromthestudyitisfoundthattheinletdiameterofEjectorshouldbe 2.5 5TimesofEjectorThroat.

• Di=InletDiameterofEjector=2.5*Dt

• Di=60.7mm.

• AreaAi=π*di^2/4

• Ai=2893.8mm^2.

©
2022, IRJET | Impact Factor value: 7.529 | ISO 9001:2008 Certified Journal | Page1017

International Research Journal of Engineering and Technology (IRJET) e ISSN:2395 0056

Volume: 09 Issue: 06 | June 2022 www.irjet.net p ISSN:2395 0072

3.2.3 Diffuser Design

• MassflowrateatExitisgivenbelowFormula

• Me^2=4.669kg/sthereforeMe=2.16

• Ae=AreaExitofNozzleisgivenBelowFormula

• Ae=Ad=933.35mm^2.

• Sonowwefindthediameterofdiffuserpart,formulaisDe=(4*Ad/π)^1/2.

• Dd=34.47mm.

SR. NO. SYMBOL NOMENCLATURE 1. Wt Flowratethroughboilertoentrynozzle

4. ANALYTICAL CALCULATIONS (R134a)

ANT =(m1/PB)*(RTt/ϒg)^0.57

ANT=(0.01275/(1.0666*10^6))*((81.5*309.5)/(1.303*9.81))^0.5

ANT = 0.531 sq mm

DNT = (ANT*4/Π)^0.5 = 0.82 mm

DNI = 3*DNT = 3*0.82 = 2.46 mm

ANI = (Π*DNI^2)/4 = 4.753 sq mm

MPF = v/c = 471/181.3 = 2.597

©
Certified Journal | Page1018
2022, IRJET | Impact Factor value: 7.529 | ISO 9001:2008
2. Pt Pressureatthroat 3. Tt Temperatureofthroat 4. Dt DiameterofThroat 5. Dc InletDiameterofnozzle 6. Me MassflowrateatExit 7. Ae AreaExitofNozzle 8. α Thenozzleangledivergence 9. β TheNozzleconvergence 10. Vc VolumeofinletChamber

International Research Journal of Engineering and Technology (IRJET) e ISSN:2395 0056

Volume: 09 Issue: 06 | June 2022 www.irjet.net p ISSN:2395 0072

ANE = (ANT/MPF)*((1+((ϒ 1)*(MPF^2)/2))/((ϒ+1)/2))^((ϒ+1)/(2*(ϒ 1)))

ANE = (0.531/2.597)*((1+((1.3031)*(2.597^2)/2))/((1.303+1)/2))^((1.303+1)/(2*(1.303 1)))

ANE = 1.737 sq mm

DNE = (ANE*4/Π) = (1.737*4/3.14) = 1.49 mm

AET = (mm/PC)*(RTm/ϒg)^0.5

AET = (0.02231/(0.653*10^6))*((81.5*293)/(1.303*9.81))^0.5

AET = 1.4776 sq mm

DET = (AET*4/Π)^0.5 = 1.372 mm

DEI = (5)*DET = 5*1.372 = 6.858 mm

AEI = (Π*DEI^2)/4 = 37 sq mm

Mm = MPF + MSF = 2.597+1.43 = 4.027

AEE = (AET/Mm)*((1+((ϒ 1)*(Mm^2)/2))/((ϒ+1)/2))^((ϒ+1)/(2*(ϒ 1)))

AEE = (1.4776/4.027)*((1+((1.3031)*(4.027^2)/2))/((1.303+1)/2))^((1.303+1)/(2*(1.303 1)))

AEE = 1.686 sq mm

DEE = (AEE*4/Π)^0.5 = 1.465 mm

© 2022,
Certified
| Page1019
IRJET | Impact Factor value: 7.529 | ISO 9001:2008
Journal
SR.
1. A Area 2. D Diameter 3. P Pressure 4. M MachNumber 5. ϒ Heatcapacityratio 6. NT Nozzlethroat 7. NI Nozzleinlet 8. NE Nozzleexit 9. ET Ejectorthroat 10. EE Ejectorexit 11. SF Secondaryfluid 12. PF Primaryfluid 13. v Velocityoffluid 14. c Localsonicspeed
NO. SYMBOL NOMENCLATURE

International Research Journal of Engineering and Technology (IRJET) e ISSN:2395 0056

Volume: 09 Issue: 06 | June 2022 www.irjet.net p ISSN:2395 0072

5. COLLECTION OF RESOURCES

a. Research papers gathered thelatest research paperswhichshowed the advantagesof EjectorRefrigeration System overastandardVCCsystem.

b. R134a refrigerant a refrigerator serviceman was called in our campus to examine the VCC system in the RAC laboratory.HerecommendedR134aasarefrigerantforoursystem.HehadtincansofR134aavailableandcalledhimto replacetherefrigerantavailableinthesystem.

b. Digital thermometer instead of using thermocouple, thermostat or a subzero thermometer, we used a digital thermometer was used to measure the temperature of the cooling chamber. The standard VCC system was tested for 24 hoursandthelowesttemperaturemeasuredwasdegreeCelsius.

c. Multimeter amultimeterfromtheelectronicslaboratorywasusedtomeasurethevoltageandcurrentconsumedby theVCCsysteminsteadofusingaclampmeter.

d. Manufacturing of ejector local manufactures of refrigerator parts were contacted to design the ejector of desired dimensionsandstandardsfromIndiamartandGoogleweb.

6. COMPARISON WITH STANDARD VCC SYSTEM

6.1 COP of VCC System

Co efficientofperformanceofVCC

COP = output/input

=heatrejected/energysupplied

COP = MCvdt/VIT =(0.20826*0.718*(32.5 6)) / (1.1*250*3*10^ 3)

COP = 4.803

Where,

M =massofairinthecoolingchamber

=densityofair*volumeofcoolingchamber =1.157*0.18

© 2022,
|
7.529 | ISO
Certified Journal | Page1020
IRJET
Impact Factor value:
9001:2008

International Research Journal of Engineering and Technology (IRJET)

e ISSN:2395 0056

Volume: 09 Issue: 06 | June 2022 www.irjet.net p ISSN:2395 0072

= 0.20826 kg

Cv =specificheatcapacityofairatconstantvolume

= 0.718 kJ/kgK

dt =roomtemperature coolingchambertemperature =32.5 6

= 26.5 deg. C

V =voltage = 250 V

I =current = 1.1 Amps

T =timerequiredtoreachthetemperatureof6deg.C = 3 hrs

6.2 COP of ER system:

Co efficientofperformanceofERS

COP = output/input =heatrejected/energysupplied

COP = MCvdt/PT =(0.20826*0.718*(32.5 6)) / (250*3*10^ 3)

COP = 7.35 Where,

M =massofairinthecoolingchamber =densityofair*volumeofcoolingchamber =1.157*0.18

= 0.20826 kg

Cv =specificheatcapacityofairatconstantvolume

= 0.718 kJ/kgK

dt =roomtemperature coolingchambertemperature =32.5 6

= 26.5 deg. C

T =timerequiredtoreachthetemperatureof6deg.C = 3 hrs

Thus, COP of ERS is 150% better than that of VCC.

© 2022, IRJET | Impact Factor value: 7.529 | ISO 9001:2008 Certified Journal | Page1021

International Research Journal of Engineering and Technology (IRJET) e ISSN:2395 0056

Volume: 09 Issue: 06 | June 2022 www.irjet.net p ISSN:2395 0072

7. FUTURE SCOPE AND CONCLUSION

Hence,withhelpofcalculationsdoneabovewecanconcludethattheERSismoreefficientthantheVCCsystemusedinthe currentdomesticrefrigerator.

• An ejector is based upon Bernoulli’s Principle which states: ‘When the speed of a fluid increases its pressure decreasesandviceversa’.

• The system gives better performance than all the three systems it has been compared with. The sensitivity analysisfoundthattheCOPoftheproposedsystemincreasesexponentiallyatlower condensationtemperatures and higher evaporator temperatures, making it very suitable for industrial water cooled systems and higher temperaturecoolingapplications.

• Nomovingparts,hencelowmaintenancerequirement.

• Environmentallyfriendlyoptionandeasytocontrolusingstandardtechniques.

• Ejector chillersmay enterthemarketofheat powered refrigerationassoonastheircostper unit cooling power becomes equal or lower than that of absorption chillers systems. However, market competitiveness of ejector chillersmaybereachedonlyafteranincreaseofthesystemCOP.

REFERENCES

Research papers:

• FahidRiaz,KahHoeTan1,MuhammadFarooq,MuhammadImranandPohSeng Lee,EnergyAnalysisofaNovel EjectorCompressorCoolingCycleDrivenbyElectricityandHeat,2020.

• Md Khairul Bashar Shovon, Senthil Kumar Raman, Abhilash Suryan, Tae Ho Kim. Performance of ejector refrigerationcyclebasedonsolarenergyworkingwithvariousrefrigerants,2020.

• Xiaolin Zhang, Shuai Deng, Li Zhao, Wen Su and Weicong Xu. Performance Analysis on a Power and Ejector RefrigerationSystemandtheInvolvedEjector,2019.

• ShaikMohammadazeez,Dr.AlapatiVenkateswarulu. DesignandanalysisofejectorrefrigerationsystemusingR 134arefrigerant,2018.

• Tongchana Thongtip and Natthawut Ruangtrakoon. Real Air Conditioning Performance of Ejector Refrigerator BasedAir ConditionerPoweredbyLowTemperatureHeatSource,2021.

• Yu Han, Xiaodong Wang, Lixin Guo, Anthony Chun Yin Yuen, Hengrui Liu, Ruifeng Cao, Cheng Wang, Cuiling Li, Jiyuan Tu and Guan Heng Yeoh. A Steam Ejector Refrigeration System Powered by Engine Combustion Waste Heat:Part2.UnderstandingtheNatureoftheShockWaveStructure,2019.

© 2022,
| Impact
7.529 | ISO
Certified Journal | Page1022
1. COP
2. M
3. Cv
4. dt
5. V
6. I Current 7. T Time
IRJET
Factor value:
9001:2008
Sr. No. Symbol Abbreviation
Coefficientofperformance
Massofairinthecoolingchamber
Specificheatcapacityofairatconstantvolume
Temperaturedifference
Voltage
requiredtoreachthetemperatureof6degreesCelsius

Turn static files into dynamic content formats.

Create a flipbook