
International Research Journal of Engineering and Technology (IRJET) e-ISSN: 2395-0056
Volume: 11 Issue: 05 | May 2024 www.irjet.net p-ISSN: 2395-0072
![]()

International Research Journal of Engineering and Technology (IRJET) e-ISSN: 2395-0056
Volume: 11 Issue: 05 | May 2024 www.irjet.net p-ISSN: 2395-0072
Mr. Raghvendra singh1 , Dr. Jitesh Shinde2
1Raghvendra Singh, IV Semester, M.Tech (Electrical Power Systems)
2Professor, Electrical and Electronics Engineering, Department, Sandip University, Nashik – 422213, Maharashtra, India
Abstract - Harvesting wind power has emerged as a pivotalstrategyintransitioningtowardssustainableenergy sources due to its abundant availability and eco-friendly attributes. This paper presents an overview of various methodologiesandtechnologiesemployedintheharvesting of wind power, encompassing both onshore and offshore applications. It discusses the fundamental principles governing wind energy conversion systems (WECS), including aerodynamics, turbine design, and power generation mechanisms. Furthermore, it explores the advancements in wind turbine technology, such as horizontal and vertical axis turbines, as well as emerging conceptslikeairbornewindenergysystems.Theintegration of wind farms into existing power grids, along with associated challenges and solutions, is also addressed. Additionally,theenvironmentalimpactsandsocio-economic considerationsassociatedwithwindpowerdeploymentare discussed, highlighting the importance of sustainable practicesintherenewableenergysector.Finally,thepaper concludes with insights into future trends and potential innovationsinwindpowerharvesting,emphasizingtheneed for continued research and development to maximize its potential contribution to global energy demands while minimizingitsenvironmentalfootprint.
Key Words: : Harvestingwindpower;horizontalaxiswind turbine (HAWT); vertical axis wind turbine (VAWT); maximum powerpointtracking;simulation; experimental setup.forecastingtechniques;turbinetechnology;maximum powerpointtracking;hybridsystemsandoptimization
For that reason, these systems require energy harvesting from the environment for long term operation. Together with solar and hydro systems, the wind is a renewable energy source mostly used in large-scale systems. Many works have been proposed for solar small-scale energy harvesting. These systems incorporate methods for maximumpowerpointtracking(MPPT)tochargebatteries orsupercapacitors.Severalstudiessuggesttheuseofwind energy for small-scale systems, mainly with vertical axis wind turbines. Most part of this work is based on the evaluationoftheSavoniusturbine.However,therearefew examples for wind energy harvesting which include the turbine, the generator and a maximum power transfer circuit.Tocomparevariouswindprototypes,itisdefinedthe
efficiencyofthewindgeneratorastheratioofthegenerated outputpowerandthemaximumpoweravailablefromthe wind. The system in [12] used a commercial three-bladed turbine(16cmradius),whichprovided200MWforawind speedof5.4m/s(efficiencyof2.5%).
Windisusedtoproduceelectricitybyconvertingthekinetic energy of air in motion into electricity. In modern wind turbines, wind rotates the rotor blades, which convert kineticenergyintorotationalenergy.Thisrotationalenergy is transferred by a shaft which to the generator, thereby producingelectricalenergy.Windpowerhasgrownrapidly since2000,drivenbyR&D,supportivepoliciesandfalling costs. Global installed wind generation capacity – both onshoreandoffshore–hasincreasedbyafactorof98inthe pasttwodecades,jumpingfrom7.5GWin1997tosome733 GW by 2018 according to IRENA’s data. Onshore wind capacity grew from 178 GW in 2010 to 699 GW in 2020, while offshore wind has grown proportionately more, but fromalowerbase,from3.1GWin2010to34.4GWin2020. Production of wind power increased by a factor of 5.2 between2009and2019toreach1412TWh.Bothonshore and offshore wind still have tremendous potential for greaterdeploymentandimprovement,globally.

The future of energy lies in the power of the wind. Advancementsinwindturbinetechnologyhaveunlockedthe

International Research Journal of Engineering and Technology (IRJET) e-ISSN: 2395-0056
Volume: 11 Issue: 05 | May 2024 www.irjet.net p-ISSN: 2395-0072
potentialofharnessingclean,renewableenergyonalarger scale.Withlargerandmorepowerfulturbines,offshoreand floating wind farms, improved energy storage, smart grid integration,andsustainablepractices,windpowerisdriving ustowardsagreener,moresustainabletomorrow.
Thestructuralmodelofchairframeiscreatedbyusingthe Electrical Cad modeling software. The Harvesting Wind Powercircuitdiagramisshownbelow.Itisusedforcharging batteriesandthereforecanbeusedinallthosedeviceswhich runonbattery Andwecanaddstreetlightcircuitdiagram.


4.1 MATERIAL
Thepropertiesofmaterialusedtomanufacturearematerial used.
WindPowerGenerationCircuit-
1-BatteryHolder
2-3.7voltonecell
3-LEDs
4-ChargerModuleTP4056
5-12voltDcmotor
StreetLightCircuitComponents-
1-TransistorBC547-2
2-LDRone
3-Batterycap-2
4-WhiteLEDs-10
5-1kResistance-2
6-Switch
7-Tencorewireonemeter
In This Project We show when air come then windmill generateelectricityandthatelectricityindicationshowby RedandGreenLEDbulb,Andthatelectricitystoreinbattery andweusethereLDRSensorforcontrolStreetLightOn/Off For , So LDR On the Street Light Only Night Time So Our ElectricityPowerSavebecauseOnlyNightTimeOurStreet LightGlow,andInThisProjectWeshowFirstWindmilland weshowsubstationforstorewindmillgeneratepowerthen thatpowerstepbystepgototowertoDPTransformerand thengotostreetlight,ThisisBestProjectFortransmission anddistributionofelectricalpower
Windpowerisconsideredasustainable,renewableenergy source,andhasamuchsmallerimpactontheenvironment comparedtoburningfossilfuels.Windpowerisvariable,so it needs energy storage or other dispatch able generation energysourcestoattainareliablesupplyofelectricity.One methodistohaveastatorthatcanoperatewithtwoormore differentnumberofpoles.Thus,themachinecanworkwith different mechanical speeds with respect to the different number of poles used; therefore, more energy can be produced.Anotherexampleofthesecontrolmethodsisto engageanelectronicallyvariablerotorresistance,sothatthe mechanicalloadscanbereduced,andtheturbinecanwork with variable wind speeds. In addition, back-to-back converters or doubly fed topologies can be used for the controlofvariablespeedwindturbines.Otherdevelopments in DFIG turbines are on overall system monitoring (SupervisoryControlandDataAcquisition,SCADA)systems.
It is not possible to use conventional machines in wind turbine applications. Therefore different designs of induction, doubly fed, and synchronous PM machines are usedingenerationmode.Mostofthementionedmachines need a gearbox that converts the mechanical speed of the rotoroftheturbine(50–300rpm)to mechanical speed of therotorofthegenerator(750,1000,or1500rpm).The1.5 or2MWgeneratorhasanouterdiameterofabout4m,sothat it can be transported by regular means. The 4.5MW generatorswithadiameterontheorderof10maremadein segments so that they can be transported separately. AnotheradvantageofDDtraingeneratorsisthattheycanbe

International Research Journal of Engineering and Technology (IRJET) e-ISSN: 2395-0056
Volume: 11 Issue: 05 | May 2024 www.irjet.net p-ISSN: 2395-0072
designed for high voltages. This does not improve the efficiency,butforhighpowersintheorderofMW,whenthe voltage level is changed from 400 or 750V to 5 kV, the copperlossesarereduced.

Where T is the machine nominal torque (kN m), Td is the machine torque density (kNm/m3), d0 is the stator outer diameter(activeouterdiameteronly),and Laisthemachine total axial length (active length only including stator end windings).
ThewaveformoftheinducedEMFfromthestatorwindingis showninFigure.20.Theconcentricwindingofthemachine andrectangulardistributionofthemagneticfluxintheair gapgeneratethisnosinusoidalEMF.Duetothiswaveform,a BLDC generator has approximately 15% higher power density in comparison to a PMSG, which has a sinusoidal winding configuration and sinusoidal magnetic flux distributionintheairgap.

TheDCbusvoltagealsoreachesitssteady-statevalueafter thetransientconditionsand itiskeptconstantduringthe rest of the operation. The voltage measured across the terminals of a switch in the inverter is shown in Figure 5, whichisthePWMchoppedDCbusvoltage.Theoutputofthe DC/ACinverterandline-to-linevoltageafterthetransformer .ThisisaPWMsinusoidalvoltagethatcansupplyACloads.

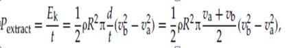
Betz’s law demonstrates the theoretical maximum power that can be extracted from the wind. The wind turbine extractsenergyfromthekineticenergyofthewind.Higher windspeedsresultinhigherextractedenergy.Theextracted powerfromthewindcanbecalculatedusingEquation.

WherePextractisthemaximumextractedpowerfromthe wind, Vaand Vbarewindspeedsafterandbeforepassing throughtheturbine,ρistheairdensity,and R istheradiusof theblades.

The wind is the phenomenon of air moving from the equatorialregionstowardthepoles,aslightwarmairrises toward the atmosphere, while heavier cool air descends towardtheearth’ssurface.Therefore,coolerairmovesfrom theNorthPoletowardtheEquatorandwarmsuponitsway, whilealreadywarmairrisestowardtheNorthPoleandgets

International Research Journal of Engineering and Technology (IRJET) e-ISSN: 2395-0056
Volume: 11 Issue: 05 | May 2024 www.irjet.net p-ISSN: 2395-0072
coolerandheavier,untilitstartssinkingbackdowntoward thepoles.

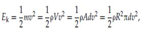
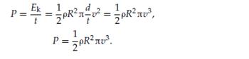
Where Ekisthewindkineticenergy, m isthewindmass, v is thewindspeed,ρistheairdensity, A istherotorarea, R is the blade length, and d is the thickness of the “air disc” Hence,theoverallpowerofwind(P)ispower.

TheRSCisusedtocontrolthewindturbineoutputpower. Thisconvertercanalsobeusedtoregulatethevoltage(or reactivepower)measuredatthegridterminals.Thepower is regulated to track the predefined power–speed characteristicofthewindturbine,andthemechanicalpower curvecanbeobtainedfordifferentwindspeeds.Theactual speed of the turbine (ωr) and power control loop are measuredandthecorrespondingmechanicalpowerisused asthereferencepower.Theblockdiagramoftheproposed RSCcontrollerisdepictedinFigure-7.

Forthisexperiment,adjustableDCpowersupplyhasbeen usedratherthanthegrid-sideconverter.Adiodeisusedis seriesinordertoprotecttheDCsupplyasthisstructureis irreversible. The DFIG should be operated only on subsynchronous mode, i.e. M ≤ s, with s = 1500 rpm is the synchronousspeed.Thecontrolalgorithmisimplemented using Dspace hardware/software. A picture of the experimental setup for generator-side converter control validationisgivenbyFig.8

-8:Rotor-sideconvertercontrol.
Onesolutionforsuchproblemsistobuildhybridsystemsof wind turbines and solar panels, or diesel generators with long- and short-term energy storage devices. Therefore, duringthedaytime,solarpanelscanbeusedastheprime energygenerator,andthedieselgeneratorcanbeturnedon if additional power is needed (during peak time). On the otherhand,duringthenight,windmightbestrongenoughto use solely the wind turbines. This concept needs energy storageunits(batteries,ultracapacitors,orflywheels)and hasanincreasedsystemcost;howeveritishighlyreliable.In conclusion, hybrid topologies for renewable energy technologiesoffersustainedpowerproductionandsatisfy sustained load demands. The proposed digital control strategy has been successfully implemented on dSPACE board using Embedded Coder from Matlab/Simulink. Specifically,thecontrolstrategyhasbeenimplementedand experimentallyvalidatedforeachsubsystem,namely:gridsideconverter,rotor-sideconverter,andgrid-connection.In this context, a labscale experimental platform has been designedandrealized.
Futureworksshouldbeinvestigatingtheimplementationof permanent magnet synchronous generators-based wind energyconversion,thenhighlightingtheclearabilityofthe

International Research Journal of Engineering and Technology (IRJET) e-ISSN: 2395-0056
Volume: 11 Issue: 05 | May 2024 www.irjet.net p-ISSN: 2395-0072
developedplatformtoemulatebothwindandtidalturbines whatevertheusedgeneratortopology.
Significant funds are invested in various research and development projects of wind energy harvesting. The researchanddevelopmenteffortsinwindenergyharvesting can be categorized into three different areas: (a) developments in control systems, (b) developments in electrical machine design, and (c) developments in distributionandgrid-connectedtopologies.
1. MunteanuI,BachaS,BratcuAI,GuiraudJ,RoyeD. Energy-reliability optimization of wind energy conversionsystemsbyslidingmodecontrol.IEEE Transactions on Energy Conversion Sept. 2008;23(3):975–85.
2. SheX,HuangAQ,WangF,BurgosR.Windenergy system with integrated functions of active power transfer,reactivepowercompensation,andvoltage conversion. IEEE Transactions on Industrial ElectronicsOct.2013;60(10):4512–24.
3. Blaabjerg F , Ma K . Wind energy systems. ProceedingsoftheIEEENov.2017;105(11):2116–31.
4. KanjiyaP,AmbatiBB,KhadkikarV.Anovelfaulttolerant DFIG-based wind energy conversion system for seamless operation during grid faults. IEEE Transactions on Power Systems May 2014;29(3):1296–305.
5. KanjiyaP,AmbatiBB,KhadkikarV.Anovelfaulttolerant DFIG-based wind energy conversion system for seamless operation during grid faults. IEEE Transactions on Power Systems May 2014;29(3):1296–305.
6. Geng H , Liu C , Yang G .LVRT capability of DFIGbased WECS under asymmetrical grid fault condition. IEEE transactions on Industrial ElectronicsJune2013;60(6):2495–509
7. JaliliK,BernetS.Designoflclfiltersofactive-frontend two-level voltage-source converters. IEEE Transactions on Industrial Electronics May 2009;56(5):1674–89.