WAVELET DECOMPOSITION METHOD BASED AUTOMATED DIAGNOSIS OF MUSCLE DISEASES

Page 1

WAVELET DECOMPOSITION METHOD BASED AUTOMATED DIAGNOSIS OF MUSCLE DISEASES

1Post Graduate Student Government College of Engineering, Tirunelveli

2Professor, Dept. of Electronics and Communication Engineering, Government of Engineering, Tirunelveli ***

Abstract - The skeletal muscle tissues in the humanbody produce complex, irregular, and non-stationary electrical signals known as electromyograms or electromyography (EMG) signals. The clinical diagnosis of a variety of neuromuscular disorders, including myopathy and neuropathy, is frequently carried out using EMG signals. To stop the progression of these diseases and, at the same time, lessen patient suffering, early detection of these neuromuscular and neurodegenerative disorders is essential. An innovative method for the advancement of human-computer interaction is hand gesture recognition based on electromyography (EMG) signals, which enables the computer to recognise and understand the user's intent and respond appropriately. In this proposal, the wavelet decomposition technique is proposed for automated muscle disease diagnosis using EMG signals. A Hilbert transform-based method is used to choose the best methods for feature selection. The formation of the analytical signal is facilitated by the Hilbert transform. The analytical signal is helpful for band-pass signal processing in the communications industry. Here, a correlation matrix for each independent variable that serves as an input to the system is used as the feature set. Convolutional neural networks (CNN), a powerful classifier, is employed, and results are correctly predicted. SimulationsoftwarecreatedwithMATLABisusedtocarry outthisproject.

Key Words: EMG-Electromyography, CNNConvolutionalNeuralNetworks.

1. INTRODUCTION

The use of electromyography (EMG) signals is a cutting-edge strategy for the advancement of humancomputer interaction, a vast field whose goal is to implement user-friendly interaction tools and humancomputer interfaces (HMIs). The demand for intelligent devices that can operate in real time under severe power,size,andcostconstraintsandextractinformation from sensor data is what drives this field's research. Robotcommunicationandindustrialrobotcontrol,game ormobileinterfaces,interactionsforvirtualworlds,sign languagerecognition,rehabilitativeservices,andcontrol ofpoly-articulatedprosthesesarejustafewofthemany

applications for HMIs with EMG-based intuitive control. The electromyography (EMG) signal, which is a key indicator of the muscular activity, is the bio potential produced by the passage of ions through the membrane of the contracting muscle fibres. Instruments that are invasiveornon-invasivecanbeusedtocollectEMGdata. Invasive techniques use wire or needle electrodes that piercetheskintothetargetedmuscle.Ontheotherhand, surface electromyography (sEMG) is a non-invasive methodthatmakesuseofskin-surfaceelectrodes[1].

One of the most promising approaches in the HMI field is to base gesture recognition on sEMG signal analysis, since non-invasiveness is a prerequisite for many different types of HMIs. The creation of solutions based on a strong recognition approach represents an open challenge in HMI design. On the one hand, commercialsystemsbasedontheEMG-basedinteraction paradigm became available as a result of the implementation of devices showing high recognition capabilities in controlled environments. On the other hand, reliability issues like motion artefacts, postural and temporal variability, and problems brought on by sensors that are repositioned after each use continue to restrict the use of EMG-based HMIs in many real-world scenarios[2].

1.1 EMG-BASED HMIS AND GENERALIZATION ISSUES

The electromyogram (EMG), a key indicator of muscular activity, is the bio potential signal resulting frommuscularactivity.ThesurfaceEMG(sEMG)signalis generated when it is sensed using non-invasive surface electrodes. A promising method for implementing nonintrusive EMG-based Human-Machine Interfaces is the processing of sEMG signals. The state-of-the-art today, though, must deal with difficult problems. Numerous factors, including subject differences, user adaptation, fatigue, and the variability introduced by the refocusing of electrodes during each data collection session, have a significant negative impact on the sEMG signal. These problemslimitthelong-termusabilityanddependability of the EMG analysis-based devices. These variability factors can be modelled in the machine learning frameworkusingtheideaofdatasources,orinformation subsets drawn from various distributions. Machine

© 2023, IRJET | Impact Factor value: 8.226 | ISO 9001:2008 Certified Journal | Page1442
International Research Journal of Engineering and Technology (IRJET) e-ISSN:2395-0056
10 Issue: 05 | May 2023 www.irjet.net p-ISSN:2395-0072
Volume:

learning on EMG data is a difficult task because it requires identifying multiple sources [3]. The goal is to implement classifiers with good inter-source generalisation, for example in inter-posture, intersession, or inter-subject scenarios. As of right now, within-subject cross-validation has much more accurate classificationthanleaveone-subject-outcross-validation (LOSOCV)[4].

1.2 MACHINE LEARNING TECHNIQUES

Only properly represented text can be understoodby a computing machineinits general form. Asaresult,inordertoinstructamachine,thetextofthe reviews must be converted into the appropriate format. Again,themachine comprehends or learnsa specific set of data called training data and then predicts the other set of data, i.e., the untrained or testing data, based on the learning of training data. Machine learning methods (MLTs)supportbothlearningandprediction.

The following can be used to explain the various MLT types:

 Unsupervised MLT: This type of MLT does not have a labeled dataset. Thus, while analysis of these reviews, clustering approach is considered, which makes a group of similar types of the elements into a cluster. Various different evaluation parameters are considered tochecktheperformanceofthesetechniques

 Semi-supervised MLT: Inthistypeofapproach, asmallsizeoflabeldatasetispresent,wherethe sizeoftheunlabeleddatasetislarge.Thus,using the small size labeled dataset, this approach makes an attempt to label the whole dataset. The small labeled dataset is trained and based on these values a small size of the unlabeled dataset is predicted. These predicted data are added to the already labeled dataset until the totaldataislabeled[5].

1.3 ELECTROMYOGRAPHY (EMG)

ElectromyographyisreferredtoasEMG.Itisthe researchofelectricalsignalsinmuscles.Adifferentname forEMGismyoelectricactivity.Theterm"muscleaction potential" refersto the electrical signalsthatarecarried by muscle tissue similarly to how nerves do. The information contained in these muscle action potentials can be captured using surface electromyography (EMG). There are two main concerns that affect the fidelity of the EMG signal when it is detected and recorded. The signal-to-noise ratio comes first. Specifically, this is the energy to noise signal energy ratio in EMG signals. Electricalsignalsthatarenotadesiredcomponentofthe

EMG signal are generally referred to as noise. The distortion of the signal is the other problem, so the relative importance of any frequency component in the EMG signal shouldn't be changed. Invasive electrodes and non-invasive electrodes have both been used to collectmusclesignal.Acompositeofall themusclefibre action potentials occurring in the muscles beneath the skin is the signal obtained when EMG is obtained from electrodes mounted directly on the skin. Intervals between these action potentials are random. The EMG signal could therefore be positive or negative voltage at any given time. On occasion, wire or needle electrodes inserted directly into the muscle are used to record the nerveimpulsesofindividualmusclefibres[6].

1.4 THE ORIGIN OF EMG

Francesco Redi's documentation from 1666 served as the impetus for the development of EMG. According to the document, the electric ray fish's highly specialised muscle produces electricity. In 1773, Walsh was able to show that the muscle of eel fish could produce an electrical spark. A. Galvani's "De Viribus Electricitatis in Motu Musculari Commentarius," which was published in 1792, demonstrated how electricity could cause muscle contractions. Dubios-Raymond discovered that it was also possible to record electrical activity during a voluntary muscle contraction six decades later, in 1849. Marey, who also coined the term "electromyography," made the first recording of this activityin1890.AnoscilloscopewasusedbyGasserand Erlangerin 1922to displaythe electrical signalscoming from muscles. The myoelectricsignal isstochastic,soits observationcouldonlyprovidearoughunderstandingof the situation. From the 1930s through the 1950s, the ability to detect electromyography signals steadily improved, and researchers started using improved electrodes more frequently for the study of muscles. In the 1960s, surface EMG was first used clinically to treat morespecialiseddisorders.ThefirstusersofsEMGwere Hardyckandhisresearchersin1966.Intheearly1980s, Cram and Steger introduced a clinical method for scanning a variety of muscles using an EMG sensing device[7].

It wasn't until the middle of the 1980s that electrode integration techniques had advanced enough toenablebatchmanufacturingof thenecessarycompact and light-weight amplifiers and instruments. There are currentlyseveralsuitableamplifiersonthemarket.Early inthe1980s,cablesthatproduceartefactsinthedesired microvolt range were made accessible. The characteristics of surface EMG recording have improved over the previous 15 years of research. In clinical protocols, exterior electromyography has become more frequently used in recent years to document from

International Research Journal of Engineering and Technology (IRJET) e-ISSN:2395-0056 Volume: 10 Issue: 05 | May 2023 www.irjet.net p-ISSN:2395-0072 © 2023, IRJET | Impact Factor value: 8.226 | ISO 9001:2008 Certified Journal | Page1443

superficial muscles, while intramuscular electrodes are onlyusedfordeepmuscle[8].

EMG can be applied in a wide variety of situations. Clinically, EMG is used to diagnose neurologicalandneuromuscularissues.Gaitlaboratories and clinicians skilled in biofeedback or ergonomic evaluation use it for diagnostic purposes. EMG is employed in a wide range of research settings, such as biomechanics, motor control, nerve and muscle physiology, movement disorders, postural control, and physiotherapy[9].

1.5 TYPES OF MUSCLE TISSUE

The three different types of muscle tissue are skeletal, smooth, and cardiac. Cardiac muscle cells are found in the heart's walls, where they can be seen as being striped (or striated) and controlled by an involuntaryprocess.Exceptfortheheart,smoothmuscle fibres are found in the walls of hollow visceral organs (suchastheliver,pancreas, andintestines),arespindleshaped, and are also controlled involuntarily. Muscles that are connected to the skeleton contain skeletal muscle fibres. They appear striated and are controlled voluntarily[10].

2. PROPOSED SYSTEM

This study suggests using wavelet transform to

automatically diagnose muscle diseases from EMG signals.The wavelet decompositionprocess wasapplied to the EMG signal in the proposed work. In its application domains, wavelets decomposition is used to increase the precision of hand movement recognition. The HT is employed to represent the EMG signal analytically.Thecomplexplaneplotof

The analytical signal obtained using the Hilbert Transform is used to calculate the features (HT). To categorise the EMG signal into the appropriate classes, the classifier is fed these features as input. Figure 2.1 shows the proposed algorithm's block diagram. The correlation matrix approach, which is used to compute thedistancesbysettingup a complexplaneplot,isused to select the appropriate IMFs for features for feature selection. The CNN classifier stage receives the data at this point. The CNN algorithm is used to enhance model functionalityandboostaccuracy.

The electrical currents created in muscles during their contraction, which represent neuromuscular activities, are measured by the biomedical signal known as the EMG. Muscle activity is always under nervous system control. This signal is frequently a function of time and can be described in termsofitsamplitude,frequency,andphase.

2.2 WAVELET DECOMPOSITION

This technique generates an approximation coefficientsubsetandadetailcoefficientsubsetfromthe

originalEMGsignalbypassingitthrougha low-passand high-pass filter, respectively. The toolbox of multiscale signalprocessingtechniqueshasmorerecentlyincluded wavelet decompositions. They offer a complete image representationandperformscale-andorientation-based decomposition,incontrasttotheGaussianandLaplacian pyramids. Each t-f image representation of the EEG signals undergoes wavelet decomposition to produce diagonal (D), vertical (V), and horizontal (H) components. These components are stored as images andusedforfeatureextraction.

International Research Journal of Engineering and Technology (IRJET) e-ISSN:2395-0056 Volume: 10 Issue: 05 | May 2023 www.irjet.net p-ISSN:2395-0072 © 2023, IRJET | Impact Factor value: 8.226 | ISO 9001:2008 Certified Journal | Page1444
Figure 2.1 BlockDiagramforProposedSystem 2.1 EMG SIGNAL

2.3 HILBERT TRANSFORM

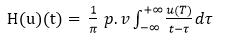
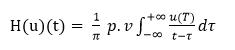
The Hilbert transform ofucan be thought of as theconvolutionofu (t)with the functionh (t) =1/πt, known as theCauchy kernel. Because 1⁄t is notintegralacrosst= 0, the integral defining the convolution does not always converge. Instead, the Hilbert transform is defined using theCauchy principal value(denoted here byp.v.). Explicitly, the Hilbert transformofafunction(orsignal) isgivenby

(2.1)

Providedthisintegralexistsasaprincipalvalue. This is precisely the convolution ofuwith thetempered distributionp.v.1/πt alternatively, by changing variables, the principal value integral can be written explicitlyas

In contrast to a vector space, a collection of covariance matrices of a certain size typically forms a closedconvexcone.Asaresult,learningclassifiersusing traditional machine learning algorithms based on these featurecovariancematricesisnotappropriate.However, thematrixlogarithmcanbeusedtomaptheconvexcone of covariance matrices into the vector space of symmetric matrices, offering a way to take advantage of the body of knowledge already present in machine learning algorithms. Suppose that C's Eigen decompositionisasfollows:

(2.4)

Where the columns of V are orthonormal eigenvectorsandDisthediagonalmatrixofnonnegative eigenvalues.Then,wedefine

(2.5)

Where isadiagonalmatrixacquiredfrom D

(2.2)

When the Hilbert transform is applied twiceinsuccessiontoafunction u,theresultis:

(2.3)

Provided the integrals defining both iterations converge in a suitable sense. In particular, the inverse transform is H. This fact can most easily be seen by considering the effect of the Hilbert transform on the Fouriertransformofu(t).

Forananalytic function in theupperhalf-plane, theHilberttransformdescribestherelationshipbetween the real part and the imaginary part of the boundary values. That is, if f(z) is analytic in the upper half complex plane {z : Im{z} > 0}, and u(t) = Re{f (t + 0·i)}, then Im{f (t + 0·i)} = H(u)(t) up to an additive constant, providedthisHilberttransformexists.

2.4 FEATURE SET – CORRELATION MATRIX

This section explains the covariance matrix descriptor's basic idea. A collection of local feature vectors form the foundation of the feature covariance matrix. Given that there are typically few hand gesture training samples, it offers a concise representation of a hand gesture video segment and is very helpful for classifying hand gestures. With minimal storage and processing requirements, the feature covariance matrix can offer a classification representation that is significantlydiscriminative.

2.5 CONVOLUTIONAL NEURAL NETWORKS

In recent years, the fields of semantic segmentation and radar imaging have seen significant advancementsinconvolutionalneuralnetworks(CNNs). In-depth learning methods like CNNs were developed specifically for image recognition and classification. A varietyofreal-worldapplicationshavemadeuseofCNN. This network was developed and is similar to multilayeredneuralnetworks.Thebiologicalneuralnetworks used in speech recognition, image processing, and other applications are the same as CNNs. With remarkable accuracy,CNNscanbetrainedtoclassifyimages,identify objects in images, and even predict the next word in a sentence.

InsteadofmanuallyanalysingtheMRIimages,a CNN-basedalgorithmwillassistmedicalprofessionalsin their treatment role to hasten the healing process. Examples of CNN include face recognition, image categorization,andothercomputervisionapplications.It is similar to the basic neural network. CNNs also have learnable parameters, like weights and biases, like neuralnetworksdo.Despitetheircomplexityintermsof resourcesandexpertise,CNNsofferin-depthfindings.

2.6 CNN CLASSIFIER

The process of feature extraction uses a convolutiontooltoseparateandpinpointthedistinctive qualitiesofanimageforanalysis.Thefeature extraction network consists of many pairs of convolutional or pooling layers. a fully connected layer that uses the output of the convolutional process and classifies the

International Research Journal of Engineering and Technology (IRJET) e-ISSN:2395-0056 Volume: 10 Issue: 05 | May 2023 www.irjet.net p-ISSN:2395-0072 © 2023, IRJET | Impact Factor value: 8.226 | ISO 9001:2008 Certified Journal | Page1445

image using the previously extracted features. The goal ofthisCNN feature extractionmodel isto extractasfew features from a dataset as possible. It creates new features by combining the features of an initial set of features into a single new feature. Three different types oflayersmakeuptheCNN:fully-connected(FC),pooling, andconvolutionallayers.

2.6.1 CONVOLUTIONAL LAYER

This is the first layer that is used to extract the various features from the input photos. At this layer, a mathematical operation called convolution is performed betweentheinputimageandafilterwiththedimensions MxM. By sliding the filter over the input image, the dot product is obtained between the filter and the elements oftheinputimageinrelationtothefilter'ssize(MxM).

CNN's convolution layer moves the output to the following layer after performing the convolution operation on the input. Convolutional layers in CNN are very helpful because they ensure that the spatial relationshipbetweenthepixelsispreserved.

2.6.2 POOLING LAYER

After a convolutional layer, a pooling layer is frequentlyapplied.Theprimaryobjectiveofthislayeris toreducethesizeoftheconvolvedfeaturemapinorder to reduce computational costs. Using fewer links between layers and independently modifying each feature map, this is accomplished. Depending on the mechanism used, there are different kinds of pooling operations. It is essentially a summary of the features thataconvolutionlayerproduced.

Usually, the FC Layer and the Convolutional Layer are connected by the Pooling Layer. By making the characteristics extracted by the convolution layer more general, the CNN approach enables the networks to recognize the features on their own. This helps a network'scomputationsrunmoreefficiently.

2.6.3 FULLY CONNECTED LAYER

Weights and biases are included in the Fully Connected (FC) layer, which connects the neurons between two layers. A CNN Architecture's final few layersarefrequentlypositioned before theoutputlayer. This flattens the input image from the layers beneath andprovidesitto theFClayer. Thestandard operations on mathematical functions are then performed on the flattened vector through a few more FC layers. At this point,theclassificationprocessbeginstotakeplace.Two layersare connected becausetwofullyconnectedlayers perform better than one connected layer. The need for humanoversightisreducedbytheseCNNlayers.

3. RESULT AND DISCUSSION

The simulation results are examined using a software MATLAB/SIMULINK. The MATLAB is a high performance language for technical computing integrates computation, visualization and programming in an easy-to-use environment where problems and solutions are expressed in familiar mathematical notation. The simulation analysis was completed by usingthesamescenariosoftheexperimentalset-upjust toimprovetheconceptverification.

International Research Journal of Engineering and Technology (IRJET) e-ISSN:2395-0056 Volume: 10 Issue: 05 | May 2023 www.irjet.net p-ISSN:2395-0072 © 2023, IRJET | Impact Factor value: 8.226 | ISO 9001:2008 Certified Journal | Page1446
Figure 3.1 Healthysignal Figure 3.2 PatientwithMyopathy Figure3.2DisplaystheMyopathyPatient.

WaveletDecompositionOfHealthy EMGSignalIsShown

A typical EMG signal's Hilbert function is depicted in Figure3.7.

International Research Journal of Engineering and Technology (IRJET) e-ISSN:2395-0056 Volume: 10 Issue: 05 | May 2023 www.irjet.net p-ISSN:2395-0072 © 2023, IRJET | Impact Factor value: 8.226 | ISO 9001:2008 Certified Journal | Page1447
Figure 3.3 PatientwithNeuropathy Figure3.3describesapersonwhohasNeuropathy. Figure 3.4 WaveletDecompositionofHealthyEMG Signal InFigure3.4. Figure 3.5 WaveletDecompositionofPatientwith Myopathy. Figure 3.5 shows a patient with myopathy's wavelet decomposition. Figure 3.6 WaveletDecompositionofPatientwith NeuropathySignal. Figure 3.6 Displays the Wavelet Decomposition of a Neuropathypatientsignal. Figure 3.7 NormalEMGSignalHilbertFunction Figure 3.8 MyopathyEMGSignalHilbertFunction

In figure 3.10, the correlation matrix for a normal EMG signalisdisplayed

4. CONCLUSION

The Wavelet Decomposition method for automated diagnosis of muscle diseases using EMG signals is proposed in this project.The detection and classification of neuromuscular diseases based on featuresextractedfromEMGsignalshavebeenreported in the project. A cross-correlation-based feature extraction technique was examined for the discrimination of healthy, myopathy, and neuropathy EMG signals. Several time- and frequency-domain features were presented for the detection of abnormal EMG signals. Convolutional neural networks (CNN), a powerful classifier, is applied, and the projected outcomes are precise. Finally, the classification of myopathy, healthy, and neuropathy electromyograms wasdoneusingCNNclassifiers,respectively.

International Research Journal of Engineering and Technology (IRJET) e-ISSN:2395-0056 Volume: 10 Issue: 05 | May 2023 www.irjet.net p-ISSN:2395-0072 © 2023, IRJET | Impact Factor value: 8.226 | ISO 9001:2008 Certified Journal | Page1448
Myopathy EMG Signal Hilbert Function is illustrated in Figure3.6. Figure 3.9 NeuropathyEMGSignalHilbert Function Figure 3.9 displays the Hilbert Function for the NeuropathyEMGSignal. Figure 3.10 CorrelationMatrixforNormalEMGSignal Figure 3.11 CorrelationMatrixforMyopathyEMGSignal The correlation matrix for the EMG signal associated withmyopathyisshowninfigure3.11 Figure 3.12 TrainingProcess Figure3.12demonstratestheevaluationoftheaccuracy andlossesforthetrainingprocedure.

5. REFERENCES

1. M. Al-Hammadi et al., "Deep Learning-Based Approach for Sign Language Gesture Recognition With Efficient Hand Gesture Representation," in IEEE Access, vol. 8, pp. 192527-192542,2020.

2. P. B. Shull, S. Jiang, Y. Zhu and X. Zhu, "Hand Gesture Recognition and Finger Angle Estimationvia Wrist-WornModifiedBarometric Pressure Sensing," in IEEE Transactions on Neural Systems and Rehabilitation Engineering, vol.27,no.4,pp.724-732,2019.

3. X.Chen,Y.Li,R.Hu,X.ZhangandX.Chen,"Hand Gesture Recognition based on Surface Electromyography using Convolutional Neural Network with Transfer Learning Method," in IEEE Journal of Biomedical and Health Informatics,vol.25,no.4,pp.1292-1304, 2021.

4. Z.YangandX.Zheng,"HandGestureRecognition Based on Trajectories Features and Computation-Efficient Reused LSTM Network," in IEEE Sensors Journal, vol. 21, no. 15, pp. 16945-16960,2021.

5. W. Song et al., "Design of a Flexible Wearable Smart sEMG Recorder Integrated Gradient Boosting Decision Tree Based Hand Gesture Recognition," in IEEE Transactions on Biomedical Circuits and Systems, vol. 13, no. 6, pp.1563-1574,2019.

6. X. Hu, H. Zeng, A. Song and D. Chen, "Robust Continuous Hand Motion Recognition Using Wearable Array Myoelectric Sensor," in IEEE Sensors Journal, vol. 21, no. 18, pp. 2059620605,2021.

7. A. A. Pramudita, Lukas and Edwar, "Contactless Hand Gesture Sensor Based on Array of CW Radarfor Human to MachineInterface," in IEEE Sensors Journal, vol. 21, no. 13, pp. 1519615208,2021.

8. S. Pancholi and A. M. Joshi, "ElectromyographyBased Hand Gesture Recognition System for UpperLimbAmputees,"inIEEESensorsLetters, vol.3,no.3,pp.1-4,Artno.5500304,2019.

9. W. Zhang, J. Wang and F. Lan, "Dynamic hand gesture recognition based on short-term samplingneuralnetworks,"inIEEE/CAAJournal of Automatica Sinica, vol. 8, no. 1, pp. 110-120, 2021.

10. U. Côté-Allard et al., "Deep Learning for Electromyographic Hand Gesture Signal Classification Using Transfer Learning," in IEEE Transactions on Neural Systems and Rehabilitation Engineering, vol. 27, no. 4, pp. 760-771,2019.

International Research Journal of Engineering and Technology (IRJET) e-ISSN:2395-0056 Volume: 10 Issue: 05 | May 2023 www.irjet.net p-ISSN:2395-0072 © 2023, IRJET | Impact Factor value: 8.226 | ISO 9001:2008 Certified Journal | Page1449

Turn static files into dynamic content formats.

Create a flipbook