Skip to main content

Analysis of Energy Consumption in MCU for IoT System

Page 1

International Research Journal of Engineering and Technology (IRJET) e ISSN: 2395 0056

Volume: 09 Issue: 05 | May 2022 www.irjet.net p ISSN: 2395 0072

Analysis of Energy Consumption in MCU for IoT System

Puru Tyagi1 , M. Vishnu Kartik2 , Dr. Richa Sharma3

1,2,3 Dept. of ECE, Amity School of Engineering & Technology, Amity University, Noida, Uttar Pradesh, India ***

Abstract - Energy efficiency is one of the key requirement to amplify sensor gadget lifetime. Sensor gadgets are commonly controlled by a battery source that has limited lifetime. Most Internet of Thing (IoT) applications require sensor gadgets to work dependably for a lengthy timeframe. To plan an independent sensor gadget, displaying its energy utilization for various tasks is significant. Each errand consumes a power utilization sum for a while. To improve the consumed energy of the sensor gadget and have long correspondence range, Low Power Wide Area Network innovation is thought of. Analysis of energy consumption in MCUs will also going to be performed in sensor devices. The task is that the integration of various energy models that has not been compared earlier, and the energy efficiency when compared to othermodels.Thiswillhelptoidentifythemostefficient wireless solution for IoT applications, which is themain factor in optimizing any device’s lifetime.

KeyWords: Duty Cycle, SNR, data rate, Bit Error Rate

1. INTRODUCTION

Remote Sensor nodes empower a wide scope of uses, like framework security, climate checking etc [1]. Some of them which are behind gathering data about a given instances. The maximum part sent in an environment where it is harsh. Hence, sensor nodes should work over longtimeframeswithouthumaninvolvement.

The expanding variety of IoT use cases has increased the improvementofvariousnewremoteconventionsplanned explicitly for significant distance, low power gadgets, whichhavebeenassignedLowPower WideArea[2]

Past LPWAN relative reviews have focused on a potential long term lifetime for gadgets. The main concern in this paperistoshowthetruthoftheenergyutilizationratesof various remote innovations. Throughput isn't the sole factor in deciding the gadget lifetime of a hub, however it is a component [3]. I straightforwardly look at assessed gadget lifetimes of European organizations of LoRaWAN, Sigfox, NB IoT, and EC GSM IoT hubs for a bunch of day by daythroughputs.

The main objective is to design an energy efficient and energy utilization of the sensor node utilizing LoRa and LoRaWAN protocol [5]. The model in this is assessed utilizing diverse LoRaWAN modes. Also, we concentrate on the effect of LoRaWAN boundaries like data rate, bit errorrateetc[6].

2. SENSORS

2.1 DESIGN OF SENSOR NODE

Thenodeofthesensorcanforwardinformationtoapoint utilizing the radio module. To do its various tasks, this node requires installed power source. We consider an associatedsensortocalculatedifferentvalue.Thememory which is internally is coordinated in the micro controller is sufficient for this utilization which is the outside memoryisnotconsidered.

The principle components of this sensor are discussed in briefly below. Each of them is explained clearly in the upcomingparagraphs.

FIGURE 1: Designofasensornode

1. Sensor Unit

Sensorunitcanidentifyandreacttovariouscontributions to the climate. This particular data sources could be heat, force etc. The signal which is inserted is basically signal which is analog that is changed over to the digital signal with an ADC. The ADC is incorporated in this Sensor unit inupcomingreview.

2. Processing Unit

Themainprocessingtakescareofthethingsthatis requiredbythesystemoperation.Thisprovidesoutput signalwhichistakenfromtheUnitoftheSensor, computestheinformationandforwardsthisinformation tothenextblock.Basically,theembeddedsystemwhich weusedinourmodelis STM32L073microcontroller. Thismicrocontrollercanoptimizeverylowconsumption ofpower.

©
| Page2142
2022, IRJET | Impact Factor value: 7.529 | ISO 9001:2008 Certified Journal

International Research Journal of Engineering and Technology (IRJET) e ISSN: 2395 0056

Volume: 09 Issue: 05 | May 2022 www.irjet.net p ISSN: 2395 0072

3. Communicating Unit

When the processing of data is completed, the data is forwardedtothisaccesspoint.Afewoftheprinciplesare proposedinthecurrentyearsforIoTapplications.Among these, LoRa and LoRaWAN are acquiring a great deal of interest due to the high sensitivity (approx. 137 dBm). Theseadvancementscanarriveforlongerdistances(upto 20000m).Inourplanmodel,LoRa/LoRaWANareutilizing theSemtech'sSX1272handset.

2.1 LoRaWAN TECHNOLOGIES

The LoRa is actually low energy utilization which 2143haracte the ISM band. The destinations of this innovationaretoexpandsensorlifeandlessenthegadget cost. LoRa 2143haracte the CSS adjustment to keep up with low energy attributes to support expanding correspondencerange[7]

The LoRaWAN particular characterizes three classes accessibleforvariouspowerusesystems

1. Class A: For this situation, sensor can start an uplink transmission depend on its own requirements. This class permits bidirectional correspondence, every uplink transmission is trailed by two short downlink information. Class Aishavingleastpowerutilization.

2. ClassB:Thegatewaystartsthecommunicationby forwarding downlink messages and get the extra windows at particular time duration. This class has more power utilization when compared to ClassA.

3. ClassC:Thesedeviceshavealmostopenwindows, whichcanpossiblybeshut whilesending.ClassC devices 2143haract more ability to work than of Class A or Class B however they provide the low signalcommunication.

Table 2: LoRaWANClassCharacteristics

Utilizing Semtech’s licensed LoRa regulation strategy SX1272 can accomplish an affectability of over 137dBm utilizing a minimal expense precious stone and bill of materials. The high affectability joined with the coordinated +20dBm power intensifier yields industry driving connection spending plan making it requiring reach or strength. LoRa likewise gives critical benefits in both hindering and selectivity over ordinary balance methods, tackling the conventional plan compromise between range, impedance resistance and energy utilization.

Thesegadgetsadditionallysupporteliteexecution(G)FSK modes for frameworks including WMBus, IEEE802.15.4g. The SX1272 convey uncommon stage commotion, selectivity, beneficiary linearity and IIP3 for altogether lowercurrentutilizationthancontendinggadgets.

TheSX1272consolidatestheLoRaTM spreadrangemodem which is fit for accomplishing fundamentally longer reach than existing frameworks dependent on FSK or OOK adjustment. With this new regulation plan sensitivities 8 dB better than comparable information rate FSK can be accomplished with a minimal expense, low resilience precious stone reference. This expansion in connect financial plan gives significantly longer reach and vigor without the requirement for a TCXO or outer intensification [8]. LoRaTM. Also gives huge advances in selectivity and obstructing execution, further developing correspondence unwavering quality. For greatest adaptability the client might settle on the spread range tweak transmission capacity (BW), spreading factor (SF) andblunderadjustmentrate(CR).Onemoreadvantageof the spread tweak is that each spreading factor is symmetrical consequently numerous sent signs can involve a similar channel without meddling [9]. This likewise allows straightforward conjunction with existing FSK based frameworks. Standard GFSK, FSK, OOK, and GMSK adjustment is additionally furnished to permit similarity with existing frameworks or guidelines, for example,remoteMBUSandIEEE802.15.4g.

The SX1272 offers three data transfer capacity choices of 125 kHz, 250 kHz, and 500 kHz with spreading factors goingfrom6to12.

2.3 Semtech’s LR1110

2.2 Semtech’s SX1272

Long Range, Low Power RF Transceiver 860 1000 MHz withLoRa®Technology

The SX1272/73 handsets highlight the LoRa® long reach modem that gives super long reach spread range correspondence and high obstruction invulnerability whilelimitingcurrentutilization.

TheLR1110isanultra lowpowerplatformthatintegrates a long range LoRa® transceiver, multi constellation GNSS scanner and passive Wi Fi AP MAC address scanner targetinggeolocationapplications.

TheLR1110supportsLoRa®and(G)FSKmodulations for LPWAN use cases. The device is highly configurable to meet different application requirements utilizing the globalLoRaWAN®standardorproprietaryprotocols.

2022, IRJET | Impact Factor value: 7.529 | ISO 9001:2008 Certified Journal |

©
Page2143

International Research Journal of Engineering and Technology (IRJET) e ISSN: 2395 0056

Volume: 09 Issue: 05 | May 2022 www.irjet.net p ISSN: 2395 0072

TheLR1110isdesignedtocomplywiththephysicallayer requirementsoftheLoRaWAN®specificationreleasedby theLoRaAlliance®. 

Low Noise Figure RX front end for upgraded LoRa/(G)FSKaffectability 

Overall ISM recurrence groups support in the reach 150 960MHz 

HighpowerPAway+22dBm 

HighproficiencyPAway+15dBm 

Coordinated PA controller supply selector to improve on double power +15/+22dBm with one boardexecution 

Readytohelpoverall multi localeBOM,the circuit adjusts to coordinating with 2144haracterize to fulfiladministrativecutoffpoints 

CompletelyviablewiththeSX1261/2/8familyand the LoRaWAN standard, 2144haracterized by the LoRaAlliance

3. SIGNAL TO NOISE RATIO(SNR)

SNR the ratio of signal power to the noise power, often expressedindecibels.

SNR=Pt/(Pl *No) …….(1)

Where,Pt istransmittedpowerindBm,Pl ispathloss,No is noiseindBm.

LoRa handling gain is presented in the RF channel by increasingtheinformationsignalwithaspreadingcodeor chip grouping. By expanding the chip rate, we increment the recurrence parts of the absolute sign range. As such, energy of all out signal is presently spread over a more extensivescopeoffrequencies,permittingtherecipientto observeasignwithalower(thatis,moreterrible)signal to NoiseRatio(SNR).

3.1 PATHLOSS

Path loss, or path attenuation, is the reduction in power densityofanasitpropagatesthroughspace.Pathlossisa major component in the analysis and design of the of a telecommunicationsystem[10].

L=10*n*log10(d)+C ……….(2)

Where, L is the pathloss in decibels, n is the pathloss example,disthedistancefromtransmittertothereceiver, generallyestimatedinmeters,andCisaconstant.

Pl =20log10(4π/c)+20log10(f)+20log10(d) G……….(3)

Where, d is defined as the distance from base station antenna,fisthefrequency oftransmission,c is definedas speedoflight.

3.2 Bit Error Rate (BER)

BER is the percentage ofbitswith errors to the total number of bits that have been transmitted, received, or processed over a given time period. The rate is typically expressedas10tothenegativepower.

BER=½(1 (SNR/(2+SNR))) OR

BER=1/(2*SNR) …….(7) BitErrorRate,BER isutilizedasasignificantboundaryin portrayingthepresentationofinformationchannels.

BER=Errors/TotalNumberofbits .…….(8) Assume the distance between the transmitter and collectorisgreatandthesigntoclamorproportionishigh, then, at that point, the digit blunder rate will be tiny potentially immaterial and affecting the general frameworkHoweverontheoffchancethatcommotioncan berecognized,thenthereischancethatthepiecemistake rateshouldbethoughtof.

3.2.1 Factors affecting bit error rate(BER)

It very well may be seen from utilizing Eb/No, that the piece mistake rate, BER can be impacted by various elements.Bycontrollingthefactorsthatcanbecontrolled itisfeasibletoupgradeaframeworktogivetheexhibition levels that are required. This is typically attempted in the planphasesofaninformationtransmissionframework so the presentation boundaries can be changed at the underlyingplanideastages.

1. Obstruction: The impedance levels present in a frameworkarebyandlargesetbyoutsidefactorsand can’t be changed by the framework plan. Anyway, setting the transfer speed is conceivable. By diminishing the data transmission, the degree of obstruction can be decreased. Anyway, diminishing the transmission capacity restricts the information throughputthatcanbeaccomplished.

2. Increment transmitter power: It is additionally conceivabletobuildthepowerleveloftheframework so the power per bit is expanded. This must be adjusted against factors including the impedance levels to different clients and the effect of expanding thepoweryieldonthesizeofthepowerenhancerand generally speaking power utilization and battery duration,andsoforth.

3. Decrease transfer speed: Another methodology that canbeembracedtodiminishthepiecemistakerateis to lessen the data transmission. Lower levels of

©
Page2144
2022, IRJET | Impact Factor value: 7.529 | ISO 9001:2008 Certified Journal |

International Research Journal of Engineering and Technology (IRJET) e ISSN: 2395 0056

Volume: 09 Issue: 05 | May 2022 www.irjet.net p ISSN: 2395 0072

commotion will be gotten and thusly the sign to clamor proportion will move along. Again, this outcomesinadecreaseoftheinformationthroughput feasible.

4. Lower request balance: Lower request adjustment plans can be utilized, yet this is to the detriment of informationthroughput.

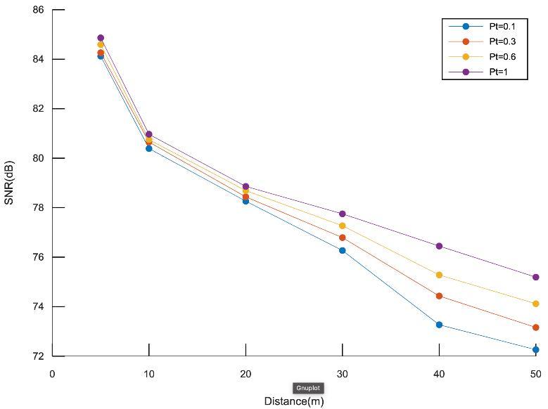
The Distance is taken from 0 to 50 m. The least value of SNRisobservedatthedistanceof50m. Thehighestvalue ofSNRisobservedatthedistanceof5m.

4.1.2 SX1272

Table 3: SNRcalculationsbyvaryingdistance,d(5 50m) andPt (0.1 1ms),forSX1272

4. CALCULATIONS AND RESULTS

4.1 SNR VS DISTANCE

4.1.1

LR1110

Table -2: SNRcalculationsbyvaryingdistance,d(5 50m) andPt (0.1 1ms),forLR1110

d \Pt 0.1 0.3 0.6 1 5 94.22 94.46 94.69 94.86 10 91.39 91.65 91.75 91.96 20 88.66 88.92 89.21 89.56 30 85.98 86.59 87.17 87.65 40 83.77 84.53 85.28 86.04 50 82.46 83.23 84.19 85.12 d \Pt 0.1 0.3 0.6 1

5 84.12 84.26 84.59 84.86 10 80.39 80.65 80.75 80.968 20 78.26 78.436 78.69 78.86 30 76.27 76.79 77.27 77.75 40 73.27 74.43 75.28 76.45 50 72.26 73.16 74.12 75.19

FIGURE 4: SNRvsDistance(SX1272)

ItcanbeobservedfromthegraphinFigure4,thattheSNR varies with the Distance for the sensor device SX1272. As it is observed that the SNR value decreases with the increaseinDistance.

The Distance is taken from 0 to 50 m. The least value of SNRisobservedatthedistanceof50m.Thehighestvalue ofSNRisobservedatthedistanceof5m.

FIGURE 3: SNR

vsDistance(LR1110)

ItcanbeobservedfromthegraphinFigure3,thattheSNR varies withtheDistance for thesensordeviceLR1110. As it is observed that the SNR value decreases with the increaseinDistance.

Factor

©
Page2145
2022, IRJET | Impact
value: 7.529 | ISO 9001:2008 Certified Journal |

International Research Journal of Engineering and Technology (IRJET) e ISSN: 2395 0056

Volume: 09 Issue: 05 | May 2022 www.irjet.net p ISSN: 2395 0072

4.2 BER VS SNR GRAPHS

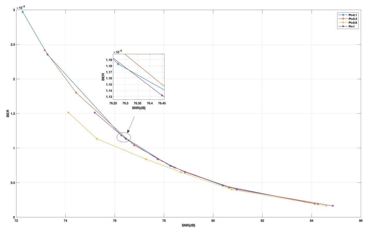
4.2.1 LR1110

Table 4: CalculationofBERbyvaryingSNRforPt(0 1ms)

Pt 0.1 0.3 0.6 1

SNR1 BER1 SNR2 BER2 SNR3 BER3 SNR4 BER4 84.12 1.93*10 6 84.26 1.87*10 6 84.59 1.73*10 6 84.86 1.63*10 6 80.39 4.57*10 6 80.65 4.304*10 6 80.75 4.206*10 6 80.96 4.001*10 6 78.26 7.4*10 6 78.43 7.167*10 6 78.69 6.76*10 6 78.86 6.5*10 6 76.27 11.83*10 6 76.79 10.4*10 6 77.27 9.37*10 6 77.75 8.394*10 6 73.27 23.53*10 6 74.43 18.02*10 6 75.28 14.8*10 6 76.45 11.32*10 6 72.26 29.7*10 6 73.16 24.15*10 6 74.12 19.36*10 6 75.19 15.13*10 6

FIGURE 5: BERvsSNR(LR1110)

ItcanbeobservedfromthegraphinFigure5,thattheBER varieswiththeSNR forthe sensor deviceLR1110.Asit is observed that the BER value decreases with the increase inSNR.

TheSNRistakenfrom72to86dB.TheleastvalueofBER isobservedattheSNRof72dB.ThehighestvalueofBER isobservedattheSNRof84.86dB.

2022, IRJET | Impact Factor value: 7.529 | ISO 9001:2008 Certified Journal

Page2146
©
|

International Research Journal of Engineering and Technology (IRJET) e ISSN: 2395 0056

Volume: 09 Issue: 05 | May 2022 www.irjet.net p ISSN: 2395 0072

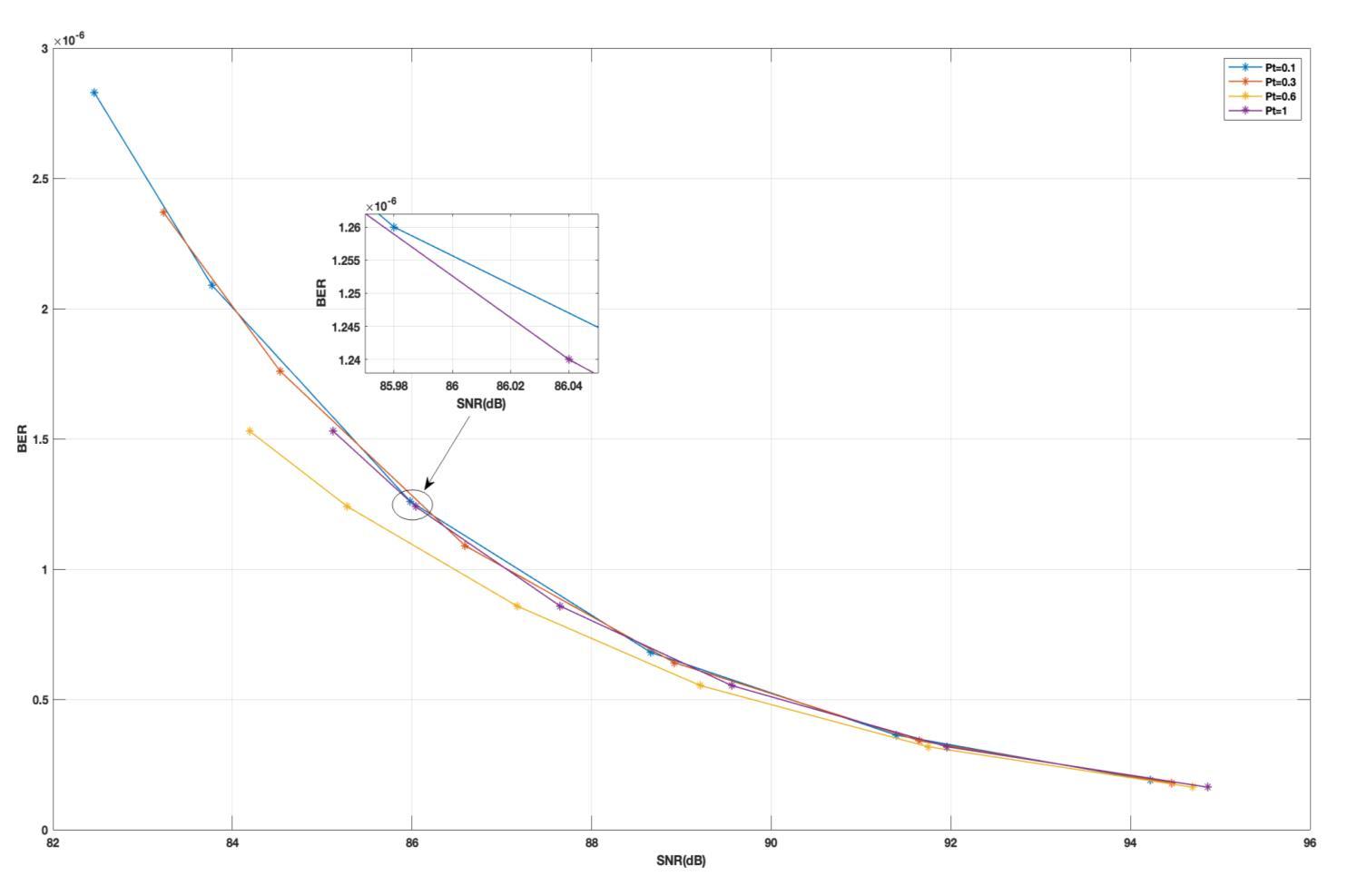
4.2.2 SX1272

Table -5: CalculationofBERbyvaryingSNRforPt(0 1ms)

Pt 0.1 0.3 0.6 1

SNR1 BER1 SNR2 BER2 SNR3 BER3 SNR4 BER4 94.22 1.89*10 7 94.46 1.79*10 8 94.69 1.69*10 7 94.86 1.63*10 7 91.39 3.63*10 7 91.65 3.41*10 7 91.75 3.34*10 7 91.96 3.18*10 7 88.66 6.8*10 7 88.92 6.41*10 7 89.21 5.99*10 7 89.56 5.53*10 7 85.98 1.26*10 6 86.59 1.09*10 6 87.17 9.59*10 7 87.65 8.58*10 7 83.77 2.09*10 6 84.53 1.76*10 6 85.28 1.48*10 6 86.04 1.24*10 6 82.46 2.83*10 6 83.23 2.37*10 6 84.19 1.90*10 6 85.12 1.53*10 6

FIGURE 6: BERvsSNR(SX1272)

ItcanbeobservedfromthegraphinFigure7,thattheBER varies with the SNR for the sensor device SX1272. As it is observed that the BER value decreases with the increase inSNR.

TheSNRistakenfrom82to96dB.TheleastvalueofBER isobservedattheSNRof82dB.ThehighestvalueofBER isobservedattheSNRof94.86dB.

5. CONCLUSION

We displayed through mathematical outcomes that the energy which is consumed through changes with various LoRa boundaries like SNR and BER. A decent decision of these boundaries permits to upgrade the energy consumption by this sensor node which can expand its lifetime.

Energyorpowerutilizationisthemostnecessitiesforplan and execution of imparting sensors. This paper, we have optimized the energy consumption using the modulation

2022, IRJET | Impact Factor value: 7.529 | ISO 9001:2008 Certified Journal |

Page2147
©

International Research Journal of Engineering and Technology (IRJET) e ISSN: 2395 0056

Volume: 09 Issue: 05 | May 2022 www.irjet.net p ISSN: 2395 0072

technique for the sensor node. The model explains and provides various Long Range modes and situations for a particular Internet of. To assess the energy/power utilizationofthisnode,weprovideddiversesituations.

REFERENCES

[1] Wu, H. “An Automatic Energy Consumption Measuring Platform for Embedded Systems”. In Proceedings of the 2019 6th International Conference on Information Science and Control Engineering (ICISCE), Shanghai, China, 20 22 December2019.

[2] Wu, H. “Two Designs of Automatic Embedded SystemEnergyConsumptionMeasuringPlatforms UsingGPIO”. Appl. Sci. 2020, 10,4866.

[3] Thakkar, A.; Chaudhari, K.; Shah, M. “A ComprehensiveSurveyonEnergy EfficientPower Management Techniques.” Procedia Computer. Sci. 2020, 167,1189 1199.

[4] Adegbija, T.; Rogacs, A.; Patel, C.; Gordon Ross, A. “MicroprocessorOptimizationsfortheInternetof Things: A Survey.” IEEE Trans. Computer. Aided Des. Integr. Circuits Syst. 2018, 37,7 214.

[5] Zaman, N.; Tang Jung, L.; Yasin, M.M. “Enhancing energy efficiency of wireless sensor network through the design of energy efficient routing protocol.” J. Sens. 2019

[6] Phui, S.C.; Johan, B.; Chris, H.; Jeroen, F. “Comparison of LoRaWAN Classes and their Power Consumption”. In Proceedings of the IEEE Symposium on Communications and Vehicular Technology (SCVT), Leuven, Belgium, 14 November2017.

[7] Terrassona, G.; Brianda, R.; Basrourb, S.; Arrijuriaa, O. Energy Model for the Design of Ultra Low Power Nodes for Wireless Sensor Networks.ProcediaChem.20019,1,1195 1198.

[8] Moises, N.O.; Arturo, G.; Mickael, M.; Andrzej, D. Evaluating LoRa Energy Efficiency for Adaptive Networks: From Star to Mesh Topologies. In Proceedings of the IEEE 13th International Conference on Wireless and Mobile Computing, Networking and Communications (WiMob), Rome,Italy,9 11October2020.

[9] Elodie, M.; Mickael, M.; Roberto, G.; Andrzej, D. Comparison of the Device Lifetime in Wireless Networks for the Internet of Things. IEEE Access 2019,5,7097 7113.

[10] Martin, B.; Utz, R. LoRa Transmission Parameter Selection.InProceedingsofthe13thInternational

Conference on Distributed Computing in Sensor Systems,Ottawa,ON,Canada,5 7June2019.

2022, IRJET | Impact Factor value: 7.529 | ISO 9001:2008 Certified Journal

Page2148
©
|

Turn static files into dynamic content formats.

Create a flipbook