CHINESE LANGUAGE EDITION - International Aquafeed - issue 5 - 2022

Page 1

International Aquafeed第 25 卷第 9September 2022 www.aquafeed.co.uk www.fishfarmingtechnology.net 挪威三文鱼之眼: 一个专门用于水产养 殖的浮动展览 - 可持续的鱼类原料: 谷物如何被定价和重 新用于水产饲料 - 藻类类胡萝卜素作为 鲑鱼的色素 - 膨化水产饲料:改进 质量控制的新技术 - 对虾养殖:开发一个 易于管理和可预测的 技术包 2022年9月 无国界水产养殖 的骄傲支持者英 国首席信息官 鱼类养殖技术
昨天,2022年9月19日,星期一,对所有与英 国有关的人来说,这是一个非常特殊和具有历 史意义的日子,无论我们身在何处或居住在何 处,我们都通过电视亲眼目睹了女王伊丽莎白 二世的国葬。 当时我正从意大利出差回来,但幸运的是, 在米兰的马尔彭萨机场,在等待英国希思罗机场接机的时候, 我在一个巨大的视频屏幕上看到了完整的仪式和穿过伦敦的队 伍。由于葬礼和棺材从伦敦转移到温莎城堡的安全措施,我们 的航班被推迟了。温莎城堡将是她最后的安息地。 看到她在英国以外受到的高度尊重,我感到非常同情。 我们的女王在她似乎无穷无尽的统治期间所提供的稳定和自信 不容低估。 她代表了英国最好的一面,在世界其他国家眼中,英国人不仅 仅是这个国家的传统、体育或工业精神,还有包括我们农业实 力在内的许多其他东西。最近从农业到水产养殖,正是通过她 的国际主义,特别是她与英联邦的合作,给了许多公司,比如 我们公司,积极与其他国家,特别是欧洲以外的国家进行信息 和技术转让的信心 英国水产养殖也不例外。 我们非常自豪能成为一家将世界视为全球共同体的英国出版 物,并乐于提供知识,帮助所有国家满足其人口的营养需求。 在这个时刻,我们国际水产饲料的所有人,在英国和国外,向 王室致以诚挚的慰问。愿查理三世国王继续伊丽莎白女王二世 的宝贵国际工作。国王万岁! 提高注意力 在我们看来,水产养殖正越来越受到关注,这从自与covid相关 的旅行和会议限制放宽以来举办的活动、会议和公司活动的举 在过去两年半的混乱和员工在工作中遇到的困难中,围绕养殖 鱼类生产的研究和开发,在营养和饲料生产方面,似乎没有进 克服新冠肺炎大流行带来的挑战的一个很好的例子是帝斯曼。 收购奥地利饲料添加剂公司Biomin,后者专注于广泛的植物性 饲料添加剂和配料。该公司特别关注解决原材料中的黄曲霉毒 素污染问题,在将该公司整合到其全球业务中,特别是在水产 养殖方面,已经取得了长足的进展。 本月初,帝斯曼邀请客户代表参加在维也纳举行的“2022年水上 活动。为期三天的活动吸引了150多名与会者,他们了解了帝 斯曼正在进行的最新工作和取得的成果。 紧跟着这次活动的是首届全球虾论坛,于2022年9月6日至8日在 荷兰乌得勒支举行,有118位演讲者! 这是一个专门为温水虾业举办的高管级别 会议,参加会议的有 400 多名高管,他们代 表了涉及虾生产的各种团体,从养殖户、 饲料公司、技术和服务供应商到出口商、 进口商、批发商、零售商和其他行业利益 相关方。 在更温和的层面上,我们也看到出版物在博览会上举办为期一 天的会议 这包括我们自己的2022年亚洲水产活动,在2022 年Victam亚洲会议开幕的前一天举行,以及在泰国曼谷Impact举 办的首届VIV动物健康和营养2022活动。 9月中旬,在雷恩举行的法国农业展览会“空间”(Space)吸引了有 史以来人数最多的展览会之一,主办了一个为期一天的水产养 殖会议,并宣传了针对日益增长的水产养殖业提出的产品和服 务的100多家参展商。 在我们发稿时,本月的一系列水产活动还没有结束——2022年 9月27日至30日在意大利里米尼仍将举行欧洲水产养殖协会的 2022年欧洲水产养殖展,届时将展出国际水产饲料。 重点是鱼, IAF 在这里为您带来我们行业发展的最佳选择。 我们不太可能看到围绕传播高质量、基于科学的信息的活动 减少。 我们这个月的国际市场 在这一版中,我们的案例研究检查了豌豆蛋白和海藻作为新的 蛋白质来源在有机海鲷和虹鳟鱼生产中的可行性,由西班牙 IRTA的Alicia Estévez和希腊Irida SA的Phelly Vasilaki进行。 我们采访了世界包装组织总裁Pierre Pienaar。 Pienaar尔先生是澳大利亚人,拥有包装工程双教授学位。 水饲料特性列表包括一家公司如何增值和重新利用水饲料的 评估,由英国 EIT 食品公司的 Laura Elphick 和 Cameron Davies 撰写。 在燕麦粉生产过程中,副产品,也被称为侧流,会产生。本文 将介绍EIT北欧谷物食品项目如何重新利用侧流。这些副产品 的例子包括燕麦纤维和燕麦糊精,它们都含有丰富的碳水化合 物,可以在水产养殖饲料中进行价化。 来自美国ADM动物营养公司的Frederic Baron和Delphine Weissman提交的另一份报告详细描述了淡水鱼早期营养背后的 科学,即罗非鱼的苗期饲料。 作者继续描述了如何保持一个有竞争力的水产养殖生产需要完 全适应每个物种在每个生命阶段的饲料。他们还补充说,仔稚 鱼饲料必须按照正确的营养需求定制,包括物理颗粒质量、采 食量和营养效率。 欢迎词 Roger Gilbert 出版商 国际水产饲料和养鱼技术
www.aquafeed.co.uk
欢迎来到我九月份为《国际水产饲料》撰 写的社论,这个月的社论给人一种非常健 康和营养的感觉 继续阅读,找出原因! 借助现代科技的奇迹,我正在中欧上空3.8 万英尺的空中客车A380上写这篇社论,当 时我正在前往曼谷参加VIV VICTAM主办的 会议的途中,同行的还有我在Perendale的同 事Tuti Tan和Roger Gilbert。 我的计划是作为一个主题讲演者,以及协助组织我们的水产 亚洲一天的会议。我的主题是循环生物经济,具体关注的是使 用新一代蒸馏谷物产品作为水产养殖饲料。这些是下一代高蛋 白材料,反映了生物乙醇领域的许多变化和进步。 曾经有人批评这种以发酵为基础的乙醇生产产品偏离了玉米 和小麦的直接使用,但现代技术通过新颖的提取和去除副产品 中的纤维,改善了废谷物的质量,生产出更高价值的浓缩蛋白 质丰富的成分,可以喂养单胃动物,如猪、家禽和鱼。 虽然DDG已经在这种复合日粮中使用了多年,但这些新类型 提供了更好的消化率和适口性,是有效蛋白质和必需氨基酸的 优质来源。 我最近参与了对多种鱼类的试验,我们可以肯定地相信,它 们适合减少使用更传统和更不可持续的原材料,例如来自海洋 环境的原材料,甚至来自陆地的原材料,如豆粕,这是有压 力的。 目前,世界正在经历一场重大动荡,乌克兰的地缘政治事件 对饲料供应链造成很大破坏,成本不断上升,我们很清楚,在 水产养殖领域,这将是一个令人担忧的问题。在进口鱼虾养殖 饲料原料的国家尤其如此。 另一个因素是世界上许多地区的主要干旱时期。特别是在欧 洲,我们看到非常干燥的条件导致我们的水库水位和地下水创 纪录的下降。河流的流速很低,在我们有鳟鱼养殖场和其他依 赖良好水源的物种的地方,我们看到生产受到限制。 超过30℃的高温使情况更加恶化。这是因为在较高的温度 下,水含有的氧气要少得多,这会使新陈代谢的效率和营养吸 收的效率失效。因此,饲料转化率将受到不利影响,生长速度 将受到严重抑制,从而导致非常低劣的生产。 相反,巴基斯坦的季风活动远高于平均水平,伴有强降雨是 另一个极端天气事件。超过三分之一的国家被洪水淹没,造成 了灾难性的后果。人类和动物的死亡、财产的损失、农作物的 损坏以及毫无疑问的鱼虾养殖场的损失都 是极端天气已造成的后果。 对于大多数科学家和那些经历过极端天 气直接后果的人来说,极端天气的确是现 实。水产养殖和相关的饲料部门将在未来 几年感受到这一点,而且会越来越严重。 在经历了Covid的影响之后,我们需要更 加意识到危险和灾难。作为一名专注于水 产养殖的鱼类营养科学家和饲料技术专家,我认为未来需要更 多的弹性和与环境的协同作用。 我们必须预料到意外,确保我们的鱼和虾养殖的未来,并在 饲料供应方面建立我们的独立性。一种方法将是迅速发展RAS 设施,以避免外部压力和最大限度地利用宝贵的水资源储备。 多年来,我通过自己在几所大学的研究和教学,也一直在倡 导RAS系统。我还支持新型饲料技术的开发,以及更可持续的 原料的潜力,这些原料来自生产设施附近的当地来源,价格更 便宜,质量更高。 像羽扇豆素、豆类等商品,以及昆虫粉生产和SCP可能是关 键。当然,我们在这里已经多次报道了藻类、细菌和真菌蛋白 质的使用,如酵母,以及非常及时的对各种形式的昆虫食物的 研究。 鉴于全球粮食价格不断上涨,DDG的故事也非常适用。令人 欣慰的是,由于土耳其允许乌克兰在黑海的港口将小麦运往中 东和欧洲的主要出口路线,双方已经达成协议。非洲,亚洲和 中国。 回到泰国,VIV/VICTAM会议将汇集来自水产饲料营养和健 康领域的众多利益攸关方。许多人将聚集在商界和学术界首次 举行如此大规模的面对面会议。 我非常期待能贡献自己的一份力量,与一路走来的新老朋友 见面。我在行李箱里留有空间,可以放小册子和产品规格资料 带回家。我发现这些对学习手头的新技术最有帮助。 贸易展将是该行业的宝贵展示机会,考虑到在东南亚的扩 张,曼谷是水产养殖的中心中转站。这将是为期一周的访问, 在这个非常友好的国家有很多值得参观的地方。 毫无疑问,鱼、虾和其他海洋美食将出现在曼谷的菜单上, 我也一定会品尝这里提供的海鲜 毫无疑问,水产养殖对许 多物种的生长起到了重要作用。 享受我们的夏末版,请跟上您的新闻项目,文章和技术功能 和广告的潮流。 Simon Davies教授 《国际水产饲料》营养编辑 4 | 2022年9月 - International Aquafeed
鱼类养殖技术 在8月底,我参加了在挪威特隆赫姆举 办的国际渔业技术展览会。这个展览 会主要聚焦于渔业技术,而它的姊妹 展览会 水产养殖展览会则聚焦于 水产养殖技术。尽管如此,也有少数 的水产养殖技术在本次渔业技术展览 会中展出。并且,很多渔业和水产养 殖领域的投资者也出席了此次展会。 挪威鲑鱼养殖的巨大成功自然吸引了 许多投资者来观看他们的展览。目前,投资水产养殖似乎很 受欢迎。像佛罗里达州Atlantic Sapphire公司的陆基水产养 殖项目,以及其他地方的其他项目,获得了大量投资者的关 注,并让投资者的胃口大开,不管他们是否了解水产养殖。 这么多年以来,我看到过很多这个领域的投资项目。我也见 证了很多失败的案例。最典型的错误是预算不足和低估了技 术的成本。投资现代大规模的水产养殖项目需要大量资金。 原因是技术所需要的花费并不便宜。所谓的技术不只是“硬 件”方面的,如浮笼、网箱、投料机等。更重要的是水产养 殖“软件”方面的技术。这需要长期的培训,在最初阶段可能 需要购买外部专业知识。 许多投资者在从事水产养殖业时并不具备丰富的养殖知识。 我记得30多年前,我们在东非评估一个虾养殖项目时,一位 水产养殖专家对我说:“这位投资者对水产养殖的了解程度不 够,很危险,他会倾家荡产的!” 知识是一个成功的投资项目中最重要的部分。但不幸的是, 大多数投资者对水产养殖的具体细节知之甚少。他们只知道 有些人 例如挪威人 通过投资养鱼成为了亿万富翁。 当然,这很诱人。为什么不在水产养殖业投入一些资金呢? 关于市场、生物学和技术的知识至关重要。市场可能是 最重要的。许多生物学家在破解了某个物种的生物学秘 密并控制了它的整个生命周期后,他们 会非常兴奋,因为他们有可能去养殖 这个物种,然而在开始之前,他们忘记 了对市场的预估。如果这个物种没有市 场,那么为什么要生产它呢?曾经,军 曹鱼就是这样的物种。它长得非常快, 有优质的白色肌肉和柔和的味道。它看 起来像是规模化和现代化水产养殖的绝 佳选择。然而,很快就发现这种鱼在市 场上并不出名。钓鱼运动爱好者都知道 这种鱼,也喜欢它,因为它能给他们带来很好的钓鱼体 验。但是谁会买军曹鱼?很少有人。东南亚的一家生产 商花了很多钱试图让这种鱼在市场上出名。但他并未取 得巨大的成功。把一个新物种引进到市场需要时间和大 量的金钱。 选择合适的技术是另一个绊脚石。关注挪威鲑鱼产业的投资 者通常认为,最常见的三文鱼养殖技术也适用于其他物种。 所以他们复制了这种养殖技术。但收效甚微。例如,适合养 鲑鱼的技术不一定适合罗非鱼。重要的是让技术适用于你所 养殖的物种。 最后,耐心也是水产养殖投资的一个重要方面。投资需要数 年时间才能获得回报。没有捷径。没有快速的回报。我没听 说过有哪个养鱼业的亿万富翁是一夜暴富的。这需要多年的 勤奋、努力和对细节的关注才能成功。 水产养殖技术在过去几十年里有了巨大的发展,创新和技术 策略的使用仍在加快步伐。可能很难跟踪这些发展。这就是 我们举办展览和会议的目的。 明年,我将再次参加特隆赫姆的水产养殖展览会(Aqua Nor)。我相信届时展会也会有许多潜在的投资者。我只希 望他们中的一些人在把资金投入水产养殖发展项目之前,已 经读过我在这里所写的内容。 ONLINE IN-PRINT MOBILE APP FISH FARMING TECHNOLOGY Erik Hempel The Nor-Fishing Foundation International Aquafeed - 2022年9月 | 5

rogerg@perendale.co.uk 总编辑 乔伊(乔斯纳) 内洛利查利尔 joyn@perendale.co.uk

国际编辑

麦康森博士(中文版) mai@perendale.com 安东尼奥·加尔萨教授(西班牙文版) antoniog@perendale.com

埃里克·亨佩尔(挪威版) erikh@perendale.com

编辑顾问团

• 阿卜杜勒-法塔赫·赛义德教授博士

• 艾伦·吴博士

• 安东尼奥·古韦亚教授

• 查尔斯·白教授

• 丹尼尔·梅里菲尔德博士

• 多米尼克博士

• 伊丽莎白·斯威特曼博士

• 金俊西博士

• 埃里克·德·穆尔德博士

• 佩德罗博士

• 穆罕默德·哈桑博士

编辑团队 西蒙·戴维斯教授 sjdaquafeed@gmail.com

安德鲁·威尔金森 andreww@perendale.co.uk

香农·帕森斯 shannonp@perendale.co.uk

尼亚姆·卡西迪 niamhc@perendale.co.uk

国际营销团队

达伦·帕里斯 电话:+44 7854 436407 darrenp@perendale.co.uk

拉丁美洲营销团队

克拉丽莎·加尔萨·德·伊塔

电话:+52 669 120 0140 clarissag@perendale.com

克里斯蒂娜·玛丽亚·罗尔丹·奥特罗 电话:+44 1242 267700 cristinaperendale@gmail.com

埃及营销团队

穆罕默德· 巴罗姆

电话:+20 100 358 3839 mohamedb@perendale.com

印度营销团队

巴布博士 +91 9884114721 tdbabu@aquafeed.org 亚洲营销团队 但丁·冯 电话:+886 0227930286 dantef@perendale.com 尼日利亚营销团队

内森·恩沃苏 电话:+234 8132 478092 nathann@perendale.com

设计经理

詹姆斯·泰勒

本期内容 鱼类养殖技术 ©Copyright 2020 Perendale Publishers Ltd. All rights reserved. No part of this publication may be reproduced in any form or by any means without prior permission of the copyright owner. More information can be found at www.perendale.com ISSN 1464-0058 COLUMNS 常规项目 8 行业新闻 水产养殖案例研究 佩伦代尔 出版有限公司 7 圣乔治露台 圣詹姆斯广场,切尔滕纳姆,格洛斯,GL50 3PT,英国 电话: +44 1242 267700
发行人 罗杰·吉尔伯特
jamest@perendale.co.uk 流通与活动经理 图蒂 坦 电话:
tutit@perendale.co.uk 开发经理 安托万·坦吉 antoinet@perendale.co.uk 3 Roger Gilbert 4 Professor Simon Davies 5 Erik Hempel 66 行业面孔 64 水产饲料访谈 60 市场 11 Antonio Garza de Yta 12 Brett Glencross 2022年9月 第 25 卷 第 9 52 行业活动 46 技术展示 48 有机海鲷和虹鳟鱼生产
+44 1242 267706
THE BIG PICTURE 特征 藻类类胡萝卜素作为鲑鱼的色素 - 开发一种现实且更可持续 的水产养殖替代品 在第 26 页查看更多信息 鱼类养殖技术 36 挪威鲑鱼眼:水产养殖的浮动展览 40 虾养殖:开发易于管理和可预测的技术包 44 精准养鱼:利用下一代微生物组分析预 防疾病 16 可持续鱼类原料: 谷物如何被估价和重新用于水产 饲料 22 罗非鱼育苗饲料 26 藻类类胡萝卜素作为鲑鱼的色 素:为水产养殖开发一种现实和 更可持续的替代品 30 膨化水产饲料:一种改进质量控 制的新技术

给我们带来了许多好处。首先,我们 可以通过

续性和可实践性理念。”

总结道:

世界上首个被ASC认证的渔场庆祝被认证10周年 十年前,Regal Springs公司 在印度尼西亚苏门答腊岛 的多巴湖罗非鱼渔场成为 世界上首个被水产养殖管理委员会 (ASC)认证的渔场。 自那以后的十年间,全世界有1700 多个渔场达到ASC标准并获得ASC认 证。目前,每年收获近250万吨海鲜和 海藻,这意味着水产养殖企业正逐步 向环境友好型和社会责任型转变。
目前,Regal Springs公司的多巴湖罗 非鱼渔场依旧是被ASC认证的,并且 Regal Springs公司在洪都拉斯和墨西哥 的罗非鱼渔场也已经被ASC认证。 Regal Springs公司的欧洲常务董事 Petra Weigl说:“在Regal Springs公司, 我们非常自豪能成为这方面的先驱。 我们将ASC的认证从印度尼西亚扩展 到了洪都拉斯和墨西哥。” Regal ASC的审计和报告整理和共 享数据;其次,随着ASC饲料标准的 实施,从养殖到收获的可追溯性得到 了改善,这将推动我们渔场在饲料采 购方面进一步改进,并继续改善内部 和外部各方的社会责任” 。 “总的来说,ASC认证有助于我们清 晰地向投资者和客户传达我们的可持
Springs公司印尼的常务董事 Rudolf Hoeffelman补充说:“ASC认证
鳟鱼;鲶属;三文鱼;鲈鱼、鲷鱼和 贫鱼;鰤鱼和军曹鱼;虾;罗非鱼以 及热带海洋长鳍鱼。同时,还有一个 针对各种海藻的ASC-MSC联合标准。 ASC首席执行官Chris Ninnes评论 道:“千里之行始于足下。今天,8月 15日,是水产养殖行业转变的一个重 要里程碑。” Chris Ninnes
“当印度尼西
2012
ASC
8 | 2022年9月 - International Aquafeed 新闻
11个物种的ASC标准 Regal Springs公司的多巴湖罗非鱼渔 场是在ASC成立两年后获得认证的。 当时,只有两类渔场可以获得ASC认 证,即罗非鱼养殖场和鲶鱼养殖场。 截至2022年,ASC已经对11个物种制 定了认证标准,这意味着养殖这11个 物种的渔场可以获得ASC认证。 这些物种包括鲍鱼;双壳类(蛤蜊、 贻贝、牡蛎、扇贝);鲆鲽类;淡水
亚的第一个渔场在
年获得
认 证后,从生产者到世界各地的所有利 益相关者都产生了连锁效应。我们很 高兴看到这种责任制的水产养殖的转 变,这加强了我们在未来10年内大规 模扩大影响力的承诺。”
Jefo Protease The solution to REDUCE FEED COSTS jefo.com Contact our Aquaculture Specialists info@jefo.com Increases Protein Digestibility Enhances Intestinal Health Promotes Environmental Sustainability

是我第五次来到罗马参加渔业委员

会(Committee on Fisheries,COFI) 会议,我对第35届COFI可能发生 的事情充满期待,虽然会因为离开 而错过儿子一周的成长而感到一丝 遗憾。 无论你如何到达罗马,这座城市都不会让你失望,游客在 每次旅行中都会爱上或再次爱上它。

然而,COFI的历史是不同的。

现在,由于疫情,你们来到的不是充满活力和生机的粮农

组织总部,入住的酒店要严格履行防疫政策,让人感到无情 和悲伤。

目前,由于这些健康限制,很少有员工每天上班,他们几 乎都在家办公,这是个翻新大部分建筑的机会。

新冠防疫政策还导致参会者可能不在同一个区域,每个国 家有两名代表,他们被邀请到全体会议室,而超过允许人数 的代表必须坐在红房间,而观察员(包括我在内)都呆在绿房 间。 不管什么原因,一个人会感到孤独,与世界各地的同事互

相交流的机会大大减少。 尽管如此,少数获准参加活动的粮农组织工作人员仍然充 满热情和活力,其余工作人员只能在家中或办公室通过网络 观看活动。即使尽可能适应这种方式,我仍然十分不习惯。 这个线上线下结合的会议使以庆祝国际手工渔业和水 产养殖年(International Year of Artisanal Fisheries and Aquaculture)为主导的议程取得了进展,并且向往常一样, 所有参会者都受到赞扬。 除了水产养殖委员会的建议之外,还讨论了行业的基本问 题,如减少非法、未报告和随意捕捞,应对气候变化的必要 行动以及维持渔业和水产养殖生物多样性的重要性。 以上这些都非常重要,但仅从我个人的角度出发,并不作 为任何组织的代表,我认为这是远远不够的。 随着年龄增长,人会逐渐失去了好奇的能力,这是一个悲 伤的事实,过去的生活不会以同样的情感和强度重新体验。 也许这就是我在COFI的经历,或者事情只是发生了一点变 化,但在这些委员会所代表的或曾经代表的所有魅力之下, 缺少了一点远见和激情。 我们所有人对未来20或30年后的水产养殖业发展有一个非 常清晰的认识,这是非常重要的。也许这一愿景会因地区或 国家而有所不同,但我们也必须知道这一点。 上一届水产养殖小组委员会把《上海宣言Shanghai Declaration》搁置一旁,不管出于什么原因(不是技术性的原 因),这剥夺了我们想象未来世界的机会,一个以水产养殖业 优先的世界,在那里,水产养殖的目标是通过高薪工作来使
言》中必须尽快实施的许多要点。 我个人认为,粮农组织履行了自己的职责,但由于其无法 控制的原因,它多年的努力未能实现。 这应该由我们自己而不是其他任何人来掌握控制权,不论 国籍、信仰或意识形态,我们对人类的承诺要求我们推动水 产养殖进入我们所有国家的议程,首先是将水产养殖行业发 展考虑入国家的预算之中。让我们继续向蓝色转型迈进。 中国海洋大学 何艮博士 翻译
罗马之行 Antonio Garza de Yta International Aquafeed - 2022年9月 | 11 新闻
家庭摆脱贫困,而不是许多人的最后选择。 我认为,《上海宣言》的失效大大推迟了蓝色转型和全球 水产养殖的整合。 我知道我个人的声音很微弱,但今天我想呼吁我所有的科 学家朋友、决策者和水产养殖专家联合起来,讨论《上海宣
Antonio Garza de Yta, PhD in Aquaculture from Auburn University, President of Aquaculture without Frontiers, WAS President and creator of the Certification for Aquaculture Professional (CAP) Program. He is also the Spanish Editor of International Aquafeed Magazine and founder of the International Center for Strategic Studies for Aquaculture. He is currently Secretary of Fisheries and Aquaculture of the State of Tamaulipas.
虽然水产养殖似乎是全球可持续性动物 生产中更好的选择之一,但水产饲料 的可持续性似乎在最近媒体报道中更 受关注。 也许这并不奇怪,因为几项研究清楚地表明,水产养 殖中90%以上的足迹与饲料使用有关。因此,最近有一 篇文章报道了大型三文鱼饲料公司为解决碳足迹问题所 做的一些努力。[https://aqfeed.info/e/1594]。 BioMar和Skretting都提到使用创新方法来应对这一挑 战。BioMar清楚地表明,通过解决一个公认的海洋资源 利用的问题,其饲料却被推向了增加其碳足迹的方向。 因此,他们看到未来发展方向类似一个环形的,他们 未来希望避免使用具有人类直接食用(direct-humanconsumption,DHC)潜力的产品,如使用新型单细胞蛋 白质源。另一方面,Skretting相对隐晦地表示“他们了解 到他们研究的热点与植物蛋白有关……并正在制定一项 计划,以帮助实现减排”,但没有进一步说明。 在了解各方面回应的过程中,让我想到了使用比较生 命周期评估(lifecycle assessment,LCA)方法用来比较不 同的水产养殖饲料至少在原料使用方面可能相互矛盾或 者与家禽或猪饲料矛盾。 使用这种LCA方法来评估成分的可持续性的好处在 于,它为评估过程提供了一个明确的客观原则,不幸的 是,在可持续性评估中客观点似乎太少了。 此外,通过访问全球饲料生命周期评估研究所(Global Feed Lifecycle Assessment Institute,GFLI)数据库等资 源,只需要加入一些附加的参数,就可以成为一项相对 直接的饲料配方测算方法。 因此,考虑到这一点,我更新了我的配方数据库, 使用GFLI数据将全球变暖潜能值(global warming potential,GWP)(也称为碳足迹)包括在内,并着手 制定一系列水产养殖、家禽和猪饲料(图1)。 通过测算出现了各种各样的警示,我观察到标准三文 鱼养殖饲料(配方为34%的可消化蛋白质和20MJ的可消 化能量)的GWP(碳足迹)约为每吨饲料2250千克二氧 化碳当量。 就我探索的配方范围而言,与标准虾、猪或鸡配方相 比,三文鱼生长标准饲料相当高。但我们需要注意的 是,猪和鸡的饲料系数分别是三文鱼的三倍和两倍。 事实上,猪和家禽配方的碳足迹非常低,主要是因为 这些配方中小麦的碳足迹很低。但这项工作也表明,我 们可以建立约束条件,以降低碳足迹。 事实上,将饲料碳足迹从每吨2250千克二氧化碳当量 减少到每吨1600千克二氧化碳当量并不困难,也没有那 么昂贵。这一限制只增加了每吨53美元的配方成本,即 三文鱼生长标准饲料成本的3.2%。 这项工作的另一个值得注意的是,当我观察从高碳足 迹到低碳足迹中原材料使用的变化,可以清楚地看到, 人们正在努力减少使用植物性蛋白,增加海洋蛋白成 分,其中包括副产品鱼粉。 所以,至少在我看来,这一切都提出了一个明确的问 题;什么才是真正的可持续?显然,碳足迹只是这个问 题中的一个维度,是21世纪一个非常突出的维度,而且 很可能会越来越突出。 Brett Glencross 什么驱动了饲料“ 碳足迹”深度? Brett Glencross博士是IFFO — 海洋成分组织的技术总监。在过去的25年里, 他在大洋洲、中东和欧洲从事过多种学术、机构和工业工作。 图1: 使用相同原料来源配制的不同饲料的全球变暖潜力,配方成本(美元) 如上文所示,每种饲料原料用不同颜色表示(*三文鱼饲料标准:40%蛋白质 (34%可消化蛋白):30%脂肪(20 MJ 的可消化能量)三文鱼养殖饲料的标 准欧洲配方;GWP=2000:三文鱼配方相同,但GWP限制在2000千克/吨二 氧化碳当量;GWP=1800:相同的三文鱼配方,但GWP限制在1800千克/吨 二氧化碳当量;GWP=1600:相同的三文鱼配方,但GWP限制在1600千克/ 吨二氧化碳当量;虾养殖饲料标准是40%蛋白质、8%脂肪,此为标准东南亚 虾饲料配方;猪:标准的猪养殖配方;鸡:标准的鸡养殖配方)。根据GFLI ReCiPe经济分配制定的饲料的所有数据均基于RER(欧洲采购)或GLO(全 球采购)值,除了鲱鱼副产品,使用了斯特林大学Richard Newton博士的 数据。 12 | 2022年9月 - International Aquafeed 新闻
Mørenot公司致力于研发处 理海洋塑料的系统 为了解决当前时代最紧迫 的环境问题,Mørenot公 司正在研发一个2.5公里 长的清理系统,以清理海洋中的塑 料。 2021年,Mørenot公司与荷兰非营利 性海洋清理组织合作研发出了该系统 的初级版“System 001”,且实践证明 能够在太平洋中大量收集海洋塑料。 海洋清理组织研发和推广该技术的 目的是清理全世界海洋中的塑料。作 为升级版本,“System 003”尚在研发 中。Mørenot公司是该项目选定的供 应商。 基于“System 002”塑料收集测试效 果,Mørenot公司特别指出“System 003”优化升级版需要解决的关键难 点:如海面风大浪急,如何防止海洋 塑料漂散;海上状况瞬息万变,何时 何地部署收集系统等。 Mørenot公司首席执行官Arne Birkeland表示,他们公司会为该项目 提供水产养殖业专业的理论支持。 他解释说: “ 基于百年来的渔业和 水产养殖业经验,我们能够很好地 利用现有技术和专业知识帮助海洋 清理组织研发 “System 003” ,它是 第三代系统。我们对这个项目充满 信心,并为能成为其中一员而感到 自豪。 ” “System 003”系统的尺寸是“System 002”的三倍,专为清理海洋塑料设计 和定制。“System 003”系统深四米, 设计成一个漏斗状并且底部有一个开 口,以确保鱼和其他海洋生物在拖网 捕捞海洋塑料时不会被困住。 两艘近海船只共同拉网。该网每15 秒将清理一个相当于足球场大小的区 域,就意味着每天能清理相当于6000 个足球场面积海域。 “System 003”系统除了尺寸 是“System 002”系统的三倍大小外, 且其单位收集成本更低。海洋清理的 成本与运行船只有关,因此通过扩大 收集系统的规模可使每艘船能够收集 到更多的塑料,并启用轮换的第三艘 船,可以使Mørenot公司降低收集塑 料的预期成本。 “每年大约有两百万吨塑料进入海 洋,对海洋生物构成了巨大威胁。” Birkeland先生补充道“作为海洋受惠 产业,这个项目对我们来说极其重 要。我们将砥砺前行,为子孙后代保 护重要食物来源的海洋。” 预计今年夏末,Mørenot公司 将“System 003”系统投入太平洋垃圾 带运行。 广东海洋大学 邓君明博士 翻译 System 03 component production in Lithuania at Mørenot. 保护 鱼类健康 ALLER AQUA SUPPORT TM 爱乐水产保康系列功能性饲料 功能:预防和治疗鱼病,增产。 在多国商业养鱼场的实际养殖环境下, 对不同养殖品种都测试成功。 养殖路上, 伴您同行 LET’S GROW TOGETHER International Aquafeed - 2022年9月 | 13 新闻

Aquaculture Training

MarinTrust to hold a Full Traceability workshop

Traceability is the ability to fully trace a product from the point of sale back to its point of origin, with information available about all transactions and movements in between.

MarinTrust will hold a Full Traceability workshop on October 24, 2022 in Lima, Peru, prior to the start of the annual IFFO - The Marine Ingredients Organisation Conference.

The workshop will focus on the path towards full traceability, with presentations from feed producer Vitapro SA and MarinTrust Certificate Holder Pesquera Centinela SAC that have recently undertaken pilots with MarinTrust to implement GDST.

The organisation will highlight how innovative traceability has worked for them and why it is important, with additional talks on the importance of traceability from Francisco Aldon CEO of MarinTrust and a global perspective from the Global Dialogue for Seafood Traceability's (GDST) Secretariat Frank Terzoli. A Q&A with the panel of speakers will enable active participation of audience members.

To finish the event and highlight the benefits of collaboration, Eva van Heukelom, Partnership Manager at the Global Seafood Sustainability Initiative (GSSI) will introduce their programme.

Why is traceability so important?

The answer is that traceability is vital for food safety, to prove legality and to verify responsible sourcing. With seafood the most globally traded food commodity, all three aspects are vital, yet until the formation of the Global Dialogue for Seafood Traceability (GDST) in 2017, there were no international standards related to documentation and record keeping nor to tracking protocols.

The pre-competitive Dialogue aimed to produce an aligned global framework for seafood traceability based on four pillars:

- Internationally agreed key data elements (KDEs) to be routinely associated with seafood products

- Technical specifications for interoperable traceability systems, along with standard legal and business formats facilitating business-to-business information exchange

- Internationally agreed on benchmarks for verifying data validity

- Harmonisation of business-smart national regulations to help reduce compliance burdens

Subsequently GDST Standards have been developed and are now adopted by more than 80 leading international seafood companies, who have stated their intent to implement these standards over time and recommend their widespread adoption and implementation by the entire seafood industry globally. They have also been endorsed by global initiatives and standards, most recently MarinTrust, as the new MarinTrust Chain of Custody (CoC) standard follows GDST standards and materials enhancing the traceability of marine ingredients in value chains. However, success towards full traceability requires collaboration between supply chain actors and a greater understanding of how and why traceability can be achieved.

Register before October 17 by sending an email to standards@ marin-trust.com

The event will take place in Salon Cusco 1 at the Westin Lima Hotel & Convention Center, Calle Las Begonias 450, San Isidro, Lima 27, Peru.

14 | 2022年9月 - International Aquafeed

OUR OBJECTIVE:

A COMPLETE SOLUTION BASED ON 4 PRODUCTS

is a blend of unique oleochemicals and active matrix selected for aquaculture application to help the reduction of parasitic challenges.

is a blend of natural products dedicated to stress management based on natural defenses stimulation and control thanks to anti-inflammatory and antioxidant effects.

is a natural solution specially developped for Aqua challenges leading to better economical results thanks to a wide spectrum modes of actions essentially linked to the gut balance modulation.

is a blend of Bacillus spp. strains dedicated to biocontrol in all aquaculture farming systems.

contact@mixscience.eu
To support our customers to combine sustainability and economical performance
2 1 3 4
Find miXscience on © Marketing miXscienceAvril 2022
E副产物可重新应用于饲料。EIT Food 是全球最大的饲料创新社区,由欧洲 创新与技术研究所(EIT)支持。 EIT Food北欧谷物项目致力于将谷物 加工过程中产生的副产品应用于水产 饲料中。比如,在燕麦粉生产过程中 会产生副产物(燕麦麸和燕麦糊精) 。燕麦麸和燕麦糊精富含碳水化合物,可应用于水产饲料。 水产饲料中使用谷物具有较好的经济和环境效益。谷物经 济实惠且有利于环境可持续发展,可作为其他饲料原料(如 大豆)的替代物。 冰岛Matís生物技术研发公司的Elísabet Eik Guðmundsdóttir 说:“我们的项目将对资源利用产生重大影响,具有显著的 经济和环境效益。” 该项目的研究结果也将为未来水产养殖及饲料生产的发展 提供理论基础,并对水产行业产生较大影响。 为什么商业鱼类饲料不可持续? 了重要作用。水产品是人类的优质蛋白源,发展水产养殖业 可有效减少过渡捕捞和海洋资源枯竭。 然而,目前水产养殖场主要使用商业鱼类饲料喂养水产动 物。商品饲料原料包括豆粕和鱼粉,且市场对这两种饲料原 料的需求量持续增加。然而,大豆和鱼粉被认为是不可持续 性的饲料原料。 豆粕 豆粕可用于喂养畜禽和水产动物。其主要产地是热带雨 林,而热带雨林在调节气候和维持生物多样性上起着至关重 要的作用。 然而,对大豆需求的增加导致了大量树木被砍伐。巴西作为 世界上最大的大豆生产国,其亚马逊雨林有20%已经被砍伐。 亚马逊盆地正在从吸收二氧化碳的“碳汇”转变为排放二氧化碳 的“碳源”(Animal Equity,2021)。 因此,为了获取饲料原料而破坏热带雨林的行为正在改变 气候。此外,这种行为会通过破坏陆生作物生长从而威胁粮 食安全,也会通过加剧海洋酸化危害水生动物。 可持续性的鱼类饲料原料 —如何将谷物应用于水产饲料? Laura Elphick(英国EIT Food 项目管理与沟通经理); Cameron Davies(英国EIT Food 通信实习生) 16 | 2022年9月 - International Aquafeed
饲料中使用的鱼粉部分来源于野生海水鱼类。仅 小部分鱼粉用于饲养畜禽,而超过69%的鱼粉和 的鱼油被用来饲养水生动物(Compassion in World Farming,2019)。 捕捞鱼类并将其加工成鱼粉是一种浪费资 源的行为。过度捕捞可饲鱼类已导致部分可 饲鱼类(如凤尾鱼和鲱鱼)濒临灭绝。 另外,鱼粉和鱼油已经供不应求 2018),现有渔业资源只能维持 The Conversation,2020)。因 此,站在长远的角度来看,商业饲料在产业 上具有不可持续性。 寻求一个可持续性的饲料原料 北欧谷物项目研究发现了一种可用于替代豆 粕和鱼粉的饲料原料。该原料主要是谷物加工过程中 产生的富含碳水化合物的副产物 燕麦麸和燕麦糊精。 目前,该项目正在研究如何将这些副产物转化为可利用的 饲料原料。从副产物中获取的多糖(淀粉和β-葡聚糖)不能 直接作为饲料原料使用,需要进一步被分解。 Specialist in the design and build of installations for the grain-processing and compound feed
Ottevanger Milling Engineers is supplier of machines, installations and complete process lines for the compound feed industry and grain processing companies. Our expertise in project management, engineering and production ensures the successful realization of machines, process lines and complete installations www.ottevanger.com Fane Valley, Ierland | 60tph Scan the QR-Code for more information International Aquafeed - 2022年9月 | 17
industry
Verdensledende innen mikrobølge-fuktighetsmåling Hydro-Probe XT Beholdere, sjakter, transportbånd Hydro-Mix XT Blandere, overføringsenheter, kanalsystem Hydro-Mix XT-EX Sertifisert for bruk i ATEX, IECEx og NEC/ CSA Farlig Plasseringer (støv) Hydro-Mix HT Blandere, overføringsenheter, kanalsystem, høy temperatur enquiries@hydronix.com www.hydronix.com Kontakt oss for flere opplysninger Hydronix-Aquafeed-Advert Jan 2022 215x140mm.indd 7 21/12/2021 12:14 18 | 2022年9月 - International Aquafeed
酶在这一转化过程中发挥了根本作用。多糖可通过酶解变 成可利用的单糖和二糖(例如葡萄糖和麦芽糖)。 这些小分子糖随后会被酵母和乳酸菌等(可生产单细胞蛋 白)微生物利用,而这些生物制品将是成品饲料的核心要素。 项目成果 EIT Food北欧谷物项目部分研究结果如下: - 不同种类酶可以通过糖化作用(将淀粉水解为葡萄糖)使 燕麦中的纤维素更容易被吸收利用。 - 通过对多种酶进行实验发现,使用2-3种复合酶比使用单一 酶的转化效率更高。 - 不同组合酶生产出不同类型糖。这使得我们可以根据所需 要的糖定制特定的酶组合。 - 多种酵母菌都能在这种水解产物中生长,其中还有部分菌 株具有成为水产养殖饲料添加剂的潜力。燕麦水 解上清液中的糖浓度至少与普通的酵母菌培养基 一致。这表明,燕麦水解上清液中糖的含量足以 满足菌株的能量需求,不需要额外添加碳源。 - 这些结果表明,北欧谷物项目具有高效开发为水 产养殖饲料的潜力。因此,未来有望开发出更复 杂且专用的饲料。 鱼类福利和循环饲料生产 北欧谷物项目不仅为水产养殖业开发出一种可持 续性的饲料原料,同时还具有其它方面的优势。 该项目致力于鱼类的生长性能和动物福利。养殖鱼类需 要特定的营养物质,以达到改善肠道健康并降低死亡率 的目的。北欧谷物项目旨在提供合适的饲料配方,以替 代抗生素和降低死亡率,从而提高水产养殖业的整体生 产力。 该项目提倡一种饲料循环生产的方法。例如, “ 获取 - 制 造 - 处理 ” 生产模式会产生大量的副产品,而这些副产品通 常会被浪费。北欧谷物项目通过在生产过程中使用更少 资源及废料再利用,以促进水产养殖业的绿色循环发展。 水产养殖的未来 水产养殖业将持续发展,以供给人类更多的食品,并减少对 海洋等重要生态系统的压力。 International Aquafeed - 2022年9月 | 19
由于豆粕和鱼粉的供应不足,且它们的使用会对生态环境造 成破坏,所以需要继续开发可替代饲料原料。北欧谷物项目 坚信,微生物等替代蛋白源将是未来饲料的关键,因为微生 物能够将废料转化为有价值的饲料原料。 不仅如此,北欧谷物项目强调水产饲料行业将变得更加灵 活。例如,不同酶组合效应的研究结果表明,随着研究深 入,饲料配方将变得更加复杂和多样化。 这说明,从副产物中开发出不同类型饲料是有可能的,或许 还可能超出水产饲料范畴。 EIT Food在可持续水产养殖方面的创新 EIT Food致力于推动水产养殖成为一种可持续的生产形 式。以下是EIT Food部分水产创新项目的简介。 - 可持续海鲜加工:在不依赖添加剂或热处理的前提下,开 发新的加工技术以延长海鲜的保质期。 - 金枪鱼的繁育:在陆基循环水产养殖系统中繁殖大西洋蓝 鳍金枪鱼。 - BREEZE:一个革命性的环保鱼类健康管理概念。 - Delta Futuro:开发一个贝类苗种生产基地,保障养殖户苗 种供应。 - AGAPE:一个基于人工智能的协同平台,支持水产养殖向 再生和循环的食品生产形式转变。 - SustainFeed :为海洋鱼类开发低碳和零废料成分的新型 可持续性饲料。 要了解更多信息,请访问: www.eitfood.eu/discover/ sustainable-aquaculture 关于项目联盟 北欧谷物项目是一个多学科的项目,涉及 商业和学术界的国际利益相关者。该联合体 包括:隆德大学(瑞典)、Matis(冰岛)、 赫尔辛基大学(芬兰)、Laxa Fishfeed(冰 岛)、Läntmannen(瑞典)和ImmuneBiotech (瑞典)。 关于EIT Food EIT Food是世界上最大的食品创新团体,寻求建立 一个适合未来的食品体系,为人类生产健康和可持 续食品。 在欧盟机构 欧洲创新与技术研究院(EIT)的支 持下,专门资助相关项目、组织和个人,以建立一 个健康和可持续的食品体系。 20 | 2022年9月 - International Aquafeed
Cablevey® Conveyors is a registered trademark of Intraco, Inc. 06/2022 Gentle Clean Reliable Conveying Decades of Experience Worldwide. Experts in Cable & Disc Conveying Solutions. 66+ Countries Served 32,000+ Conveyors Commissioned The Heart of the System CABLE & DISCS +1(641) 673-8451 info@cablevey.com www.cablevey.com Cablevey® Conveyors is a registered trademark of Intraco, Inc. 07/2022 那您需要仔细看看安迪苏 乳速来 如果您觉得所有的溶血磷脂是一样的…… 专业的生产平台 高标准的产品设计 经过科学验证的作用模式 易实现的应用方案 有效的降本策略 可持续的生产和供应 安迪苏 溶血磷脂产品的领导者 精准水产方案的提供者 International Aquafeed - 2022年9月 | 21
有竞争力的水产养殖生产要 求每个物种的每个生长 阶段都要有全价配合饲 料。育苗饲料必须根据 合理的营养需求制作, 包括饲料的物理指标、 摄食量和饲料效率。 在育苗阶段使用恰当的 饲料有助于提高鱼类的 各种机能,包括是否能更好地应对外部应激,甚至贯穿整个 生命周期中潜在的健康威胁。 因此,生产一线和研究人员都非常关注鱼类早期阶段的营 养解决方案,以便最大限度地提高鱼类的生长性能,以及确 保养户养成阶段的经济效益。 精准营养配方 配方师熟悉饲料原料特点和淡水鱼的营养需求对于开发高 消化率的配合饲料是至关重要的。 此外,水生动物的营养需求受鱼类生长过程中生理变化的 影响,因此有必要开发适合不同大小鱼类的饲料配方。 这就给育苗饲料的配方师带来了挑战,因为需要他们根据 鱼苗大小不断调整饲料配方,以满足整个育苗阶段的营养需 求。根据生长和各种性能表现调整饲料配方有助于确保鱼苗 获得最佳营养,包括调整饲料蛋白能量比、脂质、矿物质、 Frederic Baron,全球水产营养师,ADM Animal Nutrition Delphine Weissman,全球水产养殖研究与应用经理,ADM Animal Nutrition,美国 淡水鱼早期营养背后的科学 Figure 1: Young Tilapia daily growth vs DP intake Figure 2: Young Tilapia daily growth vs DP/DE ratio 罗非鱼育 苗饲料 22 | 2022年9月 - International Aquafeed
维生素、功能性添加剂和消化酶。 饲料蛋白能量比 确定饲料蛋白质的消化率有助于确定鱼苗如何有效地利用摄 入的蛋白质。事实上,ADM在越南的研发机构进行了相关的 研究试验,并进行了荟萃分析,清楚地证明了可消化蛋白质 摄入量显著影响罗非鱼和淡水鱼幼鱼的生长(图1)。 此外,饲料配方中可消化蛋白质与可消化能量的精确比例 有利于提高鱼苗生长速度,并降低污染水生环境的氮排放 (图2)。 脂质 与其他海洋物种相比,淡水鱼类并不依赖高度不饱和脂肪 酸(HUFA;ω3),它们能够去饱和并将C18必需脂肪酸链 延长至更长的HUFA。 然而,细胞增殖主要发生在育苗阶段,这就需要补充磷脂 来满足鱼苗的特殊脂质需求。磷脂在育苗阶段很重要,其含 有鱼类发育所需的生物膜结构成分。 矿物质、维生素和功能性添加剂 充足的大量和微量矿物元素对于鱼苗身体和骨骼的正常发 育以及健康和肉质至关重要。幼鱼往往暴露于各种 应激下,包括操作、接种疫苗、在养殖系统/养殖场 之间转运、种群混合、高密度和水质等,在免疫和 消化系统发育尚不成熟的时候,这些应激会影响它们的身体 结构和生长。 通过在高质量饲料中加入足量的特定矿物质、维生素和关 键的功能性添加剂,幼鱼在生命的关键阶段和以后都能够更 好地对抗这些应激。 消化酶活性 动物获得最大生长时的饲料效率取决于饲料的营养组成以及 对营养素的摄入、消化、吸收和代谢。水生动物对营养的利 用效率取决于其消化酶活性,该活性随着鱼的生长而变化。 由于每个年龄段的消化酶活性不同,鱼类在不同生长阶段 也有不同的营养需求,因此有必要开发适合不同大小鱼类的 饲料配方。 Figure 3: Fingerlings red tilapia mouth size.
ADM
www.tsc-silos.com Check out our references: “By building some of the cells one above the other, the maximum flexibility has been raised to an even higher level.” STORE SMART STORE SQUARE Location: Moudon, Switzerland Product: Grains and seeds Capacity 2.600 m³ Bins 51 Height 32 m Width 7,5 m Length 19,9 m International Aquafeed - 2022年9月 | 23
Source: Technical team,
Asia

ADM采用两种技术生产其优质的育苗饲料。

第一种,该公司采用丸化技术生产 的颗粒饲料(图4)。 该制造丸化技术包括冷挤压和滚圆过程 温度下生产,以防止蛋白质变性,从而提高消化率和生长 性能。

此外,滚圆技术可以生产出均匀的圆形颗粒,并提高了颗 粒的水稳定性(图5)。

第二种,ADM采用微挤压技术生产 的膨化饲料(图4),生产的浮性饲料非常适宜鱼苗的摄食 行为,满足了养殖户对优质饲料的期望和需求(图 经济高效的解决方案

诱食剂 鱼苗生长速度极快,每天需要多次喂食。使用优质原料对 于早期鱼苗来讲至关重要,可以提高诱食性,并提供必需的 营养素。 在寻找、发现和识别食物的过程中,通过使用有效的诱食 剂,如游离氨基酸或小肽,可以进一步提高诱食性和摄食量。 独特的育苗饲料加工工艺 为了给鱼苗和鱼种提供全面的营养,饲料颗粒是通过我们
独特的育苗饲料加工工艺生产的。高质量的饲料颗粒需要具 有足够的稳定性,以防止饲料在浸水后崩解。 具有良好稳定性的颗粒饲料能有效留住水溶性微量营养 素,并降低对水体的污染。而且还应具有适宜的形状和粒 径,以便于鱼种摄食,并防止营养成分过度溶失,并具有良 好的消化率和颗粒均匀性。
ADM
求,他们利用大量的原料组合和先进的加工技术来制作精准 设计的育苗饲料。 具体而言,其Ocialis品牌提供的Nanolis P 价饲料,有助于培育淡水鱼苗和鱼种,旨在提高集约化育苗 条件下的生产性能,以及Nanolis Go 苗条件下使用,既经济又高效。 此外,该公司新型的Nanolis Guard 最佳保障,帮助顺利渡过鱼苗的危险阶段,减轻应激,从而 确保存活率。养殖户在育苗阶段使用优质的饲料,有助于 保障他们的鱼在育苗及后面的养成阶段达到良好的生长和效 益目标。 Above: Figure 4: Nursery extruded feeds from 0.5 – 1.0 – 1.5 – 2.0 mm pellet size under microscope X20 times. Source: Technical team, ADM Asia Above: Figure 6: Demonstration of micro-extrusion technology Right: Figure 5: Advanced technologies produce quality nursery feeds 免责声明 并非所有地区都提供所有产品。 可靠性或完整性不作任何明示或暗示的陈述或保证。 产品用途和声明应适应当地/区域监管环境。此信息并不 意味着对疾病的治愈、缓解、治疗或预防有任何明确的建 议。 Engineering your feed solutions www.orffa.com - Follow us on EXCENTIAL SELENIUM 4000 The new generation of organic selenium All selenium is in the most effectiveorganicform (=L-Selenomethionine) SELENIUM 4000 “Excential selenium 4000 gives fish farmers the opportunity to cope with decreasing selenium levels in plantbased diets” Find your specialist at www.orffa.com 24 | 2022年9月 - International Aquafeed
的水产养殖专家了解鱼类在各个生命阶段的营养需
NOURISH PROTECT SUSTAIN PRODUCTIVITY PERFORMANCE NUTRITION PROTECTION
饲料中添加合成虾青素可 以增强三文鱼肌肉的红 色。在水产养殖中,由 于生产成本较低,合成 虾青素一直是水产饲料 的主要色素来源。 从细菌、酵母或藻 类中提取可以用于替 代的类胡萝卜素已经 有几十年的历史,但由于成本增加,尚未被广泛采用。 作为天然抗氧化剂,类胡萝卜素能中和自由基,在人 类上已被证明可以预防或减缓慢性疾病、细胞损伤和衰 老。 具体而言,已知它们可以降低炎症、心脏病和癌症、2型 糖尿病、慢性眼病和黄斑病、肥胖和神经退行性疾病的风险 (Sathasivam等,2018)。 藻源类胡萝卜素的高效规模化生产 从藻类中生产类胡萝卜素已经取得了相当大的进展,包括 使用多种藻类(Ambati等,2019)。淡水微藻雨生红球藻作 为天然虾青素来源具有巨大的潜力。从烧瓶到广阔的封闭光 生物反应器均可以培养(图1),已应用于营养、化妆品和 食品工业。 通过多年研究,云南省爱尔发公司每年能够生产160吨虾青 素含量为3-5%的雨生红球藻。在绿色生长阶段不断优化和扩 大藻类的生物量,然后通过强烈的阳光、水化学和温度等压 力条件会促使藻类产生虾青素,这是细胞保护自身免受“恶 劣”环境影响的一种方式。 这导致藻类从绿色变为红色。根据季节不同,虾青素的积 累期约为15-22天,全年都能生产。该产品拥有有机、欧盟新 型食品等多项生产和安全食品认证。这样的生产规模和虾青 素含量使藻源类胡萝卜素成为水产养殖中合成虾青素的替代 品成为现实。 藻源类胡萝卜素为三文鱼提供色素 为水产养殖开发一个实际且更可持续的替 代方案 Nick Wade博士,农业与食品资深科学家,联邦科学与工业研究组织,澳大利亚 吴旭干博士,水产动物营养与饲料系主任,上海海洋大学,中国 26 | 2022年9月 - International Aquafeed
虹鳟上不同来源色素的比较研究 在最近的一项商业试验中(Wang等,未发表),虹鳟鱼 从0.6kg生长到超过2kg,所用的饲料中含有不同来源的虾 青素30mg/kg,分别是合成虾青素(加丽素-粉红),酵母 源虾青素(法夫酵母),藻源虾青素(雨生红球藻),及 未添加虾青素的对照组。 结果表明,不同来源虾青素不影响鱼体增重率、内脏指 数或肌肉色素沉着,表明不同类胡萝卜素来源对生产性能 或产品质量没有显著影响。 然而,摄食藻源类胡萝卜素的鱼肝脏的总抗氧化能力显 著提高,且肌肉中总脂质含量显著增加。 这些结果表明,藻源虾青素可能更有利于应对环境应激。所 有类胡萝卜素来源都可以作为生产高品质鱼片的商业选择。 提高大西洋鲑对藻源类胡萝卜素的消化率 饲料中虾青素的添加量通常为50-60ppm,其成本往往高 Experts in Smart Industry Solutions for Feed Production Fully automated process control from order to product High quality product output with less operator actions Interaction with ERP, Formulation and warehouse software Track & Trace and Contamination module included Reporting services & KPI Dashboarding Turnkey projects including MCC cabinets, IT equipment and Fieldinstallation 24/7 remote support keeps you feedmill up & running Scan the QR-Code for more information www.inteqnion.com International Aquafeed - 2022年9月 | 27

OVN Optimum Vitamin Nutrition® for Aquaculture

Check and adjust vitamin levels for more sustainable farming.

Irreplaceable and essential, vitamins are key nutrients to optimize immunity, health and performance in fish and shrimp. But achieving the right balance of vitamins in aquaculture feed is not as easy as it may sound. There are multiple factors that can affect and ultimately reduce the level of vitamins within feed. That’s why we at DSM are proud to be a continuous innovator by developing specialized tools like the new OVN Optimum Vitamin Nutrition® guidelines 2022 that helps fish and shrimp producers to find the right balance for the animals.

OVN Optimum Vitamin Nutrition® helps feed animals with the right amounts of high-quality vitamins appropriate to their life stage and growing conditions, while supporting sustainable animal farming

If not us, who? If not now, when?

WE MAKE IT POSSIBLE

www.dsm.com/anh

Follow us on:

Ambati, R. R., D. Gogisetty, R. G. Aswathanarayana, S. Ravi, P. N. Bikkina, B. Lei and Y. P. Su (2019). Industrial potential of carotenoid pigments from microalgae: Current trends

and future prospects. Critical Reviews in Food Science and Nutrition 59(12): 1880-1902.

Courtot, E., D. Musson, C. Stratford, D. Blyth, N. A. Bourne, A. N. Rombenso, C. J. Simon, X. G. Wu and N. M. Wade (2022). Dietary fatty acid composition affects the apparent digestibility of algal carotenoids in diets for Atlantic salmon, Salmo salar. Aquaculture Research 53(6): 2343-2353.

Sathasivam, R., & Ki, J. S. (2018). A review of the biological activities of microalgal carotenoids and their potential use in healthcare and cosmetic industries. Marine drugs, 16(1), 26.

Wang L, Long X, Sun W, Li Y, Wang X, Zhang Y and Wu X (2022). Effects of three different sources of dietary Axn on the growth performance, coloration, and antioxidant capacity of rainbow trout Oncorhynchus mykiss. under review 青岛农业大学 陈京华博士 翻译

达饲料成本的25%。然而,虾青素在肌肉中的总保 留率通常低于10%。虾青素的消化、吸收和沉积受 虾青素来源、添加量和饲料成分组成等因素的影 响。 藻源虾青素属于酯化结构,这是一种天然的修 饰,脂肪酸连接到类胡萝卜素分子的一端或两端, 这会改善其消化率。在一项针对大西洋鲑的研究 (Courtot等,2022)中,藻源虾青素的表观消化率 (AD)明显高于合成虾青素。 此外,饲料中添加菜籽油比鸡油或牛油提高虾青 素的表观消化率(图3)。这些油脂的脂肪酸组成存 在显著差异,菜籽油富含单不饱和脂肪酸(MUFA),而牛 油富含饱和脂肪酸(SFA)。发现虾青素的消化率与饲料中 MUFA含量显著正相关,尤其是油酸,它是菜籽油的主要脂 肪酸之一。这一结果为油脂的类型和脂肪酸组成能够改善藻 源虾青素消化率提供了证据,这会提高其利用率和在肌肉中 的保留率。 总之,藻源虾青素与富含MUFA的油脂(如菜籽油)相结 合可以显著提高饲料虾青素的利用率,从而更经济更高效地 生产高质量的大西洋鲑。 参考文献
International Aquafeed - 2022年9月 | 29

水产饲料的膨化 制粒

Equation Sea Bass Bulk Density 378 - 19 x κ + 19.5 x γ - 29 x κ² + 23.5 x γ² DG 68.6 + 2.35 x κ - 7.35 x γ + 9.05 x κ² - 2.25 x γ² WAI 96.95 + 16 x γ + 30 x κ² + 26 x γ²

Catfish Bulk Density 355 - 4.2 x γ - 5.8 x κ² +14.2 x γ² DG 78.95 + 1.91 x κ + 4.82 x κ² - 5.91 x γ²

WAI 175.74 - 15.19 x κ² + 21.59 x γ²

Sturgeon Bulk Density 621 + 20.83 x γ - 22.5 x κ² +37.5 x γ²

DG 68.65 + 6.47 x κ - 6.01 x γ

WSI 11.72 - 0.41 x κ² - 0.795 x γ² - 0.3725 x κ x γ

Cray Bulk Density 640 - 2.5 x κ + 10.8 x γ - 12.5 x κ² + 32.5 x γ²

DG 78.78 + 5.31 x κ² - 8.51 x γ² WSI 12.43 + 0.675 x κ² - 0.54 x γ²

Table 2. Prediction model - Comparison for Temperature and Moisture Content Feed Variables Equation

Sea Bass Temperature 6 x κ + 122

Moisture Content 0.8 x γ + 22.6

Catfish Temperature 2 x κ + 124

Moisture Content 0.4 x γ + 22.8

Sturgeon Temperature 4 x κ + 78 Moisture Content 0.8 x γ + 32.6

Cray Temperature 4 x κ + 78 Moisture Content 0.8 x γ + 29.6

众所周知,像含水量、 温度、压力和螺杆速 度这样的膨化过程中 的参数对产品的质 量有直观且关键的影 响。这些参数决定了 饲料熔体在膨化机中 的淀粉糊化水平、剪 切作用、漂浮颗粒的 膨胀比、下沉颗粒的粘度和粘性、体积密度和耐水性。 随着对生产力、成本、动物健康以及环境可持续性意识的 提高,现在水产养殖户更关注饲料质量,如体积密度、油或 者脂肪含量、耐水性以及油和其他营养物质在水中的散失程 度。他们要求饲料具有更“精确”或“定制”的营养和物理特性 来满足养殖动物需求,以获得更经济和可持续的效益。 这对水产养殖业来说是一个巨大的挑战。对于大多数现有 的水产饲料加工厂,产品的质量控制和加工参数的调整一直 是依赖于制粒机操作人员的技能、知识和经验。在将新产品 投放市场之前,为了找到新配方最合适的生产方案设计,技 术熟练的制粒机操作人员必须进行大量的试验,包括制粒机 的参数调整实践。这导致更多时间、劳动力和精力的投入, 以及大量原料和水的浪费。 一个大胆的假设 饲料需求的多样化,加上精准养殖的趋势,需要更多适合 一项提高质量控制的新技术 文/杨晨(Yang Chen)博士,高级机械工程师,丰尚(Famsun),中国 Table 1. Prediction model - Extruded feed quality related to different aquatic species Feed Response
—— Figure 1:
彩色的照 片) 30 | 2022年9月 - International Aquafeed
FAMSUN H Series Twin-Screw Extruder (
未来的水产饲料生产技术。在丰尚(Famsun),研究人员有 一个大胆的假设:如果有一组可靠的数学模型可以预测膨化 系统的产品质量,那么就不需要成本高昂的生产试验,生产 者就能够找到最佳的加工参数,创建新的公式就可以高效地 生产他们的新产品。 这样唯一要做的就是为新产品确定质量参数。有了质量预 测模型,生产商将能够加快新产品进入市场的步伐,在不同 饲料配方的制作上变得更加灵活,并为他们的水产饲料加工 厂实现最佳的总体设备效率(OEE)和产量(YE)。 在2021年,丰尚的研发专家基于扎实的统计理论和丰富的 大数据技术应用经验,成功开发了一组数学回归模型。专家 采用ANOVA多参数耦合方法对丰尚双螺杆制粒机的加工参 数进行回归分析。研究人员结合体积密度、糊化水平和耐水 性等质量指标,获得了许多数学模型来预测双螺杆膨化系统 生产的膨化水产饲料的质量。 根据饲料配方、螺杆结构和模孔直径对预测模型进行分类 并存储在丰尚的质量预测模型数据库中。随着更多关于最佳 水产饲料生产实践的数据被用于模型创建,数据库不断增 长,并使更多丰尚制粒机用户受益。在丰尚合作伙伴的饲料 厂中已证明回归模型可以准确、可靠地预测制出产品的质 量。制粒机生产出的产品质量参数与根据实际加工参数预测 的产品质量参数一致。另一方面,通过输入产品质量要求, 后台数据库自动计算推荐的预测模型,为新产品提供最佳的 Figure 2: Bulk density of sea bass in relation to temperature and moisture content Figure 3: Gelatinisation level of sea bass in relation to temperature and moisture content AQUAFEED GEPRO has developed into a constant and successful player in the aquafeed and the petfood industry for more than 50-year history and always meet challenges with innovative solutions. Our head office and production site is located in Diepholz, Lower Saxony - in the immediate vicinity of the largest poultry production and processing facilities in Germany. In addition to our headquarters in Diepholz, GEPRO has other locations around the world for your best possible service. Consistency and a high degree of reliability are essential. Already some years ago our logo appeared in a new design. This is now also incorporated in our product portfolio. Consistency, innovation and a high degree of reliability are essential. www.ge-pro.de Contact aqua@anpario.com Want An Extra US$1,000 Per Hectare? 77719601 International Aquafeed - 2022年9月 | 31
启动参数建议。质量预测模型使饲料制造商可以快速响应 客户的需求,并追求卓越的运营。 质量控制实践 丰尚 H系列双螺杆制粒机(见图1)于2018年推出,其生产 稳定性好、配方适应性强、操作简单。迄今为止,H系列 制粒机已经非常成功地在越南、泰国、南美等世界主要水 产养殖市场的饲料加工厂应用了100多台。 目前,丰尚与H系列制粒机用户在水产饲料质量预测与 控制技术的研究、测试、试验和应用方面的合作已经实现 了第一阶段目标。采用ANOVA多参数耦合方法对膨化制 粒产品质量数据和相应的加工参数进行检验,取p<0.05的 影响因子及其系数,建立了多个回归模型。 利用MATLAB的轮廓曲面图,直观地描述了饲料质量与 膨化制粒工艺参数之间的关系。对于体积密度、糊化水 平、耐水性和吸水能力等关键质量指标,分别进行回归 过程,回归模型只描述单个质量指标与处理参数之间的 关系。 所有预测模型根据饲料配方和模孔进行分类并存储在数 据库中。对于新产品,一旦确定并输入目标产品质量,后 台数据库将计算出推荐的预测模型,并对制粒机膨化腔温 度和汽、水添加量提供最佳的生产控制方案,确保以高 效、低耗、少浪费的方式生产水产饲料。 表1展示了一组丰尚 H系列制粒机的质量预测模型,该模 Figure 4: Database searching and recommended start-up parameters Figure 5: FAMSUN Extruder Automatic Control System Pole Position! Leiber GmbH | Hafenstraße 24 | 49565 Bramsche Germany | info@leibergmbh.de Real brewers‘ yeast! Really effective! CeFi® pro | best values in bioavailability Biolex ® MB40 | prebiotic. gut health. MOS Leiber ® Beta-S | pure beta-glucans for strong immune defence Leiber ® Beta-S Plus | synergistic combo of pure beta-glucans and MOS Leiber NuTaste® | Natural. Pure. Delicious. For further information just get in touch with us! Visit our new website: leibergmbh.de 32 | 2022年9月 - International Aquafeed
型是丰尚与中国浙江一家水产饲料厂合作研究、测试和验证 的。该饲料加工厂生产四种水生动物饲料。每个品种有3-4个 质量预测模型,涵盖了体积密度、糊化水平、吸水能力、耐 水性等质量指标,影响因子p<0.05, R2>0.95。其中x、y参数分 别表示制粒机内膨化腔温度和调质机内饲料含水率,取值为 (-2:0.05:3),对应的温度、含水量加工参数如表2所示。 可视化的关系 利用MATLAB三维轮廓曲面图,可视化得到鲈鱼体积密度与 熔体温度、含水量等加工参数之间的关系如图2所示。 熔体温度与体积密度先呈正相关,后呈负相关。然而特定饲 料糊的含水量与体积密度先负相关,后正相关。淀粉糊化水平 与熔体温度先负相关后正相关,与含水量的关系则相反(见图 3)。 糊化水平与熔体温度和含水量的关系与体积密度与熔体温度 和含水率的关系是相反的,这验证了高糊化水平总是导致高膨 胀比和低体积密度的膨化产品专业知识。 第一个公式 所有预测模型先根据公式进行分类,然后根据模孔对同一种 鱼的公式进行进一步分类。通过MATLAB计算,数据库将根 据产品质量参数自动搜索推荐型号。 在确定体积密度、糊化水平、吸水能力、耐水性等目标质量 后,后台程序将根据推荐的制粒机启动参数预测模型和输出 方案自动计算(见图4)。 适合的工艺参数 在丰尚制粒机自动控制系统中建立了质量预测和控制数据 库。有了这一功能,操作人员可以获得适合的加工参数,尽 快生产出合格的产品,避免了在试验中损失生产时间和吸水 能力、耐水性等要求较高的质量测试。此外,智能功能有助 于减少对有经验的操作人员的依赖,促进饲料生产的科学和 经济化。 通过将智能质量预测和控制技术与基于最先进制粒机的高 水平自动控制相结合,丰尚水产饲料制粒的解决方案实现了 快速启动、全自动蒸汽水添加和高性能水产饲料制粒质量控 制。 它有助于简化操作,让生产者生产能力更强,更具灵活性和 效率,以满足从业者现在和以后的需求。 黄海水产研究所 徐后国博士 翻译 Phileo’s probiotics and active yeast fractions are designed for hatcheries and growing farms to support health, feed efficiency and growth performance . Our sustainable solutions bring innovative responses to fishmeal reduction stakes and environmental challenges. Act with nature for animal care. Join the fish revolution Visit our new website www.phileo-lesaffre.com International Aquafeed - 2022年9月 | 33

The Art of Nutrition & Growth

Dibaq Solutions are specific programs designed to offer customers a range of services that only a leader in aquaculture can: nutrition for every need, continuous follow-up of fish quality not to mention technical and commercial assessment. All of this is the outcome of our international experience.

Dibaq AquaSafe® - an internal quality seal for high-value products

By only using the highest quality raw materials, micronutrients and functional components, Dibaq Aquaculture is a well respected company that specialises in the manufacture of specifically tailored products.

As a result, we have managed to go further and improve the quality of these products with this new seal, which will help our clients to achieve the maximum performance in their own production.

The AquaSafe concept also prioritises sustainability and the water safety of planet earth, as well as the health of the fish fed, stimulating their immune system, improving growth performance and protecting them against internal and external parasites.

Therefore, Dibaq AquaSafe is not only supporting and focusing on the safety of the planet - but on the health of its fish too.

Visit us: dibaqaquaculture.es

鱼类养殖技术

Tech update

To inform & inspire the world

Recently unveiled in the middle of the Hardangerfjord, Salmon Eye is Norway's new Forum for innovations in sustainable seafood production.

“Now the real work will begin. We will inform and inspire the world to utilise the resources in the sea in a better way, so that the world's growing population has access to good, healthy and sustainable food that does not destroy the planet,” says Sebastian Torjussen, Salmon Eye Managing Director.

35 | 2022年9月 - International Aquafeed
挪威建造了迄今为止最大的可进入的水上展览。该建筑名 为“鲑鱼眼”,位于Kvinnherad市北部的Hardanger峡湾,这是 挪威第二长的峡湾。这座美丽的建筑以破纪录的规模设计 和建造,旨在为可持续鲑鱼养殖提供灵感、教育和体验。来 宾们被带上一艘观景船观看揭幕仪式,随后举行了圆桌讨 论。Eide一家希望,这个新设施将为世界提供一种可持续的 鱼类生产方式。 揭牌 2022年9月2日,鲑鱼眼的开业于12点15分(欧洲中部时 间) 通过的直播向大众展示了实物和数字两种展览形式。 挪威是世界上第二大海鲜出口国,产品主要是三文鱼,Eide Fjordbruk的首席执行官Sondre Eide和Eide家族构思、发起并 资助了整个鲑鱼眼展览馆。 作为Eide Fjordbruk的Watermoon技术部门的一部分,“鲑鱼 眼”的目标是改善海洋水产行业,并帮助找到在尽可能保持 可持续发展的情况下增加产量的方法。据估计,到2050年, 人口将增加20亿,联合国估计需要56%的粮食增长。然而, 为了实现《巴黎协定》的目标,“鲑鱼眼”也是一种应对气候 变化和减少全球养鱼业碳排放的尝试。“我们在全球范围内 面临重大挑战,但答案不是放弃。答案就是撸起袖子,共同 努力把工作做好,确保世界吃饱饭,确保明天的世界比今天 更好。”“鲑鱼眼”将在海上进行有史以来规模最大的展览,揭 示水产养殖的足迹,激发全球的发现和创造力,展示可持续 海洋食品生产的创新解决方案,以更好地为人民服务、 可持续养殖 鲑鱼眼是对其他渔民的希望激励,鼓励他们追随艾德·福约 德布鲁克的脚步。由Erlend Eide (Sondre的哥哥)领导的研 究人员开发了一项新技术,并很快将在一个大型试验工厂中 运行,使世界上的鱼在封闭的水下环境中养殖成为可能。这 项技术的愿景是让它成为全球食品生产平台,就像特斯拉之 于移动行业一样。桑德·艾德(Sondre Eide)表示:“未来的 创新不会止步于水月亮的创新,这就是为什么我们需要一个 像鲑鱼眼这样的地方来推动行业、政府部门和非政府组织进 一步发展。” 在揭幕式上,宣布Watermoon公司在封闭养殖中试工厂进行 的试验取得了积极的结果,这些结果对水产养殖业是革命性 挪威鲑鱼眼 专门介绍水产养殖的水上展览馆 Shannon Parsons 国际水产饲料杂志 鱼类养殖技术 36 | 2022年9月 - Fish Farming Technology
的,而对海洋环境没有产生任何负面影响。现在有了这项新 技术,联合国设定的人口增长目标就可以实现,同时气候足 迹大幅减少,对自然的负面影响也被消除了。 发展和结构 Sebastian Torjusen于2020年10月担任鲑鱼眼公司的董事总 经理兼首席执行官,他与丹麦公司Kvorning设计与通信公司 和爱沙尼亚企业集团Marketex Marine合作,设计和开发鲑 鱼眼。该结构高14.55米,有四层(水上和水下)。总面积 1000.6平方米,重达1256吨,漂浮深度至少250米,能承受4 米高的海浪。 Torjusen先生评论该建筑:“这很好,但要求也很高。这是 一个以前没有人做过的项目。以前没有人见过类似的情况, 所以我们有很多事情是第一次做的。这是有益的,也是困难 的。但我相信它会给我们带来一个很酷的结果,希望我们和 观众都能满意。”该结构的外观就像“鲑鱼眼”(因此得名), 使用了9250个“鳞片”,每一个都由爱沙尼亚塔林的Marketex Marine制造。从切割第一块钢板到“鲑鱼眼”完全装备所需的 时间跨度为13个月。“在制造这样的双曲面椭球体结构的过 程中,遇到了许多挑战。结合许多弯曲和非标准的解决方 鱼类养殖技术 凯撒罗茨风机, 专为水产养殖而设计 www.kaeser.com/aquaculture 可靠如潮 37 | 2022年9月 - Fish Farming Technology
案,该项目需要大量的定制工作,”Torjusen说。 投资和收益 艾德家族为鲑鱼眼的整个建设提供了全部资金,目的是让 它成为一个非盈利组织。根据该计划,它将由一个由环境运 动代表、政府当局、独立研究人员和专家组成的顾问委员会 独立自主地管理。揭幕会后,由来自政府、内部组织、世界 领先的研究机构等的参与者组成的圆桌讨论。发言者包括挪 威渔业部长和气候部副部长Bjørnar Skjæran和Sigrid Hagerup Melhus。其他演讲者包括《巴黎协定》的主要设计师之 一、全球乐观主义组织的联合创始人汤姆·里维特
其它发言者有美国麻省理工学院/伍兹霍尔海洋研究所海洋 文化研究专家斯科特·林德尔(Scott Lindell)。 Eide Fjordbruk 作为可持续海产品生产的世界领导者,Eide Fjordbruk是一 家已经传承了三代的渔业公司。现任CEO桑德·艾德(Sondre Eide)在28岁时接替他的职位,当时他的父亲克努特·弗莱 德·艾德(Knut Frode Eide)因癌症去世。当时,桑德雷拥有 工商管理硕士学位和法律学位,并在世界锦标赛的青少年冬 季两项比赛中获得了银牌。他和他的父亲有句话,“我们从 不停止奔跑,直到任务完成。”现年32岁的桑德和他的哥哥 埃尔伦德一起努力,改善公司和养鱼业。他们成为第一家不 仅为业务提供环保账目,而且也是第一家生产碳中和三文鱼 的公司。此外,他们还减少了对气候的排放,减少了公司对 自然和环境的负面影响,并使用人工智能和现代技术来确保 更好的鱼类福利。 欲了解更多关于该项目的信息,请访问: https://aqfeed. info/e/1592 Made in Britain, Trusted Worldwide. We are We can help you improve your pellet durability testing... Holmen NHP200 Series 2 Laboratory based, automatic pellet tester. Holmen NHP300 Inline, process based system. OLM N H ® Holmen NHP100 Portable, manual pellet tester.
-卡纳克 (Tom Rivett-Carnac),该组织是他与克里斯蒂娜·菲格雷斯 (Christina Figueres)在2016年一起离开联合国后创立的。
PUMPS + GRADERS + COUNTERS FISH sINCE 1 9 58 100%quality SINCE 1958, TRUST IN OUR EXPERIENCE More than 10 complete grading packs, nursery packs, grow out packs, harvesting packs. WWW.FAIVRE.FR Fish farming equipment designer and manufacturer pixies-agency.fr
经过5年在养虾方面的密集研究和开发,Local Ocean离开发 出独特的养虾硬件和软件包更近了一些。 通过合并和调整室外生物絮团池塘养殖和室内RAS(循环 水产养殖系统)鱼类养殖技术最佳实践的低成本对虾生产方 法,Local Ocean将创建一个完全可持续、低成本、高产量、 占地面积小的虾生产解决方案。 该软件包目前正处于TRL6开发阶段,一旦完全开发并经 过压力测试,将在两年内准备授权给其他虾农。样品已经 投入使用且生产出来的虾通过连锁超市Maxima和Rimi以及 HoRecA的分销商Bidfood供应立陶宛国内市场。 A unique multi-tank architecture Local Ocean的硬件有一个独特的、专门为加速虾的生长而 开发的多槽架构,并由定制软件对其进行管理,该软件使用 AI控制并不断优化增长过程,业务流程和用来模拟太平洋水 域的水化学参数。 目前,Local Ocean系统支持在40平方米的占地面积上每月生 长130公斤虾(FCR为1.8:1),只消耗3千瓦时的电力,并为自己 设定了在相同的占地面积下每月生长200公斤虾的目标。 这一目标将最终通过提高虾的存活率(目前为50%)在Local Ocean系统中得以实现,对虾存活率的提高则需要通过更精 细的管理过程,以及与其他合作伙伴的协同合作,比如说与 孵化场与一起开发更好的基因,和饲料制造商一起提高生长 率和水质稳定性并且降低饲料转化率。 最初,Local Ocean是一家旨在成为养虾场的公司,但考虑 到Local Ocean本身无法满足欧洲需要每年从亚洲进口并消耗 40万吨虾的需求,以及其创始人(不是海洋生物学出身)的软 件和技术背景,Local Ocean已转向开发一种易于管理的、可 预测的技术包,并且通过获得技术许可来帮助渔民在其他任 何地方都可以更有效地养殖虾。 开发易于管理且可预测的技术包 对虾养殖 作者:Christophe Legrande,来自立陶宛的Blue Ocean公司 鱼类养殖技术 40 | 2022年9月 - Fish Farming Technology
安装简便 单机系统很容易安装在任何类型的建筑中,不需要传统的 工程工作:即插即用。因此,不论是有一个1000平方米还是 50000平方米的养虾场项目,只需改变在该空间放置独立单 元的数量即可。 在操作上由于使用了相同的标准化产品,就会期望始终有 相同的结果。Local Ocean的客户在安装了硬件后,将可以利 用软件自主操控他们的养殖场,只需要告诉他们进行哪些操 作可以保持水和虾的最佳状态。 操作者不一定要有水产养殖的学位:因为所有的水化学平 衡方程,喂养适配协议都是根据水的状态或虾的生长阶段由 软件不断计算出来的,而操作者只需要看到 "要做 "的清单! 软件的应用将减少操作员的潜在失误,并节省宝贵的操作时 间。 提高产量,生产稳定性和养殖的协议 该协议作为此软件的核心,Local Ocean打算对其进行研究 和开发,从软件系统中更新产量、生产稳定性和喂养协议, 并将利用其云端软件架构,实时自动升级客户的养殖协议, 以利于软件的运营。 众所周知,传统的户外养虾对我们的环境破坏性极大。在 过去的30年里,大约有70万个足球场大小的红树林(地球上 鱼类养殖技术 Syrena® Boost – your soFISHticated solution in aquaculture. Learn more: www.delacon.com Visit us at Aquaculture Europe 2022 Let your fish and shrimp grow naturally 41 | 2022年9月 - Fish Farming Technology
最重要的生态系统之一)被铲平,用来建立虾塘。由于户 外养虾会破坏生态系统、滥用人力和造成水污染,已经被 绿色和平组织列入红色名单超过20年。 最糟糕的是仍有人违法使用拖网渔船进行野生虾捕捞。目 前,这种捕捞虾方式是全球捕捞活动中副渔获率最低的, 占整个行业总副渔获量的30%左右。 虾的拖网捕捞的副渔获率为5.7:1,这意味着每捕获一公斤 虾,也会捕获5.7公斤其他海洋生物(大多数是人类不需要 虾交易前景广阔,全球的年产量为470万吨,总价值为450 亿美元。由于虾类是一种极好的蛋白质来源,且目前的生产 方法大多不规范,导致虾类的产品价格低廉,因此该行业将 持续发展,并面临着日益增长的需求(同比增长5%)。 Local Ocean想要通过将其技术授权给所有虾类养殖项目, 允许在任何地点进行室内虾养殖,从而改变这一行业现 室内虾养殖意味着产品在靠近消费者的地方养殖,减少了 对进口的依赖,并能够提供新鲜的产品,而不在是从世界 的另一端运输冷冻产品。 Local Ocean的方式是以零化学制品和零废物为标准,因为 它使用的水在不断被重新循环使用,其污泥废物也被转化 为沼气和土壤肥料。对该行业来说,这是一个真正的游戏 获得政治支持 Local Ocean项目得到了立陶宛共和国农业部和经济与创新 部的政治支持不足为奇,其在2021年参与了欧盟资助的“蓝 和“投资地平线加速器”项目,并入选了2022年中东 欧气候变化50强创业企业名单。 Local Ocean现在加入了Blue Bio Value计划和CIVTech联 盟,来进一步扩大其影响范围。但并不是所有的进度都是 完美的,对于想要最终改变我们吃进嘴里的东西这一长期 承诺,在实现最终产品的开发之前,仍需要大量的投资。 想想今天的室内养虾产业就像20年前的鲑鱼养殖产业一 样。欧洲的养虾业离达到临界规模还有很长的路要走! Local Ocean系统目前的发展状况,它需要在欧洲建立约 个面积为20000平方米的农场,每个农场运行约300个系 统,才能以当地生产的虾取代每年的进口数量。 Local Ocean有能力从欧盟的各种拨款项目中获得更多的资 金,但仍需要私人资本来利用欧盟的影响支持Local Ocean 正在做的事情。 Local Ocean需要那些想改变世界的组织和个人提供资金支 持,但是这些组织和个人可能要等待七到十年才能看到惊 人的发展前景,以及这一愿景的实现。 因此,如果您有兴趣参与这个项目,请直接通过https:// aqfeed.info/e/1591联系我(Christophe Legrand, Local Ocean的 首席执行官)。 鲁东大学 李明珠博士翻译 鱼类养殖技术 FISH FARMING TECHNOLOGY ai1659709269130_IRIDA_PRINT_AD_05-08-22_OUT_102.5x280_ENG.pdf 1 05/08/2022 5:21 pm 42 | 2022年9月 - Fish Farming Technology 42 | 2022年9月 - Fish Farming Technology

EXTRUDER AND EXPANDER TECHNOLOGY YOU CAN TRUST

Extruder AL300

Almex offers a wide range of single screw extruders and expanders which are used for different applications.

The robust and simple design of the Almex machines guarantees years of economical and trouble free production.

Scan the QR-Code for more information www.almex.nl

www.almex.nl
据估计,水产养殖业每年因疾病和水质相关 问题而损失720亿美元。虾农也通常因病原体 爆发而损失50%、75%,甚至100%的虾养殖 量。 这不仅彻底摧毁了农民的生计,还摧毁了数 百人,甚至数千人的蛋白质安全来源。当一个 农民因疾病而失去他的水产养殖量时,这不仅 是农民的损失,也是人类的损失。 随着世界人口的增长,水产养殖满足我们蛋 白质需求的压力也在增加,并且疫情造成了全 球供应链的中断,从而增大了这种压力。 再加上疾病的爆发,这三个问题在印度等地 引发了警报,那里的CP主任呼吁迫切需要创 新。 疾病的发生:可预防的或不可控制的 一旦疾病发生,这对人类来说是沮丧的和毁 灭性的(更不用说昂贵的费用了)。通常情况 下,疾病似乎毫无征兆地突然出现。就像病原 体爆发一样,一旦你看到病变或者白斑,预防 问题为时已晚。我们必须转向防御策略,尽可 能的减少损失和尽可能的挽救。 但病原体的爆发并不是凭空发生的。病原体 是狡猾的机会主义者,它们总是以少量无害的 数量出现,埋伏在那里等待合适的条件,这 样它们就可以进入到增殖模式。这些“合适的 条件”包括氧饱和度下降、化学失衡、氨的积 累、亚硝酸盐或有机固体的溶解等。 尽管有多种因素可以引起病原体爆发,但总 会有一个必然事件的发生来保证病原体爆发: 对微生物群落的致命破坏。一旦微生物群进入 了所谓的非生态状态或不平衡状态,就会产 生一个空洞。正如那句古谚语所说:大自然讨 厌真空。 病原体治理 病原体无处不在,而且它们会一直存在。 Luminis Water Technologies的首席执行官 Rachelle Jensen说:“我们已经对从公海到未受 污染的珊瑚环礁到世界各地的水箱和池塘的数 百甚至数千个样本进行了测序,我们从未见过 一个样本是没有病原体的。” 经过两年的全球抗击疫情,各国政府和公众 终于得出结论,零冠状态是徒劳的。新冠病毒 会一直存在,现在我们必须弄清楚如何最好地 治理它。 by
精准养殖 利用第二代微生物组分析技术预 防疾病 鱼类养殖技术 44 | 2022年9月 - Fish Farming Technology
Luminis Water Technologies, Singapore

可以对水、肠道、病灶、生物膜进行采样,并通过环境DNA 试剂盒发现水中的寄生虫。一旦样本被送回Luminis测序实验 室,它们将通过Luminis专有数据库进行第二代测序和数据匹 配,该数据库将序列匹配到物种水平。

AquaGENius提供了七个关键领域的见解:微生物群失衡、 病原体、蓝藻、藻类、生物多样性、益生菌和生物过滤细 菌。 其他用途包括:筛选被隔离的水产动物中是否有寄生虫和

水产养殖中的病原体治理也可以用同样的方式来思考。病 原体会一直存在。我们必须学会如何有效地治理它们,使它 们的生长机会很少。 这个挑战是棘手的,因为在维持水健康时,好的和坏的力 量都是细菌。用抗生素处理水以对抗病原体,也会杀死对水 质和水生生物健康至关重要的有益细菌。虽然这些措施减少 了病原体的数量,但也杀死了它们最坚定的盟友。 Luminis在病原体治理方面提出了一种不同的方式:利用微 生物组分析的力量。 微生物群掌握着关键 在一滴水中,有数百万的微生物构成了所有水生环境(包括 水箱和池塘)的健康基础。这个微生物群落包括许多有益细 菌、一些有害细菌、藻类、酵母、硅藻、病毒、噬菌体等 等。就像人类肠道微生物群一样,这些无形的生命共同支撑 着水和水产动物的健康和福祉。 把微生物组想象成一个复杂的基质,在水产动物和病原体 之间形成了一层看不见的面纱。当这种基质被鼓励生长时, 它就会成为病原体生长之间的屏障,同时推动水质等基本服
,保持系统化学,最大限度地提高承载 能力,并监测微生物群中的致命故障,从而培养有利于有益 细菌生长的条件。至关重要的是,第二代微生物组分析可以 让操作人员发现系统中的不平 衡,并在为时过晚之前采取措 施恢复微生物组。 “在养殖中,池塘承载力比 技术或工艺更重要。池塘健 康占80%,养虾占20%,” Dr Sharma说。 这是一个敏锐的观察,因为 随着承载能力的增加,微生物 群致命崩溃的几率也会增加。 水的监控——X射线 “基于第二代测序、人工智 能和互联网新技术的使用是水 产养殖业的未来,” Dr. Giana Gomes说。 第二代测序和分析提供的不 仅仅是已知或未知的病原体 ID。通过利用微生物组分析的 力量,鱼和虾养殖户可以利用 处于失衡和全面疾病事件之间 的关键机会窗口。 最重要的好处可能是能够做出有针对性的决策,从而降低 经营费用,提高产量。 第二代健康快照 分析不仅可以在拯救水产动物免受疾病爆发的影响方面提 供关键的机会窗口,而且Luminis Water Technologies还提供 了前所未有的”健康快照” 。 AquaGENius微生物群现场采样试剂盒简单易用。操作人员
务,并改善水产动物的生长和食欲。 一旦这种微生物基质被破坏或消灭,病原体就会得到一张“ 自由”的卡片,它们会毫毫不犹豫地利用新的条件。 疾病预防的秘密是,通过适当播种益生菌、NOBs和AOBs( 亚硝酸盐和氨氧化菌)
害虫(如水蛭),跟踪饲料和益生菌效率,确定导致水质下降 的病原体,以及验证一种处理方法是否真的杀死了所有病原 体,还是只是减少了数量。 了解样本中的“谁”以及他们在做什么,可以帮助我们做出 更好、更精确、更有针对性的决策,最终实现更明智、更可 持续的水资源利用。 Luminis Water Technologies致力于提供数据驱动和可操作的 解决方案,帮助解决当今水管理和水产养殖业中一些最紧迫 的问题。 新加坡科技公司Luminis Water Technologies试图通过提供一 系列第二代微生物组分析解决方案,将水产养殖业的效率提 升到一个新的水平。 中国海洋大学 张彦娇博士 翻译 About Luminis Water Technologies The Singapore-based tech firm, Luminis Water Technologies, seeks to take the aquaculture industry to a new level of efficiency by offering a range of Next Gen microbiome analytical solutions. 鱼类养殖技术 45 | 2022年9月 - Fish Farming Technology
科技展示 本月的创新 2022年9月 在本月的产品展示中,我们讨论了水产养殖中的水质问 题,这在RAS设施中尤为重要,包括排水废物收集系统、 智能监测系统和紫外线消毒系统,所有这些都可以改善养 鱼业的水质。 如果您希望您的产品或服务出现在International Aquafeed and Fish Farming Technology杂志的未来 版本中,请联系我们: editorial@perendale.co.uk Learn more – Learn onsite Enroll in the 12-week Course AKVA集团的SmartEye模块 SmartEye Modular是一款先进的双馈的检查摄像头,可为操作员提供高清质 量的图像。作为一个光敏相机,并且能360°观察圈养鱼的围栏,它运行定制 的固件,以优化水下环境中的操作。这样,即使在深色的围栏中操作,它也 能提供高质量的水下视频图像。 SmartEye模块化摄像头系统是完全可调配,以此来满足操作者当前和未来的 需求。它具有易于使用的软件和强 大的无线视频传输。 相机配有内置的深度和温度传感 器,可与其中一个绞车系统结合。 其他值得注意的特点是其有坚固的 外壳设计、自动调节的色彩平衡和 一个全新的照明组件,这种照明组 件即使是在最黑暗和最深的环境也 可以观察到周围环境。 www.akvagroup.com
pH传感器,用于监测海洋和水 路。使用ANB的专利技术,传感器无 需校准,机械很坚固,可以潮湿或干 燥储存,需要最少的用户干预。 如今的海洋 pH 传感器使用光学传感 器,这些传感器使用各种大型、昂贵 或需要每年重新校准和校正深度和盐 度的技术。ANB的传感器避免了这 一切。 目前,公司拥有OC系列和AQ系列, 后者专为水产养殖和淡水监测而设 计。AQ系列的特点包括易于养护、易 于存储、快速简单的自动启动测量和 板载温度测量。 其他特性包括2 –10的pH检测范围、-5 –40°C的工作温度和110mA的功耗。 www.anbsensors.com Faivre Helios 40鱼类分级器 Faivre的Helios 40是以经济实惠的价格将高精度和高速的分级系统相结合, 是Faivre专门生产和设计来满足养鱼户的要求的分级器。 除了对鳟鱼和鲑鱼进行从10克到 1
Helios 40
200
道。 它们的主要优点包括具有执行Sps 技术的平地机配件,用于高速分 级而不会造成伤害,由优质AISI 304L或316L不锈钢(海水)制 成,由于其具备升降千斤顶和配 备调节门的锻炼浇水系统使得它很易于调节。 www.faivre.fr aqfeed.info/e/1601 FISH FARMING TECHNOLOGY fishfarmingtechnology.net Check out our website dedicated to fish farming technology
ANB Sensors 的 AQ 系列 ANB Sensors提供一系列不同尺寸和规格的
公斤不等的分级能力,
还有三个分拣能力为每小时
克的25,000条鱼的分拣通
科技展示 www.onlinemillingschool.com Kaeser 的小型压缩机 Kaeser Compressor的小型压缩机用途广泛、可靠且易于运输,占用的装载 空间极小,并配备了高品质电机和抗冲击PE外壳,可以应对任何情况。 小型压缩机可处理7至15bar的最大压力,15bar版本非常适合非开挖铺设光 缆。 它的优势包括可以快速部署到任何位置,因为小型压缩机重约 200 公斤因此 很易于装载,可以提供对用户很友好的控制系统并且操作直观,以及可提供 最佳噪音和冲击保护的旋转烧结PE外壳。 该系列还配备了可承受高达15bar压力的电动机。 使用环保型号的好处是它 们在需要安静和无排气条件的环 境中可以良好运行。 www.kaeser.co aqfeed.info/e/1602 RiaWatech 的 Ria Flow Guide 三通阀 基于RiaWatech超过35年的水产养殖 经验,推出了一款新产品,即 Ria Flow Guide 三通阀。易于安装和操作,芯部弯 曲半径旨在减少对鱼的伤害,HDPE唇部针 对RAS中的压力优化了厚度。 它包括一个机械位置指示器,因此操作员能 够看到核心的位置并避免错位,同时还具有 不锈钢精密凸轮来确保正确读数。 该阀门采用圆形内部边缘设计,旨在减少对 鱼类的伤害,从而为养殖者带来更高的产量 和更高的盈利能力。它配备带吊眼的支架 和带固定板的支腿,确保快速轻松安装以 降低成本。 https://riawatech.dk International Aquafeed - 2022年9月 | 47

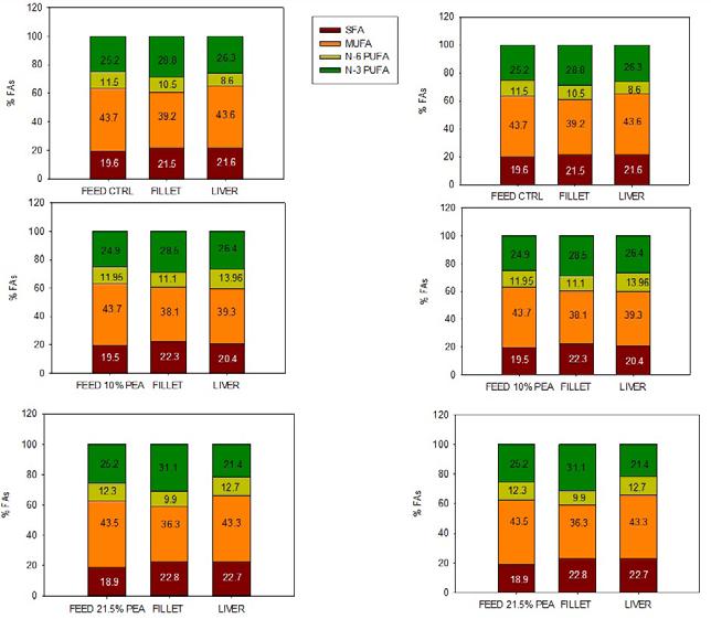
25.2

8.7 9.4 10.0

11.0 12.8

水产养殖案例研究 有机鲷鱼和虹鳟 鱼生产 ——测试豌豆蛋白和海藻作为 新蛋白来源的可行性 由于市场需求有限和生产技术困难,有机有鳍鱼的产量没 有增加。利益相关者发现了一些与动物福利方面难以遵守欧 盟法规(EU 2018/848)相关的障碍。 这些障碍包括有机生产与传统生产的分离、有 机饲料的可用性和高成本、有机认证幼鱼的可用 性、寄生虫的管理以及使用比传统养殖低的鱼密 度进行有机养殖,这导致了较高的生产成本,但
增强有机产品的作用 欧盟委员会(2021)发布了一项行动计划,以 加快有机产品的发展。该计划旨在促进有机产品 的生产和消费,以便到2030年达到25%的有机农 业用地,并大幅增加有机水产养殖,如欧盟从农 场到餐厅和生物多样性战略所规定的那样。 该计划由23项行动组成,为该部门提供了正确 的工具,并加强了有机产品在应对气候变化和可 持续资源管理中的作用,为更健康和生物多样性 的生态系统做出贡献。 有机产品发展行动计划提出了围绕三项措施的行动: 1. 促进消费,同时保持消费者信任 Table 1: Formulation (% inclusion) and FM/FO ratio of the feeds used in the ongrowing of rainbow trout and gilthead seabream
0.03
-FM/FO 47.5/14.3 33.0/15.0 19.0/15.6 51.3/8.7 38.5/9.4 25.6/10.0 CS 根据EUMOFA(2022年),2020年欧盟有机水产 养殖总产量达到74032吨(占欧盟水产养殖总产值的 6.4%),其中贻贝是主要生产品种(41936吨),其 次是三文鱼(12870吨)、鳟鱼(4590吨)、鲤鱼 (3562吨)、牡蛎(3228吨)和欧洲鲈鱼/金头鲷 (2750吨)。 作者:Alicia Estévez(西班牙塔拉戈纳圣卡洛 斯德拉拉皮塔农业研究与技术研究所(IRTA)研 究员)&Phely Vasilaki(希腊Nea Artaki Evia Irida SA研发管理 48 | 2022年9月 - International Aquafeed
价格溢价无法弥补。
under organic conditions. Rainbow Trout Gilthead Sea Bream Ingredients (%) CTRL PEA 10% PEA 21.5% CTRL PEA 8.5% PEA 19% FM from timmings 47.5 33.0 19.0 51.3 38.5 25.6 Organic soybean meal 24.0 24.0 24.0 25.2 25.2
FO from trimmings 14.3 15.0 15.6
Organic wheat 13.7 12.1 12.4 14.4
Organic pea protein - 10.0 21.5 - 8.5 19.0 Organic yeast - 5.0 5.0 - 5.0 5.0 Seaweed - - - - 2.0 2.0 Organic premix (vit + min) 0.25 0.25 0.25 0.25 0.25 0.25 Choline 50% 0.15 0.15 0.15 0.15 0.15 0.15 Natural antioxidant 0.03 0.03 0.03 0.03
0.03 Monosodium phosphate - 0.7 1.95 -
2. 增加产量 3. 进一步提高该行业的可持续性 因此,为了提高有机海鱼的产量,需要新的、更便宜的蛋 白质来源,以降低生产成本,同时不降低鱼的生长和食物利 用率,并确保在生长阶段结束时获得高质量的产品。 减少鱼粉量 IRTA和Irida开展了一项试验,作为新技术水产项目(H2020, 项目862658)的一部分,研究使用经认证的有机豌豆蛋白和 海藻作为有机虹鳟和鲷鱼生长的新成分。Irida使用两种不同 的豌豆蛋白包合水平配制和制备饲料,同时减少所含鱼粉的 量(表1)。 将实验饲料喂给虹鳟(60g)和金头鲷(145g)幼鱼, 每天两次,持续60天。试验期间,鱼在EU2018/848规 定的条件下饲养,即开放式系统,无氧气添加,密度低 (最大25Kg/m3)。 试验结束时,对所有鱼称重,以计算相对生长率 (RGR,%)和特定生长率(SGR)。每缸处死5条鱼,解 剖肝脏和内脏,计算内脏(VSI)和肝体(HSI)指数。背部 肌肉和肝脏样品用于生化分析:蛋白质和脂质含量以及脂肪 酸分布。 在这两个试验中,喂食对照饲料的鱼在SGR和RGR方面都 表现出最高的生长率。在虹鳟鱼中,与对照组相比,饲喂低 Table 2: Growth indices (SGR: Specific growth rate, RGR: Relative growth rate) Feed conversion rate (FCR), sometic indices (HSI: Hepatosomatic, VSI: Viscerosomatic) and fillet yield (%) of gilthead seabream fed the experimental diets including organic pea protein at 8.5 and 19% inclusion. Different letters indicate significant differences. Sea Bream SGR RGR FCR HSI VSI Fillet yield Av SD Av SD Av SD Av SD Av SD Av SD CTRL A 0,68 0,05 a 53,08 4,34 a 2,58 0,26 2,13 1,26 8,44 4,13 29,63 12,96 PEA 8.5% B 0,62 0,05 b 47,45 4,68 b 2,79 0,34 2,74 1,25 10,75
PEA 19% C 0,59 0,00 b
0,42 b 3,05 0,82
ANOVA P<0.001 <0.001
CS International Aquafeed - 2022年9月 | 49
5,22 32,90 15,64
45,35
2,51 1,50 10,74 5,40 32,67 15,60
0.19 0.623 0.532 0.873

0.32 13.07 2.26

25.89

豌豆蛋白饲料的鱼显示出无统计学差异的生长速度。 在鲷鱼(表2)的情况下,所有指标(体细胞和饲料转化 率)在饲料之间没有差异,而虹鳟鱼(表3)的转化率最 好,饲料中含有10%的有机豌豆蛋白,而饲料中含有21.5% 的豌豆蛋白的鱼表现出最高的VSI,表明内脏周围脂肪积累 更高。 当喂食豌豆蛋白含量最高的鱼时,这两种鱼的鱼片成分 (表4)显示出较高的蛋白质含量,而喂食豌豆蛋白含量最 高鱼的鱼肉中脂质含量也最低。

虹鳟鱼中的脂肪酸成分表明,饲料中豌豆蛋白含量低 (10%)可生产出鱼片和肝脏中与对照组成分相似的鱼。 就鲷鱼而言,用最低豌豆蛋白(8.5%)喂养的鱼鱼片中二 十二碳六烯酸(DHA)和总ω-3脂肪酸含量最高,而肝脏中 ω-6和单不饱和脂肪酸的含量最高,反映了饲料的脂肪酸组 成。

类似的增长率
获得的生长速度相似。鳟鱼和鲷鱼这两种鱼类 的饲料转化率也与对照组相似,特别是使用较 低的豌豆蛋白含量。 就蛋白质和脂肪酸含量而言,最终产品质量也 非常高且健康,为市场上的鱼提供了附加值。 减少鱼肉中的杂质含量也有助于降低高磷含 量,降低饲料成本。 进一步阅读 EUMOFA2022.欧盟的有机水产养殖。现状、 驱动因素、障碍、增长潜力,48页。WWW. EUMOFA.EU 欧洲委员会。2021。新的行动计划将促进欧 洲的有机农业和水产养殖。海事和渔业总局。 https://oceans-and-fisheries.ec.europa.eu/news/ new-action-plan-will-boost-organic-agricultureand-aquaculture-europe-2021-03-25
华中农业大学
译 Table 3: Growth indices (SGR: Specific growth rate, RGR: Relative growth rate) Feed conversion rate (FCR), sometic indices (HSI: Hepatosomatic, VSI: Viscerosomatic) and fillet yield (%) of rainbow trout fed the experimental diets including organic pea protein at 10 and
CS 50 | 2022年9月 - International Aquafeed
总之,单独或与海藻蛋白一起加入经认证的有机豌豆蛋白 产生的生长速度与使用商业有机饲料作为对照
en 如有需要,可提供所有参考资料。
王庆超博士
21.5 % inclusion. Different letters indicate significant differences. Rainbow trout SGR RGR FCR HSI VSI Fillet yield Av SD Av SD Av SD Av SD Av SD Av SD CTRL A 1.81 0.115 a 68.48 2.362 a 1.31 0.12 b 1.37 0.18 12.49 1.65 b 25.29 1.77 PEA 10% B 1.75 0.025 a 67.34 0.526 a 1.18 0.03 c 1.43
b
1.89 PEA 21.5% C 1.62 0.071 b 64.57 1.637 b 1.98 0.14 a 1.65 0.32 16.33 1.57 a 25.07 2.17 ANOVA P<0.001 <0.001 <0.001 0.107 <0.001 0.659 Table 4: Protein and lipid content (% dry weight) of rainbow trout and gilthead seabream fillet at the end of the feeding trial. RAINBOW TROUT FILLET GILTHEAD SEABREAM FILLET CONTROL 10% ORGANIC PEA 21.5% ORGANIC PEA CONTROL 8.5% ORGANIC PEA 19% ORGANIC PEA Av SD Av SD Av SD Av SD Av SD Av SD Water (% ) 70,92 0,32 71,99 0,07 73,18 0,34 71,38 0,35 71,90 0,29 72,45 0,18 Protein (%) 60,25 1,04 59,89 0,89 66,71 3,89 59,17 2,22 62,97 3,93 70,26 1,78 Lipids (%) 12,81 0,25 12,88 0,54 10,87 0,48 12,01 0,17 10,61 0,07 8,37 0,11

The Packaging Group GmbH Gerberstraße 50 · 51789 Lindlar, Germany · www.the-packaging-group.com

YOU CAN THINK IT
CAN PACK IT
IF
WE
Watch our sustainable packaging solutions at: www.the-packaging-group.com/videoportal

Status updates for industry events amidst global effects of COVID-19

2022

2022 September

1-3

Taiwan SMART Agriweek 2022 Taipei, Taiwan www.taiwanagriweek.com

6

Aquaculture Innovation Forum London, UK aquacultureinnovationforum.com

4-6

Fish International 2022 Bremen, Germany https://fishinternational.de

7-8

Seagriculture USA 2022 Portland, Maine, USA https://seagriculture-usa.com

13-15

SPACE 2022 Rennes, France http://uk.space.fr

22-23

Aquaculture New Zealand Conference 2022 Nelson, New Zealand www.aquaculture.org.nz

New Zealand’s Aquacultural Association, Aquaculture New Zealand, is organising their 2022 Conference from 5-6 October at Rutherford Hotel in Nelson, New Zealand. Focusing on innovative technology and targeted research to help build resilience, improve performance, advance infrastructure, and strengthen productivity within the industry, The New Zealand Aquaculture Conference is widely celebrated as New Zealand's best primary sector conference.

With Covid-19 causing the two previous conferences to be cancelled, the colloquium would be bringing the industry and stakeholders together for a two-day in-person gathering full of inspirational speakers, thought-provoking discussions, unparalleled networking opportunities. Along with this the Aquaculture New Zealand Conference also aims to have more discussions on biosecurity practices, developing a flourishing workforce and inviting Māori tribal investment.

27-30

Aquaculture Europe 2022 Rimini, Italy www.aquaeas.org

2022 October 12-14

Vietstock 2022

Ho Chi Minh City, Vietnam www.vietstock.org

2022 November

3-5

Future Fish Eurasia Gaziemir – Turkey https://eurasiafairs.com

The 10th International Fair for Fish Imports/Exports, Processing, Aquaculture and Fisheries Future Fish Eurasia, has been organised for November 3-5, 2022, at the Fair Izmir Centre, Turkey.

At this event organised by Eurasia Trade Fairs, over 200 local and international brands of the industry will display their latest products and services in seafood products, aquaculture, fish processing and fishing equipment.

As Turkey's only fair for the industry and the leading event of the region, Future Fish Eurasia is the gateway to new/emerging markets. The dynamic structure of Turkish aquaculture and Future Fish Eurasia form a perfect platform for those in the fish business.

This show will provide an opportunity to introduce aquaculture and/or processing technology to Turkey and its neighbouring countries, and also buy high quality seafood products or sell alternative seafood.

9-11

AFIA Equipment Manufacturers Conference 2022 St. Petersburg, Florida, USA www.afia.org

9-11

Ildex Indonesia 2022 Jakarta, Indonesia www.ildex-indonesia.com

15-18

EuroTier 2022 Hannover, Germany www.eurotier.com

29-2

World Aquaculture Singapore 2022 Singapore www.was.org

2022 December 13-15

AlgaEurope 2022 Rome, Italy

https://algaeurope.org

Aquaculture America 2023 New Orleans, Louisiana, USA www.was.org 2023 March 8-10

VIV Asia 2023 Nonthaburi, Thailand www.vivasia.nl 2023 May 29-1

World Aquaculture 2023 Darwin, Australia www.was.org 2023 June 8-10

VIV Turkey Istanbul, Turkey www.vivturkey.com

行业盛会
2023 2023 February 23-26
☑ See The International Aquafeed team
this
52 | 2022年9月 - International Aquafeed
at
event
Nov. 29 - Dec. 2, 2022 Conference Sponsors Temasek Polytechnic, Nanyang Technological University National University of Singapore, James Cook University Republic Polytechnic 3rd International Symposium on Perch and Bass Associate Sponsors Aquaculture Engineering Society International Association of Aquaculture Economics & Management WorldFish World Aquaculture Singapore 2022 WA2020 Partner @WASingapore WASAPC @WASAPC The Annual International Conference & Exposition of World Aquaculture Society Asian Pacific Aquaculture 2022 – Annual Meeting of Asian Pacific Chapter, WAS Hosted by Singapore Food Agency WAS Premier Sponsors Singapore EXPO Convention & Exhibition Centre and MAX Atria Sustainable Aquaculture for Two Oceans HOTEL RIU PLAZA Panama City, Panama April 18-21, 2023 The annual meeting of LATINAMER CAN&CARIBBEA N RETPAHC Get our meeting mobile app Hosted by Latin American & Caribbean Chapter/World Aquaculture Society -WAS LACC@laccWas LACC World Aquaculture Society Premier sponsors @LACC_WAS Conference sponsor Latin American & Caribbean Aquaculture 2023 February 23-26, 2023 New Orleans Marriott New Orleans, Louisiana Aquaculture America Associate Sponsors World Aquatic Veterinary Medical Association Aquacultural Engineering Society Aquaculture Association of Canada Global Seafood Alliance International Association of Aquaculture Economics and Management Latin American Chapter WAS • US Trout Farmers Association SPONSORED BY: Food For The Future 2023 WAS Premier Sponsors For details: aquacultureassociation.ca | was.org | naia.ca AUG. 15 - 18, 2022 ST. JOHN’S CONVENTION CENTRE ST. JOHN’S NEWFOUNDLAND AND LABRADOR, CANADA For More Information Contact: Conference Manager | P.O. Box 2302 | Valley Center, CA 92082 USA Tel: +1.760.751.5005 | Fax: +1.760.751.5003 | Email: worldaqua@aol.com | www.was.org Trade Show Contact: mario@marevent.com WA 4 show AD 26 x 33.6 cm.indd 1 4/5/22 12:56 PM
2022年8月,世界上最大的渔业技术展览会之一Nor Fishing 2022在挪威特隆赫姆举行。这是自2018年以来首次举办实体 展览。2020年,主办方Nor Fishing Foundation选择举办一场 纯粹的数字活动,取得了巨大成功。在这之后,基金会董事 会决定转向一个新的“混合”平台,该平台除了传统的实体展 览之外,最终将提供一个数字活动。 为了确定这种新形式是否被组织者视为成功,《国际水产 饲料》杂志最近采访了基金会首席执行官克里斯蒂安·迪格 雷。 决定搬到一个混合展览而不仅仅是一个实体展览的考 虑因素是什么? 我们在2020年举办数字活动的原因是,我们觉得我们真正 在场很重要。我们有点担心自己会被遗忘。一段时间以来, 我们一直在讨论增加数字服务,但新冠肺炎疫情迫使我们加 快了计划。 事实上,我们只有三个月的时间来开发新平台,但在真正 优秀的专业人员的帮助下,我们设法及时准备好了。 除了传统的展览,您认为拥有数字服务的优势是什 么? 数字服务使我们能够接触到因各种原因无法来特隆赫姆参 加体育活动的人。甚至在2021,当我们举办另一个展览Aqua Nor时,许多人因为新冠肺炎大流行而出现问题。 2021,只有北欧公民被允许进入挪威,在阿卡诺尔展览 上,我们通常有70-75个国家。但同样重要的是,数字版保留 在网络上,在实际展览结束后整整一年都可以访问。 混合平台具体由什么组成? 我们的概念相当复杂,不仅包括数字展览,每个参展商都 有一个可以访问的“主页”。参观者还可以预订与参展商的一 对一会议,他们可以跟踪直播,在展会期间,每天直播5个 小时。 此外,我们使用各种社交媒体,如 Facebook、Instagram、LinkedIn、YouTube等,来接触我们的 受众。 这么复杂的展演一定需要很多人来操作? 我们只有两名全职员工,但我们有许多兼职助手,我们使 用专业的电视制作人进行直播,并提供许多其他临时技术和 新闻帮助。 你还有一个相当大的专业课程,有很多演讲等等。 是的,这是我们在特隆赫姆的两个科学机构的帮助下建立 起来的:SINTEF和挪威技术大学(NTNU)。 该计划以全天会议开始,会议在实际展览开幕前一天举 行,包括展览期间举行的一系列研讨会。我们还就当前议题 进行了一些辩论。这些辩论可以有来自世界各地的参与者, 他们通过互联网联系在一起。 然后,我不应该忘记提到学生节,这是在展览的最后一天举 行的。我们举办了一个特别项目,邀请来自各地的学生参观 参展公司。这已经很流行了。今年我们有730名学生注册。 今年的展览怎么样?你满意吗? 的确如此。尽管我们的实际观众比往年少(约15000人), 一个新的“混合”平台 也不钓鱼 54 | 2022年9月 - International Aquafeed
但参展商对观众的质量表示非常满意。当然,我们和往常一 样,在整个展览期间都能享受到最美妙的夏季天气。 实际的展厅由几个大厅组成,不是吗? 是的,有五个不同的展厅,我们尝试将特定领域的参展商 聚集在一起。例如,在一个大厅里,我们专注于电子产品, 这是一个不断发展的领域。在另一个国家,我们有造船厂等 等。然后我们有户外展商,包括特隆赫姆港的水上展商,距 离展览馆只有十分钟的步行路程。 I understand Nor-Fishing is one of the oldest fisheries technology exhibitions around. How long have you been operating? 嗯,它始于1960年,当时举办了第一次展览。第二次是在1965 年。自1972年以来,我们每隔一年举办一次Nor Fishing展览, 自1979年以来,它与我们的另一个展览Aqua Nor交替举办,该 展览专注于水产养殖技术。你会相信吗,今年我们有一位参展 商,他自1965年以来参加了每一场展会,这是我们举办的第二 场展会。当时,他13岁,陪伴着父亲,父亲是一名参展商。 您提到数字版将在一整年内可用。这是否意味着我现在可以 通过互联网访问它? 对我们在演出结束两周后向公众免费开放,并在2023年7月 31日前一直在互联网上播放。 您可以在我们的网站上找到: https://aqfeed.info/e/1596
Kari Steinsbø and Kristian Digre, Nor-Fishing.
行业盛会 International Aquafeed - 2022年9月 | 55
Kristian Digre (centre) and colleagues receive an award for contributions to the cultural fabric of Trondheim.

核心成分的使用进行了乐观的重新评估。 Eckel’s Viktor Eckel博士对他们的产品留下了非常深刻的印 象,就植物性饲料添加剂如何真正解决水生动物生产健康问 题而言,他们关注的是罗非鱼和虾在病原挑战测试后的存活 率,这些测试数据来自功能性免疫相关调节剂的实验工作。 同样,Octavio Castro博士对Phileo如何推进病原体与肠道相 互作用的缓解,以及他们的酵母产品如何解决这一平衡,从 而在实践中显著提高鱼虾的健康进行了内容丰富的演讲。

我在泰国曼谷IMPACT展览和贸易中心举行的Victam亚洲健 康与营养会场为您报道。 此次会议于2022年9月7日至9日举行,吸引了亚洲和全球动 物饲料行业的大量利益相关者。这次会议是饲料生产技术的 真正展示,如铣削和磨削设备,以及各种类型的造粒机械。 展出的是一系列产品 从简单的蒸汽调节造粒机,到先进 的单螺杆和双螺杆挤压设备,用于生产动物饲料、颗粒宠物
和稳定剂的喷涂和真空镀膜。其中包括添加敏感饲料补充剂 和添加剂(如维生素、色素和药物)的追肥饲料解决方案。 考虑到最佳条件和能源成本,干燥技术也非常重要。 创建循环生物经济 当然,我特别关注的是水产养殖部门,我们在9月6日举办 了亚洲水产活动,这是在VIV下单独举办的一次特别会议, 概述了鱼类和甲壳动物营养研究与发展的一些关键领域。 我很高兴成为主题演讲人,并与我们Perendale Publishing有 限公司的Roger Gilbert和Tuti Tan共同主持。我就创建循环生 物经济的最新愿景发表了讲话,并提供了我自己研究从生物 乙醇生产中提取的发酵小麦蛋白的例子;来自生物燃料或饮 料行业,如啤酒厂和饮用酒精公司。 玉米或小麦发酵蛋白在鱼和虾饲料中的利用及其功能和营 养特性的开发具有很大的潜力。其他同事谈到了泰国的水产 饲料潜力,与亚洲当地的一系列物种有关,如鲇鱼、蛇头 鱼、罗非鱼、石斑鱼和鲈鱼。罗非鱼是这个地区非常重要的 鱼类。 来自越南的Loc Tran博士描述了健康管理和营养方法,以 获得更富有活力的虾。这也是我在第二次演讲中提到的一个 主题。Noratat Prachom博士通过泰国的案例研究,谈到了可 持续水产养殖和水产饲料制造的生物循环绿色经济模式的可 能性。 我们很荣幸地邀请到来自AIT(亚洲理工学院)的Ram C Bhujel博士,他在泰国水产养殖领域拥有丰富的经验,并为 我们提供了非常积极的未来展望。代表USSEC水产养殖技术 项目承包商的
有趣的互动 在贸易展上,水产养殖方面的内容非常引人注目。我对荷 兰主办的昆虫工程师和昆虫学校的展台非常感兴趣,该学校 为他们的幼虫粉提供黑蝇生产培训。 这是我们从各种商业企业中多次报道的事情。我还被一家 名为Celtic Minerals的新公司所吸引,这家公司起源于爱尔 兰,是一家从海底采集降解海藻生物的副产品的公司。 由此产生的富含钙的沉积物还具有一系列微量元素,这 些微量元素可以为饲养中的鱼和虾提供高度生物可利用的 营养来源,或者通过增加生产池塘中的水环境并支持营养 食物网的初级和次级生长。规模更大、更熟悉的公司,如 DSM、Evonik和Trouw也出席了会议,并提供了有关其特定 和众所周知的动物饲料添加剂和补充剂的信息。 我还能够在加来海峡隧道尽头附近赶上来自法国的同 事。Soprapeche曾经是一家专注于海洋成分的专业公司,如 高级鱼粉和水解产品。现在,他们已经扩大了产品组合,为 利润丰厚的宠物食品市场提供了各种植物和其他陆生专业的 高质量动物副产品。 它们确实是水解蛋白浓缩物的前沿,已知其在鱼虾水产 共同举办的活动展示了可持续水产养殖和水产饲料制造 解决方案的未来 作者:Simon J Davies教授,国际水产饲料杂志主编,英国 健康与营养,2022亚洲 VICTAM 行业盛会 56 | 2022年9月 - International Aquafeed
食品,当然还有水产饲料。 特别是那些促进新型挤压后调节工艺的代表,如乳液、油
Lukas Manomaitis对豆粕作为水产饲料的资源
养殖中具有巨大潜力的功能特性。此外,我还与比利时 Impextraco公司进行了富有成效的讨论,该公司专门研究农 场动物饮食中的矿物质、色素、氨基酸和抗氧化剂,目前也 在鱼和虾上测试他们的产品。 另一个非常有趣的互动是我与总部位于意大利的Eurofeed Technologies就其饲料添加剂产品组合进行的长时间交谈。 我对几家总部位于亚洲的公司的存在印象深刻,这些公司 正在开发健康产品,这些产品以有机补充剂、免疫兴奋剂和 各种定制的益生元和益生菌产品的形式提供良好的营养。这 是我自己研究重点的一个活跃领域,我发现他们讨论此类产 品潜力的开放性让我耳目一新,也让我有机会支持他们的愿 景。 铣削和挤压设备的领先制造商 在会议期间,我们与来自中国的Famsun高级职员举行了一 次会议,讨论了他们作为铣削和挤压设备的主要制造商的议 程,这些设备涉及谷物和加工的各个方面,动物饲料技术, 当然,与水产饲料生产具有很强的相关性。 技术和世界商业的挑战构成了讨论的核心,对未来有许多 积极的思考。会场提供了许多附带会议,并为关键的成功案 例颁发了创新奖。 AFTAN动物饲料与营养奖和GRAPAS奖备受垂涎,突出企 业和创新。作为一名VIP与会者,我很高兴参加晚间接待活 动,并有机会在更轻松的环境中结识他人。 自助餐非常棒,有当地的泰国和亚洲菜肴,还有精选的葡 萄酒和啤酒。 一个愉快和温暖的体验 回来参加面对面会议确实是一次很好的经历,这一切都是 值得的。毫无疑问,今年和2023年将有更多人参加类似会 议。 天气总体上是宜人和温暖的,但在欧洲的一场大旱之后, 我很高兴在一个晚上经历了热带雷暴和大雨 看到一条被洪 水淹没的道路对我来说很奇怪。 作为一名英国公民,在访问即将结束时,我听到了伊丽莎 白二世女王陛下逝世的悲痛消息,收到了许多人的吊唁。 我想借此机会感谢所有花时间参加这次活动的人,感谢他 们的友好和支持。 大连海洋大学 左然涛博士 翻译 行业盛会 See the photo album from VICTAM Asia at: aqfeed.info/e/1643 International Aquafeed - 2022年9月 | 57
NEW! SÃO PAULO BRAZIL LATIN AMERICA’S LARGEST DEDICATED EVENT FOR THE ANIMAL FEED AND GRAIN PROCESSING INDUSTRIES WHY EXHIBIT? Brazil is the third producer of animal feed in the world with 1.600 feed mills and a production of 90 million tons per year and 4th largest grain producer in the world Meet (potential) customers from all over Latin America High quality visitor profile within your industry Meet delegates from various trade missions from surrounding countries Elaborate conference program and the possibility to present your own technical seminar The platform to launch your innovation for maximum exposure Victam LatAm will be a bi-annual event so the next opportunity to exhibit will only be in 2025 WHEN AND WHERE: October 3 - 5, 2023 Expo Center Norte, Red pavilion, São Paulo, Brazil. CO-LOCATION VICTAM LatAm is co-located with GRAPAS LatAm, the event for the grain milling and processing industries and with GEAPS, the biggest and best show in the grain industry! BRAZIL São Paulo NEW! in 2023 • Animal Feed • Agua Feed • Pet food • Poultry feed • Flour milling • Grain processing, handling & storage Since 1965 – Victam International Since 1993 – Victam Asia Since 2021 – Victam EMEA MORE INFORMATION envelope NICKMOUTHAAN@VICTAM.COM � +31 6 2126 4398 � WWW.VICTAMLATAM.COM 3-5 OCTOBER 2023 FOUNDING COMPANIES Industry Events
台湾智能农业周&国际渔业及海鲜展 台湾智能农业周&台湾国际渔业和海鲜展将 于2022年9月29日至10月1日在台北Tainex Hall 1号馆4楼举行,已邀请泰国、越南、新加 坡、马来西亚、印度、印度尼西亚和其他国 家的买家成功参加对接。 随着新日期的到来,他们预计将吸引来自30 多个国家的15000名国内外专业买家前来参观 展览。此外,现场活动、在线展览也将从10 月29日开始举行,为期31天。 提供“一站式”解决方案 “变得智能,共同成长”是台湾智能农业周的 核心理念。该展览将有四个展馆:AGI技术、 农业畜牧、农业+和农业食品,展示智能农 业、可持续和循环畜牧业、环保农业、智能 畜牧业、精准畜牧业、营养与健康、农业、 冷链、食品加工和一体化服务的最新技术。 此外,与“台湾智能农业周”相结合,台湾国 际渔业和海鲜展是台湾唯一的渔业B2B贸易 展。这两个展会旨在提供一站式解决方案, 帮助行业各方进行无缝智能转型。 展会期间,将举行线上线下对接会、数十 场专业论坛、烹饪秀、幸运袋分发等众多活 动。为了延续展会热潮,主办方将于2022年 10月26日至27日在台南举办“动物精准营养论 坛OMO”。 完美的沟通平台 东南亚国家农业、渔业和畜牧业的智能化 转型创造了强劲的市场需求。由于台湾拥有 相同的高温和高湿度,台湾在农业、渔业 和畜牧业方面的技术和产品可以在该地区 使用。 因此,为期30天的“台湾智能农业周”和“台 湾国际渔业与海鲜展”在线展览是展示从遗 传、播种、养殖、种植、营养抗生素养殖到 台湾到该地区冷链运输的完整产业链的完美
东南亚的环境和气候条件相适应。与AMB Tarsus集团的合作必将创造更多买家和卖 家之间的合作,并将台湾相关产业推向全 球,”My Exhibition Co有限公司总经理Irene Liu表示。 虚拟和现场模型 尽管去年有疫情的威胁,主办方还是巧妙地 将虚拟和现场模型应用于展览。大众数字营 销和国际媒体广播提高了国际曝光率,为农 业和水产养殖业提供了各种商机。 尽管这两个活动都面临着普遍的不利情况, 但都吸引了来自36个国家的参展商,参观人 数达到了11000人。该活动也取得了3632万美 元的周交易额。 今年,他们将继续成功的OMO展会模式, 以抵消疫情期间的人员流动限制,并为参展 商争取更多合作机会。 欲了解更多信息,请访问台湾国际渔业与海 鲜展网站:https://aqfeed.info/e/1595 行业盛会 International Aquafeed - 2022年9月 | 59
交流平台。凭借AMB Tarsus集团的业务网络 和专业的海外营销手段,展会将深入东南亚 的农业企业和公司。 “台湾农业、渔业和畜牧业的技术和设备与

Aerators

Air products

Additives

Faivre + 33 3idah 81 84 01 32 www.faivre.fr PROFILE: aqfeed.info/e/1603

Kaeser Kompressoren +49 9561 6400 www.kaeser.com PROFILE: aqfeed.info/e/1035

Dibaq +34 921 574 286 https://dibaqacuicultura.es PROFILE: aqfeed.info/e/1604

DSM +43 2782 8030 www.dsm.com PROFILE: aqfeed.info/e/1605 Evonik +49 618 1596785 www.evonik.com PROFILE: aqfeed.info/e/1606 Jefo +1 450 799 2000 https://jefo.ca PROFILE: aqfeed.info/e/1607

Liptosa +34 902 157711 www.liptosa.com PROFILE: aqfeed.info/e/1608

ORFFA +32 479 50 09 08 https://orffa.com PROFILE: aqfeed.info/e/1278

Phibro +972 4 629 1833 www.phibro-aqua.com PROFILE: aqfeed.info/e/1609

Analysis

SAS Laboratories Phode +33 5 63 77 80 60 www.phode.com PROFILE: aqfeed.info/e/1644

R-Biopharm +44 141 945 2924 www.r-biopharm.com PROFILE: aqfeed.info/e/1645

Romer Labs +43 2272 6153310 www.romerlabs.com PROFILE: aqfeed.info/e/1610

Founded in Washington, MO, in 1982, Romer Labs have over the years become a leading provider of diagnostic solutions for the agricultural, food and feed industry.

Today, Romer Labs offers a broad range of innovative diagnostic solutions covering mycotoxins, food pathogens, food allergens, gluten, GMO, veterinary drug residues, and other food contaminants.

Furthermore, they operate four accredited, fullservice laboratories in Austria, UK, US and Singapore. Using cutting-edge technology in the fields of chromatography and immunological analysis, their labs offer services for the analysis of mycotoxins, food allergens, meat speciation, VDR and GMO.

Romer Labs is at the forefront of diagnostic technology and are constantly expanding their product and service portfolio to meet your continuously evolving demands.

The key objective at Romer Labs is to provide scientifically sound, high-quality products and an exceptional service, in line with their mission –Making the World’s Food Safer®

Amino

618 1596785 www.evonik.com PROFILE: aqfeed.info/e/1606

Bulk storage Silo Construction & Engineering +32 51723128 www.sce.be PROFILE: aqfeed.info/e/1611 Silos Cordoba +34 957 325 165 www.siloscordoba.com aqfeed.info/e/1646 Symaga +34 91 726 43 04 www.symaga.com aqfeed.info/e/1647 TSC Silos +31 543 473979 www.tsc-silos.com PROFILE: aqfeed.info/e/1612 Conveyors Cablevey Conveyors +1 641 673 8451 https://cablevey.com PROFILE: aqfeed.info/e/1613 Vigan Enginnering +32 67 89 50 41 www.vigan.com aqfeed.info/e/1648 Colour sorters Bühler AG +41 71 955 11 11 www.buhlergroup.com PROFILE: aqfeed.info/e/1614 Satake +81 82 420 8560 www.satake-group.com Computer software Inteqnion +31 543 49 44 66 www.inteqnion.com PROFILE: aqfeed.info/e/1277 60 | 2022年9月 - International Aquafeed Welcome to the market place, where you will find suppliers of products and services to the industry - with help from our friends at The International Aquafeed Directory (published by Turret Group) aquafeed.co.uk/web/companies 市场
acids Evonik +49

Coolers

Bühler AG +41 71 955 11 11 www.buhlergroup.com

PROFILE: aqfeed.info/e/1614

Consergra s.l +34 938 772207 www.consergra.com aqfeed.info/e/1650

FAMSUN +86 514 85828888 www.famsungroup.com PROFILE: aqfeed.info/e/1034

FrigorTec GmbH +49 7520 91482-0 www.frigortec.com aqfeed.info/e/1652

IDAH +866 39 902701 www.idah.com PROFILE: aqfeed.info/e/1615

Wenger Manufacturing +1 785-284-2133 www.wenger.com PROFILE: aqfeed.info/e/1616

Yemmak +90 266 733 83 63 www.yemmak.com PROFILE: aqfeed.info/e/1617 Drum

Faivre

Alapala +90 212 465 60 40 www.alapala.com aqfeed.info/e/1653

Tapco Inc +1 314 739 9191 www.tapcoinc.com aqfeed.info/e/1654

IDAH +866 39 902701 www.idah.com PROFILE: aqfeed.info/e/1615

Ottevanger +31 79 593 22 21 www.ottevanger.com PROFILE: aqfeed.info/e/1621

Wenger Manufacturing +1 785-284-2133 www.wenger.com PROFILE: aqfeed.info/e/1616

Yemmak +90 266 733 83 63 www.yemmak.com PROFILE: aqfeed.info/e/1617

Zheng Chang +86 2164184200 www.zhengchang.com PROFILE: aqfeed.info/e/1623

Feed and ingredients

Adisseo +33 1 46 747104 www.adisseo.com PROFILE: aqfeed.info/e/1624

Aller Aqua +45 70 22 19 10 www.aller-aqua.com PROFILE: aqfeed.info/e/961

Alltech +44 1780 764512 www.alltechcoppens.com PROFILE: aqfeed.info/e/1625

Anpario +44 1909 537 380 www.anpario.com PROFILE: aqfeed.info/e/1626

Anpario plc is an independent, international manufacturer and distributor of natural feed additives for aquaculture health, nutrition and biosecurity. Our specialist feed technologies are both innovative and tailored to meet the ever increasing population requirements for healthy food. Anpario’s feed additives are sold in over 80 countries through established sales and distribution networks, which includes a number of wholly owned subsidiaries in key markets around the world. We have over 30 years expertise within agriculture and aquaculture sectors, working with key research institutes and universities across the world in both the development and evaluation our innovative cutting-edge products.

Anpario’s product portfolio of innovative solutions work in harmony with the natural aspects of both the animal’s biology and environment, creating responsible solutions to sustainably optimise health, growth and profitability.

Our mission is to add value throughout the lives of animals so we can help our customers achieve optimum animal performance, with proven return on investment, boosting profitability in today’s modern aquaculture production systems. Our technologies are developed, produced and dispatched directly from our pioneering quality assured manufacturing plant in the UK.

Feed Mill

Biorigin www.biorigin.net

PROFILE: aqfeed.info/e/1627

GePro +49 54415 925252 www.ge-pro.de aqfeed.info/e/1656

Grupo Dibaq +34 921 574 286 www.dibaqacuicultura.es

PROFILE: aqfeed.info/e/1604

Grand Fish Feed +202 20 650018 www.grand-aqua.com PROFILE: aqfeed.info/e/1628 Liptosa +34 902 15 77 11 www.liptoaqua.com

PROFILE: aqfeed.info/e/1608

Phileo (Lesaffre animal care) +33 3 20 81 61 00 www.lesaffre.fr

PROFILE: aqfeed.info/e/1629

Clextral +1 813 854 4434 www.clextral.com

PROFILE: aqfeed.info/e/1620

TekPro +44 1692 403403 www.tekpro.com PROFILE: aqfeed.info/e/1631 Van Aarsen International +31 475 579 444 www.aarsen.com

PROFILE: aqfeed.info/e/1632

Fish

Faivre + 33 3 81 84 01 32 www.faivre.fr

PROFILE: aqfeed.info/e/1603

Fish

Fish

Faivre + 33 3 81 84 01 32 www.faivre.fr

PROFILE: aqfeed.info/e/1603

Faivre + 33 3 81 84 01 32 www.faivre.fr

PROFILE: aqfeed.info/e/1603 Fish

Ace Aquatec + 44 7808 930923 www. aceaquatec.com

PROFILE: aqfeed.info/e/764

Grinders

Almex

Grand Fish Feed +202 20 650018 www.grand-aqua.com

PROFILE: aqfeed.info/e/1628

Hammermills

Dinnissen BV +31 77 467 3555 www.dinnissen.nl

PROFILE: aqfeed.info/e/1633

Yemmak +90 266 733 83 63 www.yemmak.com

PROFILE: aqfeed.info/e/1617 Yemtar +90 266 733 8550 www.yemtar.com aqfeed.info/e/1657

市场
&
driers
filters
buckets
+ 33 3 81 84 01 32 www.faivre.fr PROFILE: aqfeed.info/e/1603 Elevator
& conveyor components
Enzymes
Equipment for sale
Elevator
4B Braime +44 113 246 1800 www.go4b.com aqfeed.info/e/1655
DSM +43 2782 8030 www.dsm.com PROFILE: aqfeed.info/e/1605 Evonik +49 618 1596785 www.evonik.com PROFILE: aqfeed.info/e/1606
Extruders
ExtruTech Inc +1 785 284 2153 www.extru-techinc.com PROFILE: aqfeed.info/e/1618
+31 575 572666 www.almex.nl
aqfeed.info/e/1279 Andritz +45 72 160300 www.andritz.com
aqfeed.info/e/1619 Buhler AG +41 71 955 11 11 www.buhlergroup.com
aqfeed.info/e/1614
+1 813 854 4434
aqfeed.info/e/1620
PROFILE:
PROFILE:
PROFILE:
Clextral
www.clextral.com PROFILE:
counters
Graders
pumps
Stunning
61 | 2022年9月 - International Aquafeed

When maximum volume matters, the Wenger AQUAFLEX XT High Capacity Aquafeed Extruder is the choice, processing up to 12,000 kg/hour. Equipped with either our High Shear Conditioner (HSC) or High Intensity Preconditioner (HIP), the AQUAFLEX XT is ideal for aquatic feeds as small as 0.5 mm. Precise control of finished product density delivers either high capacity floating or sinking feeds.

about the industry-changing designs and customized options
PHONE:
| EMAIL: INFO@WENGER.COM | WENGER.COM USA | BELGIUM | TAIWAN | BRASIL | CHINA Maximize capacity, conditioning, and control. WENGER’S AQUAFLEX XT HIGH CAPACITY EXTRUDER THE INNOVATIVE SOLUTION TO CLEANER FISH MANAGEMENT & SEA LICE CONTROL COMPLETE, TAILORED FEED BLOCK DIETS FOR LUMPFISH & WRASSE REDUCED IMPROVED Produced in the UK by www.vitaaquafeeds.uk • SEA LICE POPULATIONS • CATARACT PREVALENCE • AGGRESSION DURING FEEDING • ENERGY CONSUMPTION • STORAGE SPACE & COSTS • MEDICAL TREATMENTS • FISH HEALTH & WELFARE • MORTALITY RATES • STABLE, CONTROLLED GROWTH • LONGEVITY & EFFICACY • PRACTICAL FEEDING METHODS • DAILY OPERATIONAL COSTS 62 | 2022年9月 - International Aquafeed
Know more
of AQUAFLEX Email us at info@wenger.com today.
785.284.2133

Pellet

Hydronix +44 1483 468900 www.hydronix.com PROFILE: aqfeed.info/e/1634

FAWEMA /

+49 22 63 716 0 www.fawema.com PROFILE: aqfeed.info/e/1635

Anderson

www.andersonfeedtech.com aqfeed.info/e/1658

IDAH +866 39 902701 www.idah.com PROFILE: aqfeed.info/e/1615

Clextral +1 813 854 4434 www.clextral.com PROFILE: aqfeed.info/e/1620

IDAH +866 39 902701 www.idah.com PROFILE: aqfeed.info/e/1615 PTN +31 73 54 984 72 www.ptn.nl PROFILE: aqfeed.info/e/1636 Plants Andritz +45 72 160300 www.andritz.com PROFILE: aqfeed.info/e/1619

Buhler AG +41 71 955 11 11 www.buhlergroup.com PROFILE: aqfeed.info/e/1614

Clextral +1 813 854 4434 www.clextral.com PROFILE: aqfeed.info/e/1620 Dinnissen BV +31 77 467 3555 www.dinnissen.nl PROFILE: aqfeed.info/e/1633

FAMSUN +86 514 87848880 www.muyang.com PROFILE: aqfeed.info/e/1034

Ottevanger +31 79 593 22 21 www.ottevanger.com PROFILE: aqfeed.info/e/1621

Yemmak +90 266 733 83 63 www.yemmak.com PROFILE: aqfeed.info/e/1617

Yemtar +90 266 733 8550 www.yemtar.com aqfeed.info/e/1657

Zheng Chang +86 2164184200 www.zhengchang.com

PROFILE: aqfeed.info/e/1623

Probiotics

Ace Aquatec + 44 7808 930923

www. aceaquatec.com

PROFILE: aqfeed.info/e/764

DSM +43 2782 8030 www.dsm.com

PROFILE: aqfeed.info/e/1605

Royal DSM is a global, purpose-led company in Health, Nutrition & Bioscience, applying science to improve the health of people, animals and the planet. DSM’s purpose is to create brighter lives for all. DSM’s products and solutions address some of the world’s biggest challenges while simultaneously creating economic, environmental and societal value for all its stakeholders - customers, employees, shareholders, and society at large. DSM and its associated companies employ approximately 23,000 people around the world and deliver annual net sales of about €10 billion.

DSM use their bright science to deliver positive transformations at scale for as many people as possible today and for generations to come, operating within the constraints of the world’s finite resources. DSM aim to redefine how they live and work in order to create a fairer, more prosperous and more sustainable society.

The DSM Animal Nutrition and Health business group offers customers a true end-to-end portfolio of products, solutions and services for sustainable and profitable animal farming. The company’s three dedicated business lines cover Precision Services, Performance Solutions + Biomin® and Essential Products.

Greater precision in animal farming is key to a more sustainable and profitable future. Their Precision Services use the latest data analytics and diagnostics to improve animal health, lifetime performance, resource use and environmental footprint — while mitigating risks and unlocking more value. Improving the sustainability and profitability of animal farming is secured with Their broad portfolio delivers the level of functional nutrition needed for the industry to meet the challenges of sustainability, animal welfare and feed quality.

Essential nutrition is fundamental to healthy, sustainable animal protein. Their Essential Products provide vital nutrients for an animal’s healthy growth and development — delivered to the customer in the most flexible, tailored way.

As a purpose-led company, for years, DSM has supplied science-based products, services and ground-breaking innovation fundamental to the health, well-being and sustainability of farm animals. With growing demand for sustainable animal protein that is safe, nutritious and affordable, DSM helps the industry transition to a more sustainable future to meet this complex challenge.

#WEMAKEITPOSSIBLE

Pulverisers

Phytogenics

Delacon

+43 732 640 531 414 www.delacon.com

PROFILE: aqfeed.info/e/1637

RAS Equipment

Fish Farm Feeder +34 886 317 600 www.fishfarmfeeder.com

PROFILE: aqfeed.info/e/1638

RAS system

Aqua Ultraviolet +1 952 296 3480 www.aquauv.com PROFILE: aqfeed.info/e/1639 Silos

FAMSUN +86 514 85828888 www.famsungroup.com PROFILE: aqfeed.info/e/1034 TSC Silos +31 543 473979 www.tsc-silos.com PROFILE: aqfeed.info/e/1612 Vacuum Dinnissen

Weighing equipment

IDAH

+866 39 902701 www.idah.com

PROFILE: aqfeed.info/e/1615

Predator Defence

Moisture analysers
Packaging
The Packaging Group
Paddle Mixer
mill
BV
aqfeed.info/e/1633 Yemmak +90 266 733 83 63
+31 77 467 3555 www.dinnissen.nl PROFILE:
www.yemmak.com PROFILE: aqfeed.info/e/1617
21
Yeast products
GmbH
Phileo (Lesaffre animal care)
20 81 61 00
For more information about our market place - please view or download our 2023 media kit https://aqfeed.info/e/1529 市场 63 | 2022年9月 - International Aquafeed
Ottevanger +31 79 593 22
www.ottevanger.com PROFILE: aqfeed.info/e/1621 Yemmak +90 266 733 83 63 www.yemmak.com PROFILE: aqfeed.info/e/1617
Leiber
+49 5461 93030 www.leibergmbh.de PROFILE: aqfeed.info/e/1640
+33 3
www.lesaffre.fr PROFILE: aqfeed.info/e/1629

Pierre Pienaar先生是现任英国国家教育主任、AIP前国家主席和世界包装组织前副主席,负责全球包装领域的教培工作。在过去的三十年 里,他曾在世界各地的大学和机构讲授包装的科学与技术。由于他在包装科学、包装工程及其技术方面的丰富经验,他经常被传唤为法律案 件的专家证人。 除了英国布鲁内尔大学的理学硕士学位(包装工程/技术),Pierre Pienaar先生还拥有英国赫特福德大学的制造和生产硕士学位。他目前已成为 在60多个国家注册和认证的包装领域专业人员,拥有包装工程的双教授职位,是世界包装组织的现任主席。

世界包装组织主席 Pierre Pienaar 早在1984年,Pierre Pienaar先生通过学习药学对包装产生浓厚兴趣,当时他加入了一家大型制药公司,开始关注一些制药领域的包装问题。 而后他担任自家全球包装咨询公司——PackTech Solutions Pty Ltd的包装工程师,在制药、食品和饮料包装领域积累了超过35年与包装科学 和工程相关的丰富经验。
展望未来,您希望包装领域哪些问题需要解决,为什么?
睹了这种变化。我相信这是包装的真正可持续性,而且是有效的。 变化需要时间,但我们需要从某个地方开始,而且越快越好,因为 没有替代地球的B计划。 过度包装经常受到质疑,但考虑到在运输过程中保护食品免 受污染或变质,食品业在保证食品安全的同时如何解决过度 包装的问题? 这是我们在全球培训课程中特别讲授的内容。人们通常缺乏对包装 技术的理解,在很多情况下强化包装以加强屏障性能或增强对内容 的保护,这是完全多余的。根据过去 35 年的行业经验,几乎在所有 的案例中一旦给出了解释并提供了更好的解决方案,客户就会理解 并接受。我们有太多不具备科学技术知识的人在做关键决定,他们 无法做出正确决定。因此我们的全球解决方案是培训更多在包装材 料科学、包装工程和包装技术方面的人才。 在环境方面,有必要减少不可生物降解塑料的数量。在尽量 减少塑料进入环境方面应该采取哪些措施? 我们需要更多的国家参与减少不可生物降解塑料数量的行动中。目 前,对许多发展中国家来说难度较大。此外,该行动初期需要资金 投入,但对许多发展中国家来说这些资金投入需要解决更重要的问 题,比如养活他们的人民比包装问题更重要。也有些发达国家同样 存在问题,他们都充分意识到这样做是正确的,但在许多情况下正 在等待立法来实施,问题一直拖延无法解决。 您认为2050年的包装行业会是什么样子? 在我 看来, “ 变革的车轮 ” 已经开始转动,一些国家已经开始行动 了。如果我们不改变,未来是暗淡的,几乎世界上所有的政府都意 识到这一点。我们目前消耗世界自然资源的速度几乎相当于需要两 个地球。如果我们不采取任何可持续的改变,加上不回收所有的 包装材料,那么按照目前的速度,到 2050 年我们将需要几乎三个 地球。然而,如果由环保人士建议采取的措施在全球范围内立即实 施,我们就可以回到正轨,在地球上量入为出将对我们的自然资源 平衡产生净影响。 改变将会发生,问题是大家多久会意识到我们现在所做的决定将影 响 2050 年及以后的年代。在未来 10 年内,所有人都将真正体验到 这些影响,但目前这些都是空谈,并没有被视为足够 “ 真实 ” ,让普 通民众意识不到尽早采取行动的结果以及对未来的影响。因此,我 们所有人都必须发挥自己的作用,而不是把它留给世界上的超级大 国,或发达经济体,或少数一些国家。 青海大学 马睿博士 翻译 专访 64 | 2022年9月 - International Aquafeed
可持续性是当前的一个热门词汇,但我更愿意将其定义在包装领域 中。我们需要让世界上更多的人了解包装的重要性,特别是当我们 把里面的东西拿走后要正确处理外包装。当涉及到包装回收时,许 多国家存在一种关于包装的固有思维甚至文化。改变一种文化或一 种心态总是很难的。所以,我认为我们需要从教育一二三年级的孩 子开始。这是一个易受影响的阶段,可以让他们了解如何处理包 装,以及如何更好地保证所有东西都被回收利用,而不是简单地丢 弃在街道上、水道上和海滩上,从而破坏我们的自然环境。在我们 教育年轻一代的过程中,他们会影响他们的父母和祖父母,让他们 正确对待包装。在随后的几年里,我们将在世界各地发展这种新文 化。在过去的 16 年里,我一直在我的祖国从事这项工作,我亲眼目
International Aquafeed - 2022年9月 | 65

Royal Greenland公司加入Biommega。在Royal Greenland公司,他曾担任过格陵兰岛一 家虾和大比目鱼工厂的技术经理,以及在位于奥尔堡的丹麦总部,负责运行维护,机器优化分析,以及各种建

人物产业脸谱
是一个理想的人选,我们对他的加入感到高兴。”公司市场营销副总裁Chris
Brad Clause说:“我最感到兴奋的是VideoRay公司在客户个性化支持方面具有全球声誉,以及我如何为这一 承诺做出贡献” 。 可持续水产养殖创新中心(SAIC)任命新成员 可持续水产养殖创新中心任命Jillian Couto-Phoenix为其新的人力及技能发展部主管,负责一系列职业发展项 目,并协助公司引进人才。Couto-Phoenix女士在SAIC将负责创新中心的培训和项目。她将与水产养殖专业 人员以及科研院校密切合作,开展技能创新和对实习生、硕士研究生培养等工作。 Couto-Phoenix表示:“我很高兴能加入SAIC,并将我的经验运用到创新中心的培训和技能项目中” 。 “Jillian是我们团队的优秀成员,在技能可持续发展方面拥有丰富的经验。与部门在水产养殖业培养新人才的诉 求相契合”SAIC首席执行官Heather Jones补充道。 Biomega为其丹麦生物精炼厂任命新的技术经理 生物技术公司Biommega任命Peter Krüger为其位于丹麦赫茨哈尔斯港的新生物精炼厂的技术经理。 Krüger先生是从
设和项目管理。 Biomega首席运营官Jarl Knudsen表示:“我们很高兴Peter先生成为公司在丹麦不断壮大中的团队一员,凭 借他在大型技术项目管理方面的丰富经验,他将在确保新工厂快速启动和运行、减少停机时间方面发挥关键作 用。” Krüger先生总结道:“在赫茨哈尔斯港的新工厂给公司带来了新的挑战,我真的很荣幸能成为迎接挑战的关键 一员。” Blue Ocean公司为其团队引入一位自动化工程师 Blue Ocean公司是专业从事水产养殖污泥处理的公司,随着国内外陆海项目的不断增多,公司发展迅速,员 工队伍也在不断扩大。 Kristoffer Slettehaug拥有在顺序系统、通用PLC和HMI编程方面的自动化工作经验,被聘为公司自动化工程 师。他来自西门子能源公司,在那里他从事海上装置自动化和控制系统安全性方面的工作,以确保硬件尽可能 高效地运转。 Slettehaug先生将负责所有自动化项目的进一步发展,以达到Blue Ocean公司成为污泥处理领域领导者的目 标。 Blue Ocean公司在招聘首席运营管的同时也在扩大规模 Blue Ocean公司是一家发展迅速的公司,随着国内外陆海项目的不断增多,公司发展迅速,员工队伍也在不 断扩大。Thomas Tveiten Lewis被聘为首席运营官,并正式上任。 他之前的工作经历包括:在劳斯莱斯动力系统/卑尔根发动机公司从事项目管理和系统设计工作,最近在 Greensight公司担任项目经理和能源顾问。 作为Blue Ocean公司首席运营官,Tveiten Lewis先生将全面负责为国内外客户生产所有系统和产品。 66 | 2022年9月 - International Aquafeed
VideoRay公司聘请水下遥控潜水器方面的专家 VideoRay公司任命Brad Clause为其海上风能可再生能源、水产养殖和航运市场版块的客户经理。他 为公司带来了20多年在水下遥控潜水器(ROV)方面的经验。在加入VideoRay之前,Clause先生曾在 Oceaneering International和C-Innovation公司工作。他在海上可再生能源应用领域具有丰富的水下机器 人操作经验。 “Brad先生具有在海底恶劣环境中领导团队工作的经验以及客户至上的思想,这与我们公司的理念相契合。他
Gibson说道。
Official Website Facebook ZhengChang Group : No.28 Zhengchang Road, Kunlun Development Zone, Liyang, Jiangsu, China : +86 21-6418 4200 Fax : +86 21-6416 3299 : International@zhengchang.com : www.zhengchang.com/eng Address Telephone E-mail Website Vertical Vacuum Spraying Machine SZPL Series Remark: Optional Powder Spray System Optional CIP (Clean In Place) Particle Diameter Model 1~30mm SZPL 2000,3000,5000 Liquid Addition Spray Uniformity Residual rate 1~36% Cv≤7% ≤0.5% Batch Working Time 5~7min Maximum Vacuum Vacuum Retention 40mbar ≤100mbar/5min

Turn static files into dynamic content formats.

Create a flipbook
Issuu converts static files into: digital portfolios, online yearbooks, online catalogs, digital photo albums and more. Sign up and create your flipbook.