HUFFMAN CODING ALGORITHM BASED ADAPTIVE NOISE CANCELLATION

Page 1

HUFFMAN CODING ALGORITHM BASED ADAPTIVE NOISE CANCELLATION

Professor [1] , Professor, Department of Communication Systems, K.S.R College of engineering, Tamil Nadu, India Student [2], Department of Communication Systems, K.S.R College of engineering, Tamil Nadu, India

ABSTRACT:

When working with digital or analog recording equipment, noise is always present in the form of speeks in images or background noise in music recordings. Consequently, this paper focuses on approaches to decreasing theimpacts of thesetypes of commotion on picture and sound records that can be packed and sent through a correspondence channel. Data compression and algorithms are used in conjunction with this noise reduction mechanism to reduce noise while transmitting images and sounds in their original, undisturbed form. Noticeable sound rises outof tension assortments overall aroundfalling on the ear drum. The human auditory system is responsive to sounds between 20 Hz and 20 kHz as long as the sound's intensity is above the frequencydependent "threshold of hearing." Figure 1 shows the human auditory field in the frequency-intensity plane. The audible intensity range is around 120 dB, from the rustle of leaves to the boom of an airplane taking off. A period waveform of the pneumatic force variety is captured by a receiver in the sound field at the mouthpiece's location. A digital audio signal is created by sampling and quantizing the microphone's electrical output appropriately. The need to synchronizeaudio andvideodatain thepastledto the widespread use of 44,100 Hz, despite the fact that any sampling rate higher than 40 kHz would be sufficient to capturetheentirerange of audiblefrequencies. The expression "Album quality" alludes to digitized, 16-bit long, 44.1 kHz tested sound. Sound signals include sounds like speech, music, the sounds of the environment, and even artificial sounds. Time-shifting sounds are a huge group of fascinating sounds that are found in nature and are encoded as brief clusters of nuclear sound events. Music, on the other hand, can be compared to a shifting pattern of notes while speech, for example, can be compared to a series of phone calls. A nuclear sound event, also known as a single gestalt, can be a complicated acoustical sign that is portrayed by a specific arrangement of fleeting and ghostly properties. Occurrences of atomic sound events integrate short sounds, for instance, an entrance mallet, and longer uniform surface sounds like the steady patter of storm. The term of the sound as well as any sufficiency regulations, like the ascent and fall of the waveform plentifulness envelope, are alluded to as the worldly properties of a sound

occasion. The strengths of the various frequency components of the sound are related to its spectral properties. Audio waveforms can be aperiodic or periodic. Intermittent sound waveforms, with the exception of the straightforward sinusoid, are complex tones with a major recurrence and a progression of suggestions or products of the key recurrence.

Keywords: sound'sintensity,sampling,noisereduction andprogression

I.INTRODUCTION

A perceivable sound is produced by pressure varieties thatfallontheeardruminalldirections.Nomatterhow loud the sound is above the subordinate "edge of hearing,"thehumanhear-ableframeworkisreceptiveto sounds between 20 Hz and 20 kHz. Figure 1 depicts the human hear-capable field in the repeat force plane. The perceptible power range is approximately 120 dB between the mix of leaves and the impact of a plane eliminating. A pneumatic force-type period waveform is captured by a receiver in the sound field at the mouthpiece. To deliver a modernized sound sign, the electrical consequence of the mouthpiece is properly inspected and evaluated. The verifiable need to synchronize video and audio led to the development of 44,100 Hz, which is the most common testing rate. However, in order to capture the entire spectrum of frequencies that can be discerned, any examining recurrence that is greater than 40 kHz would be sufficient.Theinvestigatedsoundthathasbeendigitized into16-bitwordsisreferredtoasthe

The phantom properties of the sound are connected to the characteristics of its various recurrence parts. There are two possible sound waveforms: aperiodic and intermittent.Withtheexceptionofthekeysinusoid,rare sound waveforms are confusing tones with a central rehash and a movement of thoughts or things from the centralrehash.Thedistinctstagesandamplitudesofthe

. In contrast, aperiodic waveforms can be composed of frequency-shaped noise or sine tones that are not harmonicallyrelated.Asound'sperceived qualitycanbe affected by its combination of tone-like and noise-like spectral properties. Discourse is portrayed by rotations of apparent and loud locales with tone spans relating to

International Research Journal of Engineering and Technology (IRJET) e-ISSN: 2395-0056 Volume: 10 Issue: 06 | Jun 2023 www.irjet.net p-ISSN: 2395-0072 © 2023, IRJET | Impact Factor value: 8.226 | ISO 9001:2008 Certified Journal | Page252
***

vowel fragments happening at a more ordinary syllabic rate.Music,thenagain,beingamelodicgroupingofnotes is profoundly apparent generally with both essential recurrence and length changing over a wide reach. The auditory system processes sound signals, which are essentially physical stimuli, to elicit psychological sensations in the brain. It makes sense that a sound's most noticeable acoustical properties are the ones that influence how people perceive and recognize it. Since Helmholtz's time in 1870, studies of hearing perception have been conducted. Pitch, loudness, subjective duration, and timbre are the perceptual characteristics that are used to describe sounds. It is known that the human auditory system uses frequency analysis of sounds to fuel higher-level cognitive processes. Every one of the emotional sensations is corresponded with more than one ghastly property (e.g., apparent substance) or transient property (e.g., assault of a note struck on an instrument) of the sound. Consider the representation of audio signals in terms of a joint descriptionin timeand frequency because both spectral and temporal properties are relevant to the perception andcognitionofsound.Eventhoughaudiosignalsareby nature non-stationary, audio signal analysis typically assumes that the properties of the signals change relatively slowly over time. The analysis of short windowed segments of the signal is repeated at uniformlyspacedintervalsoftimeto estimatethesignal parameters, or features. The boundaries so assessed by andlargeaddressthesignattributesrelatingtothetime focusofthewindowedsection.Short-timeanalysisisthe process of estimating the parameters of a time-varying signal,andtheparametersthatareobtainedarereferred to as the "short time" parameters. An underlying signal model may be related to signal parameters. The wellknown source-filter model of speech production, for instance, provides an approximate representation of speech signals. The sound production mechanism of some musical instruments uses the source-filter model, withthesourcebeingavibratingobjectlikeastringand the filter being the instrument's resonating body. Music, on the other hand, is generally modelled using observed signal characteristics as the sum of elementary componentsliketransients,continuoussinusoidaltracks, and noise because of its broad definition. Each unique charactershouldhaveitsownleafnode,anda minheap containingall ofitsleafnodes(the minheapservesas a priority queue). When comparing two nodes in the min heap, the value of the frequency field is used. In the beginning, the character with the lowest frequency is at root.) Take two nodes from the min heap that have the lowestfrequency.

Create a brand-new internal node with a frequency that is the same as the sum of the two previous nodes. The second extracted node should be its right child, and the

firstextractednodeshouldbeitsleftchild.Theminheap shouldcontainthisnode.

Rehash steps#2 and #3 until the stack contains just a single hub. Theleftoverhub istheroothubandthe tree isfinished.

Let'suseanexampletounderstandthealgorithm:

character Frequency a 5 b 9 c 12 d 13 e 16 f 45 Step 1 Fabricate a min pile that contains 6 hubs where every hubaddressesbaseofatreewithsinglehub.

Step 2: Take two nodes with the lowest frequency from theminheap.Addanotherinwardhubwithrecurrence5 +9=14.

II.EXISTING SYSTEM

A constrained optimization problem could be solved by usingtheCS-LMSalgorithm.Thefollowingisalistofthe problem of interest: given the tap-input vector and the ideal reaction , decide the tap weight vector in order to limit the squared Euclidean standard of the adjustment of the tap weight vector concerning its old worth , dependent upon the requirement , where means the Hermitian render. The a posteriori error sequence disappears [for] as a result of this constraint. The Lagrangian function is combined with the Lagrange multiplier method to solve this optimization problem.

HypotheticalCommentsONTHECS-LMSVariation:

The CS-LMS method and the NLMS algorithm are compared after they have been derived. This section demonstratesthat,incertaincircumstances:

1) CS-LMS and NLMS calculations meet to the ideal Wienersolution,and

2)Foranyproperstepsize,theproposedCS-LMSshows enhancements in overabundance least squared blunder (EMSE) and misadjustment (M) [11] when contrasted withtheNLMScalculation.

The Convergence Equivalence Analysis of CS-LMS Theorem1:Letbethetapweightsandthetapinputstoa transversal filter. The assessment mistake is gotten by looking at the gauge furnished by the channel with the ideal reaction, that is to say, Then again, if the desiredsignaliscreatedbythevariousdirectregressionl, i.e., where is an uncorrelated repetitive sound that is measurably free of the information vector , then the CSLMS variation unites to the Wiener arrangement under fixedclimate.

Proof: Since the cross-correlation vector between the concurrent change in the desired responses and inputvectors,, where denotes auto-correlation matrix, this conditionissatisfied,provingthistheorem.

International Research Journal of Engineering and Technology (IRJET) e-ISSN: 2395-0056 Volume: 10 Issue: 06 | Jun 2023 www.irjet.net p-ISSN: 2395-0072 © 2023, IRJET | Impact Factor value: 8.226 | ISO 9001:2008 Certified Journal | Page253

B.ALookattheCS-LMSAlgorithm'sLearningCurves:

Misadjustment and Ensemble-Average Learning Curves (EMSE) It is common practice to investigate the statistical performance of adaptive filters using EMSE. Because the ANC problem has the desired clean signal, the derivation of these curves is slightly different. With the weight-error vectordefinitionand and thestepsize definedas,wecanexpresstheevolutionofas,

III.PROPOSED FRAMEWORK

In data hypothesis and software engineering, a specific sort of ideal prefix code known as a Huffman code is regularly used for lossless information pressure. Huffman coding, an algorithm developed by David A. Huffman while he was a scientist, can be used to find or use such a code. D. MIT understudy who distributed the 1952 paper "A Strategy for the Development of Least OvertrepetitivenessCodes."

A variable-length code table used to encode a source symbol (such as a file character) is the output of the algorithm. The calculation utilizes the assessed likelihood or recurrence of event (weight) for every conceivable source image worth to make this table. As opposed to other entropy encoding strategies, more normalimagesarecommonlyaddressedwithlesspieces. Iftheseheapsareorganized,Huffman'sprocedurecanbe successfully carried out, sorting a code directly to the number of data loads. In any case, Huffman coding isn't generally the best pressure technique, regardless of being the best strategy for encoding images independently. Topsy-turvy numeral frameworks or numberjugglingcodingareutilizedallthingsbeingequal on the off chance that a higher pressure proportion is required.

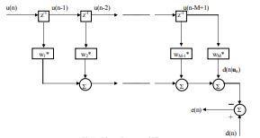
IV. Block Diagram

The authors of the paper investigate block attenuation techniques that were initially utilized in orthogonal wavelet signal representations. The authors investigated thresholding level and block size in redundant time frequency signal representations and discovered that block attenuation effectively approximates oracle attenuationandeliminatesanyremainingnoiseartifacts inrestoredsignals.Theauthorsinvestigatea connection between Ephraim and Malah's decision-directed a priori SNR estimator and the block attenuation. The authors presentanadaptiveblocktechniquebasedonthedyadic CART algorithm. The experiments demonstrate that the signaltransientsandremainingnoiseartifactsare

4.1 block diagram

Safeguarded by the proposed methodology better than thestrategieswhichuseshortperiodoftimeFourierdo. The experiments made use of speech signals that were sampled at 11 kHz. White Gaussian commotion spoiled these discoursesignals.Block attenuation performs well whencomparedtootherapproacheslikeAdaptiveBlock Attenuation with Complex Wavelets, Hard Thresholding with Complex Wavelets, and Ephraim and Malah decision-directed a priori SNR estimator + Wiener with Complex Wavelets / Short-Time Fourier. Additionally, various music flags were subjected to a variety of examinations.

When compared to the presentation of standard thresholding administrators, the presentation of versatile block lessening is excellent. The gauge with brief time frame Fourier yields note changes with more prominent lucidity. Denoising with short-time Fourier outperforms wavelet representation for stationary parts when high pitch is involved because short-time Fourier has a higher frequency resolution in high frequency bands than wavelet representation. The denoising issue is examined from the point of view of sparse atomic representation in this paper. A comprehensive structure fortimerecurrencesensitivethresholdingwasproposed by the authors, with notable shrinkage administrators serving as exceptional examples. The exhibition of the relating calculations in denoising certifiable sound signs iscontrastedwiththatofexistingstrategiesthatarelike these concerning assembly. The original method is cutting-edge in terms of perceptual rules and is serious aboutsign-to-clamorproportion.Fromtheperspectiveof denoising,neighbourhoodweightingcouldbethoughtof as non-diagonal estimation. These strategies lessen the normallyhappeningmelodicclamorthathappensduring slantingassessment.

V. LITERATURE REVIEW

"Additive white Gaussian noise (AWGN) has been of interest to many researchers for practical as well as theoretical reasons," according to this article on audio denoising and itsrelatedworks.The expulsionof AWGN is troublesome as it continues at every one of the

International Research Journal of Engineering and Technology (IRJET) e-ISSN: 2395-0056 Volume: 10 Issue: 06 | Jun 2023 www.irjet.net p-ISSN: 2395-0072 © 2023, IRJET | Impact Factor value: 8.226 | ISO 9001:2008 Certified Journal | Page254

frequenciesinthesign.Twoofthefamoustechniquesfor denoisingtheinstrumentsignalsare;

(i) Thoseinviewofversatilechannelcalculations;

(ii) Thoseinviewofwaveletbasedcalculations.

In a paper, the magnitudes of a time-frequency representationofthesignalaretypicallyusedinspectral audiodenoisingtechniques.However,simplemodelscan be used to explain the phases of the coefficients if the time-frequency frame is made up of quadrature pairs of atoms, as in the short-time Fourier transform. For the audio denoising problem, we propose a method that takesintoaccountthephaseinformationofthesignalsin this paper. A cost function consisting of a penalty of the fused-lasso type and a diagonally weighted quadrature datatermmustbeminimizedbythescheme.Wepropose a numerically solvable algorithm and formulate the problemasasaddlepointsearchproblem.Inviewofthe optimality states of the issue, we present a rule on the best way to choose the

intriguing mathematical issues, this first chapter provides an overview of Matlab. Even if you have previously programmed in a different programming language, we hope that by simply studying these programs, you will be able to comprehend how Matlab works.

If you want a more in-depth introduction, there are numerous resources available. You can choose Documentation,MATLAB,andBeginning from theAssist tab in the device with stripping at the highest point of the Matlab order window. Getting Started with MATLAB is a PDF guide, and the MathWorks website's MATLAB Tutorials and Learning Resources section contains severalinstructionalvideos.

A preface to MATLAB through a collection of mathematical and computational errands is outfitted by Moler'sfreewebbasedExaminationswithMATLAB

VI. MATLAB INTRODUCTION

Prologue to MATLAB is a fourth-age programming language and mathematical figuring climate. MATLAB, whichwasdevelopedbyMathWorks,providesinterfaces with programs written in C, C++, Java, FORTRAN, matrix manipulation, function and data plotting, algorithm implementation,anduserinterfacedesign.

The MuPAD symbolic engine is utilized by an optional toolbox to provide access to symbolic computing capabilities, despitethe fact that numerical computation is MATLAB's primary focus. Simulink, an additional bundle, includes Model-Based Plan and graphical multispace reproduction for both installed and dynamic frameworks.

In 2004, MATLAB had around a million clients across industry and the insightful world. A wide range of engineering, scientific, and economic backgrounds are represented among MATLAB users. MATLAB is frequently utilized in modern projects as well as academicandresearchorganizations.

Mathematical figuring and Mat lab By demonstrating a numberofprogramsthatinvestigatestraightforwardbut

MATLABiscomprehensivelyusedineachpartofapplied science, in preparing and assessment at schools, and in the business. The product is based on vectors and lattices, and MATLAB is a representation of MATrixLABoratory. This makes the item particularly important for straight polynomial math yet MATLAB is similarlyaninconceivablegadgetforsettlinglogarithmic and differential circumstances and for numerical coordination.MATLABisaprogramminglanguagethatis one of the least demanding to use for composing numerical projects and has strong realistic devices that can deliver wonderful pictures in both 2D and 3D. MATLABmoreoverhassomeinstrumentstashimportant for signal dealing with, picture taking care of, progress, etc.

Little's unique control configuration designs were the firsttoadoptMATLAB,butitquicklyspreadtonumerous other fields. It is well-liked by image processing scientists and is currently utilized in education, particularly for the instruction of linear algebra and numericalanalysis.

The MATLAB language, otherwise called M-code or just M, is one of the parts of the MATLAB Work area. Using the MATLAB Editor, MATLAB can be saved as a script in a text file or encapsulated into a function, expandingthenumberofcommandsthatcanbeused.

One-based ordering is the standard demonstration for grids in science. This is typical for clusters in programming dialects, which typically begin withnothing.

Asquareidentitymatrixofsizencanbe created using the function eye, and matrices with zeros oronescanbecreatedusingthefunctionszeroandones, respectively. Unlike modern languages like Python and

International Research Journal of Engineering and Technology (IRJET) e-ISSN: 2395-0056 Volume: 10 Issue: 06 | Jun 2023 www.irjet.net p-ISSN: 2395-0072 © 2023, IRJET | Impact Factor value: 8.226 | ISO 9001:2008 Certified Journal | Page255

Java, which have a package system where classes can be resolved withoutambiguity, MATLABdoes nothave one. The global namespace that all MATLAB functions use is the same, and the vectors decide which functions take precedenceoverotherswiththesamename.

MATLAB can execute a sequence of statements stored in disk files. Since the record type ".m" should be incorporated toward the finish of these documents,they are alluded to as "M-documents." Your MATLAB work will include a significant amount of M-file creation and refinement.

MATLAB (matrix laboratory) is the name of a numerical computing environment and programming language of the fourth generation. Network control, capability and information plotting, calculation execution, UI plan, and connecting with programs written in C, C++, Java, and FortranareelementsofMathWorks'MATLAB.

The MuPAD symbolic engine is utilized by an optional toolbox to provide access to symbolic computing capabilities, despitethe fact that numerical computation is MATLAB's primary focus. Model-Based Design and graphical multi-domain simulation for dynamic and embedded systems are available in Simulink, an additional package.MATLAB had approximately one million users in 2004 across academia and industry. Customers of MATLAB come from a variety of design, science, and financial backgrounds. MATLAB is frequently utilized in modern projects as well as academicandresearchorganizations.

a. Factors

Factors are portrayed using the undertaking overseer, =. MATLABisaweaklyformedprogramminglanguage.Itis alanguagewithpoortypingbecausetypesareimplicitly converted. It is a dynamically typed language because variablescanbeassignedwithoutdeclaringtheirtype unless they are to be treated as symbolic objects and their type can change. Values can be obtained from functions' output, calculations involving the values of othervariables,orconstants.

b. Vectors and matrices

As its name (a contraction of "Matrix Laboratory") suggests, MATLAB can create and manipulatearrays with one, two, ormore dimensions. A one-layered(1NorN1)grid,whichisallthemoreusually alludedtoasanexhibitinotherprogrammingdialects,is alludedtoasavectorintheMATLABlanguage.Amatrix is typically used to refer to a two-dimensional array known as an m-n array, where m and n are greater than 1.Theterm"complexcluster"isusedtorefertoexhibits with multiple aspects. Several standard capabilities locally support cluster tasks, allowing work on clusters

without express circles, and exhibits are a major type. Plans MATLABhasstructuredata types.Sinceall factors in MATLAB are clusters, the expression "structure exhibit," in which each exhibit component has a similar field names, is more fitting. Moreover, dynamic field names are upheld by MATLAB (field name queries, field controls, and so on.). Tragically, MATLAB structures are not upheld by MATLAB JIT, so even the least complex heapoffactorsintoadesignwillcostcash.

VII. SYSTEM IMPLEMENTATION

International Research Journal of Engineering and Technology (IRJET) e-ISSN: 2395-0056 Volume: 10 Issue: 06 | Jun 2023 www.irjet.net p-ISSN: 2395-0072 © 2023, IRJET | Impact Factor value: 8.226 | ISO 9001:2008 Certified Journal | Page256
7.1 FLOW CHART 7.2 GRAPH

VIII.DIGITAL FILTERS

with an impulse response, or transfer function, thatcan be altered over time to match desired system characteristicsarereferredtoasadaptivefilters.

Dissimilar to fixed channels, which have a proper motivationreaction,versatilechannelsdon'tneed complete deduced information on the insights of the signstobeseparated.Versatilechannels

require practically zero deduced information and also, havethecapacityofadaptively followingthesignundernon-fixedconditions.

The orientation and shape of the error-performance surface remain constant for an adaptive filter operating inastationaryenvironment.However,whentheadaptive filter operates in a non-stationary environment, the error-performancesurface'sbottommovescontinuously, and the surface's orientation and curvature may also change. As a result, when the inputs are non-stationary, theadaptivefiltermustcontinuouslytrackandsearchfor thebottomoftheerrorperformancesurface.

8.1Weiner Channel Hypothesis

Wiener proposed an answer for the nonstop time direct separatingissueanddeterminedthe

Wiener-Hopf necessary condition. The "Normal equation" is the discrete-time equivalent of this integral equation. The Wiener filter is the result of resolving these two equations. This section only addresses the discrete-timescenario.

Formalization of Wiener filters for the general case of complex-valuedtimeseriesindiscretetime:

1) Filter impulse response of limited duration is the focusofthisdiscussion.

2)Asolitaryinformationandsingleresultchannel.

ProclamationoftheIdealSeparatingIssue:

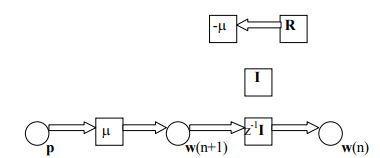
8.2Feedback-Model of the steepest-descent algorithm

Thesteepest-descentalgorithm'sstability:

The steepest-descent algorithm is subject to the possibility of becoming unstable due to the presence of feedback.Fromtheinputmodel,wenotice

thatthesolidnessexecutionofthenotentirelysettledby twoelements:

1. the second step-size parameter. the tap-input vector u(n)'s correlation matrix R, as these two parameters completelycontrolthefeedbackloop'stransferfunction.

Conditionforsteadiness:

weight-error vector, c(n) = w(n) – w0, where w0 is the normalequation'sidealtap-weightvectorvalue.

Consequently, removing the cross-correlation vector p from equation 3 and rewriting the result in terms of the weight-errorvectoryieldsc(n+1)=(I-R)c(n).Usingthe unitary-similarity transformation, we can express the correlation matrix R as R = Q Q H (see Appendix B) c(n+1)=(I-QQH)c(n).Bymultiplyingbothsidesofthe equationbyQHand

The initial value of v(n) equals v(0) = Q H [w(0) – w0] assuming that the initial tap-weight vector w(0) is zero, thistranslatestov(0)=-QHw0forthekthnaturalmode of the steepest-descent algorithm. As a result, we have v(n+1)=(I-)v(n)

IX.CONCLUSION

Althoughdatacompressiontechniqueshavebeenshown to reduce noise, noise reduction in communication and data compression are two distinct concepts that may worktogetherindatacommunication.Datacompression techniques now incorporate noise reduction algorithms sothat the noise reduction scheme is applied before the data (image or sound) is sent through the communication channel as it is compressed to be encoded. Quantization Lossy compression and Smoothening of Images can remove features from data files that aren't needed, like noise from images and sound clips, which reduces the size of the files and

International Research Journal of Engineering and Technology (IRJET) e-ISSN: 2395-0056 Volume: 10 Issue: 06 | Jun 2023 www.irjet.net p-ISSN: 2395-0072 © 2023, IRJET | Impact Factor value: 8.226 | ISO 9001:2008 Certified Journal | Page257

bandwidththeywouldhaveused.Thisalgorithmissetto compress a specific type of data (such as an image or a sound file) while also reducing noise in the data. Multimedia studios, the telecommunications industry, andotherindustriescanallbenefitfromthisalgorithm's model. The ECG signal pressure tracks down more significance with the improvement of telemedicine. Withoutadoubt,

pressure can fundamentally diminish the expense of the transmissionofclinicaldatathrough

media communications channels. Higher-request insightsaredeviceswhichhaveplayedavital

job in the field of sign handling. The HOS could potentially be used for compression and denoising. The methodology is suitable for the future integration of mobile telemedicine applications by utilizing wavelet and probabilistic and statistical mathematical tools to improve one of the compression mechanisms for ECG coding.

The proposed wavelet and higher-order statistics ECG compressionalgorithmwasdiscussed.TherenderedECG signal was of high quality and had a favourable compressionratiowiththis.Our

proposed ECG pressure calculation has qualities and shortcomings. The double scanning of the portioning thatis used for Huffman encoding is, in our opinion, the strength of our proposed algorithm; The quantification error has significantly decreased as a result of this doublescanning.Nonetheless,theshortcomingofthe calculation is because of the generally LPC sifting. VersatileLPCsiftinginlightofidealdivision

will, unquestionably, work on the presentation of the calculation.However,thenagain,thisbyandlargeLPC

Separating process brings down, extensively, the intricacyofthecalculationand,subsequently,gainstime

X.FUTURE WORK

Description of the Product MATLAB is an Interactive Environment and High-Level Language for Numerical Computing, Visualization, and Programming. Utilizing MATLAB, you can break down information, foster calculations, and make models and applications. Compared to spreadsheets or traditional programming languages like C/C++ or Java, the language, tools, and built-in math functions allow you to explore multiple approaches and find a solution more quickly. MATLAB can be used for a lot of different things, like image and video processing, control systems, test and measurement,computationalfinance,andcomputational

biology, among other things. The language of technical computing, MATLAB, is used by more than a million engineersandscientistsinindustryandacademia.Basics oftheDesktopWhenMATLABisstartedup,thedesktop issettothedefaultlayout.

Theworkareaincorporatestheseboards:

i) CurrentEnvelope Accessyourdocuments.

ii) Command Window: Use the prompt (>>) to enter commandsatthecommandline.

iii) Workspace Investigate information that you makeorimportfromrecords.

iv) Command History: This option lets you see or rerun anycommandsyouranfromthecommandline.

As you work in MATLAB, you issue orders that make factorsandcallcapabilities.Forinstance,makeavariable namedabycomposingthisassertionattheorderline:

REFERENCES

[1] Belloch, E.G. (2013). Introduction to Data Compression. Computer Science Department, Carnegie Mellon University. [Online]. Available: http://blellochcs.cmu.edu.[2013,August17].

[2] Haas, J (2013). Lossy Compression: About.com Guide.

[Online].Available:http://linux.about.com/cs/linu x101/g/Lossy_Compressio n.htm. [2013, August 15].

[3] Hodgson,J.(2010).UnderstandingRecords:AField toRecordingPractice.p.86.

[4] Karla, K.P. Data Compression Techniques for ELearning. ELearning Division, Department Of Information. Technology, Ministry of Communications & Information Technology, GovernmentofIndia[cited2013June20].

International Research Journal of Engineering and Technology (IRJET) e-ISSN: 2395-0056 Volume: 10 Issue: 06 | Jun 2023 www.irjet.net p-ISSN: 2395-0072 © 2023, IRJET | Impact Factor value: 8.226 | ISO 9001:2008 Certified Journal | Page258

[5] Khalid, S. (2005). Introduction to Data Compression, Third Edition. Morgan Kaufmann Series:Pg432.

[6] Leslie S., D. Z .Richard (1995). The Focal EncyclopediaofPhotography.FocalPress:Pg507.

International Research Journal of Engineering and Technology (IRJET) e-ISSN: 2395-0056 Volume: 10 Issue: 06 | Jun 2023 www.irjet.net p-ISSN: 2395-0072 © 2023, IRJET | Impact Factor value: 8.226 | ISO 9001:2008 Certified Journal | Page259

Turn static files into dynamic content formats.

Create a flipbook