
International Research Journal of Engineering and Technology (IRJET) e-ISSN: 2395-0056 p-ISSN: 2395-0072
Volume: 11 Issue: 04 | Apr 2024 www.irjet.net
![]()

International Research Journal of Engineering and Technology (IRJET) e-ISSN: 2395-0056 p-ISSN: 2395-0072
Volume: 11 Issue: 04 | Apr 2024 www.irjet.net
Athul Raj V M1 , Surya Sushad2
Sneha S3 , Rachana Ramachandran R P4
,
1Student, Dept.of Information Technology, KMCT College of Engineering, Kerala, India
2Student, Dept.of Information Technology, KMCT College of Engineering, Kerala, India
3Student, Dept.of Information Technology, KMCT College of Engineering, Kerala, India.
4Assistant Professor, Dept.of Information Technology, KMCT College of Engineering, Kerala, India ***
Abstract - Education plays a crucial role in shaping students' future prospects. Additional assignments and projects assigned by instructors can bolster the academic performance of students struggling academically. However, a significant challenge lies in the early identification ofstudents who are at risk. Researchers are actively exploring this issue using Machine Learning techniques. Machine learning finds applications across various domains, including the early identification of at-risk students and providing them with necessary support from instructors. This research delves into the outcomes achieved through Machine Learning algorithms in identifying at-risk students and mitigating student failure. The primary objective of this project is to develop a hybrid model using ensemble stacking methodology to forecast atrisk students accurately. A range of Machine Learning algorithms such as Naïve Bayes,RandomForest,DecisionTree, K-Nearest Neighbors, Support Vector Machine, AdaBoost Classifier, and Logistic Regression are employed. Each algorithm's performance is assessedusing diverse metrics,and the study showcases the hybrid model that amalgamates the most effective algorithms for prediction. The model is trained and tested using a dataset containing students' demographic and academic information. Additionally, a web application is designed to facilitate the efficient utilization of the hybrid model and obtain prediction results. The study reveals that employing stratified k-fold cross-validation and hyper parameter optimization techniques enhances the model's performance. Furthermore, the hybrid ensemble model's efficacy is evaluated using two distinct datasets to underscore the significance of data features. In the first combination, utilizing both demographic and academic data, the hybrid model achieves an accuracy of 94.8%. Conversely, when solely academic data is utilized in the second combination, the accuracy of the hybrid model increases to 98.3%. The study's focal point is early prediction of at-risk students, enabling educators to offer timely assistance to students struggling academically.
Key Words: EnsemblingStackingMethod,MachineLearning Techniques, dropout prediction.
Throughout the academic term, certain students may encounterobstaclesintheirstudiesduetovariousfactors, including psychological issues, familial dynamics, peer
pressure,orinadequateteachersupport.Thesechallenges can significantly impede the academic progress of these students,necessitatingtimelyinterventionfromeducatorsto identifyandofferassistance.Predictingstudents'academic performance enables teachers to identify those in need of additionalcourses,supplementaryassignments,orsupport services.However,ineducationalinstitutionswithasizable student body, analyzing individual student performance can bedaunting.
Early identification of students who might face academic difficultiesallowsfortargetedinterventionstoimprovetheir prospectsbeforeproblemsescalate.Thisprojectprimarily focusesonhighschoolstudents,recognizingthesubstantial impactoftheiracademicachievementsonfutureeducational pursuits. By utilizing a dataset comprising both academic anddemographicdata,theprojectaimstoassessstudents' successorfailurebasedonestablishededucationalcriteria. Success is determined based on year-end average scores, withapassinggradesetat50orabove,andafailinggrade below 50. According to educational regulations, students with a year-end general average grade below 50 may progress to thenextgrade provided theyhaveno more than three failed courses. Identifying potentially struggling students early in the academic year is crucial, though challengingduetothelargestudentpopulationandresource constraints.
Toaddressthischallenge,varioustechniquesareemployed to identify at-risk students, acknowledging the complexities educatorsfaceinthisendeavor.Theprojectemphasizesthe importance of employing differentiated techniques to identify students facing precarious academic situations, particularly in high school settings. A departure from traditional methods, the project aims to develop a hybrid modelusingmachinelearningtechniques.Thishybridmodel integratessupervisedlearningalgorithms,includingNaive Bayes, Support Vector Machine, Random Forest, Decision Tree, K-Nearest Neighbor, Logistic Regression, and AdaBoost, with the goal of achieving superior predictive outcomes. These algorithms' accuracy is evaluated using diverse metrics to identify the top performers. Ensemble methods such as Bagging, Boosting, and Stacking are employedtocombinemultiplemachinelearningtechniques, withthestackingensemblelearningapproachselectedfor creatingthehybridmodel.

International Research Journal of Engineering and Technology (IRJET) e-ISSN: 2395-0056 p-ISSN: 2395-0072
Volume: 11 Issue: 04 | Apr 2024 www.irjet.net
The project comprises two phases: Phase 1 involves determiningthebasemodelwiththebestpredictionresults fromtheinitialmodels,whilePhase2focusesonselecting the meta-classification model and optimizing the combinationofpredictionsfromthebasemodels.Stratified k-fold cross-validation of the base models is used to effectivelypreparethetrainingdatasetforthemetamodel. Theprimaryobjectiveoftheprojectistoproactivelyidentify highschoolstudentsatriskofacademicfailureandprovide targeted support to enhance overall student success. The researchutilizesanewlycollecteddatasetfromhighschool students, including demographic information and academic performance indicators gathered through questionnaires. The study highlights the importance of academic data in identifying at-risk students and introduces a hybrid ensemblemodeltoimprovepredictionaccuracy.
Evaluating students' learning performance stands as a pivotal aspect in assessing the effectiveness of any educational system. It plays a critical role in addressing challengeswithinthelearningprocessandservesasakey metricformeasuringlearningoutcomes.Theutilizationof data-driven insights to enhance educational systems has givenrisetothefieldofeducationaldatamining(EDM).EDM involvesthedevelopmentofmethodologiestoanalyzedata collected from educational environments, facilitating a deeper and more precise understanding of students and therebyenhancingeducationaloutcomes.
In recent years, there has been a significant surge in the adoptionofmachinelearning(ML)technology.Researchers and educators leverage the insights derived from data mining in education, including metrics related to success, failure, and dropout rates, to forecast and simulate educational processes. Thus, this study undertakes an examination of students' performance using data mining techniques. It employs both clustering and classification methodologiestoascertaintheearly-stageimpactonGPA.
Inemployingtheclusteringtechnique,thestudyutilizesthe T-SNEalgorithmfordimensionalityreduction,considering factors such as admission scores, initial level courses, academic achievement tests (AAT), and general aptitude tests (GAT) to explore their relationship with GPA. Regarding the classification approach, the study conducts experiments using various machine learning models to predictstudentperformanceinearlystages,incorporating features such as course grades and admission test scores. Additionally, diverse assessment metrics are employed to evaluate the models' efficacy. The findings suggest that educational systems can proactively mitigate the risks
ofstudentfailureduringtheearlystagesoftheiracademic journey.
Intoday'scontemporarysociety,technologypervadesnearly everyaspectofhumanlife,includingtheeducationalsector. Amongthecoreobjectivesofeducationalinstitutionsisthe enhancement of students' academic performance. Traditionally, many secondary schools have relied on manual methods such as assumptions and mock exams to gauge students' progress and strive for improvement. However, this approach, employed over the years, has proven to be ineffective and inefficient, evident from the consistentdeclineinWAECresultsamongstudentsinboth privateandpublicsecondaryschoolsinNigeria.Despitethe presence of Information and Communication Technology (ICT)andstudentdata,mostschoolshavenottappedinto thepotentialofthisdatatoaddresstheissueathand.
Given the limitations of existing approaches in improving students'academicperformance,thereisapressingneedfor amoreeffectivestrategy.Hence,thisresearchproposesan approach that harnesses AI technology to achieve better outcomes.ThestudyfocusesonleveragingICTandArtificial Neural Networks (ANN) to predict students' academic performance. Through a combination of qualitative and quantitative methodologies, the requirements for such a systemwereidentified.WEKAwasutilizedasthesimulation environmenttoevaluatetheproposedalgorithmbasedon the identified factors. The test results from the prototype indicate that the model holds promise for predicting students'academicperformanceinsecondaryschools.
The research introduces concepts such as predictive analytics, predictive modeling, and Artificial Neural Networks,withWEKAservingastheplatformforanalyzing academicperformancedatainconjunctionwithcontextual factors. The methodology encompasses a mixed-method research design, incorporating both qualitative and quantitative data analysis techniques. The prototype's abstraction is based on fundamental elements such as the sigmoid function, which underpins the neural network's predictivecapabilities.Thisresearchendeavorstobridgethe gapbetweentraditionalassessmentmethodsandinnovative AI-driven approaches to enhance students' educational outcomes.
Despiteimprovementsintheeducationalattainmentofthe Portuguese population over recent decades, Portugal still lags behind in Europe due to its persistently high rates of studentfailure.Particularlyconcerningisthelackofsuccess

International Research Journal of Engineering and Technology (IRJET) e-ISSN: 2395-0056 p-ISSN: 2395-0072
Volume: 11 Issue: 04 | Apr 2024 www.irjet.net
in foundational subjects like Mathematics and the Portugueselanguage.Conversely,intherealmofBusiness Intelligence (BI) and Data Mining (DM), which focus on extracting valuable insights from raw data, there exist promisingautomatedtoolsthatcouldbenefittheeducation sector.Thisstudyaimstoaddressstudentperformancein secondaryeducationbyemployingBI/DMtechniques.Realworld data, including student grades, demographic information,socialfactors,andschool-relatedattributes,was gathered from school reports and questionnaires. The study focusedonmodelingthetwocoresubjects,Mathematicsand Portuguese, through binary/five-level classification and regressiontasks.
Four DM models - Decision Trees, Random Forest, Neural Networks, and Support Vector Machines were employed, along with three input selection strategies, including the inclusion/exclusionofpreviousgrades.Theresultsindicate that achieving a high predictive accuracy is feasible, particularlywhengradesfromthefirstand/orsecondschool periods are available. While past academic performance significantly influences student achievement, explanatory analysisrevealedotherpertinentfactors,suchasthenumber of absences, parental occupation and education level, and alcoholconsumption.Asadirectoutcomeofthisresearch, thedevelopmentofmoreeffectivestudentpredictiontoolsis envisioned,aimingtoenhancethequalityofeducationand optimizeschoolresourcemanagement. ThisstudyunderscoresthepotentialofBI/DMtechniquesto address persistent challenges in student achievement, offering insights that could inform targeted interventions andsupportmechanismsintheeducationsector.
3.1
The pressing concern at the heart of this project is the systemic hurdle within modern education systems. Traditionalmethodsofidentifyingacademicallyvulnerable studentsexhibitinherentlimitations,promptinganecessary shifttowardsintegratingmachinelearning.Thisshiftaimsto proactivelyaddressacademicchallengescomprehensively. The deficiencies in conventional assessment methods, coupled with subjective teacher observations, lead to delayedidentificationofstrugglingstudents.Consequently, there'sa heightenedrisk offailureanda persistentgap in providingtimelyinterventions.
Hence, the core objective of this initiative is to leverage machine learning's advanced analytics to meticulously analyze diverse datasets. These datasets encompass academicrecords,attendance,behavior,andsocio-economic factors. The ultimate goal is to develop a sophisticated predictive model capable of identifying subtle patterns indicativeofat-riskstudentsearlyintheiracademicjourney.
Theproposedsystemistoidentifyhighschoolstudentsat riskbeforetheendoftheeducationperiodandtosupport the education of high school students. The purpose of our systemistoincreasethesuccessperformanceofstudents,as wellastoidentifystudentswhomayfailintheclassbefore theendofthesemesterandtoprovidetimelysupportbythe teacher to such students. Teachers can be informed about studentsatrisk(studentswhomayfail)asdetermined by the hybrid model and additional study material may be providedtothesestudentsbytheteachers.Byanalyzingthe characteristics of the data set obtained from the students, thecharacteristicsthataffecttheschoolperformanceofthe studentscanbedetermined.Thus,moreefficientresultscan be obtained by using these data while creating a hybrid model.
4.2.1
Utilizing a dataset sourced from high school students, the collectionprocessinvolvedthedistributionofastructured questionnaire. Tailored to accommodate diverse backgrounds,socialcontexts,andtalents,thequestionnaire comprised two sections: one focusing on demographic detailsandtheotheronacademicaspects.Responsesvaried from binary choices like Yes/No to textual inputs such as numbers or words. Google Forms facilitated the survey creation.
The gathered dataset aligns with the project's objectives, encompassingcrucial featureslikestudyhabits,examand homework scores, future educational aspirations, and extracurricularengagements.Acknowledgingthediversity among students, the data collection emphasized their distinctcharacteristics.Thisdatasetsignificantlycontributes totheprojectbyincorporatingcontemporaryinformation, enablingthedevelopmentofahybridmodel.Byaddressing prevailing student issues and considering educational systemdynamics,thedatasetenhancesthemodel'sefficacy inidentifyingat-riskstudents.
4.2.2
Topreparethedatasetforanalysis,itundergoesacrucialstep calleddatapreprocessing.Thisprocessinvolvestransforming rawdataintoamoreinterpretableformatsuitableformodel utilization. Detecting missing, inconsistent, outlier, and erroneous data is essential to avoid inaccurate estimation outcomesduetoincompleteorinconsistentdata.Inlinewith theproject'sobjectives,a"Pass"columnwasintroducedto monitor students' course success. Success is defined as achieving an average of at least 50 in both semesters combined.Accordingly,studentswithayear-endaverageof

Volume: 11 Issue: 04 | Apr 2024 www.irjet.net
50orhigheraremarkedassuccessful(assignedthebinary value'1'),whilethosebelow50areclassifiedasunsuccessful (assigned'0').Thisadditionofthe"Pass"featureservesasa predictivetargetforthemodels.
Followingdatapreprocessing,visualizationtechniqueswere employedusingvariousgraphstocomprehenddatafeature relationships and assess their impact on student success performance.Datavisualization,facilitatedbytheSeaborn library in Python, is instrumental in gaining insights into datasetcharacteristics.Thisanalysisaimstoidentifykeydata attributes crucial for model training, with the results and interpretations of the visualizations forming part of the evaluationprocess.
The initial phase involved employing various supervised machinelearningalgorithmssuchasRandomForest,K-NN, Decision Tree, SVM, Naive Bayes, Logistic Regression, and AdaBoost to generate preliminary model results. These selections were based on a comparative analysis of algorithms utilized in prior literature to identify those demonstrating superior performance, which were then chosenforthisstudy.Beforeconstructingthehybridmodel, each algorithm underwent individual evaluation and comparison,utilizingbothacademicanddemographicdata fromthedataset.Additionally,separateassessmentswere conductedusingonlyacademicdatatoassessitsimpacton predictionoutcomes.Thetargetlabelforthemodelswasset as the "Pass" column, and default hyper parameters were utilizedforallalgorithms.
Uponreviewingtheinitialresults,adjustmentstothehyper parameter values of algorithms exhibiting the most promisingpredictionswereconsideredbeforecreatingthe hybridmodel.Theproposedapproachemployedthestratified k-foldcross-validationmethodtopartitionthedatasetinto trainingandvalidationfolds.Ratherthantraditionaltrain-test splitting,thismethodfacilitatedtrainingandtestingmodels with each data feature individually, thereby generating prediction outcomes. Utilizing cross-validation mitigated potentialissuesarisingfrommodelrelianceonspecificdata features during training, thus addressing concerns of overfitting and assessing the model's performance consistency. Set with a k value of 10, the stratified K-Fold Cross Validation ensured representative sampling across folds,contributingtomorerobustpredictionperformance. Machinelearningalgorithmsusedtoobtainthefirstmodel resultsinvolves:
LogisticRegression:
Logistic regression does binary classification. Project case,thetargetfeatureisthe‘‘pass’’column.Here,there aretwopossibilities,(1)studentwillbesuccessful
2395-0056 p-ISSN: 2395-0072
(representedby1)and(2)studentwillfail(represented by0).Thelogisticregressionfunctionisgivenbelow.In Equation,(i)pistheprobabilityofthetargetevent,(ii) the set {x1, x2, . . . xn} represents the independent variables, (iii) the set {b1, b2, . . . , bn} represents coefficientsofthelogisticregression,(iv)b0represents the bias (or intercept) term. The output value will be modeledasbinaryvalue(1or0).

K-nearestNeighbors:
Afterhyperparameteradjustments,usedEuclideanasthe distancemetricparameterforKNNalgorithm.Euclidean distanceformulaasfollows.

AccordingtotheEuclideandistance,xandyrepresent thetwopointsinthecoordinateplane.Consequently,KNearest Neighbors as follows. In Equation , (i) X is datasetfeatures,(ii)kisthenumberofneighbors,(iii)Y istargetclass,(iv)Rrepresentsthesetofobservationsof theknearestpoints,(v)indicatorvariableasI(yi=j).

DecisionTree:
This algorithm is one of the supervised learning algorithms. It is a model that use to classify students accordingtotheirschoolperformancestatus(successful or unsuccessful). After making the parameter adjustments,entropycriterionwasusedasparameter. Entropy is the impurity measurement and calculated basedonfeatureY.Inequation,Xrepresentsthetarget variable(passcolumn),Yrepresentsthefeatureinthe datasetandpirepresentstheprobabilityoftargetiatthe node.Itcanbemathematicallyexpressedasfollows.

UseBayestheoremalongwiththeconditionalprobability formulatocalculatetheprobabilityofaneventtooccur. In project case, this event can represent whether studentsaresuccessfulornot.Inequation,Xisvectorof featuresandYisclassvariable.Thewaythisalgorithm worksisbycalculatingtheprobabilityofeacheventfora variableandclassifythatvariableaccordingtothe

International Research Journal of Engineering and Technology (IRJET) e-ISSN: 2395-0056 p-ISSN: 2395-0072
Volume: 11 Issue: 04 | Apr 2024 www.irjet.net
highestprobabilityoutcome.Thefollowingexpressionof Bayes theorem calculates the probability of event Y occurringwheneventXoccurs.

P(Y|X)andP(X|Y)=Conditionalprobability.
P(Y)=Priorprobabilityoftheclassvariable.
P(X)=Priorprobabilityofthepredictor.
RandomForest:
Dependingonthefeaturesinthedataset,classificationis conducted to predict whether the student will be successfulornot.Therandomforestalgorithmclassifies byemployingacombinationofmultipledecisiontrees andchoosesthedecisiontreethatgivesthebestoutcome asthepredictionresult.Theentropyfunction(Equation) was chosen to measure the probability of a specific outcome. Furthermore, the random forest model for our problemmaybeexpressedasfollows.

Here, (i) D represents the training dataset, (ii) the variables{x1,x2, ,xm}representdatafeaturesinthe dataset,(iii)Therearensamplesofeachfeature,(iv)the variables{y1, ,yn}representtheclass(target)label. Fromthisset,Cangetsamplerandomsubsetsincluding data samples. The random forest algorithm performs decisiontreecombinationswitheachcreatedsubset.As a result, the best output is considered based on the classificationoutcome.
AdaBoost:
The AdaBoost classifier was used as another machine learningalgorithm.Thisalgorithmcombinestheweak learnerswithimportanceweightstogetastronglearner. Eachtime,thetrainingdataisupdatedbasedonthedata points and it is used in the next learner model. In Equation,where(i)αistheclassifiercoefficient(applied weight), (ii) M is weak classifiers, (iii) ym(x) is weak classifieroutputs.

SupportVectorMachine:
SVM is a supervised learning algorithm which can be usedtosolvetheclassificationproblems.Toconductthe classification,alinearlineisdrawnthatseparatesthe sampleclassesandthentheoptimalhyperplaneis
found. It classifies the sample data points by deciding which class they belong to. The SVM model can be expressedmathematicallyasinEquation,where(i)f(x) isthemainfunction,(ii)(x)isthefeaturemap,(iii)bis thebiasterm,(iv)wistheweightvector.InEquation11, functionycanbedefinedaccordingtothef(x)function. If the sample point is under the hyperplane, it is evaluatedas-1.Ifthesamplepointisaboveordirectly onthehyperplane,itisevaluatedas1.

Morethanonemodeliscreatedtodeterminethepredictive model that provides the best accuracy performance. The accuracyperformanceofeachmodelisdifferentduetothe errorsmadebythemodelsconsideringdifferentpointsin thedataset.Ensemblelearningtechniqueisagoodwayto use to improve the performance of the models. With Ensemblelearning,resultsarecombinedusingmultiplebest performing models. Thus, a clearer and higher estimation resultcanbeobtained.
Thestackingmethodhasbeenusedinthisproject.Itisone of the ensemble learning techniques, to create the hybrid model.Withthisapproach,theperformanceofthepredictive modelisincreased,andmarginsoferrorarereduced.The hybridmodel wascreatedwiththemodelsusedforinitial resultsbythestackingmethod.Eachalgorithmwastested for metalearner, and the algorithm that gave the best performanceresultwasusedasameta-learner.Accordingto theresultsobtained,NaiveBayes,RandomForest,Decision Tree, AdaBoost, Logistic Regression and KNN algorithms were used as base learners. The Support Vector machine algorithmwasusedasametalearner.
Thegeneralprocedureofthestackingmethodproceedsas follows.First-level learning algorithmsare represented as baselearnermodels,andthesecond-levellearningalgorithm is represented as meta-learner model. These learners are combinedtocreatethestackingmodel.First,baselearners aretrainedwiththetrainingpartofthedataset,andtotrain themetalearner,itisnecessarytocreateadifferenttraining set than the data set used to train the base learners . The results of the predictions are obtained by testing the base learnerswiththetestset.Thepredictionoutputsobtained from the base learners are used as the input of the meta learner.Finalpredictionresultsareobtainedaftertraining themetalearnerwiththenewcreateddataset.Themethod presentedinthisproject,stacking10-foldcrossvalidationis used to create a new training dataset for meta learner. Project include, SVM was used as the meta learner model and as a result of the meta learner model, the prediction resultsofthefinalhybridmodelwereobtained.

International Research Journal of Engineering and Technology (IRJET) e-ISSN: 2395-0056 p-ISSN: 2395-0072
Volume: 11 Issue: 04 | Apr 2024 www.irjet.net
Thestackingensemblemethodwasproposedforpredicting at-risk students. First, base learner models were trained with the part of the data set created for training. Subsequently, a new training set is created by the model based on the prediction results obtained from the base learnermodels.Theoriginaldatalabelsarestillconsidered thetargetclasswhencreatingthenewdataset.Thefollowing firstexpression,Disthedataset;itincludesdatafeatures. second expression is the generated new data set which is expressedasD’.Thisnewgenerateddatasetwillbeusedfor metamodeltraining.D’includespredictionsofbaselearners andfeatures.Finally,aftertrainingthemetalearner,wecan getpredictionsoftheensemblemodel.

Afterthefinalhyperparameteradjustmentsweremadein the hybrid model, the performance of the model was measuredwithvariousmetrics.Thereareseveralmetricsfor evaluating machine learning models. Since classification modelswereusedinthiscase,theperformanceofthehybrid modelwasevaluatedusingaccuracy,recall,precision,AUCROC curve and F1 score metrics. The formulas of the accuracy,recall,andprecisionmetricsaregiveninEquation.



5.1
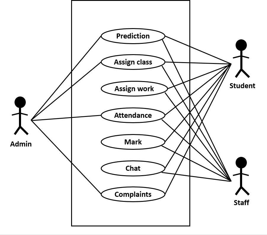
A UML use case diagram is the primary form of system/softwarerequirementsforanewsoftwareprogram underdevelopment.Usecasesspecifytheexpectedbehavior, andnottheexactmethodofmakingithappen.Itsummarizes some of the relationships between use cases, actors, and systems. It is an effective technique for communicating system behavior in the user's terms by specifying all externally visible system behavior. Here three actors are Admin,Staffandstudent.

A class diagram is a static representation illustrating the attributes, operations, and constraints of a class within a system.Itservesasafundamentaltoolinmodelingobjectoriented systems due to its direct correlation with objectoriented languages. Comprising classes, interfaces, associations, collaborations, and constraints, it offers a comprehensive view of the system's structure. Class diagramsarealsorecognizedasstructuraldiagramswithin therealmofUMLmodeling.

Activity diagrams serve as visual depictions of stepwise workflowsencompassingactivities,actions,anddecision points,accommodatingchoice,iteration,andconcurrency. WithintheUnifiedModelingLanguage(UML),theyaimto depictcomputationalandorganizationalprocesses,along with data flows intersecting these activities. While primarily illustrating control flow,activity diagrams can

International Research Journal of Engineering and Technology (IRJET) e-ISSN: 2395-0056 p-ISSN: 2395-0072
Volume: 11 Issue: 04 | Apr 2024 www.irjet.net
also incorporate elements representing the flow of data stores.

A data-flow diagram serves as a visual representation illustrating the movement of data within a process or system, typically an information system. It outlines the inputs and outputs of each entity, as well as the process itself. Unlike control flow diagrams, data-flow diagrams lack decision rules and loops. Instead, flowcharts are typicallyusedtorepresentspecificoperationsbasedonthe data.
LEVEL 0

LEVEL 1.1

LEVEL 1.2

LEVEL 1.3

The predictive outcomes aid teachers in pinpointing students at risk and mitigating potential failures. Initially, individualmodelevaluationsyieldedperformanceresults.It was noted that employing the Stratified K-Fold Cross Validationmethodpositivelyimpactedmodelperformance. Additionally, optimizing hyperparameters was found to enhancemodeleffectiveness.Hence,utilizingstratified10foldCVandconductinghyperparameteroptimizationwere deemedtoimprovemachinelearningmodelperformance. Among the individually evaluated models, Logistic Regressionexhibitedthehighestaccuracyat94.4%.
Following the proposed approach, a hybrid model was constructedusingthestackingmethod,experimentingwith various supervised algorithms as meta learners. Optimal performanceforthehybridmodelwasachievedwhenSVM servedasthe meta learner, yieldingan accuracy of94.8% andaprecisionof96.8%.Comparinghybridmodelscreated withdifferentmetalearnersrevealedthatSVMyieldedthe best performance. Performance metrics such as accuracy, precision,recall,F1score,andAUCscorewereemployedto assess hybrid model performance. Furthermore, a comparison was made between hybrid models utilizing solelyacademicdataversusbothdemographicandacademic

International Research Journal of Engineering and Technology (IRJET) e-ISSN: 2395-0056 p-ISSN: 2395-0072
Volume: 11 Issue: 04 | Apr 2024 www.irjet.net
data. Results indicated that while the hybrid model's performancereached94.8%whenutilizingbothdatatypes, focusing solely on academic data led to an increased performanceof98.4%.Thisunderscoresthesignificanceof academic data in predicting at-risk students. Overall, the hybrid model demonstrated superior performance comparedtoindividualmodels,asobservedfromtheresults obtained.
Toenhancefutureacademicsuccess,it'scrucialforteachers toidentifystudentswhomaybeatriskoffailingearlyon.By pinpointingthesestudentsaheadoftime,teacherscanoffer additionalsupportandinterventions,thusimprovingtheir chances of success. The primary goal of this project is to predictstudentsatriskbeforetheendoftheacademicterm, andmachinelearningtechniquesareproposedasasolution. Specifically, a hybrid model utilizing supervised machine learningalgorithmsisdevelopedtoaddressthischallenge. Variousmachinelearningalgorithmsareappliedtodatasets, and individual models are evaluated. However, a unique approachistakenincreatingahybridensemblemodelusing astackingtechniquetopredictat-riskstudents.Thedataset containinginformationabouthighschoolstudents,including both demographic and academic attributes, is obtained throughaform.
Furthermore, a web application is developed to enable teacherstoutilizethehybridmodel.Byinputtingrelevant student data into the application, teachers can access informationaboutstudents'academicperformance,thereby identifyingthoseatriskandprovidingthemwithnecessary assistance.Thisalignswiththeproject'sobjectiveofcreating ahybridensemblemodeltoidentifyat-riskstudentsusing thestackingmethod.
[1] P. Cortez and A. Silva, ‘‘Using data mining to predict secondaryschoolstudentperformance,’’inProc.15thEur. Concurrency Eng. Conf. (ECEC), 5th Future Bus.Technol. Conf.(FUBUTEC),2008,pp.5–12.
[2] E. Er, ‘‘Identifying at-risk students using machine learningtechniques:AcasestudywithIS100,’’Int.J.Mach. Learn. Comput., vol. 2, no. 4, pp. 476–480, 2012, doi:10.7763/ijmlc.2012.v2.171.
[3] S. Isljamovıc and M. Suknovıc, ‘‘Predicting students’ academic performance using artificial neural network: A casestudyfromfacultyoforganizationalsciences,’’Eurasia Proc.Educ.SocialSci.,vol.1,pp.68–72,May2014.
[4] I. Lykourentzou, I. Giannoukos, V. Nikolopoulos, G. Mpardis,andV.Loumos,‘‘Dropoutpredictionine-learning
courses through the combination of machine learning techniques,’’Comput.Educ.,vol.53,no.3,pp.950–965,2009.
[5]H.Lakkaraju,E.Aguiar,C.Shan,D.Miller,N.Bhanpuri,R. Ghani,andK.L.Addison,‘‘Amachinelearningframeworkto identifystudentsatriskofadverseacademicoutcomes,’’in Proc. 21st ACM SIGKDD Int. Conf. Knowl. Discovery Data Mining,Aug.2015,pp.1909–1918.
[6] H. Agrawal and H. Mavani, ‘‘Student performance predictionusingmachinelearning,’’Int.J.Eng.Res.,vol.4,no. 3,pp.111–113,Mar.2015.
[7] L. A. B. Macarini, C. Cechinel, M. F. B. Machado, V. F. C. Ramos, and R. Munoz, ‘‘Predicting students success in blendedlearning Evaluatingdifferentinteractionsinside learningmanagementsystems,’’Appl.Sci.,vol.9,no.24,p. 5523,Dec.2019.
[8]A.Elbadrawy,A.Polyzou,Z.Ren,M.Sweeney,G.Karypis, and H. Rangwala,‘‘Predicting student performance using personalizedanalytics,’’Computer.
[9] I. E. Livieris, K. Drakopoulou, V. T. Tampakas, T. A. Mikropoulos,andP. Pintelas,‘‘Predicting secondaryschool students’performanceutilizingasemi-supervisedlearning approach,’’J.Educ.Comput.Res.,vol.57,no.2,pp.448–470, Apr.2019.
[10]M.Adnan,A.Habib,J.Ashraf,S.Mussadiq,A.A.Raza,M. Abid,M.Bashir,andS.U.Khan,‘‘Predictingat-riskstudents at different percentages of course length for early interventionusingmachinelearningmodels,’’IEEEAccess, vol.9,pp.7519–7539,2021.