Actas del 32º Congreso de Jóvenes Investigadores - (parte 1)

Page 1

ACTAS DEL 32º CONGRESO DE JÓVENES INVESTIGADORES

MADRID, 30 DE NOVIEMBRE, 1, 2, 3 DE DICIEMBRE DE 2020

Actas 32º Congreso Jóvenes Investigadores

Directora General del Instituto de la Juventud

María Teresa Pérez Díaz

Secretario General de Universidades

José Manuel Pingarrón Carrazón

Director Científico del Certamen

Dr. Óscar Moreno Díaz

Coordinadoras de la publicación

María Fernanda Martín Nieto

Adela Ibarra Sierra

Maquetación

Meg Gasiba

Textos

Autores de los proyectos seleccionados © de los textos e imágenes, sus autores

Edita

INJUVE (Instituto de la Juventud)

C/ Marqués del Riscal, 16, Madrid www.INJUVE.es

Catálogo General de Publicaciones Oficiales https://publicacionesoficiales.boe.es

NIPO: 130-21-006-0

Madrid, 2021

- 07 -

- 11 -

- 15 -

- 16-

- 30- 42- 56- 70 -

- 84- 96 -

- 109 -

Prólogo

Discurso Director Científico del Certamen

CIENCIAS SOCIALES Y JURÍDICAS 

Análisis del sector de plataformas de video bajo demanda (VOD) en USA. El caso de Disney+

Transición a la energía fotovoltaica en IES Pintor Antonio López

Juego en el Museo: Astronomía, Arte Rupestre y Gamificación

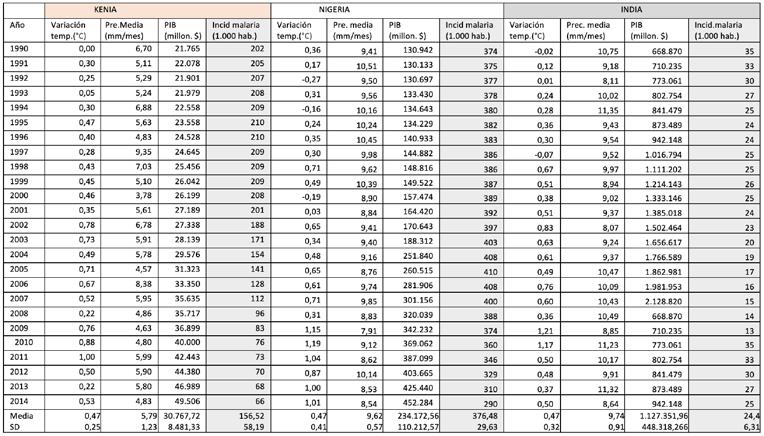
¿En qué medida factores climáticos y económicos afectan a la incidencia anual de malaria? Un estudio sobre Kenia, Nigeria e India

Los miércoles son de color verde lima: La prevalencia de la sinestesia en una muestra del centro peninsular

De ciencia a pseudociencia: 6 letras entre la vida y la muerte

CEMSA: Análisis sobre el ahorro de emisiones de CO2 de una empresa energéticamente autosostenible en un periodo de 10 años

El auge socio-económico a través de turismo rural: la Floración de Cieza un estudio del caso

- 123 -

ARTES Y HUMANIDADES 

- 125 -

- 134- 150 -

-162-

- 174 -

- 188 -

-200-

Transhumanismo: ¿seremos humanos?

Análisis del binomio ciencia-arte a través de la figura de D. Pío Del Río Hortega con el aporte de nuevos datos biográficos

El papel de la mujer en el sector conservero en la Ribera de Tudela

Del monte a la familia: Una historia, dos bandos

Siyâsa Virtual: reconstrucción de la casa nº 6

Escribir el silencio: análisis del discurso narrativo en la literatura fantástica francesa del siglo XIX

Kant y los Popularphilosophen: ¿Debe la Filosofía adaptarse para que cualquiera pueda acceder a ella?

ÍNDICE

CIENCIAS DE LA TIERRA Y DE LA VIDA 

La celulosa microbiana de Kombucha, material ecológico del siglo XXI Triops cancriformis. Cómo sobrevivir al cambio climático

La biofísica computacional en el descubrimiento de nuevos fármacos para reducir los niveles de colesterol LDL

Proteínas tóxicas. Estudio de las características estructurales y funcionales de la Esticolisina II y su mutante

Con la cabeza en las nubes. Nubes y predicción meteorológica

Crecimiento de raíces de soja bajo condiciones de microgravedad. ¿En qué medida el crecimiento de la raíz primaria de Glycine max se ve alterada por la microgravedad simulada por un clinostato?

Búsqueda de una correlación entre el índice glucémico de un alimento (alto, medio o bajo) y la variación de la concentración de glucosa en sangre en función del tiempo y dependiendo del tipo de insulina utilizada (natural o ar tificial)

Análisis bioinformático de los genes diferencialmente expresados en células mesenquimales estimuladas con citocinas proinflamatorias

¿Qué hubiera pasado si el virus del ébola se hubiera expandido en España? El papel de las vacunas en las epidemias

Un enfoque novedoso para el tratamiento de cáncer de cerebro: la nanorobótica

TECNOLOGÍA E INGENIERÍA 

-

348-

¿En qué medida superan los ordenadores de "quantum annealing" a los ordenadores clásicos?

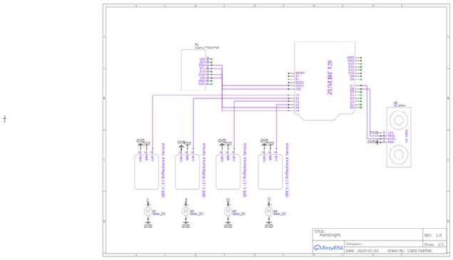
HandVision - Desarrollo de un prototipo tiflotecnológico de sustitución sensorial

ÍNDICE
362
212
215
229
240
256
271
Energía, arquitectura y ciencia en el primer biolaboratorio lunar 298
- 374- 347-
-
-
-
-
-
- 284-
-
- 310 -
- 322 -
- 333 -

Machine learning y huella dactilar para el diagnóstico de la enfermedad celíaca

Salud y (bio)mecánica en el ciclismo: Desarrollo de dos sistemas para mejorar la posición de la espalda y la seguridad de los ciclistas en las ciudades

Vicius. Un bot capaz de detectar y corregir ciberadicciones

Toma de decisión para mejorar el tráfico en una sección del plano de Tudela

CIENCIAS FÍSICAS, QUÍMICAS Y MATEMÁTICAS 

-

-

Portmán, un problema de peso. El paradigma de la contaminación del suelo

Caracterización de la estrella variable EPIC246257206 descubierta con observaciones K2-C12-FOV realizadas por el telescopio Kepler

Estudio de la distribución de los puntos de carga de vehículos eléctricos en la comunidad de Madrid mediante diagramas de Voronoi

Eclibistar: Clasificación y catalogación automática de sistemas binarios eclipsantes con telescopios amateur a través del estudio del nuevo sistema binario eclipsante GSC01020-00796

¡Camarero, hay un polígono en mi pizza!

Estudio de la rentabilidad y la sostenibilidad de la síntesis de fluoresceina en función del ácido que actúa como catalizador

ÍNDICE
436
448
- 460
474
487
500
515
435
386
396
410
Caracterización de biosensores de grafeno para la detección de iones K+, Na+ y Ca2 422
-
-
-
-
-
-
-
-
-
-
-

PRÓLOGO

Mediante la Orden de 19 de octubre de 1987 publicada en Boletín Oficial del Estado núm. 254 de 23 de octubre, el Ministerio de Relaciones con las Cortes y de la Secretaría del Gobierno convocó en España el primer Certamen Jóvenes Investigadores para dar respuesta a la decisión de la Comisión Europea de convocar en el año 1989 el primer European Union Contest for Young Scientists, certamen continuador del Philips Contest que se había celebrado entre 1968 y 1988.

Así nació el Certamen de Jóvenes Investigadores, con el propósito de despertar y fomentar la vocación investigadora de nuestros jóvenes, enfrentándoles a un triple reto: explorar su entorno en busca de nuevos enigmas, documentarse sobre el tema escogido y proponer y demostrar empíricamente una solución para su problema. Muchos docentes acogieron la idea y animaron a sus pupilos a formar grupos de investigación. El resultado ha sido una extraordinaria compilación de trabajos sobre las más diversas disciplinas científicas. Sumergirse en la dinámica de la investigación supuso además, para sus autores, una experiencia vital transformadora.

La carrera investigadora es larga y no está exenta de obstáculos y sacrificio personal, pero la vocación por el saber de quienes la inician es el acicate para enfrentarse a ello y superarlo. Estos premios han permitido a los más jóvenes, en un momento en el que están decidiendo o a punto de decidir su futuro, descubrir y experimentar esa vocación, la belleza de la investigación, de encontrar respuestas a problemas de toda índole que resultan relevantes para la sociedad; y ha ofrecido a quienes les han acompañado –profesores, tutores, jurado…- el privilegio de compartir con ellos el entusiasmo de quien inicia un nuevo e ilusionante camino. No todos han decidido o decidirán continuar por él, pero el fomento de la investigación en los niveles preuniversitarios no debe tener sólo el importante y primordial objetivo de despertar vocaciones científicas, tan necesarias para una sociedad que quiera avanzar y considerarse avanzada, sino también el de fomentar la curiosidad y el pensamiento crítico como actitud ante la vida y como herramientas para constituir una ciudadanía informada.

7

En el año 2020 se ha celebrado el trigésimo segundo Certamen Jóvenes Investigadores, que se ha regido por lo establecido en la Orden Ministerial de 7 de agosto de 2020 del Ministerio de Universidades por la que se convocan los premios del XXXII Certamen “Jóvenes Investigadores”. En esta edición las inscripciones han sido 188, con un total de 194 estudiantes procedentes de trece comunidades autónomas.

La primera fase, de Certamen, ha sido selectiva, en la que expertos designados por la Secretaría General de Universidades y el Instituto de la Juventud han evaluado los proyectos presentados relativos a cinco áreas de conocimiento: Artes y Humanidades, Ciencias Sociales y Jurídicas, Ciencias Físicas, Químicas y Matemáticas, Ciencias de la Tierra y de la Vida y Tecnologías e Ingenierías. Entre los trabajos presentados, procedentes de toda España, el Jurado, compuesto por diez especialistas, ha seleccionado treinta y nueve.

La segunda fase, de Congreso, organizado por el Instituto de la Juventud (Injuve), ha estado marcada por las especiales condiciones sanitarias vividas este año debido a la pandemia provocada por el SARS-COV-2. A diferencia de otros años se ha celebrado, no en el Centro Eurolatinoamericano de Juventud (CEULAJ) de Mollina, en Málaga, como es tradición, sino en la sede del Injuve y de forma virtual, los días 30 de noviembre y 1, 2 y 3 de diciembre de 2020, debido a las restricciones impuestas por la situación de pandemia. Los 39 trabajos seleccionados, elaborados por 46 participantes (22 mujeres y 24 hombres de casi todos los puntos de España), han sido presentados y defendidos públicamente por los autores de forma virtual desde sus casas, institutos o universidades; las exposiciones han sido además retransmitidas en streaming para llegar al mayor número de personas posible. Estos chicos y chicas nos han ilusionado y maravillado con sus presentaciones, sus conclusiones y sobre todo con su ilusión y su vocación.

Es de destacar la función de los profesores tutores o coordinadores como figura obligatoria para poder presentar los trabajos, pues son ellos los que realizan el primer filtro en el proceso de evaluación de la calidad de los proyectos que se presentan al Certamen. Sin la implicación personal y la labor continua a lo largo del curso académico de los tutores o coordinadores las investigaciones que se presentan no alcanzarían la calidad que tienen actualmente.

Las actas que ahora se publican recogen los trabajos seleccionados en el Certamen y que han participado en el Congreso. Esta iniciativa le ha dado a nuestros jóvenes la oportunidad de desarrollar su investigación de principio a fin, desde la germinación de la idea hasta su divulgación, alcanzando así el último eslabón el proceso investigador, que da ulterior sentido al trabajo realizado al

 8

ponerlo a disposición de la sociedad y de la comunidad científica para su conocimiento, su validación y su uso; por ello, desde la organización del Certamen consideramos tan importante mantener y cuidar también esta última parte del mismo. Así, al publicarse estas actas los participantes habrán vivido y desarrollado la experiencia investigadora en su totalidad, un valioso conocimiento de lo que podrá ser su futuro de seguir por ese camino, en el que les auguramos un brillante futuro.

Los resúmenes de los treinta y nueve trabajos que se publican, correspondientes a todas las áreas de conocimiento contempladas en el Certamen, son una buena muestra de la calidad de las investigaciones que realizan los estudiantes de Educación Secundaria Obligatoria, Bachillerato o Formación Profesional en los institutos y colegios españoles. Esperamos que su lectura sea un aliciente para otros jóvenes como ellos y un revulsivo para las autoridades educativas de las diferentes comunidades autónomas que permita impulsar la investigación en estas etapas de formación preuniversitaria.

 9

El Certamen Jóvenes Investigadores, que ha celebrado su trigésimo segunda edición, es una compleja maquinaria eficientemente dirigida por el equipo de la Subdirección General de Formación del Profesorado Universitario y Programación del Ministerio de Universidades y por el equipo de la División de Programas del Instituto de la Juventud (INJUVE). Creo que para todos ellos este Certamen no es una competencia más de sus departamentos, sino una iniciativa en la que creen, con la que disfrutan y en la que ponen todo su empeño. También lo es para mí, y por eso es un placer poder contribuir al movimiento de esta maquinaria que dejó muy bien engrasada mi predecesor en el cargo de Director Científico, el profesor Jesús Jordá Pardo, gracias a su dedicación y buen hacer.

Los evaluadores y el jurado del Certamen, un año más, se han entusiasmado con los trabajos presentados. Aunque conocer las investigaciones realizadas y aprender de ellas es ya en sí una recompensa, no cabe duda de que entender todos sus detalles para poder juzgarlas de manera justa y rigurosa supone un gran esfuerzo. Su trabajo permite mantener el alto nivel científico del Certamen, y para ellos va mi agradecimiento.

Además de la convocatoria del Certamen, este año hemos desarrollado diversas actividades para difundirlo y para potenciar el impacto y calidad de las investigaciones presentadas. Destaca la colaboración con el Instituto Nacional de Tecnologías Educativas y de Formación del Profesorado (INTEF) del Ministerio de Educación y Formación Profesional, a través de la cual se ha puesto en marcha un curso en línea tutorizado titulado “La investigación científica en el aula: de la transmisión a la creación de conocimientos” y se ha editado un libro con el mismo título, en formato digital y de acceso gratuito. Nos marcamos con ello el objetivo de impulsar en los centros educativos una cultura de investigación que inicie la formación de más y mejores científicos.

En el periodo abarcado por esta edición hemos sufrido una pandemia que lo ha parado casi todo, pero que no ha podido ni con la educación ni con la in-

11 

vestigación. Nuestro Certamen, cuya esencia combina ambas actividades como ninguna otra iniciativa en el ámbito preuniversitario, no podía quedarse atrás. A la convocatoria respondieron, como siempre, cientos de estudiantes y profesores, demostrándonos que nuestro esfuerzo organizativo se ve ampliamente recompensado por su esfuerzo participativo. En un año en que la ciencia ha demostrado contundentemente su extraordinario valor social a través, por ejemplo, del desarrollo urgente de vacunas efectivas y seguras, nuestro Certamen no podía dejar de ejercer su función, que es precisamente la de contribuir a sembrar la semilla de la ciencia del futuro en nuestro país.

Los trabajos que han sido premiados en esta edición tienen, como siempre, una extraordinaria calidad científica. Nosotros estamos convencidos de ello, pero nunca está de más corroborarlo en competiciones internacionales. Nuestros tres representantes en el certamen ruso Step into the future han recibido premios: Portmán, un problema de peso. El paradigma de la contaminación del suelo, de Jorge Parra García (Murcia), TransiciónalaenergíafotovoltaicaenIES Pintor Antonio López, de Ramiro Javier Valdés Jara (Madrid) y Caracterización de la estrella variable EPIC246257206 descubierta con observaciones K2-C12FOV realizadas por el telescopio Kepler, de Jorge Pérez González (Asturias). De manera muy destacada, también han sido premiados nuestros tres trabajos enviados al Certamen Europeo de Jóvenes Investigadores EUCYS, organizado por la Comisión Europea: Triops cancriformis. Cómo sobrevivir al cambio climático, de Patricia Marco Gaya y Alba Serrano García (Castellón), Transhumanismo: ¿seremos humanos?, de Eduardo Guerrero Riesco (Madrid) y un primer premio para ¿En qué medida superan los ordenadores de quantum annealing a los ordenadores clásicos?, de Carla Caro Villanova (Barcelona). Este último trabajo también ha sido premiado en Estados Unidos en la Feria Internacional de Ciencia e Ingeniería ISEF, junto con La celulosa microbiana de Kombucha, material ecológico del siglo XXI, de Guillermo Rabadán Costa (Madrid). Todo este éxito internacional es una gran satisfacción para nosotros y, desde luego, una alegría y otro estímulo más para los jóvenes autores.

Volviendo a nuestro Certamen, las circunstancias sanitarias impidieron la celebración presencial del Congreso de trabajos finalistas en su sede habitual, las instalaciones del INJUVE en Mollina (Málaga). En su lugar, se celebró de manera virtual desde su sede de Madrid. Para llevarlo a cabo, y tomando una actitud muy propia de la labor científica, no solo se buscaron soluciones eficientes a los problemas surgidos de la nueva situación, sino que además se hizo de la necesidad, virtud: la retransmisión del Congreso por internet llegó a un público mucho más amplio del que podría haberse siquiera imaginado en ediciones pasadas. A veces los científicos somos los que más nos sorprendemos de los avances tecnológicos, y no puedo dejar de expresar la emoción que supuso

12

poder conectar en directo, nítidamente y sin interferencias, con decenas de jóvenes investigadores de todo el país, todos tan lejos y a la vez tan cerca. Les doy las gracias por abrirnos las puertas de sus institutos, sus casas, sus residencias universitarias. Su entusiasmo y confianza en el trabajo bien hecho traspasaron las pantallas desde las que los veíamos. Estoy seguro de que los resúmenes de sus investigaciones, que reunimos a continuación en este libro de actas, también traspasarán el papel e inspirarán a partir de ahora a los próximos jóvenes investigadores.

13 

CIENCIAS SOCIALES Y JURÍDICAS

PRIMER PREMIO |

- 16 -

Análisis del sector de plataformas de video bajo demanda (VOD) en USA. El caso de Disney+ ADRIÁN CALVES UBACH

SEGUNDO PREMIO |

- 30-42 -

Transición a la energía fotovoltaica en IES Pintor Antonio López RAMIRO JAVIER VALDÉS JARA

Juego en el Museo: Astronomía, Arte Rupestre y Gamificación JAVIER CANO SALCEDO

TERCER PREMIO |

- 56- 70 -

¿En qué medida factores climáticos y económicos afectan a la incidencia anual de malaria? Un estudio sobre Kenia, Nigeria e India VERÓNICA ROCHE GAMBARA

Los miércoles son de color verde lima: La prevalencia de la sinestesia en una muestra del centro peninsular PABLO FELIPE RUIZ ESPINOZA

ACCÉSIT |

- 84 -

- 96 -

De ciencia a pseudociencia: 6 letras entre la vida y la muerte ANA JOAQUINA CANDEL MARÍN

CEMSA: Análisis sobre el ahorro de emisiones de CO2 de una empresa energéticamente autosostenible en un periodo de 10 años ÓSCAR MARTÍNEZ ZAMORA Y FRANCISCO JOSÉ LORENTE MÍNGUEZ

- 109 -

El auge socio-económico a través de turismo rural: la Floración de Cieza un estudio del caso ÁNGELA MARÍN ORTIZ

15

Análisis del sector de plataformas de video bajo demanda (VOD) en USA. El caso de Disney+.

/ PRIMER PREMIO

AUTOR | ADRIÁN CALVES UBACH

COORDINADOR | EDUARDO ELOY MARSO OVEJAS

CENTRO | IES LUCAS MALLADA

CIUDAD | HUESCA

RESUMEN |

El trabajo consiste en un estudio sobre la empresa The Walt Disney Company, y el análisis de la decisión de introducirse, mediante la plataforma de contenidos Disney+, en el sector de las plataformas de video on demand (VOD). Un mercado que se encuentra en crecimiento, y que está sufriendo continuos cambios y entradas de competidores. En primer lugar, se realiza un análisis externo para conocer el entorno en el que opera la empresa, y establecer un diagnóstico de la situación. Esto se realiza en el marco de las cinco fuerzas competitivas de Michael Porter, llegando a la conclusión de que tanto intensidad de la competencia como la rentabilidad del sector son medias. A continuación, se realiza un análisis interno, descubriendo un gran conjunto de fortalezas, basadas principalmente en el hecho de que es una empresa con numerosas producciones cinematográficas y con una extensa trayectoria en el tiempo. Tras esto se recoge toda la información en una matriz DAFO, de forma que se puede entender y evaluar la situación de la empresa, así como conocer sus ventajas competitivas. Esto permite que se pueda determinar la idoneidad de la estrategia de Disney+, así como realizar algunas recomendaciones para mejorar el servicio, y obtener una mayor cuota de mercado.

ENCUENTRO INTERNACIONAL DE DEBATE CIENTÍFICO “INTERNATIONAL SWISS TALENT FORUM” EN
CIENCIAS SOCIALES Y JURÍDICAS REPRESENTANTE
SUIZA
 16

ABSTRACT |

This paper consists of a study about The Walt Disney Company, and the analysis of his decision of join, with the platform Disney+, the sector of video on demand platforms (VOD). It’s a market, which is growing, and that is undergoing many changes and entrances of new competitors. In the first place, it is being conducted an external analysis, in order to know the environment in which the company operates, as well as there is an established diagnosis about the situation. This is done in the framework of the five competitive forces of Michael Porter, with the conclusion of the intensity of competition is average, as many as the profitability. As a continuation of the work it is conducted an internal analysis in which are discovered a great amount of fortitudes, mainly based on the fact that The Walt Disney Company is a business which has a lot of films and series, and with a huge career. After that, all the information is gathered in a matrix FODA, which allows the understanding and evaluation of the business situation, just as it allows us to know competitive advantages. Finally, all this allows us to determine the suitability of the Disney+ strategy, at the same time that allows to conduct some suggestions in order to improve the service and get a bigger market quota.

CIENCIAS SOCIALES Y JURÍDICAS
 17

1. INTRODUCCIÓN

The Walt Disney Company (en adelante Disney) fue fundada en 1923 por Walt Disney. Dicha empresa se dedicaba a producir series cartoon para distribuidores. Sin embargo, sus contratos cesaron, obligando a Walter a conseguir su propio estudio y personaje, Mickey Mouse. Esto le trajo cuantiosa fama e ingresos, tras su estreno en 1928, lo que se incrementó tras la comercialización de merchandising en 1930 (D23, 2019). Sin embargo, no fue hasta 1950 que se embarca en un período de éxito, que derivó en la creación en 1955 de Disneyland, el primer parque temático de muchos. Tras la muerte de Walter la empresa comenzó a decaer, pero en los años ochenta debido a un nuevo ejecutivo que realizó innovadoras medidas, consiguió salir de la crisis (D23, 2019).

Tras esto, la empresa ha vivido su apogeo gracias en parte a una continua diversificación horizontal, realizando grandes adquisiciones como Pixar Animation Studios (2006), Marvel Entertainment (2009), Lucasfilm Ltd. (2012) y 21st Century Fox (2019) (D23, 2019). Estas adquisiciones le han permitido ostentar una nutrida y variada cartelera, que le ha permitido el 12 de noviembre de 2019 entrar en el sector estadounidense de las plataformas de Video On Demand (en adelante plataformas VOD) mediante su nuevo servicio, Disney+ (The Walt Disney Company, 2019).

1.1. MOTIVACIÓN

La motivación se debe principalmente al hecho, de que yo nunca había estudiado nada relacionado con la disciplina de la gestión empresarial, hasta que la descubrí en bachillerato. Esta materia me atrajo desde un comienzo, especialmente el área de Marketing y el entorno empresarial, por lo que decidí profundizar más en ella. Esto podía ayudarme a aclararme sobre la elección de mis futuros estudios universitarios. La circunscripción de mi investigación al sector de las plataformas VOD, se debe a que soy seguidor del cine y las series, especialmente de algunas franquicias de Disney, como Star Wars o Marvel. Además, este sector me parece muy interesante a nivel de análisis, ya que, en la actualidad, está sufriendo numerosos y constantes cambios. Tras conocer la decisión de The Walt Disney Company de introducirse en el sector de las plataformas VOD tuve claro el tema de mi investigación.

2. ANTECEDENTES

El tema de la investigación es muy actual impidiendo que hubiese muchos antecedentes, pues la plataforma Disney+ ni siquiera se había lanzado al inicio del curso, y de la investigación. Aunque actualmente, ya se encuentra disponible desde hace unos meses. Tampoco hay muchas investigaciones académicas sobre el sector de las plataformas VOD, ya que la aparición de estas es de hace escasos años, la primera, Netflix. Por tanto, las escasas investigaciones académicas previas se refieren al sector y a Netflix, y no a Disney+. Ejemplo es el “Análisis del uso de estrategias de crecimiento en Netflix” de Emma Rufete de

18
32º CERTAMEN JÓVENES INVESTIGADORES / Ciencias Sociales y Jurídicas

Análisis del sector de plataformas de video bajo demanda (VOD) en USA. El caso de Disney+. la Universidad de Elche (2015-2016), trabajo con el que se comparte la estructura, tratándose ambas investigaciones de un análisis interno y externo, para determinar y evaluar la estrategia, pero en este caso el trabajo no trata de Netflix, sino de Disney+. También se encontró el trabajo de Alejandra Páez, “El paradigmaNetflixcambiosenlacadenadevalordelaindustriadelatelevisión frente a la aparición de la TV online” publicado en 2017 en la revista académica Viator, que ilustra el cambio que está viviendo la industria cinematográfica. Otro antecedente sería “Comunicación y tendencias de futuro en el escenario digital: el universo “sisomo” el caso de la plataforma Netflix” de Cristina del Pino y Elsa Aguado (2012) de la Universidad de Sevilla y de la de Málaga, que nuevamente trata el sector desde el punto de vista de Netflix, pero que también explica el universo “sisomo”, el cual está muy en relación con los productos de Disney+. A pesar de esto, los antecedentes más importantes, no son referentes al sector, sino que son el libro de Michael Porter (Porter, 2008), y el modelo práctico de Michael E. Dobbs (Dobbs, 2014).

2.1. MODELO DE LAS CINCO FUERZAS COMPETITIVAS DE MICHAEL PORTER

El modelo de Porter es una síntesis de todos los aspectos que influyen en la intensidad de la competencia en un sector de actividad y en la rentabilidad de este. Dicho modelo se basa en la división del análisis estratégico en cinco fuerzas que afectan de una forma determinada al sector que se detallan a continuación.

En primer lugar, el grado de rivalidad de competidores existentes. Se podría decir que el grado en el que desciende el potencial de beneficio de una industria depende principalmente de la intensidad de la competencia y de la base sobre la que se compite, es decir, las dimensiones sobre las que se produce. Sobre dichas dimensiones destacan por una parte el precio, que provoca continuas represalias por parte de la competencia, y por otro lado, cuando se compite por el mismo nicho, lo que provoca en ambos casos un gran descenso en la rentabilidad (Porter, 2008, p. 48-51).

En segundo lugar, la amenaza de entrada de nuevos competidores. Si entrasen nuevos competidores tratarían de obtener una cuota de mercado, ejerciendo presión en los precios, costes y el índice de inversión necesario para competir. Es decir, un límite al potencial de beneficios de la industria, dado que las empresas que ya se encuentran en el sector, deberán incrementar la inversión o reducir los precios para frenar a los nuevos competidores, lo que acabará influyendo a la rentabilidad si no existen fuertes barreras de entrada (Porter, 2008, p. 37-43).

También se tiene en cuenta la amenaza de productos sustitutivos, la cual puede hacer que se resienta la rentabilidad de la industria, pues colocan un techo a los precios, y obliga a la industria a diferenciarse de los sustitutivos o perder rentabilidad y capacidad de crecimiento (Porter, 2008, p. 47-48). Además, el modelo estudia la influencia de los proveedores, pues estos acaparan un valor para sí mismos, pues tratarán de sacar la máxima rentabilidad a la industria, especial-

19

CERTAMEN JÓVENES INVESTIGADORES / Ciencias Sociales y Jurídicas

mente si esta no puede traspasar el incremento del coste al precio final (Porter, 2008, p. 43-44).

La última fuerza que interviene en el análisis es la influencia de los clientes, pues nuevamente querrán acaparar más valor, tratando de enfrentar a los distintos stakeholders de las industrias, forzando bajadas de precio o mejor calidad. Su influencia dependerá principalmente de su capacidad de negociación, lo que depende en su mayoría de la sensibilidad a los precios (Porter, 2008, p. 44-46).

2.1.1. LIMITACIONES DEL MODELO DE PORTER

El modelo de Porter es muy teórico y cualitativo. Esto puede ocasionar que en su aplicación influya en demasía la arbitrariedad, perdiendo el rigor en el análisis. Esto deriva en el riesgo de llegar a realizar un análisis superficial del entorno, que incluso puede llevar a una pobre toma de decisiones con desastrosas consecuencias para la empresa. Además, según lo estructura Porter en su libro, (Porter, 2008, p. 44-46) las relaciones entre las cinco fuerzas y las acciones estratégicas son explicadas por partes, dificultando así su accesibilidad y uso, provocando que las fuerzas sean utilizadas para medir lo atractiva que es una industria, en lugar de su propósito original. Debido a esto, para ser usado en el análisis se ha decidido buscar una aplicación práctica del modelo de Porter.

2.1.2. EXPLICACIÓN DE LA APLICACIÓN PRÁCTICA DEL MODELO DE PORTER

El modelo de Michael E. Dobbs se plasma en una plantilla estructurada en cinco apartados, cada uno dividido entre seis y ocho factores, denominados causas de amenazas. Dichos factores han sido determinados por el estudio de los trabajos de Porter desde 1980 hasta 2008, y en estudios de otros investigadores (Dobbs, 2014).

Además, cada factor tiene una barra indicadora, dividida en once puntos, del 0 al 10. Se debe redondear uno de estos en función del valor de la causa de amenaza que se esté analizando, siendo 10 el máximo y 0 el mínimo. También hay un apartado para evidenciar el valor otorgado (Dobbs, 2014). Cabría destacar que también hay unos factores de dirección. Estos se pueden señalar marcando las casillas de la izquierda de las causas de amenazas, y varían dependiendo de la industria. Los factores de dirección tienen un mayor peso en la fuerza del sector, y es por eso que deben cuantificarse más que el resto. Debido a esto, en el análisis se ha hecho que sean ponderados el doble que el resto de factores (Dobbs, 2014).

Finalmente, la plantilla permite incluir las amenazas y oportunidades en las que debería enfocarse la empresa. Esto debe deducirse de las conclusiones obtenidas anteriormente. Este apartado ha sido añadido para ayudar en el desarrollo de respuestas a las presiones de las industrias mejorando la competitividad y beneficios, y será de utilidad para la elaboración de la matriz DAFO (Dobbs, 2014).

20 
32º

Análisis del sector de plataformas de video bajo demanda (VOD) en USA. El caso de Disney+.

3. HIPÓTESIS Y OBJETIVOS DE LA INVESTIGACIÓN

Esta monografía pretende dar respuesta a la cuestión “¿En qué medida puede tener éxito la estrategia de Disney de introducirse en el sector de plataformas VOD en USA?”. La hipótesis inicial es que Disney tendrá éxito en el sector, pues según los antecedentes, este se encuentra en una etapa de crecimiento, en la cual está arrebatando cuota de mercado a otras alternativas como la TV tradicional. Además, según los antecedentes es un mercado rentable, por lo que aportará importantes ingresos. Aunque la competencia será alta, precisamente por la entrada de nuevos competidores. Los objetivos a alcanzar han sido:

• Conocer el modelo de fuerzas competitivas de Porter, marco teórico fundamental para analizar la competencia en un sector de actividad.

• Investigar y analizar el sector de plataformas VOD en USA.

• Conocer y analizar la estrategia llevada a cabo por Disney para introducir se en el sector de plataformas VOD en USA.

• Elaborar y analizar la matriz DAFO de Disney+

• Evaluar en qué medida puede tener éxito el lanzamiento de Disney+ en USA.

4. METODOLOGÍA DE LA INVESTIGACIÓN

Para lograr dichos objetivos, se utilizaron las fuentes secundarias citadas en la Bibliografía. El estudio se ha basado principalmente en el análisis del entorno específico del sector realizado mediante una aplicación práctica (Dobbs, 2014) del modelo de las cinco fuerzas competitivas de Michael Porter (Porter, 2008) (en adelante modelo de Porter). Además, para hallar una respuesta sobre si puede o no tener éxito el lanzamiento de Disney+ se vio necesario el análisis interno de la empresa que junto al análisis del entorno específico ha dado lugar a la elaboración de una matriz DAFO, herramienta clave para responder a la pregunta formulada.

5. ANÁLISIS DEL SECTOR DE PLATAFORMAS VOD EN USA A TRAVÉS DE LAS FUERZAS COMPETITIVAS DE PORTER

5.1. GRADO DE RIVALIDAD ENTRE LOS COMPETIDORES EXISTENTES

El sector de las plataformas VOD ha sufrido un importante aumento en los últimos años, en detrimento de la televisión tradicional (Sofía, 2017). Y es que este sector ha conseguido que las empresas y majors (Pol, 2010) estadounidenses, que en un comienzo se negaban a comercializar sus productos a través del streaming, cedan finalmente a ello, suponiendo la rentabilidad del sector cinematográfico y televisivo de Estados Unidos, y el freno a la piratería (Del Pino et al., 2012).

Debido a esto en la actualidad hay varias empresas que están introduciendo sus nuevos servicios en el sector, Apple TV+, HBO Max, Peacock, CBS All Access, y Disney+ (Del Pino et al., 2012).

21 

CERTAMEN JÓVENES INVESTIGADORES / Ciencias Sociales y Jurídicas

Tras examinar la fuerza se puede concluir que hay un alto grado de rivalidad entre los competidores existentes. Esto se debe a que es un sector en constante crecimiento (100% en 9 años (J.C, 2019), con previsión de una cuota del 45% en EE. UU para el 2023 (Sánchez, 2019)), y en el que se encuentran varios y potentes competidores (Netflix, HBO, Amazon Prime Video, etc…) (Marvin, 2019).

También hay que tener en cuenta que se les exige un importante esfuerzo económico. Las empresas gastan tan solo en almacenamiento en la nube 100 millones $/año (Seward, 2014). Además de la inversión en creación de contenido o en conseguir derechos de emisión (Neira, 2019), decisión que en este momento es vital. Esto se debe a que existe una gran diferenciación de los productos, teniendo una cartelera muy variada (JustWatch, 2019), que actualmente tiende a los originales, productos que solo se encuentran en una plataforma, haciendo que tengan aún menos en común. Sin embargo, tienen la ventaja de que no sufrirían grandes consecuencias por su salida, más allá de dañar su imagen (García, 2012-2013).

Esto obliga a las empresas a tomar medidas para mantener la cuota de mercado, por lo que deben mantener un precio bajo, desarrollar nuevos productos, mejorar sus servicios e incrementar sus campañas de marketing, obteniendo una mayor eficacia en sus actuaciones.

5.2. AMENAZA DE ENTRADA DE NUEVOS COMPETIDORES

Analizando la fuerza se puede determinar que la amenaza de entrada de nuevos competidores es media-alta. Esto se debe a la facilidad de acceso a los canales de distribución (datos e internet), y la presión que se ejerce sobre algunos proveedores de servicios de Internet que distribuyen su contenido. Sin embargo, esta entrada en los canales de distribución necesita una previa inversión en I+D, que los nuevos competidores tendrán que realizar (Rufete, 2015-2016). Así como a los reducidos costes de cambio del sector, gracias a que se basa en el alquiler de producciones audiovisuales (Marvin, 2019) y almacenamiento (Hoff, 2018).

No obstante, afectan también en gran medida (Rufete, 2015-2016) las economías de escala y la regulación, que está comenzando a endurecerse, principalmente mediante los impuestos, que hasta ahora no pagaban las plataformas VOD (Barry, 2019). Esto junto con el gran capital requerido para iniciar una empresa en este sector (Marvin. 2019), provoca que sea más complicada la entrada de nuevos competidores.

Esta amenaza provoca cierta presión en los precios, y en los costes necesarios para mantener a los nuevos competidores fuera de la industria. Sin embargo, se puede considerar que los competidores actuales no están pagando los costes necesarios para mantener fuera a los nuevos competidores, pues en la actualidad están entrando nuevos competidores como Disney+ (Pallota, 2019), o Quibi (Guerrero, 2019).

22 
32º

Análisis del sector de plataformas de video bajo demanda (VOD) en USA. El caso de Disney+.

5.3. AMENAZA DE PRODUCTOS SUSTITUTIVOS

Tras el análisis de la fuerza se concluye que la amenaza de productos sustitutivos es media-alta. Esto se debe principalmente a que la sensibilidad del comprador es muy baja, y esto es mostrado por el hecho de que algunos servicios no han visto reducida sus suscripciones a pesar de su aumento en el precio, e incluso se ha incrementado el valor de las acciones (Pérez, 2019).

No obstante, la gran oferta está comenzando a provocar un aumento en la piratería, lo contrario a lo que sucedía cuando la mayoría de contenido se concentraba en pocas plataformas (Del Pino et al., 2012). Este cambio se debe a que no es asumible para la mayoría de los hogares mantener varias plataformas VOD, pero tampoco quieren renunciar a ver todas las series (El Mundo, 2018). Esto podría provocar serios problemas en un futuro, pues es un sustituto perfecto y gratis, lo cual es muy difícil de encontrar en un sector tan diverso como es el ocio. No obstante, esta opción carece de ética, por lo que los productos sustitutivos más perfectos serían el cine, pero tiene un mayor precio (Orús, 2019) y no tiene tanta flexibilidad de horarios ni contenido, y la televisión tradicional que tiene las mismas desventajas que el cine, pero es gratis, por lo que en sí no hay un producto sustitutivo perfecto. Esto es debido principalmente al nuevo perfil del cliente, que quiere elegir qué quiere ver y cuándo, lo que provoca una gran inversión para que los contenidos sean del agrado del espectador y un mayor riesgo para la empresa (Rufete, 2015-2016), lo cual se ve incrementado por el hecho de que no haya costes de cambio (Conner, 2019).

Esta amenaza provoca que existan límites en los precios, y se incrementen los costes en el marketing y mejora del servicio, de forma que no se desee cambiar a un producto sustitutivo.

5.4. PODER NEGOCIADOR DE LOS PROVEEDORES

El análisis de la fuerza nos muestra que el poder negociador de los proveedores es medio. Esto es debido principalmente a que, aunque no hay una ingente cantidad de servicios de almacenamiento en la nube, sí hay suficientes como para que exista cierta competencia (Ionos, 2019), (gracias a la gran rentabilidad de estos servicios (Novet, 2019) y a que hay numerosos actores y profesionales del cine (Sag-Aftra, 2019), así como de contenido (Such, 2018), permitiendo la existencia de una gran cantidad de proveedores.

No obstante, las plataformas VOD tienen muy pocas opciones para sustituir a los proveedores de contenido, pues en estos momentos es un mercado oligopolista (García, 2012-2013), así como de cambiar el modelo de almacenamiento, lo cual es muy costoso desde el punto de vista económico y medioambiental (Seward, 2014). También es una importante amenaza que sea viable la integración hacia delante de los proveedores, permitiendo un mayor control sobre la cadena de valor, y la posibilidad de ahorrar en costes, como es el caso de AWS y Prime Video (Hoff, 2018). Además, los productos tecnológicos de los proveedores no están muy

23 

32º CERTAMEN JÓVENES INVESTIGADORES / Ciencias Sociales y Jurídicas

diferenciados (Ionos, 2019), y los costes por cambiar de proveedor, prácticamente no afectan a los proveedores, puesto que los ingresos por parte de las plataformas VOD no suponen una parte importante de su mercado (García, 2012-2013).

Este poder negociador les permite a los proveedores exigir precios relativamente altos, a cambio de unos buenos servicios y calidad.

5.5. PODER NEGOCIADOR DE LOS CLIENTES

Se puede entender mediante el estudio de la fuerza que el poder negociador de los clientes es medio-bajo. Esto se debe principalmente a que los productos de la industria son muy diferenciados (JustWatch, 2019), pero tienen la posibilidad de cambiar de servicio con mucha facilidad, pues no sufren ningún coste por ello (Conner, 2019).

Además, se ha de tener en cuenta que el mercado es muy grande, con millones de clientes en él (Fiegerman, 2019) y que el coste para un estadounidense medio alcanza el 0,36% de su salario, siendo por tanto un porcentaje muy pequeño (Expansión, 2019). No obstante, tiene un gran impacto en su vida, pues se gasta entre 2 y 7 horas diarias, dependiendo la franja de edad (Clark, 2019), además, de que permite mucho tiempo de ocio por un bajo precio, pues solo Netflix tiene 32.600 horas en su catálogo (ABC, 2019). También se ha de destacar, que el consumidor no tiene otra opción pues sería imposible una integración vertical hacia atrás por su parte.

Esto permite a las empresas que suban los precios, y que mantengan una menor competencia entre sí.

5.6. GRADO DE COMPETENCIA DEL SECTOR

El resultado de la tabla 6 muestra que el grado de intensidad y rentabilidad del sector es medio, un valor de 4,58 sobre 10. Esta se ha realizado siguiendo el procedimiento anteriormente explicado. Debido a esto se podría decir que es factible y recomendable entrar en el sector, pues se va a conseguir una buena rentabilidad por un esfuerzo medio.

Por tanto, es lógico que Disney quiera introducirse en el sector. No obstante, debe seguir una estrategia para poder posicionarse de forma favorable, consiguiendo algún tipo de ventaja frente a sus competidores.

6. ANÁLISIS INTERNO

El análisis interno permite fijar las fortalezas y debilidades de una organización. Los puntos fuertes son aquellos aspectos positivos internos de la empresa que suponen una ventaja comparativa frente a sus competidores.

24 

Disney ha obtenido progresivamente diversos y muy reconocidos estudios cinematográficos, en una diversificación horizontal continua (D23, 2019). Esto le ha permitido que tenga una gran y variada cartelera, que incluye entre otras las cinco últimas películas más taquilleras del año (Rodríguez, 2019). Cabe destacar que tres de estas cinco películas han sido remakes (Aladdín, El Rey León) o continuaciones de franquicias anteriores (Toy Story).

Y es que muchos de los productos de esta cartelera tienen gran conexión emocional con los consumidores, pues les recuerda a su infancia, lo que provoca que los clientes estén dispuestos a suscribirse a Disney+ (Aten, 2019). De hecho un 42% de las personas se ven inclinadas al servicio por sus antiguos títulos (Frankel, 2019) y esto es algo que Disney+ está intentando aprovechar.

Tampoco se ha de olvidar que sus productos provocan un gran asombro, y que transportan al espectador a mundos distintos (Aten, 2019), lo que tiene relación con la realidad “sisomo”, que actualmente tiene gran importancia y provoca nuevamente emociones que enlazan a los clientes con el producto (Del Pino et al., 2012). La influencia de ello queda claramente demostrada con los resultados de las franquicias de Star Wars o Marvel, que suman 11 de las 25 películas más taquilleras de la historia (González, 2019), pues crean un gran impacto emocional a través de imágenes, sonidos y movimientos espectaculares.

Son precisamente dichas franquicias las primeras que ha querido explotar Disney+ para producir su contenido original, por lo que han confirmado varias series como The Falcon and the Winter Soldier o What if? (Boyle et al., 2019). No obstante, de las actualmente estrenadas solo una ha sido un éxito, The Mandalorian (Sama, 2019)¸ que se ha convertido en la serie más pirateada de 2019 (Pérez, 2019). Esto quiere decir que Disney+ debe comenzar a innovar y estrenar series tanto nuevas como de franquicias antiguas que atraigan, pues actualmente es un almacén de viejos éxitos (Sama, 2019), teniendo por tanto una cartera de productos obesa.

Otro aspecto a mejorar por parte de Disney+, (en pro de obtener la triple bottom line), sería su alta huella ambiental, las plataformas VOD emiten por media hora de una película 1’6 kg de CO2 (Rodríguez, 2019). Esto es importante no solo por la ética que toda empresa debe tener, sino también porque puede verse afectada negativamente sino tiene unas buenas prácticas medioambientales (Vintró et al.) en su RSC, ya que actualmente la preocupación social por el medioambiente se está viendo incrementada (Gallego, 2019). Además, se ha de mencionar que Disney ha realizado acciones que afectan negativamente a sus competidores, intentando que tengan dificultades para mantenerse en el sector, y tratando que Disney+ obtenga ventajas competitivas. Esto se muestra por diversas decisiones que ha tomado. Ejemplo claro es el hecho de que todas las series y películas de Disney vayan a dejar Netflix para estar únicamente disponibles en Disney+ (El Universal, 2017). Pero también otros movimientos como la contratación de Matt Brodlie, exdirector de originales de Netflix (Palmer,

25 
Análisis del sector de plataformas de video bajo demanda (VOD) en USA. El caso de Disney+.

CERTAMEN JÓVENES INVESTIGADORES / Ciencias Sociales y Jurídicas

2019), permitiéndoles tener gente con experiencia y mermar el capital humano de su mayor competidor.

Aunque también está llegando a acuerdos con algunos competidores como con Amazon en busca de un desarrollo de mercado. De forma que Disney+ esté disponible en Fire TV y las plataformas compatibles propiedad de Amazon, a cambio de más anuncios en las cadenas de Disney (Álvarez, 2019). Sin embargo, a los competidores que no tienen nada que ofrecer a Disney+ como es Netflix se les ha prohibido anunciar en cualquiera de los canales propiedad de Disney (ABC, Freeform, Fox, etc…), dificultando en gran medida la variable comunicación del marketing mix de sus competidores, pues el público objetivo de estos se encuentra precisamente en los consumidores de TV, que no quieren ver anuncios (Álvarez, 2019).

Finalmente, cabría mencionar el efecto de todas estas decisiones en sus competidores, y es que Netflix ya ha perdido un millón de suscriptores por culpa de Disney+ al cual se habrían dado de alta (González, 2019), sin tener en cuenta los efectos que tendrán a largo plazo algunas decisiones como el ver limitada su variable comunicación.

7. ANÁLISIS DAFO

A partir del análisis realizado, interno y externo, el siguiente paso ha consistido en elaborar una matriz DAFO que resume las amenazas y oportunidades detectadas a través del modelo de Porter, y las fortalezas y debilidades detectadas en el análisis interno.

Dicho análisis permite observar claramente que Disney+ tiene una mayor cantidad de fortalezas y oportunidades, con un mayor peso que las amenazas y debilidades, por lo que es recomendable que realice una estrategia ofensiva, tratando de utilizar los puntos fuertes para aprovechar las oportunidades.

Esto es precisamente lo que está haciendo Disney+ ha utilizado su inmensa (D23, 2019) y reconocida (Frankel, 2019) cartelera, para poder crear un servicio de plataformas VOD, y llevarse varios títulos de los catálogos de sus competidores (El Universal, 2017), aprovechando la amplia cuota de mercado sin ocupar (Sánchez, 2019), y el hecho de que el sector se encuentre en la etapa de crecimiento (J.C 2019). Además, gracias a sus inversiones ha eliminado algunas de las amenazas más importantes, no tiene una inversión inicial tan grande (Marvin, 2019), porque ya dispone del contenido suficiente, permitiéndole tener un precio menor que el resto (Gaspar, 2019). También está usando sus canales televisivos para llegar a acuerdos que le beneficien o para poner dificultades a sus competidores (Álvarez, 2019). Finalmente, está aprovechando la conexión emocional (Aten, 2019) y con la realidad sisomo (Del Pino et al, 2019) de sus productos, para crear nuevo contenido que atraiga, tratando de hacer que su cartelera deje de ser obesa (Sama, 2019).

32º
26 

8. CONCLUSIONES

En conclusión, se puede determinar que la estrategia de Disney tendrá éxito. El sector tiene una intensidad de la competencia media, y unas dimensiones muy grandes. Debido a esto, será necesaria una inversión importante, y en un principio, no tendrán grandes beneficios, siendo necesarios grandes esfuerzos de marketing para conseguir una cuota de mercado suficiente, para tener beneficios. No obstante, Disney tiene el capital necesario para realizarlo (Disney, 2019), además de una gran y atractiva cartera de productos, y canales de televisión, que le permiten seguir una estrategia ofensiva fructífera, eliminando así varias amenazas y aprovechando oportunidades en pro del éxito de Disney+. Además, la rentabilidad del sector es media, por lo que en un tiempo comenzará a tener beneficios, aunque se ha de tener en cuenta que el modelo de negocio de Disney se basa en sus parques temáticos y licencias de uso (Euge, 2018), y que Disney+ le servirá principalmente como herramienta para atraer a más público para ello, por lo que los beneficios monetarios de Disney+ no son, ni serán tan importantes, como los que traerá al mantener y crear nuevos fans.

Este éxito ya se muestra en sus primeros resultados puesto que empieza a conseguir una importante cuota de mercado, en un mes ya tiene 24 millones de suscriptores (Spangler, 2019), y ha provocado consecuencias negativas en sus competidores, las cuales incrementarán conforme lo haga el catálogo y variedad disponible en Disney+. Aunque para ello debe intentar realizar algunos cambios en su estrategia, realizando un desarrollo de productos, para dejar de tener únicamente viejos éxitos ya vistos.

Sin embargo, se ha de destacar algunas limitaciones encontradas a lo largo de la investigación, especialmente en la búsqueda de datos, y es que, debido a la actualidad del tema, apenas existen publicaciones académicas sobre Disney+ Esto, junto con la inexistencia de fondos, ha provocado la necesidad de recurrir a un método cualitativo no experimental, centrando la búsqueda en los contenidos publicados por medios generalistas y temáticos. Debido a esto, el trabajo se basa en una revisión hemerográfica, y en el análisis y verificación de la información publicada por las empresas. No obstante, el marco teórico está basado en manuales y artículos académicos, y se encontraron artículos científicos sobre el sector de las plataformas VOD, aunque estos principalmente centrados en Netflix. Además, se han de mencionar las limitaciones derivadas del propio modelo expuestas en el apartado 2.1.

Debido a la actualidad del tema constantemente se encontraba nueva información. No obstante, en pro de ofrecer resultados sólidos respecto al análisis interno se ha visto necesario que el periodo de vida de Disney+ analizado sea reducido, finalizando este el 31 de diciembre de 2019. A pesar de esto, sí se ha conseguido ver tendencias interesantes y claves para pronosticar el posible éxito de la plataforma, al igual que algunas mejoras. Finalmente, se han de mencionar las limitaciones del análisis DAFO, y es que, aunque es útil, es un análisis simplista y estático, por lo que su vida útil es corta, y requiere ser combinado con otras herramientas estratégicas.

27 
Análisis del sector de plataformas de video bajo demanda (VOD) en USA. El caso de Disney+.

32º CERTAMEN JÓVENES INVESTIGADORES / Ciencias Sociales y Jurídicas

9. AGRADECIMIENTOS

A Eduardo Marso Ovejas, mi profesor de economía de la empresa, y el tutor del trabajo, que me ha acompañado en la realización de este.

28 

Análisis del sector de plataformas de video bajo demanda (VOD) en USA. El caso de Disney+.

10. BIBLIOGRAFÍA

Estas fueron algunas de las fuentes consultadas.

Del Pino, C. & Aguado, E. (2012): Comunicación y tendencias de futuro el escenario digital: el universo “sisomo” y el caso de la plataforma Netflix. Depósito de Investigación Universidad de Sevilla de https://idus.us.es/handle/11441/36498;jsessionid=E4281DDFC5FCB9827A07BB76B507F154

Dobbs, M. (2014): Guidelines for applying Porter’s five forces framework: a set of industry analysis templates. Competitiveness Review, Vol. 24 lss 1 pp. 32-45. Emerald Group Publishing.

Porter,M.(2008):Sercompetitivo:Ediciónactualizadayaumentada,Barcelona, España, Grupo Planeta.

Hoff, T. (2018): La compleja infraestructura detrás de Neflix: ¿Qué pasa cuando le das al “play”?. Xataka de https://www.xataka.com/streaming/la-compleja-infraestructura-detras-de-netflix-que-pasacuando-le-das-al-play.

Marvin,R.(2019):TheNewEntertainmentGiants:WelcometotheStreaming-Industrial Complex. PC Mag de https://www.pcmag.com/news/367423/ the-new-entertainment-giants-welcome-to-the-streamingindus

Páez, A. (2017): El paradigma Netflix cambios en la cadena de valor de la industria de televisión frente a la aparición de la TV online. Viator: Revista científica de comunicación desde los bordes, Nº 4. De http://revista.fhycs. unju.edu.ar/revistaviator/index.php/viator/article/view/32/30

Rufete, E. (2016). Análisis del uso de estrategias de crecimiento de Netflix [Tesis de pregrado]. Universidad Miguel Hernández de Elche, España.

Nota: Debido a la falta de espacio no se ha mostrado toda la bibliografía, ni anexos.

29 

REPRESENTANTE CERTAMEN RUSO “STEP INTO THE FUTURE”

Transición a la energía fotovoltaica en IES Pintor Antonio López

/ SEGUNDO PREMIO

AUTOR | RAMIRO JAVIER VALDÉS JARA

COORDINADOR | RAÚL MARTÍN GÓMEZ CENTRO | IES PINTOR ANTONIO LÓPEZ

CIUDAD | TRES CANTOS-MADRID

RESUMEN |

En la actualidad, las energías renovables se han situado en el centro de la transición energética hacia un modelo más sostenible. Esto se debe a las políticas adoptadas por los diferentes países para reducir los efectos del cambio climático. Las energías renovables se presentan como una solución para poder resolver los problemas de la generación de energía contaminante y, al mismo tiempo, producir un ahorro. Este proyecto presenta un estudio sobre la rentabilidad de la utilización de la energía fotovoltaica para alimentar las necesidades de un centro escolar. Gracias a las recientes medidas a favor del autoabastecimiento y al continuo abaratamiento y desarrollo de la tecnología renovable, este tipo de proyectos se vuelven cada vez más viables y rentables, favoreciendo así la transición energética y dotando al usuario de la posibilidad de ser energéticamente independiente.

Palabras clave: Energía fotovoltaica, proyecto, centro escolar, rentabilidad, inversión.

CIENCIAS SOCIALES Y JURÍDICAS
 30

ABSTRACT |

Nowadays, renewable energy has become the centre of energy transition towards a more sustainable model, due to policies adopted by different countries, in order to reduce the effects of climate change. Renewable energies are presented as a solution to solve the problems of the generation of polluting energy and, at the same time, produce savings. The aim of this project is to use this type of energy to feed the requirements of a high school from the electricity grid. Thanks to the recent arrangements in favour of self-supply and due to the continuous development of the renewable technology, this type of projects is increasingly viable and profitable, favouring the energy transition and giving the opportunity of energetic independence to the user.

Key words: Photovoltaic solar energy, project, school, profitability, investment.

CIENCIAS SOCIALES Y JURÍDICAS
31 

CERTAMEN JÓVENES INVESTIGADORES / Ciencias Sociales y Jurídicas

1. INTRODUCCIÓN

La demanda energética mundial ha crecido significativamente en los últimos años. El incremento poblacional, aumento del producto interior bruto, mejora de las economías nacionales, son factores que incrementan la demanda energética. Paralelamente, hay una fuerte tendencia en la búsqueda de procesos más eficientes desde el punto de vista energético y, principalmente, la reducción de emisiones contaminantes a escala global.

Buena parte de las emisiones de gases contaminantes proceden de la generación de energía eléctrica por combustión. Los métodos tradicionales, como la quema de combustibles fósiles, siguen siendo la principal fuente de energía del mundo. Para cambiar este escenario, países de todo el mundo han concentrado sus esfuerzos en la búsqueda de fuentes alternativas de energía menos contaminantes, como las energías renovables.

1.1. OBJETIVO DEL PROYECTO

El objetivo del presente documento es realizar un estudio sobre la energía eléctrica del instituto de enseñanza secundaria IES Pintor Antonio López situado en Tres Cantos, Madrid y su transición a la energía fotovoltaica, desde el punto de vista de la rentabilidad económica para el Centro.

Para ello, el documento introduce al lector sobre el panorama fotovoltaico actual, una breve mención a los conceptos económicos utilizados en el proyecto, el desarrollo económico de la propuesta de utilización de paneles solares fotovoltaicos y la hipótesis de creación de una empresa privada, como instrumento para dotar de viabilidad el proyecto desde el punto de vista económico.

2. LA ENERGÍA FOTOVOLTAICA

La energía eléctrica generada mediante paneles solares fotovoltaicos es inagotable y no contamina, por lo que contribuye al desarrollo sostenible. Asimismo, puede aprovecharse de dos formas diferentes: puede venderse a la red eléctrica o puede ser consumida en lugares aislados donde no existe una red eléctrica convencional. Por lo tanto, es un sistema particularmente adecuado para zonas geográficas cuya climatología permite muchas horas de sol al año.

2.1. NORMATIVA ACTUAL ACERCA DE LA TECNOLOGÍA FOTOVOLTAICA

El pasado 5 de abril de 2019 se publicó el Real Decreto 244/2019, por el que se regulan las condiciones administrativas, técnicas y económicas del autoconsumo de energía eléctrica en España. Se ha evolucionado de un sistema regulado, en el cual no se facilitaba ser un generador de energía, a un sistema en el cual se le permite al ciudadano y a las empresas generar su propia energía, situándolos en el centro de la transición energética. A continuación, se destacan las principales características recogidas en este nuevo decreto:

32º
32 

• Simplificación administrativa:

Los trámites necesarios para que la instalación sea aceptada se han simplificado, y en la mayoría de los casos se reduce a una única gestión.

• Eliminación de tasas o impuestos: Se elimina cualquier tipo de tasa o impuesto a la generación de energía eléctrica.

• Sistema de compensación:

Los excedentes que genere el productor pueden ser vertidos a la red, y esta, a través de las comercializadores compensará este vertido a final de mes.

3. PROYECTO SOLAR FOTOVOLTAICO

3.1. ESTUDIO DEL RECURSO SOLAR

A la hora de llevar a cabo una instalación de autoconsumo de energía, un factor crucial, es estudiar el recurso solar en la zona, ya que gran parte de la energía la vamos a producir a través de paneles fotovoltaicos. Este estudio nos va a permitir conocer la cantidad de energía de la que disponemos en la ubicación donde hemos situado el proyecto. Esta evaluación se puede hacer a través de bases de datos de satélites o a través de bases de datos de estaciones terrestres.

Para más precisión, vamos a tener en cuenta los datos de la base de datos PVGIS, que se trata de un sistema de información geográfica por satélite que lleva recogiendo datos desde el año 1986 y tiene una resolución de 1 x 1 en kilómetros.

La irradiación solar es la magnitud que mide la energía por unidad de área de radiación solar incidente en una superficie colocada en un lugar y rango de tiempo.

3.2. INCLINACIÓN

La inclinación de los paneles fotovoltaicos es un aspecto muy importante que considerar debido a que nos ayuda a aumentar la irradiancia recibida sobre los paneles fotovoltaicos, ya que esta es máxima cuando los rayos solares inciden en el panel de forma perpendicular. La inclinación óptima varía según el mes del año, siendo mayor para los meses de invierno que para los meses de verano debido a la posición del sol en la bóveda terrestre.

Por otro lado, para ser más precisos, la herramienta web PVGIS1 nos proporciona el ángulo óptimo de inclinación para los distintos meses del año y la media

33 
1 PVGIS es una calculadora de energía solar fotovoltaica gratuita en línea para sistemas autónomos o conectados a la red de sistemas y plantas fotovoltaicas. Simulación de generadores de electricidad solar y mapas de radiaciones solares. Transición a la energía fotovoltaica en IES Pintor Antonio López

CERTAMEN JÓVENES INVESTIGADORES / Ciencias Sociales y Jurídicas

aritmética de estos. Una vez especificada la ubicación exacta, la inclinación óptima que PVGIS nos proporciona para todo el año es de 36º.

A continuación, vamos a utilizar el valor de la inclinación óptima para hallar la irradiación global que tenemos con dicho ángulo. Para ello utilizaremos la herramienta online por satélite PVGIS. Vamos a calcular los valores de irradiación global inclinada a 36º, con los que se va a caracterizar la instalación y con los que trabajaremos más adelante. La inclinación óptima de los paneles para todo el año se sitúa en torno a los 36º, pero se quiere estudiar la posibilidad de usar una inclinación mayor, de 45º o 50º, para recibir mayor irradiación en los meses en los cuales se suele recibir menos.

Tabla 1 (izq)

Irradiación global inclinada 36 º.

Tabla 2 (drch)

Irradiación global inclinada 50º.

Elaboración propia. Fuente: PVGIS.

Como se puede apreciar la inclinación de 50º nos da mayor irradiación en los primeros y últimos meses del año con respecto a la inclinación de 36º y menor en el resto de los meses. Diciembre y enero son los meses que menos irradiación reciben. Si utilizamos la inclinación óptima de 36º, estos meses sufrirán escasez, por lo tanto, podemos aumentar la inclinación a 50º para conseguir mayores irradiaciones en dichos meses, asumiendo que los niveles de irradiación en los meses que suelen recibir más radiación disminuirán. Por otra parte, el consumo de electricidad en los meses de diciembre y enero es mayor que en los meses de junio, julio y agosto con lo que aumentar la inclinación por encima de los 36º resulta rentable.

32º
34 

3.3.

ANÁLISIS FACTURA ACTUAL

Los términos más importantes de la factura eléctrica son:

• La potencia2 contratada por el usuario, que se multiplica por la cantidad de kilovatios (kW) y que refleja la parte fija que se tiene que pagar incluso aunque no se realice consumo alguno.

• El consumo, define el precio que vamos a pagar por la energía utilizada durante un periodo de tiempo definido.

3.4. TOMA DE DECISIÓN DE ELEMENTOS DE LA INSTALACIÓN FOTOVOLTAICA

Para tomar la decisión de elementos que componen la instalación fotovoltaica hemos tomado referencia en empresas grandes en el sector solar. Finalmente hemos decidido utilizar la empresa Autosolar. Para conseguir un precio económico y poder hacer una inversión en la compra de todos los elementos, hacemos uso de los “kits fotovoltaicos” creados por esta empresa. El kit contiene los paneles solares, el inversor, el cableado necesario y ha de tener conexión a red y conexión trifásica3 .

En la siguiente tabla se exponen los diferentes kits entre los cuales ha de elegirse el que más se ajuste al consumo del centro. El kit elegido tiene las siguientes características. Su potencia es de 60KW, tiene una garantía de 25 años, dispone de 200 metros de cableado y su precio es 38.000€.

3.5.

INSTALACIÓN FOTOVOLTAICA

Haciendo uso del kit seleccionado anteriormente, es posible auto abastecerse durante los meses de mayor número de horas de sol.

En la ilustración del anexo A , que muestra las producciones de la instalación fotovoltaica, se puede observar que únicamente en los 5 meses invernales no se alcanza la producción necesaria para autoabastecerse, por lo que la factura sería la siguiente:

2 La potencia eléctrica es la cantidad de energía de la que puede hacer uso el consumidor en un momento concreto, es decir, es la capacidad para recibir energía. En la práctica, esto significa que la potencia contratada es aquella que permite conectar tantos aparatos a la vez como energía demanden sin que lleguen a saltar los plomos, es decir, el ICP.

3 Un sistema trifásico es un sistema de producción, distribución y consumo de energía eléctrica formado por tres corrientes alternas monofásicas de igual frecuencia y amplitud.

35 
Transición a la energía fotovoltaica en IES Pintor Antonio López

Durante el periodo valle (nocturno), a pesar de existir un consumo de energía (1373 KWh), no lleva coste aparejado debido a la aplicación de lo establecido en el Real Decreto mencionado (los excedentes son vertidos a la red y se compensa la factura eléctrica). Así mismo, durante los 5 meses invernales, al tener menos horas de sol, la demanda de energía del centro no puede abastecerse sólo con la energía solar, debiendo hacer uso de la energía eléctrica de la red. En consecuencia, el gasto anual del centro sería 3.101 €. En los próximos años se ajustará al IPC de electricidad.

3.5.1. EVALUACIÓN DE INVERSIÓN

La siguiente tabla expresa la aplicación del Valor Actual Neto (VAN) a los beneficios obtenidos. Para ello hemos fijado un precio de coste de instalación de 10.000€, de tal forma que la inversión inicial asciende hasta los 48.000 €. La tasa de descuento utilizada para el VAN es del 5% puesto que es un valor de mercado estándar.

El siguiente gráfico representa la diferencia de ahorro aplicando el concepto de valor actual neto (VAN).

32º CERTAMEN
36 
JÓVENES INVESTIGADORES / Ciencias Sociales y Jurídicas
Tabla 3 Factura del centro Gráfico 1 Recuperación de la inversión

Transición a la energía fotovoltaica en IES Pintor Antonio López

Como se ha podido observar, los resultados obtenidos son favorables para la realización del proyecto:

• El valor del VAN obtenido es superior a cero, con lo que la instalación es rentable. Se obtienen unos beneficios de 142.846 €.

• El valor del TIR (rentabilidad) obtenido es del 23,86 %.

• El valor obtenido del PayBack también resulta favorable ya que determina que la inversión inicial, será recuperada a los 4 años y 10 meses de la puesta en marcha de la instalación y a partir de entonces se obtendrán los beneficios de la inversión.

Con lo anteriormente expuesto, se puede concluir que el proyecto es económicamente viable.

4. EMPRESA INTERMEDIARIA

El Instituto Pintor Antonio López, es un ente público, y por ello, no tiene la posibilidad de endeudamiento financiero para acometer esta inversión tan elevada, véase manual GECD4 . Por este motivo, se propone la creación de una empresa privada [SOLAR VALDÉS S.L.] para ofrecer el servicio de energía fotovoltaica al Instituto.

Dicha empresa ofrecerá un porcentaje de descuento seguro en su tarifa eléctrica mensual, como contrapartida a realizar la instalación fotovoltaica. La empresa se hace cargo del coste de la instalación y su mantenimiento (la instalación pertenece a la empresa).

La empresa cobraría la energía consumida al centro, aplicando los términos tarifarios de su compañía eléctrica (explicados anteriormente), con un descuento, que se incrementaría progresivamente a lo largo de los 25 años, para que disminuya el riesgo financiero de la inversión.

Los beneficios para la empresa derivan del ahorro producido por la instalación fotovoltaica, explicados anteriormente, restando el descuento ofrecido al Instituto.

A modo de ejemplo, se ofrece un descuento del 10% a 25 años. Durante los 9 primeros años un descuento del 5%, los siguientes 8 años un 10% y finalmente, los últimos 8 años un descuento del 15%. En el periodo de 25 años, el centro ahorraría un total de 43.775 €.

37 
4 Manual de gestión económica de los centros docentes públicos no universitarios de la comunidad de Madrid.

CERTAMEN JÓVENES INVESTIGADORES / Ciencias Sociales y Jurídicas

Los beneficios de la empresa aplicando el VAN serían los siguientes:

Gráfico 3

Beneficios empresa aplicando el valor actual neto

• Los beneficios obtenidos, aplicando el valor actual neto (VAN) son 99.072 €.

• El proyecto tiene una rentabilidad (TIR) del 15,55%.

• La inversión realizada, se recuperaría en 5 años y 2 meses.

Por lo tanto, se concluye que el proyecto es rentable para la empresa.

El beneficio es doble para el Instituto: por un lado, el centro reduce el coste mensual de su factura eléctrica y, por otra parte, utilizando energía verde, se beneficiará de posibles subvenciones públicas por la aplicación de políticas medioambientales.

5. CONCLUSIONES FINALES

Nos planteábamos como objetivo para este trabajo, la transición a la energía fotovoltaica en el centro IES Pintor Antonio López. Respecto a ello, podemos concluir que el proyecto es viable técnica y económicamente por las siguientes razones:

• Desde el punto de vista técnico, la radiación solar en la ubicación seleccionada para el proyecto es abundante y el precio de mercado de la tecnología fotovoltaica en función de la potencia requerida es muy competitivo, haciendo así que sea posible su utilización como fuente de energía del proyecto.

• El cambio de normativa del autoconsumo de energía en España en abril de 2019 ha beneficiado la viabilidad económica del proyecto, debido a que introdujo numerosos cambios, favoreciendo el uso de las instalaciones de autoconsumo y eliminando ciertas trabas que dificultaban la autosuficiencia energética.

32º
38 

Transición a la energía fotovoltaica en IES Pintor Antonio López

Sin embargo, también se nos han presentado algunas limitaciones como:

• La dificultad de disponer de los consumos del centro en tramos horarios. Hubiera sido conveniente tener un contador en la red eléctrica para conocer los consumos hora a hora. De esta forma, los cálculos realizados serían más precisos y disminuiría el porcentaje de error.

Como reflexión final, en este estudio se demuestra la necesaria intervención del análisis financiero en cualquier proyecto técnico a largo plazo. Un mínimo error en el cálculo de la instalación técnica podría permitir igualmente la rentabilidad del proyecto, sin embargo, un error o variación en los tipos de interés a 25 años, podría desembocar en una pérdida económica o una ganancia muy superior a la prevista.

ANEXOS

A. FACTURA ELÉCTRICA ACTUAL

39 
Factura del centro

CERTAMEN JÓVENES INVESTIGADORES / Ciencias Sociales y Jurídicas

BIBLIOGRAFÍA

[1] “La historia de la energía solar fotovoltaica,” 2013. [Online]. [Consulta junio 2019]. Disponible en

<http://www.sitiosolar.com/la-historia-de-la-energia-solarfotovoltaica/>.

[2] ESPAÑA (2019). DECRETO 244/2019, de 5 de abril, del Ministerio para la Transición Ecológica, por el que se regulan las condiciones administrativas, técnicas y económicas del autoconsumo de energía eléctrica. Boletín Oficial del Estado [en línea]. [Consulta junio 2019]. Disponible en

<https://www.boe.es/eli/es/rd/2019/04/05/244>.

[3] SUN FIELDS EUROPE. Radiación, geometría, irradiancia y HSP. En sfesolar.com [sitio web]. [Consulta septiembre 2019]. Disponible en

<https://www.sfe-solar.com/noticias/articulos/energia-fotovoltaica-radiaciongeometria-recorridooptico-irradiancia-y-hsp/ >.

[4] PVGIS TOOL. Comisión Europea. “Photovoltaic geographical information system”. Disponible en

<https://re.jrc.ec.europa.eu/pvg_tools/en/tools.html#MR>.

[5] COMPARADORLUZ. “Facturación eléctrica por periodos”. En comparadorluz.com [sitio web]. [Consulta junio 2019]. Disponible en

<https://comparadorluz.com/faq/facturacion-electrica/periodos>.

[6] AUTOSOLAR. Kit Trifásico Huawei 60000W 300000Whdia. En autosolar.es [sitio web]. [Consulta junio 2019]. Disponible en

<

https://autosolar.es/kits-solares-conexion-red/kit-trifasico-huawei-60000w300000whdia>.

[7] NERGIZA. “Mario Siles García” [en línea]. En nergiza.com, 2019 [Consulta diciembre 2019]. En: ¿Tendremos por fin compensación de excedentes a partir de enero? Disponible en

< https://nergiza.com/tendremos-por-fin-compensacionde-excedentes-a-partirde-enero/#comment-185211>.

32º
40 

Transición a la energía fotovoltaica en IES Pintor Antonio López

[8] COMUNIDAD DE MADRID (2005). Manual de gestión económica de los centros docentes públicos no universitarios de la comunidad de Madrid, pp. 21- 24 [en línea]. [Consulta septiembre 2019]. Disponible en

< http://www.madrid.org/cs/Satellite?c=CM_Media_FA&cid=1142329804048&pagename=ComunidadMadrid/CM_Media_FA/CM_ verMultimedia>.

41 

REPRESENTANTE CERTAMEN COMPETITIVO INTERNACIONAL DE INVESTIGACIÓN EXPORECERCA JOVE EN BARCELONA

Juego en el Museo: Astronomía, Arte Rupestre y Gamificación

/ SEGUNDO PREMIO

AUTOR | JAVIER CANO SALCEDO

COORDINADORA | JOSEFA RUBIO CASCALES

CENTRO | IES ALCÁNTARA

CIUDAD | ALCANTARILLA-MURCIA

RESUMEN |

Los videojuegos no se han implementado exitosamente en la educación, pese a la capacidad de enseñanza que puedan tener. Este trabajo pretende mostrar ese potencial. Se ha diseñado y desarrollado un videojuego con contenidos sobre las pinturas rupestres de la Cañaica del Calar, Moratalla (Murcia) para aplicarlo en un entorno educativo formal (Escuela) y no formal (Museo). Investigando sobre pinturas rupestres, hemos encontrado estudios que establecen una relación de éstas con la Astronomía, comprobando que estas teorías podrían encajar en la Región de Murcia.

Se toma como muestra 345 estudiantes de dos Centros públicos (Primaria y Secundaria) que participaron en el taller del videojuego, además de relacionar los calcos de las pinturas con la parte correspondiente de la esfera celeste. Se utiliza Unity para desarrollar el videojuego, Stellarium para estudiar las constelaciones y SPSS Statistics para el análisis estadístico.

Cada participante contestó una serie de preguntas antes y después de jugar al videojuego, para medir el aprendizaje. La tendencia de la muestra fue aumentar los aciertos significativamente en aquellas preguntas que se trabajaban en el juego, y disminuirlos levemente en las que no se vieron expresamente en él.

En este estudio se muestra que, la enseñanza mediante videojuegos es efectiva. En cuanto a la relación del Arte Rupestre con la Astronomía, hemos planteado un nuevo punto de vista que abre nuevas formulaciones.

Palabras clave: enseñanza, gamificación, arte rupestre, videojuegos.

CIENCIAS SOCIALES Y JURÍDICAS
 42

ABSTRACT |

Videogames have not been successfully implemented in education yet, despite their teaching ability. This project aims to prove their potential. A videogame was designed and developed from scratch about cave paintings from Cañaica del Calar, Moratalla (Murcia) to apply it in a formal (School) and non-formal (Museum) environmental education. Researching about Rock Art, we found studies that set a link between them and Astronomy, checking these theories could fit in Murcia

Our sample is made up of 345 students from two public Centers (Primary and Secondary school) who participated in the videogame session. In addition to link the paintings’ tracing with the corresponding part of the celestial sphere. Unity is used to develop the videogame, Stellarium to study the constellations and SPSS Statistics for statistical analysis.

Each participant answered a series of questions before and after playing the videogame, to measure the level of learning gotten by the game. The sample tended to increase the success rate significantly in those questions mentioned explicitly in the game and to decrease it slightly in those that were not seen at the naked eye.

This project shows teaching through videogames is possible, and effective. About the relation between Rock Art and Astronomy, we have outlined a new point of view that opens new theses.

Keywords: teaching, gamification, rock art, videogames.

CIENCIAS SOCIALES Y JURÍDICAS 43 

JÓVENES INVESTIGADORES / Ciencias Sociales y Jurídicas

1. INTRODUCCIÓN

Los videojuegos nunca han sido bien recibidos en el mundo de la educación. Se cree que no aportan nada bueno para los jugadores. Sin embargo, creemos que es posible aprender con los videojuegos y que, además, serían una herramienta perfecta para ser usada como apoyo en los centros educativos. Ya existen estudios que corroboran las ventajas que proporcionan estos a los jugadores (Griffiths, 2002; Green y Bavelier, 2006; López Raventós, 2016).

De ahí que el objetivo que nos planteamos sea desarrollar un videojuego capaz de transmitir conocimientos exitosamente, de cara a ser jugado en ambientes de aprendizaje formales (Centros educativos) y no formales (Museos). Los contenidos didácticos elegidos para el aprendizaje versan sobre las pinturas rupestres de la Cañaica del Calar (Moratalla) de las que, además, queremos analizar si el arte esquemático, en este caso particular, se puede relacionar, de alguna manera, con la Astronomía (Sweatman y Coombs, 2018).

El trabajo se centra en dos aspectos principales, uno sobre el aprendizaje, enfocado al posible potencial de los videojuegos en este ámbito, y otro sobre la posible relación entre algunas pinturas rupestres (principalmente las analizadas) con la Astronomía, más concretamente, el uso de estas para la previsión de eventos teniendo en cuenta las últimas investigaciones y líneas de actuación existentes en la actualidad en cuanto a la interpretación del arte esquemático.

El acercamiento directo al Arte Rupestre se ha llevado a cabo mediante la visita guiada a dos abrigos situados en la Cañaica del Calar en Moratalla (Murcia). Con todo esto se planificó el contenido del videojuego con una doble intencionalidad: por un lado, plantear unos contenidos didácticos con los que poder analizar si se produce o no aprendizaje en el jugador y, por otro lado, recoger datos que nos pudieran dar luz sobre el nuevo enfoque planteado en la interpretación de las pinturas rupestres con las que hemos trabajado.

2. ANTECEDENTES

Dentro de las grandes posibilidades didácticas que ofrecen las TIC, uno de los recursos sobre el que existen más controversias son los videojuegos, cuya utilización en el terreno educativo se encuentra tanto con detractores como con firmes defensores. Entre los defensores, se habla del potencial educativo de los videojuegos en torno a dos grandes líneas de trabajo: una relativa a la motivación para el aprendizaje y otra que va más allá y busca la utilización de los videojuegos con fines claramente didácticos.

En la sociedad actual, los niños y niñas crecen y se desarrollan rodeados de dispositivos digitales, es algo familiar para ellos. A través de estos medios se comunican, se expresan y comprenden el mundo que les rodea.

32º
44 
CERTAMEN

El Arte Rupestre es un gran desconocido en la mayoría de la población. A través de él podemos adentrarnos en la historia de primitivas civilizaciones de hace miles de años.

2.1. LOS VIDEOJUEGOS COMO RECURSO DIDÁCTICO PARA EL APRENDIZAJE

Los videojuegos son conocidos, en general, como algo que distrae a los niños de sus obligaciones, que los maleduca, y un largo etcétera de sinsentidos, pero realmente, si hablamos de videojuegos fuera de abusos y adicciones, es decir, usados correctamente, estos no son para nada malos, todo lo contrario, tienen efectos positivos en los jugadores, como pueden ser una mejora de la atención, en la visualización tridimensional, control de movimientos, reflejos, lógica, memoria, entre otros. Además, tienen capacidad de enseñar cualquier materia que se quiera. La ventaja de este aprendizaje es que, en comparación con la educación formal, es mucho más sutil, pero igual, o más efectiva.

Durante la última década se ha introducido la gamificación como una metodología activa dentro del aula. Hay multitud de estudios realizados sobre lo que aporta la gamificación en el aprendizaje de los estudiantes. Nuestra meta es extrapolar este método a un ámbito no formal como pueden ser los Museos ya que, en Murcia, en general, atraen a poco público.

Por todo ello, consideramos que la propuesta de este trabajo puede ser muy importante en varios sentidos: por un lado, comprobar si con el videojuego se produce aprendizaje y, por otro lado, aplicar nuevas teorías sobre el significado de algunas pinturas rupestres, planteadas en los últimos años, a nivel mundial, a nuestra Región. Además, el videojuego como forma de promocionar y motivar la visita a los Museos puede ser el inicio de una serie de cambios que dé pie a una nueva era de los Museos.

2.2. LAS PINTURAS RUPESTRES ESQUEMÁTICAS DE LA REGIÓN DE MURCIA

Los contenidos del videojuego plantean los últimos estudios sobre las pinturas rupestres y su posible relación con el cosmos, por lo que se debe investigar con rigurosidad este tema para crear un buen trasfondo. Para empezar, debemos tener claro qué entendemos por Arte Rupestre, y cómo está clasificado, en rasgos generales, sin entrar en mucho detalle ya que no somos ni nos consideramos personas expertas en este tema. Tan solo realizaremos una aproximación a una posible interpretación, teniendo en cuenta, como se dijo anteriormente, los últimos avances y planteamientos en las actuales investigaciones.

En la Cañaica del Calar se encuentran dos abrigos abiertos a la visita pública en la que se puede notar claramente la diferencia entre una pintura naturalista (abrigo II) y una pintura esquemática (abrigo III). El videojuego simulará una visita a estos abrigos, por lo que estas pinturas en concreto serán el foco de la investigación.

45 
Juego en el Museo: Astronomía, Arte Rupestre y Gamificación

CERTAMEN JÓVENES INVESTIGADORES / Ciencias Sociales y Jurídicas

El trabajo de los investigadores J. A. Bernal y M. Á. Mateo, publicado en 1996, recopiló todos los calcos descubiertos hasta la fecha, describiendo y clasificando las pinturas, descubriendo algunos rasgos que tienen en común. Dejaron claro todo lo que se sabía sobre pinturas rupestres en Murcia, para su cómodo estudio. Su trabajo arrojó luz en el origen de las pinturas, su estilo y su contexto cronológico. Sin embargo, aún no se sabía nada sobre su verdadero significado, aunque a nivel mundial, ya hay investigaciones que plantean un nuevo punto de vista, en el que los dibujos del arte esquemático, en realidad podrían representar constelaciones que les servirían a las personas prehistóricas como calendario o inmortalización de eventos cósmicos ocurridos en aquella época (lluvia de estrellas, caída de meteoritos, entre otros). Por ese motivo, en este trabajo planteamos investigar este punto de vista con las pinturas de la Cañaica del Calar.

Los estudios de Arqueoastronomía tienen una larga trayectoria en algunos países europeos y, en menor medida, en España. Mayoritariamente se llevan a cabo desde el campo de los astrónomos y todavía no han alcanzado un definitivo reconocimiento en el ámbito arqueológico (Cerdeño y otros, 2006).

En la literatura, existen algunas investigaciones, en España, que relacionan las constelaciones con algunas pinturas rupestres, como es el caso de la cueva de Altamira pero, a nivel regional, en Murcia, no ha habido publicación alguna, o de haberla, no la hemos encontrado.

3. HIPÓTESIS DE LA INVESTIGACIÓN

Las hipótesis que se plantean para llevar a cabo esta investigación son:

1. La Astronomía se relaciona con el Arte Rupestre esquemático en algunas pinturas rupestres de Murcia.

2. Un estudiante de Bachillerato puede desarrollar un videojuego.

3. Se puede aprender mediante videojuegos.

4. El videojuego puede aportar divulgación e interés a un Museo.

4. MATERIALES Y MÉTODOS

4.1. HERRAMIENTAS UTILIZADAS

• Unity, un motor de videojuegos

• Visual Studio Code, interfaz de programación

• MediBang Paint Pro, herramientas de dibujo

• Audacity, edición de audio

• Herramienta Recortes de Windows

32º
46 

Juego en el Museo: Astronomía, Arte Rupestre y Gamificación

• Cámara 360º

• Aplicaciones digitales: Mapa estelar, Stellarium y sunearthtools.

Nos planteamos utilizar el buscador de estrellas manual y el programa Stellarium para plantear una posible relación entre las figuras de las pinturas rupestres con alguna constelación. El programa Stellarium nos permite colocar las posiciones geográficas de la ubicación de las pinturas rupestres, así como la fecha. Nos muestra el cielo tal y como se vería en ese lugar. El objetivo es recrear las condiciones del cielo en la antigüedad para colocar sus datos en el ambiente histórico, usando las herramientas descritas anteriormente.

47 
Figura 1 Visita al abrigo II Figura 2 Grabación en 360o Figura 3 Calco abrigo III (M. A. Saura)

CERTAMEN JÓVENES INVESTIGADORES / Ciencias Sociales y Jurídicas

La aplicación sunearthtools nos permite calcular la posición del Sol en el cielo para cada lugar de la Tierra en cualquier momento del día y obtener los gráficos correspondientes del movimiento solar.

4.3. CREACIÓN DEL VIDEOJUEGO MEDIANTE UNITY

Se ha usado el 2D Game Kit de Unity para crear el videojuego. En él, se encarna a un explorador que investigará, con la ayuda de unos picos de escalada, una versión bidimensional de la Cañaica del Calar y sus pinturas, las cuales podremos contemplar en 360º (figuras 4 y 5).

Los jugadores aprenderán, mediante preguntas y vídeos explicativos, datos sobre ellas. El explorador hará comentarios, que están doblados en su totalidad, para mantener la atención de los jugadores, sobre todo de cara a los más pequeños. Además, serán capaces de recoger los materiales para construir un telescopio con el que ver las estrellas, y para fabricar sus propios pigmentos para pintar.

Al completar la misión principal del juego, que es construir el telescopio, se les pedirá a los jugadores que hagan una representación del cielo nocturno, mostrado en pantalla, para representar un conjunto de estrellas.

Para crear The Explorer, se ha necesitado animar al personaje jugable, que ha sido diseñado y dibujado por la artista amateur Valeria García Nicolas, además de programar el script que permita controlarlo correctamente; elaborar

48 
32º
Figura 4 Capturas del videojuego Figura 5 Esquema de la representación digitalizada

Juego en el Museo: Astronomía, Arte Rupestre y Gamificación

el guion de los comentarios que dice el explorador a medida que avanzamos y su correspondiente doblaje, realizado por un compañero de clase, Jordi Germán Calle León; programar los espacios en 360º que permitan una visualización inmersiva de las imágenes de los abrigos; dibujar y programar el resto de objetos interactuables; crear un menú con unas notas opciones que completan ordenan los datos a medida que se van encontrando; crear la pantalla de visualización de las estrellas y la de dibujar nuestro propio abrigo en la piedra; y, finalmente, diseñar una pantalla de créditos que muestre la puntuación obtenida al jugador.

4.4. REDACCIÓN DEL FORMULARIO

Una vez el juego está terminado y listo para ser jugado, se ha redactado un formulario para medir si se ha producido aprendizaje con él, preguntando a los jugadores sobre el Arte Rupestre tanto antes como después de jugar. Se han escogido estratégicamente 8 preguntas de manera que 6 de ellas se correspondan con contenidos que aparecen en el videojuego explícitamente (marcadas con ▲), algunas de ellas, además, están reforzadas con un vídeo explicativo (marcadas con ♦) y otras 2 que, en cambio, no fueron mencionadas en ningún momento del videojuego (marcadas con ■). Consideramos que así se puede contrastar los resultados entre ellas. Las preguntas en cuestión fueron:

1. ▲¿Cómo transmitían la información los primeros seres humanos, en la prehistoria?

2. ■¿Qué es el arte rupestre?

3. ▲¿Hay pinturas rupestres en España?

4. ▲¿Hay pinturas rupestres en Murcia?

5. ♦¿Sabes la composición de la pintura rupestre?

6. ♦¿Con qué instrumentos pintaban las personas prehistóricas?

7. ▲¿Qué imágenes o representaciones pintaban las personas en la prehistoria?

8. ■¿Sabemos qué significan todas las representaciones descubiertas en pinturas rupestres?

Estas preguntas se responderán antes de comenzar el juego y después.

Para finalizar, se plantean tres preguntas a los participantes, para recoger la percepción que tienen ellos sobre la utilidad del videojuego.

4.5. IMPLEMENTACIÓN DEL VIDEOJUEGO EN CENTROS EDUCATIVOS

Para realizar el taller del juego a los estudiantes y pasarles el formulario se necesita una autorización por parte de sus padres, además de los profesores, y por supuesto, de los directivos de los Centros Educativos. Gracias a la colaboración

49 

CERTAMEN JÓVENES INVESTIGADORES / Ciencias Sociales y Jurídicas

del profesorado pudimos implementar el videojuego en dos Centros educativos públicos: CEIP Jacinto Benavente e IES Alcántara.

En cuanto a la implementación del videojuego en el Museo de Arte rupestre de Moratalla y el Museo Arqueológico de Murcia es algo que queda pendiente y que no se ha podido realizar aún.

5. RESULTADOS

5.1. REFERIDOS A LA RELACIÓN DE LAS PINTURAS RUPESTRES CON LA ASTRONOMÍA

Los resultados referidos a la posible interpretación de las pinturas del abrigo III han sido obtenidos analizando el calco de las mismas, publicado por el investigador M. A. Mateo Saura, y comparándolo con las imágenes obtenidas en Stellarium a lo largo de diferentes fechas llegando a una fecha concreta, 24 de septiembre del año 0. Esta fecha corresponde al equinoccio de otoño, que es la época de la berrea de los ciervos y, por tanto, la época de caza de los mismos; y año 0 porque es el año mínimo que permite Stellarium.

Se observa una correlación muy aproximada entre las figuras del abrigo III y las constelaciones. Difieren muy poco con las que hicieron los griegos y que es la base de las constelaciones que conocemos hoy en la cultura occidental europea. Todas las figuras se corresponden con la mayoría de las estrellas que forman las constelaciones de Pegaso, Acuario, Casiopea, Perseo, Cisne, Delfín, Capricornio, Hércules y Ofiuco (figura 6).

32º
50 
Figura 6 . Relación de las figuras del calco de M.A. Saura con el conjunto de estrellas del 24 de septiembre del año 0

Puede parecer fácil buscar las figuras deseadas, y podría serlo para una figura aislada, pero conseguir encajar el conjunto completo es una hazaña que no creemos que sea fruto de la casualidad.

En cuanto a los puntos alineados que vemos en el calco, creemos que representan la trayectoria del Sol a lo largo del año. Utilizando la herramienta sunearthtools se analiza el movimiento del Sol en la zona de estudio. Los resultados se alinean con la eclíptica en el equinoccio de otoño y el ángulo que tienen es de 38º (aproximadamente la latitud del lugar).

5.2. REFERIDOS A LAS PINTURAS DIBUJADAS POR LOS ESTUDIANTES

Se obtuvieron 217 dibujos en las sesiones del videojuego con los participantes. La mayoría de ellos eran figuras sin relleno (61%) y figuras con puntos (27%). Se observa que, con el mismo conjunto de estrellas como referencia, cada jugador dibuja una figura diferente, pero mantiene una serie de estrellas que son comunes.

5.3. REFERIDOS AL APRENDIZAJE MEDIDO CON THE EXPLORER

Analizando los resultados de la encuesta, la muestra ha sido de 351 personas abarcando un rango de tramos de estudios amplio (Primaria, Secundaria, Bachillerato y Ciclo Formativo) con una distribución homogénea. La muestra también se distribuye homogéneamente en género. En cuanto a la frecuencia de juego, un 64,7% juegan a videojuegos frecuentemente. Sin embargo, de estos, sólo un 29,1% son chicas.

El gráfico 1 representa las tasas de acierto, tanto antes como después de jugar, y la tasa de aprendizaje que se han producido en cada una de las preguntas especificadas en la metodología. Se puede observar que las preguntas que aparecen explícitamente en el juego (1, 3, 4, 5, 6 y 7) son las que muestran las tasas de aprendizaje más altas, destacando las que contaban con el vídeo explicativo (5 y 6). Aquellas que no se mencionaron en el videojuego, muestran un descenso (2 y 8).

51 
Juego en el Museo: Astronomía, Arte Rupestre y Gamificación

CERTAMEN JÓVENES INVESTIGADORES / Ciencias Sociales y Jurídicas

Se ha analizado cada uno de los resultados por tramo de estudios y por género, con la prueba del t-student, para comprobar si existen o no diferencias significativas. No existen diferencias significativas en cuanto a género, a excepción de la pregunta 6. Sin embargo, sí hay diferencias significativas según el nivel de estudios, existiendo un mayor aprendizaje en Primaria respecto al resto de niveles.

5.4. REFERIDO A LA PERCEPCIÓN DE LOS PARTICIPANTES SOBRE LA UTILIDAD DEL VIDEOJUEGO

Sobre la percepción que tuvieron los participantes, casi el 90% de los encuestados ha mostrado un interés positivo por la actividad, más del 60% piensa que ha aprendido con The Explorer y el 95% cree que el aprendizaje mediante videojuegos sería efectivo. No existen diferencias según nivel de estudios ni en género.

6. CONCLUSIONES

Sobre la primera hipótesis planteada: “La astronomía se relaciona con el Arte Rupestre esquemático en algunas pinturas de Murcia”, se ha conseguido plantear un nuevo punto de vista que está en desacuerdo con la visión convencional del arte rupestre esquemático. Sabemos que no somos expertos en la materia, pero sí tenemos a nuestro favor la intención de resolver este asunto con cierto rigor científico. El análisis de los resultados obtenidos nos lleva a plantear que las pinturas rupestres esquemáticas del abrigo III de la Cañaica del Calar se podrían corresponder con constelaciones del cielo estelar durante el equinoccio de otoño pudiendo servir como calendario para anticiparse al cambio de estación otoñal en la que se produce la berrea de los cérvidos, cuestión importante para la caza de estos animales. Evidentemente, no todas las pinturas rupestres de arte esquemático serán relacionadas con constelaciones, pero sí que habría que realizar nuevos estudios de cada caso particular. Se ha podido comprobar que cada persona realiza agrupaciones de estrellas diferentes. Este estudio abre nuevas posibilidades para una revisión de aquellas pinturas rupestres sobre las que aún no hay un significado claro establecido.

52 
32º

Juego en el Museo: Astronomía, Arte Rupestre y Gamificación

En cuanto a la segunda hipótesis planteada, definitivamente sí ha sido posible desarrollar un videojuego en Bachillerato de manera autodidacta.

Respecto a la tercera hipótesis, como se ha visto en los resultados, ha habido aumento en las tasas de aprendizaje en los contenidos que aparecen explícitamente en el juego, y una pequeña disminución en aquellos que no, por lo que concluimos que, efectivamente, es posible la enseñanza mediante videojuegos de una manera eficaz. Se ha comprobado que los contenidos deben ser planteados de forma explícita y que, si hay visionado o actuación, el aprendizaje es más efectivo. La percepción que tiene los participantes está en consonancia con los resultados obtenidos.

Por último, la cuarta hipótesis no se ha podido resolver. Por falta de tiempo, no se ha podido implementar el videojuego en un Museo, pero, extrapolando los resultados obtenidos con los alumnos de los Centros educativos, como posibles visitantes, podríamos intuir que el videojuego aportaría interés al Museo.

53 

CERTAMEN JÓVENES INVESTIGADORES / Ciencias Sociales y Jurídicas

BIBLIOGRAFÍA

Brackeys. 2D Animation in Unity. YouTube <https://www.youtube.com/watch?v=hkaysu1Z-N8> [Consulta: 22 de diciembre de 2019].

Green, C. S., & Bavelier, D. (2006). Effect of action video games on the spatial distribution of visuospatial attention. Journal of experimental psychology: Human perception and performance, 32(6), 1465.

Griffiths, M. D. (2002). The educational benefits of videogames. Education and health, 20(3), 47-51.

Jordán Montes, J.F. (2000). Escenas y figuras de carácter chamánico en el Arte Rupestre de la Península Ibérica. Petroglifos y pinturas naturalistas y esquemáticas en el Sureste. BARA 3: 81-118.

Jordán Montés, J.F. y Martínez Franco, A. (2007). Arte rupestre en la Región de Murcia. Desde el Paleolítico hasta la Edad de los Metales. Unidad didáctica para Bachillerato.

López Raventós, C. (2016). El videojuego como herramienta educativa. Posibilidades y problemáticas acerca de los serious games. Apertura (Guadalajara, Jal.), 8(1), 0-0.

Mateo Saura, M. A. (2007). La Cañaica del Calar II (Moratalla, Murcia). Dirección General de Cultura.

Mateo Saura, M. A. (2010). Arte rupestre y cultura material en la Región de Murcia. Serie Arqueológica 23, 197-225.

Mateo Saura, M. A. (2015). Estrategias para la difusión y puesta en valor del arte prehistórico. Actuaciones en Moratalla (2005-2015). Cuadernos de Arte Prehistórico, 1 38-63.

Mateo Saura, M. A. (2016). El arte esquemático en la Región de Murcia (España). Rev. Cuad. De Art. Preh. Num. 2. Julio – Diciembre 2016, ISSN 07197012, pp. 127-152.

Sweatman, M. B. y Coombs, A. (2018). Decoding European Paleolithic Art: Extremely Ancient knowledge of Precession of the Equinoxes. Athens Journal of History - Volume 5, Issue 1 – Pages 1-30. Nueva York: Cornell University.

Unity Learn. 2D Game Kit. <https://learn.unity.com/project/2d-game-kit-2> [Consulta: 22 de diciembre de 2019].

32º
54 

CIENCIAS SOCIALES Y JURÍDICAS

e India

/ TERCER PREMIO Y ESTANCIA CSIC

AUTORA | VERÓNICA ROCHE GAMBARA

COORDINADORA | LETICIA GÓMEZ ESCUDERO

CENTRO | IES RAMIRO DE MAEZTU

CIUDAD | MADRID

RESUMEN |

Esta investigación analiza la incidencia de malaria, causada por el Plasmodium, en relación a los cambios climáticos actuales. Se trata de un estudio estadístico centrado en tres países (Kenia, Nigeria e India) con un rango temporal de 1990 a 2014.

El hábitat del mosquito tiene unas condiciones y factores climáticos determinados, de manera que, cambios en estos factores pueden conducir a que algunas zonas pierdan los requisitos para ser el hábitat del mosquito, mientras que nuevas áreas los cumplirán. Se ha elegido como variables climáticas la variación de temperatura y la precipitación. Puesto que la capacidad de control de la enfermedad depende de los recursos económicos también se analiza la relación con el PIB nacional.

Mientras que los resultados no muestran un impacto climatológico claro sobre la actividad de la enfermedad, estos revelan como el nivel económico de una zona tiene un evidente efecto sobre la salud poblacional y explican la razón por la que la malaria es una enfermedad de la pobreza. Se concluye que la inversión en recursos para combatir enfermedades y/o el incremento de las condiciones urbanas, facilitará el control sobre el parásito en un posible aumento futuro de incidencia por el cambio climático.

¿En qué medida factores climáticos y económicos afectan a la incidencia anual de malaria? Un estudio sobre Kenia, Nigeria
 56

ABSTRACT |

This research questions the possible change in the incidence of malaria, caused by Plasmodium, as a result to the current climate changes. This is a statistical study focused on three countries (Kenya, Nigeria and India) with a time range of 1990-2014.

The mosquito's habitat has certain climatic conditions and factors. Therefore, changes in these factors can lead to some areas losing the requirements to be the mosquito habitat, while new areas will meet them. Variation in temperature and precipitation have been chosen as climatic variables. Likewise, the ability to control the disease depends on economic resources, which is why the variables of national GDP are also studied.

While the results do not show a clear climatological impact on disease activity, they reveal how the economic level of an area has an evident effect on population health and they explain why malaria is considered to be a disease of poverty. Thus, it is concluded that the investment in resources to combat diseases and / or the increase in urban conditions will facilitate control over the parasite in its possible future increase in incidence due to climate change1

CIENCIAS SOCIALES Y JURÍDICAS 57 
Gracias a mi supervisora Leticia Gómez Escudero por ofrecerme sus consejos y tiempo. Gracias al Y por acompañarme en esta etapa, enseñándome a disfrutar del saber. Gracias a mi padre y a mi hermano por cuidarme. Y gracias a mi madre por su apoyo incondicional.

CERTAMEN JÓVENES INVESTIGADORES / Ciencias Sociales y Jurídicas

La malaria es una enfermedad tropical infecciosa transmitida por la hembra del mosquito Anopheles y causada por el parásito protozoo Plasmodium. Hay cinco especies patógenas para el ser humano: P. vivax, P. malariae, P. ovale, P. knowlesi y P. falciparum; siendo esta última especie la más peligrosa (Asociación de Médicos de Sanidad Exterior, 2012) y sobre la que se ha centrado este estudio. Miles de millones de pacientes padecen esta enfermedad anualmente. Conforme los datos de la OMS, en 2017 se registraron 219 millones de casos y 435.000 muertes, el 93% en el continente africano. El 80% de los casos que ocurren a nivel mundial se concentran en quince países africanos y la India, la mitad de ellos ocurre en Nigeria, RD del Congo, Mozambique, la India y Uganda. La prevalencia ha aumentado en 2017 en Nigeria, Madagascar y RD Congo y ha disminuido en Ruanda y Etiopía (World Health Organization, 2018).

El cambio climático es el cambio antropogénico en el clima normal, que puede afectar el patrón de precipitaciones, la temperatura media, las nevadas, etc. (National Aeronautics and Space Administration 2014). Estos cambios, demostrados internacionalmente por expertos, alteran ecosistemas, obligando a sus especies habitantes a desarrollar nuevos métodos de supervivencia, o a trasladarse, como puede ser el caso del vector de la malaria. Durante la Cumbre Mundial del Clima (COP25) en diciembre de 2019, se presentó un último informe de Naciones Unidas (WHO, 2018) donde se manifiesta la clara relación entre cambio climático y salud. Entre las enfermedades afectadas por dicho cambio se menciona la malaria.

El hábitat del mosquito tiene unas condiciones y factores climáticos concretos y, por tanto, los cambios en estos factores pueden conducir a que algunas zonas pierdan los requisitos para ser el hábitat del mosquito, mientras que nuevas áreas podrían cumplir tales condiciones. La intensidad de transmisión de la malaria depende, fundamentalmente, de la cantidad de mosquitos y de su longevidad; factores relacionados con la climatología del lugar. Así, los cambios de temperatura, humedad y precipitaciones podrán incidir, en la prevalencia del paludismo (Naciones Unidas, 2018). Para esta investigación se ha elegido como variables relativas al cambio climático, la variación de temperatura y la precipitación, al ser los factores que más están siendo afectados por la emergencia climática.

Por otra parte, la capacidad de control de la enfermedad viene dada principalmente por factores socio-económicos, entre los que destacan el uso del terreno, el crecimiento demográfico, la urbanización, los cambios migratorios y el desarrollo económico; la malaria prevalece mayoritariamente en zonas del tercer mundo, dónde los recursos son escasos o insuficientes. Son estos lugares los que, además, se ven y verán más afectados por el cambio climático, disponiendo de menos medios para afrontar las adversidades (Sachs y Malaney, 2002). Esta influencia se estudiará a través del Producto Interior Bruto (PIB). Como dato curioso, podemos indicar que en España ha existido malaria hasta el año 1964; el desarrollo económico de este país facilitó la erradicación de esta enfermedad (Bueno y Jiménez, 2008).

32º
58 

¿En qué medida factores climáticos y económicos afectan a la incidencia anual de malaria? Un estudio sobre Kenia, Nigeria e India

OBJETIVOS

Analizar el impacto del cambio climático en los casos de malaria causada por el Plasmodium, a través de un estudio estadístico, en tres países: Kenia, Nigeria e India. Países con incidencia de malaria, con diferentes rentas económicas y distribuidas en distintas zonas geográficas. Todo ello permite tener una visión más global de la problemática analizada.

HIPÓTESIS

Se espera una correlación entre la incidencia de malaria y la variación de temperatura de la superficie, la precipitación mensual y el desarrollo económico del país (medido a través del PIB).

La variable dependiente (VD) es la incidencia de malaria por 1.000 personas.

Las variables independientes (VI) son la variación de temperatura de la superficie terrestre (°C), la precipitación mensual media (mm/mes) y el Producto Interior Bruto (PIB) por millones en dólares.

PROCEDIMIENTO

Para centrar el estudio se concretó el rango temporal de la investigación al periodo de 1990 a 2014. Para la obtención de datos relativos al clima se recurrió a la base de datos “Our world in data” de la Universidad de Oxford ( https:// ourworldindata.org )1 . Los registros de datos encontrados en la base de datos mencionada están publicados hasta el 2014. Para los datos del PIB se utilizó el Banco Mundial, en concreto el OECD archivo de datos de la contabilidad nacional y los indicadores de Desarrollo Mundial.

1. Se obtuvieron los datos del número de incidencias de malaria anuales por cada 1.000 personas en Kenia, Nigeria e India.

2. Se anotaron, de las bases de datos, la variabilidad de temperatura en la superficie en grados centígrados, la precipitación mensual media en mm y el PIB en millones de dólares.

3. Se construyó una tabla con los datos anteriores, para cada uno de los países. Y se calculó la media y la desviación típica para cada variable.

4. Con los datos obtenidos se elaboraron diversos gráficos, para visualizar la relación entre la VD, la incidencia de malaria, con cada una de las VI (preci-

1 Los datos de la incidencia de Malaria por cada 1.000 personas provienen del Global Health Data Exchange (GHDx), específicamente de los resultados del programa de investigación de 2017 del Global Burden of Disease (GBD 2017), gracias al Institute for Health Metrics and Evaluation (IHME) de Seattle (IHME, 2018).

Los datos de la variación de temperatura proceden del análisis HadCRUTde la Unidad de Investigación Climática de la Universidad de East Anglia, en conjunto con los datos del Centro Hadley de Cambio Climático de la Met Office.

En el caso de la precipitación mensual media los datos provienen de la Global Historical Climatology Network (GHCN versión 2) y del archivo Global Surface Summary of Day (GSOD).

59 

CERTAMEN JÓVENES INVESTIGADORES / Ciencias Sociales y Jurídicas

pitación, variación y PIB) a lo largo de los años. Estas gráficas se construyeron con dos ejes verticales, para poder comparar las variables, desde 1990 a 2014.

5. Para cada país, se elaboraron tres gráficos de dispersión para cada una de las VIs sobre la VD.

6. Para cada país, se calculó la recta de regresión para cada una de las VIs sobre la VD y el índice de correlación de Pearson para evaluar la relación entre las variables.

RESULTADOS

En primer lugar, se presenta en la Tabla 1 los datos de la variación de la temperatura de la superficie, la precipitación mensual media, el producto interior bruto y la incidencia de malaria, desde 1990 hasta 2014. En la última fila se refleja el cálculo de la media y la desviación típica.

En segundo lugar y a partir de los datos de la Tabla 1 se elaboraron gráficos para visualizar la evolución de la incidencia de malaria para cada país en las tres variables independientes consideradas. En las Figuras 1 se representa la evolución de la variación de temperatura desde 1990 a 2014 y la incidencia de malaria en cada uno de los tres países. Para Kenia, se observa una disminución progresiva del paludismo, a partir del año 2000. Para la variable variación de temperatura se observa una tendencia a aumentar, pero con una gran variabilidad de rango de 1,00°C (valor mínimo 0,00°C y máximo 1,00°C). Para Nigeria se ve de manera más acusada esta subida de temperatura con el tiempo, y una ligera disminución a partir del 2005 de la malaria. En India la malaria disminuye progresivamente excepto en 2010. La temperatura indica una tendencia a aumentar no sin cierta variabilidad con un rango de 1,28°C (valor mínimo -0,07°C y máximo 1,21°C).

32º
60 

¿En qué medida factores climáticos y económicos afectan a la incidencia anual de malaria? Un estudio sobre Kenia, Nigeria e India

Tabla 1

Datos de evolución por países. Elaboración propia, sobre la base de datos OurWorld in Data (Incertidumbre: variación temp: ±0,01; Precip. mensual: ±0,01; PIB: ±1; Incidencia malaria: ±1). Los decimales se han redondeado a la centésima. Las columnas sin decimales reflejan los valores originales de la base de datos.

61 

32º CERTAMEN JÓVENES INVESTIGADORES / Ciencias Sociales y Jurídicas

Incidencia de Malaria y precipitación mensual media de 1990 a 2014. Las Figuras 2 se han realizado para presentar la evolución de la incidencia de malaria y de la precipitación en Kenia, Nigeria e India. Para Kenia se observa que para la variable precipitación mensual media hay una cierta estabilidad alrededor del valor 6,00 mm/mes (X=5,79), con un rango entre 9,35 mm/mes de valor máximo y 3,78 mm/mes de valor mínimo. En Nigeria existe una precipitación mensual mayor entre 7,91 y 10,51. Para la India hay una mayor estabilidad de precipitaciones en torno a 10,000 mm/mes (X=9,74) presentando un rango relativamente reducido (3,24 mm/mes).

62 

¿En qué medida factores climáticos y económicos afectan a la incidencia anual de malaria? Un estudio sobre Kenia, Nigeria e India

Incidencia de Malaria y PIB de 1990 a 2014. Las Figuras 3 se han realizado para presentar la evolución de la incidencia de malaria y el producto interior bruto. En Kenia, para la variable del PIB se observa un aumento gradual y preciso a lo largo de los años; alcanzando su valor máximo en el 2014 con un PIB de 49.506 millones de dólares. Para Nigeria se observa un efecto similar con un aumento mayor. Y en India a la caída súbita del PIB en el 2008 le sigue un incremento brusco en paludismo.

63 

32º CERTAMEN JÓVENES INVESTIGADORES / Ciencias Sociales y Jurídicas

Un gráfico de dispersión da una idea más clara de la relación entre las variables de interés con la incidencia de la malaria. Por tanto, se construyeron tres gráficos de dispersión que se presentan en las Figuras 4, 5 y 6. También se calculó el coeficiente de determinación (R2), la correlación de Pearson y la recta de regresión, a través del programa Excel. Cada punto corresponde a cada uno de los 14 años.

Incidencia de Malaria y variación de temperatura de 1990 a 2014. No parece existir un patrón similar en los tres países. Para Kenia la correlación entre variación de la temperatura de la superficie e incidencia de malaria por 1.000 personas es r= -0,4726. Se trata de una correlación media y negativa, indicando que, a mayor variación de temperatura, menor incidencia de malaria. El coeficiente de determinación (R2) indica que el modelo de regresión lineal explica solo el 22% de la varianza explicada. En Nigeria aumenta con un 32% de varianza explicada, encontrándose también una relación negativa (r=-0,5667) y en India apenas se observa relación entre ambas variables (r=-0,0032)

64 

¿En qué medida factores climáticos y económicos afectan a la incidencia anual de malaria? Un estudio sobre Kenia, Nigeria e India

Incidencia de Malaria y precipitación mensual de 1990 a 2014. Para todos los países el cálculo de la correlación indica que apenas existe relación lineal entre la precipitación mensual media e incidencia de malaria por 1000 (Kenia: r=0,1792, Nigeria: r=0,263 e India: r=0,1095). El coeficiente de determinación (R2) indica que el modelo de regresión lineal explica únicamente el 3% de la varianza en Kenia, un 6% en Nigeria y un 1% en India, indicando que el modelo de regresión no es un buen modelo en este caso.

65 

32º CERTAMEN JÓVENES INVESTIGADORES / Ciencias Sociales y Jurídicas

Incidencia de Malaria y PIB de 1990 a 2014. En los tres países se observa una correlación negativa en los 14 años entre la incidencia de malaria y el PIB (Kenia: r=-0,9572, Nigeria: r=-0,6341 e India: r=-0,572). Con una proporción de varianza explicada, a través del coeficiente de determinación (R2), del 92% en el caso de Kenia, 32% en el caso de la India y 40% en el caso de Nigeria. En los tres países se observa que, a mayor PIB, menor es el número de casos de malaria.

CONCLUSIÓN

En primer lugar, se presenta las conclusiones sobre la evolución a través de los años para cada una de las variables estudiadas y, en segundo lugar, sobre la relación de la enfermedad con las variables independientes propuestas. Descriptivamente y observando las gráficas se muestra una tendencia en la disminución de la incidencia de malaria desde 1990 a 2014, más claramente en Kenia; exceptuando el aumento abrupto de India en 2010.

En las variables climatológicas se observa una gran variabilidad, con más estabilidad en las precipitaciones, sobre todo en India, que en la variación de

66 

¿En qué medida factores climáticos y económicos afectan a la incidencia anual de malaria? Un estudio sobre Kenia, Nigeria e India

temperatura. En cuanto a la economía, los tres países durante este periodo de catorce años, aumentan su PIB y disminuyen su incidencia de malaria, aunque cabe destacar la importante caída del PIB en India que de 2007 a 2008 pasa de 2.128.820 millones $ a 668.870 millones $.

Respecto a la relación entre las variables, el índice de correlación entre la malaria y la variación de temperatura es negativo en los tres países. Esta correlación negativa indica, a nivel descriptivo, que, a mayor variación de la temperatura, menor incidencia de la malaria. Sin embargo, el modelo lineal explica un porcentaje bajo de la varianza. En cuanto a la incidencia de la malaria y la precipitación, la baja correlación obtenida en los tres países indica que, en el periodo temporal seleccionado, no se evidencia relación entre ambas variables. La variable que indica una mayor relación con el paludismo es la que tiene que ver con los factores económicos. Se ha encontrado una clara correlación negativa entre la incidencia de malaria y el producto interior bruto, sobre todo en Kenia, con un índice de correlación muy alto en términos absolutos (r=-0,96), pero también en Nigeria y la India, poniendo de manifiesto que a mayor PIB menor incidencia de la enfermedad. La crisis que sufrió India se ha mencionado tantas veces porque es un caso que refleja claramente esta relación y por ello considero que es un caso significativo en este estudio, mostrando que el nivel económico de un país tiene una gran repercusión sobre la salud de su población.

En definitiva, los datos no evidencian una clara relación entre las variables climáticas y la incidencia de la malaria, no apoyándose la hipótesis de partida, lo que podría indicar que estas variables tienen un impacto bajo sobre el paludismo. Sin embargo, desde la teoría esto no tendría sentido, ya que un incremento de las condiciones ideales para un vector o un parásito supondría mejores condiciones para su existencia y, por tanto, un aumento de su número. Antes de descartar esta hipótesis sería conveniente llevar a cabo un estudio más prolongado y completo con el fin de constatar posibles relaciones.

La conclusión más clara del estudio pone en evidencia que el nivel económico de una zona tiene un gran efecto sobre la salud poblacional; así, si se invierten en recursos para combatir enfermedades y/o en incrementar las condiciones urbanas, se facilitará el control sobre el parásito. Esto demuestra la razón por la que la malaria se considera una enfermedad de la pobreza. Así, la salud no solo implica el correcto funcionamiento de los sistemas biológicos, sino que son múltiples los factores que afectan el desarrollo y propagación de una enfermedad, como estamos viendo estos días con la pandemia del coronavirus.

67 

CERTAMEN JÓVENES INVESTIGADORES / Ciencias Sociales y Jurídicas

BIBLIOGRAFÍA

Asociación de Médicos de Sanidad Exterior. (2012) Inf. Epidemiológica. Paludismo. Epidemiología y situación mundial. Recuperado de:

https://www.amse.es/informacion-epidemiologica/68-paludismo-epidemiologia-y-situacion-mundial Última visita: 15-11-2019

Bueno Marí, R y Jiménez Peydró, R (2008). Malaria en España: aspectos entomológicos y perspectivas de futuro. Revista Española de SaludnPública, 82(5), 467-479.

Institute for Health Metrics and Evaluation (IHME). (2018) Findings from the Global Burden of Disease Study2017. Recuperado de:

http://www.healthdata.org/sites/default/files/files/policy_report/2019/ gbd_2017_booklet.pdf, Última visita: 28-11-2019

Laboratory Identification of Parasites of Public Health Concern. Malaria. Centers of Disease Control and Prevention (CDC). Recuperado de

https://www.cdc.gov/dpdx/malaria/index.html, Última visita: 20-11- 2019

Naciones Unidas. Cambio Climático. Recuperado de:

https://www.un.org/es/sections/issues-depth/climate- change/index.html

Última visita: 27-11-2019

Naciones Unidas. (1992). Convención Marco de las Naciones Unidas sobre el Cambio Climático. Recuperado de:

https://unfccc.int/resource/docs/convkp/convsp.pdf Última visita: 27-11-2019

Naciones Unidas. (2018). WHO Health and Climate Change Survey Report. Recuperado de:

https://www.who.int/publications-detail/who-health-and-climate-change-survey-report-tracking-global- progress Última visita: 28-11-2019

National Aeronautics and Space Administration. (2014). What Is Climate Change? Recuperado de:

https://www.nasa.gov/audience/forstudents/k-4/stories/nasa-knows/ what-is-climate-change-k4.html Última visita: 27-11-2019

Our World in Data (n.d.) Recuperado de: https://ourworldindata.org/grapher/ average-monthly- precipitation?tab=chart&time=1900..2014&country Última visita: 17-11-2019

Sachs, J y Malaney, P (2002). The economic and social burden of malaria. Nature, 415(6872), 680

World Health Organization. (2018) Climate change and health. Recuperado de: https://www.who.int/news-room/fact-sheets/detail/climate-change-and-health Última visita: 27-11-2019

World Health Organization. (2018) Malaria.World malaria report 201. Recuperado de: https://www.who.int/malaria/publications/world-malaria-report-2018/en/ Última visita: 15-11-2019

32º
68 

/ TERCER PREMIO Y ESTANCIA CSIC

AUTOR | PABLO FELIPE RUIZ ESPINOZA

COORDINADORA | VIRGINIA SANZ PÉREZ

CENTRO | IES ALKALA-NAHAR

CIUDAD | ALCALÁ DE HENARES -MADRID

RESUMEN |

Llamamos sinestesia al fenómeno neuropsicológico no patológico consistente en la percepción simultánea de dos modalidades sensoriales en respuesta a un único estímulo, siendo una no estimulada directamente. Se estima que un 4,4% de la población es sinestésica, sin embargo, el único estudio existente en España nos arroja un 13,95%.

Por ello, en este trabajo, se estudiaron distintas asociaciones multisensoriales en una muestra de la población del centro peninsular, con el objetivo de detectar sinestésicos, y comparar su prevalencia según sexo y edad. Para ello, se realizó una exhaustiva revisión bibliográfica y dos experimentos. En el primero, se realizaron tres cuestionarios relacionados con las modalidades día-color, número-color y música-color en 242 personas de 8 a 98 años. Aquellas personas con alta concurrencia en sus respuestas fueron seleccionadas para un segundo cuestionario personalizado.

Los resultados arrojan un 3,7% de sinestésicos entre los encuestados, siendo el porcentaje menor según sea mayor la edad del encuestado. El segundo cuestionario fue determinante para discernir entre el fenómeno en sí y las relaciones emocionales o de aprendizaje.

En conclusión, nuestros resultados están más en consonancia con la media internacional que con la estimada en España, siendo necesarios más estudios y protocolos más exhaustivos para la detección de la sinestesia.

Los miércoles son de color verde lima: La prevalencia de la sinestesia en una muestra del centro peninsular
CIENCIAS SOCIALES Y JURÍDICAS
 70

ABSTRACT |

Synaesthesia is the neuropsychological and non-pathological phenomenon that consists of the simultaneous perception of two sensory modalities in response to a single stimulus, being one of them not directly stimulated. Although it’s estimated that 4.4% of the population is synesthete, the only existing national study points at 13.95%.

In this project, we have studied different multisensorial associations in a population sample of the peninsular center, with the aim of detecting synesthetes and comparing their prevalence according to sex and age. To achieve this, an exhaustive bibliographic revision related to synaesthesia and two experiments were carried out. In the first one, we handed three questionnaires related to the modalities day-colour, number-colour and music-colour to 242 people from 8 to 98 years old. The ones who got a high-performance result were selected to take a custom second questionnaire.

The results indicate that 3.7% of the participants are synaesthetic, being the percentage lower as the participant’s age gets higher. The second questionnaire was decisive to distinguish this phenomenon from emotional or learning relations.

From what has been presented, one may conclude that our results are in line with the international average rather than with the estimated Spanish one, being more studies and more exhaustive protocols necessary for synaesthesia detection.

CIENCIAS SOCIALES Y JURÍDICAS 71 

CERTAMEN JÓVENES INVESTIGADORES / Ciencias Sociales y Jurídicas

1. INTRODUCCIÓN

Desde nuestra infancia se nos ha explicado que los ojos sirven para ver, la lengua para saborear, el oído para escuchar… Sin embargo, todos hemos hecho un comentario “ácido” o hemos visto objetos de color amarillo “chillón”. Pero ¿qué pasaría si se fuera más allá de la metáfora?

La sinestesia (del griego συν [syn], junto; y αισθησία [aisthesía], sensación) es la condición no patológica consistente en la percepción simultánea de dos modalidades sensoriales en respuesta a un único estímulo: por un lado, la sensación correspondiente al estímulo percibido, y por otro, la involuntaria, no relacionada con su naturaleza perceptiva (Melero, Peña y Ríos, 2014).

Aunque se percibe de forma unitaria, podemos plasmarla en función de dos componentes interrelacionados: inductor y concurrente. El primero es el estímulo que provoca la percepción y el segundo hace referencia a la sensación involuntaria, que podría decirse que es la sensación sinestésica en sí misma, que varía dependiendo del individuo en cuestión.

Debemos destacar la importancia de una comprensión única de la sinestesia, ya que engloba experiencias de gran diversidad. Pese a ello, sus 73 modalidades (clasificadas en intramodales, intermodales y conceptuales) comparten ciertas características generales constatadas en diversos estudios.

La estabilidad es su característica de mayor importancia, ya sea por ser el principal punto de acuerdo en cuanto al fenómeno (Johnson, Allison y Baron-Cohen, 2019), como por ser el foco de sus investigaciones. Hay estudios (Baron-Cohen, Wyke y Binnie, 1987) donde se ha demostrado que los concurrentes se mantienen prácticamente iguales para cada inductor a lo largo del tiempo.

Este “espectáculo sensorial” quizá no tenga sentido para la mayor parte de la población, pero para los sinestésicos, es la única realidad que conocen. Todos conocemos a un sinestésico, aunque lo más probable es que esa persona no sea consciente de ello. Por ello, además de llevar a cabo una labor de muestreo para evidenciar la realidad de la sinestesia, buscamos ser un medio de divulgación.

2. ANTECEDENTES

En el ámbito de la sinestesia el diagnóstico se trata de un paso que ha sido sometido a múltiples cuestionamientos a lo largo del tiempo. Además de la histórica falta de unanimidad en la caracterización de este fenómeno, se ha ido discutiendo la legitimidad de la recolección de datos introspectivos en psicología (Baron-Cohen, 1996; Cytowic, 1995; Johnson, Alison y Baron-Cohen, 2019).

No fue hasta la década de los 80 del siglo XX, que apareció el Test de Autenticidad (TOG: del inglés Test of Genuineness), que evaluaba la consistencia en informes de personas sinestésicas (Baron-Cohen, Wyke y Binnie 1987). Se

32º
72 

Los miércoles son de color verde lima: La prevalencia de la sinestesia en una muestra del centro peninsular estableció como modelo de estudio experimental: constaba de diversos ítems que aparecían en dos ocasiones separadas temporalmente y debían asociarse a otros.

Hoy en día, se considera el estudio de Simner et al. (2006), el de mayor rigor y exhaustividad, apuntando a una prevalencia del 4,4% de la población.

En relación con la variable sexo, revisiones como las de Melero, Peña y Ríos (2014) afirman una mayor prevalencia en la población femenina. Sin embargo, la ratio varía de forma sustancial dependiendo del método llevado a cabo: desde una ratio 6,2:1 hasta 1,1:1. Además, ciertos autores debaten una mayor incidencia de la sinestesia en niños (Hupé, 2012; Simner, et al. 2017).

En España, tenemos noticia de un estudio en la publicación neurológica en español de mayor tirada y divulgación (Melero, Peña y Ríos, 2015) que apunta a un 13,95% de sinestésicos en la población. Se ha optado por realizar una comparativa entre las diferentes asociaciones multisensoriales para así observar patrones de respuesta, cuya consistencia temporal apunte hacia la sinestesia.

3. HIPÓTESIS Y OBJETIVOS

El objetivo primordial del trabajo es estudiar la prevalencia de la sinestesia en zonas del centro peninsular. Además, se realizará una aproximación a la carga psico afectiva y vivencial de las asociaciones sensoriales.

La hipótesis nula que se propone es la independencia de la consistencia en respuestas asociativas sinestésicas respecto a sexo y edad. Sin embargo, por la revisión bibliográfica realizada proponemos que en nuestra muestra existen diferencias en el número de sinestésicos que encontramos dependiendo del rango de edad (Simner et al. 2017) además del sexo. En el caso del sexo, proponemos un mayor número de mujeres sinestésicas como en diversos estudios (Rich, Bradshaw y Mattingley 2005; Simner et al. 2006). Mientras tanto, en el caso de la edad, pese a que pueda defenderse una menor incidencia en niños (Simner y Bain 2013), creemos que la sinestesia se pierde con la edad. Nuestro planteamiento se debe a que está relacionada con la asociación mental (Havlik, Carmichael y Simner 2015), la cual desciende en la población de mayor edad (Kemps y Newson 2005).

En resumen, nuestras hipótesis son las siguientes:

I. La frecuencia en la consistencia en las asociaciones sinestésicas será mayor en el sexo femenino.

II. Dicha consistencia dependerá de la edad, viéndose reducida a medida que disminuye la variable.

III. Las asociaciones tendrán un factor emocional.

73 

CERTAMEN JÓVENES INVESTIGADORES / Ciencias Sociales y Jurídicas

IV. La prevalencia de la muestra será similar a la aceptada internacionalmente.

V. En relación con las primeras hipótesis, detectaremos más niñas sinestésicas.

Para alcanzar estos objetivos realizaremos un estudio comparativo a partir de los datos de tests online.

4. MATERIALES Y MÉTODOS

4.1. PARTICIPANTES

Se aplicó el cuestionario de forma incidental, en dos centros educativos, el CEIP José Inglés de Chiloeches (Guadalajara) y el IES Alkal’a Nahar de Alcalá de Henares (Madrid), a estudiantes y docentes y en un centro de mayores, el Centro de Día Psicogeriátrico El Val, de Alcalá de Henares (Madrid). Asimismo, se difundió el cuestionario entre contactos de los participantes de estos centros. Por tanto, obtuvimos participantes de distintas edades y sexo en cada cuestionario. Hemos recopilado los datos proporcionados por 242 personas distintas, siendo una participación distinta en cada uno de los cuestionarios (236 de ellas participaron en el primer cuestionario, 198 en el segundo y 189 en el tercero). La muestra se compone de 157 mujeres y 85 hombres. La edad media del conjunto de los participantes es 23,3 años (rango: 8-98 años), y la moda, 17 años.

4.2. PRIMEROS CUESTIONARIOS

En primer lugar, se desarrollaron tres cuestionarios a los que se tuvo acceso a través de internet. Los cuestionarios comienzan con una invitación a que los participantes proporcionen una serie de datos personales: edad, sexo, daltonismo y una codificación de nombre y apellido para localizarles.

Basándonos en la estabilidad sinestésica, en estos primeros cuestionarios se buscaba valorar una asociación espaciada temporalmente de un estímulo (inductor) con un color (concurrente). Por tanto, en cada prueba se proporcionaban estímulos en dos ocasiones no consecutivas y debían ser relacionados con un color de una paleta electrónica de 12 colores (rojo, naranja, amarillo, verde, azul claro, azul oscuro, morado, rosa, marrón, blanco, gris y negro). Estos colores están basados en los irreducibles de Berlin y Kay (1969), con la adición de las variantes del color azul. Se ha decidido usar este número ya que en estudios como el de Asher et al. (2006), se ha visto que un gran número de colores resulta abrumador para el sujeto.

Cada uno de los cuestionarios está relacionado con una modalidad distinta de sinestesia y se deben asociar distintos estímulos a los colores ya mencionados:

• El primero tiene relación con la sinestesia número-color (intramodal) y con bases en Simner et al. (2009), consta de 20 ítems de respuesta cerrada en los que se deben relacionar las diez cifras del 0 al 9.

32º
74 

Los miércoles son de color verde lima: La prevalencia de la sinestesia en una muestra del centro peninsular

• El segundo tiene relación con la sinestesia música-color (intermodal) y consta de 12 ítems de respuesta cerrada en los que hay que relacionar 6 acordes tocados con un teclado: C, Cm, D, Dm, A y Am.

• El tercero tiene relación con la sinestesia día-color (conceptual) y consta de 14 ítems de respuesta cerrada en los que se asocian los días de la semana.

Tanto el orden de los estímulos como el de los colores presentados han aparecido en orden aleatorio. La prueba se realiza sin descanso entre estímulos. Sin embargo, el participante tiene todo el tiempo deseado para elegir el color.

4.3. SEGUNDA PRUEBA

Aquellos participantes que demostraron tener una alta estabilidad en las respuestas, es decir, mantuvieron el concurrente para el inductor indicado en más de un 70% de los casos, fueron invitados a volver a realizar otro cuestionario, en esta ocasión, personalizado para cada participante, para valorar su desempeño a lo largo del tiempo y la posibilidad de que sean sinestésicos.

Con bases en las tareas Stroop, en este segundo cuestionario, se muestran los inductores con los concurrentes ya asignados. Por ejemplo, se muestra un siete de color rosa y uno de un color similar. El participante deberá decidir si la asociación es correcta o incorrecta además de poder expresar la emoción producida. Más adelante, estas emociones se clasificarán en positivas, neutras o negativas para su análisis estadístico. Dependiendo del tipo o los tipos de sinestesia a evaluar, el cuestionario consta de un número entre 12 y 34 ítems de respuesta cerrada. Así se ve si hay congruencia con los resultados anteriores y se determina si el individuo es sinestésico.

75 
Figura 1 Captura de pantalla del cuestionario número-color.

CERTAMEN JÓVENES INVESTIGADORES / Ciencias Sociales y Jurídicas

4.4. ANÁLISIS ESTADÍSTICO

Para el almacenamiento de datos y la posterior realización de gráficas se utilizó el software Microsoft Excel. El análisis estadístico fue gracias al programa SPSS, empleando la regresión lineal para estudiar la relación entre la variable edad y la consistencia del primer cuestionario; y el análisis de la varianza (ANOVA) para comparar dicha consistencia entre sexos y para evaluar las diferencias de emociones expresadas en las asociaciones.

5. RESULTADOS

5.1. SOBRE LOS PRIMEROS CUESTIONARIOS

A la hora de analizar los resultados de nuestros cuestionarios, se ha decidido no utilizar los resultados proporcionados por personas daltónicas ni de aquellos que han contestado el mismo color durante toda la encuesta. Por tanto, finalmente se han analizado los datos recopilados por 211 personas en el cuestionario de la sinestesia número-color, 174 personas en el de la sinestesia música-color y 166 personas en el de la sinestesia día-color.

También se ha realizado un análisis descriptivo de las asociaciones más comunes ante los estímulos presentados:

• Números: 0 y 1 blancos, 2 rojo, 3 amarillo, 4 y 7 verdes, 5 naranja y 6, 8 y 9 morados.

• Acordes: C negro, Cm naranja, D y Dm grises, y A y Am amarillos.

• Días: lunes y domingo negros, martes rojo, miércoles y viernes verdes, jueves marrón, y sábado morado.

Figura 2

Comparativas de la media de consistencia en porcentaje de cada sexo por modalidad. Las barras coloreadas en su totalidad representan al sexo femenino y las que se encuentran en un patrón diagonal representan al masculino. Los distintos grafemas sobre las barras de error indican diferencias significativas entre sexos para cada modalidad.

32º
76 
5.1.1. SEXO

Los miércoles son de color verde lima: La prevalencia de la sinestesia en una muestra del centro peninsular

Los resultados indican que la consistencia es mayor en sujetos femeninos con niveles de significación del 0,128, del 0,052 y del 0,056 para las modalidades música-color, día-color y número-color respectivamente. En la modalidad en la que hallamos la de mayor diferencia en consistencia es la de día-color, mientras que en la música-color esta diferencia se reduce debido a la baja consistencia en el propio cuestionario.

Regresión lineal de la relación entre la edad y la consistencia en la asociación entre número y color. Los resultados indican que la consistencia es menor a medida que avanza la edad con una R= -0,21 para un nivel de significación del 0,01 (**). Podemos afirmar que nuestros resultados son significativos para un 99,8% de los casos.

5.1.2. EDAD

Regresión lineal de la relación entre la edad y la consistencia en la asociación entre acorde y color. Los resultados estadísticos nos arrojan una tendencia prácticamente horizontal, con una R= -0,05, lo que indica que la consistencia en la respuesta no depende de la variable edad. Además, el contraste de hipótesis nos indica que el valor p es superior al nivel de significación 0,1. Por tanto, podemos afirmar que, respecto a este cuestionario, nuestros resultados no arrojan una tendencia clara.

77 
Figura 3 Figura 4

32º CERTAMEN JÓVENES INVESTIGADORES / Ciencias Sociales y Jurídicas

Regresión lineal de la relación entre la edad y la consistencia en la asociación entre día y color. Los resultados indican que la consistencia es menor a medida que avanza la edad con una R= -0,32 para un nivel de significación del 0,001 (***). Podemos afirmar que nuestros resultados son significativos para un 100% de los casos.

De las 37 personas que tuvieron una consistencia superior al 70% en el primer cuestionario, 26 fueron seleccionadas para realizar el segundo cuestionario. Tras el análisis descriptivo de sus respuestas, se ha llegado a la conclusión de que 9 personas son potencialmente sinestésicas. Los datos proporcionados han sido comparados con las respuestas del primer cuestionario. Si las respuestas se mantenían en más de un 70% de las ocasiones, hemos considerado que el fenómeno asociativo que se presenta es la sinestesia.

En cuanto a edad respecta, cuatro sujetos son niños (tres de 11 años y una de 10 años), tres son adolescentes (de 16 años) y dos son adultos (de 37 y 44 años). Si nos referimos al sexo de estas nueve personas, ocho de ellas son mujeres, habiendo encontrado tan solo un hombre que apunta a ser sinestésico.

Respuestas asociativas de los participantes del segundo cuestionario.

78 
5.2. SOBRE LA SEGUNDA PRUEBA Figura 5 Figura 5.1

Los miércoles son de color verde lima: La prevalencia de la sinestesia en una muestra del centro peninsular

Observamos una tendencia a emitir una respuesta positiva en la asociación congruente, y negativa en la incongruente (F=255,25; significación = 0,000). La polarización de estas respuestas es más acusada en los nueve participantes que apuntan a ser sinestésicos (F=77,61; significación = 0,000) frente a los participantes que no.

6. CONCLUSIONES

Nuestra primera hipótesis establecía que las mujeres tendrían una consistencia mayor en las asociaciones sinestésicas. Los resultados muestran una diferencia significativa de consistencia media entre sexos, siendo mayor la femenina (especialmente en el cuestionario relacionado con la día-color), apoyando esta primera hipótesis. Estos resultados están en consonancia con los datos ya expuestos. Así, también podríamos apuntar, como Simner y Carmichael (2015) a la psicosociología como clave de una respuesta más acusada en el sexo femenino. Según estos autores, es conocido que las mujeres son más propensas que los hombres a informar acerca de experiencias atípicas, lo que se ve en una variedad de dominios. Por tanto, esto puede ser responsable de las tasas altas de sinestésicas en los estudios de prevalencia.

Además, en cuanto a la relación con la variable edad, encontramos una tendencia descendente de consistencia en nuestros resultados, lo que avala nuestra segunda hipótesis.

En cuanto a los cuestionarios número-color y día-color encontramos unas tendencias descendentes, que reflejan una mayor consistencia en las poblaciones más jóvenes. Aunque en ellas se adviertan las congruencias más altas (10/10 y 7/7) en un intervalo de tiempo reducido de test-retest, ha de destacarse el ruido muestral que proporcionan. Estos resultados están en consonancia con estudios que indican una mayor consistencia en niños, por lo que su consistencia es mayor (Simner et al. 2017).

No obstante, la regresión lineal en el cuestionario música-color arroja unas consistencias bajas, con tan solo tres casos en los que la congruencia supera el 50% (3/6), provocando que la línea de tendencia de este cuestionario sea prácticamente horizontal. La baja consistencia de este cuestionario podría explicarse por el escaso oído musical de la población general, por el que no se puede realizar una fácil identificación de los acordes musicales. Es más, el oído perfecto o tono natural (perfect pitch), está relacionado con la sinestesia (Loui, Zamm y Schlaug, 2012), lo que avalaría la explicación a nuestros resultados.

Por otro lado, podemos hablar de la naturaleza de estas asociaciones. Apoyando nuestra hipótesis III, en nuestro estudio se han encontrado ciertas asociaciones más comunes, como es el caso de la asociación del día lunes con el color negro. Una posible explicación a este resultado es un vínculo psicoafectivo entre ambos, siendo el color negro un referente negativo a la vuelta a la rutina.

79 

CERTAMEN JÓVENES INVESTIGADORES / Ciencias Sociales y Jurídicas

Además, en aquellas personas con una consistencia inicial mayor, se quiso probar la emoción generada por sus inductores coloreados de su color concurrente y de otro color similar. En ellas se encontró una respuesta de mayor positividad hacia el estímulo congruente y más negativa para el incongruente. Esta respuesta fue más acusada en las personas que apuntan a ser sinestésicas. Este hallazgo se encuentra en línea con la idea de que la sinestesia lleva consigo una carga emocional.

Además, a partir de los resultados de estos cuestionarios, podemos afirmar que 9 de los 242 sujetos apuntan a ser sinestésicos, que porcentualmente es un 3,7%, un resultado en línea con estudios internacionales, cercano a la cifra estimada por Simner y sus colaboradores (4,4%; 2006), aunque lejano al dato que arroja el único estudio nacional, un 13,95% (Melero, Peña y Ríos, 2015). Por ello, nuestra cuarta hipótesis se ve confirmada. Esta divergencia puede deberse a una diferencia en la metodología y en la muestra.

Nuestro estudio solo consta de cuestionarios de datos objetivos para tres tipos de sinestesia: número-color, música-color, día-color, que, a pesar de ser tres de las modalidades más comunes y representativas, pueden haber sido un número pequeño de modalidades a estudiar. Por esto, en próximos estudios se podría realizar un mayor número de tipos.

Por último, como hemos comentado, una de las principales metas de este trabajo era comprobar si existían diferencias en el número de sinestésicos en función de su edad y su sexo. Anteriormente, ya hemos observado la tendencia discriminatoria en las hipótesis I y II, que se confirmó con el análisis de los resultados del segundo cuestionario, de carácter personal: el número de personas que apuntan a ser sinestésicas era significativamente mayor en mujeres y en la población más joven.

De las 26 personas que realizaron el segundo cuestionario, sólo en nueve de ellas su consistencia se mantuvo prácticamente igual a la del primero. Además, si nos fijamos en el carácter emocional de este fenómeno, la respuesta emocional es mucho más polarizada en el grupo de estas 9 personas que en el total.

El descenso de sinestésicos en cuanto a edad puede deberse al descenso en las asociaciones mentales (Kemps y Newson, 2005). Además, puede tener su origen en el descenso en la memoria asociativa (Bastin et al., 2013) y en la discriminación de los colores (Kinnear y Sahraie, 2002). Por otro lado, en cuanto al sexo, nos referimos también a la cuestión sociológica ya comentada (Simner y Carmichael, 2015). Por tanto, nuestra quinta hipótesis también se confirma, ya que de las nueve personas que apuntan a ser sinestésicas, ocho son mujeres y tan solo una es un hombre. La proporción, sin embargo, es 4,4:1, ya que ha habido una participación sustancialmente mayor de mujeres en nuestro estudio. Además, se han encontrado más personas que apuntan a ser sinestésicas en la población más joven, siendo el 44,4% de estas personas niñas.

32º
80 

Finalmente, nos aventuramos a realizar una estimación de la sinestesia en la población. A partir de nuestros resultados, podemos determinar que un 3,7% de nuestra muestra apunta a ser sinestésica, en línea con investigaciones internacionales. Sin embargo, la falta de estudios en el ámbito nacional y la falta de consonancia con la estimación española previa reflejan la necesidad de realizar más investigaciones con protocolos más exhaustivos, con un mayor número de modalidades en consideración y determinar si este fenómeno está relacionado con otras variables o rasgos.

7. BIBLIOGRAFÍA

BASTIN, C. et al., 2013. Associative memory in aging: The effect of unitization on source memory. Psychology and Aging. 28(1), pp. 275–283.

BARON-COHEN, S., et al., 1996. Synaesthesia: Prevalence and Familiality. Perception. 25(9), pp. 1073-1079.

BARON-COHEN, S., WYKE, M. y BINNIE, C., 1987. Hearing words and seeing colours: an experimental investigation of a case of synaesthesia. Perception. 16 (6), pp 761-767.

CALLEJAS, A. y LUPIÁÑEZ, J., 2012. Sinestesia: El color de las palabras, el sabor de la música, el lugar del tiempo.... Madrid: Alianza Editorial.

CYTOWIC, R., 1995. Synesthesia: Phenomenology and Neuropsychology. A Review of Current Knowledge. Psyche. 2(10).

CYTOWIC, R. y EAGLEMAN, D., 2009. Wednesday is Indigo Blue. Discovering the brain of synesthesia. Cambridge: MIT Press. ISBN 978-0-262-01279-0.

DAY, S., 2019. Types-of-Syn. Daysyn.com. Disponible en: http://www.daysyn. com/Types-of-Syn.html

HAVLIK, A., CARMICHAEL, D. y SIMNER, J., 2015. Do sequence-space synaesthetes have better spatial imagery skills? Yes, but there are individual differences. Cognitive Processing. 16(3), pp. 245–253.

HUPÉ, J., 2012. Synesthesia as a neuronal palimpsest. Medicine Sciences. 28(8), pp. 765-771.

JOHNSON, D., ALLISON, C. y BARON-COHEN, S., 2019. The prevalence of synesthesia: The consistency revolution. En: SIMNER, Julia y HUBBARD, Edward M., The Oxford Handbook of Synesthesia, Nueva York: Oxford University Press, pp. 3-22.

KINNEAR, P. y SAHRAIE, A., 2002. New Farnsworth-Munsell 100 hue test norms of normal observers for each year of age 5–22 and for age decades. British Journal of Ophthalmology. 86(12), pp. 1408-1417.

81 
Los miércoles son de color verde lima: La prevalencia de la sinestesia en una muestra del centro peninsular

CERTAMEN JÓVENES INVESTIGADORES / Ciencias Sociales y Jurídicas

KEMPS, E. y NEWSON, R., 2005. Patterns and Predictors of Adult Age Differences in Mental Imagery. Aging, Neuropsychology, and Cognition. 12(1), pp. 99-128.

LOUI, P., ZAMM, A. y SCHLAUG, G., 2012. Absolute Pitch and Synesthesia: Two Sides of the Same Coin? Shared and Distinct Neural Substrates of Music Listening. En: InternationalConferenceonMusicPerceptionandCognition.

MELERO, H., PEÑA, A. y RÍOS, M., 2014. Sinestesia, bases neuroanatómicas y cognitivas [en línea] Tesis doctoral. Madrid: Universidad Complutense de Madrid.

MELERO, H., PEÑA, A. y RÍOS, M., 2015. ¿Colores, sabores, números?: la sinestesia en una muestra española. Rev. Neurol. 60(4), pp. 145-150.

SIMNER, J., et al., 2006. Synaesthesia: The prevalence of atypical cross-modal experiences. Perception. 35(8), pp. 1024-1033.

SIMNER, J., et al., 2009. Early detection markers for synaesthesia in childhood populations. Brain. 132(1), pp 57-64.

SIMNER, J. y BAIN, A., 2013. A longitudinal study of grapheme-color synesthesia in childhood: 6/7 years to 10/11 years. Front. Hum. Neurosci. 7.

SIMNER, J. y CARMICHAEL, D. 2015. Is synaesthesia a dominantly female trait? Cognitive Neuroscience. 6(2-3), pp. 68-76.

SIMNER, J., et al., 2017. Does synaesthesia age? Changes in the quality and consistency of synaesthetic associations. Neuropsychologia. 106, pp. 407-416.

82 
32º

De Ciencia a Pseudociencia: 6 letras entre la vida y la muerte

AUTORA | ANA JOAQUINA CANDEL MARÍN

COORDINADOR | PEDRO PEINADO ROCAMORA

CENTRO | IES LOS ALBARES

CIUDAD | CIEZA-MURCIA

RESUMEN |

Pseudoterapias, movimientos antivacunas, teorías conspirativas y cualquier forma de pseudociencia han sido tratadas en la presente investigación con el objetivo de conocer hasta qué punto la imagen social que las personas elaboran de la ciencia está siendo dañada por las mismas. Para ello, se ha llevado a cabo un cuestionario sobre la confianza y la percepción que la sociedad tiene de estas creencias, así como un análisis de documentos y casos que guardaran relación con las mismas. Se han encontrado 138 documentos, entre ellos 37 casos con 9 millones de pacientes que han sufrido efectos adversos por un exceso de confianza en la pseudociencia, destacando las pseudoterapias. Por otra parte, el cuestionario ha demostrado que es elevado el número de personas que deposita una gran confianza en pseudoterapias, y un alto grado de duda a la hora de desmentir mitos pseudocientíficos como el terraplanismo. Por último, se dedicó una fase a estudiar la propagación de la pseudociencia en un caso real, como es el del coronavirus. Como conclusiones, se ha encontrado un ascenso en los últimos años del interés que despierta la pseudociencia entre la sociedad, y, a su misma vez, una notable falta de información sobre la propia ciencia, una de las principales causas de su integración. Todo eso vinculado a la cantidad de personas que se encuentran en riesgo, suponiendo cualquier duda sobre el tema un peligro para todos, pues esto denotaría una presencia mayor o menor de la pseudociencia en la vida de las personas.

CIENCIAS SOCIALES Y JURÍDICAS
/ ACCÉSIT
 84

ABSTRACT |

Pseudotherapies, the anti-vaccination movement, conspirational theories and any way of pseudoscience have been addressed in this research with the aim of knowing how deeply the social image that people create of science is being damaged by them. Therefore, it’s been carried out a questionnaire about trust and perception that people have of these beliefs, just as an analyses of documents and cases related to them. They have been found 138 documents, and, among them 37 cases with 9 millions of patients who have suffered adverse effects from an excess of trust in pseudoscience, underlining pseudotherapies. On the other hand, the questionnaire has shown that it’s profound the number of people who put their trust in pseudotherapies, and a high leve lof doubt when it comes to refute pseudoscientific miths as flat earth theory. Lastly, a phase was dedicated to the studio of the propagation of pseudoscience in a real case, as it is the one of Coronavirus. As conclusions, it has been found in the last few years a rise of the interest that pseudoscience awaken interest in society, and, in turn, a prominent lack of information about it, one of the main causes of its integration. All that connected to the amount of people who are in risk, as each doubt about the theme means its presence in society to a greater or lesser degree, and, therefore, a danger for everyone.

CIENCIAS SOCIALES Y JURÍDICAS 85 

CERTAMEN JÓVENES INVESTIGADORES / Ciencias Sociales y Jurídicas

1. INTRODUCCIÓN

En la sociedad actual, los ciudadanos se encuentran expuestos a recibir nueva información por parte de distintas vías de comunicación cada día. Y entre ella se encuentra la información científica, la cual, sea fiable o no, entra en mayor o menor proporción en nuestra forma de pensar, modificando parte de nuestras creencias. Esto sucede desde que se empieza a tener conciencia de los sucesos que ocurren en el mundo, y a partir de esa información, las personas elaboran una imagen social de la ciencia que surge del resultado de la forma en que interaccionan con su entorno desde una perspectiva propia y desde las perspectivas de las personas que forman parte de ese entorno (Muñoz, 2018).

El interés del presente proyecto reside en la creciente introducción de creencias pseudocientíficas en dicha imagen, como el terraplanismo o las pseudoterapias, las cuales se han convertido en un gran tema de debate que cada vez suena más en los medios de comunicación y redes sociales. Dicho interés se ve apoyado por numerosas iniciativas, como el “Plan para la Protección de la Salud Frente a las Pseudoterapias” y la campaña #coNprueba, ambas llevadas a cabo por el Ministerio de Sanidad, Consumo y Bienestar Social y por el Ministerio de Ciencia, Innovación y Universidades en 2019, cuyo objetivo es dar información rigurosa, veraz y accesible a la ciudadanía para que pueda tomar decisiones informadas y responsables frente a las pseudoterapias y pseudociencias.

La situación a la que el mundo ha tenido que someterse debido al Covid19 es uno de los grandes ejemplos de dicho auge, pues tal es su grado de convicción y presencia en la sociedad, que utilizan situaciones extremas como es el caso de la pandemia del coronavirus para propagarse y emplear su desconocido carácter curativo para aprovecharse de la desesperación de los ciudadanos, y aumentar su popularidad. Incluso se ha llegado a desafiar la veracidad de la ciencia con numerosos movimientos y manifestaciones negacionistas por todo el mundo.

2. PSEUDOCIENCIA: ¿CÓMO SURGE?

Dipierri (2004) basa la distinción entre la MAC y la Medicina Convencional en que la segunda, para producir sus contenidos teóricos o conceptuales, recurre a investigaciones científicamente válidas, tales como ensayos clínicos o el uso biológico de sustancias o investigaciones “in vitro”, mientras que la primera no. De ahí surge su definición, establecida por el Centro Nacional de Medicina Alternativa y Complementaria en consenso con la Biblioteca Nacional de Medicina de los Estados Unidos, como “grupo no relacionado de prácticas terapéuticas no ortodoxas, a menudo con sistemas explicativos que no siguen las explicaciones biomédicas convencionales” (Dipierri, 2004, p.243).

Es debido a su presentación como “alternativas” o “complementarias” a la ciencia “oficial” por lo que en los últimos años se ha popularizado el término pseudociencia para referirnos a esta MAC (Schulz, 2005). Según el mismo autor, las pseudociencias pueden tener procedimientos de tipo científico, pero aquello que las frena es que los postulados de los que parten las deducciones que hacen

32º
86 

De Ciencia a Pseudociencia: 6 letras entre la vida y la muerte

son irracionales, dogmáticos, y no se produce un estudio crítico para contrastarlos en función de sus consecuencias con la realidad.

3. HIPÓTESIS DEL TRABAJO Y OBJETIVOS DE LA INVESTIGACIÓN

La hipótesis de la que partimos se basó en que la imagen social de la ciencia está siendo amenazada por la pseudociencia, poniendo a la sociedad en peligro.

En base a la misma, se planteó un objetivo general, que fue analizar ese impacto y las consecuencias que la pseudociencia habían tenido en esa imagen. Y este fue desglosado en dos objetivos específicos, que fueron conocer el uso y la confianza que puede tenerse en la medicina alternativa y complementaria en todas sus formas, y estudiar cuál es el grado de duda y, por tanto, el peligro que genera la integración de la pseudociencia en el conocimiento científico.

4. MATERIALES

Y MÉTODOS

4.1. INSTRUMENTOS UTILIZADOS

4.1.1. INSTRUMENTO 1: CUESTIONARIO IMAGEN SOCIAL DE LA CIENCIA

Se ha utilizado el cuestionario incluido en el Anexo II con preguntas de tipo cualitativo y cuantitativo realizado con el formato “Google Forms”, basado en anteriores cuestionarios elaborados por la Fundación Española para la Ciencia Y Tecnología y el CIS. El cuestionario está dividido en tres partes, y en cada una de ellas se ha recogido:

1. Datos de clasificación.

2. Conocimiento y uso de Pseudoterapias.

3. Percepción y resistencia social a la ciencia.

4.1.2. INSTRUMENTO 2: ANÁLISIS DOCUMENTAL

El análisis se basa en el estudio llevado a cabo por Posadzki, Alotabi y Ernst (2012) titulado Adverse effects of homeopathy: a systematic review of published case reports and case series, en el cual se evalúa la evidencia de la homeopatía en base a una recogida de 378 casos en los que se había recurrido a esta terapia. Los documentos recogidos fueron clasificados según los criterios incluidos en la Tabla 1:

87 

CERTAMEN JÓVENES INVESTIGADORES / Ciencias Sociales y Jurídicas

TIPO DE INFORMACIÓN HERRAMIENTA DE RECOGIDA HERRAMIENTA DE RECOGIDA

Tabla 1

Clasificación de los documentos recogidos en el Instrumento 2.

Noticia de prensa Periódicos de interés nacional y de divulgación científica

Opiniones Redes sociales

Documento o libro oficial Revistas científicas, Google Scholar

Divulgación Blogs, Redes Sociales, Google Scholar

4.2.

FASES Y PROCEDIMIENTO DE LA INVESTIGACIÓN

4.2.1. CONSTRUCCIÓN DEL OBJETO DE ESTUDIO

Tras un largo recorrido por la homeopatía, en septiembre de 2019 se decidió dar un nuevo enfoque al tema del trabajo con la pseudociencia en general. Entonces, se llevó a cabo la ampliación de la revisión bibliográfica, se reformularon el problema y los objetivos tanto generales como específicos, y se diseñó un nuevo experimento.

4.2.2. FASE EXPERIMENTAL

La fase experimental constituye la parte en la que se llevó a cabo el trabajo de campo de la investigación, que, a su vez, podría dividirse en tres etapas incluidas en la Figura 1:

Figura 1

Etapas en las que se llevó a cabo la fase experimental.

REALIZACIÓN Y PUBLICACIÓN DEL CUESTIONARIO

-Conocimiento y confianza en la pseudociencia por la sociedad.

-Fecha: Desde el 24/11 hasta el 20/01.

-Instrumento I.

-Pretest (30 personas).

RECOPILACIÓN DE DOCUMENTOS ESTUDIO DE LA PSEUDOCIENCIA EN EL CASO DEL CORONAVIRUS

-Noticias, opiniones, estudios e interés actual sobre la pseudociencia.

-Fecha: De diciembre de 2019 hasta el final de la investigación.

-Instrumento II.

-Clasificación de los documentos en función de sus consecuencias, fecha y tipo de pesudociencia.

4.2.3. FASE ANALÍTICA

-Ampliación del análisis del avance de la pseudociencia en un caso real.

-Fecha: 13/03/2020-13/04/2020.

-Instrumento II.

-Teorías conspirativas, posibles curas, orígenes y casos semanalmente.

Durante los meses de febrero y marzo de 2020, y, de abril en el caso de la última fase, los datos anteriormente recogidos y organizados se analizaron para poder establecer relaciones entre variables y resultados en función a los objetivos planteados. Al ser la información obtenida en cada instrumento complementaria, se relacionaron los resultados para dar un enfoque más general a la situa-

32º
88 

De Ciencia a Pseudociencia: 6 letras entre la vida y la muerte

ción actual, y se fue viendo el avance que ha ido teniendo la pseudociencia a lo largo de los años hasta llegar al día de hoy, obteniéndose así las conclusiones del trabajo.

5. RESULTADOS

5.1. INSTRUMENTO 1: CUESTIONARIO

Se obtuvieron 385 respuestas al cuestionario, siendo entre ellas un 63% de mujeres y un 35% de hombres. Las cuales, debido a la organización anteriormente descrita de este Instrumento en tres bloques, serán analizadas en base a esa división:

5.1.1. BLOQUE II: CONOCIMIENTO Y USO DE PSEUDOTERAPIAS

Para responder a la primera y segunda pregunta de este bloque, se han agrupado los datos en dos bloques, y se han relacionado el uso y la confianza de cada bloque (Figura 2):

En primer lugar, en respuesta a la pregunta sobre la confianza y el uso de terapias del grupo 1, una de las más destacadas por despertar mucha confianza es el yoga, una de las más populares, dato que puede haber influido en las respuestas de los encuestados, puesto que, a la hora de preguntar sobre su uso, poco más de la mitad la han utilizado.

89 
9,80% 11,68% 18,18% 30,13% 31,95% 45,71% 48,57% 5,45% 8,57% 3,38% 16,36% 20% 35,80% 31,17% 0,00% 10,00% 20,00% 30,00% 40,00% 50,00% 60,00% Imanes terapéuticos Aromaterapia Hipnosis Risoterapia Musicoterapia Meditación Yoga 10,40% 10,65% 12,20% 13,25% 18,70% 29,35% 35,58% 7,53% 8,31% 5,97% 10,40% 30,40% 21,56% 34,55% 0,00% 5,00% 10,00% 15,00% 20,00% 25,00% 30,00% 35,00% 40,00% Reiki
Naturopatía
Plena o bastante confianza Lo han usado Figura 2 Uso y confianza depositada en diversas prácticas pseudocientíficas.
Flores
de Bach Medicina Tradicional China Homeopatía Acupuntura Plantas Medicinales

Figura 3

Motivos por los que la gente cree que las pseudoterapias son utilizadas.

JÓVENES INVESTIGADORES / Ciencias Sociales y Jurídicas

En segundo lugar, al pasar al grupo 2 de terapias, desciende de forma general la confianza depositada en ellas, siendo las más llamativas la acupuntura, las plantas medicinales y la homeopatía. Aunque estas terapias son más utilizadas, pero destaca el mismo dato que antes, puesto que la mayoría de los encuestados respondieron sin un conocimiento previo de su funcionamiento.

Además, cabe mencionar que en ambos hay alrededor de un 30% de encuestados que ha votado “algo de confianza”, lo que despierta interés debido a que no son capaces de establecer un juicio positivo o negativo de las mismas, puede que debido a la falta de información sobre las mismas.

Se estableció otra gran pregunta en este segundo bloque, relacionada con el motivo por el que las Pseudoterapias son utilizadas, cuyas respuestas se ven en la Figura 3.

La gente cree que la medicina convencional es perjudicial Otro

Lo han oído de alguien cercano y cree en ellas sin motivo concreto

Son más baratos que los tratamientos convencionales Ayudan a tener una vida sana y equilibrada

Previenen enfermedades y dolencias

Hacen el mismo efecto que la medicina convencional y son más…

Curan enfermedades o dolencias que la medicina convencional no Alivia los efectos secundarios de la medicina convencional

Los motivos que predominan en esta pregunta se basan en el desconocimiento, siendo un 33,80 % de encuestados los que han elegido que lo hacen porque “Lo han oído de alguien cercano y cree en ellas sin ningún motivo concreto”. Otra parte de las respuestas se sustenta en que estas terapias aportan una serie de beneficios, siendo alrededor de un 24% aquellos que incluyeron que estas son sanas o curan dolencias.

A su vez, hay algunas opiniones pertenecientes a ese 3,60% de otras afirmaciones de mención obligada, como aquellas que asocian su uso a la falta de información, a la desesperación porque ningún otro tratamiento funciona y recurren como última opción, o incluso relacionando su uso con el “efecto placebo”.

5.1.2. BLOQUE IV: PERCEPCIÓN Y RESISTENCIA SOCIAL A LA CIENCIA

Finalmente, para acabar con el primer instrumento, se hizo una gran cuestión, inspirada en una de las incluidas en la Encuesta de Percepción Social de la Ciencia y la Tecnología (2018). En ella, se ofrecen una serie de postulados o creencias pseudocientíficas que están en riesgo de introducirse en la sociedad.

32º
90 
CERTAMEN
0% 5% 10% 15% 20% 25% 30% 35% 40%

Ciencia a Pseudociencia: 6 letras entre la vida y la muerte

Introducción de diversas creencias pseudocientíficas en la sociedad I.

Los fenómenos paranormales existen

Los continentes han permanecido siempre en el mismo sitio

Los humanos fueron creados por Dios tal y como somos hoy en día

Confío en los curanderos El

hombre

Empezando por el primer grupo, resalta de forma muy destacable el alto porcentaje de personas que apenas están de acuerdo con esas afirmaciones. Sin embargo, al fijarse en el postulado “Los fenómenos paranormales existen”, con el que tan solo el 28,05% de encuestados no está nada de acuerdo, aparecen opiniones muy variadas, y cualquier opinión distinta a esta ya indica que generan un pequeño grado de duda entre la sociedad.

un

quimioterapia no es efectiva

Por otra parte, al igual que en el grupo anterior, en los postulados del segundo grupo, el porcentaje que más destaca es aquel que se refiere a estar muy poco o nada de acuerdo. Sin embargo, como puede apreciarse, se trata de postulados que han llevado a movimientos como el antivacunas, el cual puede contar con un 1% de personas que están en contra de las mismas, pero si una persona decide no vacunarse, no solo se está poniendo en riesgo a uno mismo, sino que está poniendo en peligro la salud de todos los ciudadanos que le rodean.

91 
Figura 4 Figura 5
pseudocientíficas en la sociedad II 180 336 257 262 314 294 205 49 86 123 71 91 0 50 100 150 200 250 300 350 400
Introducción de diversas creencias
Poco o nada de acuerdo Dudan 360 324 300 147 361 239 297 25 61 85 238 24 146 88 0 50 100 150 200 250 300 350 400 El cambio climático no existe, es
Hay números y cosas que dan suerte fenómeno inventado
nunca llegó a la Luna
Las vacunas son perjudiciales para la salud Los horóscopos influyen en nuestro destino Los alimentos genéticamente modificados son perjudiciales para la salud
La
Poco o nada de acuerdo Dudan
La Tierra es plana Los antibióticos son perjudiciales para la salud
De

JÓVENES INVESTIGADORES / Ciencias Sociales y Jurídicas

5.2. INSTRUMENTO II: ANÁLISIS DOCUMENTAL

En primer lugar, se analizó la evolución del número noticias y cualquier referencia hecha a la pseudociencia en Google entre los años 2010-2020, realizando una distinción entre los términos en español y en inglés (Figura 6):

Evolución del número de referencias en millones en Google de los términos homeopatía, pseudoterapia, terraplanismo, acupuntura, pseudociencia, horóscopo y negacionismo en el periodo 2010-2019.

En base a los datos, se observa un potente despegue a partir del año 2015, siendo el número de millones de documentos que hacen referencia a cualquiera de los términos relacionados con la pseudociencia más del doble que aquellos de 2015. De ello se podría extraer el dato de que el sujeto tratado es un problema actual, cada vez más presente en los medios y estudiado.

5.2.1. BLOQUE I: CASOS CON EFECTOS ADVERSOS

En primer lugar, entre todos los documentos consultados, se seleccionaron aquellos que guardaran una relación directa con cualquier tipo de pseudoterapia o pseudociencia, resultando del criterio de selección 138 documentos, incluidos en el Anexo III. Estos siguieron una clasificación inicial, establecida en función del tipo de documento (Tabla 2):

En total, bien por el uso de terapias que han puesto en peligro la salud de la persona o bien por abandono del tratamiento convencional, se han recogido 37 casos encontrados en redes sociales, periódicos nacionales o revistas científicas. Dentro de esos 37 casos, se encuentran 9.102.867 pacientes afectados por confiar en la pseudociencia, entre los cuales una cifra de 148.089 llegó hasta un extremo crítico en el que los médicos no pudieron hacer nada o directamente no recurrieron a ellos, por lo que acabaron falleciendo.

32º
92 
CERTAMEN
10,00 20,00 30,00 40,00 50,00 60,00 70,00 80,00 2010 2011 2012 2013 2014 2015 2016 2017 2018 2019 Español Inglés
Figura 6 Tabla 2
TIPO DE INFORMACIÓN Nº DE DOCUMENTOS Noticia de prensa 91 Opiniones en redes sociales 14 Estudio o libro oficial 10 Divulgación científica 22
Clasificación de los documentos recogidos en función del tipo de información.

De Ciencia a Pseudociencia: 6 letras entre la vida y la muerte

5.2.2. BLOQUE II: DATOS OBTENIDOS EN LA PROPAGACIÓN DE LA PSEUDOCIENCIA DURANTE EL CORONAVIRUS

Se han recogido, desde el día 13 de marzo, día que oficialmente comenzó el estado de alarma en España, hasta el día 13 de abril, cuando se cerró esta etapa, 85 archivos o bulos en la ampliación del experimento realizada durante el periodo del Covid-19. Este apartado es de vital importancia puesto que, en un momento en el que el estado de alarma se ha convertido en un estado normal, cualquier información resulta esperanzadora. Porque, personalmente, estoy segura de que alguno de ustedes ha recibido en Whatsapp o ha leído en Twitter informaciones como que el ibuprofeno era perjudicial para el virus, cuando es inofensivo, que el calor o el frío podían matarlo, que existían dietas o medicina natural que prevenían su contagio, que enjuagarse con agua y sal lo mataba, o, lo más alarmante, el negocio del clorito de sodio o MMS (suplemento mineral milagroso), el cual ha sido difundido por partidarios como Josep Pàmies, quien afirma que puede curar el virus en 24 horas, cuando ocurre todo lo contrario, y es que es muy perjudicial para la salud.

6. CONCLUSIONES

• Objetivo específico 1: Conocer el uso y la confianza que puede tenerse en la medicina alternativa y complementaria en todas sus formas.

Puede concluirse que la falta de información juega un papel clave en la integración de las pseudoterapias en la sociedad, y que la confianza que se tiene en ellas, puede que al nivel de la encuesta represente unas cifras bajas, pero a nivel global eso supone un gran peligro. Puesto que, al basarse el segundo experimento en una recopilación de documentos en los que se haya podido tener alguna consecuencia negativa por el uso de pseudoterapias, se encontraron 412 casos en los que el uso de pseudoterapias causó efectos adversos en los pacientes que las utilizaron.

Otro aspecto que se analizó fue el motivo por el que se utilizan estas terapias, despertando un gran interés la alta variedad de respuestas. Se obtuvo un 62,10% de encuestados que asociaban su uso a la desinformación. Mientras tanto, aparece un porcentaje muy similar, un 62% de encuestados que defiende, de una manera u otra, los beneficios que las pseudoterapias aportan a la salud de uno mismo.

Finalmente, con la complementariedad de ambos Instrumentos, se detecta una presencia de las pseudoterapias en la sociedad para nada irrelevante, pues, aunque no se preste importancia a las mismas, estas están provocando efectos secundarios, y entre ellos, muertes.

• Objetivo específico 2: Estudiar cuál es el grado de duda, y por tanto el peligro que genera la integración de la pseudociencia en el conocimiento científico.

Primero, cabe destacar el gran incremento que ha experimentado la pseudociencia, en cualquiera de sus formas, de su presencia e interés en la sociedad.

93 

CERTAMEN JÓVENES INVESTIGADORES / Ciencias Sociales y Jurídicas

En relación al grado de duda que genera entre los ciudadanos, y como tabla resumen de las pseudociencias más extendidas que se han tratado, puede establecerse un marco aproximativo de la situación que podría darse en el mundo debido a la presencia de la pseudociencia, atendiendo a los resultados obtenidos en la Figura 4:

DEL PAÍS

El cambio climático no existe, es un fenómeno inventado

Las vacunas son perjudiciales para la salud

Los horóscopos influyen en nuestro destino

El hombre nunca llegó a la Luna

6,5% 3 millones de personas negarían su existencia, por lo que serían 6 millones de manos menos para actuar contra el fenómeno

15,8%

7 millones de personas se negarían a vacunarse (incluidos sus hijos), poniendo a todos en peligro

22,1% 10 millones de personas creen que su vida está definida por los astros, dejándose caer a menudo por estafadores que juegan con su inocencia

23,6% 11 millones de personas dudan de uno de los más importantes avances de la ciencia de todos los tiempos, poniendo su rigurosidad en cuestión

La Tierra es plana

Los antibióticos son perjudiciales para la salud

6,2% Casi 3 millones de personas creerían que la ciencia es un adoctrinamiento y que las verdades universales están ocultas

37,9% 18 millones de personas dudan de la efectividad de la medicina, acusándola de suponer un riesgo que no tomarían en caso de estar enfermos, poniéndose en un mayor riesgo de esta manera

La quimioterapia no es efectiva 22,9% Casi 11 millones de personas preferirían tratarse un cáncer con otro tipo de tratamiento distinto a la quimioterapia, sin efectividad alguna

Confío en los curanderos 18,4% 8,5 millones de personas dejarían su salud en manos de terapeutas sin ninguna formación en medicina, poniendo su vida en riesgo

6.1. RESPUESTA A LA HIPÓTESIS

Puede concluirse de esta manera, de forma general, que la imagen social de la ciencia está en peligro. Las amenazantes pseudociencias están llegando sin hacer ruido y, sin apenas ser conscientes de ello, un día ya serán algo común entre los ciudadanos. Más de lo que son ahora, que, aunque nadie se fije en ello o se tome como un tema irrelevante, no lo es, puesto que están causando

94 
32º
PSEUDOCIENTÍFICA PERSONAS QUE DUDAN SITUACIÓN
CREENCIA
Tabla 3 Proyecciones de la situación actual de la ciencia en España.

De Ciencia a Pseudociencia: 6 letras entre la vida y la muerte

enfrentamientos, debates, negocios con la vida de las personas y, por si todo esto fuera poco, muertes.

7. BIBLIOGRAFÍA

Dipierri, J. (2004). Impacto e integración entre la Medicina Alternativa y la Convencional. Cuadernos de la Facultad de Humanidades y Ciencias Sociales - Universidad Nacional de Jujuy, (22), 241-263.

Fundación Española para la Ciencia y la Tecnología (2018). IX Encuesta de Percepción Social de la Ciencia y la Tecnología- Resumen de resultados.

Laín Entralgo, P. (1978). Historia de la medicina. Barcelona, España: Salvat Editores, S. A.

Ministerio de Igualdad, Política Social e Igualdad (2011). Clasificación de terapias naturales basada en la del National Center for Complementary and Alternative Medicine (NCCAM).

Ministerio de Sanidad, Consumo y Bienestar Social (2019). El Gobierno lanza la campaña #CoNprueba frente a las pseudoterapias y las pseudociencias.

Ministerio de Sanidad, Consumo y Bienestar Social y Ministerio de Ciencia, Innovación y Universidades (2018). Plan para la protección de la salud frente a las pseudoterapias.

Muñoz, A., 2018. El Proyecto PICA Sobre La Imagen De La Ciencia. Informe de resultados. Madrid: Editorial Ciemat, pp.1-122.

National Centre for Complementary and Alternative Health (2011). Complementary, Alternative, or Integrative Health:What’s In a Name?.

Pataki-Schweizer, K. J. (1985) Traditional medicine: institucional perceptisons and cultural realities. P N G Med J 28(3):211-216.

Patiño Restrepo, J. F. (2006). Medicina complementaria y medicina alternativa. Revista colombiana de Cirugía, 21 (3), 136-138.

Posadzki, P., Alotaibi, A., & Ernst, E. (2012). Adverse effects of homeopathy: a systematic review of published case reports and case series. International journal of clinical practice, 66(12), 1178-1188.

Schulz P. (2005). Las pseudociencias. Revista Iberoamericana de Polímeros, 6(3).

95 

CEMSA: Análisis sobre el ahorro de emisiones de CO2 de una empresa energéticamente autosostenible en un periodo de 10 años

/ ACCÉSIT

COORDINADOR | PEDRO JOSÉ HERNÁNDEZ NAVARRO

CENTRO | IES MEDITERRÁNEO

CIUDAD | CARTAGENA-MURCIA

RESUMEN |

Después de casi 200 años de emisiones atmosféricas, la reversión del cambio climático ya se presenta como un objetivo inalcanzable, por lo que actualmente el debate se centra en las maneras más efectivas para mitigar sus efectos. Sin embargo, aún no está claro sobre quién debería recaer la responsabilidad de liderar el cambio, ya que, aunque las regulaciones medioambientales tradicionalmente han sido competencia de los diferentes gobiernos, diversos análisis en este campo revelan que un porcentaje muy significativo de las emisiones históricas de carbono proceden tan solo de un reducido número de empresas.

A partir de esta premisa y para el desarrollo del presente trabajo, se ha ideado una empresa, CEMSA, con el objetivo de profundizar en los potenciales beneficios de un nuevo enfoque, con el que se priorizarían los esfuerzos por parte de cada compañía para reducir su propia huella de carbono. CEMSA se configura como un negocio de alquiler de motos acuáticas, con la novedad de ser propulsadas por motores eléctricos y baterías, alimentadas por fuentes renovables.

Por tanto, para el cálculo del ahorro en emisiones de carbono, hemos analizado las distintas actividades de consumo energético que tomarían lugar en la empresa y hemos estimado cuáles serían sus correspondientes emisiones de no contar con fuentes renovables ni tecnología eléctrica. De esta manera, nuestra investigación evidencia el importante papel que ocupará la integración de las fuentes de energía renovables con los vehículos eléctricos en el proceso de mitigación de los efectos del cambio climático en un futuro próximo.

CIENCIAS SOCIALES Y JURÍDICAS
AUTORES | ÓSCAR MARTÍNEZ ZAMORA Y FRANCISCO JOSÉ LORENTE MÍNGUEZ
 96

ABSTRACT |

After almost 200 years of atmospheric emissions, the reversal of climate change is already perceived as an unattainable goal, so the discussion is currently focused on the most effective ways to mitigate its effects. However, it is not yet clear who should be responsible for leading the change. Although environmental regulations have traditionally been the responsibility of different governments, various analysis in this field reveal that a very significant percentage of historical carbon emissions come from only a small number of companies.

Based on this premise and for the development of this work, a company, CEMSA, has been devised with the aim of delving into the potential benefits of a new approach, which would prioritise the efforts of each company to reduce its own carbon footprint. CEMSA is created as a jet ski rental business, with the novelty of those jet skis being propelled by electric motors and batteries, powered by renewable sources.

Therefore, to calculate the savings in carbon emissions, we have analysed the various energy-consuming activities that would take place in the company and used that to estimate what would be their corresponding emissions in case of not having renewable sources and electric technology. In this way, our research shows the important role that the integration of renewable energy sources with electric vehicles will play in the process of mitigating the effects of climate change in the near future.

CIENCIAS SOCIALES Y JURÍDICAS 97 

JÓVENES INVESTIGADORES / Ciencias Sociales y Jurídicas

INTRODUCCIÓN

Tal y como se ha ido advirtiendo desde 1990 por el IPCC (Intergovernmental Panel on Climate Change), las emisiones de gases de efecto invernadero (GEI) están causando, inequívocamente, un incremento en la temperatura global, y las últimas investigaciones dirigidas por esta organización internacional afirman que sin una mayor y urgente ambición de mitigación en los próximos años, el calentamiento global superará los 1,5ºC en las décadas siguientes, provocando una pérdida irreversible de los ecosistemas más frágiles. Nuestra especie se enfrenta por tanto a una crisis para la que no se tiene una solución o vía de actuación clara.

No obstante, durante décadas se han llevado a cabo múltiples intentos para reducir los GEI en la atmósfera. La Convención Marco de las Naciones Unidas sobre el Cambio Climático fue el primer esfuerzo global por llegar a un acuerdo acerca de la situación y los posibles remedios. Dentro del informe, destaca su Anexo I, que presentaba una lista de los países que deberían tomar la iniciativa para reducir las emisiones de carbono. Años más tarde, el Cuerpo Subsidiario para el Consejo Científico y Tecnológico de la CMNUCC revisó la Brazilian Proposal, que sugería que la carga de abordar el cambio climático debería ser proporcional al impacto en la temperatura que cada país tuvo como consecuencia de sus emisiones de carbono. Dicha propuesta y otras sostienen que la riqueza está estrechamente ligada al uso histórico de la energía (principalmente combustibles fósiles) y, por lo tanto, a las emisiones históricas, así que es apropiado y justo aplicar mayores reducciones a los países más ricos, como los Estados Unidos, China y la India. Sin embargo, los países del Anexo I (de la CMNUCC) rechazaron la idea, justificándose en que no podían ser considerados responsables de un problema que aún no sabían que existía, ignorando el hecho de que muchas advertencias científicas ya habían sido realizadas en los años 1960, 1970 y 1980.

Hasta ahora, la mayoría de análisis y debates habían considerado la responsabilidad por el cambio climático en términos de Estados, porque se ajusta al marco de las leyes internacionales, convenios y acuerdos entre países. Sin embargo, esta perspectiva ha demostrado estar fallando en la reducción de las emisiones mundiales y esta es la razón por la que se ha desarrollado un nuevo enfoque; una que se centra en entidades más pequeñas en lugar de culpar a naciones enteras como emisoras y consumidoras. Según la investigación realizada por Richard Heede, del Instituto de Responsabilidad Climática, es un hecho que aproximadamente el 35% de las emisiones de dióxido de carbono en todo el mundo entre 1965 y 2017 fueron liberadas por sólo 20 compañías energéticas. En su análisis establece los fundamentos de una nueva perspectiva, que debería ayudar a abordar el problema climático de manera más directa. Cambiar la perspectiva de las naciones y enfocarla hacia las entidades corporativas abre nuevas oportunidades para que esas entidades se conviertan en parte de la solución, en lugar de ser espectadores pasivos de la perturbación del clima. La concienciación sobre el problema ya es amplia y aumenta cada día. Con esta

32º
98 
CERTAMEN

premisa, incluso se podría ejercer presión social sobre las empresas, actuando como otra palanca adicional para impulsar nuevas acciones y regulaciones, al igual que ya jugó un papel importante en la historia del control del tabaco.

CEMSA

Tomando el nuevo enfoque propuesto por Richard Heede como punto de referencia, esta investigación requería de una entidad que sirviera como sujeto de estudio para el cálculo y la estimación de datos. No obstante, la inaccesibilidad de muchos datos pertenecientes a empresas ya existentes suponía un gran obstáculo en el avance del trabajo, por lo que se optó por una solución alternativa. La decisión fue idear y desarrollar una compañía ficticia, bautizada como CEMSA, que cumpliera los requisitos necesarios y sirviese por tanto como fuente de información para la investigación. Dado el enfoque de nuestro trabajo, centrado en los beneficios y las posibilidades de expansión de las fuentes energéticas renovables, dichos requisitos para el proyecto consistían en una completa autosostenibilidad energética (mediante fuentes renovables) y la implementación de vehículos eléctricos para aplicaciones en las que tradicionalmente se hace uso de motores de combustión. De esta manera, las siglas de CEMSA responden a Centre of Electric Machines for Sustainable Activities (Centro de Máquinas Eléctricas para Actividades Sostenibles) [Fig. 1]

CEMSA se configura como un negocio de alquiler de motos acuáticas, con la novedad de que estas estarían propulsadas por motores eléctricos y baterías. Hoy en día, en el Mar Menor (designado como la localización ideal para la empresa por su carácter turístico) no existen más que prototipos de vehículos de esta índole, por lo que la propuesta de CEMSA supondría un movimiento pionero en la expansión de los vehículos eléctricos en otros entornos (el marítimo en este caso). Como la idea además exigía el uso de fuentes de energía limpias, también se diseñó una infraestructura de paneles solares y aerogeneradores, que se encargarían de alimentar las embarcaciones y las instalaciones de la empresa. Aprovechando esta última cualidad, CEMSA también se promociona por tanto como un centro de interpretación energética, proporcionando al público información sobre las últimas innovaciones en materia de fuentes renovables y autosostenibilidad energética.

ANTECEDENTES

El Protocolo de Gases de Efecto Invernadero tiene su origen en 2001 gracias al Consejo Mundial de Negocios por el Desarrollo Sostenible (World Business Council for Sustainable Development, WBCSD) y al Instituto de Recursos Mundiales (World Resources Institute, WRI), con el objetivo de establecer unas bases de referencia global para la contabilización de emisiones de los GEI (de origen corporativo). Consiste en una serie de estándares de contabilización y presentación de informes, orientación sectorial y herramientas de cálculo, que en conjunto establece un marco metodológico regulado para su aplicación global. Como fruto de una colaboración multilateral entre empresas, orga-

99 
CEMSA: Análisis sobre el ahorro de emisiones de CO2 de una empresa energéticamente autosostenible en un periodo de 10 años

JÓVENES INVESTIGADORES / Ciencias Sociales y Jurídicas

nizaciones no-gubernamentales y gobiernos, el GHG Protocol se considera actualmente una de las principales referencias dentro de su campo. Asimismo, el desarrollo de herramientas (software) gratuitas para la realización de las estimaciones bajo sus propios estándares también ha jugado un importante papel en su éxito.

OBJETIVOS

Siendo este un trabajo que trata de abarcar tanto el aspecto medioambiental, a través de la Huella de Carbono, como su relación con lo empresarial, mediante la constitución de CEMSA, los objetivos a lograr en esta investigación se puntualizan como los siguientes:

I. Averiguar el ahorro en emisiones de gases de efecto invernadero logrado por una entidad como CEMSA.

II. Dar a conocer los métodos más fiables y reconocidos globalmente para el cálculo de la huella de carbono.

METODOLOGÍA

Para cumplir con el objetivo principal de esta investigación (I), es preciso trazar una comparación con un negocio que realizase las mismas actividades pero que no dispusiera de las ventajas medioambientales de las que disfruta CEMSA (generación de energía mediante fuentes renovables, como la solar y la eólica, y uso de vehículos eléctricos). Es por ello que gran parte de la investigación consiste en la recolección de datos de actividad. Conociendo esta información y calculando su HdC asociada, podemos averiguar el ahorro que lograría CEMSA.

Siguiendo un primer enfoque básico, cualquier huella de carbono se puede obtener siguiendo la siguiente ecuación:

Donde:

• xi es un parámetro que indica el nivel o la magnitud de la actividad de consumo cuya HdC se quiere calcular. Por ejemplo: litros de gasolina usados.

• Fi es el factor de emisión asociado a la actividad del parámetro xi, que expresa la cantidad de GEI liberado por unidad de dicho parámetro. Siguiendo el ejemplo: gCO2/L de gasolina. Del ejemplo se deduce que este factor varía dependiendo del tipo de actividad que se está analizando.

• El resultado (HdC) es el sumatorio del producto de parejas de términos. Debe reflejar la masa (expresada en g, kg, t) de CO2 emitido en el desa -

32º
100 
CERTAMEN

CEMSA: Análisis sobre el ahorro de emisiones de CO2 de una empresa energéticamente autosostenible en un periodo de 10 años

rrollo de las distintas actividades analizadas en cierto ámbito, como una corporación o una vivienda.

La medición de una HdC puede seguir dos posibles trayectorias: una basada en las corporaciones y sus actividades (HdC corporativa), y otra basada en el ciclo de vida de los productos (HdC de productos). Debido a que el objetivo principal en esta investigación es averiguar el ahorro en emisiones de una empresa, se han utilizado las herramientas y estándares aplicados a las HdC corporativas. Tanto GHG Protocol como otras metodologías contemplan por regla general 3 categorías para la clasificación de las emisiones en función de su origen, denominadas “Alcances” (scopes, del inglés).

El Alcance 1 es para emisiones directas. Aquí se tienen en cuenta las emisiones producidas a partir de fuentes que el sujeto o la entidad posee (por ejemplo, la combustión de motores o calderas), incluyendo los escapes inesperados de gases de efecto invernadero.

El Alcance 2 corresponde a las emisiones indirectas, procedentes de la generación de electricidad que luego es comprada y consumida por una empresa. Se denomina indirecta porque la producción de dicha energía ocurre fuera de las fronteras físicas de la organización, aunque al ser esta su receptora, la HdC asociada a la producción es considerada entonces su responsabilidad.

El Alcance 3 es una categoría opcional que agrupa todas las demás emisiones indirectas que son consecuencia de las actividades de la empresa, pero que no tienen origen en fuentes controladas o poseídas por dicha entidad.

ALCANCE 1

El modelo de negocio de CEMSA requiere que la empresa disponga de una flota de vehículos para su alquiler. [Fig.2] Otras empresas existentes que ofrecen servicios similares en el Mar Menor utilizan motos acuáticas de combustión, que acumulan una cierta HdC a lo largo del tiempo. Ese tipo de consumos están asociados al Alcance 1, por lo que, para conocer la reducción de emisiones en este aspecto, se debe calcular el impacto producido por motos acuáticas similares a aquellas de las que dispondría CEMSA.

Las motos de agua eléctricas actualmente tienen un máximo de 60 caballos de potencia, así que para los cálculos se seleccionó una moto acuática con un motor de combustión de una potencia equiparable. Además, se estimó que cada vehículo viajaría a una velocidad media de 55 km/h durante 135 min de uso diario (en temporada estival). Usando estos datos, se estima que cada moto recorrería 123,75 km/día. Según la hoja de especificaciones del fabricante, el motor de gasolina utilizado para la comparación consume 10,8L en una distancia de 100 km. Esto se traduce en un consumo diario de 13,36L para una sola embarcación, que aumenta hasta 6147,9L para toda la temporada de verano (considerando 5 embarcaciones operativas).

101 

CERTAMEN JÓVENES INVESTIGADORES / Ciencias Sociales y Jurídicas

El parámetro de actividad en este caso es el volumen total de gasolina consumida en un año, que debe multiplicarse por el correspondiente factor de emisión de la gasolina. Este último dato se puede extraer de muchas fuentes, pues no es un valor exacto y puede variar entre años y países incluso. Por ello, aunque se han consultaron hasta tres fuentes diferentes para este estudio, en definitiva, se hace uso del valor consultado en la web de GHG Protocol (2,27 kg de CO2/L), por ofrecer una generalización de este dato a nivel global y por ser la metodología escogida para este estudio.

Tabla 1

Masa total de CO2 de emisiones de Alcance 1 (fuente propia).

ALCANCE 2

Tal y como se ha indicado previamente, esta segunda categoría aborda la huella de carbono producida por la generación de electricidad que luego es comprada por otras entidades incapaces de generarla por sí mismas. La energía eléctrica total consumida en las instalaciones se convierte en el parámetro de actividad (xi) en esta aplicación, a menudo expresada en kWh, y para ello primero se requiere conocer las necesidades eléctricas de dichas instalaciones.

Según el diseño elaborado de CEMSA, la instalación de iluminación está dotada con una potencia total de 522W y operaría un promedio diario de 16h. Otros dispositivos como ordenadores y monitores suman otros 1440W al total, pero la mayor demanda de energía proviene de los sistemas de climatización instalados en el edificio, lo que implica la adición de 4000W más. Al multiplicar cada potencia particular por el tiempo de uso diario y los días de funcionamiento en un año, se obtienen los siguientes resultados (teniendo en cuenta las diferencias según las estaciones):

Tabla 2

Energía en kWh consumida por instalaciones en 1 año (fuente propia)

El factor de emisión (Fi) para el Alcance 2 es un valor denominado mix eléctrico, que representa la relación entre la producción de energía a partir de fuentes renovables y la generación total de una empresa proveedora de energía. Cuan-

32º
102 

Huella de carbono de CEMSA desglosada por Alcances (fuente propia)

to menor sea dicho valor, mayor será la producción procedente de fuentes renovables. Según la OCCC, el valor recomendado para la mezcla eléctrica peninsular en 2019 fue 0,241kg CO2/kWh.

Sabiendo esto, podemos calcular los kg totales de CO2 producidos en un año por el consumo de electricidad:

RESULTADOS

Tras haber realizado los cálculos pertinentes, se puede observar cómo un año de actividad continuada repercutiría en 27.778,12 kg de CO2 por el funcionamiento de las motos y en 2628,62 kg de CO2 por el consumo de electricidad. Podemos introducir estos datos en la ecuación del principio para obtener la cantidad total, compuesta por la suma de esos valores y que se traduciría en 30406,74 kg de dióxido de carbono al año. En un período de 10 años, se estima que estos valores aumentarían a 304 toneladas de GEI.

Sin embargo, se puede deducir mucha más información del desglose del total. Así, descubrimos que la cantidad de CO2 liberado por las embarcaciones sería diez veces mayor que los gases producidos por el consumo de electricidad, haciendo del anterior la principal fuente de contaminación por parte de la empresa.

CONCLUSIONES

En este trabajo se consiguió determinar el ahorro de emisiones liberadas a la atmósfera de la empresa ficticia CEMSA, cuyos resultados se colocan en 30,4 toneladas de CO2 anuales y alrededor de 300 toneladas a lo largo de todo el

103 
Gráfico 1 CEMSA: Análisis sobre el ahorro de emisiones de CO2 de una empresa energéticamente autosostenible en un periodo de 10 años

JÓVENES INVESTIGADORES / Ciencias Sociales y Jurídicas

período de actividad previsto para la empresa. Estos cálculos están basados en los datos ofrecidos por el trabajo previo de organizaciones como GHG Protocol, la CMNUCC y el Gobierno de España, y ofrecen una nueva perspectiva acerca de la Huella de Carbono generada por otros negocios ya existentes en torno al Mar Menor.

En el desglose de los resultados obtenidos, se aprecia que gran parte de la HdC total es debida a los vehículos, dado que su uso es predominante en la actividad de la empresa. Sin embargo, otra parte de la explicación tiene que ver con el descenso del mix eléctrico antes visto, que según los datos ofrecidos por el Gobierno, se ha reducido en un 40% desde el año 2015, indicando una tendencia generalizada entre los proveedores de energía por aumentar sus fuentes renovables.

El hecho de que los vehículos supongan un significante porcentaje de las emisiones calculadas también pone de manifiesto, por el contraste, la importancia y los beneficios que se alcanzarían mediante la expansión de la tecnología de los motores eléctricos y, especialmente, de las baterías necesarias para su funcionamiento. El año 2020 está siendo el “año del coche eléctrico” gracias al constante apoyo que están ofreciendo corporaciones como Tesla y otras que se suman a ella. En un futuro próximo, podríamos estar presenciando el “año de las naves eléctricas” de la mano de una propuesta como CEMSA. Sin embargo, esta perspectiva plantea un aumento de la demanda energética global, por lo que, sin una consecuente y apropiada adaptación a los cambios, el avance podría verse comprometido. Si se busca evitar un mayor consumo de combustibles fósiles a raíz de dicho crecimiento en la demanda energética, la integración de fuentes renovables, especialmente de aquellas que extraen la energía del viento y el sol, debe ser una prioridad.

Aun así, se deberá seguir prestando atención a la evolución de la problemática atmosférica, dotando de mayor importancia a las herramientas y metodologías creadas hasta ahora para el cálculo de la HdC. Desde nuestra posición, abogamos por la unificación de dichas metodologías, a cargo de una organización internacional, que sea capaz de ofrecer resultados consistentes independientemente de su aplicación, y pensamos que el camino tomado por GHG Protocol es el más cercano a esta visión. Por ello, opinamos que una mayor aparición en el debate político o incluso la promoción de su cálculo mediante subvenciones podría ser la vía ideal para fomentar su extensión.

32º
104 
CERTAMEN

BIBLIOGRAFÍA

Naciones Unidas. UNITED NATIONS FRAMEWORK CONVENTION ON CLIMATE CHANGE. [Consultado 25-01-2020] Disponible en:

https://unfccc.int/resource/docs/convkp/conveng.pdf

Taalas P., Msuya J., Masson-Delmotte V. et al. (2019). GlobalWarming of 1.5ºC. Intergovernmental Panel on Climate Change. [Consultado 24-01-2020] Disponible en:

https://www.ipcc.ch/site/assets/uploads/sites/2/2019/06/SR15_Summary_ Volume_High_Res.pdf

Dr. Michel den Elzen (1999). Report on the Expert meeting on the Brazilian Proposal: Scientific aspects and Data Aviability. Centre Forecasts and Climate Studies (CPTEC). [Consultado 27-01-2020] Disponible en:

https://unfccc.int/resource/brazil/documents/mrep1999.pdf

Heede R. (2014). Tracing anthropogenic carbon dioxide and methane emissions to fossil fuel and cement producers, 1854–2010. Springer. 229-241. DOI: 10.1007/s10584-013-0986-y [Consultado 16-02-2020]

Heede, R. (2014). Summary of CO2 & methane emissions from identified oil & NGL production. [Consultado 11-03-2020] Disponible en:

https://climateaccountability.org/pdf/SumRanking%20Dec14%208p.pdf

Wiedmann, T. & Minx, J. (2008). A Definition of 'Carbon Footprint'. In: C. C. Pertsova, Ecological Economics Research Trends: Chapter 1, pp. 1-11, Nova Science Publishers, Hauppauge NY, USA. [Consultado 11-04-2020]

Lewney, R. Alexandri, E. Storrie D. et al. (2019). Energy scenario: Employment implications of the Paris Climate Agreement. [Consultado 24-02-2020] Disponible en:

https://www.eurofound.europa.eu/publications/report/2019/energy-scenario-employment-implications-of-the-paris-climate-agreement

Limón, R. (2016) “El Mar Menor, al borde del colapso”. EL PAÍS, 7 de julio. [Consultado 20-10-2019] Disponible en:

https://elpais.com/politica/2016/06/15/actualidad/1466007368_066035.html

Espíndola, C. & O. Valderrama, J. (2011). Huella del Carbono. Parte 1: Conceptos, Métodos de Estimación y Complejidades Metodológicas. Información Tecnológica Vol. 23(1), 163-176 (2012) DOI: 10.4067/S071807642012000100017. [Consultado 19-03-2020] Disponible en:

https://scielo.conicyt.cl/pdf/infotec/v23n1/art17.pdf

Pandey, D. (2014). Carbon footprint: current methods of estimation. DOI: 10.1007/s10661-010-1678-y. [Consultado 28-03-2020] Disponible en:

https://www.researchgate.net/publication/46289480_Carbon_Footprint_

Current_Methods_of_Estimation

Ministerio para la Transición Ecológica (2019). Guía para el cálculo de la huella de carbono y para la elaboración de un plan de mejora de una organiza-

105 
CEMSA: Análisis sobre el ahorro de emisiones de CO2 de una empresa energéticamente autosostenible en un periodo de 10 años

32º CERTAMEN JÓVENES INVESTIGADORES / Ciencias Sociales y Jurídicas

ción. NIPO: 280-14-241-8. [Consultado 13-03-2020] Disponible en:

https://www.miteco.gob.es/es/cambio-climatico/temas/mitigacion-politicas-y-medidas/guia_huella_carbono_tcm30-479093.pdf

Oficina Catalana del Canvi Climàtic. (2011) Guía práctica para el cálculo de emisiones de gases de efecto invernadero (GEI). [Consultado 11-03-2020 ] Disponible en:

http://www.caib.es/sacmicrofront/archivopub.do?ctrl=MCRST234ZI97531&id=97531

Vista frontal de las instalaciones de CEMSA (fuente propia)

Flota de motos acuáticas eléctricas de CEMSA (fuente propia)

106 
Figura 1 Figura 2
título
cambiante 107 
artículo / elemento

/ ACCÉSIT

AUTORA | ÁNGELA MARÍN ORTIZ

COORDINADOR | JOAQUÍN GÓMEZ BASTIDA

CENTRO | IES LOS ALBARES

CIUDAD | CIEZA-MURCIA

RESUMEN |

La presente investigación pretende estudiar la influencia que puede tener, tanto en el ámbito económico como en el social, un fenómeno de turismo rural: La Floración de Cieza. Una Floración de la que no se ha encontrado investigación alguna sobre su repercusión, ya que es un evento en crecimiento desde hace relativamente poco. Esta floración guarda similitudes con otras floraciones con las que se establecerán paralelismos: la Floración del Valle del Jerte, Cáceres, por ser una de las floraciones más conocidas en España y el Hanami, en Japón, por ser una floración conocida a nivel internacional. Además, se efectúa un recorrido sobre el concepto y la esencia del turismo rural y la necesidad de seguir las normas del marketing mix, las llamadas 4 P´s (producto, precio, promoción y punto de venta).

Palabras clave: Floración de Cieza, Valle del Jerte, Hanami, Turismo Rural, Marketing Mix

ABSTRACT |

This research aims to study the economic and social impact of the Blooming of Cieza. A blooming of which no research has been found on its impact, since it is a recent event. This blooming is similar to others with which parallels will be established: Blooming of the Jerte Valley, Cáceres, for being one of the best known blooms in Spain and the Hanami, in Japan, for being a blooming known internationally. In addition, the concept and essence of rural tourism and the need to follow the rules of the marketing mix, the so-called 4 P's (product, price, promotion and point of sale) as a need to promote Cieza and its Blooming.

Keywords: Blooming of Cieza, Jerte Valley, Hanami, Rural Tourism, Marketing Mix

CIENCIAS SOCIALES Y JURÍDICAS 109 
El auge socio-económico a través de turismo rural: la Floración de Cieza un estudio de caso

CERTAMEN JÓVENES INVESTIGADORES / Ciencias Sociales y Jurídicas

1. INTRODUCCIÓN

Este trabajo de investigación propone estudiar la repercusión del fenómeno de la Floración de Cieza, de manera específica, en el ámbito socio-económico. Como servicio en fase de crecimiento no se han encontrado ninguna investigación que esté relacionada con este caso, a pesar de que la explotación turística del fenómeno sea reciente.

2. ANTECEDENTES

La Floración de Cieza es un fenómeno natural que se produce entre el fin del invierno y la entrada de la primavera, durante esas fechas los campos de melocotoneros, albaricoqueros y ciruelos florecen para mostrar verdaderas “mantas de color”, dejando así una estampa que atrae a miles de turistas.

Sería, por tanto, interesante obtener datos relevantes para comprobar si este fenómeno tiene una repercusión socio económica favorable para la localidad. Es decir, tratarlo como un servicio turístico, basado en parámetros de marketing de servicios, como el destino de turismo rural en auge que es. Además, en este proyecto se hará una comparación con el Valle del Jerte, Cáceres, España y al Hanami, en Japón.

Para contextualizar teóricamente esta investigación, se fijarán los conceptos básicos relacionados con el tema para su estudio. Según la RAE (Real Academia Española) el turismo rural es la “actividad turística que se realiza utilizando como alojamiento las casas de una localidad rural”. Para Serra (2002, citado por García Henche, 2005), el marketing juega un papel fundamental en el turismo ya que debe construirse un buen diseño para que se acepte dicho producto turístico. Según McCarthy (1960, citado por Pérez, Saura, Descals, 2000), Producto, Precio, Punto de venta y Promoción, las 4 P’s, son los principales aspectos del marketing.

En cuanto a todo lo nombrado con anterioridad, es de interés establecer paralelismos entre la Floración de Cieza y la Floración del Valle del Jerte o el “Hanami”, la Floración de Japón. En el caso del Hanami los cerezos son los árboles protagonistas, árboles del género pronus. “Hanami” significa literalmente la contemplación del cerezo, derivando en una fiesta tradicional japonesa. (Kuroda Toshio). Es necesario en este punto hacer una mención al Valle del Jerte. Este se encuentra en Cáceres, Extremadura, es decir al oeste de la Península Ibérica. En esta zona, se celebra la Fiesta del Cerezo en flor, que fue designada en 2010 Fiesta de Interés Turístico Nacional.

3. HIPÓTESIS DE TRABAJO Y OBJETIVOS DE LA INVESTIGACIÓN

El problema que marca el desarrollo de este trabajo es: ¿cómo afecta la Floración en la economía y en la sociedad de Cieza? Cuestión que se intentará responder atacando los siguientes objetivos.

32º
110 

El auge socio-económico a través de turismo rural: la Floración de Cieza un estudio de caso

Como objetivo principal de esta investigación se propone averiguar cómo repercute en el ámbito social y económico la Floración en Cieza. Complementando con el principal, tres objetivos específicos: (I). Analizar el impacto socio-económico mediante los datos de la floración en los últimos años con el estudio y examen de los datos de marzo de 2019. (II). Conocer la opinión sobre el fenómeno de los distintos actores (turistas, organizadores, comerciantes y ciudadanos). (III) las similitudes y diferencias que tiene con la Floración del Valle del Jerte y el Hanami en Japón.

4. MATERIALES Y MÉTODOS

4.1. ENFOQUE DE LA METODOLOGÍA:

Tendrá un enfoque cualitativo, ya que, según el estudio de Castillo y Vásquez (2003), se debe tener presente que la investigación cualitativa se califica por ver los sucesos desde el punto de vista de las personas que están siendo estudiadas. Pero, con un método mixto para la captación de datos porque derivarán repuestas de tipo cuantitativo Y para esta investigación se ha escogido un procedimiento de caso único.

4.2. EN CUANTO A SU CONTEXTO Y PARTICIPANTES:

El actual proyecto se llevó a cabo durante la Floración de Cieza 2019, adoptando como tipo de muestreo el no probabilístico y tres instrumentos los utilizados para la toma de datos:

Instrumento 1: Cuestionario. Se ejecutaron dos cuestionarios, uno dirigido a turistas, y otro dirigido a comercios. Estos se hicieron a través de Google Form. Algunos se realizaron telemáticamente (Redes Sociales y correo electrónico) y otros personalmente.

Instrumento 2: Opinión de expertos. Se seleccionaron aquellos sujetos que tenían o conocían información relevante. Estos fueron: Fernando Galindo, pionero de la Floración, agricultores de diferentes asociaciones (COAG y UPA), Pascual Saorín Camacho, ciezano que vive en Japón desde hace 17 años, personal de la oficina de Turismo del Valle del Jerte, así como de la de Cieza, y Antonio Moya, concejal de agricultura y turismo de Cieza.

Instrumento 3: Cuaderno de Campo. En el cuaderno de campo se desarrollaron diferentes aspectos: fecha, lugar, observaciones y desarrollo.

111 

CERTAMEN JÓVENES INVESTIGADORES / Ciencias Sociales y Jurídicas

4.3.

4.4. ETAPAS DE LA INVESTIGACIÓN

Las etapas de la investigación se llevaron a cabo siguiendo la cadena que se encuentra a continuación:

4.5. VALIDEZ Y CONFIABILIDAD

La validez y la confiabilidad son esenciales en una investigación, es una forma de salvaguardar el fundamento y el rigor que complementa y afirma una buena investigación. Para ello, la confiabilidad según Camarillo (2011) significa la obtención de los mismos resultados si se volviese a realizar el mismo estudio, pero no siendo posible una replicabilidad absoluta en las ciencias sociales. Además, se realizará una triangulación metodológica que, se basa en “la observación del hecho desde distintos puntos de vista.”

5. RESULTADOS

5.1. INSTRUMENTO 1: CUESTIONARIO

5.1.1. CUESTIONARIO TURISTAS:

El número total de encuestados ha sido de 131. En algunas preguntas podía seleccionarse más de una respuesta, por lo que puede observarse, en algunos casos, que el total sea superior o inferior a 131.

112 
32º
FASES DE LA INVESTIGACIÓN Figura 1 Proceso de la Investigación Fuente: Adaptado de Peinado, 2018; Ibáñez y Egoscozábal, 2008 Figura 2 Cronología de las etapas de la investigación

El auge socio-económico a través de turismo rural: la Floración de Cieza un estudio de caso

Como se puede observar (Figura 3), la mayor parte de los visitantes son locales, mientras que una parte menor proceden de otros municipios de la Región de Murcia y otra porción son de procedencia diferente.

En el gráfico de la Figura 4, se tiene un total de 288 respuestas y la que más aparece es “Gastronómicas”, seguida por “Medioambientales”. El menos concurrido es Ninguna; ya que la mayoría de estas preguntas se hicieron entorno a localizaciones de la Floración y en la época de la misma.

113 
Procedencia de usuarios
Figura 3
Participación en actividades
5 Dónde se escuchó Floración
6 Tiempo de visita Cieza Región de Murcia Otra Comunida d Española Internacio nal Other 10 3 1 67 1 2 36 46 0 20 40 60 80 Familia Prensa Colegio Amigos Empresa colaboradora Radio Redes Sociales Publicidad 26 53 7 25 17 0 20 40 60 Más de 24 horas Menos de 24 horas 24 horas Más de 72 horas Residente
Figura 4
Figura
Figura

32º CERTAMEN JÓVENES INVESTIGADORES / Ciencias Sociales y Jurídicas

La Figura 5 presenta que la primera vez que escucharon hablar de la Floración fue a través de amigos, seguido por la Publicidad y Redes Sociales. El gráfico de la derecha (Figura 6) representa el número de horas dedicadas a realizar visitas o actividades. Se observa una minoría con visitas de más de 24 horas en comparación con el máximo, menos de 24 horas.

En la Figura 7, se observa el nivel monetario de consumo realizado en los diferentes establecimientos de la localidad por parte de los turistas. Observando el consumo por establecimiento (Figura 8). Se contrasta que, aunque la mayoría dice sí consumir, ese consumo no supera los 50 € en 62 casos, solo superando los 50 € en 37 casos y en 21 casos, los 100 €.

5.1.2. CUESTIONARIO COMERCIOS

El número total de comercios participantes ha sido 22, destacar que 3 comercios no quisieron participar. Además, se realizó la entrevista de forma presencial.

114 
Sí 88% No 12% Figura 7 Consumo en establecimientos Figura 8 Gasto por los consumidores 62 37 21 8 0 10 20 30 40 50 60 70 Menos de 50€
o
Nada
Más de 50€ 100€
más

El auge socio-económico a través de turismo rural: la Floración de Cieza un estudio de caso

El gráfico de la izquierda (Figura 9) representa, a modo de opinión, si durante el periodo de la Floración han observado más afluencia de público. Por último (Figura 10), se hace un balance sobre lo que los entrevistados piensan que es positivo de la Floración. El primer puesto lo ocupa el ámbito turístico y el ámbito gastronómico, así lo corrobora la mayoría de comercios entrevistados.

5.2. INSTRUMENTO 2: OPINIÓN DE EXPERTOS

En el último instrumento empleado: Opinión de expertos, se agrupan las preguntas y respuestas de los entrevistados mediante una selección de similitudes en las mismas.

Inicios: Los inicios de la Floración comenzaron a atisbarse, como fenómeno natural, hace casi 30 años, aunque la Floración como se conoce actualmente como actividad turística, empezó a consolidarse hace unos 10 o 12 años.

Las primeras actuaciones para fomentarla, como recurso y evento turístico, se empezaron a dar en 1998, con exposiciones de un afamado fotógrafo ciezano, Fernando Galindo. Pero no fue hasta 2017 que se ideó un Plan Turístico y Económico para impulsarla.

Impacto: La mayoría de entrevistados dicen estar de acuerdo que el impacto es positivo, tanto de imagen como fuente de ingresos para la localidad. Pero, hay algunos desacuerdos en la forma de manejar el Proyecto, ya que se debe hacer

115 
Sí No No sé/ No contesto 0 5 10 15 20 Agrícola Gastronómico Medioambiental Deportivo Turístico Musical Presentación de la imagen…
en ningún… Cultural
No es positivo
Figura 9 Observación de público Figura 10 Opinión sobre lo positivo

CERTAMEN JÓVENES INVESTIGADORES / Ciencias Sociales y Jurídicas

mejoras en el control de las visitas a las fincas, señalización, caminos, además de reconocer la labor de los agricultores. Esta repercusión se percibe también en los numerosos medios de comunicación que se hacen eco de este fenómeno.

Productos: El principal objetivo de la Floración ha sido convertirla en el producto más estratégico de la localidad, diversificando la economía y crear empleo, además del inicio de gestiones para conseguir la Indicación Geográfica Protegida (IGP) para apoyar y potenciar la marca de “Melocotón de Cieza”.

Proyecto / Actividades: Todas las actividades surgen desde el Ayuntamiento, coordinadas estas desde la Concejalía de Turismo.

Pero, un inconveniente es la insuficiencia de plazas hoteleras. En 2019 se recibieron más de 60.000 turistas, siendo estos un 33% más que el año anterior y fueron 28.000 el número de participantes en las distintas actividades. Todos estos datos han sido proporcionados por la Oficina de Turismo de Cieza.

Futuro: En general la respuesta es que la Floración tiene un buen futuro, pero es necesario comenzar a mejorar algunos aspectos.

Diferencias: La Fiesta del Cerezo en Flor (Valle del Jerte), comenzó en 1971 solamente destinada a los habitantes de la comarca, y no fue hasta 1995 que se empezó a promocionar como elemento turístico. La economía del Valle del Jerte se sustenta principalmente con la afluencia de turistas durante esa fecha, es su temporada alta. Siendo esta Fiesta la propulsora en gran parte del turismo actual en Extremadura.

En contraste, en Japón, el Hanami no está destinado a una explotación económica, sino más bien es una tradición cultural, ya que su cultura está muy vinculada a la naturaleza. Por otro lado, sí existe un gran impacto social y se refleja en que, por ejemplo, los nipones se sientan debajo de las ramas del sakura, para sentirse parte de la naturaleza. En Japón, no existen actividades propuestas para fomentar el turismo, aunque en los lugares más populares, los propios negocios sitúan diferentes puestos simulando una feria.

5.3. INSTRUMENTO 3: CUADERNO DE CAMPO

El tercer instrumento es el Cuaderno de Campo. Para hacer más fácil su estudio, se ha dividido la información en tres grupos: Observaciones de afluencia (I), observaciones en Redes Sociales (II) y observaciones Comercio (III).

Las ases que se han seguido para examinar este resultado han sido las siguientes:

32º
116 

El auge socio-económico a través de turismo rural: la Floración de Cieza un estudio de caso

Proceso de obtención de resultado

Para conseguir mejorar el análisis se reflejan los resultados en la tabla siguiente, ya divididos en sus categorías correspondientes.

RESULTADO 4: MAPA INTERACTIVO

A través de las informaciones obtenidas del resto de instrumentos se crea un mapa interactivo para poder tener una visión global de dónde se sitúan las actividades y los parajes en dónde se puede observar la Floración. Para ello se ha utilizado la aplicación Thinglink y con la ayuda de Google Maps se han sobrepuesto las coordenadas de cada lugar de la Floración. Se ha llevado acabo por un mapa de Cieza creado por María Victoria Gómez que se puede consultar a través del link: https://www.thinglink.com/scene/1279142932061880322

117 
Tabla 1. Número de registros recogidos en el Cuaderno de Campo por categoría y tipo de observación. Tabla 2. Número de registros recogidos en el Cuaderno de Campo por categoría y tipo de observación. Comercios Figura 11
CATEGORÍA OBSERVACIONES Nº DE REGISTROS Nº DE REGISTROS TOTALES POR CATEGORÍA Observaciones sobre afluencia Turistas 58 162 Vecinos 27 Fotos 19 Encuesta 34 Comercio 24 Divulgación científica Twitter 7 24 Instagram 17 CATEGORÍA OBSERVACIONES Nº DE REGISTROS Nº DE REGISTROS TOTALES POR CATEGORÍA Observaciones Comercio Aceptación 17 61 Encuesta 22 Afluencia 22

JÓVENES INVESTIGADORES / Ciencias Sociales y Jurídicas

6. CONCLUSIÓN

El problema planteado se pretende responder a través del seguimiento de diversos objetivos sucedidos por los resultados expuestos y para ello, se comienza por el objetivo general: Cómo repercute en el ámbito social y económico la Floración de Cieza.

Las conclusiones generales que se obtienen de este proyecto son que La Floración de Cieza repercute positivamente en el ámbito económico. También es positivo en el ámbito social debido que hay un gran movimiento demográfico alrededor de la Floración, todos los turistas que vienen a visitarla y los puestos de trabajo que directa e indirectamente se crean a raíz de este evento. Por lo tanto, es un destino de turismo rural en auge, como el fenómeno, por lo que el Ayuntamiento ya está invirtiendo en ampliar el alojamiento para poder albergar a más personas.

1. Analizar el impacto socio-económico mediante los datos de la floración en los últimos años con el estudio y examen de los datos de marzo de 2019: Para analizar este objetivo, se tuvo en cuenta ciertos datos del Plan Turístico de la Edición 2018 y el Plan Turístico 2019. Respecto al año 2018, visitaron la Floración más de 60.000 personas, superando en un 33% los visitantes del año 2017, pero ha sido el año 2019 el que ha acogido a más de 66.000 personas. Según el origen de estos visitantes, han sido en un 16,27%, internacionales; 41,34%, nacionales; y 42,50% regionales. Fueron 28.000 participantes en las diferentes actividades propuestas. En conclusión, la mayoría de los datos han aumentado en el último año originando esto una repercusión favorable para la economía y, por lo tanto, para la sociedad. Se puede considerar que la Floración, económicamente hablando, va en auge debido a que cada año se acoge a más turistas y estos contribuyen positivamente en la mejora económica de Cieza.

2. Conocer la opinión sobre el fenómeno de los distintos actores (turistas, organizadores, comerciantes y ciudadanos): En resumen, la Floración repercute en la sociedad de manera que todo el mundo se relaciona durante esas fechas, todo el mundo acude en grupo, pareja, familia o amigos a observarla y eso hace que exista un movimiento demográfico, tanto de dentro como de fuera del municipio, teniendo en común única y exclusivamente la admiración de la Floración, y en muchos casos, la participación en ciertas actividades. Ese movimiento, repercute además en el turismo rural de esta zona, promocionándolo, aunque no de manera exclusiva en Cieza, sino repercutiendo en otros destinos cercanos alrededor de toda la Región de Murcia.

3. Conocer las similitudes y diferencias que tiene con la Floración del Valle del Jerte y el Hanami en Japón. Las tres Floraciones dejan una estampa de color muy apreciada por los turistas, observando en estas un acontecimiento fugaz y, por lo tanto, muy valorado debido a su carácter efímero. Las diferencias son principalmente en que la Floración de Cieza es la más joven de las tres, y el Hanami el más antiguo, por su carácter tradicional. Otra diferencia es que las dos

32º
118 
CERTAMEN

El auge socio-económico a través de turismo rural: la Floración de Cieza un estudio de caso

primeras se realizan para la obtención de un beneficio económico. Por último, el Hanami es una cuestión más tradicional, una actividad que forma parte de su cultura.

Para poder observar a simple vista la triangulación de los distintos instrumentos, como se expresó en Metodología, se ha creado una tabla en la que se ponen en común, al menos, dos instrumentos para el estudio.

Tabla 3. Conclusiones obtenidas por instrumento de investigación.

Nº de visitantes Sí Sí

Opinión sobre Floración Sí Sí

Procedencia Sí Sí Sí

Turismo Sí Sí Sí

Valle del Jerte Sí Sí

Hanami Sí Sí

Repercusión Sí Sí

119 
CONCLUSIONES CUESTIONARIOS CUESTIONARIOS OPINIÓN DE EXPERTOS CUADERNO DE CAMPO

CERTAMEN JÓVENES INVESTIGADORES / Ciencias Sociales y Jurídicas

BIBLIOGRAFÍA

Ayuntamiento de Cieza. (2019). Plan Turístico 2018 de la Floración de Cieza. Memoria de la edición 2018 del Proyecto Floración de Cieza.

Cortes Camarillo, G., (1997). Confiabilidad Y Validez En Estudios Cualitativos. México: Universidad Autónoma de Yucatán.

Castillo, E & Vásquez, M. L., (2003). El Rigor Metodológico En La Investigación Cualitativa. Colombia médica 34 (3), 164-167.

Henche, B. G. (2005). Características diferenciales del producto turismo rural. Cuadernos de turismo, (15), pp 113-134.

Lafuente Ibáñez, C. y Marín Egoscozábal, A. (2008) Metodologías de la investigación en las ciencias sociales: Fases, fuentes y selección de técnicas, Revista Escuela de Administración de Negocios, (64), pp. 5-18.

Peinado Rocamora, P. (2018). La clase invertida: una experiencia con alumnos con dificultades de aprendizaje. Proyecto de investigación. Universidad de Murcia.

Pérez, M. S., Descals, A. M., & Saura, I. G. (2000). Estatus del marketing de relaciones. Revista Europea de Dirección y Economía de la Empresa, 9(3), pp 47-64.

Real Academia Española. (2001). Diccionario de la lengua española (22.a ed.). Consultado en http://www.rae.es/rae.html

Toshio, K., Dobbins, J. C., & Gay, S. (1981). Shinto in the history of Japanese religion. Journal of Japanese Studies, 7(1), pp

32º
120 
121 

- 125 -

ARTES Y HUMANIDADES

PRIMER PREMIO |

Transhumanismo: ¿seremos humanos? EDUARDO GUERRERO RIESCO

SEGUNDO PREMIO |

-134- 150 -

Análisis del binomio ciencia-arte a través de la figura de D. Pío Del Río Hortega con el aporte de nuevos datos biográficos MARIO SÁNCHEZ-MIGALLÓN ALISES

El papel de la mujer en el sector conservero en la Ribera de Tudela NEREA PÉREZ ARRIAZU Y CLARA GARCÍA ARRIAZU

TERCER PREMIO |

- 162 -

Del monte a la familia: Una historia, dos bandos KAREN ROIZ RODRÍGUEZ

ACCÉSIT |

- 174 -

Siyâsa Virtual: reconstrucción de la casa nº 6

IRENE GARCÍA ORTEGA

- 188 -

Escribir el silencio: análisis del discurso narrativo en la literatura fantástica francesa del siglo XIX MARÍA LEBBARDI ÁLVAREZ

PREMIO ESPECIAL UNIVERSIDAD DE MÁLAGA |

- 200 -

Kant y los Popularphilosophen: ¿Debe la Filosofía adaptarse para que cualquiera pueda acceder a ella?

NATHAN DOMÍNGUEZ LINCE

123

REPRESENTANTE

Transhumanismo: ¿Seremos humanos?

/ PRIMER PREMIO

AUTOR | EDUARDO GUERRERO RIESCO

COORDINADORA | ESPERANZA RODRÍGUEZ GUILLÉN

CENTRO | IES MARGARITA SALAS

CIUDAD | MAJADAHONA-MADRID

RESUMEN |

El presente trabajo pretende poner de manifiesto el desconocimiento general del transhumanismo, así como proporcionar unos conceptos clave para poder formar una opinión fundada sobre el mismo. Para ello, se expondrán y analizarán los aspectos fundamentales que lo atañen.

Palabras clave: Biotecnología, mejora humana, posthumanismo, transhumanismo.

ABSTRACT |

The present document attempts to highlight the general ignorance regarding transhumanism, as well as to provide some key concepts to form a well-founded opinion about it. To do so, its basic aspects will be exposed and analysed.

Keywords: Biotechnology, human enhancement, posthumanism, transhumanism.

ARTES Y HUMANIDADES 125 
32 CERTAMEN EUROPEO DE JÓVENES INVESTIGADORES

32º CERTAMEN JÓVENES INVESTIGADORES / Artes y Humanidades

1. INTRODUCCIÓN

El transhumanismo es un tema desconocido para el público general, pero que puede adquirir una especial relevancia en una sociedad tan tecnológica como la actual. Precisamente por ello, las motivaciones para realizar este proyecto surgen del interés de investigar más a fondo un fenómeno, durante mucho tiempo desconocido también para mí, como es el transhumanismo.

2. ESTADO DE LA CUESTIÓN

El transhumanismo, como toda disciplina, es complejo y extenso. En este primer apartado se explicará brevemente, así como sus distintas corrientes y antecedentes históricos.

2.1. DEFINICIÓN DE TRANSHUMANISMO

El transhumanismo es un movimiento filosófico, nacido a principios del siglo XX, que aboga por el mejoramiento del ser humano, a nivel individual, pero también como especie, valiéndose de todos los medios tecnológicos y biotecnológicos disponibles.

Algunas de sus ideas principales, de acuerdo con el manifiesto homónimo (Baily et al., 1998), reflejan la preocupación por los riesgos biológicos a los que está expuesto el ser humano, así como su gran margen de mejora, aun inexplorado. Entre los elementos que más les conciernen se encuentran el aumento del bienestar y, por tanto, la cura de las enfermedades, la evitación de la muerte o la reducción de las limitaciones humanas en aspectos como la capacidad racional y sensorial o la mejora física. Se justifica todo ello afirmando que, al tener las tecnologías, se está en la obligación moral de hacerlo, para proporcionar el mayor bienestar posible a la gente. Los medios para alcanzar estos objetivos son muy variados, pero la corriente principal los ubica en la mejora tecnológica.

2.2. CORRIENTES DEL TRANSHUMANISMO

El transhumanismo tiene dos corrientes principales, en función del tipo de tecnología que se aplica para mejorar al ser humano.

La primera, el mejoramiento tecnológico, de ellas está fundamentada en los trabajos de ingenieros y científicos de ámbitos como la Inteligencia Artificial o la robótica. Algunos de sus representantes son Marvin Minsky, Raymond Kurzweil, Nick Bostrom o Hans Moravec, cuyas tesis proponen generar una descendencia, no biológica, sino cultural, junto a la de eludir la muerte mediante el vertido de la mente (que se equipararía al software) en una máquina o dispositivo (que se equipararía al hardware) (Moravec, 1988). Esto se muestra como una realidad futura en la que máquinas inteligentes sean habitantes del nicho ecológico humano. Debido a esto, las máquinas, aun sin quererlo, acabarían haciéndolos desaparecer. Sin embargo, Moravec cree que esto no ha de ser vis-

126

Transhumanismo: ¿Seremos humanos?

to desde una perspectiva negativa, ya que estos individuos artificiales serían su descendencia; cultural en lugar de genética, pues estos robots no transmitirían elementos naturales, pero descendencia, al fin y al cabo. Como alternativa a esta extinción, el autor solo considera el vertido de la mente en la máquina, bien mediante un dispositivo que pudiera simular el funcionamiento neuronal, bien integrando un ordenador que sustituyera las funciones perdidas o bien mediante un artefacto que acompañara durante toda la vida, aprendiendo por imitación del humano observado para conseguir una copia perfecta (Moravec, 1988).

La segunda tendencia está fundamentada en un campo de investigación reciente: la biología sintética. Esta área se define como la disciplina que persigue la creación de nuevos sistemas biológicos, diferenciándose de la tradicional en que el objetivo de esta última siempre ha sido estudiar los ya existentes. Entre las principales áreas de trabajo de este campo se encuentran la creación de «biobricks», módulos biológicos intercambiables y recombinables con capacidad para intervenir en mecanismos biológicos, o el diseño de biosistemas mediante herramientas informáticas y matemáticas. Otras prioridades de esta disciplina serían la síntesis de fármacos de mayor capacidad, la potenciación las capacidades sensoriales, físicas y mentales, y la elaboración e implementación de genes novedosos en el genoma humano (Diéguez, 2017).

2.3. ANTECEDENTES HISTÓRICOS Y PRINCIPALES DEFENSORES

El transhumanismo, tal y como se lo conoce hoy en día, es un planteamiento relativamente reciente. No obstante, la mejora humana ha sido, es y será un tema recurrente en la cultura humana. Es por ello que se pueden encontrar antecedentes de este movimiento en varios periodos de la historia. Primeramente, en la mitología hay numerosas referencias que muestran a un ser humano con voluntad de igualarse a Dios, esto es, alcanzar la perfección. En cuanto al conjunto de las religiones, se alimentan en gran medida del pánico humano a la no existencia (Cardozo & Cabrera, 2014). Además de los ejemplos ya citados, no se puede hablar de transhumanismo sin hacer referencia a otra corriente filosófica homónima: el humanismo. Esta, desarrollada en Europa durante los siglos XIV y XV, pone al ser humano como centro del universo, destacando, entre otras cosas, su capacidad racional y de propia decisión. Pasado el tiempo, en los siglos XVII, XVIII y XIX vuelven a aparecer referencias a este movimiento. Entre otras muchas se puede destacar al «hombre máquina» de La Mettrie o la visión del ser humano como enfermo o defectuoso, de filósofos como Nietzsche, que ya hablaba del “superhombre” (aunque la creación de este no respondiera a intervención técnica). Pese a todo lo mencionado anteriormente, hasta el siglo XX no se comienzan a hacer referencias parecidas a lo que hoy conocemos como transhumanismo. Una de ellas es la filosofía de la técnica de Ortega.

127

3. HIPÓTESIS Y OBJETIVOS

3.1. HIPÓTESIS

La hipótesis de partida del trabajo es que el transhumanismo es una tendencia filosófica que puede afectar radicalmente a los distintos ámbitos relativos al ser humano.

3.2. OBJETIVOS

1. Confirmar o descartar la hipótesis planteada.

2. Explicar el concepto de transhumanismo, sus diferentes variedades, corrientes y metas a alcanzar.

3. Diferenciar las propuestas viables de las meramente teóricas.

4. Estudiar y descubrir a qué aspectos del ser humano pueden afectar estos planteamientos.

5. Evaluar en profundidad las repercusiones antropológicas del transhumanismo.

6. Consolidar una opinión fundada sobre esta corriente filosófica, sus aplicaciones y sus repercusiones.

4. METODOLOGÍA

En la realización de este proyecto se distinguen tres metodologías:

1. En primer lugar, se recopiló la documentación pertinente para la realización del trabajo.

2. A continuación, mediante la hermenéutica, se analizaron estas fuentes para extraer la información más relevante.

3. Finalmente, se aplica el método deductivo para, a partir de la información recogida anteriormente, alcanzar una serie de conclusiones e ideas en cada apartado.

5. DESARROLLO

5.1. INNOVACIONES TECNOLÓGICAS ACTUALES

En primer lugar, se analizarán los implantes tecnológicos. Estos tienen, en la actualidad, dos usos diferentes. Por un lado, se encuentran los de uso médico, con una amplia variedad de funciones, desde la detección de enfermedades hasta su tratamiento, pasando por la medición de distintos parámetros, como la insulina o la recuperación de funciones perdidas por degeneración neurológica. Por otro lado, se encuentran los de uso «habitual», que permiten interactuar con dispositivos electrónicos, posibilitando pagar, desbloquear puertas o conectarse a determinadas redes sin necesidad de un aparato externo. Inicialmente, todo esto podría no parecer especialmente negativo, pero lo puede ser.

32º
128 
CERTAMEN JÓVENES INVESTIGADORES / Artes y Humanidades

Transhumanismo: ¿Seremos humanos?

No se puede olvidar que detrás de estos chips, al igual que sucede con los medicamentos, hay empresas cuyo interés primordial es el rédito económico. De este modo, todo aquel que tenga un implante, y especialmente aquellos que cumplan funciones médicas, está subordinado a los intereses de dichas compañías, encontrándose expuesto a la compraventa de su información y dependiente de los intereses de la corporación productora de sus dispositivos (Diéguez, 2017).

La segunda tecnología a analizar es la Inteligencia Artificial. Esta se aplica, generalmente en cuatro campos. En primer lugar, gestión y análisis, en ámbitos como el financiero, médico o administrativo. En este caso, la Inteligencia Artificial se utiliza, por ejemplo, como método para optimizar las inversiones o como herramienta de reconocimiento, bien de individuos a partir de sus datos biométricos, bien de enfermedades, a partir de pruebas médicas. El riesgo de este primer campo es la posibilidad de error de los aparatos. Un fallo de funcionamiento en sistemas de administración financieros podría ocasionar pérdidas descomunales, no solo a grandes empresas sino también a particulares; asimismo, un error en la identificación de un sujeto podría acarrear responsabilidades legales para el mismo de forma injusta. En segundo lugar, en dispositivos domésticos y de simulación, como pueden ser ciertos juguetes o asistentes de distinto tipo (por voz, robots cuidadores…), que tienen la capacidad de realizar funciones coordinadas con otras tecnologías, así como de aprender e interactuar con seres humanos. El lado negativo de estas tecnologías es, de nuevo, la revelación de datos personales y ausencia de intimidad. Ya se han dado casos de empresas que generan perfiles de compra de clientes sin su consentimiento, a partir de las grabaciones recogidas por sus asistentes domésticos. En tercer lugar, se encuentra el campo armamentístico. Existen en la actualidad instalaciones militares, esencialmente defensivas, que eligen sus objetivos de forma automática, sin supervisión humana. Si bien esto se ha aplicado fundamentalmente a la defensa, es notable el peligro que entraña. No solo resulta extremadamente complejo para una máquina discernir entre los objetivos adecuados, que tienen una intención hostil, sino que, además, delegar la decisión de matar en una máquina es simplemente intentar suavizar las implicaciones morales, y sería complejo establecer las responsabilidades legales pertinentes (Aldama, 2019).

La última tecnología relevante es la ingeniería genética. Cabe decir, ante todo, que su aplicación en humanos hoy en día se limita a células somáticas, y no a germinales. Actualmente se utiliza para la obtención de proteínas, vacunas recombinantes, anticuerpos monoclonales y diagnóstico de enfermedades genéticas. No obstante, también se podría utilizar para modificar el genotipo de un individuo y, por tanto, sus características. Esto tiene, principalmente, el impedimento del principio de precaución, por el riesgo que supone la imprecisión de las técnicas de modificación genética, cuyos resultados no se pueden predecir con seguridad.

 129

5.2. REPERCUSIONES DEL TRANSHUMANISMO

5.2.1. REPERCUSIONES SOCIALES

De acuerdo con lo expuesto hasta ahora, se puede concluir, en lo que respecta a lo social, que las tecnologías en las que se apoya el transhumanismo probablemente generarían desigualdad. Queda históricamente demostrado que la tecnología, si no existe un acuerdo que la regule, tiende a quedar en manos de las clases con mayor poder, como sucedió durante las revoluciones industriales. Planteando un situación en la que existieran las tecnologías deseadas por los transhumanistas, es muy probable que solo las clases dominantes (más adineradas) pudieran acceder inicialmente a estas tecnologías; una vez que este grupo poseyera unas ventajas tales respecto al resto de la sociedad, la dependencia que los primeros tendrían de los segundos sería muy inferior a la que tienen actualmente, ya que, además de tener unas condiciones mucho más eficientes, podrían disponer de las máquinas para desempeñar las tareas más laboriosas. De este modo, las clases que no tuvieran acceso a las tecnologías del mejoramiento en un primer momento se enfrentarían a muchas dificultades para adquirirlas posteriormente.

Pero, yendo más allá, podría darse el caso de que, una vez hubieran alcanzado las clases más poderosas el grado máximo de perfeccionamiento, decidieran eliminar las tecnologías que les permitieron conseguirlo. Si tal supuesto se llegara a concretar, la humanidad se enfrentaría a una situación realmente grave; mucho más que las relaciones desiguales de burgueses y proletarios del siglo XIX. Esto se debe a que, mientras estas últimas dependían exclusivamente del dinero, dificultando mucho la transferencia entre una clase social y otra, las desigualdades generadas por el uso de la tecnología meliorativa podrían generar unas diferencias, ya no solo de poder adquisitivo, sino también de funcionales y biológicas, que imposibilitaran absolutamente el movimiento entre una clase y otra, creando dos secciones sociales totalmente impermeables: los humanos mejorados y los no mejorados. Por ello, mediante este ejercicio especulativo, pretendo alertar de que la aplicación sin control de los principios transhumanistas y sus tecnologías asociadas puede derivar en una situación de fractura social mucho más grave que la acaecida durante los siglos XIX y XX; una división propia del Medievo.

5.2.2. REPERCUSIONES ÉTICAS

En primer lugar, considerando que existieran técnicas que permitieran la prevención y/o tratamiento de enfermedades que supusiesen un perjuicio para el desarrollo, todos los individuos deberían poder tener igual acceso a ellas; esto se fundamenta en el deber moral de procurar a cualquier persona un tratamiento médico adecuado, seguro y asequible, dentro de las posibilidades técnicas. No obstante, incluso en la actualidad se puede ver ignorado este deber, como sucede con las enfermedades poco frecuentes: debido a los altos costes de los

 32º CERTAMEN
130
JÓVENES INVESTIGADORES / Artes y Humanidades

Transhumanismo: ¿Seremos humanos?

tratamientos, los afectados no se pueden someter a ellos. En segundo lugar, es importante fijar un criterio ético por el que decidir qué rasgos y características son deseables y cuáles negativos. Hay que prestarle especial atención a esto, ya que dejar libre elección de rasgos puede desembocar en descendencia con características realmente negativas o en descendencia que pierda variabilidad fenotípica, por la influencia de criterios sociales. Finalmente, se ha de precisar la ética aplicable a las máquinas inteligentes. Teniendo en cuenta que los dispositivos podrían llegar a tener inteligencia y características iguales o superiores a las humanas, parece lógico que estos se vieran amparados por una normativa similar a los derechos humanos.

5.3. REPERCUSIONES ANTROPOLÓGICAS

Primeramente, sobre la definición de ser humano manejada, se puede entender al ser humano como un ser integrado en un grupo de semejantes, por lo que se puede hablar del concepto “ser humano”; en segundo lugar, se ha de reconocer un ser humano racional, esto es, capaz de actuar respecto a sus propias ideas (ser libre). De este modo, se debe analizar si estas características se mantendrían o no en los sujetos propuestos por los transhumanistas.

Respecto al sujeto posthumano, cabe destacar que los transhumanistas lo describen como fusión de lo natural y lo artificial. Asimismo, hay un consenso general en que el sujeto transhumano tendrá como característica principal la superación de lo humano, al menos en lo que a la biología respecta. En una línea un tanto hedonista, se persigue la consecución de individuos capaces de sobreponerse a los defectos humanos y de aumentar exponencialmente las características que estos últimos poseen, a saber, la inteligencia, el placer o la felicidad misma. Pero, ¿se puede seguir hablando de humanos para describir a estos seres?

Uno de los primeros aspectos amenazados es la libertad. Pese a las grandes promesas del transhumanismo, esta podría desaparecer en el nuevo sujeto posthumano, debido a la posibilidad de elegir las características de cada sujeto como si fuera un objeto cualquiera. Un individuo cuyas características han sido impuestas por terceros es un individuo que, al menos en cierta parte, pertenece a sus padres, pues estos han determinado buena parte de lo que va a ser. Por otro lado, el instinto de supervivencia ha llevado al ser humano a tener una serie de características, como la empatía o los sentimientos, que les permiten formar grupos para colaborar. Si comenzaran a existir sujetos con unas capacidades tales que no requiriesen de la ayuda de los demás, es probable que elementos como estos acabaran desapareciendo por desapego social, puesto que las emociones y sentimientos se ven ligados a la relación con el grupo. En tercer lugar, cabe destacar que una de las formas de definir algo es analizando sus limitaciones. Por tanto, en un ser sin límites aparentes, como podría ser el posthumano, las líneas que lo definen tenderían a desaparecer. Los individuos encontrarían dificultades para identificarse con algo, perdiendo las referencias de la identi-

 131

CERTAMEN JÓVENES INVESTIGADORES / Artes y Humanidades

dad humana, e incluso de la propia individualidad. Por último, una de las propuestas más ambiciosas del transhumanismo, como es la amortalidad, también es profundamente cuestionable, puesto que otro de los elementos que caracteriza a la vida humana es precisamente su finitud. Por tanto, un ser que pudiera vivir eternamente mientras no sufriera accidentes dudosamente sería humano, en la medida en que sería difícil formar una personalidad sólida, teniendo en cuenta que esta se ve afectada por lo vivido; al tener tanta extensión la vida, la cantidad de situaciones atravesadas sería inconmensurable y, por tanto, no se lograría una coherencia identitaria.

6. CONCLUSIONES

Por último, se exponen las conclusiones obtenidas, que responden a los objetivos planteados al comienzo del proyecto.

1. Se puede afirmar que la hipótesis planteada al comienzo del documento es correcta, y que, efectivamente, el transhumanismo puede tener repercusiones en los ámbitos relativos al ser humano.

2. El transhumanismo es una perspectiva filosófica variada, que aboga por el mejoramiento del ser humano, llegando incluso a trascenderlo.

3. Es fundamental dar a conocer esta tendencia, muy ignorada actualmente, que, pese a tener aspectos inviables, puede afectar de forma radical a los principios que rigen al ser humano, para bien o para mal.

4. Las propuestas transhumanistas, de ser aplicadas, tendrían repercusiones éticas, sociales y antropológicas en el ser humano.

5. En cuanto a lo antropológico, es muy probable que los propósitos del transhumanismo supusieran el abandono de lo humano y biológico en pos de un ser no limitado por el azar o lo natural. Esto podría suponer serios problemas con la identidad y la libertad que podrían desembocar en la inviabilidad de estos seres.

6. De acuerdo con lo investigado, se puede concluir que el transhumanismo es una corriente filosófica que, si bien propone en algunos puntos mejoras razonables y deseables para alcanzar el bienestar, puede hacer peligrar todo lo relacionado con lo humano, desembocando en situaciones nada deseables desde ningún punto de vista.

Por todo ello, dando mi opinión al respecto, creo que, si bien la aplicación de estas tecnologías en ciertos aspectos sería realmente beneficiosa, los planteamientos transhumanistas, en el intento de conseguir objetivos como potenciar la capacidad sensorial o aumentar nuestra libertad, consiguen justamente lo contrario. Así, parece claro que el hecho de que algo sea realizable no implica que sea deseable.

32º
132 

Transhumanismo: ¿Seremos humanos?

BIBLIOGRAFÍA

Aldama, Z. (2019). El Sueño de Replicar la Inteligencia Humana. El País Retina, 19, 42–55.

Baily, D., Sandberg, A., Alves, G., More, M., Wagner, H., Vita-More, N., … Bostrom, N. (1998). Transhumanist Declaration. Retrieved from http://bit.ly/ 349c7A3 Última consulta 14-12-2019

Cardozo, J. J., & Cabrera, T. M. (2014). Transhumanismo: concepciones, alcances y tendencias. Análisis, 46(84), 63. https://doi.org/10.15332/s01208454.2014.0084.04 Última consulta 14-12-2019.

Diéguez, A. (2017). Antonio Diéguez. Transhumanismo. La búsqueda tecnológica del mejoramiento humano. Barcelona: Herder, 2017, 243 pp. ISBN: 9788425439629. In Herder Editorial. Barcelona.

Kurzweil, R. (2006). The Singularity Is near: When Humans Transcend Biology. Foreign Affairs, 85(3), 160. https://doi.org/10.2307/20031996. Última consulta 14-12-2019.

Maslow, A. H. (1943). A theory of human motivation. Psychological Review, 50(4), 370–396. https://doi.apa.org/doiLanding?doi=10.1037/h0054346 Última consulta 14-12-2019.

Minsky, M. (1994). Will robots inherit the earth? Scientific American, 271(4). https://doi.org/10.1038/scientificamerican1094-108 Última consulta 14-12-2019.

Moravec, H. P. (1999). Robot: Mere Machine to Transcendent Mind. In Oxford University Press

Sens Research Foundation. (2019). A Reimagined Research Strategy for Aging. Retrieved December 13, 2019, from http://bit.ly/2P7t09Y

133 

/ SEGUNDO PREMIO Y ESTANCIA CSIC

AUTOR | MARIO SÁNCHEZ-MIGALLÓN ALISES

COORDINADOR | JOSÉ LUIS OLMO RÍSQUEZ

CENTRO | IES AZUER

CIUDAD | MANZANARES-CIUDAD REAL

RESUMEN |

Dentro del estudio de disciplinas tan variadas pero convergentes como la ciencia y el arte se asiste asiduamente a su diferenciación en los distintos campos del conocimiento. Buscando conocer al binomio y desentrañar los nexos y puntos de unión entre ambos, se lleva a cabo una investigación a través de la figura de Pío del Río Hortega, eminente neurohistólogo que, pese al desconocimiento actual, es la perfecta mezcla de ambos mundos.

Partiendo de la elaboración de materiales nuevos como biografías, mapas de relaciones personales y profesionales o análisis de sus facetas artísticas más ocultas; así como la presentación de datos inéditos, orientados pedagógicamente a un grupo más juvenil, tiene cabida en este trabajo la resolución a controversias, arrastradas desde hace años (relación con Cajal, con Baroja, su sexualidad, creencias religiosas y convicciones políticas...).

Teniendo la innovación como papel central de este proyecto, se estudia la nunca analizada afición al “kirigami” del científico, sin la cual no se entenderían, ni habrían producido, los logros que lo dejaron a la puerta del Nobel de Medicina en dos ocasiones, sin olvidar la primera presentación de alguna de sus pinturas, así como esculturas.

Se ha realizado, por tanto, un trabajo que prueba gran parte de las hipótesis que apuntan cómo la relación surgida en la Edad de Plata española, entre artes y ciencias no es contextual y única, sino necesaria y extrapolable, hoy más que nunca para el avance de las sociedades desde el plano individual, hasta el colectivo.

134 
Análisis del binomio ciencia-arte a través de la figura de D. Pío del Río Hortega con el aporte de nuevos datos biográficos
ARTES Y HUMANIDADES

ABSTRACT |

It can be seen how frequently within the study of Science and Art, both subjects are treated as two solid divergent branches of knowledge. However, matching the touch points through a proper project might lead to a new way of looking at this issue, its bonds and possible applications to daily life of twenty-first century.

Histologist Pío del Río Hortega has been chosen as the main role to conduct a research investigation counting on the preparation of new materials such as a biography oriented to a youth public, relationship maps of the scientific and a deep analysis of his unknown artistic skills. In addition to this information, many previous controversies around his life (arguments with Cajal, opinion of P. Baroja, his sexuality, faith, political ideas...) have been finally solved.

At the same time, it is been possible to develop an unprecedented study about his interest on ‘kirigami’ a discipline about folding papers which he dominated masterfully. It has been discovered and proved how this hobby is one of the major explanations behind all his professional success relying on its practice during all his life.

Bringing it all together, it has been proved how there was a direct connection between both sciences and arts in the Silver Age of Spanish Culture which is not exclusive of these years but movable to today’s society, from an individual perspective to a collective one.

ARTES Y HUMANIDADES 135 

32º CERTAMEN JÓVENES INVESTIGADORES / Artes y Humanidades

1. INTRODUCCIÓN

La ciencia española, al igual que en una enorme y variada cantidad de disciplinas está repleta de nombres de enorme trascendencia que por el devenir de distintos acontecimientos acaban condenados al olvido y la intrascendencia por las generaciones sucesivas. No solo por los aportes que se encargaron de madurar y ofrecer en sus áreas de trabajo; sino en muchos casos por sus formas de entender la vida. Difícil es de encontrar el caso de alguien que haya hecho algo significativo que no tenga nada interesante que aportar acerca de su vida, desde la anécdota más superflua y cómica hasta la hazaña más sorprendente e incongruente imaginable.

Bajo esta pequeña reflexión, se redacta el presente trabajo sobre una de las personas más influyentes de la escuela histológica (y científica) del ámbito nacional e internacional: Pío del Río-Hortega (López Piñero, 1990; Campos, 2018, DeCastro, 2019). De él, se conocen con enorme precisión sus trabajos y resultados obtenidos como investigador científico, de enorme relevancia e importancia para la comprensión moderna de la disciplina a la que dedicó una enorme parte de su carrera profesional, y cuyos frutos son nombres en los que los estudiantes más nóveles se inician pronto, pues son el fundamento de un conocimiento que la labor del investigador dio a conocer, como resultado del ahínco con el que trabajó en sus proyectos. Un ejemplo claro e irrefutable de lo anterior es su descubrimiento más relevante: la microglía, que como se estudiará a lo largo de este trabajo supuso un punto de inflexión en el estudio internacional de la Histología, que como cualquiera de los descubrimientos de este alcance tuvo reticencias y desacuerdos, hasta el punto de que el mismísimo D. Santiago Ramón y Cajal discutió en primeras instancias los resultados procedentes de la investigación de Pío del Río Hortega que certificaban la correcta existencia de estas células (Cano, 1985; Campos, 2019).

Sin embargo, a pesar de la evidente implicación que tuvo la figura de Hortega en la ciencia mundial, las biografías y descripciones completas, correctas y novedosas sobre su vida son escasas (Cano, 1985, Aguirre, 1986; Río-Hortega, 1986, López Piñero, 1990). Los detalles que le llevaron a practicar la investigación histológica son poco conocidos, así como cuáles pueden ser los fundamentos que le llevaron a la cima de la comunidad científica.

Partiendo de esta situación, y a partir de documentos existentes dedicados al estudio de la vida de Pío del Río-Hortega más allá de su faceta investigadora, donde se pone de manifiesto prácticas incompleta o erróneamente reseñadas (Cano, 1985; Aguirre, 1986; Oliva, 1996, Vara 2005) y de evidente importancia para el correcto desarrollo de las labores desempeñadas por el investigador, se propone un trabajo que analice la relación existente entre las aficiones artísticas de D. Pío del Río-Hortega con su producción científica, siendo esta la premisa de convergencia entre ambas vidas (profesional y personal) de evidente relación, pero con una apreciable tendencia a ser separadas en las explicaciones sobre las figuras sobresalientes de cualquier campo, que sirva asimismo

136

Análisis del binomio ciencia-arte a través de la figura de D. Pío del Río Hortega con el aporte de nuevos datos biográficos

para aportar datos inéditos y de poca difusión sobre la figura del castellanoleonés además de ratificar con vehemencia la apreciable relación entre ciencia y arte, aportando los argumentos necesarios para establecer los nexos y puntos de unión que hacen de ambas disciplinas inseparables y necesarias para los desarrollos y avances en sendos campos a nivel general, y en el caso específico de D. Pío (Río-Hortega, 1933; Peset, 2003).

2. ANTECEDENTES

La investigación en la actualidad de la figura de Pío del Río Hortega se circunscribe en su mayoría al ámbito académico, pues sus estudios en el campo de la Neurohistología fueron determinantes para la correcta explicación, y avance de dicho campo de la medicina, en sincronía y complementando a las investigaciones de Santiago Ramón y Cajal (Cano, 1985; Sánchez, 1988; López, 1990).

Si bien es cierto, se observa cómo hay un número de artículos que profundizan sobre su figura desde una perspectiva más cercana a la de la persona, alejada del pragmatismo de lo técnico (Río-Hortega, 1983; Cortejoso, 1985; Aguirre, 1986; Lázaro, 2020). Además, se conoce cómo la figura de Río-Hortega en la Edad de Plata española fue fundamental (Hoeg y Larsen, 2006; Cavanaugh, 2006).

Sin embargo, el gran público no conoce a la eminencia que supuso en su época Pío, más aún, aunque hay diversas instituciones como el Hospital Universitario Del Río Hortega, solamente en su provincia se pueda encontrar quizás testimonios que sabrían precisar que el portillano fue un sobresaliente médico. Este hecho, provoca que su figura está obligadamente condenada al olvido. Si bien se sabe de su labor y reconocimiento a lo ancho y largo del globo, que no ganase el Premio Nobel pese a estar cerca del galardón y compartir una misma rama de la medicina con la insondable figura de Ramón y Cajal, probablemente opacan lo que podría ser una conocidísima biografía en el imaginario colectivo.

Pese a ello, se desconoce incluso más, entre los afines a su figura, el lado más personal e interno de Río Hortega, lo que hace de este proyecto uno incluso más interesante, pues no demasiado hay escrito sobre sus aficiones y costumbres. De hecho, yendo más a uno de los focos fundamentales del presente trabajo, apenas hay unas líneas acerca de su afición al doblado de papel, su realización de pinturas e incluso esculturas, actividades que pudieran parecer inocentes pero que probablemente marcaran un amplio porcentaje de su labor profesional (Corral, 2014; Peña 2015).

137

3. HIPÓTESIS Y OBJETIVOS

3.1. HIPÓTESIS

La serie de hipótesis que se pretenden desarrollar en el presente trabajo, resolviendo las preguntas o incógnitas que las pudieran motivar a partir de la recolección de obras de las que parte este trabajo son:

I. La faceta artística de Pío del Río Hortega fue clave e influyente en su obra científica hasta el punto de ser en gran parte responsable de los éxitos que se le atribuyen al histólogo.

II. La relación entre ciencia y arte es un vehículo para mejorar las capacidades y habilidades físico-cognitivas y no está circunscrita a casos concretos, siendo extrapolable al de cualquier sujeto que practique las mismas.

III. La capacidad de acción actual en el ámbito técnico se ve mermada por la desestimación de las habilidades artísticas y la diametralización de una con respecto a la otra.

IV. En las últimas décadas y de la mano de los enormes avances y progresos a nivel global, se ha perdido la conciencia y la curiosidad de las generaciones pasadas.

V. La difusión e investigación sobre la figura de Pío del Río Hortega y la esfera de interés y próxima al mismo, servirá para desenmascarar cuestiones no resueltas y desconocidas hasta la actualidad de diversos eventos y anécdotas históricas de la época.

Por otra parte, y debido a la polivalencia de este trabajo, que incorpora estudios subyacentes dentro del general, el apartado 5.3 cuenta con sus propias hipótesis, hechas a medida a fin de poder despejar las dudas que envuelven la cautivadora tarea de doblado de papel del investigador (Figura 1).

3.2. OBJETIVOS GENERALES

I. Dar a conocer la faceta artística de Pío del Río Hortega.

II. Analizar la relación entre la faceta artística de Pío del Río Hortega con su producción científica.

III. Aportar nuevos datos bibliográficos sobre la figura de Pío del Río Hortega.

3.3. OBJETIVOS ESPECÍFICOS

I. Difusión general de la figura de Pío del Río Hortega.

II. Investigar la procedencia de la afición a la kirigamia de Pío del Río Hortega.

III. Establecer la relación entre la afición a la kirigamia de Pío del Río Hortega con su actividad científica.

32º CERTAMEN
138 
JÓVENES INVESTIGADORES / Artes y Humanidades

Análisis del binomio ciencia-arte a través de la figura de D. Pío del Río Hortega con el aporte de nuevos datos biográficos

4. MATERIALES Y MÉTODOS

Para entender la elaboración de este proyecto, se estima como necesaria la necesidad de ofrecer la explicación de cuáles han sido los materiales que se han utilizado para confeccionar estas páginas y cuáles han sido los métodos empleados para llegar a conclusiones y razonamientos a partir de los recursos que se han empleado y dividiendo en cuatro grupos el conjunto de materiales utilizado:

I. Material biográfico de veracidad debidamente contrastada.

II. Material de rigor histórico (periódico, columnas, artículos firmados por Río Hortega, sus publicaciones, etc.).

III. Material de información en conflicto (publicaciones con información contradictoria entre ellas, artículos con datos sesgados, improbables o erróneos, etc.).

IV. Material gráfico (retratos, entrevistas, fotografías, dibujos, etc.)

Se ha desarrollado el trabajo en base a la continua formulación de preguntas a las que aportar respuestas determinadas, aplicando el método hipotético-deductivo. De esta forma, se puede apreciar que desde el planteamiento de las preguntas iniciales que justifican la necesidad del proyecto se da dicho método de trabajo: “¿Hay una relación entre arte y ciencia? Si la hay, y en base a los precedentes de su vida, ¿se dio en el caso particular de Pío del Río-Hortega dicha relación?”. En torno a lo anterior, se establecen los objetivos y de ello se extraen todas las conclusiones.

5. RESULTADOS

5.1. BIOGRAFÍA

A la hora de llevar a cabo el análisis de toda una personalidad como, sin lugar a dudas, es Pío del Río Hortega, observamos que hay una serie de tendencias que se concentran, en gran medida, en torno al papel y trascendencia en vida de la figura en cuestión, así como el tratamiento histórico que se le da después. De esta manera, es entendible por qué determinadas historias se perciben de una u otra manera. Así, tenemos casos de biografías en las que tanto en su tiempo como después, una persona ha desarrollado un papel tremendo y continúa en el imaginario colectivo; o por otra parte, cómo quizás en sus años no fue tan trascendente, pero después se eleva a dicho sujeto a una esfera muy superior a la que le correspondió en su época. En lo que al Dr. Río Hortega respecta, estamos ante un caso completamente opuesto, pues ocupando durante una gran parte de los primeros años del s. XX la primera plana nacional, teniendo una gran productividad en su labor y siendo ampliamente respetado por la intelectualidad del momento, el histólogo no pasaba desapercibido casi ningún día. En contra, en la actualidad es complicado encontrar en el público general a personas que apenas les suene su nombre.

139 

JÓVENES INVESTIGADORES / Artes y Humanidades

Probablemente, el carácter técnico de sus descubrimientos tuvo mucho que ver para que no trascendiera más allá, junto, principalmente, a que no se materializaran ninguna de sus dos posibles nominaciones al Nobel de Medicina que acabarían por encumbrar a Santiago Ramón y Cajal como la figura científica referente de España. La sociedad de nuestro país, históricamente se ha caracterizado por mostrar más simpatía a aquellos conciudadanos que han conseguido logros distinguidos por encima de aquellos que, con historiales similares, se han quedado a las puertas, hasta el punto de olvidar a los segundos si fuera necesario.

Se ha estudiado los pasos del portillano desde los primeros compases de su vida, la trascendencia personal de las distintas decisiones e impresiones que iba tomando con el paso del tiempo, así como sus opiniones y divergencias sobre las distintas circunstancias que se darían a lo largo de aquellos años, tanto en sus experiencias personales como en el panorama nacional. Consultable en los anexos de este mismo trabajo, dividida en doce capítulos junto al prefacio y el epílogo, a la obra se le pueden destacar interesantes conclusiones que se extraen de la misma lectura.

Esta biografía es consultable en su totalidad en los anexos de este mismo trabajo, dividida en doce capítulos junto al prefacio y el epílogo, a la obra se le pueden destacar interesantes conclusiones que se extraen de la misma lectura.

5.2. NUEVOS DATOS BIBLIOGRÁFICOS Y CONTROVERSIAS

Atendiendo a la recopilación de datos necesaria para llevar a cabo un exhaustivo análisis sobre la vida de Pío del Río Hortega, se han obtenido diversos aportes bibliográficos sobre su vida y se han contrastado varias versiones de polémicas presentes en su relato biográfico con el fin de encontrar una versión final y veraz que pueda resolver los conflictos presentes entre las narraciones.

Tener recogidas y correctamente contrastadas, desde una y otra parte, este tipo de historias es crucial a la hora de poder trazar los ejes en torno a los cuales discurrieron las diversas secuencias de hechos que aquí se relatan. Siguiendo esto mismo, podemos trazar los descubrimientos en:

I. Históricos-circunstanciales: aquellos que ocupan unos determinados hechos que no se conocían con precisión, mostrando por tanto la explicación de lo que ocurrió realmente desde una perspectiva omnisciente que permita analizar el suceso, así como las consecuencias y su resolución.

a. Apartado 5.2.1 Discusión de Pío del Río Hortega con Santiago Ramón y Cajal.

b. Apartado 5.2.2 Polémica del radio supuestamente robado por Pío del Río Hortega.

II. Personales: aquellos que abarcan una faceta interior del investigador, análisis de las circunstancias que motivan el estudio, polémicas y respuestas de la

32º
140 
CERTAMEN

Análisis del binomio ciencia-arte a través de la figura de D. Pío del Río Hortega con el aporte de nuevos datos biográficos

mano de la información de la que se dispone o se ha extraído de los recursos disponibles.

a. Apartado 5.2.3 Ideología pro-republicana de Pío del Río Hortega.

b. Apartado 5.2.5 Los dobleces de papel como afición primordial del investigador.

c. Apartado 5.2.6 Religiosidad de Pío.

d. Apartado 4.2.7 Controversias en torno a la condición sexual de Pío del Río Hortega.

III. Externos: visión por parte de personajes afines o no al doctor y que exponen o tratan en torno a su figura, ofreciendo una descripción e información desde un punto de vista enriquecedor, al ser distinto a la típica visión de biografía.

a. Apartado 5.2.4 De Pío a Pío. Análisis de la visión de Baroja sobre el investigador.

En los anexos se encontrará la figura correspondiente que reúna los enlaces en los que se podrán leer con todo detalle los propios apartados aquí listados.

5.3. LOS SORPRENDENTES ENCAJES DE PAPEL DE PÍO DEL RÍO HORTEGA

La faceta artística de Pío del Río Hortega es extensa hasta niveles insospechados. Desde la práctica de las disciplinas más reconocibles como puedan ser la pintura hasta la que tiene como protagonista este apartado; el doblado de papel. Este arte, milenario como bien se sabe, se divide en distintas modalidades según la forma en la que se practique: origami (doblado de papel con las manos), kirigami (si se corta el papel también), maquigami (cortado del papel con las manos) y las distintas variaciones de los mismos, no solo japonesas sino también extranjeras (el scherenschnitte alemán, el wycinanki polaco, el silhouette; o el paper cutting norteamericano, entre otros).

El estudio físico de la extensa colección de figuras de papel del investigador a la que se ha obtenido acceso, demuestran que tenía un nivel muy alto y avanzado de esta práctica, requiriendo además una atención extrema a fin de poder desentrañar tan extraña práctica, entendiendo sus orígenes y la razón detrás de ello; pues suscita interés desvelar algo que apenas está reportado en pocas líneas de toda la bibliografía en torno a su figura.

Se ha llevado a cabo la laboriosa tarea de recoger gráficamente (Figura 1, Figura 6) una parte extensa de los doblados más interesantes, nunca vistos hasta ahora. Se ha recreado su composición paso a paso para entender la lógica detrás de los mismos (tratando de explicar según el proceso de qué bases partía o si era solamente al azar), con lo que se ha realizado un trabajo dentro de este mismo (Figura 1) para tratar esta cuestión desde un punto de vista también pedagógico

141 

CERTAMEN JÓVENES INVESTIGADORES / Artes y Humanidades

(posible aplicación en la actualidad) y en el que se ha incluido el proceso de creación de los mismos junto a vídeos explicativos que muestran las nociones más básicas de este arte, haciendo de esta parte una de las más interesantes y productivas del proyecto.

5.4. ANÁLISIS DE LA RELACIÓN ENTRE ARTE Y CIENCIA A TRAVÉS DE LA FIGURA DE PÍO DEL RÍO HORTEGA

Siendo el eje de la vida de las personas, es difícil entender la vida humana actual sin la confluencia entre ciencia y arte. La dicotomía social planteada de ambas disciplinas en el mundo actual, como si de dos partes irreconciliables e individuales se tratase, hace hablar de ellas como un único ser una tarea ardua y, tristemente, innovadora.

Acercándonos a esta idea, surge la duda, ¿verdaderamente hay una conexión más profunda que subyace incluso al conocimiento humano en la relación ciencia-arte? No hay época en la que no se puedan encontrar ejemplos de esta relación. Pese a ello, son diversas las dificultades a las que el investigador se enfrenta a la hora de recorrer esta intensa pregunta.

Es evidente que de la interacción surgida entre ambos campos se produce una nutrición fundamental para la evolución de cualquier disciplina. El mismo Río Hortega referenciaba esto en su conferencia (Río Hortega, P., 1933) “Arte y Artificio de la ciencia histológica”, amplio repaso de cómo en un mundo sin la presencia de cámaras ni dispositivos móviles; el trabajo manual era tremendamente fundamental para desarrollar unos buenos trabajos. Mismamente, esto se palpa en su producción científica, en la cual se conservan cantidades ingentes de bellos dibujos de las células y tejidos que el investigador representó con maestría a lo largo de su carrera (I. Corral, C. Corral, 2014). La misma práctica llevada a cabo por Cajal le da razón y cimientos sólidos al portillano en una ponencia trascendente y de palabras muy vivas aún hoy.

Pío fue una figura reputada en una sociedad perteneciente a la llamada “Edad de Plata”. La puesta en práctica de la docencia impartida por la Institución Libre de Enseñanza, así como experimentos de gran recorrido y exitosos como la Residencia de Estudiantes facilitaron la convergencia de todo tipo de perfiles. Este hecho es atestiguado por mapas relacionales como es el del mismo Pío del Río (Figura 2) donde la cantidad de gente con la que se cruzó a lo largo de su vida está a la par (aproximadamente) si se tiene en cuenta al campo al que pertenecieron dichas personalidades.

Río Hortega cultivó amistades pertenecientes a amplios campos del saber. Esto es así en tanto que, si se afirma que fue gran amigo de personalidades como Lorca, Negrín, Unamuno, Pío Baroja, Gregorio Marañón y un largo etcétera. Se daba una familiaridad no solo a un nivel personal, sino que también anotan su posición como figura emergente de la escuela española

32º
142 

Análisis del binomio ciencia-arte a través de la figura de D. Pío del Río Hortega con el aporte de nuevos datos biográficos

de histología, sin mencionar los círculos artísticos en los que se movía.” (Cavanaugh, 2006).

Esta etapa histórica permite reflexionar acerca de cómo la confluencia de arte y ciencia se retroalimenta en sí mismo.

Del estudio de la laureada Edad de Plata se percibe la conexión entre ambos campos como un único conjunto sólidamente unido. El ensayo “Aquel Madrid” (Cavanaugh, 2006) trata dicha cuestión excepcionalmente, estableciendo el plano del cual extraer las conclusiones que de una u otra forma acabarían por determinar una época brillante dentro de las circunstancias científico-artísticas de la época. Traído a la práctica permite unir distintos nodos que previamente serían totalmente inconexos. Sus representantes requerían estar a la vanguardia de unos y otros movimientos, de ambas caras de la moneda.

¿Quiere ello decir de alguna forma que esta relación mutua y enriquecedora entre la ciencia y el arte es circunstancial? No, de ninguna manera, pues, aunque así pareciera vislumbrarlo la filosofía detrás de los movimientos como los de la Generación del 98, la posterior del 14, la del 27; los movimientos de Vanguardia, el estilo de Juan Ramón Jiménez y el rico etcétera que le procede, estaríamos ante una falsa conclusión. El mismo Cajal es un ejemplo vivo, un paradigma casi de este hecho, tanto como su obra Reglas y consejos sobre investigación científica que grandes escritores de la historia de nuestro país, como Azorín lo llevaban a clasificar como “fundamental en la ideología de un país -en determinado momento- y ha constituido uno de los factores de su evolución social o literaria”. Que un científico pueda ser determinante (profundizaría luego el mismo Azorín cómo un libro tan inofensivo podría ser incluso usado por aspirantes a literatos) en un campo que no es el suyo, denota la voluntad que hay detrás de este mismo hecho. Cajal, propiamente precisaba de incursiones en otras materias para complementar la labor que hacía en la suya, de gran intuición, preguntas audaces acerca de la propia naturaleza de lo real mostraba predisposición y mente abierta para tratar de conocer, de saber más. Por ejemplo, ¿se le conocería tanto académica como socialmente si no hubiera realizado su labor histológica apoyándose en detallados y bellos dibujos (DeFelipe,2005) Evidentemente, no.

El ser humano, para serlo, requiere de estímulos que le hagan sentir vivo. Sensaciones y sentimientos que son capaces de estremecer a cualquier individuo no son sino un elemento que solo la Humanidad es capaz de percibir como artístico capaz incluso de nutrirle. En toda la incógnita alrededor de lo abstracto, reluce una punta de lanza que nos lleva al descubrimiento de nuestra dimensión más personal. La curiosidad por lo nuevo, como ápice trasversal de toda conversación en torno al dúo arte-ciencia reúne en sí las características prominentes de ambos actos y para ejemplo, un botón: Pío del Río Hortega.

143 

6. CONCLUSIONES

I. El papel del arte como uno de los ejes centrales en la vida de Pío del Río Hortega marcó su labor profesional como histólogo hasta el punto de no ser entendible ninguna de sus consecuciones sin el primera.

II. Las grandes personalidades del siglo pasado y el anterior, tuvieran un apego enorme y una tendencia importante hacia la multidisciplinariedad, por lo tanto, es obvio que una reproducción de las condiciones en las que se dieron sus vidas, llevaría a escenarios muy similares. Un acercamiento de estas características, como se ha visto y a escalas que sobrepasen lo individual, tendrían un efecto a cualquier tipo de plazo sobre el desarrollo de nuestra sociedad, desde el plano abstracto hasta el más pragmático.

III. La investigación en base a la figura de Pío del Río Hortega ha arrojado la luz que se necesitaba para estructurar nuevas explicaciones de incógnitas que se podían considerar irresolubles y no tratadas. Desde una comprensión más concreta de su personalidad, pasiones, virtudes y controversias; hasta el lado más íntimo y lleno de inquietudes del científico, que revelan la magnitud desconocida de una figura a la que ahora es mucho más sencillo aproximarse.

IV. El material producido como producto derivado de toda esta investigación constituye en sí mismo la puerta hacia una línea de investigación de un carácter vastamente amplio y ya aproximado desde otros ámbitos.

V. El doblado de papel, suponiendo este trabajo un documento inédito con respecto a su realización por el personaje de Río Hortega se ofrece como una vía para dar muchas respuestas a las incógnitas de las que se partía en un principio.

VI. Las personalidades del siglo pasado pertenecientes a la reciente Edad de Plata quedan muy ligeramente estudiadas en relación a toda la información que se puede extraer de ellas.

7. AGRADECIMIENTOS

• Manuel Serrano del Amo. Sobrinonieto de Pío del Río Hortega, fuente de grandes cantidades de información acerca de la figura del investigador.

• Doctor Alfredo Baratas. Profesor de Historia de la ciencia en la Universidad Complutense de Madrid.

• Doctor José Ramón Alonso. Catedrático de la Universidad de Salamanca.

• Doctor Alberto Gomis. Catedrática de Historia de la Ciencia de la Universidad de Alcalá de Henares.

• Personal del Centro Cultural Hispano Japonés a cargo de la respuesta a través de correo electrónico.

• Ana María Pedrerol. Personal de la Ciudad Universitaria de París.

32º
144 
CERTAMEN JÓVENES INVESTIGADORES / Artes y Humanidades

Análisis del binomio ciencia-arte a través de la figura de D. Pío del Río Hortega con el aporte de nuevos datos biográficos

8. BIBLIOGRAFÍA

Aguirre Viani C. (1986) Don Pío del Río-Hortega. Un científico castellano universal. Valladolid: Excmo. Ayuntamiento de Valladolid.

Alonso, J.R. (2014) Don Pío, la glía y la guerra. [Online]. Disponible en: https://jralonso.es/2014/04/12/don-pio-la-glia-y-la-guerra/ (Consultado el 1 de agosto de 2020).

Arranz, F.L. (1993) Un museo dedicado a Pío del Río Hortega se abrirá en septiembre en la Facultad de Medicina. El Norte de Castilla. p.10.

Aznar, A. (2011) “El plegado en papel como herramienta de apoyo en la enseñanza artística”, Revista Iberoamericana de Educación, 57(1), pp. 1-10

Baroja, P. (1997) Obras completas II “Desde la última vuelta del camino” Memorias. Galería de tipos de la época. La intuición y el estilo. Reportajes. Bagatelas de otoño. Barcelona: Círculo de Lectores.

Cano Díaz P. (1985) Una contribución a la ciencia histológica: la obra de Don Pío del Río-Hortega. Madrid: Consejo Superior de Investigaciones Científicas.

Campos, A. (2018) Río-Hortega. La forja de un histólogo (I). Anales de la Real Academia Nacional de Medicina de España, 135(03), pp. 222-229.

Campos, A. (2019) Río-Hortega. El centenario del descubrimiento de la microglía, Actualidad Médica, 104, pp. 198-199.

Castillo, J. L. (2009) Trabajo integrado en el aula usando kirigami y maquigami [Online]. Disponible en: https://www.maquihuasi.com/kirigami.doc (Consultado el 1 de agosto de 2020).

Castillo, J.L. (2016) Kirigami y habilidades creativas en estudiantes de las facultades de educación. Tesis para optar al grado de magíster en educación. Universidad Nacional del Centro del Perú.

Cavanaugh, C. (2006) “Aquel Madrid”: Science, Literature, and Art in the Edad de Plata”. En Hoeg, J y Larsen, K. Eds. Science, Literature and Film in the Hispanic World. New York: Palgrave Macmillan.

Corral, I y Corral, C. (2014) Pío del Río Hortega: un corazón artístico. Neurosciences and History, 2(3), pp. 127-128.

DeCastro Soubriet, F. (2019) “Quizá la escuela más exitosa de la historia de la biomedicina: Cajal y la escuela española de neurobiología” En Gutiérrez Fuentes, J.A. Eds. Reconocimiento a cinco siglos de medicina española. Madrid: Centro de Estudios Ramón Areces

DeFelipe, J. (2005) “Cajal y sus dibujos: ciencia y arte”. En Martín Araguz, A. Eds. Arte y Neurología, Madrid: Saned.

Fröbel, F. (1913) La educación del hombre. Madrid: Daniel Jarro.

145 

Fundación Zuloaga (2011) Curiosidades sobre Miguel de Unamuno. [Online]. Disponible en: http://www.modernismo98y14.com/curiosidades-unamuno.html (Consultado el 12 de agosto de 2020)

González Penalva, C. (2002) Texto fundacional de la Asociación de amigos de la Unión Soviética. [Online]. Disponible en: http://www.wenceslaoroces. org/arc/roces/art/asociacion.htm (Consultado el 1 de agosto de 2020)

Hans, J.; Muñoz, J. Y Fernández-Aliseda, A. (2008) Doblar y cortar (kirigami geométrico). Revista Suma. 59, pp 55-58.

Hoeg, J y Larsen, K. (2006) Science, Literature and Film in the Hispanic World. New York: Palgrave Macmillan.

Lázaro Real, E. (2020) Un científico en el armario. Pamplona: Next Door Publishers

López Piñero JM, (1990) Pío del Río-Hortega. Madrid: Biblioteca de la Ciencia Española. Fundación Banco Exterior.

Martel, T. (2019) El kirigami y su relación con el desarrollo de la motricidad fina de los niños del primer grado de la IEP Howard Gardner de Villa. Título profesional de licencia en educación primaria y problemas de aprendizaje. Universidad Nacional José Faustino Sánchez Carrión. Haucho.

Martínez, X. (2017). La papiroflexia como estrategia didáctica para desarrollas las nociones básicas de geometría en los niños de cuarto y quinto de primaria de una institución educativa de carácter privado en la ciudad de Bucaramanga. Trabajo de grado. Universidad Santo Tómas de Bucuramanga.

Maquihuasi “Manos Creativas” (2002) Etimología del término maquigami. [Online]. Disponible en: https://www.maquihuasi.com/maquigami.htm (Consultado el 1 de agosto de 2020)

Montero, N. (1965) El mundo del papel. Trabajos manuales graduados. Valladolid: Sever-Cuesta.

Oliva Aldamiz, H. (1999) In memoriam Pío del Río Hortega (1882-1945). Revista Española de Patología, 32(4), pp. 507-514.

Peña, J. (2015) Una aproximación a la belleza histológica, Dendra médica. Revista de humanidades, 14(2), pp. 176-187.

Periódico Ahora (viernes 31 de julio de 1936), Los intelectuales españoles expresan su adhesión al gobierno. [Online]. Disponible en: http://hemerotecadigital.bne.es/issue.vm?id=0030006303&page=8&search=Adhesi%C3%B3n&lang=es (Consultado el 13 de agosto de 2020).29. Peset, J.L. (2007) “Cajal y la Ciencias Bio-médicas”. En Puig-Samper, M. Tiempos de investigación. JAE-CISC, cien años de ciencia en España. Madrid: Consejo superior de Investigaciones Científicas.

Pichel, J. (2018) Río Hortega, el español que se quedó sin Nobel por republicano, gay y una pela con Cajal. [Online]. Disponible en:

32º
146 
CERTAMEN JÓVENES INVESTIGADORES / Artes y Humanidades

Análisis del binomio ciencia-arte a través de la figura de D. Pío del Río Hortega con el aporte de nuevos datos biográficos

https://www.elespanol.com/ciencia/20180524/rio-hortega-espanol-sin-nobel-republicano-cajal/309720032_0.html (Consultado el 12 de agosto de 2020)

Rich, C. (1993) The book of paper cutting. A complete guide to all the techniques with more than 100 project idea. New York: A Sterling/Lark Book.

Río-Hortega, P. (1933) Arte y artificio de la ciencia histológica, Revista de la Residencia de Estudiantes, 4, pp. 191-206.

Río-Hortega, P. (1986) El maestro y yo. Madrid: Consejo Superior de Investigaciones Científicas.

Royo, J. (2008) Matemáticas y papiroflexia. [Online]. Disponible en: https:// www.cimat.mx/Eventos/TJCsecundaria2008/03_Mats-y-Papiroflexia.PDF (Consultado el 1 de agosto de 2020).

Rurtzky, J. (2007) Kirigami. Exquisite projects to fold and cut. New York: Metro Books.

Sánchez Alvarez-Insúa, A. (1985) Santiago Ramón y Cajal y Pío del Río Hortega, Arbor, 634, pp. 151-176.

Unamuno, M (1902) Amor y Pedagogía. Barcelona: Henrich y Ca.

Vara, R. (2005) Don Pío del Río Hortega y Vara López. Arbor, 714, pp. 199-201.

9. ANEXOS

Por las evidentes necesidades de concreción, se ha presentado ante el lector un resumen del proyecto completo, el cual, junto a cada uno de los apartados con su completa extensión se puede encontrar en las siguientes direcciones: APARTADO. DIRECCIÓN.

Vídeo presentación del trabajo. https://piodelriohortegacienciayarte.blogspot.com/2020/09/introduccion-ypresentacion-mediante-un.html

5.1. Biografía.

5.2 Nuevos datos bibliográficos y controversias

5.3

https://piodelriohortegacienciayarte.blogspot.com/2020/09/biografia-de-d-pio-del-riohortega-un.html

https://piodelriohortegacienciayarte.blogspot.com/2020/09/ampliacion-de-lainformacion-sobre-el.html

I) https://piodelriohortegacienciayarte.blogspot.com/2020/09/ampliacion-de-lainformacion-sobre-el.html

II) https://piodelriohortegacienciayarte.blogspot.com/2020/09/modelos-de-kirigamigeometrico-para.html

III) https://piodelriohortegacienciayarte.blogspot.com/2020/09/video-ejemplo-de-laelaboracion-de.html

IV) https://piodelriohortegacienciayarte.blogspot.com/2020/09/modelos-de-los-encajesmaravillosos-de.html

I) https://piodelriohortegacienciayarte.blogspot.com/2020/09/reflexiones-de-un-jovenestudiante.html

II) Mapa de relaciones: https://piodelriohortegacienciayarte.blogspot.com/2020/09/lasrelaciones-de-d-pio-del-rio-hortega.html

147 
Los sorprendentes encajes de papel de Pío del Río Hortega. 5.4 Análisis de la relación ciencia-arte a través de la figura de Pío del Río-Hortega.

CERTAMEN JÓVENES INVESTIGADORES / Artes y Humanidades

FIGURA 2

APARTADO. ENLACE.

Mapa de relaciones personales y/o profesionales de Pío del Río Hortega.

Cronobiografía personal de Pío del Río Hortega y exposición de los eventos globales.

Entrevista a Manuel Serrano, sobrinonieto de Pío del Río Hortega.

https://piodelriohortegacienciayarte.blogspot.com/2020/09/las-relaciones-de-d-pio-delrio-hortega.html

https://piodelriohortegacienciayarte.blogspot.com/2020/09/linea-temporal-de-la-vidade-pio-del.html

https://piodelriohortegacienciayarte.blogspot.com/2020/09/entrevista-personal-dmanuel-serrano.html

FIGURA 3

Mapa conceptual sobre el que se asienta el trabajo:

https://piodelriohortegacienciayarte.blogspot.com/2020/09/mapa-conceptual-relacion-ciencia-y-arte.html

FIGURA 4

Pintura y una escultura llevadas a cabo personalmente por el propio Pío del Río Hortega, revelando la capacidad artística real del investigador:

https://piodelriohortegacienciayarte.blogspot.com/2020/09/una-pintura-yuna-escultura-de-d-pio.html

FIGURA 5

lustración de Pío del Río-Hortega hecha por su sobrinonieto Manuel del Amo, basada en la famosa foto de la derecha.

148 
32º

Análisis del binomio ciencia-arte a través de la figura de D. Pío del Río Hortega con el aporte de nuevos datos biográficos

FIGURA 6

Ejemplos de modelos de doblado de Pío del Río-Hortega: https://piodelriohortegacienciayarte.blogspot.com/2020/09/modelos-de-los-encajes-maravillosos-de.html

149 

El papel de la mujer en el sector conservero en la Ribera de Tudela

COORDINADOR | FRANCISCO SANTOS ESCRIBANO

CENTRO | IES VALLE DEL EBRO

CIUDAD | TUDELA-NAVARRA

RESUMEN |

El objetivo de este trabajo es conocer la situación vivida por las mujeres en las industrias de conservas vegetales en la ribera de Tudela desde 1970 al 2000. Una de las preguntas de investigación principal es por qué motivos las mujeres fueron empleadas masivamente en este sector. Ambos fenómenos, la evolución de las industrias conserveras y la mano de obra femenina, creemos que son inseparables a la hora de comprender cada uno de ellos. Esta investigación se basa, mayoritariamente, en fuentes orales. Además, se utilizan también las documentales y bibliográficas. Las conclusiones permiten conocer las características del trabajo en las conserveras y las condiciones laborales para las mujeres, que han permitido arrojar luz a las cuestiones que motivaron este trabajo. Es importante reseñar que el trabajo de estas empleadas en las fábricas conserveras ha sido poco reconocido. De forma más específica, y acorde con otros estudios, el trabajo femenino fue un factor de modernización para la industria agroalimentaria, concretamente la de Navarra porque, a su vez, estas fábricas conserveras han supuesto un enorme cambio respecto al papel social y laboral de la mujer, lo cual simultáneamente derivó en otros importantes problemas sociales, como los relacionados con la conciliación familiar.

150 
AUTORAS | NEREA PÉREZ ARRIAZU Y CLARA GARCÍA ARRIAZU
ARTES Y HUMANIDADES

ABSTRACT |

The objective of this work is to know the situation experienced by women in the canned vegetable industries on the banks of Tudela from 1970 to 2000. One of the main research questions is why women were massively employed in this sector. We believe that both phenomena, the evolution of the canning industries and the female workforce, are inseparable when it comes to understanding each of them. For this, this research is based mainly on oral sources, which reflect the experiences and fragments of the lives of these women. In addition, documentaries and bibliographies are also used. Important data have been obtained that allow us to know the characteristics of work in canneries and the working conditions for women, which have shed light on the issues that motivated this work. One of the conclusions that should be highlighted is that the work of thousands of wage earners who were vigorously employed in canning factories has been little recognized. More specifically, and in line with other studies, female work was a modernization factor for the agri-food industry, specifically that of Navarra. Because, in turn, these canning factories have brought about an enormous change regarding the social and labor role of women. Which, in turn, led to other important social problems, such as those related to family conciliation.

ARTES Y HUMANIDADES 151 

CERTAMEN JÓVENES INVESTIGADORES / Artes y Humanidades

1. INTRODUCCIÓN

1.1. JUSTIFICACIÓN

A lo largo de la historia universal el trabajo de la mujer queda limitado al ámbito doméstico hasta su lenta incorporación al mercado laboral en las fábricas a partir de la segunda mitad del siglo XIX, lo que impide su desarrollo personal y profesional dado que deben elegir un trabajo acorde con la conciliación laboral (Del Re, 1995, p.75).

No obstante, y a pesar de su importancia social y económica, el papel de la mujer en nuestro ámbito a penas se ha estudiado. Queremos hacer especial hincapié en un artículo publicado en 2004 por Pedro Miralles Martínez y Pedro Belmonte Espejo, que resalta la importancia de un estudio de este tipo, para lo que pone de ejemplo una investigación realizada por un instituto de Molina de Segura sobre el papel desempeñado por las mujeres en la industria conservera a lo largo del siglo XX.

1.2. PROBLEMA PLANTEADO

El planteamiento del trabajo se basa en la situación vivida por las mujeres en las industrias conserveras en la Ribera de Tudela desde 1970 hasta 2000, caracterizada por las dobles jornadas, la explotación de la mujer, y la brecha salarial, entre otras, que han constituido los temas de estudio.

Otro problema es si la habilidad de las mujeres en este trabajo es una ventaja para su contratación o si permite a los empresarios obtener grandes beneficios a costa de bajos sueldos. Además del contexto que hemos señalado sobre la necesidad para la economía familiar, dicho empleo es la única alternativa en zonas rurales, lo que hace a éstas estar a merced de este tipo de trabajos.

2. ANTECEDENTES

2.1. ESTADO DE LA CUESTIÓN

La bibliografía especializada destaca el desarrollo de este tipo de industrias en ciertas regiones (Martínez Carrión, 1989; Vielza, 1990). Las causas que explican la ubicación española de las principales industrias se puede relacionar con su instalación en áreas rurales poco atractivas para otras industrias, y la predominancia de mano de obra femenina (Barco, 1993).

Se aprecia no solo una distribución regional sino una especialización por sectores. Domingo Pérez y Viruela Martínez (1997) han observado que el trabajo femenino es prioritario en las conservas vegetales y de cítricos.

32º
152 

El papel de la mujer en el sector conservero en la Ribera de Tudela

Las características suponen ciertos rasgos: la flexibilidad y escasas alternativas al empleo femenino (Domingo Pérez y Viruela Martínez, 1997); la escasa especialización de éstas y la falta de contratos (Prado Velasco, 1998); y su carácter esporádico y brecha salarial (López Rodríguez, 2002). Las mujeres serían un factor promotor del desarrollo rural (García-Sanz, 2002).

Un tema frecuente es la conciliación horario-familiar. Los horarios de las conserveras son muy irregulares y de temporada (Sabaté Martínez y Díaz Muñoz, 2003; Bayona Fernández, 2006), lo que puede afectar a las tasas de fecundidad y a las condiciones sociales de las mujeres (Del Re, 1995; Alario Trigueros, Pascual Ruiz-Valdepeñas y Baraja Rodríguez, 2009; Escurriol Martínez, Benimelis, y Rivera Ferrer, 2014).

2.2. CONTEXTUALIZACIÓN

La industria de conservas vegetales aparece en la comarca estudiada en el último cuarto del siglo XIX, siendo los focos de mayor concentración las áreas de Tudela y Estella. Hoy, el número de empresas ronda las 300, localizándose el 50% de ellas en el Valle del Ebro, distribución que se muestra en la Tabla 1.

A partir de 1964 se pone en marcha en Navarra el Programa de Promoción Industrial promovido por la Diputación Foral el 10 de abril. En esta coyuntura, algunas de las empresas de conservas asentadas en la Ribera de Navarra, se acogen al Programa y tienen capital foráneo, siendo Murcia y concretamente el pueblo de Molina de Segura la principal.

3. HIPÓTESIS

A lo largo de la historia la mujer ha supuesto un papel destacable para el desarrollo social en la Ribera de Tudela mediante su trabajo, y en un contexto de precariedad, y bajos salarios.

Por último, la creación de empleo femenino provoca un desarrollo económico y avance social, dado que a partir de su trabajo remunerado se produce una socialización y puesta en común de reivindicaciones laborales importantes en la transformación de estas fábricas.

4. OBJETIVO

El objetivo principal es descubrir el desarrollo histórico del sector conservero provocado por las mujeres en la Ribera de Tudela a finales del siglo XX pese a sus condiciones. Además de la concienciación de la importancia de la labor femenina, indagar sobre la explotación laboral por su condición de género, inquirir sobre la situación laboral a lo largo del tiempo, así como destacar la desigualdad de condiciones entre otros.

153 

5. METODOLOGÍA

5.1. ESTRATEGIA DE INTERVENCIÓN

Para hacer este trabajo hemos contado con la ayuda del Archivo Administrativo de Navarra dado que posee información fiscal y administrativas de nuestra comarca.

El Archivo Municipal de Tudela nos proporciona documentación de trabajadoras de la fábrica de Ochoa que han colaborado en entrevistas. Asimismo, el IPES (Instituto de Promoción de los Estudios Sociales) en su sección de la mujer nos facilita pautas del trabajo, así como bibliografía sobre el papel de éstas en la industria conservera.

5.2. FUENTES TRABAJADAS

La metodología principal se basa en la historia oral que se completa con fuentes primarias. Recursos como las hemerotecas del Diario de Navarra o La Voz de la Ribera nos permiten entender el contexto económico, político y social en el que se desarrollaron.

Por último, el trabajo exhaustivo de las fuentes documentales bibliográficas y webgráficas.

5.3.

TÉCNICAS DE ESTUDIO

Como primer paso realizamos encuestas profundas para obtener una información amplia que nos permite posteriormente elaborar un cuestionario marco, en el que aparecen preguntas relacionadas con las respuestas planteadas, y que se pueden extrapolar a las diversas mujeres que trabajaron en las conserveras. Cuestionario recogido en el Anexo.

6. RESULTADOS

6.1. LA TEMPORALIDAD

Buena parte del trabajo es temporal o como se conoce con el adjetivo de “campaña”. Esta temporalidad juega un papel destacado en la participación de la mujer pues le permite compatibilizar la atención a la familia y la faena fuera de casa. Así pues, se crea la figura de “fija discontinua” puesto que presta sus servicios en el momento que lo requiere el empresario para trabajar en ciertos productos.

32º
154 
CERTAMEN JÓVENES INVESTIGADORES / Artes y Humanidades

6.2. LA INCORPORACIÓN DE LAS MUJERES COMO FUERZA DE TRABAJO

Los empresarios comienzan a demandar mano de obra femenina puesto que es menos conflictiva que los hombres, sus salarios son menores, por lo que su beneficio aumenta. En muchos casos, su jornal es imprescindible para la familia.

Las condiciones laborales a veces no son las más adecuadas, y en algunos casos pueden producirse algún tipo de accidente. Al ser un trabajo eventual, aspectos como el horario o la continuidad salarial son prácticamente inexistentes, puesto que dependen de la temporada de los productos que procesan.

Además, todo este universo femenino surge en medio de una época donde los derechos laborales y sociales están en el limbo. De este modo, una de las características de nuestro trabajo es que se apoya, mayoritariamente, sobre testimonios y fuentes orales que vivieron y contaron las mismas mujeres trabajadoras.

6.3. LAS CONDICIONES LABORALES

Muchas de las mujeres entrevistadas reconocen que no cotizaban por ella a la seguridad social por lo que no cobran pensión.

En otro orden de cosas, las jornadas laborales son de 8 horas mínimo, pero la mayoría de días las horas aumenta más de lo fijado y se amplían mediante horas extras, llegando algún día hasta doblar la jornada (16 horas laborales) en los periodos de máximo trabajo.

Aunque es cierto que existían empresarios que trataban mal a sus trabajadoras, también existían empresas en las que la situación era totalmente distinta. En estas últimas, los empresarios siguen las normas laborales con rectitud.

7. ANÁLISIS Y DISCUSIÓN

En la actualidad, las normas que rigen el trabajo de las mujeres en estas empresas están reguladas por una legislación que, entre otras cosas, marca y define la jornada laboral, siendo la misma de 8 horas o 40 semanales. También se especifica el patrón y el modelo de la temporalidad que tiene que haber en las fábricas. Por último, la cotización de los trabajadores al régimen general de la seguridad social es obligatoria.

Sin duda, en el periodo estudiado por nosotras la regulación laboral es más tenue, y las empresas actúan de forma arbitraria con jornadas intensas en las campañas que desbordan a las trabajadoras y que llegan a límites insospechados.

155 
El papel de la mujer en el sector conservero en la Ribera de Tudela

8. CONCLUSIONES

Como conclusión tenemos que reflejar que la industria de conservas vegetales ha supuesto un enorme cambio social respecto a la mujer, contexto en el que logran salir del ámbito en el que han estado históricamente restringidas.

En la actualidad, la cantidad de puestos fijos es mayor que los temporales, aunque estos siguen existiendo.

Para finalizar, podemos concluir que la labor femenina ha resultado vital para la evolución social, para lo que han tenido que coordinar sus labores domésticas y remuneradas, garantizando así el desarrollo tanto de nuevas generaciones, como el crecimiento económico del país.

32º
156 
CERTAMEN JÓVENES INVESTIGADORES / Artes y Humanidades

El papel de la mujer en el sector conservero en la Ribera de Tudela

BIBLIOGRAFÍA Y WEBGRAFÍA

Arias Goizueta, M. (2002). El desarrollo industrial de Tudela desde finales del siglo XIX. Revista del Centro de Estudios Merindad de Tudela, 12, 113-133.

Bayona Fernández, G. (2006). Nueva actitud obrera de desafío en los años sesenta en la provincia de Murcia: conflictividad industrial y agraria. Pasado y memoria, 5 (2006), 99-133.

Conesa López, F. (2018). Historia de las empresas de Molina de Segura. Murcia: Ayto. Molina de Segura.

Díaz Sánchez, P. (2005). La lucha de las mujeres en el tardofranquismo: los barrios y las fábricas. Gerónimo de Uztáriz, 21, 39-54.

Domingo Pérez, C., y Viruela Martínez, R. (1997). Trabajo femenino en agro-industrias tradicionales. Cuadernos de geografía, 61, 15-29

Fuentes Langas, J. M. (2014). Los orígenes de la industria conservera en Navarra. El obrador de Máximo Muerza (1880-1913). Príncipede Viana,75(259), 293-302.

Fuentes Langas, J (2015). IndustriasMuerza(1875-2000):historiadeunaempresa centenaria. San Adrián: Amigos de la Historia de San Adrián D.L.

López Rodríguez, P. (2002). Mujer y sociedad en Calahorra: un largo camino hacia la igualdad de género. Kalakorikos: Revista para el estudio, defensa, protección y divulgación del patrimonio histórico, artístico y cultural de Calahorra y su entorno, 7, 167-184.

Manzanares Martínez, D. A. (2010). Determinación de los salarios de hombres y mujeres en la industria de conservas vegetales, 1939-1975. Trabajo: Revista iberoamericana de relaciones laborales, 17, 31-54.

Martínez Carrión, J. M. (1989). Formación y desarrollo de la industria de conservas vegetales en España, 1850–1935. Revista de Historia Económica, 7(3), 619-649.

Miralles Martínez, P., y Belmonte Espejo, P. (2004). Historiografía, historia de las mujeres y enseñanza de la historia en bachillerato. En Información de la ciudadanía: las TICs y los nuevos problemas (p. 51). Madrid: Asociación Universitaria de Profesores de Didáctica de las Ciencias Sociales.

Palazón Botella, M. D. (2009). El trabajo de la mujer en la industria conservera de Molina de Segura (Murcia): condiciones laborales y lucha obrera. En Álvarez Areces, M. A., ed., Patrimonio industrial agroalimentario: Testimonios cotidianos del diálogo intercultural (pp. 679-690). Gijón: Centro de Iniciativas Culturales y Sociales, CICEES.

Prados Velasco, M. J. (1998). Trabajadoras de segunda clase: mujer y empleo en el sector agroalimentario andaluz. Trabajo: revista andaluza de relaciones laborales, 4, 171-186.

157 

32º CERTAMEN JÓVENES INVESTIGADORES / Artes y Humanidades

Sabaté Martínez, A., y Díaz Muñoz, M. Á. (2003). Mujeres y desarrollo rural: la conciliación de tiempos de vida y de trabajo. Serie Geográfica, 11, 141-162.

Scott, J. (1993). La mujer trabajadora en el siglo XIX. Historia de las mujeres, 4, 425-461.

La industria conservera en España

Fuente. Elaboración propia a partir de Barco Royo (1993)

158 
INFORMACIÓN COMPLEMENTARIA COMUNIDAD AUTÓNOMA NÚMERO DE EMPRESAS ANDALUCÍA 29 ARAGÓN 29 BALEARES 7 CASTILLA-LA MANCHA 34 CASTILLA-LEÓN 23 EXTREMADURA 11 GALICIA 2 LA RIOJA 68 MURCIA 74 NAVARRA 160 VALENCIA 72
Tabla 1

EMPRESA

Tabla 2

Principales fabricantes y distribuidores de conservas vegetales (M)

Fuente. Alimarket Gran Consumo.

LOCALIDAD 2016

Conservas el Cidaco S.A Autol (Rioja) 245,0

Grupo CELORRIO Calahorra (Rioja) 194,0

IND. Alimet. de Navarra (IAN) Villafranca (Navarra) 142,9

RIBEREBRO INTEGRAL, S.L Alfaro (Rioja) 110,0

INDUSTRIAS VIDECA, S.A Villanueva C (Valencia) 54,0

MCA SPAIN, S.A Mendavia (Navarra) 42,0

CONSEVAS Y FRU (COFRUSA) Mula (Murcia) 36,0

ALCURNIA ALIMENTACIÓN S.I Molina de Segura (Murcia) 30,0

MARÍN GIMENEZ HERMANOS Moratalla (Murcia) 30,0

CONSERVAS FERBA, S.A Aldeanueva E. (Rioja) 30,0

BONDUELLE IBÉRICA, S.A Alcobendas (Madrid) 26,0

CONSERVAS DANTZA S.A Marcilla (Navarra) 25,0

MARIN MONTEJANO, S.A Lorquí (Murcia) 25,0

GOLDEN FOODS, S.A T. Cotillas (Murcia) 23,0

MENSAJERO ALIMENTACIÓN Bullas (Murcia) 23,0

NUDISCO, S.L Bocairent (Valencia) 22,0

SOLA DE ANTEQUERA S.A.U Antequera (Málaga) 20,4

HORTICOLA D´AUCY S.A Monteagudo (Navarra) 19,5

CYNARA EU, S.L Reus (Tarragona) 18,7

PELLIALIMENTS, S.L Bellreguard (Valencia) 16,9

159 
El papel de la mujer en el sector conservero en la Ribera de Tudela

CERTAMEN JÓVENES INVESTIGADORES / Artes y Humanidades

CUESTIONARIO:

Cuestionario sobre: las empresas conserveras en la Ribera de Tudela, y el papel de la mujer trabajadora. Nombre y apellido (opcional)

Edad.......................... Población…………………………………………………….

¿Trabajó usted en una fábrica de conservas en la Ribera?

¿Cómo se llamaba la empresa, y en qué pueblo estaba ubicada?

¿El empresario para el que trabajo era navarro o murciano?

¿Estaba fija en la empresa o trabajaba en las diversas campañas?

¿Notó alguna vez algún tipo de abuso por parte de los encargados y/o empresarios por la condición de género?

¿Qué papel desempeñaba en su puesto de trabajo? ¿Era duro?

¿Cree usted que su empresa cumplía los requisitos mínimos de seguridad laboral o era lo normal para la época?

¿Cuántas horas trabajaba, y como era el tipo de función que realizaba?

¿Cómo era el trato como trabajadora en dicha empresa?

¿Se aprovechaba los propietarios de la habilidad de las mujeres en este tipo de trabajos para pagarles menos por su condición de género?

¿Había una relación social, de complicidad, y de amistad entre las mujeres que trabajaba en dicha fábrica? ¿Entablo buenas amistades con las compañeras?

¿Las mujeres mayores se aprovechaban de la ingenuidad de las menores?

¿Fue a trabajar a Alemania a las conserveras o nunca salió de España?

¿Recibe pensión por haber trabajado en esta empresa?

Explicar la situación que recuerdes que sufrían las mujeres en dicho trabajo, y compárala con los trabajos de ahora

¿Podría contarnos alguna anécdota de este trabajo que recuerde?

32º
160 
……………………………………………………………

El papel de la mujer en el sector conservero en la Ribera de Tudela

¿Trabajaba algún niño o niña en dichas empresas?

¿Las mujeres eran muy jóvenes?

¿Recuerdas las fechas en las que trabajó, el salario y si hacía horas extras?

¿Os pagaban las horas extras?

¿Cotizabais para la seguridad social?

¿Cuál dirías que era la principal diferencia entre los puestos desempeñados por hombres, y por mujeres?

¿Cuántos descansos se os permitía a lo largo de la jornada laboral?

¿Os permitían abandonar el puesto de trabajo durante la jornada laboral por motivos personales/familiares?

¿El jornal que sacabas te lo quedabas tú, o por el contrario se lo entregabas a tu padre? Si es así, ¿te quedabas una parte, o se lo entregabas al completo?

Al llegar a casa después de la jornada laboral, ¿colaborabas en las labores del hogar?

¿Recuerda si existían diferencias entre el jornal masculino y el femenino? Si es así, ¿Cobraban más los hombres? ¿Mucho más? ¿Las horas laborales eran las mismas entre ambos géneros?

161 

Del monte a la familia: Una historia, dos bandos

/ TERCER PREMIO

AUTORA | KAREN ROIZ RODRÍGUEZ

COORDINADOR | IVÁN NADAL LATORRE

CENTRO | INSTITUTO CARLES VALLBONA

CIUDAD | GRANOLLERS-BARCELONA

RESUMEN |

La Guerra Civil fue un acontecimiento de bandos que muchas veces se presentaban ya dentro de las propias familias y, especialmente, en pueblos pequeños como los estudiados en este trabajo, Bejes y Tresviso. En él se pretende aproximar una serie de vivencias personales de los descendientes y que tuvieron lugar entre finales del conflicto y los años 50 del siglo pasado, un período convulso de opiniones contrapuestas. Y, por lo visto y escuchado, casi 80 años después y entre las nuevas generaciones, en cierta forma, los bandos continúan…

Sin entrar en polémicas ni conflictos, se han realizado una serie de entrevistas que han permitido recoger una información interesantísima, teniendo en cuenta que quien la contaba no eran los afectados directamente en el mismo, sino descendientes más o menos próximos a ellos. Ha sido, pues, una excelente base de la denominada “tradición oral” que ha podido ser contrastada mediante la consulta de numerosas fuentes bibliográficas. El resultado ha sido la obtención de una serie de árboles genealógicos que han permitido presentar una relación familiar que, posiblemente, no sea fácil de ver: que la autora de este proyecto tiene parentesco más o menos directo con componentes de los dos bandos. Finalmente, y con el propósito de poder llegar a una población más diversa, se han realizado toda una serie de materiales gráficos aprovechando el potencial de las nuevas tecnologías.

Palabras claves: Guerra Civil, República, bando nacional, “los del monte”, memoria histórica, Bejes, Tresviso, genealogía, nuevas tecnologías.

162 
ARTES Y HUMANIDADES

ABSTRACT |

The Spanish Civil War was a party event. Two groups that often appeared already within the families themselves and, especially, in small towns such as those studied in this work, Bejes and Tresviso. The aim of this work is to approximate a series of personal experiences of descendants of both sides that took place between the end of the conflict and the 50s of the last century, a convulsive period of opposing opinions. And, apparently and heard, almost 80 years later and among the new generations, in a way, the sides continue ...

Without entering into polemics or conflicts, a series of interviews have been carried out that have made it possible to collect very interesting information, taking into account that the person who told it was not those directly affected by it, but descendants more or less close to them. It has, therefore, been an excellent basis for the so-called “oral tradition” that has been able to be contrasted by consulting numerous bibliographic sources. The result has been the obtaining of a series of genealogical trees that have made it possible to present a family relationship that is possibly not easy to see: that the author of this project is more or less directly related to components of both sides. Finally, and in order to reach a more diverse population, a whole series of graphic materials have been produced taking advantage of the potential of new technologies.

Keywords: Spanish Civil War, Spanish Republic, national side, “los del monte”, historical memory, Bejes, Tresviso, genealogy, new technologies.

ARTES Y HUMANIDADES 163 

JÓVENES INVESTIGADORES / Artes y Humanidades

INTRODUCCIÓN

¿Cómo podría afectar la Guerra Civil en un pueblo de alta montaña y en sus alrededores? ¿Cómo pasaron el franquismo, tanto civiles o milicianos? ¿Hasta qué punto la guerra influyó en las personas? ¿Y a nivel familiar? Estas son algunas de las preguntas que permiten empezar este trabajo.

Justo antes de la II Guerra Mundial y justo después de la I Guerra Mundial, a principios del siglo XX, el Estado español se adentró y sufrió una Guerra Civil que se podría considerar como la precursora de la primera. La Guerra Civil fue un conflicto de fuerzas políticas para la lucha del poder de España, que duró entre 1936 y 1939. El conflicto tuvo dos bandos: El Frente Popular, que unió a todos los sectores democráticos y de la izquierda, que luchaba por aguantar las reformas sociales y políticas, y combatir el nazi-fascismo que estaba creciendo por Europa, y por otro lado, las fuerzas de la derecha, articuladas desde la Falange Española, que luchaban para derrocar al gobierno republicano y eliminar el creciente comunismo en España. Estos estaban apoyados por la iglesia, el ejército y los grandes propietarios rurales, además de la ayuda militar de la Alemania nazi y de la Italia fascista. Después de pasar unos años en dictadura con Miguel Primo de Rivera, muchos antecedentes religiosos y económicos por el mal uso del dinero, ya que se invirtió más en el ejército que en otras cosas. Después de hacer elecciones en 1931, se proclamó la II República, derribando la monarquía, que se dijo “República de los trabajadores”.

La Guerra se inició tras el golpe de Estado del 18 de julio de 1936. El general Francisco Franco comandó el ejército español a un golpe de Estado contra el gobierno democrático y legal de la Segunda República. La Guerra comportó múltiples y duras consecuencias. Dejó cerca de 400 mil muertos, destrucción de edificios, iglesias y casas, destrucción del campo con pérdidas para la agricultura y la ganadería, disminución de cerca del 30% de la renta de los españoles y una fuerte crisis económica en España, que perduró durante años.

El conflicto terminó después de tres años, con la victoria de los falangistas que lograron derrocar al gobierno republicano. Franco, en poder desde abril de 1939, implanta un régimen dictatorial de la derecha en España. Fue el comienzo de un régimen totalitario que fue conocido como la dictadura fascista del Generalísimo Franco, que duró hasta su muerte, en noviembre de 1975. Pocos meses después de la victoria franquista, se da inicio a la Segunda Guerra Mundial, provocada por Hitler al gobierno de la Alemania Nazi.

OBJETIVOS

En primer lugar, entrevistar habitantes de la zona estudiada que puedan facilitar información tanto a nivel de memoria, vivencias, experiencias personales o anécdotas, e incluso el facilitar objetos de la época, archivos y prensa que puedan ayudar a una investigación más profunda. Seguidamente, obtener información sobre la Brigada Machado: su gente, sus acontecimientos y otras cu-

32º
164 
CERTAMEN

riosidades. Hacerlo con el objetivo de seguir recordando a las personas que sufrieron la represión del franquismo durante muchos años, hacer que no caigan en el olvido personas que lucharon por la libertad cuando no la tenían.

También se trata de desarrollar una serie de árboles genealógicos con toda la información recogida para determinar el grado de parentesco con alguno de sus componentes. A continuación, llevar a cabo una geolocalización, mediante imágenes y vídeo, que pueda permitir reconstruir aquellos años con caminos o posibles rutas que hacían los emboscados a la hora de escapar. Finalmente, recopilar dicha información en un museo virtual mediante el uso de las TIC, así como realizar un pequeño documental.

MATERIALES Y METODOLOGÍA SEGUIDA

En relación a los materiales, en una primera parte, se han utilizado herramientas clásicas en la creación y desarrollo de entrevistas (cuestionarios, cámaras fotográfica y de vídeo, entre otros). Posteriormente, una serie de aplicaciones TIC gratuitas, entre las que destacan Tiki Toki (líneas temporales virtuales) i CoSpaces Edu (para realizar museos virtuales), además del potencial del entorno de Google (Drive, Earth y Maps).

El origen del mismo fue el encuentro en casa de mi abuelo paterno de dos documentos: la sentencia al sr. Feliciano Campo Cotera (bisabuelo paterno), que tuvo lugar en el Consejo Supremo de Justicia Militar del 4 de julio de 1956 (fig. 1), y los apuntes de uno de los componentes de la Brigada Machado, el sr. Mauro Roiz (primo segundo por parte de mi abuelo paterno; fig. 2).

165 
Del monte a la familia: Una historia, dos bandos Fig. 1 (i). Detalle de una de las páginas de la sentencia. Fig. 1 (c). Libreta con apuntes académicos escritos por Mauro Roiz.

CERTAMEN JÓVENES INVESTIGADORES / Artes y Humanidades

Se empezó con la búsqueda de información de dichos personajes. Para los árboles genealógicos se han realizado entrevistas (grabadas en audio y vídeo) con familiares de los dos personajes históricos indicados anteriormente, Feliciano Campo y Mauro Roiz. Tuvieron lugar en tres localidades y fueron:

• Bejes (Cantabria): Gregorio Roiz Bulnes, de 85 años de edad, abuelo paterno (fig. 3); Feliciano Roiz Bulnes (hermano del anterior), de 74 años de edad, tío abuelo paterno (fig. 3); Rafael Roiz Campo (hijo del primero), de 49 años de edad, tío paterno (fig. 4) y Raúl Sánchez Alles, sin relación familiar directa.

• Tresviso (Cantabria): Simón José Campo, sin relación familiar directa; César Campo, sin relación familiar directa.

• La Roca del Vallès (Barcelona): José María Rodríguez Campo, de 69 años de edad, abuelo materno (fig. 5).

Posteriormente, y una vez escuchados, se escogió la información estrictamente relacionada con la que interesaba para los árboles genealógicos, es decir las posibles relaciones familiares presentes en el conjunto de personajes históricos. Además, fue también importante la aportación del sr. Simón José Campo ya que nos facilitó documentación sobre alguna de estas relaciones familiares. Se montaron los árboles genealógicos en un documento de Hoja de Cálculo de Google Drive junto con una ficha de los componentes de la Brigada Machado, así como con alguno de sus enlaces o colaboradores.

Además, se han realizado otras entrevistas con personas que han estudiado, de un modo u otro, lo acontecido en el Valle de Liébana. Fueron los siguientes:

32º
166 
Fig. 3 Entrevista realizada a los hermanos Roiz en el monumento en homenaje a la Brigada Machado. Fig. 4 Entrevista a Rafael Roiz en el lugar donde mataron a Segundo, uno de los guerrilleros de la B. Machado. Fig. 5 Entrevista a José M. Rodríguez.

Del monte a la familia: Una historia, dos bandos

• Potes (Cantabria): Pedro Álvarez, cronista oficial de Liébana y antiguo maestro de primaria, ya retirado, sobrino del guerrillero Juanin.

• Tama (Cantabria): José Manuel Gutiérrez Fernández, antiguo cura de Tama, ya retirado.

Posteriormente, se realizaron los itinerarios (fig. 6) utilizando Google Earth Pro, donde se incluyen los puntos de interés, la distancia de cada uno, así como el perfil. También se realizó un tríptico con las Presentaciones de Google donde, además, se ha redactado una breve explicación de cada uno de ellos.

Seguidamente, para organizar la información conseguida, tanto de las entrevistas como de la bibliografía consultada de la Brigada Machado, se ha creado una línea temporal con el programa Tiki-Toki (fig. 7). Esta consta de una serie de acontecimientos, así como imágenes y una breve explicación.

Finalmente, con la aplicación CoSpaces Edu se ha creado un museo virtual con tres salas temáticas, asociadas a las líneas temporales (fig. 8). Este programa en línea y colaborativo permite realizar, posteriormente, un recorrido virtual.

RESULTADOS

Con los datos recopilados se han podido realizar un total de seis árboles genealógicos y se han analizado diez personajes relacionados con la etapa histórica estudiada. Todo ello se puede consultar en el siguiente enlace ( https://docs. google.com/spreadsheets/d/eInbTrCuNqMeqG5g0AkzS1UDYi2zs/edit?usp=sharing; fig. 9). Se divide en una ficha, con una serie de datos del personaje, y el árbol genealógico con el conjunto de componentes, destacando el personaje histórico, familiares directos y mi persona, en diferentes colores. Para su crea-

167 
Fig. 6 Trabajando en la realización de los itinerarios. Fig. 7 Montando la línea temporal con Tiki-Toki. Fig. 8 Creando las salas virtuales del museo con CoSpaces Edu.

CERTAMEN JÓVENES INVESTIGADORES / Artes y Humanidades

ción la información conseguida en las entrevistas fue valiosísima. A modo de ejemplo, esta breve transcripción de una de ellas:

Feliciano Campo Cotera, bisabuelo paterno, sin relación con la Brigada Machado, pero que fue encarcelado dos veces, una de ellas en el Consejo Supremo de Justicia Militar del 4 de julio de 1956 por verse con Hermenegildo Campo (“Gildo”). Según la entrevista realizada al sr. Gregorio Roiz, uno de sus yernos y abuelo mío:

“Un chivatazo hizo que la Guardia Civil fuera en su búsqueda en la zona denominada El Parapetu y le dijera <<tiene que ir con nosotros a La Hermida y si dice la verdad se vuelve para

Detalle del árbol genealógico de J. Marcos Campillo. En amarillo, components directos de la familia.

donde murió Ignacio Roiz (fig. 11), el monumento en memoria de la Brigada Machado que se encuentra en la entrada de Bejes, y una de las cuevas utilizadas por los “del monte” (“Cueva de los emboscados”; fig. 12) próxima donde está enterrado Alejando Narganes Alles “Camiseta”.

168 
32º
Fig 9.

Del monte a la familia: Una historia, dos bandos

Los otros dos son Picos de Europa-Línea Eléctrica de Reinosa y Potes-Tama-La Vega de Liébana. El tríptico ( https://drive.google.com/file/d/1PzKGsBDCIZB5Iy-FGifwACcucm5djLmp/view) incluye los itinerarios, una introducción geográfica e histórica y una breve descripción de cada una de las zonas consideradas de interés, junto con su imagen correspondiente.

En homenaje a la Brigada Machado y mediante el uso de herramientas digitales se quiere aproximar parte de su historia y su importancia en la zona estudiada. Para ello se han realizado dos materiales:

Línea temporal (fig. 13): se realizó con el programa Tiki Toki y que permite, de forma gratuita previo registro, la realización de una sola línea temporal. En ella, mediante texto e imágenes, se presentan los acontecimientos más importantes relacionados con la Brigada Machado, desde sus orígenes hasta su disolución con la muerte de “Juanín” y Bedoya. El enlace para consultarla es: https://www. tiki-toki.com/timeline/entry/1465078/LA-BRIGADA -MACHADO/

Museo virtual (fig. 14): se ha realizado hasta el momento una sala con información sobre la Brigada Machado, donde se incluyen fotografías e información tanto proveniente de la bibliografía consultada y/o leída, así como de las entrevistas realizadas. Se quiere ampliar el número de salas con otras temáticas relacionadas, pero la dificultad en la creación de este material hace que el proceso quede abierto para trabajos futuros.

169 
Fig. 10 Captura de pantalla del itinerario de los alrededores de Bejes. Fig. 11 Lugar donde murió Ignacio Roiz, denominado Pozu Pinaleu, a las afueras de Bejes. Fig. 12 “Cueva de los emboscados”, una de las muchas por donde se escondían.

CONCLUSIONES

En el conjunto de entrevistas realizadas (la llamada “información oral”) se ha podido constatar la dificultad de definir las informaciones dado el tiempo pasado y que la tradición oral implica dudas o ciertas contradicciones entre un mismo hecho. Dos ejemplos serían, por una parte, el de la muerte de Gildo donde en dos de ellas se indicaron lugares diferentes, uno en el puente de Tama y otro en el barrio Villa de Tama; por otra, y más en el entorno de la curiosidad, de dónde venía el apodo de “Machado” otorgado a Cefelino Roiz, ya que una fuente nos indicó que era porque le gustaba leer las obras de Antonio Machado y, por otra, que proviene de su parecido físico con dicho escritor. Pero en todos los casos se coincide que era una persona muy erudita. De todas maneras, también hay que decir que en muchos casos, incluidos el tratado en este trabajo, son valiosísimas ya que muchas veces no existe información alternativa.

Indicar también que se han observado opiniones y visiones diferentes entre personas entrevistadas, sobretodo con la forma de tratar un determinado tema y, en particular, la de los guerrilleros, aun siendo familiares de éstos. En concreto, el tratamiento en el homenaje a “Juanín”, al lado de su tumba, y la colocación de una placa en también homenaje a una serie de personas en una fosa común asociadas a la matanza de Tama, según nos explicó el sr. Pedro Álvarez, familiar del primero. Según él, “vinieron una serie de personas enarbolando banderasrepublicanassintenerconocimientodeloquepasó,yconunaactitud poco adecuada que, incluso, obligó a venir la Guardia Civil [toda una contradicción, según mi opinión]”.

32º CERTAMEN
170 
JÓVENES INVESTIGADORES / Artes y Humanidades
Fig. 13 Captura de pantalla de la línea temporal realizada con Tiki Toki. Fig. 14 Captura de pantalla de una de las salas del museo virtual realizado con el programa CoSpace Edu

Del monte a la familia: Una historia, dos bandos

Esto da a pensar, y se ha observado también en alguno caso, que los recuerdos sobre los hechos pasados no están olvidados, sobre todo con los familiares más directos de “los emboscados” y que sufrieron la represión de manera más severa. Esta situación se vio reflejada, principalmente, en la visita y posterior entrevistas realizadas en la localidad de Tresviso. En concreto, en una de ellas, ya nos indicaron que en dicha localidad los dos bandos, incluso existen actualmente y afectan a las relaciones entre una misma familia. Desde el punto de vista de la Guardia Civil, aunque algunos componentes fueron reprimieron familiares de “los emboscados”, cabe decir que no fue en todos los casos. En definitiva, todo el mundo participó, de una u otra manera, en las represiones acaecidas a lo largo de la época estudiada.

La realización de los itinerarios y el tríptico que los engloba han permitido darme una idea de los movimientos y lugares por donde se movían “los del monte”, por desconocimiento que tengo de la zona, y también a partir de la información recibida tanto en las entrevistas como en las lecturas de las publicaciones listadas en la Bibliografía. Además, considero que cumplen los objetivos marcados para dar a conocerlos por parte de las personas que, como yo, no somos de la zona.

Para el resto de los estudios, y en concreto en relación con las nuevas tecnologías, me han permitido constatar que las herramientas utilizadas permiten dar una visión mucho más dinámica e interactiva de los hechos que tuvieron lugar en la zona y época estudiadas y que complementan muy bien la información bibliográfica.

En definitiva, aunque el trabajo está en fase de realización, considero que lo realizado hasta el momento ha permitido descubrir algunos aspectos descocidos sobre todo este periodo y vistos de una manera u otra por mis familiares, aspecto que he pensado de mucho valor. Por la cantidad de información que se ha recopilado, considero que es necesaria su continuidad, de la siguiente manera:

Ampliando el análisis de las respuestas de las diferentes entrevistas, el número de itinerarios y las salas del museo virtual.

Además, se piensa en la creación de un audiolibro mediante el uso de la aplicación BookCreator que permitirá acercar toda esta información, además de a todos nosotros, también a colectivos con diversidad sensorial. En dicho libro se incluirán textos, imágenes y material audiovisual recogido en las diferentes salidas que se han hecho en los municipios estudiados.

En último lugar, se está realizando actualmente un pequeño documental con el conjunto de imágenes y entrevistas realizadas hasta el momento y una página web que recoja toda la información y que sea accesible a toda aquella persona interesada en esta época un poco oscura de nuestra historia reciente.

171 

CERTAMEN JÓVENES INVESTIGADORES / Artes y Humanidades

BIBLIOGRAFIA

Andrés, V. (2019). Del mito a la historia. Guerrilleros, maquis y huidos en los montes de Cantabria. Ed. Publican Ediciones. Universidad de Cantabria. Santander. ISBN: 978-84-8102-535-4.

Cicero, I. (2019). Los que se echaron al monte. Ed. Tantin Ediciones. Santander.

ISBN: 978-84-949-104-7-1-

CoSpaces Edu (nd): https://edu.cospaces.io/EGE-FLX

de Cos, J. (2006). Ni bandidos, ni vencidos. Memorias de una gesta heroica. La guerrillaantifranquistaenCantabria.Ed:JesúsdeCosBorbolla.Santander.

ISBN: 84-611-0153-7

El diario Cantabria. Lezaola, J. (2017). Guerrilleras.

https://www.eldiariocantabria.es/articulo/cantabria/guerrilleras/20170718130105032519.html

Entrecantones (nd). El secuestro de Bollaín

(nd).https://entrecantones.wixsite.com/entrecantones/el-secuestro-de-bollain Fundación Pablo Iglesias (nd). José Campillo Campo

https://fpabloiglesias.es/entrada-db/31892_campillo-campo-jose/

Gutiérrez, J. (2006). Guerra Civil en Cantabria y pueblos de Castilla

Lezaola, J. (2017). Daniel Rey murió gritando ¡viva la república! El diario Cantabria

https://www.eldiariocantabria.es/articulo/cantabria/daniel-rey-murio-gritando-viva-republica/20170629113212031690.html?1523657773274

López de Abiada, J.M. (2009). Los del monte: Héroes destronados / bandidos perseguidos y supervivientes acorralados. Lectura de la guerrilla antifranquista: Luna de lobos y Maquis como paradigmas. Aula en español. Ministerio de Educación.

https://www.educacionyfp.gob.es/suiza/dam/jcr:d63075a1-6702-42a1bf06-e6422daa8faa/aula12-web.pdf

Mir, C. y Gelonch, J. (2013). Duelo y memoria Ediciones y Publicaciones de la Universidad de Lérida. Lérida. ISBN: 9788484095941.

Profe en Historia. Guerra Civil Española - Resumen, Causas y Consecuencias

https://profeenhistoria.com/guerra-civil-espanola/

Rojo, J.C. (2017). La resistencia de los últimos:

https://www.eldiariomontanes.es/cantabria/resistencia-ultimos-20170914202905-nt.html?ref=https:%2F%2Fwww.google.com%2F

Ruiz, J. (2008). Los últimos que se echaron al monte. El País.

https://elpais.com/diario/2008/05/18/eps/1211092009_850215.html

RTVE (2006). Crónicas. Los del Monte.

https://www.rtve.es/alacarta/videos/cronicas/cronicas-del-monte/1001785/

32º
172 

Del monte a la familia: Una historia, dos bandos

Sordo, R. (2008). La Nueva España. Los aguinaldos de Bejes.

https://www.lne.es/opinion/1896/aguinaldos-bejes/601880.html

Tiki-Toki (nd): https://www.tiki-toki.com/

Wikipedia. 6.ª Brigada Guerrillera Ceferino Machado.

https://es.wikipedia.org/wiki/6.%C2%AA_Brigada_Guerrillera_Ceferino_ Machado

173 

Siyâsa virtual: reconstrucción de la casa nº 6 / ACCÉSIT

AUTORA | IRENE GARCÍA ORTEGA

COORDINADOR | MANUEL SUÁREZ LAMUÑO

CENTRO | IES LOS ALBARES

CIUDAD | CIEZA-MURCIA

RESUMEN |

La reconstrucción virtual es uno de los cometidos más significativos y divulgados de la arqueología virtual y esta, a su vez, es la disciplina científica cuyo objeto de estudio es la investigación y la difusión del patrimonio arqueológico a través de las nuevas tecnologías. Es una técnica muy reciente, pero, aun así, goza de gran popularidad. Por medio de este estudio se muestran las ventajas y desventajas de esta nueva forma de ver y trabajar con la arqueología a través de la creación de un modelo tridimensional de la casa número 6 del yacimiento islámico de Siyâsa (Cieza, Murcia), datado del siglo XI. Este es el yacimiento arqueológico más importante en decoración islámica de Europa y estaba formado por 750 viviendas, entre las que se encontraba la casa número 6, el principal objeto de estudio de esta investigación.

Del mismo modo, y siendo evidente el impacto y el alcance que estas herramientas están causando en la sociedad, se pretende llegar al mayor número posible de personas mediante la divulgación del patrimonio arqueológico del que goza Cieza, ayudando así a promover el turismo de la zona e impulsar el interés por esta especialidad científica. Pese a que este no es un tema que sea de gran predilección para todo el mundo, bien es cierto que en la actualidad el 3D está muy demandado, lo que provoca que este proyecto sea de gran interés, sin ser necesaria una distinción entre expertos y aficionados del tema en cuestión.

Palabras claves: patrimonio arqueológico, Siyâsa, arqueología virtual, reconstrucción virtual, Realidad Virtual, códigos QR.

174 
ARTES Y HUMANIDADES

ABSTRACT |

Virtual reconstruction is one of the most significant and disclosed tasks of virtual archaeology and this, in turn, is the scientific discipline whose object of study is the research and divulgation of archaeological heritage through new technologies. It is a very recent technique, but it still enjoys great popularity. This study shows the advantages and disadvantages of this new way of seeing and working with archaeology through the creation of a three-dimensional model of house number 6 of the Islamic site of Siyâsa (Cieza, Murcia), dating from the eleventh century. This is the most important archaeological site in Islamic decoration in Europe and it consisted of 750 houses, including house number 6, which is the main object of study of this research.

Similarly, and with the impact and scope that these tools are having on society, it is intended to reach as many people as possible by disclosing and divulging Cieza’s archaeological heritage, thus helping to promote tourism and boost interest in this scientific specialty. Although this is not a subject that is of great predilection to the whole world, it is true that, nowadays, 3D is in high demand, which makes this project of great interest, without the need for a distinction between experts and fans of the subject in question.

Keywords: archaeological heritage, Siyâsa, virtual archaeology, virtual reconstruction, virtual reality, QR codes.

ARTES Y HUMANIDADES 175 

CERTAMEN JÓVENES INVESTIGADORES / Artes y Humanidades

1. INTRODUCCIÓN

El ser humano ha sido, y sigue siendo, objeto de estudio de diferentes disciplinas desde hace miles de años y, para poder conocerlo más profundamente, también ha sido necesario el estudio de aspectos y ámbitos relativos a él y a su forma de vida, como lo son sus viviendas o su naturaleza.

La arqueología puede definirse como una actividad física de campo o como una búsqueda intelectual en el estudio o en el laboratorio (Renfrew y Bahn, 2004, p. 12).

La inclusión de las TIC ha provocado que el interés por la arqueología haya aumentado desmesuradamente en los últimos años, haciéndola una disciplina más accesible y cercana para toda la población y dando lugar a técnicas como la Realidad Virtual.

Por lo tanto, la finalidad de este proyecto es mostrar uno de los tantos usos que tiene la RV, mediante la reconstrucción virtual del yacimiento islámico de Siyâsa, yacimiento que se encuentra situado en el municipio de Cieza, mi ciudad de nacimiento. El presente trabajo, por consiguiente, nace de la curiosidad de saber y conocer cómo era una parte esencial de la ciudad de Cieza perteneciente al pasado, como lo es Siyâsa. Por último, las ganas de aportar y cooperar con Cieza, acercándola a las nuevas tecnologías.

2. MARCO TEÓRICO

2.1. ARQUEOLOGÍA VIRTUAL

Podría decirse que la arqueología virtual le ha dado la vuelta a la vida de la arqueología, convirtiendo en imprescindibles ciertas herramientas tecnológicas que le dan una visión que hace quince años no se tenía, una visión que nos permite acercarnos a ciertos temas que no habían sido planteados y que, por lo tanto, ha originado mejoras en esta rama de la ciencia.

El concepto de “arqueología virtual” surgió a finales de la década de los noventa y, según Reilly (1990, p. 133), puede definirse como la investigación y el desarrollo de formas de aplicación de la visualización asistida por ordenador a la gestión integral del patrimonio arqueológico. Más tarde, se definiría como una disciplina científica que genera recursos que permiten representar, acercar y enseñar sobre patrimonio a través de herramientas virtuales (Carta de Sevilla, 2011, p. 3).

2.2. REALIDAD VIRTUAL

Aunque no existe una definición oficial de la realidad virtual, RV, esta puede definirse como “lo más parecido que tenemos a la Máquina del Tiempo, en

32º
176 

Siyâsa virtual: reconstrucción de la casa nº 6

tanto que nos permite recrear virtualmente cualquier tipo de espacio en tres dimensiones y situarlo en cualquier época, incluso en el futuro, con un grado de realismo completamente creíble”, (Alejandro Sacristán, 1990) (como se cita en Pérez, 2011, p. 6). Pueden encontrarse tres tipos de RV (Otegui, 2017, p. 168):

• Realidad inmersiva. Estos sistemas sumergen al usuario en el mundo virtual de tal manera que no se establece ningún contacto entre él y la realidad.

• Realidad semi-inmersiva o de proyección. Se caracteriza por tener cuatro pantallas en forma de cubo: tres en las paredes y una en el suelo, que rodean al usuario permitiéndole ver el mundo real dentro un mundo virtual.

• Realidad no-inmersiva o de escritorio. Algunos expertos consideran que estos sistemas no son de RV, porque tan solo se necesitan accesorios como una pantalla, un teclado y un mouse.

2.3. RECONSTRUCCIONES VIRTUALES

Es por todo lo anterior que la arqueología puede alcanzar gran importancia y repercusión si se le aplican los avances tecnológicos, creando técnicas o recursos para la comunicación del patrimonio y la participación (Delgado y Romero, 2017, p. 195). Una de las técnicas que tiene por objeto la difusión del patrimonio histórico, por medio de las NNTT, son las reconstrucciones virtuales.

Es a partir de 1980 cuando empiezan a verse las primeras reconstrucciones, como ayuda a la investigación, con el fin de situar dentro de un mismo sistema informativo o archivo toda la documentación disponible sobre un edificio histórico. Debido a la gran cantidad de documentos que existían, se produjo la creación de los modelos tridimensionales (Gómez y Quirosa, 2009, p. 5).

Por último, es evidente el hecho de que las nuevas tecnologías juegan un papel fundamental en el uso y las aplicaciones de la RV, pero debe tenerse en cuenta que, si hacemos uso de esta herramienta en torno al patrimonio cultural debe conocerse el marco histórico en el que se encuentra el sujeto a reconstruir en cuestión. Esta parte de la investigación es la que se llevará a cabo en el siguiente apartado de este proyecto.

3. CONTEXTO HISTÓRICO

3.1. MARCO GEOGRÁFICO

El yacimiento islámico de Siyâsa es uno de los yacimientos arqueológicos más importantes de la Península Ibérica, así como fuente imprescindible de investigación y conocimiento del mundo islámico occidental durante los siglos XI, XII y XIII. El despoblado de Siyâsa está situado (Figura 1) en el Monte del Castillo, al pie de La Atalaya, en una zona empinada o inclinada de las estribaciones de

177 

CERTAMEN JÓVENES INVESTIGADORES / Artes y Humanidades

la Sierra del Oro, en el término municipal de Cieza (Región de Murcia, España). Por lo que, las coordenadas de dicho yacimiento son 38°13’32.5”N 1°25’20.8”W, mientras que el código plus sería 6HGH+72, Bolvax, España.

Mapa geográfico del reino musulmán de Murcia.

Fuente: Región de Murcia

Digital Figura 2

Eje cronológico de Medina Siyâsa. Fuente: Adaptado de Milanés (2014).

Siyâsa era una población andalusí que estaba formada por un núcleo urbano y por murallas que protegían la alcazaba que, a su vez, coronaba el cerro ocupando el punto más elevado. Su ubicación, próxima a una fuente de agua para el cultivo de tanta trascendencia como el río Segura, establecía un excelente punto estratégico de control, ya que el valle del Segura era la vía de comunicación natural entre el Sureste y el interior peninsular. Se cree que el poblado de Siyâsa experimentó un fuerte crecimiento de su población, contando en su mejor etapa con más de 700 viviendas y con una población que superaba los 4000 habitantes. En su época más significativa (Figura 2), el crecimiento demográfico le dio la posibilidad de gozar de mayor importancia y de llegar a ser un núcleo independiente de Ricote, además de organizar el territorio que se extendía a su alrededor, rodeado de granjas que suministraban recursos, relativos a la agricultura y la ganadería, a la aldea de las laderas del Monte del Castillo de Cieza. Es por eso que, la principal fuente económica de la población era la agricultura, basada en el regadío de las zonas cercanas al río Segura.

32º
178 
Figura 1
Fundaciónde Medina Siyâsa porlos árabes 1243. Medina Siyâsa seconvierte en vasayade FernandoIII 1266. Sublevaciónmudejar 1281.ElRey entrega Cieza aPedro Nuñez 1477. Ciezaes atacadaporelReyChicodeGranada1492.Ciezapasa aldominio de los reinos cristianos S. X S. XI S. XII S. XIII S. XIV

Siyâsa virtual: reconstrucción de la casa nº 6

3.2. SIYÂSA: UN POBLADO ANDALUSÍ

Desde comienzos del siglo VIII, hasta la expulsión de los moriscos, en los inicios del siglo XVII, ha tenido lugar una evolución de la casa andalusí, dando lugar así a numerosos modelos de casas pertenecientes a diferentes etapas.

Entre estos modelos se encuentra la casa propia de la etapa almorávide-almohade, la cual tuvo lugar en el siglo XII y en el primer tercio del siglo XII y, la cual corresponde con el tipo de casa presente en Siyâsa.

Siyâsa ha sido de gran ayuda para tener más conocimiento o información sobre los poblados andalusíes, dado que es uno de los yacimientos que mejor conservado está, lo que permite realizar reconstrucciones hipotéticas que están verdaderamente cerca de la realidad.

Tras diversos trabajos arqueológicos, dirigidos por Navarro y Jiménez (1981), se llegó a la conclusión de que la mayor parte de viviendas de este poblado andalusí seguían la estructura de patio central, en torno al que se distribuyen todas las estancias de la casa. Además, debido a la concepción propia de la cultura islámica del núcleo familiar y para tener la máxima intimidad posible, las viviendas eran casi inaccesibles para el resto de habitantes del poblado. Estas disponían de estrechos muros privados o semiprivados mediante los que se accedía a las mismas, es decir, las casas apenas tenían aberturas que les permitieran contactar con el exterior. Asimismo, la entrada al interior de la casa no era directa, sino que existía una entrada acodada que conducía al patio central.

3.3. INVESTIGACIÓN ARQUEOLÓGICA

Son varios los campos de trabajo que se han realizado y que, gracias a ellos, se ha descubierto todo lo que hoy en día podemos ver en Medina Siyâsa. Por ahora, se han excavado 19 casas de las supuestas 787 viviendas que forman la ciudad (Figura 3). Gracias a los diferentes estudios arqueológicos que han tenido lugar en el poblado, se ha podido llegar a la conclusión de que en Siyâsa existen dos tipos de viviendas: de tipo complejo y de tipo elemental, aunque ambas podían encontrarse en un mismo barrio. Se diferenciaban simplemente en el tamaño y en la estructura, puesto que las de tipo complejo gozaban de dimensiones más grandes y poseían una estructura caracterizada por la presencia de 4 crujías o habitaciones, que salían del patio central, mientras que las de tipo esencial menos superficie y, por lo tanto, también tenían menos crujías.

179 

3.4. SIYÂSA: LA CASA NÚMERO 6

La importancia que se le da a la casa nº 6 se debe al gran nivel de ayuda que la misma les proporciona a los investigadores al estudiar una determinada época, ya que la información que se tiene acerca de la arquitectura islámica de aquellos años es un tanto escasa.

Esta casa representa con creces lo que se conoce como vivienda de tipo complejo, dado que en ella pueden observarse las características propias de estas infraestructuras. Además, esta se sitúa entre las tres casas de mayor tamaño de las exhumadas, con una extensión de 131,90 m2

Navarro (1991), considera que el reparto de los espacios y habitáculos de la casa es fundamental y se basa en la jerarquización preestablecida en la época (Figura 4):

• La parte central y la más importante de la vivienda es el patio, por eso este está situado en primer lugar. Es ahí donde la familia pasaba la mayor parte del tiempo.

• En segundo lugar, se encuentran los salones, lugar donde la familia recibía a sus invitados y donde tenían lugar las reuniones familiares. Estos se caracterizaban por su amplia decoración y por ser las habitaciones más espaciosas de la casa.

• A continuación, y siguiendo la jerarquía, se halla la cocina, aunque debido a su superficie se cree que también pudo dársele otro uso y que fuera utilizado como dormitorio para la servidumbre.

• Por último, se ubican el resto de las habitaciones: las alcobas, la letrina, el establo o el tinajero.

32º
180 
CERTAMEN JÓVENES INVESTIGADORES / Artes y Humanidades
Figura 3 Plano del poblamiento de Medina Siyâsa. Fuente: Milanés (2014).

Siyâsa virtual: reconstrucción de la casa nº 6

Figura 4

Anastilosis de la casa

nº 6. Fuente: Navarro (1991).

Es por la evidente importancia y el alcance que esta casa supuso en el poblado de Siyâsa, que se ha decidido utilizarla como objeto principal de este trabajo de investigación, para la posterior creación de su reconstrucción virtual mediante Realidad Virtual.

4. HIPÓTESIS DE TRABAJO Y OBJETIVOS DE LA INVESTIGACIÓN

En esta línea, el problema a investigar que marca este trabajo es el siguiente:

¿Cómo será la reconstrucción virtual del yacimiento islámico de Siyâsa, y la posterior aplicación de la Realidad Virtual en una casa del mismo?

Los objetivos marcados en la investigación son:

OBJETIVO GENERAL

Estudio gráfico del yacimiento islámico de Siyâsa, situado entre los siglos XI y XIII d.C.

OBJETIVOS ESPECÍFICOS

1. Estudiar y mostrar el yacimiento arqueológico de Siyâsa a través del uso de las nuevas tecnologías aplicadas al patrimonio arqueológico, gracias a un proceso de generación de aportaciones virtuales.

2. Aplicar la Realidad Virtual a la casa nº 6 del yacimiento islámico de Medina Siyâsa, por medio de la reconstrucción virtual de la misma.

3. Crear e incorporar códigos QR a la casa nº 6 de Siyâsa para facilitar su aprendizaje e ilustrar la visita y/o estudio de la misma.

181 

CERTAMEN JÓVENES INVESTIGADORES / Artes y Humanidades

5. METODOLOGÍA

5.1. ENFOQUE METODOLÓGICO

Se presenta en este trabajo una investigación con un alcance descriptivo, de enfoque cualitativo, con método mixto de recopilación de información, dado que se han utilizado instrumentos de investigación cualitativos y cuantitativos.

La investigación cualitativa trata de entender y, de algún modo, descifrar la realidad tal y como es entendida por los individuos participantes en los entornos estudiados (Flores, Gómez y Jiménez, 1999). Del mismo modo, este enfoque investigador no pretende rechazar o despreciar la investigación cuantitativa, sino que procura que esta se integre y se complemente con la cualitativa, permitiendo así la evolución de una investigación cada vez más válida y confiable (Balcázar, González-Arratia, Gurrola y Moysén, 2013, p. 8).

Es por todo lo anterior que este proyecto es de método mixto, puesto que se han utilizado instrumentos tanto cualitativos como cuantitativos.

Por su parte, haciendo referencia al alcance de este trabajo, este es considerado descriptivo, ya que trata la caracterización de un hecho, fenómeno, individuo o grupo, con el objetivo de constituir su estructura o comportamiento (Arias, 2012, p. 24).

Sin embargo, además de la metodología ya nombrada, este trabajo requiere el seguimiento de otro tipo de metodología que se aplica a las reconstrucciones virtuales del patrimonio arquitectónico o arqueológico. Según Piñero (2013, p. 74), en esta metodología podrían encontrarse cuatro etapas en las que habría que tratar los siguientes aspectos:

• El modelado de los grupos o volúmenes existentes en el edificio que se quiere reconstruir.

• La búsqueda o elaboración de imágenes propias que contengan los materiales y texturas del yacimiento estudiado.

• La iluminación, que dependiendo del efecto y la sensación que se le quiera dar, puede ser natural o artificial.

• Las cámaras permiten introducir al espectador en la reconstrucción, simulando un recorrido por el espacio.

5.2. TÉCNICAS E INSTRUMENTOS

Por un lado, y desde el punto de vista cuantitativo, se ha recurrido a una experimentación que es necesaria para poder llegar a aquello que se está buscando; en este caso, la reconstrucción virtual. Pero, por otro lado, y en lo que

32º
182 

Siyâsa virtual: reconstrucción de la casa nº 6

a cualitativo se refiere, se ha hecho uso de un análisis de documentos que es fundamental para poder obtener los datos pertinentes de fuentes secundarias.

Para poder llevar a cabo la experimentación de este proyecto de investigación es ineludible, entre otras cosas, el empleo de ciertos instrumentos como programas o aplicaciones de diseño asistido por ordenador. Entre estos programas se encuentran:

• Blender, un programa de modelado en 3D, apoyado por varias herramientas.

• SketchUp, que es un programa de diseño gráfico y modelado 3D basado en caras.

Asimismo, también será necesario el uso de generadores de códigos QR.

5.3. FASES Y PROCEDIMIENTO DE LA INVESTIGACIÓN

Las fases que se siguieron en el proceso de investigación (Figura 5) fueron las siguientes:

Figura 5

Fases de la Investigación. Fuente: Peinado (2018).

6. DESARROLLO DEL MODELO

Se han aplicado las técnicas de la arqueología virtual al poblado islámico de Medina Siyâsa, concretamente en la casa número 6. Para ello, se utilizaron los programas SketchUp y Blender.

Tras aplicar la metodología expuesta en el capítulo 4 de este proyecto, el resultado del procesado de las distintas partes de la casa nº 6 de Siyâsa se puede apreciar en las siguientes fotografías:

6.1. FASE DE MODELADO

En esta primera fase puede observarse cómo, utilizando el programa SketchUp, se procede a la construcción en 3D de la casa número 6 (figuras 6 y 7).

183 

32º CERTAMEN JÓVENES INVESTIGADORES / Artes y Humanidades

Figura 6 y 7

Seguimiento del proceso de creación del modelo tridimensional de la casa nº 6.

La fase de aplicación de materiales y texturas consiste en la introducción de los mismos, así como la introducción de objetos que también estuvieran presentes en la época, como es el caso de las típicas alfombras islámicas o de los caballos del establo (Figuras 8 y 9).

Figura 8 y 9

Seguimiento del proceso de creación del modelo tridimensional de la casa nº 6.

En esta fase se ha utilizado el programa SketchUp para elegir la iluminación adecuada para esta reconstrucción virtual (Figuras 10 y 11).

Figura 10 y 11

Seguimiento del proceso de creación del modelo tridimensional de la casa nº 6.

En esta última fase se ha recurrido al empleo del programa de modelado 3D Blender, el cual nos ha permitido introducir una cámara con la que realizar un determinado recorrido de cámara que nos permita ver la reconstrucción virtual de Siyâsa (Figura 12).

184 
6.2. FASE DE APLICACIÓN DE MATERIALES Y TEXTURAS 6.3. FASE DE ILUMINACIÓN 6.4. FASE DE INSERCIÓN DE CÁMARA

Tras haber realizado la reconstrucción virtual del yacimiento islámico de Siyâsa, se procedió a realizar el vídeo.

En primer lugar, a través del programa Blender, se realizó un seguimiento de cámara mediante el que se crearon diversos fotogramas, los cuales se agruparon con el programa Camtasia, dando lugar a dicho vídeo.

Por último, y una vez terminado todo el montaje, se pasó a generar un código QR (Figura 13) a partir del cual se pudiese visualizar la representación. Se realizó a través de la página web: www.codigos-qr.com

185 
6.5. EL DESPOBLADO DE SIYÂSA DIGITALIZADO: IMPLANTACIÓN DE CÓDIGOS QR Figura 12 Seguimiento del proceso de creación del modelo tridimensional de la casa nº 6. Figura 13 Código QR del vídeo de Siyâsa. Siyâsa virtual: reconstrucción de la casa nº 6

7. BIBLIOGRAFÍA

Arias, F. G. (2012). El proyecto de investigación. Introducción a la metodología científica. 6ta. Fidias G. Arias Odón.

Balcázar Nava, P., González-Arratia López-Fuentes, N. I., Gurrola Peña, G. M., & Moysén Chimal, A. (2013). Investigación cualitativa.

Delgado Anés, L., & Romero Pellitero, P. (2017). La arqueología virtual, generadora de recursos para la comunicación y participación.

Flores, J. G., Gómez, G. R., & Jiménez, E. G. (1999). Metodología de la investigación cualitativa. Málaga: aljibe.

Gómez, L., & Quirosa, V. (2009). Nuevas tecnologías para difundir el Patrimonio Cultural: las reconstrucciones virtuales en España. erph_revistaelectrónica de patrimonio histórico, (4), 150-173.

González, R. A. (1997). Metodología cuantitativa. Estrategias y técnicas de investigación social.

Navarro Palazón, J. (1991). Un ejemplo de vivienda urbana andalusí: la casa n. 6 de Siyâsa. Archéologie islamique, 2, pp. 97-125.

Otegui Castillo, J. (2017). La realidad virtual y la realidad aumentada en el proceso de marketing.

Palazón, J. N., & Castillo, P. J. (2007). Siyāsa: estudio arqueológico del despoblado andalusí (ss. XI-XIII). Fundación El legado andalusì.

Pérez, F. J. (2011). Presente y Futuro de la Tecnología de la Realidad Virtual. Creatividad y sociedad.

Piñero, L. A. (2013). Metodología de Reconstrucción Virtual de Patrimonio Arqueológico. Virtual Archaeology Review, 4(8), 74-79.

Reilly, P. (1990). Towards a virtual archaeology. In Computer Applications in Archaeology (pp. 133-139). Oxford: British Archaeological Reports.

Renfrew, C., & Bahn, P. (2004). Arqueología. Ediciones Akal.

32º
186 
CERTAMEN JÓVENES INVESTIGADORES / Artes y Humanidades

Escribir el silencio: análisis del discurso narrativo en la literatura fantástica francesa del siglo XIX

/ ACCÉSIT

AUTORA | MARÍA LEBBARDI ÁLVAREZ

COORDINADORA | SILVIA RODRÍGUEZ DÍEZ

CENTRO | IES VALLE DEL EBRO

CIUDAD | TUDELA-NAVARRA

RESUMEN |

Este trabajo se inicia a partir de la consideración de numerosas teorías acerca del concepto de lo “fantástico” en la literatura francesa del siglo XIX. La mayor parte de los trabajos se centran en analizar los personajes, la temática o las estructuras del relato. Por otra parte, las estructuras narrativas del silencio o el papel del lector en muchas ocasiones, quedan dejados de lado. Estos son los aspectos en los que se ha centrado la investigación, teniendo como objetivo investigar el campo de los silencios. Para llevarla a cabo se ha elaborado un Corpus de relatos, el cual posteriormente se ha analizado. En base a los relatos se han elaborado una serie de tablas, distinguiendo las características de cada uno. Se ha profundizado especialmente en los silencios tales como blancos topográficos, líneas punteadas, guiones y elipsis. También se han analizado los momentos y lugares del relato en que aparecen. A partir de toda esta información se ha podido concluir que los silencios son un recurso igual de utilizado e importante que los personajes, temas o estructuras en esta parte de la literatura. Finalmente destaca el descubrimiento de patrones dentro de las narraciones.

ARTES Y HUMANIDADES
 188

ABSTRACT |

This work begins with the consideration of numerous theories about the concept of the “fantastic” in 19th century French literature. Most of the works focus on analyzing the characters, the theme or the structures of the story. On the other hand, the narrative structures of silence or the role of the reader on many occasions are left aside. These are the aspects on which the research has focused, aiming to investigate the field of silences. To carry it out, a Corpus of stories has been prepared, which has subsequently been analyzed. Based on the stories, a series of tables has been drawn up, distinguishing the characteristics of each one. The silences such as topographic targets, dotted lines, dashes and ellipsis have been specially explored. The moments and places in the story in which they appear have also been analyzed. From all this information it has been possible to conclude that silences are an equally used and important resource as the characters, themes or structures in this part of the literature. Finally, the discovery of patterns within the narratives stands out.

ARTES Y HUMANIDADES 189 

JÓVENES INVESTIGADORES / Artes y Humanidades

1. INTRODUCCIÓN

Tradicionalmente se ha intentado realizar una delimitación de la literatura fantástica francesa a lo largo del siglo XIX basada en la definición del elemento sobrenatural en tanto que temática recurrente de los relatos del siglo. De tal manera que se suelen establecer una serie temas habituales como el vampirismo, los objetos mágicos, los fantasmas, el pacto diabólico (Gabaudan, 1979). Dado que lo fantástico se concentra en un acontecimiento extraordinario, de ello se deriva que el personaje no sea más que un elemento menor de la narratología fantástica, mero testigo del elemento extraordinario. Sin embargo, numerosos estudios muestran que se trata de un objeto central y complejo que tiene un valor fundamental.

Dentro del ámbito de la literatura fantástica del siglo XIX y basándonos en lo anteriormente explicado, se pueden extraer diferentes estrategias poéticas utilizadas por los autores con el objetivo de provocar miedo en el lector. Tradicionalmente algunos de los elementos estudiados por la poética fantástica relacionados con la sugestión del miedo en el lector ha sido el problema de la credibilidad de la intriga, la justificación creíble de la necesidad de contar el relato o la decisión del punto de vista narrativo.

Sin embargo, la escritura del silencio, lo que Umberto Eco llama ‘capítulos fantasma’, en ocasiones no se ha tenido en cuenta para el estudio de los elementos- resorte del miedo en el lector. Un mecanismo del que se sirve el narrador basándose en la hipercodificación retórica y en los escenarios comunes e intertextuales del lector, cuyo papel y cooperación dentro del pacto de lectura es clave en los relatos fantásticos y de terror.

2. ANTECEDENTES Y CONTEXTUALIZACIÓN

El cuento fantástico puede ser definido en Francia como un tipo de género que se individualiza a partir de 1830, bajo la influencia de Hoffmann. La diferencia entre lo que se podría llamar ‘fantástico’ y lo ’maravilloso’ (“merveilleux”) tradicional es que el nuevo género fantástico se caracteriza por la intrusión brutal de algo misterioso dentro de la vida real. Además de esto, lo fantástico está ligado a estados alterados de la conciencia que proyecta imágenes de terror o de angustia bajo las formas de pesadillas o delirios, por ejemplo.

Entre 1830-1833 se asiste a unos años de gusto por los relatos fantásticos, siempre bajo la influencia de Hoffmann en los escritores románticos franceses. En cierto modo, se podría decir que, durante estos años, la etiqueta “relato fantástico” se asocia a composiciones de tipo muy diverso.

32º
190 
CERTAMEN

Escribir el silencio: análisis del discurso narrativo en la literatura fantástica francesa del siglo XIX

3.

HIPÓTESIS Y OBJETIVOS

Los relatos fantasma son utilizados como un recurso lingüístico por los autores más destacados del siglo XIX franceses, a la hora de escribir relatos de terror siendo este un factor importante ya que los silencios, el ‘no saber’ provoca una sensación de miedo y angustia en el lector, otorgando un diferente enfoque del ya visto en las anteriores narrativas de este género.

4. METODOLOGÍA

4.1. EL PAPEL DEL AUTOR Y EL PROBLEMA DE LA CREDIBILIDAD

La literatura fantástica presenta numerosos límites en su formulación desde un punto de vista poético: límites de la narración, del realismo, de la ruptura, la retórica de lo irreal, etc. En esta línea, el problema de la credibilidad del relato constituye otro de los límites o preocupaciones de la escritura del miedo a los que se enfrenta el escritor, una especie de paradoja discursiva a la que cualquier autor de literatura fantástica tiene que hacer frente.

Como ya se ha mencionado, uno de los problemas del autor de literatura fantástica es el rechazo inicial del lector a creer en el elemento fantástico que el narrador le presenta (Chelebourg, 2006). El texto tiene que ser capaz de orientar continuamente al lector hacia la probabilidad de lo irreal. Aquí radica el conflicto de la evocación (Bellemin-Noël, 2012). En otras palabras, la capacidad y los recursos del autor para evocar lo irreal como algo posible, sugerir miedos improbables y evocar lo indecible.

4.2. EL PAPEL DEL LECTOR Y LA ACTUACIÓN DE LA LECTURA

En la búsqueda de la comprensión de cómo las estructuras del relato influyen sobre su percepción, Eco ha propuesto un modelo que permite analizar la lectura dentro del sistema del texto. Para él, el acto de lectura se presenta como una ‘actuación’ que el lector realiza gracias a una ‘competencia’.

Según este semiólogo, el lector construye la lectura descifrando uno tras otro los diferentes niveles del texto, de manera que parte de las estructuras más simples hasta llegar a la más complejas, actualizando constantemente las estructuras narrativas, discursivas, actanciales e ideológicas.

Si el lector puede realizar las actuaciones anteriores es gracias a que dispone de una competencia que, a su vez, está producida por el texto en sí mismo. Según Eco, la competencia del lector comprende el conocimiento de un diccionario de base y de reglas de correferencia, la capacidad de realizar selecciones contextuales y circunstanciales, de interpretar la hipercodificación retórica y estilística, y finalmente, de la capacidad de valorar un punto de vista ideológico.

191 

CERTAMEN JÓVENES INVESTIGADORES / Artes y Humanidades

4.3. CORPUS DE RELATOS UTILIZADOS Y CRITERIOS DE BÚSQUEDA

Para la realización de este trabajo se han usado diversas fuentes siendo estas clasificadas en función del autor, la época, el tema y su repercusión en la literatura. Para centrar la investigación hemos profundizado en relatos únicamente franceses. Se han hecho numerosos estudios a propósito del papel del personaje-protagonista en la literatura fantástica francesa del siglo XIX (Castex, 1987), a partir de los cuales se pueden establecer una serie de características más o menos estables: Narración en primera o tercera persona; soledad del protagonista; anonimato; salud frágil; testimonio único; sufrimiento; descripción de la propia muerte.

4.4. TIPOS DE SILENCIOS

• Los blancos tipográficos. Corresponden con la ausencia específica de un nombre (por ejemplo, de una persona, de un lugar, de una fecha, etc.).

• Las líneas punteadas. Pueden tener diferentes usos, como, por ejemplo, la ausencia de un elemento puntual de la narración, indecisión de las palabras de un personaje o del propio narrador, titubeos en una descripción ante la dificultad de narrar lo imposible, etc.

• Los guiones que funcionan como las líneas punteadas.

• Los puntos suspensivos que son usados para reflejar el dolor, el horror, la locura, el sufrimiento, etc. de un personaje o del narrador creando angustia en el lector. Cuando el relato se construye en primera persona, los puntos suspensivos pueden señalar la incapacidad del narrador para contar lo vivido.

• La escritura de lo invisible. Rechazo a nombrar o a explicar la visión fantástica. La invisibilidad del referente provoca miedo en el lector.

• Las elipsis narrativas o ‘capítulos fantasma’. Pueden ser de un hecho narrativo concreto o de una duración que englobe horas, días, años...

5. RESULTADOS

Tras un análisis de los relatos incluidos en el Corpus previamente presentado y centrando la atención en tres aspectos diferentes: protagonista, temas y silencios, se han podido observar unas características comunes entre la mayoría de ellos. Respecto a los protagonistas de las historias, los aspectos que más se repiten son:

• Anonimato del narrador: A pesar de contar toda la historia y habitualmente sucesos y hechos de su vida, no se llega a saber con exactitud quién está detrás de las palabras que componen el relato.

• Salud frágil/Enfermedad: Ya sea el propio narrador o los personajes de su entorno, un elemento que abunda es la enfermedad (tanto física o mental) que de una u otra manera acaba teniendo repercusiones a lo largo de la historia.

192 
32º

• Sufrimiento/Locura: El sufrimiento es el aspecto que más relatos tienen en común. De manera más leve o intensa todos los personajes se enfrentan al dolor. Este sufrimiento en bastantes casos deriva a la locura del/los protagonista/s. No es algo inusual debido a que la mayoría de estos poseen un final que se podría considerar malo/triste.

• Crisis de la razón/Incredulidad: La duda y desconfianza de las propias experiencias y creencias del personaje están estrechamente relacionadas con el apartado anterior (Sufrimiento/Locura) ya que al no saber que es real y que no las inseguridades aumentan, desembocando en la locura y dolor de estos.

Otros aspectos no tan abundantes, pero igualmente importantes que se encuentran en los relatos son:

• Narración en primera persona: El protagonista y el narrador son la misma persona lo que le da un enfoque más realista al relato.

• Soledad o aislamiento: Es bastante común que el/los personaje/s principales estén o se sientan solos. El hecho de no tener familia, amigos o personas cercanas sumado a las experiencias o sucesos ocurridos dan facilidad a que el protagonista sufra o caiga en la locura y desesperación.

• Testimonio único: Solo se conoce una versión de los hechos, normalmente debido a que es una experiencia o recuerdo del narrador. Esto provoca verosimilitud al relato ya que no existen otras versiones que lo pongan en duda o lo contradigan.

• Describe su muerte: No es muy frecuente, pero a veces sucede que en la historia el personaje describe su propia muerte narrando sus últimos instantes de vida.

Por otra parte, después del análisis de los protagonistas y sus características, es fundamental estudiar los temas de los relatos. Estos son:

• Sueños/alucinaciones: Los personajes se ven afectados por alucinaciones, hechos que creen que son reales, pero no lo son

• Monstruos: Seres desconocidos y peligrosos que se encuentran con los personajes y que en la mayoría de ocasiones son responsables de sus muertes

Los temas previamente mencionados son frecuentes respecto a las condiciones de análisis que se establecieron en la metodología. Sin embargo, los temas predominantes, sin lugar a dudas, son el asesinato y la muerte.

Todo esto supone además un cierto reto para el lector, ya que procede a una actualización de las estructuras actanciales (Greimas, 2015) es decir, la asociación actancial de roles que el lector había hecho inicialmente ya no le es válida puesto que esos roles han cambiado, creando todo esto sorpresa y desasosiego.

193 
Escribir el silencio: análisis del discurso narrativo en la literatura fantástica francesa del siglo XIX

CERTAMEN JÓVENES INVESTIGADORES / Artes y Humanidades

Otros temas menos frecuentes son:

• Amor/amor fantástico: Ya sea amor con seres fantásticos o con humanos.

• Semi-muertes: A veces los personajes no llegan a morir, sino que se encuentran en un estado tan grave.

• Maleficios: Pueden ser desde hechizos a maldiciones, pero tienen en común el afectar a un determinado personaje/lugar y someterlo a una condición.

• Premonición/Hipnosis: En algunos relatos se hallan personajes que predicen sucesos o que ven el futuro en sueños.

Finalmente, en relación a los silencios de los relatos analizados, podemos observar diferentes categorías y características comunes:

• Los silencios más repetidos se hallan durante el desarrollo del relato, los cuales son utilizados frecuentemente para narrar historias del pasado, aludiendo así a acciones sucedidas con anterioridad y mezclando hechos antiguos con historias recientes. En algunos casos estos espacios en blanco dan pie a recuerdos o memorias de los personajes, las cuales suelen ser claves en la historia. Se han encontrado al menos quince relatos entre los analizados en los que el autor recurrió al uso de guiones como medio para inducir miedo o intriga al lector.

También se encuentran líneas de puntos (.......) al principio o final de las historias, dejando un espacio en blanco en la historia. Normalmente esta acción produce un cambio total o casi total en lo referido a espacio, tiempo y personajes. Esto produce que tanto acciones como diálogos queden sin finalizar, dejando a medias lo que bien podría ser la introducción del relato o el final del clímax. Además de que no se da ninguna explicación por lo que es imposible saber qué pasó anteriormente. Todo esto hace que el lector se sienta confundido e intrigado ante esas lagunas literarias y cambios de trama. Este recurso utilizado por el autor corresponde con lo que Bellemin-Noël denomina el cuarto grado en la articulación de la metapoética fantástica, como se señaló anteriormente. El texto se ha fragmentado produciendo blancos discursivos que invitan al lector irremediablemente, a imaginar lo que no se cuenta. En este sentido, cabe destacar especialmente el relato Smarra, de Nodier, y los relatos de Maupassant La dormilona, Carta encontrada en un ahogado, Misti y Un caso de divorcio.

Todos los silencios juegan un rol importante en la estructura y narración del relato. No obstante, al proceder a sus análisis algunos no se veía claro a qué categoría pertenecen como las elipsis. Al usar sobre todo guiones no se logra saber si ha ocurrido algo durante el tiempo entre la separación o si es un simple corte que hace el autor. Por lo tanto, no se puede afirmar que haya elipsis.

Sobre los blancos tipográficos tampoco se ha hallado nada, pero al no ser el formato original sino una antología editada es posible que estos vacíos no hayan sido mostrados.

32º
194 

5.1. DISCUSIÓN Y VALORACIÓN

Una vez vistos los datos que previamente se han analizado se puede observar una relación entre lo dicho y la teoría de Umberto Eco sobre el papel de los silencios en la literatura. Los espacios en blanco, los guiones, las líneas punteadas...todos estos elementos constituyen una parte importante del relato igual de relevante que los personajes elegidos o el estilo de narración. Con esto se puede llegar a la conclusión de que la hipótesis es probablemente correcta ya que podemos observar que en casi la mitad de los relatos analizados tienen uno o más silencios en ellos. Se puede apreciar un patrón en los relatos ya que el estilo y el modo de utilización de silencios no varía apenas en las obras, de lo que se puede deducir que se trata de un recurso utilizado conscientemente por el autor para inducir al miedo o a la intranquilidad al lector. Como ya hemos mencionado previamente el tipo de silencio más común es el usado con un guion, una especie de corte en la narración la cual frecuentemente anticipa un cambio en la trama, en el espacio y en el tiempo. Esta incisión en el relato provoca una sensación de ambigüedad ya que la mayor parte del tiempo, se altera la narración sin explicación alguna. Normalmente suelen intercalarse recuerdos/experiencias pasadas de los personajes, aunque no siguen un orden fijo. Esta falta de orden sumada a los cortes provocados por los silencios influye a la hora de crear un ambiente confuso, de terror y locura, reafirmando la hipótesis. El escritor obliga al lector a tener que esforzarse en la lectura o, dicho de otro modo, el lector se ve obligado a realizar múltiples actualizaciones de las estructuras narrativas. Se produce de este modo una unión de macroproposiciones con el objetivo de hacer un balance de la historia referida, aunque, en ocasiones, el balance final sigue siendo un ambiente confuso y oscuro para el lector. Es decir, varias veces se perdía el hilo de la historia debido a los saltos y a su forma (frecuentemente abstracta, casi filosófica) que tenían de explicar los sucesos, las experiencias y sobre todo los sentimientos y pensamientos del personaje, correspondiéndose todo esto con las tendencias literarias a partir de mediados del siglo XIX, como ya se ha mencionado anteriormente.

6. CONCLUSIONES

Después de analizar y estudiar detalladamente cada relato del Corpus se puede intuir un patrón en los silencios usados, tanto en aquellos de Maupassant como en los de Charles Nodier. Con esto la hipótesis se puede considerar acertada, siendo estos silencios un recurso más utilizado por estos autores para provocar miedo y sensaciones similares de terror en el receptor.

Además, la valoración de otros datos relativos a los personajes y los temas aportan una visión general de las características de dichos relatos, un contexto del que obtener una idea precisa, pudiéndolos así relacionar con los silencios.

195 
Escribir el silencio: análisis del discurso narrativo en la literatura fantástica francesa del siglo XIX

CERTAMEN JÓVENES INVESTIGADORES / Artes y Humanidades

7. BIBLIOGRAFÍA Y WEBGRAFÍA

Adam, J. M. (1994). Le texte narratif. Paris: Nathan Université.

Adam, J. M. (2011). Les textes: types et prototypes: récit, description, argumentation, explication et dialogue. Paris: Armand Colin.

Bal, M., y Van Boheemen, C. (2009). Narratology: Introduction to the theory of narrative. Toronto: University of Toronto Press.

Baldensperger, F. y Béguin, A. (1938). L’Âme romantique et le rêve: Essai sur le romantisme allemand et la poésie française. Romanic Review, 29(1), 90.

Barthes, R., Kayser, W., Booth, W. C. y Hamon, P. (1977). Poétique du récit. Paris: Seuil.

Bellemin-Noël, J. (2012). Psychanalyse et littérature. Paris: Presses universitaires de France.

Bellemin-Noël, J. (2015). Vers l’inconscient du texte. Paris: Presses universitaires de France.

Bremond, C. (1973). Logique du récit, Paris: Seuil.

Bozzetto, R. (2013). Le fantastique dans tous ses états. Presses universitaires de Provence.

Castex, P. G. (1987). Le conte fantastique en France: de Nodier à Maupassant. Paris: J. Corti.

Charles, M. (1977). Rhétorique de la lecture. Paris: Seuil.

Charles, N (2017) Smarra, o los demonios de la noche y otros relatos de horror e imaginación. Madrid, Valdemar Gótica

Chelebourg, C. (2006). Le surnaturel: poétique et écriture. Paris: Armand Colin.

Courtés, J. (1976). Introduction à la sémiotique narrative et discursive: méthodologie et application. Paris: Hachette.

Dupeyron-Lafay, F. (1998). Le fantastique anglo-saxon: de l’autre côté du réel. Paris: Ellipses.

Eco, U. (2014). Lector in fabula. Paris: Grasset.

Fabre, J. (1992). Le miroir de sorcière: essai sur la littérature fantastique. Paris: J. Corti

Gabaudan, P. (1979). El Romanticismo en Francia. Salamanca: Universidad de Salamanca.

Genette, G. (2014). Nouveau discours du récit. Paris: Seuil.

Greimas, A. J. (2015). Sémantique structurale: recherche de méthode. Paris: Presses universitaires de France.

Hamon, P. (1981). Introduction à l’analyse du descriptif. Paris: Hachette.

32º
196 

Hellens, F. (1967). Le Fantastique réel. Bruxelles: Sodi

Irene, B. (1974). Le récit fantastique: la poétique de l’incertain. Paris: Larousse.

Iser, W. (1985). L’acte de lecture: théorie de l’effet esthétique. Bruxelles: Editions Mardaga.

Jaubert, A. (2008). Dire et plus ou moins dire. Analyse pragmatique de l’euphémisme et de la litote. Langue française, 4, 105-116.

Jouve, V. (1998). L’effet-personnage dans le roman. Paris: Presses universitaires de France.

Jouve, V. (2015). Poétique du roman. Paris: Armand Colin.

Malrieu, J. (1992). Le fantastique. Paris: Presses universitaires de France.

Marigny, J. (1993). Sang pour sang: le réveil des vampires. Paris: Gallimard.

Maupassant,G. (2015). Cuentos completos de terror, locura y muerte. Madrid: Valdemar Gótica.

Mellier, D. (1999). L’écriture de l’excès: fiction fantastique et poétique de la terreur. Paris: Honoré Champion.

Mellier, D. (2015). La littérature fantastique. Paris: Presses universitaires de France.

Picard, M. (1986). La lecture comme jeu. Essai sur la littérature. Paris: Les éditions de minuit.

Pelckmans, P., Jourde, P. y Tortonese, P. (1997). Visages du double. Un thème littéraire. Revue belge de Philologie et d’Histoire, 75(3), 836-837.

Petitjean, A., y Adam, J. M. (1989). Le texte descriptif. Paris: Éditions Nathan.

Picard, M. (1992). Nodier: La fée aux miettes: loup y es-tu? Paris: Presses universitaires de France.

Prince, N. (2008). Le fantastique. Paris: Armand Colin.

Propp, V. J., Derrida, M., Kahn, C., Meletinskij, E. M., y Todorov, T. (1970). Morphologie du conte (Vol. 12). Paris: Gallimard.

Ponnau, G. (1997). La folie dans la littérature fantastique. Paris: Presses universitaires de France.

Steinmetz, J. L. (1990). La littérature fantastique (Vol. 907). Paris: Presses universitaires de France.

Todorov, T. (2006). Introducción a la literatura fantástica. Barcelona: Paidós.

Tritter, V. (2001). Le fantastique. Paris: Ellipses Tsutsui.

Vax, L. (1987). La séduction de l’étrange: étude sur la littérature fantastique. Paris: Presses universitaires de France.

197 
Escribir el silencio: análisis del discurso narrativo en la literatura fantástica francesa del siglo XIX

32º CERTAMEN JÓVENES INVESTIGADORES / Artes y Humanidades

Vax, L. (2015). Les chefs-d’œuvre de la littérature fantastique. Paris: Presses universitaires de France.

Villiers de l’isle-adam, A. (2011) Cuentos crueles. Madrid: Cátedra.

ANEXO 1. CORPUS DE OBRAS CONSULTADAS

1. El Horla/Le Horla

2. La dormilona/L’endormeuse

3. Smarra, o los demonios de la noche/Smarra ou les démons de la nuit

4. Sueños/Rêves

5. Un ardid/Une ruse

6. El miedo/La peur

7. El lobo/Le loup

8. Madame Baptiste

9. Minué/Menuet

10. Cuento de Navidad/Conte de Noël

11. Tombuctú/Tombouctou

12. El niño/L’enfant

13. La espera/L’attente

14. La mano/La main

15. ¡Camarero, una jarra!.../Garçon, un bock!...

16. Carta encontrada en un ahogado/La lettre trouvée sur un noyé

17. Misti/ Misti (Souvenirs d’un garçon)

18. El tic/Le tic

19. Caso de un divorcio/Un cas de divorce

20. Mademoiselle Perla/Mademoiselle Perle

21. La mano disecada/La main d’écorché

22. La loca/La folle

23. Mohamed el Golfo/Mohammed-Fripouille

24. La pequeña Roque/La petite Roque

25. ¿Quién sabe?/ Qui sait?

26. Inés de las Sierras/Inès de las Sierras

27. De algunos fenómenos del sueño/De quelques phénomènes du sommeil

198 

Escribir el silencio: análisis del discurso narrativo en la literatura fantástica francesa del siglo XIX

28. La novena candelaria/La Neuvaine de la Chandeleur

29. Sobre los gatos/Sur les chats

30. El tío Judas/Mon oncle Jules

31. San Antonio/Saint Antoine

32. Mademoiselle Cocotte

33. Una vendetta/Une vendetta

34. La confesión/La confession

35. Coco

36. La tía Sauvage/La mère Sauvage

37. El mendigo/Le Gueux

38. El crimen del tío Boniface/Le crime au père Boniface

39. Rosalie Prudent

40. El diablo/Le diable

41. Trilby, o el duende de Argail/Trilby oule lutin d’Argail

42. Confesiones de una mujer/Confessions d’une femme

43. La sillera/La Rempailleuse

199 

Kant y los Popularphilosophen: ¿Debe la Filosofía adaptarse para que cualquiera pueda acceder a ella?

/ PREMIO UNIVERSIDAD DE MÁLAGA Y ESTANCIA CSIC

AUTOR | NATHAN DOMÍNGUEZ LINCE

COORDINADOR | ÁNGEL BELEÑA LÓPEZ CENTRO | IES SAN MATEO CIUDAD | MADRID

RESUMEN |

Cuando Immanuel Kant publicó la Crítica de la razón pura, se topó con los “filósofos populares”, quienes defendieron la Filosofía como una disciplina que debía adaptarse en lenguaje y contenido para ser accesible a todo público. Aunque la llamada “filosofía popular” no nace directamente de la confrontación de estos autores con Kant, que este se involucre para defender sus formas pone sobre la mesa el debate que llevaba gestándose casi un siglo atrás y toda la obra del prusiano podemos encontrar las huellas de esta curiosa reflexión “metafilosófica”; curiosa porque, parafraseando a Schlegel, no hay tema sobre el que se filosofe menos que la Filosofía. Se trata pues de estudiar la historia de este movimiento y las implicaciones que tuvo en su obra que Kant se involucrase en el debate de si esto era factible con Christian Garve, principal representante de la corriente.

Palabras claves: Immanuel Kant, Christian Garve, Popularphilosophie, pedagogía.

ARTES Y HUMANIDADES
 200

ABSTRACT |

When Immanuel Kant published the ‘Critique of Pure Reason’, he came across “popular philosophers” who defended Philosophy as a discipline that had to adapt in both language and content to be accessible to anyone. Although the socalled “popular philosophy” is not born directly from the confrontation of these authors with Kant, the fact that he got involved proves that he wanted to make a statement defending his own ideas and this paving the way for a debate that had been brewing almost a century ago. As a matter of fact, all throughout the work of the Prussian author we can find the traces of this curious “meta-philosophical” reflection. It is so because, paraphrasing Schlegel, there is no other subject less philosophized about than Philosophy itself. This research centres around studying the history of this movement and the implications that can be seen in Kant’s work, and how Kant got involved in a debate with Christian Garve, a figurehead of modern philosophy at the time, about whether this was feasible.

Keywords: Immanuel Kant, Christian Garve, Popularphilosophie, pedagogy

ARTES Y HUMANIDADES 201 

CERTAMEN JÓVENES INVESTIGADORES / Artes y Humanidades

1. INTRODUCCIÓN

Nos situamos en 1782. Ya ha pasado un año desde la publicación de la primera edición de la Crítica de la razón pura cuando aparece en Göttingen la famosa recensión de Garve-Feder. Al leerla, Kant, lejos de sentirse refutado, se siente más bien malentendido y esto se confirma cuando otros intelectuales como Moses Mendelssohn admiten haber abandonado la lectura de su obra dada su oscuridad1. Los numerosos ataques que recibe hacia la exposición de su pensamiento hacen que Kant reaccione publicando, primeramente, los Prolegómenos a toda metafísica futura y más tarde, en 1787, la segunda edición de su obra, en cuyo prólogo expresa su intención de haberla hecho más comprensible2

Estas críticas tenían su origen en un movimiento conocido como la Popularphilosophie, que tenía como propósito principal defender la popularización de la Filosofía y hacerla accesible y práctica a todo el mundo. Christian Garve, quien se auto incluía dentro de este grupo, se convirtió, junto a Kant, en el protagonista del debate acerca de si el propósito del emergente movimiento era algo factible. Pero antes de entrar en los detalles de la disputa entre ambos filósofos, creo necesario hacer un breve recorrido por la historia de esta corriente para entender mejor cuáles son sus raíces.

2. ALEMANIA Y LA ILUSTRACIÓN: LA POPULARPHILOSOPHIE COMO ALTERNATIVA A LOS ACADEMICISTAS

Llamamos Popularphilosophie a una tendencia que surgió en Alemania hacia la segunda mitad del siglo XVIII y que se caracterizó por una reivindicación de la filosofía como una disciplina inherente a todo ser humano a la que se le exigía no solo ser escrita en un lenguaje de fácil comprensión para cualquiera, sino que además, los temas que tratase fuesen también de interés general.

A principios de siglo, Christian Thomasius (considerado el padre de la Ilustración alemana) asienta las bases de lo que será luego la Filosofía popular. Se caracterizó por su eclecticismo, por defender la libertad de pensamiento, criticar la visión metafísica de la filosofía y por sostener que su valor residía en

1 El diez de abril de 1783, Mendelssohn escribe a Kant una carta en la que justifica su abandono en la lectura de su obra diciendo que varios problemas de salud le impiden hacer el esfuerzo que requiere la metafísica; a lo que Kant contesta lo siguiente: «Que usted se considere como muerto para la metafísica, habida cuenta de que la práctica totalidad del mundo intelectual parece haber perecido para ella, no me parece extraño […] pues lo que era fruto de mi reflexión durante un período de al menos doce años, lo elaboré en unos cuatro o cinco meses, como quien dice -al vuelo-, prestando ciertamente la máxima atención al contenido, pero con poco celo en la exposición o en exigirme hacer fácil la comprensión por parte del lector; decisión que ahora tampoco lamento, pues si no hubiera sido así y la hubiera retrasado más para darle popularidad, la obra probablemente no se habría realizado» (Kant, 2005, p. 58).

2 «Dejo a esos hombres meritorios, que de modo tan afortunado unen a su profundidad de conocimiento el talento de exponer con luminosidad (talento del que precisamente no sé si soy poseedor), la tarea de completar mi trabajo, que sigue teniendo quizá algunas deficiencias en la exposición. Pues en este caso, no hay peligro a ser refutado, pero sí de no ser entendido.» (Kant, 2016, p. 34).

202 
32º

Kant y los Popularphilosophen: ¿Debe la Filosofía adaptarse para que cualquiera pueda acceder a ella?

su utilidad desde una línea empirista; rasgos que trasmitiría a su escuela y que igualmente arrastrarían los filósofos populares medio siglo más tarde.

Paralelamente, Christian Wolff (elogiado tantas veces por Kant3) y su escuela no dejaban de crecer. Cautivado por Leibniz y por las matemáticas, su estilo destacó por su espíritu metódico y racionalista. Elaboró un sistema filosófico que serviría de base al proyecto alemán hasta la llegada de Kant. Reaccionó contra la oscuridad de los aristotélicos y criticó la superficialidad de los thomasianos; su escuela dominó en Alemania hasta su muerte y su valor es inmenso, pues es prácticamente el creador del “lenguaje filosófico alemán”.

Thomasius, que encontró entre los pietistas a algunos de sus mejores seguidores, no participará explícitamente en los ataques que estos lanzarán contra Wolff. El antiwolffismo llegará a su punto más alto con la llegada de Federico II, quien obsesionado con la civilización francesa intenta trasladar a Berlín un ambiente en el que más o menos podía respirarse su espíritu. Además, reorganizó la Academia de Berlín, cuyo presidente, Maupertuis, llevó a cabo una lucha antiwolffiana en la que, gracias al poder que le otorgaba su posición, consiguió tener bastante éxito4. De todas formas, la muerte de Wolff hizo que se disolviese su escuela, y lo mismo pasó en el antiwolffismo con la muerte de Maupertuis5. Estos dos sucesos dieron vía libre al desarrollo de nuevas corrientes, que no dejarán de ser un reflejo las escuelas thomasiana y wolffiana, hasta la llegada del kantismo y ahí es donde nace la Popularphilosophie.

El espíritu de Thomasius abre paso en Alemania a una nueva mentalidad, distinta al carácter sistemático que había dominado (y dominará) tradicionalmente. De nuevo, el afán de unos pocos contrarios al sistematismo los llevará a confrontarlo para intentar convertirse en una alternativa.

El humanismo de Thomasius llega hasta estos filósofos, que se tienen a sí mismos como hombres de letras, lo que explica su énfasis en la importancia que tiene el lenguaje. Wolff había hecho de las matemáticas su principal herramienta filosófica por la capacidad que estas tenían para demostrar la evidencia. Sin embargo, los filósofos populares defienden la primacía del discurso por encima de los símbolos y figuras matemáticas señalando que las palabras tienen

3 «Quienes rechazan el método de Wolff y el proceder de la crítica de la razón pura a un tiempo no pueden intentar otra cosa que desentenderse de los grillos de la ciencia, convertir el trabajo en juego, la certeza en opinión y la filosofía en filodoxia». (Kant,, 2016, p. 31).

4 Propuso una serie de concursos en la Academia de Berlín en los que todos los ganadores eran aquellos que defendían posturas contrarias a Wolff o a Leibniz y solo fue cuando murió Maupertuis que empezaron a destacarse a los afines a estos filósofos. Kant llegó a participar en 1768, pero aun así quedó segundo en una edición que ganó precisamente Moses Mendelssohn (Cfr. Belaval, Yvon et alii, 1978, pp. 99-154).

5 El mismo año en el que muere Wolff, aparece el primer escrito donde encontramos el término ‘filosofía popular’ de la mano de Johann-August Ernesti, quien pide en su Prolusio de philosophia populari (1754) que la filosofía vuelva a la vida. Podría resumirse con una de las frases que aparecen en él: “si la filosofía pudiera hablar, se llamaría popular a sí misma” (Cfr. Van Der Zande, J., 1995, pp. 424-425).

203 

32º CERTAMEN JÓVENES INVESTIGADORES / Artes y Humanidades

también capacidad de demostrar cualquier evidencia. Sus métodos se alejaron mucho de los que se consideraban filosóficos y muchos publicaron sus ideas en forma de diálogos, exposiciones teatralizadas… Pero sobre todo a través de la prensa, una perfecta vía de difusión dada la importancia que empezaba a adquirir.

La obsesión por la utilidad se ve bien en Garve, que decía que solo tiene sentido rescatar el conocimiento de autores anteriores cuando puede ser práctico en el presente. De lo dicho hasta aquí también puede deducirse que estos filósofos populares, pertenecientes la mayoría a una burguesía en continuo crecimiento, sentían una responsabilidad con el resto de la sociedad y adoptaron una actitud paternalista por la que trataban de educar al pueblo y transmitirle unos valores, unos modales y una elegancia probablemente imitadoras de las culturas inglesa y francesa, a las que admiraban.

La Popularphilosophie sí ha dado un gran número de autores destacables. Por ejemplo, los ya mencionados Moses Mendelssohn, Sulzer, Engel y Herder, alumno de Kant. No obstante, el autor sobre el que se va a poner el foco aquí será Christian Garve pues ha tenido un papel importante en la vida y obra de Kant y, pese a estar enfrentados intelectualmente, ambos establecieron una estrecha relación.

3. CHRISTIAN GARVE E IMMANUEL KANT: UNAS PINCELADAS BIOGRÁFICAS

Garve fue un jurista y moralista alemán cuyos intereses se orientaron hacia los temas tratados por los moralistas franceses, pero sobre todo británicos, de los que hizo sus propias traducciones al alemán con la intención de acercarlos a la gente de su nación. El autodenominado “filósofo popular” se centró en la moral y la política, áreas en las que Kant realizó referencias al de Breslau en obras como Sobre la paz perpetua o la Fundamentación para una metafísica de las costumbres.

Al contrario que con Garve, para cualquiera que se haya acercado mínimamente a la Filosofía no es necesaria una presentación de Kant, pero aun así he aquí un breve resumen de quién fue y de lo que supuso en la historia del pensamiento.

Nacido en Königsberg (actual Kaliningrado), Kant es uno de los filósofos más relevantes de toda la Historia de la Filosofía. Pese a haber tocado prácticamente todas las ramas filosóficas, tal vez sea la Crítica de la razón pura su obra más importante, dado que en ella analizó la estructura y el funcionamiento de la propia razón, algo que no se había hecho anteriormente y menos aún, con tal rigor. En ética también supuso un punto de inflexión ya que se aleja (o tiene esta intención) de lo hecho previamente, criticando, entre otras, posturas como la de Hume.

204 

Kant y los Popularphilosophen: ¿Debe la Filosofía adaptarse para que cualquiera pueda acceder a ella?

En vida se enfrentó a una polémica en la que tuvo un papel importante dada la trascendencia de su pensamiento, aunque como se observa al analizar la historia de la Popularphilosophie, este debate ya había nacido tiempo atrás.

Tras la publicación de la KrV varios intelectuales reprobaron su obra debido a lo densa que resultaba. Kant no se quedó callado ante estos reproches y su reacción volvió a poner sobre la mesa una pregunta de difícil respuesta: ¿Debía la Filosofía ser adaptada en contenido y lenguaje para ser útil y accesible a todo el mundo o tenía permiso, por el contrario, para ser independiente de cualquier tipo de utilidad y poder seguir su camino sin pensar mucho en la complejidad que podía –y que de hecho, ya había podido– llegar a alcanzar?

Como se dijo al principio, fue con el ya presentado Christian Garve con quien Kant discutió este asunto, sin embargo, como se podrá ver a continuación, ambas actitudes no son tan contrarias o rivales como parece y es el propio Kant el que valora positivamente la intención principal del emergente movimiento por mucho que sus métodos o resultados no escapen a sus críticas6.

4. EL DEBATE ENTRE AMBOS FILÓSOFOS: ¿DEBE LA FILOSOFÍA POPULARIZARSE?

Pese a que no tenemos ninguna obra de Kant que hable específicamente sobre este aspecto, de varias de las obras posteriores a la Crítica de la razón pura y también de su correspondencia, podemos extraer una idea, más o menos completa, de sus consideraciones al respecto.

Por otro lado, sí contamos con dos obras de Garve que tratan únicamente este asunto, aunque sus fechas de publicación, 1796 y 1797, son muy posteriores al inicio de la polémica y estos ensayitos ya representan una reflexión madura de Garve acerca de ello, ya que antes de escribirlos, ha podido tomar en consideración todo lo que Kant tendría que decir en esta discusión y en ellos, vamos a ver a un Garve que ha evolucionado con respecto al que veremos en la reseña de Gotinga y en esas primeras palabras que intercambia con Kant tras la aparición de los Prolegómenos 7 .

6 «Esta condescendencia hacia los conceptos del pueblo resulta sin duda muy meritoria cuando previamente se ha verificado con plena satisfacción el ascenso hasta los principios de la razón pura, pues esto significaría fundamentar la teoría de las costumbres primero sobre la metafísica y, una vez que se mantiene firme, procurarle un acceso a través de la popularidad. Pero es manifiestamente absurdo pretender complacer a ésta ya en la primera indagación sobre la que descansa cualquier precisión de los principios. Este proceder jamás puede reivindicar el sumamente raro mérito de alcanzar una popularidad filosófica, ya que no hay arte alguno en hacerse comprender fácilmente cuando uno renuncia con ello a un examen bien fundado, trayendo a colación una repulsiva mezcolanza de observaciones compiladas atropelladamente y principios utilizable para sus parloteos» (Kant, 2012, pp. 106-107). El énfasis es mío.

7 Los ensayos a los que me estoy refiriendo en este párrafo son Von der Popularität des Vortrages (“De la popularidad del discurso”) y Einige Beobachtungen über die Kunst zu denken (“Algunas observaciones sobre el arte del pensar”).

205 

CERTAMEN JÓVENES INVESTIGADORES / Artes y Humanidades

En Kant también podremos observar otra evolución, en su caso más camuflada, pues su punto de partida es anterior a la Crítica de la razón pura. Es por esto que creo conveniente describir toda esta controversia en un orden cronológico, facilitando así que se vean los matices que distinguen a estos dos filósofos entre sí y también consigo mismos con el paso del tiempo.

Los años anteriores a la aparición de la primera crítica de Kant, aunque Garve fue un excelente profesor de lógica y matemáticas en la universidad, los intereses por la filología, por los idiomas y por el lenguaje en general, le habían llevado a entablar una relación con el filólogo Friedrich Wilhelm Reiz y llegó a trabajar con él en labores de traducción, un arte al que Garve dedicaría gran parte de su vida. Tal vez fuera ese interés innato lo que le llevaría posteriormente a involucrarse como lo hizo en la defensa de la Popularphilosophie. Es más, los dos ensayos que Garve publica acerca de la popularización de la filosofía, no hablan tanto sobre los temas que esta ha de tratar –esto le interesa considerablemente menos–, y prefiere centrarse en el uso del lenguaje como medio para exponer cualesquiera que sean las ideas. De todos modos, esto se verá más desarrollado cuando lleguemos a dichos ensayos, los cuales son muy posteriores para los años que estamos tratando ahora, anteriores a 1772.

Por su parte, Kant, antes de publicar su obra, ya esperaba un rechazo temprano. Aun así, su idea inicial sigue siendo que esta repulsión solo duraría un tiempo, hasta que se hubiera sentado en la comunidad científica y que cuando fuera así, poco a poco, conforme más intelectuales captasen las ideas que se exponen, se podría proceder a una nueva redacción o manera de expresarlas, quizá más iluminadoras o populares8 . Cuando ve como un gran número de ilustres pierden interés en entender su obra por las dificultades que añade la exposición a un texto ya de por sí complejo, reconsidera lo que pensaba al principio y se pregunta si debería aportar más a la comunidad filosófica de lo que ya tenía pensado, y es cuando lanza sus Prolegómenos (1783), motivados, sobre todo, por la aparición en Gotinga de la recensión de Garve que editó Feder antes de publicarla en el GöttingischengelehrtenAnzeigen en el año 1782. No hace falta leer mucho de ella para entender por qué Kant advierte en seguida que no se ha entendido su obra en lo más mínimo9.

8 Kant escribe a Marcus Herz en 1781: «Sé que de entrada cuento con muy pocos lectores que se tomen tal trabajo, aunque estoy modestamente convencido de que con el tiempo [el interés por el mismo] se hará más general; pues no sé puede esperar que el modo de pensar se instale de repente en un carril por completo desacostumbrado hasta el momento, sino que se necesita tiempo para detener poco a poco la antigua marcha, y llevarlo con impulsos graduales a la dirección contraria.» (Kant, 2005, pp. 138-139).

9 «Esta obra, que ejercita siempre el entendimiento de su lector, si no le instruye siempre, que fuerza la atención hasta la fatiga, que la ayuda, con frecuencia, por medio de imágenes felices o la recompensa por medio de inesperadas consecuencias de validez general, es un sistema del más alto idealismo o, como el autor le llama, del idealismo trascendental; es un idealismo que abarca de igual modo el espíritu que la materia, convierte al mundo y a nosotros mismos en representaciones y hace nacer todos los objetos de fenómenos que el entendimiento enlaza en una serie de experiencias y la razón trata necesariamente, aunque en vano, de extender y reunir en un sistema total y completo del mundo», de la recensión de Garve-Feder (Kant, 1912, p. 52). Énfasis mío.

32º
206 

Kant y los Popularphilosophen: ¿Debe la Filosofía adaptarse para que cualquiera pueda acceder a ella?

Como el propio Kant aclara en la Crítica, esta no es más que el asentamiento de las bases sobre las que descansaría el futuro sistema –que nunca llegó a publicar–, mas nunca fue el sistema como tal, algo que aclara en los Prolegómenos resaltando el error de sus censores al tratar de comprender su obra10.

Garve, al que no le termina de convencer la edición que Feder hace de su crítica hace acto de presencia y escribe a Kant para intentar aclararle que lo que él ha leído en el periódico no es más que una versión modificada de lo que él en realidad había enviado a Feder y que si hubiese podido leer tal versión antes de hacerse pública, no habría consentido que saliera a la luz. No obstante y pese a esta disculpa, Garve sigue manteniendo la esperanza de que el pensamiento de Kant, si desea que sea útil, ha de poder expresarse popularmente y no duda en insistírselo11

Ese mismo año, Garve publica un trabajo propio al margen de este asunto, aunque sus motivaciones para hacerlo y lo que supuso que Kant lo leyera, hacen que este proyecto de Garve también gire en torno a su ideal de popularización. Se trata de su traducción del De officiis de Cicerón, la cual no es una traducción más bien libre. En su De officiis, cogió las ideas que se hallaban en el original y las trató de exponer de una manera agradable y popular para que aquellos que no tuvieran mucha formación pudieran percibir la obra como algo cercano a ellos con lo que pudieran reflexionar sobre sus implicaciones sociopolíticas y personales12.

Por todo esto resulta sencillo abstraer de la traducción el propio pensamiento ético de Garve. Para esas fechas Kant aún no había dado una obra ética como tal (tan solo vanos intentos) y vio en esta publicación de Garve la motivación final que necesitaba para ello. Su intención primera fue elaborar una refutación explícita al Cicerón de Garve, sin embargo, quizá un poco cansado de las riñas intelectuales que le rodeaban desde 1781, decidió eliminar esa idea de su cabe-

10 «Tras la primera consideración de esta frase, vi pronto qué clase de crítica podría derivarse de ella, algo así como si cualquiera, que nada hubiese oído o visto acerca de geometría, encontrase una obra de Euclides y tratase de pronunciar su juicio sobre ella después de haberse encontrado, al ojearla, con muchas figuras y dijese algo como esto: «Este libro es un método sistemático de dibujo; el autor se sirve de un lenguaje especial para dar preceptos oscuros e ininteligibles que, al fin, no pueden lograr otra cosa que lo que cualquiera puede obtener mediante un buen golpe de vista natural». Entretanto, veamos qué clase de idealismo sea el que penetra toda mi obra, aunque, por lo demás, no constituye el alma del sistema» (Ibíd, p. 49). La cursiva es mía.

11 «Confieso que me he indignado con frecuencia, porque creí que debía poderse hacer más fácilmente comprensible, para aquellos que no carecen por completo de la costumbre de la reflexión, verdades que deben traer consigo reformas importantes en la Filosofía […]. Todavía ahora es mi creencia, tal vez equivocada, que, todo su sistema, si ha de ser verdaderamente utilizable, debe ser expresado popularmente y, si contiene verdad, también podrá ser así expresada; y que el nuevo lenguaje, que domina en todas las partes de la misma, aunque la coherencia a la cual se ha traído la expresión del mismo delata una gran penetración, hace con frecuencia parecer mayor de lo que en realidad es la reforma emprendida en la ciencia misma o la desviación del pensamiento de los demás» ( “Carta de Garve a Kant”, 13-VII-1783, en Kant, 2005, pp. 144-149).

12 Algo parecido hizo Mendelssohn con el Fedón de Platón, traducción a la que Kant le dedica todo un apartado en la Crítica de la razón pura: “Refutación de la prueba de la permanencia del alma, de Mendelssohn”.

207 

za y esa refutación acabó convirtiéndose en la primera muestra del pensamiento ético de Immanuel Kant, más conocida como la Fundamentación para una metafísica de las costumbres. Con todo, esta obrita –publicada en 1785–, está llena de indirectas (más atrás ya se citó una), no solo hacia Garve, sino también hacia la Popularphilosophie en general13 .

Un par de años más tarde Kant se ha dado cuenta ya de que su Crítica de la razón pura cada vez tenía más enemigos y que los Prolegómenos no habían aportado demasiado en su día a que aquello dejase de ser así; por estos motivos, para 1787 tiene ya lista la famosa segunda edición del escrito por el que más se le conoce. De esta edición es especialmente interesante el prólogo ya que ahí justifica esta reedición del texto14

Si Kant consiguió su objetivo de hacer de esta nueva edición una lectura más amena es algo que va a juicio de quienes se atrevan a comprobarlo. Lo que sí puede decirse de esta reedición es que es la prueba inmediata de que los reproches y la acción de los filósofos populares habían hecho mella en el de Königsberg hasta el punto de que este se viera obligado, de alguna manera, a echarle un segundo vistazo a su obra y sacar una versión revisada.

Garve reaparece en 1796 con VonderPopularitätdes Vortrages 15. Aquí trata de hacer que tanto su punto de vista como el de Kant, se reconcilien y los “mezcla” en una misma perspectiva. Lo que viene a decir es que toda filosofía ha de poder hacerse popular, pero que esta exigencia no tiene que cumplirse inmediatamente, sino que los que se dediquen a “ciencias nuevas”16 tienen la licencia de poder desentenderse de la calidad de la exposición, sin olvidar, eso sí, su necesaria popularización cuando se hayan asentado en la comunidad intelectual.

13 «Le iría mejor al conjunto de la comunidad científica si quienes, conforme al gusto del público, están acostumbrados a vender lo empírico entremezclado con lo racional según unas variopintas proporciones desconocidas para ellos mismos (que se proclaman “pensadores por cuenta propia” mientras tildan de “soñadores” a los que simplemente aderezan la parte racional) fuesen advertidos de no cultivar al mismo tiempo dos ocupaciones cuyo tratamiento es absolutamente diverso y para cada una de las cuales quizá se requiera un talento específico, en tanto que su coincidencia en una sola persona sólo daría lugar a chapucerías» (Kant, 2012, p. 69).

14 «Por lo que se refiere a esta segunda edición, no he querido, como es justo, dejar pasar la ocasión, sin corregir en lo posible las dificultades u obscuridades de donde puede haber surgido más de una mala interpretación que hombres penetrantes, quizá no sin culpa mía, han encontrado al juzgar este libro. En las proposiciones mismas y sus pruebas, así como en la forma e integridad del plan, nada he encontrado que cambiar; cosa que atribuyo en parte al largo examen a que los he sometido antes de presentar este libro al público, y en parte también a la constitución de la cosa misma, es decir a la naturaleza de una razón pura especulativa, que tiene una verdadera estructura, donde todo es órgano, es decir donde todos están para uno y cada uno para todos y donde, por tanto, toda debilidad por pequeña que sea, falta (error) o defecto, tiene que advertirse imprescindiblemente en el uso» (Kant, 2016, p. 31).

15 Cfr. Martens, 1991, pp. 76-85.

16 Expresión usada por Kant para referirse a la recientemente iniciada por él, “filosofía crítica”.

32º
208 
CERTAMEN JÓVENES INVESTIGADORES / Artes y Humanidades

Kant y los Popularphilosophen: ¿Debe la Filosofía adaptarse para que cualquiera pueda acceder a ella?

Precisamente este ensayo lo menciona Kant un año después en la Metafísica de las Costumbres (1797)17 . Ese mismo año, Garve escribe Einige Beobachtungen über die Kunst zu denken 18, donde aparece su metáfora del filósofo académico como un viajero, que sabiendo exactamente a donde va ignora el camino y solo se preocupa de su destino, frente al filósofo popular, descrito como el paseante que sin una meta determinada, se dedica a observar todos los detalles de lo que le rodea mientras avanza19.

Lamentablemente Garve fallece muy joven el primero de diciembre de 1798 y este hecho cierra un debate sorprendentemente poco tratado en el estudio de la Historia de la Filosofía; sorprendentemente porque las obras de Kant están repletas de referencias a ello y hasta llegó a elaborar algunas, como ya hemos visto, directamente relacionadas con estos filósofos. Por otro lado, las preguntas que se hicieron los filósofos populares no dejan de tener sentido aun en nuestros días, pues podría seguir siendo motivo de discusión si la Filosofía, para no caer en el olvido, debería subordinarse a los intereses generales y mantenerse al margen de especulaciones abstractas en las que cada vez menos gustan de entrar.

5. CONCLUSIONES

Immanuel Kant es uno de estos “trascendentales” escritores que no pueden ser ignorados por nadie que pretenda hacerse una mínima idea de lo que ha sido la Filosofía. Aunque es evidente que para entender una figura así, hay que conocer también a los que estuvieron antes que él y a quienes sin duda leyó antes de gestar su obra, ha sido su presente más inmediato el objeto de estudio de este ensayo.

Kant no fue, como se ha visto, un autor que ignorase las críticas y por ello, al sufrirlas tan de cerca desde 1781, conocerlas y estudiar sus efectos pone luz sobre toda la obra del prusiano pues Kant nunca fue de contestarlas explícitamente, sino que desperdigó sus respuestas entre las líneas de sus más grandes escritos. Leer la obra de Kant desde el conocimiento de su contexto es hacerlo desde una perspectiva distinta que además de describirnos el ambiente alemán de la época, también nos permite acceder a otra de sus facetas: nos deja conocer a

17 «No tengo mejor modo para precaverme de la frecuente acusación de oscuridad, incluso de una premeditada falta de claridad -con apariencia de profundidad- en la exposición filosófica, más que aceptando gustoso lo que el señor Garve, un Filósofo en el auténtico sentido de la palabra, impone como deber a cualquier escritor, preferentemente al que filosofa, sólo que, por mi parte, me limito a cumplir esta exigencia cuando lo permita la naturaleza de la ciencia que hay que rectificar y ampliar» (Kant, 1989, pp. 206-207). Curiosamente, es de las únicas ocasiones en las que Garve es mencionado en la obra de Kant. Este detalle deja ver que Kant también observó en este escrito de Garve un intento de crear una postura intermedia entre las de ambos, algo que valoró, sin duda, y que además utilizó para defenderse.

18 “Algunas observaciones sobre el arte de pensar”.

19 Cfr. Van der Zande, J., 1998, pp. 426-427. Esta metáfora puede recordar a las diferencias entre el método deductivo, propio de los racionalistas, y el inductivo, más defendido por los empiristas, quienes abundaban en el círculo de los filósofos populares.

209 

CERTAMEN JÓVENES INVESTIGADORES / Artes y Humanidades

los rivales intelectuales con los que se enfrentó y cómo intentó defenderse de ellos sin que estas discusiones entorpecieran mucho su proyecto filosófico, algo más que cuestionable, pues se ha podido ver que los Popularphilosophen, más atentos a la forma que al contenido, le robaron a Kant un tiempo tan valioso que, quién sabe, podría haber invertido en materializar el “alma del sistema”, alma que siempre anunció, pero que nunca fue publicado.

Sin embargo, las preguntas que le pusieron los populares a Kant sobre la mesa responden tan bien a esa actitud ilustrada de querer educar a un pueblo intelectualmente dormido, que tratarlas como simples pataletas de quienes no eran capaces de entender el valor y la profundidad del proyecto kantiano resulta, como mínimo, reduccionista. La postura de Kant en este debate refleja un sentimiento pesimista sobre la sociedad por el que ve innecesario esforzarse en expresar la Filosofía de una manera más sencilla «pues del mismo modo que no penetran en la mente del pueblo los argumentos en favor de verdades útiles, tampoco llegan a ella las igualmente sutiles objeciones a dichos argumentos»20

En pocas palabras, la posición de Kant en esta controversia de carácter “meta filosófico” puede servir para plantear que quizá sea el momento de aceptar que la madre de todas las ciencias no tiene un futuro abrumado por la fama y que no por eso debemos plantearnos una reforma. En todo caso es problema de la sociedad si no quiere darle el reconocimiento que se merece; ocurra algún día o no, puede la Filosofía seguir su camino aparte, desligándose por completo de cualquier deber de resultar atractiva a nadie, deber que lejos de ayudar a ninguna disciplina, tan solo consigue limitar su esencia.

32º
210 
20 Kant, 2016, p. 29.

Kant y los Popularphilosophen: ¿Debe la Filosofía adaptarse para que cualquiera pueda acceder a ella?

6. BIBLIOGRAFÍA

BELAVAL, Y. et alii. (1978), La filosofía alemana de Leibniz a Hegel. Historia de la Filosofía 7, Madrid, Siglo XXI.

KANT, I. (2005), Correspondencia, traducción de Mercedes Torrevejano, Zaragoza, Institución “Fernando el Católico”.

KANT, I. (2016), Crítica de la razón pura, traducción de Pedro Ribas, Madrid, Taurus.

KANT, I. (2012), Fundamentación para una metafísica de las costumbres, traducción de Roberto Aramayo, Madrid, Alianza editorial.

KANT, I. (1989), La metafísica de las costumbres, traducción de Adela Cortina, Madrid, Tecnos.

KANT, I. (1912), Prolegómenos a toda metafísica del porvenir que haya de poder presentarse como una ciencia, traducción de Julián Besteiro, Zaragoza, Aguilar.

MARTENS, E. (1991), Introducció a la didàctica de la Filosofia, traducción de Salvador Cabedo Manuel y Vicente Martínez Guzmán, Valencia, Universitat de valencia.

VAN DER ZANDE, J. 1995, “In the Image of Cicero: German Philosophy between Wolff and Kant”, Journal of the History of Ideas, 56(3) 419-442.

VAN DER ZANDE, J. 1998, “The Microscope of Experience: Christian Garve’s Translation of Cicero’s De Officiis” [1783]. Journal of the History of Ideas, 59(1), 75-94.

211 

CIENCIAS DE LA TIERRA Y DE LA VIDA

PRIMER PREMIO |

- 215 -

- 229 -

La celulosa microbiana de Kombucha, material ecológico del siglo XXI GUILLERMO CANOSA RABADÁN

Triops cancriformis. Cómo sobrevivir al cambio climático PATRICIA MARCO GAYA Y ALBA SERRANO GARCÍA

SEGUNDO PREMIO |

- 240- 256 -

La biofísica computacional en el descubrimiento de nuevos fármacos para reducir los niveles de colesterol LDL JON CONESA OCHOA

Proteínas tóxicas. Estudio de las características estructurales y funcionales de la Esticolisina II y su mutante IRENE RUBIO MADRID

TERCER PREMIO |

- 271 -

Con la cabeza en las nubes. Nubes y predicción meteorológica RODRIGO OLIVA LÓPEZ

Crecimiento de raíces de soja bajo condiciones de microgravedad. ¿En qué medida el crecimiento de la raíz primaria de Glycine max se ve alterada por la microgravedad simulada por un clinostato?

MARINA SOLANO BARA

Búsqueda de una correlación entre el índice glucémico de un alimento (alto, medio o bajo) y la variación de la concentración de glucosa en sangre en función del tiempo y dependiendo del tipo de insulina utilizada (natural o artificial)

SOFÍA GARCÍA RODRÍGUEZ

212
- 284 -
- 298 -

CIENCIAS DE LA TIERRA Y DE LA VIDA

ACCÉSIT |

- 310-322 -

Análisis bioinformático de los genes diferencialmente expresados en células mesenquimales estimuladas con citocinas proinflamatorias ANA MARTÍN RAMÍREZ

¿Qué hubiera pasado si el virus del ébola se hubiera expandido en España? El papel de las vacunas en las epidemias DIEGO BLANCO SANTERO

PREMIO FUNDACIÓN VENCER EL CÁNCER |

- 333 -

Un enfoque novedoso para el tratamiento de cáncer de cerebro: la nanorobótica FILOTEA CRASOVAN NEACSU

213

/ PRIMER PREMIO

AUTOR | GUILLERMO CANOSA RABADÁN

COORDINADOR | FRANCISCO JAVIER FERNÁNDEZ-PORTAL DÍAZ DEL RÍO

CENTRO | COLEGIO RETAMAR

CIUDAD | MADRID

RESUMEN |

En este trabajo buscamos optimizar el crecimiento del Kombucha, simbiosis de bacterias y levaduras que genera celulosa de forma ecológica. Además, se producen muchas otras sustancias útiles para la industria médica y farmacéutica. Se evalúa el efecto de la variación del pH, el tipo de té, la concentración de sacarosa y el tipo de nutriente en el medio de cultivo. Se comprueba su resistencia a condiciones extremas: bajas temperaturas, falta de nutrientes, deshidratación y ambiente ácido.

Se estudia su rentabilidad frente a la pasta Kraft, y las estrategias para sustituir ventajosamente a la industria papelera tradicional. Se hace un estudio de impacto ecológico, concluyendo que reduciría drásticamente el impacto negativo en el medio ambiente, en una industria que hoy es líder en contaminación.

El trabajo completo puede consultarse en este enlace.

ABSTRACT |

In this work we seek to optimize the growth of Kombucha, a symbiosis of bacteria and yeasts that generates cellulose in an environmentally friendly way. In addition, many other useful substances are produced for the medical and pharmaceutical industry. The effect of varying pH, type of tea, sucrose concentration and type of nutrient in the culture medium is evaluated. Its resistance to extreme conditions is tested: low temperatures, lack of nutrients, dehydration and acidic environment.

Its profitability compared to Kraft pulp is studied, as well as the strategies to advantageously substitute the traditional paper industry. An ecological impact study is made, concluding that it would drastically reduce the negative impact on the environment, in an industry that today is a leader in pollution.

CIENCIAS DE LA TIERRA Y DE LA VIDA 215 
La celulosa microbiana de Kombucha, material ecológico del siglo XXI
CERTAMEN COMPETITIVO INTERNACIONAL
INVESTIGACIÓN
REPRESENTANTE
DE
EXPORECERCA JOVE EN BARCELONA

CERTAMEN JÓVENES INVESTIGADORES / Ciencias de la Tierra y de la Vida

INTRODUCCIÓN

La celulosa es la macromolécula más abundante en la Tierra, presente mayoritariamente en las paredes celulares de plantas y hongos (Jonas y Farah, 1988). También hay bacterias, como Acetobacter xylinum (Adnan, 2015), capaces de producir celulosa, pero libre de impurezas.

El cultivo puro de estas bacterias supone unos requerimientos de trabajo muy exigentes. En este trabajo se propone el uso del Kombucha , simbiosis de bacterias y levaduras, como modo de producción más adecuado.

La kombucha se suele cultivar en té, donde crece formando láminas de celulosa, que podrían tener diversas aplicaciones: alimento para rumiantes, moldes para prótesis médicas, fuentes de combustible, degradante de residuos orgánicos y posible sustituto de la materia prima para fabricación del papel (Nguyen, Flanagan, Gidley y Dykes, 2008).

Durante 4 años (2016-2020) hemos estudiado las condiciones del crecimiento del Kombucha en el medio de cultivo, para optimizar esas condiciones y que pueda ser utilizado a mayor escala.

1. ANTECEDENTES

Los estudios publicados aseguran que la concentración de sacarosa óptima oscila entre los 30 y los 140 g/L (Bhattacharya et al., 2016; Hopfe et al., 2017; Podolich et al., 2017; Nguyen et al., 2015; Chakravorty et al., 2016).

Según la mayoría de los investigadores, el pH óptimo del medio de cultivo varía entre pH 4 y pH 7 (Iguchi, et al., 2000), o entre pH 4 y 4,5 (Jonas et al., 1998).

En relación con la materia orgánica proporcionada, los estudios dirimen entre cuál es el mejor tipo de fuente de carbono. La concentración de esta oscila entre 5 g/L y 200 g/L, y la más común es de 20 g/L. En la mayoría de los casos, se obtuvo un rendimiento de entre el 0,01 y 0,90 g de producción por g de sustrato [(Pourremezan, et al., 2009) (Son, et al., 2010)].

Varios estudios constatan que la temperatura óptima está entre 28 y 30 ºC [(Keshk, Razek y Sameshima 2006) (Hestrin and Schramm, 1954) (Romano et al., 1989) (Geyer, Klemm y Schmauder, 1994) (Pourremezan, Roayaei y Oezelbash, 2009)].

Se ha iniciado la aplicación de la celulosa bacteriana como vendaje para heridas, y existen productos como Biofill®, para tratar úlceras tróficas en los riñones (Mayall et al., 1990), o Gengiflex®, que contiene una capa de celulosa bacteriana modificada (Novaes et al., 1991).

32º
216 

La celulosa microbiana de Kombucha, material ecológico del siglo XXI

Anthony J. Atala (Skardal et al., 2017), ha trabajado en prótesis médicas de celulosa microbiana (Zaborowska et al., 2010). La idea es usarla como molde para las células especializadas que producen el hueso. Con el paso del tiempo el molde se descompone, pues es biodegradable. En la industria textil, la empresa BIOCOUTURE®, dirigida por Suzanne Lee (Lee, 2011), va cobrando fama progresivamente, creando prendas con la celulosa del Kombucha.

Algunas investigaciones se centran en su posible uso como filtro para residuos químicos de la industria textil (Isik, et al., 2018), en el tratamiento de aguas residuales de la cocina (Naserisafavi et al., 2017) o en su eficacia para quitar el plomo de aguas residuales de la industria (Mousavi, 2018).

2. OBJETIVOS

Pretendemos encontrar las condiciones óptimas para el crecimiento de la Kombucha. Para ello hemos estudiado: el tipo de té del medio de cultivo, el pH del medio, los alimentos disponibles y la concentración de sacarosa en el medio. Asimismo, pretendemos conocer los umbrales de resistencia a las condiciones del medio (temperatura, pH y disponibilidad de oxígeno) para poder conocer las condiciones necesarias para su conservación.

También queremos estudiar la viabilidad económica y ecológica de algunas aplicaciones del Kombucha a gran escala.

3. MATERIALES Y MÉTODOS

Para que nuestros experimentos puedan ser repetidos, se han guardado varias muestras en el INIA, donde se criogenizaron para mantener todas sus propiedades.

Para mantener una temperatura constante en los experimentos, hemos montado un fitotrón con una pequeña nevera, conectando al termostato de la nevera un cable de reptilario, que a su vez se conectaba a la central de calor de la nevera. Así se mantiene la temperatura a 28ºC.

217 
Figura 1 Fotografía del fitotrón fabricado.

CERTAMEN JÓVENES INVESTIGADORES / Ciencias de la Tierra y de la Vida

3.1. ESTUDIO DE EVOLUCIÓN DE LA MASA CON DISTINTOS TIPOS DE TÉ Comenzamos con las proporciones de té utilizadas en otros estudios, para tener una referencia con la que comenzar a cultivar la cepa de Kombucha. Utilizamos como medio de cultivo una disolución de 5 g/L de té, y la cantidad de sacarosa es de 7 g/100 mL.

En recipientes de 500 mL de medio de cultivo y con 15 g de Kombucha, estudiamos siete tipos de té (té verde, té rojo, té Earl grey, té breakfast, menta poleo, té chai y té Ceylán y Assam), haciendo tres repeticiones por cada uno.

3.2. ESTUDIO DEL CRECIMIENTO Y EVOLUCIÓN NATURAL DEL PH

Se mide durante 72 días el crecimiento en masa y el pH de un cultivo de kombucha con 5 g/L de té verde y 70 g/L de sacarosa. Cada uno de los tres recipientes contenía 25 L de esa preparación con 200 g de una cepa de Kombucha de la empresa alemana Wellness Drinks.

3.3.

ESTUDIO DE PH ÓPTIMO INICIAL

Se utilizaron tres recipientes de 500 mL por cada pH entre pH 2 y pH 6. En ellos se introdujeron 200 mL de medio de cultivo (con concentraciones de 5 g/L de té y 70 g/L de sacarosa) y 20 g de Kombucha.

3.4. ESTUDIO DE EVOLUCIÓN DE LA MASA CON DISTINTOS ALIMENTOS

Los alimentos que introdujimos en el medio de cultivo fueron harina, café, tomate, arroz, patata, puré de patata, pan de molde y dos de control en el que había únicamente el medio de cultivo original, uno con sacarosa y otro sin ella.

Como ejemplo, para preparar una de las muestras de arroz, se introdujeron 200 mL de medio de cultivo (con concentraciones de 5 g/L de té y 70 g/L de sacarosa) y 160 g de arroz. Se hicieron tres muestras de cada clase de alimento y se dejaron cultivar, sin modificarlo hasta cuatro meses después.

3.5. ESTUDIO DE LA CONCENTRACIÓN ÓPTIMA DE SACAROSA

Se probaron cuatro concentraciones de sacarosa: 7 g/100mL, 28,5 g/100mL, 54 g/100mL y 80 g/100mL. Estos se corresponden con el punto de saturación, los datos bibliográficos y dos puntos intermedios entre ellos. Se introdujo un fragmento de Kombucha de 15 g en cada uno de los recipientes de 500 mL y realizamos un seguimiento del crecimiento de cada una de las muestras.

32º
218 

La celulosa microbiana de Kombucha, material ecológico del siglo XXI

3.6. ESTUDIO DE LA RESISTENCIA A CONDICIONES EXTREMAS

3.6.1. RESISTENCIA A TEMPERATURAS EXTREMAS

Sometimos al Kombucha a temperaturas de -30ºC durante 12 días, haciendo 6 repeticiones. Posteriormente, se colocaron las muestras en un medio de cultivo con concentraciones de té de 5 g/L y 70 g/L de sacarosa, a 28ºC, e hicimos un seguimiento del crecimiento de las muestras. Este experimento es novedoso, ya que no encontramos bibliografía sobre él. En caso de funcionar, supondría que se podría cultivar en ambientes que, de sufrir bajas temperaturas, solo paralizarían la producción temporalmente, sin necesitar instalaciones que gastaran excesiva energía en mantener la temperatura todo el año.

3.6.2. RESISTENCIA A PH EXTREMO

El Kombucha, al crecer, acidifica el medio hasta alcanzar pH 1. Estudiamos si seguía creciendo a este pH. En un recipiente con concentraciones de té y sacarosa iguales a las utilizadas antes (5 g/L de té y 70 g/L de sacarosa), pero con pH 1, introdujimos un trozo de Kombucha para seguir su crecimiento.

3.6.3. RESISTENCIA A LA DESECACIÓN Y A LA FALTA DE NUTRIENTES

Muestras de Kombucha deshidratadas y sin nutrientes durante seis años, se colocaron en un medio de cultivo con 5 g/L de té y 70 g/L de sacarosa para ver si volvían a crecer. No hemos encontrado bibliografía al respecto.

3.6.4. ANTIBIOGRAMA

Se comprueba la capacidad del Kombucha de generar antibióticos o de inhibir el crecimiento de otros microorganismos. Se compró un kit de © Bio-Rad para realizar esta prueba.

3.7. ESTUDIO DE LA RESISTENCIA MECÁNICA

Se comparó la resistencia (capacidad de un cuerpo para soportar una fuerza) de las láminas de celulosa secas obtenidas del Kombucha y láminas de un grosor similar de papel tradicional de marca HP Office®, en N/m2.

Para ello, sujetamos uno de los extremos de cada muestra a un soporte fijo, y otro a un dinamómetro digital (Xplorer), del que íbamos colgando peso progresivamente. Así podemos saber el peso exacto que colgaba en el momento de rotura de cada muestra.

Sabiendo la fuerza de rotura y el área de la sección de cada muestra (16 de Kombucha y 16 de papel tradicional), se puede calcular la resistencia con la fórmula TR= FR/A [donde FR= Fuerza de rotura; A=Área de la sección; TR= tensión de rotura].

219 

32º CERTAMEN JÓVENES INVESTIGADORES / Ciencias de la Tierra y de la Vida

4. RESULTADOS OBTENIDOS

4.1. ESTUDIO DE EVOLUCIÓN DE LA MASA CON DISTINTOS TIPOS DE TÉ

Los datos están presentados en la gráfica de la derecha. El té que ha proporcionado mayor crecimiento al Kombucha es el té verde. Supera al segundo (Ceylán y Assam) en un 53,3%, aproximadamente. Este té es el segundo más barato de los utilizados (el más barato es el té breakfast) y, por lo tanto, el más beneficioso en relación producción-precio.

Variación de masa del Kombucha en función del tipo de té. Creación propia a partir de datos experimentales.

4.2. ESTUDIO DEL CRECIMIENTO Y EVOLUCIÓN NATURAL DEL PH

En la figura 3 observamos el cambio de pH y del crecimiento medio de tres recipientes de 32,64L. Se observa un incremento en masa del 4115%, pasando de 200g a 8Kg en un período de 72 días. Esta es la dinámica de crecimiento y evolución natural de pH en el medio óptimo conseguido (té verde y sacarosa).

Variación del pH y a lo largo del tiempo. Creación propia a partir de los datos experimentales.

220 
Figura 2 Figura 3

La celulosa microbiana de Kombucha, material ecológico del siglo XXI

4.3. ESTUDIO DEL PH ÓPTIMO INICIAL

Tras un periodo de cuatro meses creciendo, elaboramos una gráfica para ver su evolución. A partir de un volumen inicial de 20 cm³, el pH óptimo resultó ser pH 3. Este incrementó en un 560% su volumen, hasta 112,2 cm³.

Por lo tanto, partiendo de un pH de 3, se podría incrementar la producción del experimento anterior.

Figura 4

Variación del volumen en función del pH. Creación propia a partir de datos experimentales.

4.4. ESTUDIO DE EVOLUCIÓN DE LA MASA CON DISTINTOS ALIMENTOS

El porcentaje de crecimiento de cada alimento se hace con la media de los crecimientos de cada muestra. El alimento que más crece, como se puede ver en la gráfica, es el té verde con sacarosa. También producen gran crecimiento los medios con patata y harina de trigo.

El biofilm muestra facilidad para degradar múltiples residuos orgánicos.

Figura 5

Porcentaje de crecimiento en masa en función del tipo de alimento. Creación propia a partir de datos experimentales.

221 

CERTAMEN JÓVENES INVESTIGADORES / Ciencias de la Tierra y de la Vida

4.5.

ESTUDIO DE LA CONCENTRACIÓN ÓPTIMA DE SACAROSA

La concentración de sacarosa óptima fue 285 g/L, seguido de los 70 g/L que habíamos utilizado en los anteriores experimentos.

4.6. ESTUDIO DE RESISTENCIA A CONDICIONES EXTREMA

4.6.1.

RESISTENCIA A TEMPERATURAS EXTREMAS

La mitad de las repeticiones a temperatura -30° C continuaron creciendo. Quizá algunas especies de bacterias y levaduras (componentes de Kombucha) morirían. Observamos que al menos sobrevivieron las bacterias productoras de celulosa y las especies necesarias para la subsistencia de la simbiosis.

4.6.2.

RESISTENCIA AL PH EXTREMO

El Kombucha continuó creciendo aun estando el medio de cultivo a pH 1. Durante al menos 36 días el Kombucha es capaz de soportar tales condiciones. Las bacterias encargadas de producir celulosa sobrevivieron, pues el Kombucha continuó su crecimiento.

4.6.3. RESISTENCIA A LA DESECACIÓN Y A LA FALTA DE NUTRIENTES

Tras 6 años deshidratado y sin nutrientes, el Kombucha volvió a crecer. Con 6 repeticiones y al cabo de 11 días, un tercio de las repeticiones volvió a crecer. Se concluye que las bacterias que producen celulosa pueden estar en estado latente hasta que las condiciones vuelvan a ser favorables.

4.6.4. ANTIBIOGRAMA

Se pudo observar un pequeño halo de inhibición en varias muestras. No podemos asegurar que la inhibición observada sea debida a un antibiótico producido por el Kombucha, pero una futura línea de investigación.

4.7. ESTUDIO DE LA RESISTENCIA MECÁNICA

A partir de los datos de peso soportado por cada material, se calcula la resistencia soportada por cada muestra. Estos datos se recogen en la siguiente gráfica:

32º
222 
Figura 6 Comparación de la resistencia del biofilm de Kombucha y del papel tradicional.

La celulosa microbiana de Kombucha, material ecológico del siglo XXI

Puesto que las desviaciones típicas no se superponen, se ve que es más resistente el biofilm de Kombucha que el papel tradicional, por lo que se pueden crear tejidos más resistentes.

4.8. ESTUDIO ECONÓMICO

Comparamos el coste de la producción de celulosa pura de Kombucha con el coste de la producción de la pasta Kraft.

Para producir los 8 kg de Kombucha obtenidos en nuestro primer experimento, fueron necesarios 1,75 kg de azúcar, 125 g de té verde y 25 L de agua que costaron 0,87€ aproximadamente. Por lo tanto, la producción de 1 tonelada de Kombucha (que tiene un 3% de celulosa de fibra larga) sería de unos 108€. Por otro lado, el precio de producción de una tonelada de pasta de papel (con un 80-90% de fibra larga) cuesta alrededor de 800€.

Por ello, para producir la misma cantidad de fibra larga (necesaria para la producción de papel) por medio del Kombucha, la producción de papel de Kombucha, con la maquinaria actual al menos, es unas cinco veces más cara.

Por lo tanto, la producción de Kombucha no parece ser viable económicamente, aunque quizás si se cambiase la forma de procesar la pasta de papel sí que sería rentable. O si se sacara rentabilidad de otros metabolitos producidos por el Kombucha, como la propia bebida, quizá sería rentable.

4.9. ESTUDIO ECOLÓGICO

Lo realmente importante son las implicaciones ecológicas de esta propuesta. La compararemos con la industria del papel, pero eso nos servirá para ver sostenibilidad también para otras posibles áreas.

La industria papelera es la más contaminante del mundo debido a sus procedimientos de blanqueo y transporte de materia prima.

Para la producción de papel bacteriano solo se necesitaría maquinaria en la última parte del proceso de producción del papel (el prensado, la coloración y el secado) ya que acabaríamos con la plantación, la tala, el transporte, el procesado, el blanqueo (eliminación de pectina y lignina) y toda la contaminación que esto conlleva.

Además, para el cultivo de Kombucha se necesita mucha menos agua que para el del papel tradicional (500 L/tonelada frente a los 10000 de la industria papelera) (Doldán García et al., 2001); y esto conllevaría una reducción de la deforestación. Además, podría acabar con la plantación de especies foráneas, que producen un gran destrozo en el ecosistema (bloqueando la distribución de las aguas freáticas y acelerando la expansión de los incendios).

223 

CERTAMEN JÓVENES INVESTIGADORES / Ciencias de la Tierra y de la Vida

Es cierto que en la producción de Kombucha (al estar formada por microorganismos) también se genera CO2, pero esto se contrarresta teniendo en cuenta que los árboles no talados absorberían el CO2 producido.

Contactamos con la fábrica de papel J. Vilaseca para ver su aplicabilidad al proceso de fabricación y se han obtenido resultados prometedores (ver Figura 7). Los biofilms de Kombucha se introdujeron después del proceso de blanqueo, y el resultado fue un papel de calidad equiparable al papel vegetal. Así pues, se podría eliminar gran parte de la contaminación.

Por otra parte, al comprobar la capacidad del Kombucha de degradar residuos, decidimos investigar su uso en el tratamiento de aguas residuales.

El Kombucha es capaz de degradar residuos y producir celulosa de mejor calidad (Revin et al., 2017). El Kombucha ha resultado ser sumamente eficaz en la retirada de residuos de plomo y otros residuos industriales.

Por lo tanto, el Kombucha presenta un gran cambio ecológico tanto si se aplicase a la industria papelera como si se utilizase para la degradación de residuos orgánicos o industriales, o al tratamiento de aguas residuales.

5. CONCLUSIONES

Las condiciones óptimas que hemos encontrado para el crecimiento de nuestra cepa de Kombucha se dan cuando el medio de cultivo está formado por té verde con una concentración de sacarosa de 285 g/L y manteniendo constante el pH en 3. En esto coincidimos con otros investigadores.

Hemos podido observar por primera vez la gran resistencia de esta simbiosis a condiciones extremas: temperaturas de -30ºC por dos semanas y deshidratación y falta de nutrientes durante 6 años; Así como la mayor resistencia mecánica a la tensión de tiras de biofilm de Kombucha desecado, comparadas con tiras de papel tradicional. Este dato puede abrir puertas a otras aplicaciones del Kombucha aún desconocidas.

32º
224 
Figura 7 Muestra del papel de Kombucha elaborada en la fábrica de la papelera J. Vilaseca.

También se comprueba su crecimiento a pH 1, su capacidad de inhibir el crecimiento de bacterias E. coli y su necesidad de oxígeno para crecer.

Del estudio de rentabilidad concluimos que sale más cara la celulosa microbiana que la vegetal, si bien, un plan de negocio combinado en el que se sacara provecho de todos los metabolitos del Kombucha, podría poner en jaque a la industria papelera tradicional. Recuérdese que el equipo ha obtenido confirmación por parte de la empresa papelera J. Vilaseca de que, tras usar nuestra celulosa en una prueba, lograron fabricar papel con parámetros de calidad válidos.

Por otra parte, el estudio de impacto ecológico da resultados muy favorables. Se concluye que la implementación del cultivo de celulosa microbiana reduciría drásticamente la contaminación de una industria que hoy en día es líder en contaminación.

En el futuro nos gustaría estudiar la relación entre superficie/volumen de los recipientes de cultivo y su crecimiento, ya que el ritmo de crecimiento entre los recipientes de 500 mL y de 30 L es diferente. También querríamos estudiar su capacidad de limpiar aguas residuales.

Por último, sería interesante conocer las diferentes especies que conforman nuestra cepa de Kombucha, para compararlo con las cepas de otros investigadores y ver cómo afectan las distintas especies.

Aunque queda mucho por investigar, queda claro que el Kombucha es una simbiosis muy versátil y que sus beneficios ecológicos supondrían un beneficio importante en la sostenibilidad de nuestro planeta.

225 
La celulosa microbiana de Kombucha, material ecológico del siglo XXI

CERTAMEN JÓVENES INVESTIGADORES / Ciencias de la Tierra y de la Vida

6. BIBLIOGRAFÍA Y WEBGRAFÍA

Adnan, A. B., 2015. Production of Bacterial Cellulose Using Low-cost Media. PhD tesis. University of Waikato. Disponible en: https://researchcommons.waikato.ac.nz/handle/10289/9165. Fecha de consulta (en adelante FdC): 8 de septiembre de 2020.

Bhattacharya, D., et al., 2016. Antibacterial Activity of Polyphenolic Fraction of Kombucha Against Enteric Bacterial Pathogens. Current Microbiology 73, 885-896. DOI: 10.1007/s00284-016-1136-3. FdC: 8/9/2020.

Crowther, T. W., Glick, H. B., Covey, K., et al., 2015. Mapping tree density at a global scale. Nature, 525, 201–205. DOI: 10.1038/nature14967. FdC: 9/9/2020

Doldán García, X. R. y Chas Amil, Ma. L., 2001. La contaminación de la industria de pasta-papel en Galicia: un análisis de flujos de materiales y energía. Estudios de Economía Aplicada, 18(2), 143-158. Disponible en: https://www.redalyc.org/articulo.oa?id=301/30118206 FdC: 7/9/2020.

Geyer, U., Klemm, D., 1994. Kinetics of the utilization of different C sources and the cellulose formation by Acetobacter xylinum. ActaBiotechnologica, 14(3), 261-266. DOI: 10.1002/abio.370140308. FdC: 8/9/2020.

Hestrin, S. & Schramm, M., 1954. Synthesis of cellulose by Acetobacter xylinum. I. Micromethod for the determination of celluloses. Biochemistry Journal, 56(1), 163-165. DOI: 10.1042/bj0560163. FdC: 8/09/2020.

El resto de la bibliografía, junto con la versión completa del trabajo, puede encontrarse pinchando en el siguiente enlace

32º
226 

REPRESENTANTE 32 CERTAMEN EUROPEO DE JÓVENES INVESTIGADORES

Triops cancriformis. Cómo sobrevivir al cambio climático

/ PRIMER PREMIO

AUTORAS | PATRICIA MARCO GAYA Y ALBA SERRANO GARCÍA

COORDINADOR | FRANCISCO MARCO MORENO

CENTRO | COLEGIO SANTA MARÍA

CIUDAD | VILA-REAL-CASTELLÓN

RESUMEN |

Este proyecto es un estudio de la resistencia a las altas temperaturas del huevo de la especie Triops cancriformis, del análisis de su composición química mediante análisis térmico hasta 1000ºC y observación con microscopio electrónico de barrido. Esto explicaría por qué ha sobrevivido a las grandes extinciones de nuestro planeta y es considerado como un fósil viviente, conservando la misma apariencia que hace más de 200 millones de años en el periodo Triásico.

Palabras clave: Triásico, Triops, huevo, temperatura, resistencia.

ABSTRACT |

This project is a study of the resistance to high temperatures of the Triops cancriformis egg and the analysis of its chemical composition by thermal analysis up to 1000ºC and observation with scanning electron microscope. This would explain why it has survived the great extinctions of our planet and is considered a living fossil retaining the same appearance as more than 200 million years ago in the Triassic period.

Keywords: Triassic, triops, egg, temperature, resistance.

CIENCIAS DE LA TIERRA Y DE LA VIDA 229 

CERTAMEN JÓVENES INVESTIGADORES / Ciencias de la Tierra y de la Vida

ANTECEDENTES TRIÁSICO

Hace unos 250 millones de años, en el paso del Paleozoico al Mesozoico, tuvo lugar una catástrofe ecológica que causó la extinción de más de tres cuartos de las especies del momento. Más tarde, a finales del triásico tuvo lugar otra extinción, que supuso el cambio de fase hacia el Jurásico. A principios del Triásico el clima era hostil y luego se fue estabilizando. Las temperaturas fueron aumentando lentamente, hasta alcanzar valores mucho más altos a los actuales.

El clima indica una gran variación térmica en el sur y en el interior del continente, con veranos muy cálidos e inviernos secos. Por otro lado, las zonas más cercanas al mar debieron estar sometidas a un clima monzónico, con lluvias estivales.

TRIOPS CARACTERÍSTICAS

Es una especie de crustáceo notostráceo de agua dulce. Su nombre se debe a los tres ojos que tiene: dos compuestos y un ocelo larval. Puede llegar a medir 7 centímetros. En el tórax observamos diez segmentos, once en el caso de las hembras. Tienen unas branquias adosadas a las patas con las que nadan. Hay colonias de triops hermafroditas y otras en las cuales hay machos y hembras. Los huevos eclosionan al encontrarse en agua, además los triops ponen los huevos a los extremos de las charcas, así los huevos solo eclosionan cuando tienen lo necesario para vivir.

DISTRIBUCIÓN

En la península Ibérica se ha considerado que vive una sola especie: Triops cancriformis, frente a otra especie muy semejante que se considera invasora Triops longicaudatus.

32º
230 
Parte delantera del Triops Parte trasera del Triops

Triops cancriformis. Cómo sobrevivir al cambio climático

OBJETIVOS E HIPÓTESIS

Nuestros objetivos para este proyecto son los siguientes:

• Averiguar la temperatura máxima que pueden soportar los huevos de resistencia del Triops.

• Conocer la composición y estructura de los huevos de Triops.

• Recrear el material resistente a altas temperaturas que los compone para utilizarlo en la conservación de alimentos o en la construcción.

A lo largo de la investigación nos surgieron varias preguntas:

¿Cómo ha sobrevivido esta especie a tantos cambios climáticos y extinciones? Nuestra hipótesis ha sido que la especie ha sobrevivido a las altas temperaturas y a la sequía gracias a la resistencia del huevo.

¿Qué temperatura máxima podrían soportar? De esta forma también podríamos averiguar la temperatura que se alcanzó en el triásico en algunas zonas de nuestro Planeta.

Con los resultados obtenidos nos planteamos otra pregunta: ¿De qué está compuesto el huevo?

METODOLOGÍA

Para poder responder a estas preguntas hemos dividido el proyecto en 3 fases:

1ª FASE: CRÍA EN CAUTIVIDAD

Contactamos con el centro de fauna de la Consellería de Medio Ambiente ubicado en el Palmar, en Valencia, y estos nos cedieron amablemente huevos de Triops obtenidos de las charcas de Alcublas (un pequeño pueblo de Valencia).

231 
Distribución del Triops en España www.sekano.es

CERTAMEN JÓVENES INVESTIGADORES / Ciencias de la Tierra y de la Vida

Disponemos de un acuario de 90 litros que llenamos con 4 cm de arena de sílice, agua sin cloro hasta la mitad, introducimos un termostato a 24ºC (es la temperatura óptima), un oxigenador, y, por último, una roca como decoración.

Cuando todo esto estuvo preparado, introducimos los huevos de los Triops.

A los 10 días empezamos a ver larvas, nauplios, casi inapreciables, pero no tardaron en crecer, ya que su crecimiento es muy rápido. Cuando nacen las larvas se alimentan de espirulina en polvo. Al aumentar de tamaño ya podíamos apreciar su forma, los empezamos a alimentar con pienso en sticks y pastillas de fondo. Estos animales son omnívoros y a las dos semanas ya se pueden comer cualquier alimento, e incluso ser caníbales.

2ª FASE: RESISTENCIA DEL HUEVO A LA TEMPERATURA

Lo primero que hicimos fue separar los huevos de la arena para poder distribuirlos en las placas petri de 9cm de diámetro, con 15 huevos en cada una y los cubriremos con 1 cm de arena de sílice.

Metimos en una estufa de laboratorio una placa durante una semana a 30ºC, al sacarla la vertimos en un pequeño acuario con agua sin cloro y un poco de espirulina disuelta para ver si los huevos eclosionan. La segunda semana colocamos otra placa con 15 huevos, esta vez a 40ºC, 10ºC más que la semana anterior y observamos si los huevos eclosionaban.

Tres semanas más tarde pusimos otra placa a 50ºC, posteriormente otra a 60ºC hasta llegar a los 70ºC, llegó un momento en el que los huevos no eclosionaron, entonces averiguamos el límite de temperatura que pueden aguantar los huevos de esta especie.

RESULTADOS

Tras varias semanas pudimos observar que los huevos de Triops sometidos a altas temperaturas en el horno, fueron eclosionando a 30, 40, 50 y 60ºC. Así pues, podemos afirmar que aguantan hasta temperaturas de 60ºC. Podríamos también afirmar que la temperatura máxima alcanzada en algunos puntos del planeta en el triásico fue de 60ºC.

32º
232 
Triops vistos en la lupa binocular Huevos con arena de Sílice en el horno

Ante estos resultados, nos planteamos otra pregunta: ¿Cuál es la composición del huevo de Triops capaz de resistir estas temperaturas?

3ª FASE: CARACTERIZACIÓN DEL HUEVO

Observamos diversos huevos enteros y otros abiertos al microscopio óptico, tuvimos la suerte de contactar con la catedra de innovación cerámica de la UJI (Universitat Jaume I) y el grupo de investigación de química de sólidos, que nos permitieron analizar los huevos de Triops mediante análisis térmico y observación con microscopio electrónico de barrido.

I) ANÁLISIS TÉRMICO

Esta técnica estudia el comportamiento térmico de los materiales, cuando un mate-rial se va calentando a altas temperaturas su estructura y composición química sufren cambios. Se producen reacciones endotérmicas y exotérmicas que se pueden medir cuantitativamente; y al mismo tiempo, los gases que se producen pueden ser analizados mediante absorción física de gases.

El análisis térmico de los huevos de Triops lo realizamos con el equipo TG-STDA Mettler Toledo modelo TGA/SDTA851e/LF/1600 acoplado a un espectrómetro de masas quadrupol PFEIFFER VACUUM modelo OmniStar GSD 320 O3, 1-300 uma. Con filamento de tugsteno

Hicimos una primera prueba donde sometimos los huevos hasta una temperatura de 500ºC aumentando 1ºC por minuto hasta los 100ºC y posteriormente 5ºC por minuto hasta los 500ºC, de esta forma podemos observar cuando el huevo empieza a deshidratarse y cuando empieza a romperse la estructura externa y a su vez a perder masa.

Como en esta primera prueba solo se quemó el 60% de la materia, decidimos realizar una segunda prueba, pero esta vez llegando a los 1000ºC para observar si finalmente quedaba algún resto inorgánico que pudiera formar parte de la estructura del huevo. Aumentando la temperatura a 20ºC por minuto hasta los 1000ºC pudiendo terminar el proceso obteniendo restos inorgánicos.

II) MICROSCOPIO ELECTRÓNICO DE BARRIDO (SEM)

Esta técnica se fundamenta en la interacción de un Haz de electrones con el material que se pretende estudiar, este es muy fino, intenso y estable, realiza un rastreo coordinado sobre la zona de interés del material estudiado, originando señales diversas que, convenientemente tratadas, aportan información morfológica, estructural y microanalítica. El microscopio que hemos utilizado es el JEOL 7001F Cañon de electrones: 0.1-30kV, FEG de cátodo caliente imagen digital.

233 
Triops cancriformis. Cómo sobrevivir al cambio climático

CERTAMEN JÓVENES INVESTIGADORES

/ Ciencias de la Tierra y de la Vida

Durante varias sesiones pudimos observar la estructura externa e interna del huevo a tamaños de 1 micra, además de la composición atómica de las diferentes partes de su estructura.

ANÁLISIS DE RESULTADOS

A) RESULTADOS DEL ANÁLISIS TÉRMICO

En la primera prueba que hicimos, hasta 500ºC, pudimos observar como el huevo pierde agua hasta los 60ºC, pero sigue manteniendo su estructura intacta hasta los 200ºC, conservando un 90% de la masa. A partir de esta temperatura la estructura empieza a romperse reduciendo su masa y empieza la combustión de toda la materia orgánica hasta llegar a los 500ºC, pero aún queda más de un 30% de la masa, por lo que decidimos hacer otra prueba hasta los 1000ºC.

Hicimos una segunda prueba para observar los efectos de la temperatura hasta los 1000ºC, vimos de nuevo los dos puntos clave, hasta los 60ºC donde termina el proceso de la pérdida de agua, y hasta los 200ºC donde empieza a romperse la estructura del huevo, a quemarse la materia orgánica y, por tanto, a perder masa. Este proceso continúa hasta los 700ºC, donde finalmente se quema toda la materia orgánica y tan solo quedan los residuos inorgánicos, los cuales corresponden a un 20% de la masa total.

32º
234 
Huevo partido visto al microscopio electrónico de barrido SCIC UJI Estructura y grosor del huevo visto desde el microscopio electrónico de barrido SCIC UJI

Triops cancriformis. Cómo sobrevivir al cambio climático

B) RESULTADOS DEL MICROSCOPIO ELECTRÓNICO DE BARRIDO (SEM)

I) CORTE TRANSVERSAL DEL HUEVO

Observamos un huevo fresco fracturado por la mitad para poder apreciar su composición, aunque con una forma en su interior no habitual, ya que debería de estar completamente lleno.

Realmente, solo serían necesarios tres espectros correspondientes a las capas que forman el huevo. El primero corresponde a la superficie de una capa porosa que corresponde a su vez a la superficie del huevo y está compuesto en su mayoría por carbono, nitrógeno y oxígeno con un espesor de 37.875 micras. El segundo, al interior de la capa porosa, la cual deja pasar el agua y permitir así que eclosione el huevo, formadas por carbono y oxígeno, y que mide 6.5 micras. El tercer espectro corresponde a una capa parecida a una membrana que separa el interior y la capa porosa formada también por carbono y oxígeno que mide 1.31 micras. El cuarto espectro corresponde al interior del huevo y el quinto sería el mismo que el tercero.

235 

II) ESTRUCTURA Y GROSOR DE LA CÁSCARA

El huevo posee 3 capas, y con esta prueba averiguamos que las dos capas internas poseen solo Carbono y Oxígeno, pensamos que esto podría corresponder a moléculas de oxalato, ya que es una sustancia que suelen producir algunos invertebrados al mudar. La capa más externa está formada por Carbono, Oxígeno y Nitrógeno, esto indica que podría tratarse de una molécula llamada Quitina o una variedad, el quitosano, ambas muy frecuentes en el exoesqueleto de los crustáceos.

Esta estructura en 3 capas le ofrece al huevo resistencia estructural en el interior y permeabilidad, porosidad y adherencia en el exterior.

CONCLUSIONES

El Triops cancriformis ha sobrevivido a lo largo del tiempo gracias a las cualidades de su huevo, debido a la triple capa que le otorga resistencia a altas temperaturas e impermeabilidad. Creemos que la temperatura máxima que se alcanzó en el Triásico en algunas zonas del planeta no sobrepasó los 60ºC. Imitar la composición del huevo de Triops podría ser útil para la sociedad actual.

32º
236 
CERTAMEN JÓVENES
INVESTIGADORES / Ciencias de la Tierra y de la Vida

Triops cancriformis. Cómo sobrevivir al cambio climático

OBJETIVOS DE DESARROLLO SOSTENIBLE

Nuestro proyecto cumple varios de los diecisiete objetivos de sostenibilidad propuestos por la ONU para el 2030. Concretamente el 9, relacionado con la vida de los ecosistemas terrestres, porque ayuda a la conservación del Triops cancriformis y el 13 porque si imitamos la estructura del huevo de Triops, fabricaremos un material para conservar alimentos o para la construcción, esto se relaciona con el clima y la innovación, bases de los objetivos 9 y 13 del desarrollo sostenible para el 2030.

A) PUESTA EN LIBERTAD

¿Qué vamos a hacer con los Triops criados en el laboratorio y sus miles de huevos?

Los ejemplares de Triops cancriformis que hemos criado en cautividad, junto a los miles de huevos que estos han puesto, serán puestos en libertad en unas charcas temporales de Sueras, un pueblo de la provincia de Castellón, donde el año pasado se reintrodujo el gallipato. Ambas especies son compatibles y están catalogadas como vulnerables por eso creemos que es la mejor forma de garantizar su supervivencia.

B) FABRICACIÓN DE UN NUEVO MATERIAL

Con la composición que hemos observado, nuestra idea era recrear este compuesto, por lo tanto, decidimos crear el material con la cáscara de la gamba debido a que está compuesta por quitina; esta cáscara la teníamos que mezclar con un material para hacer un conglomerado y decidimos hacerlo con serrín de pino. Primeramente, separamos las cáscaras de las gambas, las limpiamos y una vez secas las trituramos. Con todo preparado, mezclamos 60 gramos de cáscara junto con 60 gramos de serrín. Por otra parte, mezclamos 125g de cola con el mismo volumen de agua y lo fuimos echando poco a poco a la mezcla. Conseguimos una pasta que finalmente repartimos en unas bandejas para dejarla secar.

237 

32º CERTAMEN JÓVENES INVESTIGADORES / Ciencias de la Tierra y de la Vida

Cómo los materiales utilizados son biodegradables o reciclados favorecemos al medio ambiente evitando la contaminación. El resultado no fue tan bueno como esperábamos, necesitábamos mejorar el triturado y prensado.

Actualmente, estamos llevando a cabo otro proyecto que trata a fondo la fabricación de este material basado en la cáscara del huevo de Triops. Y es que, creemos que podemos conseguir un material muy beneficioso y útil que nos podría servir para la construcción.

Estamos fabricando un composite vitrocerámico formado por dos capas, una con carbonato cálcico obtenido de la cáscara de huevo de gallina (que sustituye al oxalato), y otra con quitina obtenida de la cáscara de gamba.

AGRADECIMIENTOS

• Juan Carda, catedrático de la cátedra de innovación cerámica de la UJI de Castellón.

• Jaime González, del grupo de química del estado sólido de la UJI

• Al equipo de técnicos del SCIC de la UJI (Javier Gómez, Cristina Zahonero y Lourdes Chiva)

• Toni Pradillo, técnico de la Consellería de Medio Ambiente, centro el Palmar de Valencia.

• Vicente Marco, veterinario del oceanográfico de Valencia.

• A nuestro tutor Sisco Marco, por toda la ayuda y paciencia que ha tenido con nosotras.

238 

BIBLIOGRAFÍA

Son,M.,Koshelev,A.Polishchuk,IandDumenkoy, V.(2017).Experimentalhatching of restingeggs of largeBranchiopodafromtemporaryponds in thesteppeBiosphere Reserve «Askania Nova» (Ukraine). Lauterbornia 84:103-107.

García, J., Sala, J. y Alonso, M. (2015). Clase Branchiopoda, Orden Notostraca. Revista IDE@ – SEA, 71: 1-10. Recuperado de http://www.seaentomologia.org/IDE@/revista_71.pdf

Masó, A. y Boix, D. (2013). Un fósil viviente en nuestra fauna. Mètode, 78:14-21. Recuperado de https://metode.es/revistas-metode/article-revistes/un-fosil-viviente-en-nuestra-fauna.html

Palmerín,J.,Quiles,J.yBueno,P.(2011).Tortugueta.Triopscancriformis. Fichas técnicas de sanidad vegetal Nº 081. Consejería de Agricultura, Desarrollo Rural, Medio Ambiente y Energía. Gobierno de Extremadura.

Sancho, V.yLacomba,I.(2010).Conservaciónyrestauracióndepuntosdeagua para la biodiversidad. Colección manuales técnicos de biodiversidad, 2. Generalitat, Conselleria de mediAmbient, Aigua, Urbanisme y Habitatge.

Ramírez, M, Rodríguez, A, Alfonso, L, Peniche, C (2010). La quitina y sus derivados, biopolímeros con potencialidades de aplicación agrícola. Biotecnología aplica-da; 27: 262-269 La Habana, Cuba

Gómez, A. (2008). Extreme survivor: The 300 millionyearsold living fossil. PlanetEarth,Winter 2008: 10-11

Pérez-Bote,J.,Muñoz,A.,García,J.,Rodríguez,S.yRomero,A.(2008). Distribución y abundancia de los huevos de resistencia de TriopscancriformismauritanicusGhigi,1921yBranchipuscortesiAlonso&Jaume,1991(Crustacea, Branchiopoda) en una laguna temporal del suroeste de la península Ibérica. Limnetica, 27 (1): 57-64.

Moller, O., Olesen, J. y Hoeg, J. (2003). SEM studies on the early larval development of Triops cancriformis (Bosc)(Crustacea: Branchiopoda, Notostraca). Acta Zoo-logica (Stockholm), 84: 267-284.

https://cicy.repositorioinstitucional.mx/jspui/bitstream/1003/868/1/PMP_M_ Tesis_2017_Men dez_Alpuche_Alejandro.pdf

239 
Triops cancriformis. Cómo sobrevivir al cambio climático

/ SEGUNDO PREMIO

AUTOR | JON CONESA OCHOA

COORDINADOR | JUAN ANTONIO FERNÁNDEZ-ARÉVALO FERNÁNDEZ

CENTRO | COLEGIO MONTSERRAT

CIUDAD | BARCELONA

RESUMEN |

Un exceso de colesterol en las arterias puede ser muy dañino para el organismo. Es por eso que varios científicos como Akira Endo, Joseph L. Goldstein o Michael Stuart Brown estudiaron la síntesis y la regulación del colesterol. Sus descubrimientos mostraron enzimas claves en la regulación y la homeostasis de los niveles de colesterol.

En esta investigación, se ha combinado ese conocimiento teórico sobre la regulación del colesterol y la biofísica computacional con el objetivo de encontrar nuevos fármacos que reduzcan los niveles de colesterol LDL en sangre (causante de muchas enfermedades cardiovasculares).

El resultado ha sido el análisis (mediante herramientas biocomputacionales) de más de 36.000 moléculas, algunas de las cuales podrían ser potencialmente más eficientes que las estatinas (los fármacos más utilizados contra el colesterol hoy en día). Además, se ha desarrollado un nuevo programa computacional que permite a todo el mundo acceder a herramientas biocomputacionales de una manera más accesible, fácil e intuitiva.

La biofísica computacional en el descubrimiento de nuevos fármacos para reducir los niveles de colesterol LDL
 PREMIO ALAN TURING DE LA SOCIEDAD CIENTÍFICA INFORMÁTICA DE ESPAÑA Y LA CONFERENCIA DE DECANOS Y DIRECTORES DE INGENIERÍA INFORMÁTICA DE ESPAÑA CIENCIAS DE LA TIERRA Y DE LA VIDA 240

ABSTRACT |

An excess of cholesterol in the arteries can be very harmful to the body. That is why several scientists such as Akira Endo, Joseph L. Goldstein, or Michael Stuart Brown studied the synthesis and regulation of cholesterol. Their discoveries showed key enzymes in the regulation and homeostasis of cholesterol levels.

In this research, the theoretical knowledge of cholesterol regulation and computational biophysics has been combined to find new drugs that reduce the levels of LDL cholesterol in the blood (the cause of many cardiovascular diseases).

The result has been the analysis (using biocomputing tools) of more than 36,000 molecules, some of which could potentially be more efficient than statins (the most widely used drugs against LDL cholesterol nowadays). In addition, a new computer program has been developed to allow everyone access to biocomputational tools in a more accessible, easy, and intuitive way.

CIENCIAS DE LA TIERRA Y DE LA VIDA 241 

CERTAMEN JÓVENES INVESTIGADORES / Ciencias de la Tierra y de la Vida

1. INTRODUCCIÓN

1.1. OBJETIVOS Y PREGUNTA DE INVESTIGACIÓN

El objetivo de este trabajo es descubrir nuevos fármacos que combatan el alto colesterol sérico a través de un exhaustivo análisis computacional. Akira Endo descubrió los primeros fármacos contra el colesterol sérico llamados estatinas (Endo, 2004). Sin embargo, al ser el año 1971, Endo no disponía de ningún método digital y tuvo que probar un total de 6000 sustancias, producidas por varios hongos similares al Penicillium, con el objetivo de inhibir la HMG-CoA reductasa.

Por lo tanto, basándonos en lo mencionado podemos extraer el siguiente objetivo de esta investigación: A través de un análisis computacional encontrar un candidato mejor que los medicamentos actuales contra el colesterol sérico.

2. FUNDAMENTO TEÓRICO (ANTECEDENTES)

2.1. LA SÍNTESIS DEL COLESTEROL

El colesterol es un lípido presente en todas las células de nuestro cuerpo. No obstante, cuando lo ingerimos, viaja por la sangre en forma de lipoproteína de baja densidad (colesterol LDL) y, cuando se acumula, puede llegar a obstruir una arteria. A su vez, esto puede provocar un infarto de miocardio, una angina de pecho u otras enfermedades cardiovasculares (Keys, 1975).

Para el descubrimiento de un fármaco contra el colesterol sérico, fue necesario conocer sus reglas de regulación y el proceso de su síntesis. Para reducir el colesterol sérico, no es posible eliminar todo el colesterol de la dieta, puesto que este es esencial para la vida humana. El colesterol está presente en las membranas celulares y limita su permeabilidad y flexibilidad. Se sitúa entre los fosfolípidos de la membrana y permite la fluidez característica de esta estructura celular. Además, el colesterol es el precursor de cinco clases de hormonas esenciales para la regulación corporal (por ejemplo, el cortisol y las hormonas sexuales) (Berg, Tymoczko, & Stryer, 2002a).

El descubrimiento de la síntesis del colesterol se atribuye a los científicos Konrad Bloch y Feodor Lynen (K. Bloch, 1965), galardonados con el premio nobel de medicina en el año 1964. Independientemente, ambos descubrieron el proceso de más de treinta reacciones químicas para obtenerlo. El colesterol se sintetiza gracias a las llamadas rutas metabólicas. Estas consisten en un conjunto de reacciones químicas que transforman una molécula X en otra molécula Y. Las reacciones químicas están condicionadas por las enzimas, proteínas que aceleran el proceso y que transforman las sustancias intermedias.

En el caso del colesterol, las moléculas precursoras se llaman Acetil CoA y Acetoacetil CoA (Konrad Bloch & Rittenberg, 1942). Estas dos moléculas, gracias a

242 
32º

La biofísica computacional en el descubrimiento de nuevos fármacos para reducir los niveles de colesterol LDL

la enzima HMG-CoA Sintetasa, se unen para formar la 3-hidroxi-3-metilglutaril-coenzima A. Seguidamente, debido a la acción de la enzima 3-hidroxi- 3-metilglutaril-coenzima A reductasa se forma el mevalonato. A partir de allí, se producen una serie de reacciones en cadena que acaban formando el colesterol.

Ilustración 1

Ruta metabólica del colesterol. (Elaboración propia)

La enzima 3-hidroxi-3-metilglutaril-coenzima A reductasa es clave para el control de la síntesis del colesterol. Es la que determina la producción de colesterol mediante la regulación de retroalimentación (Schoenheimer & Breusch, 1933).

La retroalimentación es una de las leyes generales de la regulación de los procesos metabólicos del cuerpo. Consiste en que el producto final de una ruta metabólica inhibe la producción de una enzima que participa en la síntesis del producto final. En este caso, el colesterol inhibe la producción de la reductasa. Es por eso que, si hay cantidades elevadas de colesterol, se detendrá la producción del mismo. Esto ocurre porque el colesterol inhibirá la síntesis de la reductasa que, a su vez, frenará su ruta metabólica (Brown & Goldstein, 1980). De hecho, en un experimento se observó que cuando se alimentaba a ratones con una dieta alta en colesterol, su síntesis se reducía (Schoenheimer & Breusch, 1933).

Si no hay cantidades elevadas de colesterol, la reductasa no será inhibida y, por tanto, se retomará su síntesis.

Este proceso es un claro ejemplo de la sabiduría del cuerpo y la homeóstasis descrita por Walter Cannon, un ilustre fisiólogo estadounidense (Cannon,

243 

CERTAMEN JÓVENES INVESTIGADORES / Ciencias de la Tierra y

1940). Es muy importante entender esta regulación, ya que permitirá la selección de una molécula diana.

2.2. LA IMPORTANCIA DE LOS RECEPTORES LDL

El colesterol no es soluble ni en agua ni en la sangre y debe ser transportado mediante lipoproteínas que sí que lo son. Estas se clasifican según su densidad (Feingold & Grunfeld, 2018). Hay lipoproteínas de alta densidad y lipoproteínas de baja densidad. Los dos tipos transportan colesterol u otras sustancias por el cuerpo. No obstante, sus efectos y funciones son muy diferentes. Las lipoproteínas HDL recogen el colesterol acumulado en las paredes y lo transportan al hígado. Allí, gracias a los receptores LDL, se descomponen en colesterol (Goldstein, Joseph L., et al., 1977; Joseph L. Goldstein, 2009).

Mientras que las lipoproteínas de alta densidad disminuyen la placa arterial, las lipoproteínas de baja densidad provocan el efecto contrario; incrementan la placa arterial. Se acumulan en las paredes arteriales y provocan los problemas de los que advirtió Ancel Keys.

Una vez explicada la función y la estructura básica de una lipoproteína, la clave para eliminar el colesterol sérico es entender el mecanismo que realiza nuestro cuerpo para eliminarlo. Y este mecanismo lo descubrieron Joseph Leonard Goldstein y Michael Stuart Brown. Goldstein y Brown descubrieron, a través de una serie de experimentos, un nuevo componente en la regulación del colesterol: los receptores LDL (Joseph L. Goldstein, 2009). En las membranas celulares (mayoritariamente en las células hepáticas y otros tejidos), hay receptores que extraen lipoproteínas LDL de nuestros vasos sanguíneos.

La función principal de los receptores LDL es descomponer el colesterol sérico que llega en forma de lipoproteína LDL y asimilarlo en el interior de la célula. El receptor reconoce la apolipoproteína que envuelve el núcleo hidrofóbico de colesterol e internaliza la lipoproteína mediante endocitosis. Esta acción comporta la formación de una bicapa lipídica que separa la lipoproteína del medio

32º
244 
de la Vida Ilustración 2 Estructura de una lipoproteína. (Elaboración propia)

La biofísica computacional en el descubrimiento de nuevos fármacos para reducir los niveles de colesterol LDL

celular. Seguidamente y mediante un proceso de hidrólisis en el que participa una estructura celular llamada lisosoma, se degrada la lipoproteína en colesterol y otras sustancias como aminoácidos (Feingold & Grunfeld, 2018). Esta liberación de colesterol en el interior de la célula produce el decrecimiento de la actividad de la HMG CoA reductasa y, consecuentemente, el decrecimiento de la producción celular de colesterol.

Ilustración 3

Endocitosis de las lipoproteínas. (Elaboración propia)

Sin embargo, el número de receptores LDL está regulado por el colesterol mismo. Este es otro inteligente mecanismo homeostático de nuestro cuerpo que mantiene los niveles de colesterol celular estables. Si la célula dispone de suficiente colesterol en su interior, inhibirá los receptores LDL. Su número será ampliamente reducido y no dejará que estos sigan extrayendo colesterol de la sangre.

Si, por el contrario, la célula no dispone de suficiente colesterol en su interior, dejará que el número de receptores LDL aumente. Estos seguirán extrayendo colesterol de la sangre e incrementando así los niveles de colesterol celular. Pero, ¿por qué no quiere tener la célula más colesterol en su interior? Porque un exceso de colesterol forma cristales sólidos que pueden llegar a matar a la célula. Es por eso que la regulación del colesterol está tan bien controlada.

2.3. DEFINIENDO UNA MOLÉCULA DIANA

Después de haber explicado detalladamente estas regulaciones, ya se puede comprender por qué las dietas con un alto contenido en colesterol causan enfermedades cardíacas. Como los premios nobel Michael S. Brown y Joseph L. Goldstein explicaron en su artículo “The SREBP Pathway” (Brown & Goldstein, 1997; C. Martini, 2007), las dietas altas en colesterol, además de reducir la síntesis del colesterol celular, también reducen la captación de colesterol mediante la disminución de los receptores de lipoproteínas de baja densidad, causando así la acumulación de partículas en el flujo sanguíneo.

Ahora que se ha identificado el problema, el siguiente paso es definir una molécula diana en la que centrar los análisis computacionales. Hay un requisito que

245 

CERTAMEN JÓVENES

INVESTIGADORES / Ciencias de la Tierra y de la Vida

debe cumplir cualquier proteína diana; su inhibición debe aumentar significativamente el número de receptores LDL. Cualquier molécula que detenga o altere el ciclo del colesterol pero que no tenga como resultado final el aumento del número de receptores LDL, no se considerará como una molécula diana válida.

Una vez aclarado esto, la principal molécula a considerar es la enzima HMGCoA reductasa. Inhibidores como la mevastatina o la lovastatina que inhiben esta enzima probaron ser altamente eficaces. Además, en el artículo “The SREBP Pathway”, Goldstein y Brown afirman que los medicamentos más eficientes contra el colesterol sérico son los inhibidores de la HMG-CoA reductasa.

Los inhibidores de la HMG-CoA reductasa bloquean la síntesis del colesterol, reduciendo la cantidad de colesterol en el hígado y, por tanto, incrementando la producción de receptores LDL. La HMG-CoA reductasa va a ser la principal proteína con la que se van a realizar los análisis computacionales.

2.4. HIPÓTESIS Y OBJETIVOS DE LA INVESTIGACIÓN

Por lo tanto, como se ha explicado en el apartado anterior, la hipótesis de este trabajo es que la inhibición de la HMG-CoA reductasa disminuirá la producción de colesterol celular y los niveles de colesterol LDL . El objetivo, por tanto, es encontrar un fármaco que inhiba la HMG-CoA reductasa.

3. INVESTIGACIÓN EXPERIMENTAL DEL PROYECTO (MÉTODOS)

3.1. PREPARACIÓN DE LA PROTEÍNA DIANA

Antes de iniciar los análisis computacionales se deben preparar los archivos necesarios.

En primer lugar, se debe escoger un modelo 3D de la proteína diana (HMGCoA reductasa). Para esto se ha recurrido a un recurso online abierto llamado UNIPROT (Universal Protein Resource). Como se ve en la tabla inferior, hay muchos modelos disponibles y se ha hecho una criba para seleccionar el mejor candidato. En primer lugar, se han descartado todos los modelos cuyas posiciones sean de 441 aminoácidos a 875, dado que se quiere un mayor número de aminoácidos (de 426 aminoácidos a 888). Un mayor número de aminoácidos implica disponer de la enzima entera cuando se realicen las simulaciones y, consecuentemente, más precisión.

32º
246 

Ilustración 4

La biofísica computacional en el descubrimiento de nuevos fármacos para reducir los niveles de colesterol LDL

De los modelos restantes, se ha hecho una segunda criba según la resolución, el número de ligandos y el número de cofactores del modelo. El resultado ha sido el modelo 1DQ8 porque tiene una resolución alta, un elevado número de ligandos y cofactores y porque tiene el mayor número posible de aminoácidos (426-888). Se quiere una resolución más alta para aumentar la precisión y un número elevado de ligandos naturales de la HMG-CoA reductasa para averiguar la posición natural de inhibición de la reductasa (ese será el sitio donde se realizarán los análisis computacionales).

El código del modelo se ha buscado en el Protein Data Bank de Europa, donde cualquiera puede descargar el respectivo archivo .pdb. Seguidamente, y a través de un conjunto de operaciones con el programa AutoDockTools (Trott & Olson, 2010), se ha transformado el modelo en un nuevo archivo .pdbqt (requerido por el software computacional). Para concluir con la preparación de la proteína, se ha utilizado el programa UCSF Chimera para delimitar el espacio de la simulación. Para ello se ha seleccionado el lugar donde se sitúan los ligandos naturales de la HMG-CoA reductasa.

247 
Lista de modelos 3D de la HMG-CoA reductasa. (Elaboración propia) Tabla 1
PDB ENTRY RESOLUTION (Å) POSITIONS Nº BOUND LIGANDS Nº COFACTOR 1DQA 2 426-888 1 2 1DQ8 2,10 426-888 2 1 1HW8 2,10 426-888 2 0 1HWL 2,10 426-888 2 0 1HWK 2,22 426-888 2 0
Selección del modelo 3D escogido.

Ilustración 5

Las coordenadas de los ligandos naturales de la reductasa. (Elaboración propia)

Ilustración 6

Fotografía del modelo 3D de la HMG-CoA reductasa y las coordenadas de sus ligandos naturales. (Elaboración propia)

3.2 PREPARACIÓN DE LOS LIGANDOS

Para obtener los ligandos a simular, se ha utilizado la base de datos ZINC 15 (de acceso público). De nuevo ha sido necesaria una criba de los ligandos debido a su gran número. Esta selección se ha realizado con el único objetivo de reducir el número de ligandos (se pueden observar los criterios utilizados en la imagen inferior).

Ilustración 7

Criterios utilizados en la criba de la base de datos ZINC 15. (Elaboración propia)

248 
32º
CERTAMEN JÓVENES INVESTIGADORES / Ciencias de la Tierra y de la Vida

La biofísica computacional en el descubrimiento de nuevos fármacos para reducir los niveles de colesterol LDL

A continuación, se ha descomprimido el archivo proporcionado por ZINC 15 en formato .pdbqt. El problema es que para la computación es necesario que cada ligando esté en su propio archivo .pdbqt. Para realizar dicha tarea, normalmente se utiliza una herramienta llamada vina_split. Sin embargo, al ser un archivo tan grande puede contener varios errores y resulta imposible solucionarlos manualmente. Es por eso que se ha utilizado un programa de python (de invención propia) para remediar este problema.

Finalmente, se ha usado AutoDock Vina (Trott & Olson, 2010) para realizar los análisis biofísicos, es decir, para saber cual de los ligandos inhibe o encaja mejor en la HMG-CoA reductasa. Sin embargo, Autodock Vina no es capaz de simular varios ligandos en una sola simulación. Para solucionar eso se ha utilizado el comando:

Ilustración 8

Comando utilizado en las simulaciones. (Elaboración propia))

Donde ./Ligands/ es la carpeta donde se ubican todos los archivos .pdbqt de los ligandos; donde “exhaustiveness” es el esfuerzo que se dedica a cada ligando; y donde “center_x”, “center_y”, “center_z”, “size_x”, “size_y” y “size_z” son los valores obtenidos de UCSF Chimera en el apartado 3.1. Además, este comando tiene la funcionalidad de crear un archivo llamado temp.txt donde se almacenan todos los resultados de cada una de las simulaciones. Y así concluye la preparación de la simulación. Para finalizar, se ejecuta el comando y se espera a que los cálculos finalicen. Todos estos pasos en la preparación para el análisis se pueden automatizar gracias a Easy Autodock Vina (ir a https://github.com/ Jon-Conesa/Easy-Autodock-Vina).

Ilustración 9

Simulaciones biofísicas. (Elaboración propia)

4. RESULTADOS

4.1. RESULTADOS DEL VIRTUAL SCREENING

En el primer análisis computacional utilizando Autodock Vina se analizaron más de 36000 moléculas o posibles fármacos.

249 

CERTAMEN JÓVENES INVESTIGADORES / Ciencias de la Tierra y de la Vida

Se obtuvieron muchos fármacos que tienen poca afinidad (-7, -6, etc.). Es por eso que se ha realizado un segundo análisis más exhaustivo con los 200 ligandos con mayor afinidad. Se ha seguido el mismo procedimiento explicado en el apartado 3.1.2, pero aumentando el valor de la exhaustividad a 30.

4.2. RESULTADOS DEL SEGUNDO ANÁLISIS MÁS EXHAUSTIVO

En este segundo análisis computacional utilizando Autodock Vina se han simulado los 200 ligandos con mayor afinidad del primer virtual screening. Se obtuvieron valores similares al primer análisis. No obstante, hay algunos valores que han cambiado. Debemos resaltar que el ligando EEEARM.xaa_ligand_0339.log varió de -9.4 (kcal/mol) a -10.3 (kcal/mol). Como este segundo análisis ha sido más exhaustivo prevalecerá el último valor.

Se debe recalcar que este cambio es una rareza en los resultados. De los 200 ligandos solo 45 ligandos han variado y solo con una media de ±0.153.

En este análisis se han obtenido afinidades bastante altas. Cabe destacar el ligando EFEARM.xaa_ligand_1597.log con una afinidad de -10.5 kcal/mol y el ligando EHEBRN.xaa_ligand_0447.log con una afinidad de -10.4 kcal/mol.

4.3. ANÁLISIS COMPUTACIONAL DE LAS ESTATINAS

Se ha realizado también un análisis computacional de los medicamentos actuales más efectivos y populares. Para ello se ha utilizado el mismo método que en el segundo análisis. Los modelos 3D se han obtenido del Biochemical and Biophysical Systems Group. Cada archivo .pdbqt tiene diferentes modelos del fármaco por lo que los resultados que se muestran a continuación son la media de las afinidades obtenidas en cada una de las simulaciones de los diferentes modelos.

La afinidad de las estatinas obtenida es mucho menor a la de la molécula con afinidad más alta que se ha encontrado. De hecho, 3.165 kcal/mol menos que la molécula encontrada (si lo comparamos con la media de afinidad de las estatinas). Así que, en teoría, el fármaco encontrado sería más efectivo que los fármacos actuales en el mercado.

5. CONCLUSIÓN

En este proyecto se han analizado más de 36.000 moléculas o fármacos y se han encontrado varios compuestos con una afinidad a la HMG-CoA reductasa extremadamente alta.

En los resultados del segundo análisis destacan los dos primeros fármacos con más afinidad. La primera molécula se llama 3,4-dihydroxybenzaldehyde (6-methyl-5H- [1,2,4]triazino[5,6-b]indol-3-yl)hydrazone (o

32º
250 
ZINC32608650

La biofísica computacional en el descubrimiento de nuevos fármacos para reducir los niveles de colesterol LDL

en la base de datos de ZINC 15) y tiene un afinidad de -10.5 kcal/mol con la HMG-CoA reductasa (la afinidad más alta de las 36000 moléculas simuladas). Además, esta sustancia todavía no se ha utilizado en ningún ensayo clínico. Su estructura se puede observar en la imagen inferior.

La segunda molécula se llama 10-(Anilinomethylene)-8,8-dimethyl-2H,8Hpyrano[2,3-f]chromene-2,9(10H)-dione (o ZINC13467969) y tiene una afinidad de -10.4 kcal/mol con la HMG-CoA reductasa. Tampoco se ha detectado que la sustancia esté siendo utilizado en ningún ensayo clínico y su estructura se puede observar en la imagen inferior.

Ilustración 10

ZINC32608650

Ilustración 11

ZINC13467969

Aunque este proyecto no tiene los recursos para iniciar un ensayo clínico y comprobar la efectividad de estos compuestos en un laboratorio, podrían tener un futuro prometedor. Especialmente si consideramos que, de acuerdo con los análisis computacionales, los compuestos encontrados podrían ser más efectivos que las estatinas.

Asimismo, estas herramientas de simulación podrían mejorar sustancialmente investigaciones sobre enfermedades raras. Normalmente, estas investigaciones no tienen mucho presupuesto (puesto que las enfermedades raras no afectan a mucha gente), pero gracias a estas herramientas podrían encontrar fármacos para curarlas sin un gran gasto económico.

La biofísica computacional tiene un gran futuro tanto en la medicina como en la empresa farmacéutica. Herramientas de acceso público y gratuitas como ZINC 15, UCSF Chimera o Autodock Vina no solo reducen el presupuesto de investigaciones como esta (que no ha tenido apenas coste económico), sino que también acercan complejas simulaciones biofísicas a cualquier usuario que esté dispuesto a aprender a utilizarlas.

251 

CERTAMEN JÓVENES INVESTIGADORES / Ciencias de la Tierra y de la Vida

De hecho, en este trabajo de investigación se ha desarrollado un software informático para que cualquier usuario pueda realizar precisamente esto. Easy Autodock Vina (de invención propia) optimiza el proceso de computación para que sea más rápido en su preparación y más fácil.

Y no solamente para encontrar fármacos contra el colesterol sérico, sino para cualquier enfermedad. Las estatinas son uno de los fármacos más vendidos a nivel mundial y, sin embargo, se han encontrado componentes que superan a las estatinas en afinidad.

En cuanto al objetivo de investigación: “A través de un análisis computacional encontrar un candidato mejor a los medicamentos actuales contra el colesterol sérico”, no se duda en afirmar que, al menos a nivel computacional, esto se ha conseguido. Se han obtenido fármacos con una afinidad mucho mayor (-10.5 kcal/mol) que la de las estatinas (-7.33458153 kcal/mol como media).

En definitiva, en este proyecto se ha abarcado desde los intrincados componentes de la regulación del colesterol hasta la biofísica computacional, se ha desarrollado software informático (Easy Autodock Vina) que acerca las computaciones biofísicas a todo el mundo, y se han encontrado varios componentes que, en un futuro, podrían ayudar a reducir los niveles de colesterol sérico de muchas personas.

252 
32º

BIBLIOGRAFÍA Y WEBGRAFÍA

Berg, J. M., Tymoczko, J. L., & Stryer, L. (2002a). “Important Derivatives of Cholesterol Include Bile Salts and Steroid Hormones”. En Biochemistry. 5th edition. W H Freeman.

Bloch, K. (1965). “The Biological Synthesis of Cholesterol”. En Science (Vol. 150, Issue 3692, pp. 19–28). https://doi.org/10.1126/science.150.3692.19

Bloch, K., & Rittenberg, D. (1942). “ON THE UTILIZATION OF ACETIC ACID FOR CHOLESTEROL FORMATION”. The Journal of Biological Chemistry, 145(2), 625–636., www.jbc.org/content/145/2/625.short.

Brown, M. S., & Goldstein, J. L. (1980). “Multivalent feedback regulation of HMG CoA reductase, a control mechanism coordinating isoprenoid synthesis and cell growth”. Journal of Lipid Research, 21(5), 505–517., www. ncbi.nlm.nih.gov/pubmed/6995544.

Brown, M. S., & Goldstein, J. L. (1997). “The SREBP pathway: regulation of cholesterol metabolism by proteolysis of a membrane-bound transcription factor”. Cell, 89(3), 331–340. doi:10.1016/s0092-8674(00)80213-5.

Brown, Theodore M., and Elizabeth Fee (2002, Oct.). “Walter Bradford Cannon: Pioneer Physiologist of Human Emotions”. American Journal of Public Health, © American Journal of Public Health 2002. www.ncbi.nlm.nih. gov/pmc/articles/PMC1447286/.

Cannon, W. B. (1940). “The wisdom of the body”. En The Journal of Nervous and Mental Disease (Vol. 92, Issue 2, p. 262). doi:10.1097/00005053-194008000-00051.

Carroll, Sean B (2017). “The Serengeti Rules: the Quest to Discover How Life Works and Why It Matters”. Princeton University Press, Princeton.

Endo, A. (2004). “The discovery and development of HMG-CoA reductase inhibitors”. En Atherosclerosis Supplements (Vol. 5, Issue 3, pp. 67–80). https:// doi.org/10.1016/j.atherosclerosissup.2004.08.026

Endo, Akira (2010). “A Historical Perspective on the Discovery of Statins”. Procede de Japan Academy, (Series B, vol. 86, no. 5, 2010, pp. 484–493). doi:10.2183/pjab.86.484.

Feingold, K. R., & Grunfeld, C. (2018, Feb.). “Introduction to Lipids and Lipoproteins”. En Endotext [Internet]. MDText.com, Inc. www.ncbi.nlm.nih. gov/books/NBK305896/

Goldstein, Joseph L., et al. “Genetics of the LDL Receptor: Evidence That the Mutations Affecting Binding and Internalization Are Allelic”. Cell, vol. 12, no. 3, 1977, pp. 629–641., doi:10.1016/0092-8674(77)90263-x.

Goldstein, Joseph L., and Michael S. Brown (2009). “The LDL Receptor”. Arteriosclerosis, Thrombosis, and Vascular Biology (vol. 29, no. 4, pp. 431–438). doi:10.1161/atvbaha.108.179564.

253 
La biofísica computacional en el descubrimiento de nuevos fármacos para reducir los niveles de colesterol LDL

JÓVENES INVESTIGADORES

Goldstein, Joseph L., et al (2006). “Protein Sensors for Membrane Sterols”. Cell, (vol. 124, no. 1, 2006, pp. 35–46). doi:10.1016/j.cell.2005.12.022.

Horton, Jay D., et al (2002). “SREBPs: Activators of the Complete Program of Cholesterol and Fatty Acid Synthesis in the Liver”. Journal of Clinical Investigation, (vol. 109, no. 9, pp. 1125–1131). doi:10.1172/jci0215593.

Hua, X., et al (1993). “SREBP-2, a Second Basic-Helix-Loop-Helix-Leucine Zipper Protein That Stimulates Transcription by Binding to a Sterol Regulatory Element”. Procede de National Academy of Sciences, (vol. 90, no. 24, pp. 11603–11607). doi:10.1073/pnas.90.24.11603.

Keys, Ancel (1975). “Coronary Heart Disease — The Global Picture. Atherosclerosis”, (vol. 22, no. 2, pp. 149–192). doi:10.1016/0021-9150(75)90001-5.

Kresge, Nicole, et al (2009, Jun.). “Biotin-Dependent Enzymes: the Work of Feodor Lynen.” The Journal of Biological Chemistry, American Society for Biochemistry and Molecular Biology. www.ncbi.nlm.nih.gov/pmc/articles/ PMC2708905/.

Lund, et al (1991, Jun.). “P G Elmberger.” Journal of Lipid Research, www.jlr.org/ content/32/6/935.

Mahley, Robert W (2016). “Apolipoprotein E: from Cardiovascular Disease to Neurodegenerative Disorders.” Journal of Molecular Medicine, (vol. 94, no. 7, pp. 739–746). doi:10.1007/s00109-016-1427-y.

Martini, C., and V. Pallottini (2007). “Cholesterol: from Feeding to Gene Regulation.” Genes; Nutrition, (vol. 2, no. 2, pp. 181–193). doi:10.1007/s12263007-0049-y.

“The Nobel Prize in Physiology or Medicine 1985.” NobelPrize.org , www.nobelprize.org/prizes/medicine/1985/summary/

Schmidt, Konrad, et al (2016). “Structure, Function, and Genetics of Lipoprotein (a).” Journal of Lipid Research, (vol. 57, no. 8, pp. 1339–1359). doi:10.1194/ jlr.r067314.

Schoenheimer, Rudolf, and Fritz Breusch (1993, Dec.). “SYNTHESIS AND DESTRUCTION OF CHOLESTEROL IN THE ORGANISM.” Journal of Biological Chemistry, www.jbc.org/content/103/2/439.citation.

Shi, Lei, and Benjamin P Tu (2015). “Acetyl-CoA and the Regulation of Metabolism: Mechanisms and Consequences.” Current Opinion in Cell Biology, (vol. 33, 2015, pp. 125–131). doi:10.1016/j.ceb.2015.02.003.

Trott, Oleg, and Arthur J. Olson (2009). “AutoDock Vina: Improving the Speed and Accuracy of Docking with a New Scoring Function, Efficient Optimization, and Multithreading.” Journal of Computational Chemistry. doi:10.1002/jcc.21334.

Vergnes, Laurent, et al (2015). “SREBP-2-Deficient and Hypomorphic Mice Reveal Roles for SREBP-2 in Embryonic Development and SREBP-1c Expres-

32º
254 
CERTAMEN
/ Ciencias de la Tierra y de la Vida

La biofísica computacional en el descubrimiento de nuevos fármacos para reducir los niveles de colesterol LDL sion.” Journal of Lipid Research, (vol. 57, no. 3, pp. 410–421). doi:10.1194/ jlr.m064022.

Willis, R. A., et al (1990). “Lovastatin Decreases Coenzyme Q Levels in Rats.” Procede de National Academy of Sciences, (vol. 87, no. 22, 1990, pp. 8928–8930). doi:10.1073/pnas.87.22.8928.

Yokoyama, Chieko, et al (1993). “SREBP-1, a Basic-Helix-Loop-Helix-Leucine Zipper Protein That Controls Transcription of the Low Density Lipoprotein Receptor Gene.” Cell, (vol. 75, no. 1, pp. 187–197). doi:10.1016/s00928674(05)80095-9

255 

/ SEGUNDO PREMIO Y ESTANCIA CSIC

AUTORA | IRENE RUBIO MADRID

COORDINADORAS | ANA ROSA ZORRILLA NAVARRETE Y MARÍA TERESA VELASCO SANZ

CENTRO | IES MARGARITA SALAS

CIUDAD | MAJADAHONDA MADRID

RESUMEN |

Las actinoporinas son un tipo de citolisinas secretadas por anémonas marinas para cazar y defenderse. Estas proteínas tóxicas forman poros en las membranas celulares que contienen esfingomielina. En este proyecto se estudian las características morfológicas, estructurales y funcionales de la esticolisina II (StnII wt), una actinoporina que produce la anémona Stichodactyla helianthus, y su mutante, la esticolisina II T42C (StnII T42C), para comprobar que el cambio introducido en la mutante no altera ninguna de las características originales. Los resultados muestran que la mutante conserva las propiedades estructurales y funcionales de la salvaje, incrementando incluso su eficacia. Se propone su aplicación como herramientas biotecnológicas y biomédicas utilizadas para combatir plagas, aprovechando la alta especificidad de las toxinas y sus dianas, como sondas moleculares para el marcaje celular, para la regulación y modulación de la actividad celular en tratamientos de enfermedades relacionadas con la desregulación de canales metabólicos, para facilitar la acción de la quimioterapia en tratamientos contra el cáncer o, aprovechando su potencial inmunotóxico, para el desarrollo de nuevas inmunoterapias.

Proteínas tóxicas. Estudio de las características estructurales y funcionales de la Esticolisina II y su mutante
 CIENCIAS DE LA TIERRA Y DE LA VIDA 256

ABSTRACT |

Actinoporins are a class of cytolysins produced by sea anemones for preying and defense. These proteins are pore-forming-toxins on sphingomyelin cell membranes. The current project studies the morphological, structural, and functional characteristics of the SticholysinII, produced by the Stichodactyla Helianthus anemone, and the mutant, the SticholysinII T42C to test whether changes do not alter the original characteristics. The results show that the mutant protein does preserve the structural and functional characteristics of the original actinoporin and even increases its efficiency. Further use of actinoporins as biotechnological and biomedical tools are suggested, such as using the high specificity between toxins and cells for combating plagues, as a molecular probe to cell marking, for cell activity regulation and modulation in treatments related to metabolic pathways regulations diseases, to promote chemotherapy efficacy or using its immunotoxic potential for the development of new immunotherapies.

CIENCIAS DE LA TIERRA Y DE LA VIDA 257 

CERTAMEN JÓVENES

INVESTIGADORES / Ciencias de la Tierra y de la Vida

1. INTRODUCCIÓN

Muchos organismos, para defenderse o para alimentarse, producen un tipo de proteínas que forman poros en las membranas celulares de otros organismos. A estas proteínas se las conoce como citolisinas, PFP (Pore-Forming Proteins) o PFT (Pore-Forming Toxins) y se caracterizan por ser capaces de adquirir una conformación monomérica soluble y otra oligomérica unida a la membrana. Las actinoporinas son un tipo de citolisinas producidas por anémonas marinas (Canga Pérez, 2015; Rivera-de-Torre, 2015). Su toxicidad se explica porque sufren una metamorfosis molecular que les permite integrarse en la membrana de las células y formar poros en ellas, produciendo así la muerte celular por choque osmótico. A la familia de actinoporinas pertenecen la equinatoxina II (EqtII) de Actinia equina, fragaceatoxina (FraC) de Actinia fragacea y la esticolisina I y II (StnI y StnII) de Stichodactyla helianthus (Rojko et al., 2016).

Las actinoporinas constituyen un amplio grupo de α-PFT que se almacenan en los nematocistos de las anémonas y se liberan cuando la presa o el depredador entra en contacto con los tentáculos. Son α-PFT porque la formación del poro es provocada por la inserción en la membrana celular de un fragmento con conformación hélice α (Rivera-de-Torre, 2015). Tienen una gran identidad de secuencia y aparecen como familias multigénicas, lo que les permite crear variantes ligeramente distintas de estas proteínas (Rivera-de-Torre et al., 2016). Las actinoporinas están formadas por una cadena polipeptídica de unos 175 aminoácidos que no contiene cisteínas. Su punto isoeléctrico es básico (Rivera-de-Torre, Martínez-del-Pozo & Garb, 2018).

Todas las actinoporinas tienen una estructura similar (Fig. 1), con un sándwich β compuesto por unas 10-12 hebras β en el centro de la proteína, y que está flanqueado por una hélice ∝ a cada lado. La hélice del extremo N-terminal comprende los primeros 30 residuos y está precedido por una hélice 310 corta, caracterizada por tener tres restos por vuelta de hélice, más estrecha y larga que la hélice ∝ común. Su carácter anfipático es de gran importancia para la funcionalidad de la proteína y la formación del poro. La agrupación de residuos aromáticos es una región muy importante en la primera parte de la formación del poro, probablemente en la unión con la membrana. En el sitio de unión a fosforilcolina (POC), con una parte hidrófoba y otra hidrofílica, la carga positiva de la colina está estabilizada por interacciones π-catión con los anillos aromáticos de los residuos de tirosina. El grupo fosfato interacciona con los grupos hidroxilo fenólicos de los mismos residuos y probablemente también sea estabilizada por la cadena lateral de la arginina, que está cargada positivamente. Además, se ha demostrado que la arginina 51 (Arg 51) es fundamental en el reconocimiento de las membranas (García-Linares et al., 2015). La última región importante es el conjunto de aminoácidos básicos, implicado en el inicio de la unión a la membrana, por interacciones con regiones cargadas negativamente de las cabezas polares de los fosfolípidos (Rivera-de-Torre, 2015).

32º
258 

Proteínas tóxicas. Estudio de las características estructurales y funcionales de la Esticolisina II y su mutante

Figura 1

Representación

tridimensional de la estructura de la forma monomérica soluble de StnII. En rojo, los 30 primeros residuos que forman parte de la secuencia N-terminal. En azul oscuro, los residuos del sitio de unión a POC. En amarillo, los aminoácidos que componen la agrupación de residuos aromáticos. En verde, aquellos que pertenecen tanto al sitio de unión a POC como a la agrupación de aminoácidos aromáticos. Por último, en naranja se representa la agrupación de aminoácidos básicos. Fuente: Rivera de Torre, E.. Utilización de la ingeniería de proteínas en el estudio molecular del mecanismo de oligomerización de las actinoporinas. (UCM, 2015).

Las actinoporinas presentan un comportamiento particular en la interfase agua-membrana. En solución acuosa permanecen plegadas de forma estable, pero cuando interaccionan con bicapas lipídicas de las membranas plasmáticas, se transforman en proteínas de membrana y forman los poros (Rojko et al., 2015). La célula muere por choque osmótico (García-Linares et al., 2017). Estas membranas deben contener esfingomielina, presentar coexistencia de fases o reunir ambas características. Además, se ha descubierto recientemente que la compactibilidad, la fluidez, la fuerza de la red de los enlaces de hidrógeno en la interfase y la presencia de colesterol también influyen en la formación de los poros (García-Linares et al., 2015; García-Linares, 2017).

La unión de la actinoporina a la membrana (Fig. 2) está suscitada por la agrupación de aminoácidos aromáticos, los aminoácidos básicos y el sitio de unión a POC (M1 de Fig. 2). Después, la hélice ∝ del extremo N-terminal se separa del sándwich, se extiende y se apoya en la superficie de la membrana de forma paralela (M2 de Fig. 2). A continuación, este extremo penetra en la membrana (M3 de Fig. 2) y, casi al mismo tiempo, los monómeros oligomerizan, es decir, varias actinoporinas se unen y atraviesan la membrana, formando un poro (P de Fig. 2), con la participación de los lípidos. Aunque todavía hay varias incógnitas sobre los mecanismos de acción de las actinoporinas, como la estequiometría del poro, el orden en el que tienen lugar los sucesos o la existencia de estructuras preporo (Bakrač and Anderluh, 2010; Rivera-de-Torre, 2015), cabe resaltar que pequeños cambios en las secuencias de las actinoporinas pueden

259 

provocar grandes diferencias en su solubilidad y actividad hemolítica (Rivera-de-Torre, 2015).

Figura 2

Formación de un poro por la StnII. En naranja, la hélice α. En amarillo, el sándwich de la actinoporina. En gris, las cabezas polares y las colas apolares de los lípidos de la membrana celular. En rojo, la esfingomielina. Fuente: https://bit.ly/2P4VSOD

La anémona marina produce las esticolisinas I y II (StnI y StnII). Ambas presentan un elevado grado de identidad (93%), aunque se diferencian ligeramente en su actividad hemolítica: la StnI se une peor a las membranas (García-Linares et al., 2013; Rivera-de-Torre et al., 2017). La razón evolutiva por la que la anémona produce dos toxinas tan similares, pero con una potencia tan distinta se desconoce. Sin embargo, se ha demostrado que la potencia de la actividad hemolítica aumenta considerablemente cuando trabajan conjuntamente (Rivera-de-Torre et al., 2016). Recientemente se ha descubierto otra esticolisina, la StnIII, bastante distinta a las anteriores y menos abundante. La StnIII coopera con la StnI y StnII dando lugar a una mayor toxicidad y estabilidad en la formación del poro (Rivera-de-Torre, Martínez-del-Pozo & Garb, 2018). En este proyecto se estudian la StnII y su mutante, la StnIIT42C.

Conocer el funcionamiento de las actinoporinas y su mecanismo de acción permitirá que se utilicen en nuestro propio beneficio, ya sea en el desarrollo de protección frente a los efectos indeseados producidos por el contacto con estos animales o en el desarrollo de terapias biológicas para diferentes enfermedades. En este último caso, los hallazgos en este campo de estudio permitirían crear nuevas aplicaciones terapéuticas y, además, posibilitarían el estudio de otras toxinas que actúan de forma similar, incluyendo las generadas por los seres humanos. De esta manera, se podría llegar a entender mejor el comportamiento de ciertas proteínas humanas, como las responsables de la apoptosis.

Este proyecto se centra en el estudio de las características estructurales y funcionales de la esticolisina II (StnII wt), y su mutante, la esticolisina II T42C (StnII T42C), producidas de forma heteróloga en bacterias Escherichia coli. Los objetivos de este proyecto son:

• El estudio y la comparación de dos proteínas tóxicas, las actinoporinas StnII wt y su mutante, StnII T42C, para de determinar si el cambio producido en la mutante altera las características estructurales, morfológicas y funcionales de la salvaje.

• La caracterización de la proteína mutante StnII T42C para poder acoplarla a una sonda fluorescente, de tal manera que se pueda hacer un seguimiento de la misma y poder conocer sus efectos en otras células.

32º
260 
CERTAMEN JÓVENES INVESTIGADORES / Ciencias de la Tierra y de la Vida

Proteínas tóxicas. Estudio de las características estructurales y funcionales de la Esticolisina II y su mutante

En este proyecto se plantean las siguientes hipótesis:

• La proteína mutante, la StnII T42C replica las características estructurales y morfológicas de la salvaje, StnII wt, y también sus funciones.

• La proteína mutante es igual de activa en su función hemolítica que la salvaje.

2. MATERIAL Y MÉTODO

MATERIALES

Para estudiar las características de las proteínas esticolisina II (Stn II wt) y su mutante esticolisina II T42C (Stn II T42C) se han realizado tres análisis: dicroísmo circular, electroforesis SDS-PAGE y hemólisis. Se utilizaron los siguientes materiales.

• Para el dicroísmo circular: pHímetro, centrífuga, dicrógrafo, tampón Mops (209,3 g/mol), espectofotómetro, micropipeta, cubeta de cuarzo, NaCl 0,1M, báscula y agitador.

• Para la electroforesis SDS-PAGE: solución de teñido (tinción con Coomassie), solución de desteñido (tinción con Coomassie), tampón de aplicación, equipo de electroforesis, proteína de masa conocida, gel y pipeta Hamilton.

• Para la hemolisis: sangre heparinizada de carnero, centrífuga, tampón (TBS), tubo de centrífuga, placa multipocillos (8x12), pipeta multicanal y lector de placas.

METODOLOGÍA

La síntesis de proteínas se realiza mediante producción heteróloga. Este proceso consiste en la transformación de bacterias Escherichia coli con un plásmido que contiene la secuencia de ADN que codifica la proteína que queremos expresar, así como todas las señales necesarias en el ADN para su transcripción y posterior traducción, utilizando la maquinaria molecular de la bacteria. En la producción de la StnII T42C se cambia la treonina (T, Thr) del lugar 42 en la cadena de aminoácidos por una cisteína (C, Cys), la única que habrá en la cadena polipeptídica.

En este trabajo se han llevado a cabo tres estudios diferentes para poder caracterizar la StnI T42C y compararla con la salvaje. En primer lugar, el dicroísmo circular para determinar la estructura secundaria y terciaria de ambas proteínas. Posteriormente, se llevó a cabo la electroforesis para comparar su masa molecular. Por último, se realizó la hemolisis con el objetivo de verificar si ambas actinoporinas poseen la misma actividad hemolítica, es decir, la rapidez con la que forman los poros en la membrana celular.

261 

CERTAMEN JÓVENES INVESTIGADORES / Ciencias de la Tierra y de la Vida

3. RESULTADOS Y DISCUSIÓN DICROÍSMO CIRCULAR (DC)

En la figura 3 se muestran los resultados del DC en el lejano. En el eje de abscisas se representa la longitud de onda (λ), en nanómetros, y en el eje de ordenadas, la elipticidad molar por residuo ([θ]MRW), medida en grados x cm2 x dmol-1. Se observa que las estructuras secundarias de la StnII wt y la StnII T42C son semejantes. Este tipo de espectro corresponde a una estructura secundaria mayoritaria de tipo lámina β (Fig. 4), que representa el sándwich central que tienen las esticolisinas, tal y como se mostraba en la figura 1. Como la StnII wt y la StnII T42C tienen casi el mismo espectro, significa que ambas poseen la misma estructura secundaria y, por lo tanto, la mutación no ha afectado a la misma.

Resultados del DC en el lejano de la StnII wt, en negro, y de la StnII T42C, en rojo. En el eje de abscisas se representa la longitud de onda (λ), medida en nanómetros, y en el eje de ordenadas la elipticidad molar por residuo ([θ]MRW), medida en grados x cm2 x dmol-1. Fuente: Elaboración propia.

Espectro de las estructuras secundarias de una proteína. El rojo corresponde a la lámina β, el verde a la hélice α, en negro se representa la estructura aperiódica. Fuente: https://tinyurl. com/y4u279kt

En la Figura 5 se muestran los resultados del DC en el próximo. Se aprecia que cualitativamente los espectros de la StnII wt y la StnII T42C son casi idénticos, con las mismas subidas y bajadas, por lo que ambas poseen la misma estructura

32º
262 
Figura 3 Figura 4

Proteínas tóxicas. Estudio de las características estructurales y funcionales de la Esticolisina II y su mutante

terciaria. Es decir, la mutación de la StnII tampoco ha afectado a su estructura terciaria. En el eje de abscisas se representa la longitud de onda (λ) medida en nanómetros y en el eje de ordenadas la elipticidad molar por residuo ([θ] MRW), medida en grados x cm2 x dmol-1.

Resultados del DC en el próximo de la StnII wt, en rojo, y de la StnII T42C, en negro. En el eje de abscisas se representa la longitud de onda (λ), medida en nanómetros y en el eje de ordenadas la elipticidad molar por residuo ([θ]MRW) medida en grados x cm2 x dmol-1. Fuente: Elaboración propia.

ELECTROFORESIS

Los resultados de la electroforesis de la StnII wt y la StnII T42C se muestran en la figura 6. A la izquierda del gel se encuentra la proteína patrón de masa conocida, en el centro, la StnII wt, y a la derecha, la StnII T42C. Se aprecia que tienen la misma movilidad electroforética, lo que significa que tienen la misma masa molecular.

Resultados del DC en Resultado de la electroforesis de la StnII wt y la StnII T42C. Izquierda, una proteína patrón de masa conocida. En el centro, la StnII wt y, a la derecha, la StnII T42C. Fuente: Elaboración propia.

263 
Figura 5 Figura 6

HEMÓLISIS

La acción de la StnII wt y la StnII T42C, a distintas concentraciones, sobre las células sanguíneas de carnero se representan, respectivamente, en las figuras 7 y 8. Se observa que, a mayor concentración de las esticolisinas, se produce un mayor porcentaje de células hemolizadas.

Hemólisis producida por la StnIIwt en eritrocitos de carnero a distintas concentraciones nanomolares. Se representa el porcentaje de hemólisis frente al tiempo. Fuente: Elaboración propia.

Hemólisis producida por la StnII T42C en eritrocitos de carnero a distintas concentraciones nanomolares. Fuente: Elaboración propia.

En la figura 9 se muestra la diferencia entre las velocidades de hemólisis de las proteínas estudiadas. Cabe resaltar que la StnII T42C lisa más rápidamente los eritrocitos. Esto podría ser debido a que la cisteína que se introdujo en la cadena polipeptídica del mutante es un aminoácido con un grupo tiol (-SH), que es un grupo polar que puede interaccionar mejor con la superficie polar de la membrana y, por lo tanto, favorecer la formación del poro. Al interaccionar mejor con las membranas celulares, acabaría formando poros en ellas más rápido. Sin embargo, habría que hacer más pruebas para determinar verdaderamente que la StnIIT42C es más activa que la StnII wt.

32º
264 
CERTAMEN JÓVENES INVESTIGADORES / Ciencias de la Tierra y de la Vida
Figura 7 Figura 8

Figura 9

Comparación de la velocidad de hemólisis de la StnII wt y la StnII T42C. Fuente: Elaboración propia.

4. DISCUSIÓN Y CONCLUSIONES

En este proyecto se ha conseguido sintetizar químicamente la StnII T42C, una forma mutante de la StnII wt y se han podido estudiar ambas, caracterizar la proteína mutante StnII T42C y comparar la estructura y la función de las dos actinoporinas.

De acuerdo con nuestros resultados, se han verificado las hipótesis planteadas: que la actinoporina StnII T42C coincide tanto en la estructura secundaria, tipo lámina β, como en la terciaria con la StnII wt, poseyendo ambas la misma masa molecular, y que las actinoporinas StnII T42C y la StnII wt tienen la misma función y posiblemente la mutante sea más rápida en la formación del poro que la original.

Al haber incorporado una cisteína en la mutante, esta será la única en la cadena polipetídica, por lo que facilitará el seguimiento en el estudio de su interacción con membranas celulares.

Hay muchas futuras líneas de investigación, al igual que múltiples aplicaciones que se derivan de estos resultados. Por una parte, dado que los cnidarios son responsables de más envenenamientos que cualquier otro animal marino (Barish, 2016), el estudio de sus venenos puede servir para desarrollar antídotos que reduzcan los efectos de sus picaduras, picaduras que incluso pueden llegar a provocar la muerte, así como barreras químicas que prevengan los efectos del contacto con los nematocistos.

Por otra parte, el estudio de la toxicidad de las actinoporinas y de sus mecanismos de acción permitirán que las actinoporinas, con las modificaciones adecuadas, puedan usarse como herramientas biotecnológicas y biomédicas (Rivera-de-Torre et al., 2019) para aplicaciones como:

265 
Proteínas tóxicas. Estudio de las características estructurales y funcionales de la Esticolisina II y su mutante

CERTAMEN JÓVENES INVESTIGADORES / Ciencias de la Tierra y de la Vida

• Combatir determinadas plagas mediante el uso de venenos naturales, dada la alta especificidad de las toxinas y sus dianas.

• Utilizarse como sondas moleculares, acopladas a una sonda fluorescente que permita hacer un seguimiento de la actinoporina. Actualmente se emplean para el marcaje de esfingomielina en células vivas, utilizando actinoporinas modificadas de anémonas. Así, podrían detectarse balsas lipídicas ya que, en contra lo que se pensaba, la distribución de los lípidos en la membrana celular no es uniforme, sino que se producen concentraciones en determinadas zonas que hacen que la permeabilidad y la fluidez varíen en esos puntos (Skočaj et al., 2014).

• Regular y modular la actividad de la diana. Por su gran especificidad, podrán usarse como tratamientos novedosos en enfermedades relacionadas con la desregulación de canales metabólicos (Rivera-de-Torre et al., 2019).

• Utilizar el potencial inmunotóxico de estas proteínas para el desarrollo de nuevas inmunoterapias. Las inmunotoxinas son proteínas sintetizadas artificialmente a partir de un anticuerpo y una toxina. El anticuerpo localizaría específicamente la célula tumoral y la toxina la mataría. Gracias a su alta especificidad y su actividad citotóxica, se podrían dirigir contra células cancerígenas y metástasis. De hecho, algunas inmunotoxinas extraídas de anémonas ya han mostrado su potencial en células cancerígenas (Ávila, Mateo Acosta and Lage, 1989).

• Facilitar la acción de la quimioterapia convencional en el tratamiento del cáncer, ya que las actinoporinas aumentan la permeabilidad de la membrana.

Todo esto supone un campo de estudio a largo plazo ya que aún no se conoce completamente el mecanismo de acción de estas proteínas. Además, con las herramientas que poseemos, es difícil dirigir la toxicidad de las actinoporinas contra un determinado tipo celular. Precisamente, la virtud de estas toxinas, atacar a la membrana celular, es también su debilidad.

32º
266 

Proteínas tóxicas. Estudio de las características estructurales y funcionales de la Esticolisina II y su mutante

BIBLIOGRAFÍA

Ávila, A. D., Mateo Acosta, C. De and Lage, A. (1989) ‘A carcinoembryonic antigen-directed immunotoxin built by linking a monoclonal antibody to a hemolytic toxin’, International Journal of Cancer, 43 5, pp. 926–9. doi: 10.1002/ijc.2910430533.

Bakrač, B. and Anderluh, G. (2010) ‘Molecular mechanism of sphingomyelin-specific membrane binding and pore formation by actinoporins’, Advances in Experimental Medicine and Biology, 677, pp. 106–115. doi: 10.1007/978-1-4419-6327-7_9.

Barish, R. A. (2016) Picaduras de Cnidarios (celenterados, como medusas y anémonas de mar), Manual MSD Version Profesionales. Available at: https://msdmnls.co/2Yblhuc (Accessed: 7 February 2019).

Canga Pérez, C. (2015) Cuaderno de Bioquímica. Manual de Biología. Safel. Madrid.

García-Linares, S. et al. (2013) ‘Three-dimensional structure of the actinoporin sticholysin i. influence of long-distance effects on protein function’, Archives of Biochemistry and Biophysics, 532(1), pp. 39–45. doi: 10.1016/j. abb.2013.01.005.

García-Linares, S. et al. (2015) ‘The effect of cholesterol on the long-range network of interactions established among sea anemone sticholysin II residues at the water-membrane interface’, Marine Drugs, 13(4), pp. 1647–1665. doi: 10.3390/md13041647.

García-Linares, S. (2017) Análisis molecular del mecanismo de formación de poros por las actinoporinas. UCM.

García-Linares, S. et al. (2017) ‘The metamorphic transformation of a water-soluble monomeric protein into an oligomeric transmembrane pore’, in Iglic, A., Garcia-Saez, A., and Rappolt, M. (eds) Advances in Biomembranes and Lipid Self-Assembly. Vol.26. 1st edn. New York: Academic Press, pp. 51–97. doi: 10.1016/bs.abl.2017.06.004.

Rivera-de-Torre, E. et al. (2016) ‘Synergistic action of actinoporin isoforms from the same sea anemone species assembled into functionally active heteropores’, Journal of Biological Chemistry, 291(27), pp. 14109–14119. doi: 10.1074/jbc.M115.710491.

Rivera-de-Torre, E. et al. (2017) ‘One single salt bridge explains the different cytolytic activities shown by actinoporins sticholysin I and II from the venom of Stichodactyla helianthus’, Archives of Biochemistry and Biophysics, 639, pp. 79–89. doi: 10.1016/j.abb.2017.11.005.

267 

CERTAMEN JÓVENES INVESTIGADORES / Ciencias de la Tierra y de la Vida

Rivera-de-Torre, E. et al. (2019) ‘Pore-Forming Proteins from Cnidarians and Arachnids as Potential Biotechnological Tools’, Toxins, 11(6), pp. 370–391. doi: 10.3390/toxins11060370.

Rivera-de-Torre, E. (UCM) (2015) Utilización de la ingeniería de proteínas en el estudio molecular del mecanismo de oligomerización de las actinoporinas. UCM.

Rivera-de-Torre, E., Martínez-del-Pozo, Á. and Garb, J. E. (2018) ‘Stichodactyla helianthus’ de novo transcriptome assembly: Discovery of a new actinoporin isoform’, Toxicon, 150, pp. 105–114. doi: 10.1016/j.toxicon.2018.05.014.

Rojko, N. et al. (2015) ‘Properties of Pores Formed by Cholesterol-Dependent Cytolysins and Actinoporins’, in Electrophysiology of Unconventional Channels and Pores. Cham, Switzerland: Springer, Cham, pp. 267–286. doi: 10.1007/978-3-319-20149-8_11.

Rojko, N. et al. (2016) ‘Pore formation by actinoporins, cytolysins from sea anemones’, Biochimica et Biophysica Acta (BBA) - Biomembranes. Elsevier, 1858(3), pp. 446–456. doi: 10.1016/J.BBAMEM.2015.09.007.

Skočaj, M. et al. (2014) ‘Tracking cholesterol/sphingomyelin-rich membrane domains with the ostreolysin A-mCherry protein’, PLoS ONE, 9(3). doi: 10.1371/journal.pone.0092783.

Stampar, S. N. et al. (2016) ‘Ceriantharia in Current Systematics: Life Cycles, Morphology and Genetics’, in Goffredo, S. and Dubinsky, Z. (eds) The Cnidaria, Past, Present and Future. 1st edn. Springer, pp. 61–68. doi: 10.1007/978-3319-31305-4_5.

32º
268 

Con la cabeza en las nubes. Nubes y predicción meteorológica

/ TERCER PREMIO

CENTRO | IES PALAS ATENEA

CIUDAD | TORREJÓN DE ARDOZ-MADRID

RESUMEN |

Las predicciones meteorológicas se fundamentan en complejos métodos científicos basados en redes de estaciones meteorológicas interconectadas, que comparten los datos de sus observaciones a través de sistemas de información. Con este proyecto se ha intentado determinar si es posible hacer predicciones meteorológicas de una manera sencilla, fundamentada en la observación de la nubosidad en un área específica y durante un período prolongado de tiempo, con el apoyo de la toma regular de fotografías, de la anotación de variables meteorológicas y de la observación de la manifestación meteorológica a posteriori. Se ha tratado de establecer una relación entre los datos obtenidos y los mapas de presión válidos de AEMET –donde aparece la evolución real de los frentes meteorológicos- elaborando un patrón que relaciona la evolución nubosa con la transición de un frente meteorológico a través del área de observación.

ABSTRACT |

Weather forecasts are based on complex scientific methods founded on interconnected networks of meteorological stations, which share the data of their observations through information systems. By processing these data accurate weather forecasts can be generated. I have tried to determine if it is possible to make a weather forecast in an easy manner based on the observation of cloudiness. I have established a systematic process of study and observation of cloudiness, in a specific area and for a continued period of time, supported by the regular taking of photographs, the annotation of meteorological variables and the observation of the subsequent meteorological manifestations. I have been able to establish a relationship between the data obtained with the validated pressure maps of the AEMET1 -where the real evolution of the meteorological fronts appears- obtaining a pattern that relates the evolution of cloudiness with the transition of the front through the observation area.

CIENCIAS DE LA TIERRA Y DE LA VIDA 271 
AUTOR | RODRIGO OLIVA LÓPEZ COORDINADORAS | MARÍA VISITACIÓN VACAS SANTIAGO Y MARÍA DOLORES GARCÍA AZORERO 1 Agencia Española de Meteorología

CERTAMEN JÓVENES INVESTIGADORES / Ciencias de la Tierra y de la Vida

1. INTRODUCCIÓN

Con este proyecto se pretende comprobar, en qué medida, la observación de las nubes puede darnos información sobre cuál será la meteorología posterior, en concreto sobre la posibilidad de que se produzcan precipitaciones.

Desde la infancia siempre me ha gustado observar las nubes y recuerdo tardes en la piscina acompañado de mi padre y mi hermano, cuando tumbados en las toallas jugábamos a adivinar las formas que cada nube nos sugería. Recuerdo que, en alguna ocasión, mi padre me comentaba: “¿Ves esa nube que parece un enormerepollo?… pues ya verás cómo va a haber una tormenta esta tarde”. También, cuando íbamos al pueblo algún fin de semana, recuerdo a mi abuelo mirando hacia arriba y haciendo comentarios sobre el tiempo que nos esperaba.

En este sentido, existen multitud de refranes y dichos que hacen referencia a la relación entre lo que se observa en el cielo, las nubes, la luna, o incluso en el comportamiento de los animales y la meteorología que podemos esperar después. Cito, a modo de ejemplo, algunos de ellos: “Cielo empedrado, suelo mojado”, “si el cielo está aborregado, antes de tres días bañado”, “cuando el sol se pone rojo, es que tiene agua en el ojo”, “luna que presenta halo, mañana húmedo o malo”, “avedemarquebuscamadrigueraanunciatempestaddeesta manera”. Aunque la mayoría de los refranes obedecen a la observación de las personas durante generaciones y de cómo relacionan esas observaciones con las manifestaciones en el tiempo, la mayoría seguramente carecen de una base científica. Pero sin duda ninguna, si a algún refrán se le puede atribuir una cierta base científica, podría ser el que dice: “Quién sobre el tiempo desea mentir, le basta con predecir”

De todos modos, con objeto de “mentir lo menos posible”, trataré en este trabajo de obtener algunos patrones y conclusiones, que permitan hacer un pronóstico, lo más fidedigno posible, en base a la observación y el estudio de la nubosidad. El primer reto con este trabajo es identificar el género de la nube – que se observa (bien directamente, bien en una fotografía a posteriori).

El segundo reto importante es definir con precisión el oportuno método experimental, sobre todo porque ha de fijarse cuando todavía no se tiene el suficiente conocimiento sobre la materia. De hecho, conforme he ido profundizando en la materia y ha ido avanzando el tiempo, ha sido necesario refinarlo para ajustarse mejor a la consecución de los objetivos.

1.1. MARCO TEÓRICO

1.1.1.

LAS NUBES

1.1.1.1.

Composición de las nubes

Las nubes realmente son concentraciones de gotas de agua y cristales de hielo (o ambas a la vez) en suspensión en una masa de aire. En la atmósfera, partículas microscópicas sólidas (polvo, polen, ceniza, arena, etc), ejercen de núcleos

32º
272 

Con la cabeza en las nubes. Nubes y predicción meteorológica de condensación debido a su afinidad por el agua, facilitando la adhesión de las moléculas de vapor a su superficie y la posterior condensación si la temperatura es lo suficientemente baja. Si se mantienen las condiciones, el agua continuará su proceso de acreción1 a los núcleos de condensación aumentando su volumen y formando gotas de agua cada vez mayores. Dependiendo de la temperatura, estas gotas de agua pueden cristalizarse en hielo. Estas gotas de agua y/o cristales de hielo, suspendidos en la atmósfera, los podemos visualizar formando lo que conocemos como nubes.

1.1.1.2. Clasificación de las nubes y características

En la actualidad, se acepta internacionalmente una clasificación de las nubes, basada en la evolución de la establecida en el siglo XIX por el londinense Luke Howard, cuya última revisión corresponde al año 2017, a cargo de la Organización Meteorológica Mundial (OMM) y publicada online en el Nuevo Atlas Internacional de las Nubes2

Esta clasificación está basada, fundamentalmente, en la apariencia de las nubes y en el nivel atmosférico en el que se sitúan. Atendiendo a estos criterios se establece una clasificación formada por “géneros”, “especies” y “variedades”.

Existen diez géneros y una nube solo puede pertenecer a uno de ellos, de modo que son excluyentes entre sí. Con respecto a la apariencia hay tres grupos: los cúmulos (cumulus) que tienen forma de acumulación o montón; los estratos (stratus) en forma de lámina o capa; y los cirros (cirrus) que recuerdan a penachos de pelos o plumas. En cuanto al nivel atmosférico en el que se sitúan se distinguen: nubes bajas, situadas entre la superficie terrestre y una altura máxima aproximada de 2000-3000 metros; nubes medias, entre 2000-3000 y los 6000-7000 metros según latitud, que utilizan el prefijo “Alto-” (por ejemplo, altocúmulo, que atendiendo a lo dicho, es una nube situada a nivel medio y con forma de cúmulo o montón); y nubes altas, desde los 6000-7000 hasta los 14000-15000 metros (dependiendo de la latitud), que utilizan el prefijo “Cirro-” (por ejemplo, cirrostrato, que hace referencia a una nube alta en forma de lámina o capa). (Ver Figuras 1 a 10).

Es posible establecer una relación entre el género de nube presente en el cielo y el momento en el que la transición de un frente nuboso se encuentra, permitiendo pronosticar a corto plazo, los fenómenos nubosos o de precipitación posteriores. 1 Según la

273 
2. HIPÓTESIS DE TRABAJO Y OBJETIVOS DE LA INVESTIGACIÓN 2.1. HIPÓTESIS DE TRABAJO RAE, crecimiento por adición de materia. 2 https://cloudatlas.wmo.int/home.html

CERTAMEN JÓVENES INVESTIGADORES / Ciencias de la Tierra y de la Vida

2.2. OBJETIVOS

El objetivo general es establecer un proceso sistemático de estudio y observación de la manifestación nubosa, en una zona concreta y por un periodo prolongado de tiempo, que permita establecer una relación entre la tipología de la nubosidad observada y la meteorología posterior manifestada, permitiendo extraer patrones que permitan realizar una predicción meteorológica basada en la observación de las nubes.

Además, se fijan como objetivos secundarios: determinar el grado de fiabilidad de un pronóstico meteorológico basado en la observación de las nubes y estimar el periodo de validez de esta predicción.

3. MATERIALES Y MÉTODOS

3.1.1. FASES DE ESTUDIO

En una primera fase del proyecto, se ha recopilado y estudiado toda la teoría necesaria para poder desarrollar este trabajo. De acuerdo con las instrucciones del departamento y el calendario de curso disponible, la fase práctica de este proyecto se ha realizado desde el 10 de octubre de 2018, hasta el 19 de febrero de 2019, durante 132 días en las estaciones de otoño e invierno.

3.1.2. DESCRIPCIÓN DEL MÉTODO Y LAS TABLAS DE DATOS EMPLEADAS

El método utilizado para verificar la hipótesis ha consistido en estudiar la fenomenología nubosa asociada al paso de los sistemas frontales. Se ha tratado de identificar y registrar la sucesión de nubes que un paso frontal va produciendo a su paso por la zona de observación, durante los días y horas previas a su llegada. De esta manera, del análisis sucesivo de los diferentes sistemas frontales, documentados durante un amplio periodo de observación, ha permitido deducir si es posible establecer patrones repetidos, en cuanto a la sucesión de géneros de nubes observadas precediendo el paso del frente y a las precipitaciones.

Durante este periodo se han realizado, diariamente, un mínimo de dos observaciones del cielo, registrándolo fotográficamente y se ha recopilado una serie de información y material, cuyo formato, contenido y utilidad para la investigación se describen a continuación.

En este documento, condicionado por el tamaño del formato, no se incluyen Anexos con los datos meteorológicos obtenidos.

32º
274 

Con la cabeza en las nubes. Nubes y predicción meteorológica

3.1.3. LIMITACIONES DEL MÉTODO

El método tiene algunas limitaciones y condicionantes que son convenientes señalar.

La nubosidad asociada a un frente evoluciona, según la velocidad del viento, durante el día y la noche. Un condicionante bastante significativo a la hora de documentar fotográficamente un sistema frontal, es la imposibilidad de hacerlo por la noche, ya que generalmente las nubes no son visibles. Del mismo modo, durante el día, la presencia de niebla o estratos bajos impiden visibilizar y fotografiar otras nubes de tipo medio o alto que serían relevantes para dicha documentación.

Otra dificultad ha sido que, al ser necesario realizar fotografías en momentos donde mi condición de alumno no me lo permitía por estar en clase, he necesitado la colaboración de otras personas, en concreto mis padres, quienes realizaban las capturas por mí.

La temporalidad de la parte experimental también ha constituido una limitación. Quizá para poder realizar una investigación más precisa hubiera sido necesario realizar observaciones que abarcaran todas las estaciones del año y probablemente, durante varios años. Evidentemente, ese objetivo queda fuera de la posibilidad de este trabajo. La observación ha comprendido las estaciones meteorológicas de otoño e invierno, quedando por tanto fuera observaciones meteorológicas características de las otras estaciones, como por ejemplo la observación de cumulonimbos, que solo ha podido documentarse fotográficamente una vez, o la formación de tormentas típicas de primavera y verano en estas altitudes.

Otro condicionante ha sido la debilitación del frente en su paso por la zona de observación. Generalmente, los sistemas frontales que afectan a la Península Ibérica se originan en el Océano Atlántico y la recorren en dirección Oeste-Este. Al mismo tiempo que la cruzan se debilitan progresivamente. Por este motivo, en el centro peninsular, que es la zona de observación de este proyecto, la fenomenología que acompaña a los frentes es más débil, comparada con la que se puede observar, por ejemplo, en Galicia o Portugal. La consecuencia es que la nubosidad observada puede ser menos significativa para el establecimiento de relaciones entre la observación y la meteorología.

4. RESULTADOS

El análisis se realiza estudiando cada género de nube, extrayendo su estadística y obteniendo conclusiones sobre su fiabilidad para pronosticar el paso de un frente atmosférico.

275 

CERTAMEN JÓVENES INVESTIGADORES

/ Ciencias de la Tierra y de la Vida

Al objeto de poner en relación, de una manera gráfica, todos los resultados obtenidos en el análisis estadístico, se muestra una tabla con los géneros que han resultado útiles para realizar predicción meteorológica, consignando en ella sólo los datos más significativos (Ver figura 11).

5. CONCLUSIONES

Conforme a lo expuesto en este trabajo parece evidente que la meteorología actual es una ciencia avanzada, capaz de predecir con casi absoluta certeza el movimiento de los sistemas frontales. Esto ha quedado de manifiesto durante la fase práctica, donde se ha evidenciado, con el seguimiento de los mapas frontales, que las predicciones de paso de un frente se han cumplido con gran exactitud. Otra cosa distinta es pronosticar la lluvia en una zona concreta. En este aspecto la exactitud ya no es la misma, ya que el paso frontal no conlleva lluvia necesariamente en todo su recorrido. Es por tanto de esperar que, usando un método menos científico, como la observación de las nubes, los resultados sean menos precisos.

Conforme a lo que se pretendía en el objetivo principal, se ha demostrado en el análisis de resultados que se puede identificar un patrón en la secuencia de nubes que se producen con ocasión del paso un frente meteorológico. La secuencia nubosa comienza con nubes altas (cirros o cirrostratos) que anticipan el frente, siguiendo de nubes de tipo medio (altoestratos o altocúmulos) que confirman la proximidad del mismo, y finalmente, la aparición de nubes de precipitación (cumulonimbos, nimboestratos) en el momento de su paso (ver Figura 12).

El análisis ha permitido identificar qué géneros de nubes son los más significativos para realizar predicción meteorológica (cirrostratos, altocúmulos y altoestratos), cuales no son adecuados al poder ser observados con parecida probabilidad formando, o no, parte de un frente nuboso (cúmulos y estratocúmulos) y otros que necesitan de conocimiento de la evolución nubosa (anterior en el caso de los estratos y posterior en caso de los cirros) o la distinción de otros factores como la formación por acción humana (cirros homogenitus).

Conforme a lo visto en el análisis de resultados, el altoestrato ha sido el género de nube más destacado para realizar una predicción meteorológica, ya que el 97% de las veces que se observaron se registró lluvia con posterioridad, en una media de 9,5 horas tras su paso.

Otros géneros, como los nimboestratos y los cumulonimbos, al ser nubes de precipitación, simplemente confirman la presencia del frente, pero no son útiles para realizar predicción.

En cuanto a los objetivos secundarios se pretendía comprobar el grado de fiabilidad de un pronóstico meteorológico basado en la observación de las nubes y

32º
276 

Con la cabeza en las nubes. Nubes y predicción meteorológica

estimar el periodo de validez de esta predicción. Puede comprobarse que, una vez identificado correctamente el patrón de la evolución nubosa, la fiabilidad de este método es muy elevada, ya que el frente es indiscutible, otra cosa distinta es que finalmente se produzca la lluvia en la zona concreta de la observación.

Respecto al periodo de validez de esta predicción, toda esta fenomenología nubosa asociada al frente ha sucedido, generalmente, durante las 48 horas previas a su paso por la zona de observación. Por lo que cualquier pronóstico meteorológico queda limitado a un periodo máximo de dos días.

Por lo tanto, es posible mediante la observación de la evolución nubosa, identificar que un sistema frontal se está aproximando o cruzando la zona de observación y, por el género de nube observado, identificar en qué momento del frente nos encontramos, permitiendo aventurar, con cierto margen de error en las horas, la posibilidad de precipitaciones.

Teniendo en cuenta el análisis de los resultados obtenidos y las conclusiones precedentes, podemos centrarnos en la hipótesis de trabajo propuesta: “es posible establecer una relación entre el género de nube presente en el cielo y el momento en el que la transición de un frente nuboso se encuentra, permitiendo pronosticar a corto plazo, los fenómenos nubosos o de precipitación posteriores.” para analizar si puede confirmarse de manera inequívoca o es necesario precisarla o incluso reformularla, para ajustarla a los resultados empíricos y su análisis, concluyendo finalmente que:

“Es posible establecer una relación, entre la evolución nubosa a muy corto plazo y el momento en el que la transición de un frente nuboso se encuentra, permitiendo pronosticar con bastante certeza, a corto plazo, los fenómenos nubosos posteriores y la probabilidad de precipitación”.

6. AGRADECIMIENTOS

Quiero destacar la acertada guía y los sabios consejos recibidos por parte de mis dos profesoras, María Dolores García y María Visitación Vacas, coordinadoras de este proyecto. Asimismo, tengo que dar las gracias a mis padres, que han tenido que colaborar diariamente en la toma de fotografías y datos cuando, por mi condición de alumno, no podía hacerlo por estar en clase.

Por otro lado, quiero mencionar a los trabajadores de la estación meteorológica de la Base Aérea del Ejército del Aire en Torrejón de Ardoz, que visité con mi padre en diciembre, puesto que nos atendieron muy pacientemente, mostrándonos todos los instrumentos utilizados para elaborar las predicciones meteorológicas y brindándonos toda la información a su alcance.

277 

32º CERTAMEN JÓVENES INVESTIGADORES / Ciencias de la Tierra y de la Vida

278 
Figura 1 Cirros (Ci).Torrejón de Ardoz (TA). 25/12/18 (17:12 HL). Figura 2 Cirrostrato (Cs). Madrid. 13/11/2018 (10:19 HL). Figura 3 Cirrocúmulo (Cc). T.A.. 11/11/2018 (12:35 HL).

Con la cabeza en las nubes. Nubes y predicción meteorológica

Altoestrato (As). T.A.. 22/11/2018 (16:31 HL).

Altocumulos (Ac). T.A.. 29/11/2018 (15:52 HL).

Nimboestrato (Ns) con lluvia. T.A. 13/12/2018 (08:12 HL).

279 
Figura 4 Figura 5 Figura 6

32º CERTAMEN JÓVENES INVESTIGADORES / Ciencias de la Tierra y de la Vida

280 
Figura 7 Estrato (St). Torrejón de Ardoz. 15/12/2018 (16:53 HL) . Figura 8 Cúmulo (Cu). Torrejón de Ardoz. 21/01/2019 (15:03 HL) Figura 9 Estratocúmulo (Sc). T.A.. 11/11/2018 (16:00 HL)

Con la cabeza en las nubes. Nubes y predicción meteorológica

Cumulonimbo (Cb). Fuente: Atlas Internacional de las Nubes (WMO. 2017). Disponible en https:// cloudatlas.wmo.int/ cumulonimbus-cb.html

[Consulta: 4 de enero de 2019]

Secuencia característica de nubes asociadas a un frente nuboso. Se observa la aparición de cirros que cubren progresivamente el cielo (A, B), altoestratos (C), estratos (D), nimboestratos con presencia de lluvia (E) y finalmente tras el paso del sistema frontal, estratocúmulos y cúmulos en un cielo mixto (F).

281 
Figura 10 Figura 11 Tabla resumen del análisis estadístico. Figura 12
ESTADÍSTICA MEDIA ARITMÉTICA (Μ) (HORAS) MAYOR ANTELACIÓN (HORAS) FIABILIDAD PREDICCIÓN Cirros (Ci) 23,54 48 Media Cirrostratos (Cs) 30,33 40 Alta Altocúmulos (Ac) 15,78 31 Muy alta Altoestratos (As) 9,6 33 Excelente Estratos (St) 8,5 24 Media

CERTAMEN JÓVENES INVESTIGADORES / Ciencias de la Tierra y de la Vida

BIBLIOGRAFÍA Y WEBGRAFÍA

Agencia Española de Meteorología: Mapas con frentes. Disponible en http:// www.aemet.es/es/eltiempo/prediccion/mapa_frentes. [Consulta: 15 de diciembre de 2018].

British Broadcasting Corporation (2015): The birth of the weather forecast. Disponible en https://www.bbc.com/news/magazine-32483678. [Consulta: 20 de noviembre de 2018].

Gallego J.A. y Quirantes J.A. (2008): Atlas de Nubes y Meteoros. Santa & Cole.

Inzunza J.C. (2012): Meteorologíadescriptiva. Chile, Universitaria S.A.

La Cumbre Blog (2016): “¿Cómo se forman las nubes?”. La cumbre. 27 de mayo de 2016. Disponible en https://www.lacumbreonline.cl/blog/consejos/como-se-forman-las-nubes/ [Consulta: 27 de diciembre de 2018].

Maldonado. J.A. (2009): “Cómo se realizan las predicciones”. Blog de José A. Maldonado. 9 de enero de 2009. Disponible en https://maldonado.eltiempo.es/como-se-realizan-las-predicciones/. [Consulta: 15 de diciembre de 2018].

Martin F. y Quirantes J.A. (2004): Observación e identificación de las nubes desde la Superficie Terrestre. España. Ministerio de Educación y Ciencia.

METEOSAT: Radar por Provincias. Disponible en https://www.meteosat.com/ tiempo/radar/

Portillo G. (2018): “Luke Howard y la clasificación de las nubes”. Meteorologíaenred. 19 de julio de 2018. Disponible en https://www.meteorologiaenred. com/luke-howard.html. [Consulta: 15 de diciembre de 2018].

Sánchez. M. (2017): “Instrumentos meteorológicos y su función”. Meteorología en red. 1 mayo de 2017. Disponible en https://www.meteorologiaenred. com/los-instrumentos-meteorologicos-y-su-funcion.html. [Consulta: 20 de noviembre de 2018].

TuTiempo.net: Frentes. Disponible en https://www.tutiempo.net/meteorologia/frentes.html. [Consulta: 3 de febrero de 2019]

Weatherquestions.com (2011): How are weather forecasts made? Disponible en http://www.weatherquestions.com/How_are_weather_forecasts_made. htm. [Consulta: 26 de noviembre de 2018].

32º
282 

/ TERCER PREMIO

AUTORA | MARINA SOLANO BARA

COORDINADORA | BLANCA FONTANA ELBOJ

CENTRO | IES LUCAS MALLADA

CIUDAD | HUESCA

RESUMEN |

El propósito de este trabajo es determinar si las semillas de soja pueden adaptar su crecimiento a condiciones microgravitatorias, teniendo grandes repercusiones en la exploración espacial. La pregunta de investigación que se responde es: ¿En qué medida el crecimiento de la raíz primaria de semillas de soja (Glycine max) se ve alterado durante los 2,5 primeros días de germinación en condiciones de microgravedad simulada con un clinostato programado a 1, 5, 10 y 20 rpm?

El crecimiento vegetal está controlado por hormonas afectadas por la gravedad. Esta gravedad hace que, en las raíces, unos orgánulos sedimenten y promuevan el crecimiento en dirección positiva al vector gravedad. Un clinostato es usado para modificar el valor absoluto de gravedad al que se someten las semillas durante su crecimiento. Cuando este se programa para rotar a mayores revoluciones por minuto, el valor absoluto de la gravedad disminuye. Seis tratamientos de datos se llevaron a cabo: cuatro clinorrotados y dos control, uno de ellos rotado 90º a las 36 horas. Con estos seis tratamientos, junto a la bibliografía, se obtienen los datos necesarios para establecer que el crecimiento vegetal se ve favorecido por condiciones microgravitatorias. Parece alcanzar un máximo cuando la velocidad angular del clinostato es de 10rpm. Pero las plantas sometidas a microgravedad necesitan superar un período de adaptación en el que su tasa de crecimiento es menor que el de las plantas control. En cuanto lo superan, el crecimiento bajo microgravedad es significativamente mayor que bajo condiciones terrestres.

Crecimiento de raíces de soja bajo condiciones de microgravedad.
¿En qué medida el crecimiento de la raíz primaria de Glycine max se ve alterada por la microgravedad simulada por un clinostato?
 CIENCIAS DE LA TIERRA Y DE LA VIDA 284

ABSTRACT |

The goal of this project is to determine if soybean seeds can adapt their growth to microgravitational conditions, having great repercussions on space exploration. The research question answered is: To what extent is the growth of the primary roots of soybean (Glycine max) altered during the first 2,5 days of germination under conditions of simulated microgravity with a clinostat programmed at 1, 5, 10 and 20rpm?

Plant growth is controlled by hormones affected by gravity. This gravity causes some organelles to sediment in the roots and to promote growth in the positive direction of the gravity vector. A clinostat is used to modify the absolute value of gravity to which the seeds are subjected to during growth. When the clinostat is programmed to revolve at higher revolutions per minute, the absolute value of gravity decreases. Six data treatments where studied: four clinorrotated and two control, one of these rotated 90º at the end of the first 36 hours. With these treatments, and along with the bibliography, the data needed to establish that plant growth is stimulated under microgravity conditions is obtained. It seems to reach a peak when the angular velocity of the clinostat is 10rpm. But plants under microgravity need to get over a period of adaptation in which their growth rate is lower than that of the control specimens. When they get over it, growth under microgravity is significantly higher than that under terrestrial conditions.

CIENCIAS DE LA TIERRA Y DE LA VIDA 285 

CERTAMEN JÓVENES INVESTIGADORES / Ciencias de la Tierra y de la Vida

1. INTRODUCCIÓN

La biología estudiada hasta la fecha podría denominarse “Biología 1g”, ya que prácticamente todo conocimiento actual sobre seres vivos se ha obtenido del estudio de estos bajo gravedad terrestre, o 1g. No podremos hablar de leyes universales de la biología hasta que no conozcamos cómo se comportan los sistemas vivos en distintas partes del universo. Aunque parezca extraño, ¿cómo podemos afirmar, por ejemplo, que las leyes de la herencia mendeliana son universales y no “terrestres”? Nunca se ha comprobado.

Este trabajo está enfocado a analizar el crecimiento longitudinal y a observar cualitativamente la dirección de crecimiento de raíces primarias de soja (Glycine max), siendo íntegramente sometidas durante la germinación y los estadios iniciales de crecimiento (2-3 días) a microgravedad. Comparar los resultados con muestras de control no sometidas a esta microgravedad simulada permitirá observar las diferencias. Por tanto, se formuló la siguiente pregunta de investigación:

¿En qué medida el crecimiento de la raíz primaria de semillas de soja (Glycine max) se ve alterado durante los 2,5 primeros días de germinación en condiciones de microgravedad simulada con un clinostato programado a 1, 5, 10 y 20 revoluciones por minuto?

1.1. CONTEXTO CIENTÍFICO

Generalmente, el crecimiento vegetal es indiferenciado, es decir, se da gracias a unas células que se dividen indefinidamente en regiones llamadas meristemos. El meristemo primario o apical es aquel que encontramos en las puntas de tallos y raíces, siendo estas últimas el objeto de esta investigación. El proceso de división de las células está controlado por hormonas que influyen tanto en la tasa, como en la dirección de crecimiento de las células. Dos factores externos influyen principalmente en la dirección de crecimiento: la luz y la gravedad. Estas respuestas a estímulos externos se conocen como tropismos (Allot, 2015).

El crecimiento en respuesta a la gravedad se denomina gravitropismo, e involucra orgánulos, hormonas y proteínas transportadoras. En la mayor parte de organismos vegetales, unos orgánulos llamados estatolitos sedimentan en la parte inferior de las células de los meristemos por la gravedad y densidad en comparación con el medio. Al sedimentar, presionan el retículo endoplasmático de las células, liberando iones Ca2+ (Chebli & Geitmann, 2011) que activan receptores de membrana para comenzar a producir señales de transducción (Medina & Rodríguez, 2017). Sin embargo, estas señales no se entienden al completo todavía (Dietlein, 2013). En aquellas células en las que se ha liberado calcio y se han comenzado los procesos de redistribución de proteínas PIN (las cuales redistribuyen a su vez auxinas), estas se acumulan. En los meristemos apicales de la raíz, la acumulación de auxinas (hormonas) significa inhibición de crecimiento y, por tanto, curvatura de la raíz hacia abajo (en dirección po-

32º
286 

Crecimiento de raíces de soja bajo condiciones de microgravedad. ¿En qué medida el crecimiento de la raíz primaria de Glycine max se ve alterada por la microgravedad simulada por un clinostato?

sitiva del vector gravedad), ya que las células superiores aumentan en tamaño, pero no las inferiores.

El término microgravedad se emplea en situaciones con valores de gravedad muy pequeños, como en el espacio. Generalmente, conducir experimentos en microgravedad real es inviable por motivos económicos y logísticos. Entonces, para estudios de este tipo se usan clinostatos. Un clinostato uniaxial es un aparato que rota sobre un único eje perpendicular a la dirección del vector gravedad. Este fue el clinostato empleado en la investigación, de fabricación propia, como se ve en la Ilustración 1. Programando el clinostato con software Arduino®, se dejó funcionando y se tomaron los datos pertinentes para la investigación.

Ilustración 1

Clinostato de elaboración propia. 1: eje de rotación horizontal. 2: sustrato agar-agar. 3: semillas de soja dispuestas radialmente al eje de rotación. 4: placa de petri. 5: tapa para evitar la evaporación de agua.

En gravedad normal, los estatolitos caen y sedimentan, favoreciendo el crecimiento de la raíz hacia abajo. En condiciones de ingravidez, los estatolitos no llegan a sedimentar. Haciendo rotar el clinostato a la velocidad adecuada conseguimos que estos no sedimenten, cuando la fuerza centrífuga del giro contrarresta la sedimentación (Asamblea General Naciones Unidas, 2016). Por tanto, con un clinostato se pueden observar fácilmente los efectos de la microgravedad en distintos parámetros vegetales como la tasa de crecimiento de las raíces.

Un estudio iraquí mostró que especies como el trigo obtienen tasas de crecimiento menores al someterse a microgravedad, y estudios keniatas y vietnamitas mostraron que la tasa de crecimiento de especies como Phaseolus aconifolius (frijol makusta) es mayor en las muestras clinorrotadas que en las control (Asamblea General Naciones Unidas, 2016). Otro estudio mostró que la tasa de crecimiento de plántulas de soja es mayor para las muestras clinorrotadas que para las control (Hilaire, 1996). Un último ejemplo es un estudio americano en el que se clinorrotaron 6 plantas autóctonas mesoamericanas. Algunas de estas tuvieron mayores tasas de crecimiento tras ser clinorrotadas, pero otras no (Medina & Rodríguez, 2017).

287 

CERTAMEN JÓVENES

INVESTIGADORES / Ciencias de la Tierra y de la Vida

Por tanto, atendiendo a los estudios anteriores se concluye que se necesita contar con más experimentación en este campo de la biología para ver si las diferencias entre estudios se deben a cuestiones de diseño, toma de datos, adecuación de instalaciones… O si, por otro lado, las conclusiones son fiables en cuanto a que la microgravedad afecta de forma desigual a especies vegetales, haciendo que unas estén mejor preparadas a una adaptación a condiciones extraterrestres que otras.

En este trabajo se espera dar respuesta a si el crecimiento de la raíz de la soja durante los primeros días tras la germinación es viable en condiciones microgravitatorias, habiendo elegido esta especie por su rápida germinación, aporte nutricional, abundancia, precio y características fisiológicas.

2. INVESTIGACIÓN

Basándose en la bibliografía, se espera que las raíces crezcan más a menor valor absoluto de gravedad (al estar sometidas a más microgravedad).

El diseño experimental fue ideado con ayuda de la bibliografía. La velocidad angular a la que se programó el clinostato y, por tanto, el valor de microgravedad generada (variable independiente), se estableció como 1, 5, 10 y 20 rpm, ya que 10rpm es el valor óptimo usado en buena parte de la bibliografía. Esta variable se modificó para comprobar la relación entre velocidad de giro y tasa de crecimiento (variable dependiente).

A partir de la Segunda Ley de Newton se deduce que el valor de la fuerza de empuje hacia afuera a la que se someten las semillas, en función del radio de giro y de la velocidad angular del clinostato es

(Ecuación 1) siendo R la distancia entre las semillas y el eje de rotación,y ω las revoluciones por minuto de cada tratamiento. Para todos R=0,03m. Por tanto:

Se observa que a mayor ω, mayor fuerza centrífuga. Esta fuerza de empuje contrarresta la fuerza gravitatoria, por lo que a mayor ω, conseguimos una microgravedad más cercana al valor ideal, o gravedad 0.

288 
32º
1 3.35x10-5 5 8.38x10-4 10 3.35x10-3 20 1.34x10-2
Ω (REVOLUCIONES POR MINUTO) FRACCIÓN DE G
Tabla 1
Cálculos a partir de Ecuación 1.

Crecimiento de raíces de soja bajo condiciones de microgravedad. ¿En qué medida el crecimiento de la raíz primaria de Glycine max se ve alterada por la microgravedad simulada por un clinostato?

2.1 METODOLOGÍA

Construir cuatro clinostatos, cada uno con un motor paso a paso 42shd003420b, y controlados con software Arduino®.

Ilustración 2

Forma en la que se conectó el motor a la placa base Arduino®. Extraído de https:// www.youtube.com/ watch?v=0ujm g5qcbso g5qcbso

Para cada clinostato colocar una placa de Petri de 9 centímetros de diámetro, semi llenada con sustrato agar-agar de concentración 1,7g/100mL, con material adhesivo en el eje de rotación. Esta mezcla ha debido hervir y dejar enfriar hasta el punto justo anterior a la solidificación.

Colocar 8 semillas de soja (sumergidas previamente en agua en torno a 2 horas) radialmente a 3,0cm del eje de la placa. Preparar 6 placas iguales, 4 para los clinostatos que rotan a distintas velocidades, 1 placa control, es decir, dejada en situación vertical y sin ser movida ni rotada, y 1 última para dejar en posición vertical y rotar 90º transcurridas 36 horas, para la observación cualitativa del gravitropismo. Repetir este paso 3 veces para conseguir un total de 144 semillas clinorrotadas.

Colocar las tapas de las placas y sellarlas con cinta adhesiva en un 50% de su superficie. Así se permite el intercambio gaseoso necesario para la germinación, y se evita la excesiva evaporación de agua del sustrato. Después, colocar las 4 placas centradas en los clinostatos, y colocar la placa control y la de 90º en posición vertical, recordando rotar 90º esta última tras 36 horas.

Conectar los motores a la placa base Arduino® y a la corriente eléctrica junto a un mini ventilador de ordenador para evitar sobrecalentamientos en los motores. Dejar los motores funcionando y tomar datos cada 12 horas. Para ello, desconectar el montaje, retirar tapas y tomar fotos de las placas. Las fotos deben tomarse a la misma distancia (aproximadamente 20cm) y con el mismo ángulo (perpendicular a la placa), para poder comparar las imágenes. Se tomaron datos hasta la hora 60, porque a partir de ella, las raíces tenían un tamaño que excedía el de las placas Petri.

289 

CERTAMEN JÓVENES INVESTIGADORES / Ciencias de la Tierra y de la Vida

Analizar las imágenes con un software libre de edición de imágenes, llamado ImageJ®. Esta herramienta permite dibujar puntos sobre una imagen, unirlos con líneas rectas y medirlos. Dibujar puntos sobre una raíz y medirlos para obtener los datos brutos cuantitativos sobre la longitud de la raíz en función del tiempo.

Ilustración 3

Imagen de elaboración propia. Medidas de ángulo de desviación y longitud de una raíz de soja de una placa rotada 90º. Imagen tomada a las 60 horas desde la siembra.

2.2. VARIABLES Y FUENTES DE ERROR

En esta toma de datos, las variables independientes son la fracción de gravedad terrestre, modificada variando la velocidad angular en revoluciones por minuto, y el tiempo en horas. Las variaciones en velocidad angular son de 1, 5, 10 y 20rpm. La variable dependiente es la longitud de crecimiento de las raíces de soja en centímetros. Las variables controladas como la humedad relativa, la dirección de incidencia de la luz o el tamaño de las semillas fueron monitorizadas. Las posibles fuentes de error también son numerosas y variadas. Se tuvieron en cuenta la precisión de los instrumentos de medida y los posibles fallos humanos durante la experimentación.

2.3. DATOS BRUTOS

En la Tabla 2 se encuentran resumidas las medias de todas las medidas. La desviación estándar fue calculada para encontrar datos anómalos (media±2desvest), sin embargo, no se encontró ninguno pese a la gran variabilidad de medidas. Se estableció la incertidumbre final en ±0.05cm, por fallos de visión humana.

290 
32º

Crecimiento de raíces de soja bajo condiciones de microgravedad. ¿En qué medida el crecimiento de la raíz primaria de Glycine max se ve alterada por la microgravedad simulada por un clinostato?

Tabla 2

Resumen de la toma de datos. Medias y desvest de las longitudes de las raíces de soja en centímetros, en función del tiempo desde la siembra y del tipo de gravedad a la que fueron sometidas.

Gráfico 1

Elaborado a partir de la Tabla 2.

tre (entre 4,80 y 5,15cm para el mismo período). El siguiente gráfico lo muestra para los valores medidos a las 60 horas. Sin embargo, observamos que el crecimiento de las raíces entre la germinación y las 48 horas fue mayor para las semillas bajo gravedad terrestre, y menor para las otras. Esto puede explicarse en términos de adaptación: a largo plazo el crecimiento es favorecido por la microgravedad, pero las plantas necesitan un tiempo de adaptación al nuevo medio.

291

32º CERTAMEN JÓVENES INVESTIGADORES / Ciencias de la Tierra y de la Vida

Para comprobar cómo las tasas de crecimiento varían, usamos la Ecuación 2:

Tabla 3

Tasas de variabilidad calculadas a partir de la Ecuación 3.

Gráfico 2

Media, valor máximo y mínimo de longitud de los grupos de semillas a las 60h.

( )

Crecimiento de raíces de soja bajo condiciones de microgravedad. ¿En qué medida el crecimiento de la raíz primaria de Glycine max se ve alterada por la microgravedad simulada por un clinostato?

Gráfico 3

Elaboración a partir de la Tabla 2 a las 60 horas.

Tabla 4

Pruebas T de Student e hipótesis aceptadas

CERTAMEN JÓVENES INVESTIGADORES / Ciencias de la Tierra y de la Vida

se acepta la hipótesis inicial que dice que el crecimiento se ve favorecido para valores de gravedad pequeños. Sin embargo, no se ha podido aceptar que el crecimiento sea mayor a mayor velocidad angular

Esto muestra que las semillas terrestres notan enseguida el cambio en el valor de la gravedad que para ellas es normal (1g) a uno considerado como de microgravedad. Sin embargo, variaciones en el valor de la microgravedad afecta en muy poco al crecimiento. Esto puede ser explicado en términos de adaptación: los organismos responden a unos estímulos similares (más o menos valor de microgravedad) de igual manera, ya que si no cada organismo sería demasiado susceptible al medio y no sobreviviría a este.

4. CONCLUSIONES

Pese a las limitaciones expuestas anteriormente y a la gran variabilidad entre el crecimiento de las semillas de un mismo tratamiento (entre 27,7% y 34,7%); tras analizar los datos, podemos concluir que el crecimiento sí se ve alterado, ya que los tratamientos control crecieron en total un 20,18% menos en longitud que los clinorrotados (4.98 frente a 6,23cm de media). Este crecimiento también se ha visto alterado siguiendo la dirección positiva al vector gravedad. Como se ve en la Ilustración 3, la raíz se deformó en 89,41º al rotar la placa 90º, por lo que podemos decir que el 99,34% de la dirección del vector gravedad se transformó en curvatura de la raíz.

Por tanto, la soja debe aceptarse como un ejemplar adecuado para futuras misiones espaciales de larga duración en las que deban producirse alimentos, por haberse demostrado que el crecimiento de estas semillas se ve favorecido bajo microgravedad. Hemos visto que en el período 48-60 horas la velocidad de crecicimiento de las raíces fue de 1,59cm/12h para las muestras control frente a 3,20cm/12h para las clinorrotadas, por lo que se vieron considerablemente favorecidas. Esto supone una diferencia en porcentaje de crecimiento de 87% frente a 321% al someterse a clinorrotación. Pero comparando el período inicial de 0-48 horas, la velocidad de crecimiento fue de 0,85cm/12h en las no clinorrotadas frente a 0,76cm/12h de las clinorrotadas. Parece que tras estos primeros estadios en los que el crecimiento es similar, las plantas clinorrotadas se adaptan a la ausencia de gravedad para la que están evolutivamente adaptadas.

5. EVALUACIÓN Y DISCUSIÓN

En el Subapartado Variables y fuentes de error se han considerado distintas fuentes de error cuantitativas de la toma de datos. Sin embargo, también hay que considerar que las fuentes bibliográficas usadas se han considerado aceptables por provenir de publicaciones impresas u online de instituciones reconocidas. Los instrumentos de medida fueron elegidos por su exactitud y precisión, aunque los datos finales puedan reflejar valores no exactos debido a fallos humanos, de visión, montaje… El tamaño de la muestra ha sido lo suficien-

32º
294 

Crecimiento de raíces de soja bajo condiciones de microgravedad. ¿En qué medida el crecimiento de la raíz primaria de Glycine max se ve alterada por la microgravedad simulada por un clinostato?

temente amplio como para realizar un análisis estadístico adecuado. Aun así, más investigación, con más semillas, tratamientos y tiempo de toma de datos es imprescindible para confirmar las conclusiones descritas en este trabajo, y así asegurar la validez y fiabilidad de las estadísticas. Esta necesidad de ampliar la investigación se ajusta a las dificultades que suponen las generalizaciones. Estos datos se pueden aplicar a la especie Glycine max pero no a otras, que pueden reaccionar diferentemente a la microgravedad simulada. Pese a estos “fallos” se pueden enunciar unas conclusiones:

En términos de crecimiento longitudinal, se han encontrado diferencias significativas entre los tratamientos control y los clinorrotados. Esto apoya los resultados de los experimentos keniatas y vietnamitas descritos con anterioridad (Asamblea General Naciones Unidas, 2016), del estudio estadounidense que mostró que las raíces clinorrotadas llegaban a crecer el doble que las control (Hilaire, 1996), o las diferencias generales que se encontraron (Medina & Rodríguez, 2017). Sin embargo, estos documentos describen ejemplos en los que, habiendo diferencias, algunos casos muestran mayor crecimiento para muestras control y otros para clinorrotadas. En esta investigación las muestras clinorrotadas se vieron favorecidas, creciendo un total de 6,23cm, frente a las muestras control que sólo crecieron 4,98cm. Sin embargo, no se encontraron diferencias significativas entre los distintos tratamientos clinorrotados, pese a las aparentes diferencias (Gráfico 3). Por tanto, estas diferencias deben obviarse estadísticamente. En la bibliografía sí que se veía que a mayor velocidad angular del clinostato, mayor crecimiento (Dietlein, 2013). Quizás si hubiéramos continuado con el experimento durante un tiempo más amplio se hubieran hallado diferencias significativas.

295 

32º CERTAMEN JÓVENES INVESTIGADORES / Ciencias de la Tierra y de la Vida

6. EXTRACTO DE LA BIBLIOGRAFÍA UTILIZADA

Allot, A. (2015). IB Biología libro del alumno. Oxford.

Asamblea General Naciones Unidas. (2016). Informe sobre el Proyecto de Instrumentos de Ingravidez. United Nations Office for Outer Space Affairs.

https://www.unoosa.org/res/oosadoc/data/documents/2016/aac_1051108_0_ html/53STSC-1108S.pdf

Chebli, Y. & Geitmann, A. (2011). Gravityresearchonplants:useofsingle-cellexperimentalmodels. Frontiers in Plant Science.

https://doi.org/10.3389/fpls.2011.00056

Dietlin, I. (2013). Teacher’s Guide to Plant Experiments. United Nations Office For Outer Space Affairs.

https://www.unoosa.org/res/oosadoc/data/ documents/2013/stspace63_0_ html/st_space_63E.pdf

Hilaire, E. (1996). Clinorotation Affects Morphology and Ethylene Production in Soybean Seedlings. Plant and Cell Physiology. Oxford Academic.

https://academic.oup.com/pcp/article/37/7/929/1856348

Medina, B. & Rodríguez, C. (2017). Análisisgravitrópicodelaraízprimordialde plantas mesoamericanas, en condiciones de gravedad simulada. Portal de la Ciencia. ResearchGate.

https://www.researchgate.net/publication/3220163

296 

/ TERCER PREMIO

AUTORA | SOFÍA GARCÍA RODRÍGUEZ

COORDINADORA | LETICIA GÓMEZ ESCUDERO

CENTRO | IES RAMIRO DE MAEZTU

CIUDAD | MADRID

RESUMEN |

La nutrición es una función vital que los organismos vivos realizan para obtener la energía y materia necesaria para su supervivencia. Los hidratos de carbono forman una parte importante en la dieta de los seres humanos al tener un gran aporte energético. La importancia que se ha otorgado a los carbohidratos, ha impulsado su investigación, propiciando la creación de nuevos conceptos como el índice glucémico, relacionado con su velocidad de absorción. La aparición de dicho concepto ha abierto una amplia exploración en cuanto a la dieta, cuestionando si los alimentos de rápida o inmediata absorción, es decir, los alimentos de índice glucémico alto, han de ser ingeridos regularmente.

El estudio realizado muestra la correlación que existe entre el índice glucémico de un alimento y la variación porcentual de la concentración de glucosa en sangre, tanto en personas diabéticas, tras administrarse insulina sintética, como en personas no diabéticas, que producen insulina natural. Para ello, se ha empleado una metodología empírica utilizando 3 tipos de alimentos con diferentes índices glucémicos (bajo: alubias, medio: pan y alto: zumo) y se ha controlado la concentración de glucosa en sangre durante 3 horas para cada alimento.

Búsqueda de una correlación entre el índice glucémico de un alimento (alto, medio o bajo) y la variación de la concentración de glucosa en sangre en función del tiempo y dependiendo del tipo de insulina utilizada (natural o artificial).
298
CIENCIAS DE LA TIERRA Y DE LA VIDA

ABSTRACT |

Nutrition is a vital function that living organisms perform to obtain the necessary matter and energy for surviving. Carbohydrates are an important part of the human beings’ diet, as they provide a high amount of energy. The importance that carbohydrates have acquired, has boosted their research, attaining the introduction of new concepts about their absorption, like the glycaemic index. The vast investigation area that the discovery of the glycaemic index has opened, has questioned if fast or immediate absorption foods (high glycaemic index food) should be ingested regularly.

The study carried out shows the correlation between the glycaemic index of a food and the percentage of variation in the concentration of the blood glucose, both in diabetic people, after injecting synthetic insulin, and non-diabetic people, who produce their own natural insulin. For the development of this investigation, it has been used an empirical methodology by utilizing 3 types of food with different glycaemic indices (low: beans, medium: bread and high: juice) and by controlling the blood glucose concentration for 3 hours for each food.

CIENCIAS DE LA TIERRA Y DE LA VIDA 299 

CERTAMEN JÓVENES

INVESTIGADORES / Ciencias de la Tierra y de la Vida

1. INTRODUCCIÓN

La dieta de los seres humanos contiene entre un 50-60% de hidratos de carbono (Llamas et al., 2012), debido a su elevado aporte energético. A finales del siglo XX, las investigaciones en el campo de los hidratos de carbono introdujeron el concepto de índice glucémico, lo cual era fundamental en el caso de las personas diabéticas. Más tarde, se descubrió que era un factor que afectaba por igual a todas las personas que ingirieran hidratos de carbono, no solo a diabéticos.

A raíz de mi diagnóstico de diabetes tipo 1, especialistas me recomendaron no comer alimentos de índice glucémico alto. Ante la incapacidad de comprender y diferenciar a qué se refería este concepto y cuál es el de cada alimento, me proporcionaron un listado de alimentos ‘‘no recomendados’’. Con el paso del tiempo, he comenzado a sentir curiosidad y a preguntarme por qué una persona sin diabetes al tomar un alimento de índice glucémico alto no altera notablemente sus niveles de glucosa en sangre, mientras que, en las personas diabéticas no ocurre lo mismo. A partir de esta observación, comencé a investigar acerca del índice glucémico y su afectación en personas diabéticas y sanas, siendo esta la motivación para la investigación.

2. ANTECEDENTES

Índice glucémico (IG): Se define como el área del incremento bajo la curva de respuesta glucémica de una porción de 50 gramos de hidratos de carbono absorbibles de un alimento de ensayo, expresada en porcentaje de respuesta a la misma cantidad de glucosa ingerido por el mismo sujeto (Plaza-Díaz, Martínez Agustín y Gil Hernández, 2013). Es decir, mide la velocidad con la que un alimento con carbohidratos aumenta nuestra glucosa en sangre una vez completada la digestión (hidrólisis de los alimentos en los nutrientes elementales). El rango del índice glucémico es entre 1 y 100, siendo 100 el valor de la glucosa pura absorbida inmediatamente.

Cuando se ingiere un alimento con un índice glucémico bajo (0-55 IG), como las alubias, significa que sus hidratos de carbono son polisacáridos (almidón). Estos tienen que ser hidrolizados por la enzima digestiva amilasa para formar maltosa y maltotriosa. Como las células del epitelio de las vellosidades intestinales solo son permeables a monosacáridos, estos compuestos tienen que volver a ser hidrolizados por enzimas como la maltasa y la glucosidasa para convertirse en moléculas independientes de α-D-glucopiranosa. Este proceso se compone de reacciones que ocurren muy lentamente, al ser exotérmicas y carecer de catalizador. Por ello, los alimentos como las alubias que contienen almidón, se consideran de índice glucémico bajo.

Sin embargo, existen alimentos, como el pan de trigo, cuyo índice glucémico se considera medio (55-70 IG). Se compone de moléculas de maltosa que son disacáridos. Su absorción es más rápida que la de los polisacáridos, ya que solo requiere de una reacción de hidrólisis en la que la enzima digestiva

32º
300 

Búsqueda de una correlación entre el índice glucémico de un alimento (alto, medio o bajo) y la variación de la concentración de glucosa en sangre en función del tiempo y dependiendo del tipo de insulina utilizada (natural o artificial).

maltasa convierte las moléculas de maltosa en dos moléculas α -D-glucopiranosa independientes.

También, existen alimentos compuestos de monosacáridos como los zumos industriales. Su absorción es rápida y se consideran alimentos de índice glucémico alto (70-100 IG) al no tener que ser hidrolizados para traspasar las microvellosidades de la pared intestinal.

Insulina: es una hormona compuesta por un polipéptido de 51 aminoácidos que interviene en el anabolismo de los glúcidos. Se produce y se secreta por las células β de los islotes de Langerhans del páncreas y es fundamental para la regulación de la glucosa en sangre (Allott et at., 2015). Las personas que padecen diabetes tipo 1 no producen de manera natural esta hormona polipeptídica debido a la destrucción autoinmune de las células β del páncreas, por lo que se tienen que inyectar insulina sintética. Esta insulina se produce a partir de una modificación genética en las bacterias Escherichia coli que contienen un plásmido con un gen aislado de la insulina humana (Sanz, Serrano y Torralba, 2016).

Niveles de glucosa en sangre: Los rangos normales de glucosa en sangre son entre 80 y 140 mg/dL, siendo considerado un valor más elevado, hiperglucemia, y uno más reducido, hipoglucemia.

3. HIPÓTESIS

Si a los diabéticos no se les recomienda ingerir alimentos con índice glucémico alto, debe existir una correlación positiva entre el índice glucémico del alimento ingerido y la variación de glucosa en sangre, siendo mayor el incremento de la concentración de glucosa en sangre en personas diabéticas debido al diferente uso de insulina (sintética y natural).

4. OBJETIVOS

El primer objetivo de esta investigación, es el diseño y utilización de una metodología útil que permita realizar una toma de datos fiable y representativa. Como objetivo global, nos encontramos la búsqueda de una correlación entre el índice glucémico del alimento ingerido y la variación de la concentración de glucosa en sangre dependiendo del tipo de insulina utilizada.

5. MATERIALES

Glucómetro Contour XT marca Bayer (incertidumbre ±2 mg/dL), tiras reactivas Contour Next marca Bayer (incertidumbre ±2 mg/dL), bolígrafo de punción, lancetas desechables Microlet con grosor 0,3 mm, báscula (incertidumbre ±1g), vaso de precipitados de 250mL, cronómetro Onstart 110, 1L de Alcohol 96º, 2,5kg de alubias de la Granja marca Hacendado, 1kg de pan de trigo marca Hacendado, 6,25L de zumo de naranja industrial marca Hacendado.

301 

CERTAMEN JÓVENES

6. METODOLOGÍA

6.1. SELECCIÓN DE VARIABLES

Variables independientes: Tiempo entre mediciones de glucosa (minutos).

Variables dependientes: Concentración de glucosa en sangre (mg/dL).

Variables controladas: Tipo y cantidad de alimento ingerido (20 gramos de hidratos de carbono de alubias, pan o zumo de naranja), tipo de insulina empleada (natural o sintética), método e instrumentos de medida, muestra de 20 personas sanas y 5 diabéticas, edad de los participantes (15-20 años), marca y tipo de la insulina artificial (Novorapid con insulina asparta), horas sin hacer ejercicio (8 horas), horas desde la última ingesta (5 horas).

Variables incontrolables: Tasa de metabolismo basal de cada participante

6.2. PARTICIPANTES

Para la selección de los participantes, se realizó una serie de preguntas para garantizar que eran válidos para la investigación (edad, horas sin hacer deporte, horas sin ingerir alimentos y tipo de insulina que utilizaban si procedía). Además, se les informó del procedimiento y los seleccionados dieron explícitamente su consentimiento.

6.3. PRECAUCIONES

Durante la toma de datos se han seguido medidas para garantizar la seguridad de los participantes. Se han utilizado diferentes lancetas para cada usuario a fin de evitar la transmisión de enfermedades, además, antes de cada procedimiento se ha desinfectado la zona con alcohol 96º. También he utilizado guantes para garantizar mi seguridad al realizar las pruebas.

Por otro lado, todos los materiales de un solo uso que se han utilizado durante el procedimiento de la investigación (lancetas y tiras reactivas), han sido desechados a un contenedor homologado para residuos punzantes y restos biológicos clínicos, evitando los riesgos en su posterior manipulación.

6.4. PROCEDIMIENTO

Usando el glucómetro y las tiras reactivas, se midió y anotó la concentración de glucosa en sangre de cada participante media hora antes de la ingesta de cualquier alimento. Transcurridos 15 minutos, los participantes diabéticos se inyectaron la insulina que les correspondía para la ingesta de 20 gramos de hidratos de carbono, ya que, por indicación médica, a los diabéticos insulinodependientes se les recomienda inyectarse la insulina 15 minutos antes de comenzar cualquier ingesta que contenga carbohidratos. 15 minutos después, se

32º
302 
INVESTIGADORES / Ciencias de la Tierra y de la Vida

Búsqueda de una correlación entre el índice glucémico de un alimento (alto, medio o bajo) y la variación de la concentración de glucosa en sangre en función del tiempo y dependiendo del tipo de insulina utilizada (natural o artificial).

les realizó de nuevo una prueba de glucosa en sangre a todos los participantes y se anotaron los valores. Inmediatamente, comenzaron la ingesta de 100 gramos de alubias (lo cual contiene 20 gramos de hidratos de carbono), que habían sido preparados y pesados previamente tres veces, asegurándose de que eran 100 gramos. Transcurridos otros treinta minutos del momento de la ingesta, se volvió a realizar un control de glucosa en sangre a cada participante y se anotó. Se realizaron otros cuatro controles más separados entre sí media hora y se anotaron los resultados. Se siguió el mismo procedimiento para los otros dos alimentos, realizando controles de glucosa cada media hora durante 3 horas y midiendo rigurosamente los alimentos a ingerir (40 gramos de pan y 250 mL de zumo, lo cual contiene 20 gramos de hidratos de carbono).

7. RESULTADOS

Para obtener los resultados, se realizó un elevado número de controles de glucosa en sangre, utilizando 500 tiras reactivas aproximadamente. Sin embargo, lo idóneo hubiese sido realizar 3 mediciones por persona en cada alimento, pero el elevado coste de los materiales, en especial de las tiras reactivas no lo permitió, puesto que supondría el uso de 1350 tiras reactivas.

No obstante, en algunos casos se realizó más de un control para comprobar que los datos que se estaban tomando eran fiables, y en ningún caso la segunda medición varió más de ±2mg/dL respecto de la primera, lo cual no afecta al análisis de los datos y resultados obtenidos.

Datos brutos de la concentración de glucosa en sangre antes y tras la ingesta de alubias (100g).

303 
7.1. PRESENTACIÓN DE LOS DATOS Tabla 1

32º CERTAMEN JÓVENES INVESTIGADORES / Ciencias de la Tierra y de la Vida

Datos brutos de la concentración de glucosa en sangre antes y tras la ingesta de pan (40g).

Datos brutos de la concentración de glucosa antes y tras la ingesta de zumo (250mL).

304 
Tabla 2 Tabla 3

Búsqueda de una correlación entre el índice glucémico de un alimento (alto, medio o bajo) y la variación de la concentración de glucosa en sangre en función del tiempo y dependiendo del tipo de insulina utilizada (natural o artificial).

7.2 DISCUSIÓN Y VALORACIÓN

Gráfico 1

Representación de los datos de la concentración de glucosa en sangre antes y tras la ingesta de 100 gramos de alubias.

Gráfico 2

Representación de los datos de la concentración de glucosa en sangre antes y tras la ingesta de 40 gramos de pan.

Gráfico 3

Representación de los datos de la concentración de glucosa en sangre antes y tras la ingesta de 250 mL de zumo.

Para poder analizar mejor los resultados obtenidos, se ha calculado la variación porcentual de la concentración de glucosa en sangre de cada participante y por alimento, separando a los participantes en sanos y diabéticos para calcular posteriormente la variación porcentual media. Por otro lado, en las tablas se ha incluido el rango y la desviación estándar para profundizar el posterior análisis.

305 

Tabla 4 y 5

Variación porcentual de los participantes diabéticos y sanos respectivamente

A continuación, se han dispuesto los datos mostrados en las Tablas 4 y 5 en un gráfico, empleando la media como representación para cada grupo y la desviación estándar para las barras de error, con el fin de comparar las variaciones porcentuales medias por cada tipo de comida y condición (sano o diabético).

Grráfico 4

Representación de la variación porcentual media de la glucosa en sangre por tipo de alimento

Como se puede observar, en la ingesta de alubias, las variaciones porcentuales medias de los participantes diabéticos y de los sanos son muy similares, presentando una diferencia de 3,8%. No ocurre lo mismo con la ingesta de pan, con una diferencia del 111,3%. Asimismo, con la ingesta de zumo se presenta una diferencia aún mayor, siendo del 126,9%.

Las barras de error representadas en el gráfico presentan la variación de los datos (desviación estándar). En las alubias, existe una diferencia mínima entre diabéticos y sanos, mientras que en los otros dos alimentos hay una notable diferencia. Esta diferencia se puede ver fundamentada en el reducido número de diabéticos que han participado en el experimento, aumentando la variabilidad de los datos. El rango aumenta a medida que el índice glucémico del alimento es mayor, y en todos los casos es superior en los participantes diabéticos, lo cual nos indica que la dispersión de los datos es mayor en los participantes diabéticos, y que, a medida que aumenta el índice glucémico de un alimento, también aumentará la variabilidad de los datos, describiendo un patrón de glucosa en sangre más desigual y por lo tanto más perjudicial para la salud.

Con el fin de analizar si la diferencia de la variación porcentual media de la concentración de glucosa en sangre presente entre los dos grupos (diabéticos y sanos) es estadísticamente significativa y no se debe al azar, se ha realizado la prueba t de Student, con un nivel de significación del 0,05 (5%) y haciendo

32º
306 
CERTAMEN JÓVENES INVESTIGADORES / Ciencias de la Tierra y de la Vida

Búsqueda de una correlación entre el índice glucémico de un alimento (alto, medio o bajo) y la variación de la concentración de glucosa en sangre en función del tiempo y dependiendo del tipo de insulina utilizada (natural o artificial).

una distinción entre los tipos de comida. Para ello se han planteado dos hipótesis: hipótesis nula (no existe una diferencia estadísticamente significativa entre ambos grupos) e hipótesis alternativa (existe una diferencia estadísticamente significativa entre ambos grupos).

A continuación, se han calculado los grados de libertad a partir de la fórmula: (n₁ + n₂) -2 , siendo n el número de participantes de cada grupo, y obteniendo un valor de los grados de libertad de 23. Con ayuda de la tabla t de Student se ha obtenido el valor crítico de t, siendo este 2,07. Después, se ha calculado el valor de t por alimento a partir del programa informático Excel, obteniendo los resultados dispuestos en la Tabla 6:

Como el valor de t hallado siempre es mayor que el valor de t crítico, se rechaza la hipótesis nula y se acepta la alternativa, afirmando que existe una diferencia estadísticamente significativa entre ambos grupos no debida al azar.

Por otro lado, para aumentar la profundidad del análisis, se ha representado las variaciones porcentuales medias y se ha buscado una tendencia ordenando los alimentos de menor a mayor índice glucémico.

Gráfica 5

Variación porcentual media de la glucosa por alimento con líneas de tendencia.

El hecho de que los valores se ajusten a rectas, nos indica que existe una correlación lineal entre el índice glucémico de un alimento y la variación porcentual de glucosa en sangre. Por consiguiente, a mayor índice glucémico de un alimento mayor variación porcentual de la glucosa en sangre.

La pendiente de las rectas de regresión nos muestra cómo la correlación entre el índice glucémico del alimento ingerido y la variación de glucosa en sangre aumenta en mayor medida en el caso de los participantes diabéticos, puesto que la pendiente de dicha recta es de 78 frente a la de los participantes sanos que es 16,5.

307 
Tabla 6 Valor de t por alimento.

CERTAMEN JÓVENES

INVESTIGADORES / Ciencias de la Tierra y de la Vida

Para comprobar que las rectas de ajuste empleadas son acertadas y representativas, se ha calculado el coeficiente de determinación R² a partir de la aplicación informática Excel y se ha representado en el Gráfico 5 junto a las rectas de ajuste. Al ser en ambos casos un valor cercano a 1, las rectas de ajuste seleccionadas son acertadas. Además, si calculamos el coeficiente de correlación de Pearson (r) a partir de √R², se obtienen los siguientes valores:

Coeficiente de correlación de Pearson por condición (diabéticos y sanos).

Como los valores calculados son cercanos a 1, se muestra que existe una correlación positiva entre las variables definidas (índice glucémico del alimento ingerido y variación porcentual de la concentración de glucosa en sangre), y que los datos se pueden considerar fiables al mostrar una tendencia bien definida.

8. CONCLUSIONES

Tras el análisis de los resultados, podemos confirmar nuestra hipótesis inicial. Existe una correlación positiva entre el índice glucémico y la variación de glucosa en sangre. Además, también se puede afirmar que la correlación aumenta en el caso de los diabéticos, siendo más notable el aumento de la variación de glucosa en sangre cuando aumenta el índice glucémico del alimento ingerido.

A pesar de las diferencias entre los participantes diabéticos y sanos, se puede observar como el máximo valor de glucosa en sangre para cada alimento ocurre en el mismo instante para todos los participantes. Aunque son valores mucho más elevados en el caso de los diabéticos, podemos deducir que la diferencia entre ambos grupos se debe a la acción más lenta de la insulina sintética respecto a la natural, puesto que, con alimentos de absorción lenta, esta diferencia es menor. La acción retardada no se puede deber a la composición de la insulina sintética, ya que es la misma que la de la insulina natural. Por ello, esta diferencia puede derivar de la forma de absorción o de administración de la insulina y que, en el caso de los diabéticos, al ser inyectada por vía subcutánea, tarda más en llegar al torrente sanguíneo, a pesar de que los participantes diabéticos se inyectaran la insulina 15 minutos antes de la ingesta, siguiendo las indicaciones médicas. El elevado tiempo que conlleva la hidrólisis del almidón, presente en los alimentos de índice glucémico bajo, minimiza la diferencia existente en el tiempo de llegada y absorción de la insulina artificial al torrente sanguíneo, lo cual hace que la diferencia de la concentración de glucosa en sangre entre diabéticos y sanos sea menor.

32º
308 
Tabla 7

Búsqueda de una correlación entre el índice glucémico de un alimento (alto, medio o bajo) y la variación de la concentración de glucosa en sangre en función del tiempo y dependiendo del tipo de insulina utilizada (natural o artificial).

Para concluir, se puede confirmar la fundamentación científica de las recomendaciones de mis médicos sobre limitar la ingestión de alimentos con índice glucémico alto, pues el diferente tiempo de absorción y acción de la insulina sintética no permite controlar bien la ingesta de dichos alimentos, al ser más rápida la absorción de las moléculas de α-D-glucopiranosa en el intestino que la llegada de la insulina inyectada al torrente sanguíneo y el comienzo de su acción. Por lo tanto, las personas que sufren diabetes, deben intentar ingerir solamente alimentos de índice glucémico bajo, ya que, de este modo, la variación de la concentración de glucosa en sangre será muy parecida a la de una persona sana.

Además, también se ha podido observar como la ingestión de alimentos con índice glucémico alto, no solo produce un aumento notable en la concentración de glucosa en sangre de los participantes diabéticos, sino también en la de los sanos. Por consiguiente, es recomendable que los alimentos que poseen un alto índice glucémico no sean ingeridos de manera regular.

9. IMPLICACIONES

La concienciación de la importancia del índice glucémico y sus implicaciones en la salud de las personas no diabéticas puede ayudar a prevenir enfermedades como la diabetes tipo 2 o la obesidad. Además, puede ayudar a las personas que padecen diabetes tipo 1 a mejorar el control de la enfermedad. Todo ello contribuiría a la descarga hospitalaria y a largo plazo al ahorro sanitario.

10. BIBLIOGRAFÍA Y WEBGRAFÍA BIBLIOGRAFÍA

Allott, A., et al. (2015). Biología. Programa del diploma del IB Oxford University Press, libro del alumno. ISBN: 978-0-19-8333873-4.

Sanz, M., Serrano, S., Torralba, B. (2016). Biología Bachillerato. Madrid, España. Oxford University Press. ISBN 978-01-905-0268-3.

WEBGRAFÍA

Llamas, F. P., Roldán, C. M., Azcona, Á. C., & Navarro, S. Z. (2012). Concepto de dieta prudente. Dieta Mediterránea. Ingestas recomendadas. Objetivos nutricionales. Guías alimentarias. Madrid, España. Exlibris Ediciones, SL. Extraído el 23/01/20 de https://www.kelloggsnutrition.com/content/dam /globalnutrition/es_ES/ assets/Manual_Nutricion_Kelloggs_Capitulo_04.pdf

Plaza-Díaz, J., Martínez Augustín, O., & Gil Hernández, Á. (2013). Los alimentos como fuente de mono y disacáridos: aspectos bioquímicos y metabólicos. Nutrición Hospitalaria, Vol. 28. Extraído el 23/01/20 de http://scielo.isciii. es/scielo.php?pid=S0212-16112013001000002&script=sci_arttext&tlng=pt

309 

con citocinas proinflamatorias

/ ACCÉSIT Y ESTANCIA CSIC

AUTORA | ANA MARTÍN RAMÍREZ

COORDINADORA | GUADALUPE MAYO GARCÍA

CENTRO | IES VAGUADA DE LA PALMA

CIUDAD | SALAMANCA

RESUMEN |

Las células estromales mesenquimales (MSC) son un tipo de células madre adultas con potentes propiedades inmunomoduladoras, lo que las convierte en una herramienta muy interesante para el tratamiento de enfermedades de base inmune y/o inflamatorias. Dado que la pre-estimulación de las MSC con citocinas proinflamatorias aumenta la expresión de ciertos genes involucrados en funciones inmunitarias, desde el Hospital Clínico de Salamanca me propusieron realizar un análisis bioinformático de dichos genes. El objetivo principal del proyecto fue analizar los 100 genes con una expresión diferencial más significativa de las MSC estimuladas frente a las basales.

Estos genes me fueron proporcionados por la Unidad de Terapia Celular del Hospital Clínico Universitario de Salamanca, a partir de un estudio previo de secuenciación masiva de RNA en el que se había analizado el transcriptoma de las MSC pre-estimuladas. Para la caracterización de dichos genes, utilicé las bases de datos “PubMed” y “Gene Cards” de las que obtuve información sobre las vías de señalización, función y ontología génica. Para analizar más exhaustivamente los resultados, inserté la tabla con la información previamente recogida en un programa de análisis bioinformático “GeneAnalytics”.

Descubrí que los genes estudiados estaban implicados en 39 vías de señalización y las vías con mayor número de genes eran: “cytokine signalling in immune system”, “innate immune system” y “allograft rejection”. Estos resultados sugirieron que la estimulación de células mesenquimales con citocinas proinflamatorias aumenta la expresión de numerosos genes involucrados en inmunomodulación y quimiotaxis.

Palabras clave: Células mesenquimales, citocina, genes, bioinformático.

Análisis bioinformático de los genes diferencialmente expresados en células mesenquimales estimuladas
310
CIENCIAS DE LA TIERRA Y DE LA VIDA

ABSTRACT |

Mesenchymal stromal cells (MSC) are a type of adult stem cells with powerful immunomodulatory properties, which makes them a very interesting tool for the treatment of immune-based and / or inflammatory diseases. Given that the pre-stimulation of MSCs with pro-inflammatory cytokines increases the expression of certain genes involved in immune functions, the Hospital Clínico de Salamanca suggested that I perform a bioinformatic analysis of these genes. The main objective of the project was to analyze the 100 genes with a more significant differential expression of stimulated versus basal MSCs.

These genes were provided to me by the Cell Therapy Unit of the Hospital Clínico Universitario de Salamanca, based on a previous study of massive RNA sequencing in which the transcriptome of pre-stimulated MSCs had been analyzed. For the characterization of the differentially expressed genes, I used the databases “PubMed” and “Gene Cards” from which I obtained information on signaling pathways, gene function and ontology. To further analyze the results, I inserted the table with the information previously collected in a bioinformatic analysis program “GeneAnalytics”.

I discovered that the genes studied were involved in 39 signaling pathways and the pathways with the highest number of genes were: “cytokine signaling in immune system”, “innate immune system” and “allograft rejection”. These results suggested that stimulation of mesenchymal cells with pro-inflammatory cytokines increases the expression of numerous genes involved in immunomodulation and chemotaxis.

Key-words: Mesenchymal cells, cytoquines, gene, bioinformatician.

CIENCIAS DE LA TIERRA Y DE LA VIDA 311 

CERTAMEN JÓVENES INVESTIGADORES / Ciencias de la Tierra y de la Vida

INTRODUCCIÓN

El principal motivo por el cual decidí escoger un proyecto sobre células madre, fue el hecho de poder contribuir, a alguna de las numerosas investigaciones que se están llevando a cabo en la actualidad para encontrar nuevas terapias con las que tratar enfermedades autoinmunes e inflamatorias de elevada prevalencia y para las que no existe ningún tratamiento en estos momentos. Pero, ¿Qué son las células madre?

Las células madre (“Stem-Cells”) son un tipo especial de células presentes en todos los organismos pluricelulares, caracterizadas por la capacidad de diferenciarse, en condiciones ambientales adecuadas, en diversos tipos de células especializadas (multipotencia). También poseen la capacidad de autorrenovación, es decir, mediante un proceso de división asimétrica (mitosis) se puede obtener una célula madre y otra diferenciada. (Fig. 1)

Las células madre mesenquimales o estromales (MSC) son una población heterogénea de células progenitoras adultas, de aspecto fibroblástico, originadas a partir de la capa germinal del mesodermo y presentes en numerosos tejidos del organismo (Samsonraj et al., 2017, p. 2173–218). Se sabe que estas células, descritas inicialmente en la médula ósea (1960), pueden diferenciarse, en condiciones ambientales adecuadas, a distintos tipos celulares (multipotencia) de origen mesodérmico como el tejido óseo, cartilaginoso y adiposo tanto in vivo como in vitro. (Pittenger et al., 1999, p. 143-147) (Friedenstein etal, 1968, p. 230).

32º
312 
Figura 1 Propiedades de las células madres

Análisis bioinformático de los genes diferencialmente expresados en células mesenquimales estimuladas con citocinas proinflamatorias

Se almacenan en estado indiferenciado y pueden utilizarse en la recuperación y regeneración del tejido normal dañado, por lo que representan un fondo de reposición potencial para afrontar el daño o enfermedad tisular. Consecuencia de su capacidad regenerativa, es el uso frecuente de las mismas como terapia celular clínica. (Fig.2)

A grandes rasgos, la mayoría de los estudios realizados hasta la fecha, se han centrado en enfermedades en las que un tejido dañado puede beneficiarse de la regeneración promovida por las MSC o aquellas con una base autoinmune. (Martin-Rufino et al., 2018).

Desde el punto de vista científico, el interés que este tipo de células ha despertado dentro de la comunidad científica, está más que justificado, ya que el uso de MSC es una de las técnicas más innovadoras para el tratamiento de enfermedades de base inmune. (Squillaro, Peluso and Galderisi, 2016, p. 829–848) (Najar et al., 2016, p. 160–171).

Se ha demostrado que la capacidad de las MSC para expandirse in vitro fácilmente, su escasa inmunogenicidad, plasticidad, potentes propiedades inmunomoduladoras e importante papel en la regulación el sistema adaptativo e innato del sujeto tanto in vitro como in vivo, ha motivado su aplicación en cientos de ensayos clínicos hasta la fecha. Así, en las últimas décadas, el número de investigaciones, estudios y proyectos, relacionados con este tipo de terapia, se ha incrementado notablemente con tres objetivos principales: tratar de convertir este tipo de células en un fármaco con efectos homogéneos sobre cualquier paciente al que se le administren como terapia, tratar de disminuir los casos en los que aparezcan complicaciones y mejorar su capacidad inmunomoduladora y por tanto, su eficacia.

313 
Figura 2 Origen de las células mesenquimales y criterios mínimos para definirlas

Figura 3

La estimulación de las MSC con citocinas modifica su capacidad inmunomoduladora y mejora su potencial terapéutico.

Tal y como se ha demostrado en varios estudios, el papel que desempeñan las citocinas en la regulación de la capacidad inmunomoduladora de estas células es fundamental y por este motivo, se ha pre-estimulado a las MSC con citocinas inflamatorias para mejorar su potencial terapéutico. (Galipeau et al., 2015, p. 151–159) (Hashmi et al., 2016, p. 45–52). (Fig. 3)

Con el objetivo de analizar el efecto de las citocinas sobre la expresión génica de las MSC, en este trabajo queremos dar respuesta a la siguiente pregunta: ¿Cuáles son los principales cambios de expresión génica que acontecen tras la estimulación de las MSC con citocinas y las principales categorías funcionales en las que están involucrados los genes que varían?

ANTECEDENTES

El presente proyecto de análisis bioinformático de genes ha sido formulado como una ampliación al Trabajo Fin de Grado llevado a cabo por D. Jorge Diego Martín Rufino, en la Unidad de Terapia Celular del Hospital Clínico de Salamanca, bajo el título “Transcriptoma y perfil inmunomodulador de las células mesenquimales en respuesta a citocinas proinflamatorias”. Dicho trabajo resulta especialmente relevante, ya que aunque existen evidencias de que la combinación de varias citocinas podría inducir una mayor capacidad inmunomoduladora que su utilización por separado; no existen estudios previos hasta la fecha, que evalúen de forma global los cambios transcripcionales que se producen por la combinación simultánea de estas tres citocinas proinflamatorias: interferón gamma (IFN-γ), factor de necrosis tumoral alfa (TNF-α) e interleucina-1-beta (IL-1B) y tampoco, que analicen la capacidad inmunomoduladora de las MSC in vitro sobre las células inmunes o su inmunofenotipo de forma integrada.

32º
314 
CERTAMEN
JÓVENES INVESTIGADORES / Ciencias de la Tierra y de la Vida

Análisis bioinformático de los genes diferencialmente expresados en células mesenquimales estimuladas con citocinas proinflamatorias

HIPÓTESIS

La estimulación de las células mesenquimales (MSC) con citocinas proinflamatorias, induce profundos cambios en el transcriptoma, aumentando la expresión de numerosos genes involucrados principalmente en inmunomodulación, quimiotaxis y otras funciones inmunitarias.

OBJETIVO GENERAL

Caracterizar multiparamétricamente los 100 genes con una expresión diferencial más significativa, a partir del estudio de secuenciación masivo de RNA en el que se comparó el transcriptoma de las MSC tras la estimulación con citocinas proinflamatorias frente a las MSC basales, evaluando las funciones, la ontología génica y las vías de señalización más relevantes.

OBJETIVOS ESPECÍFICOS:

• Crear una base de datos con los 100 genes seleccionados para su posterior estudio y describir las principales funciones, vías de señalización y ontología.

• Agrupar los 100 genes de acuerdo con las principales vías de señalización en las que están implicados.

• Analizar las tres vías de señalización con mayor relevancia y describir todos los genes que pertenecen a cada una de ellas.

MATERIAL Y MÉTODOS

Como se ha mencionado en el apartado de antecedentes, este proyecto ha sido una continuación de un trabajo experimental anterior, en el que las células MSC obtenidas de un lipoaspirado de grasa abdominal de donantes sometidos a cirugía plástica reconstructiva, fueron cultivadas en DMEM durante 24 horas y estimuladas mediante citocinas: IFN-γ, TNF-α e IL-1ß. Tras analizar el transcriptoma de las MSC estimuladas (RNA-seq), se comparó con el de las MSC basales, observándose una serie de cambios producidos por la estimulación: 923 genes estaban sobre-expresados y 378 estaban infra-expresados. De ese total de genes, se seleccionaron los 100 con una expresión diferencial más significativa. (Fueron estos genes, los que el Laboratorio me proporcionó para realizar mi proyecto Tabla 1).

Se llevó a cabo una exhaustiva búsqueda bibliográfica en las bases de datos “PubMed” y “GeneCards”. Para ello, se introdujo en el formulario correspondiente el nombre de cada gen junto con la palabra MSC, con el fin de disminuir el rango de artículos y seleccionar sólo aquellos que estuviesen específicamente relacionados con las mesenquimales. Una vez que el buscador de la base de datos mostraba la información requerida sobre cada gen, se creó una base de datos propia para guardarla.

315 

CERTAMEN JÓVENES INVESTIGADORES / Ciencias de la Tierra y de la Vida

Tras haber realizado la correspondiente búsqueda de información, los datos obtenidos relativos a los 100 genes se insertaron en una tabla en cuyas columnas se sitúan:

• El nombre del gen que estamos estudiando, representado con 3 letras mayúsculas seguidas de algunos dígitos numéricos bajo el epígrafe “Símbolo”.

• El valor numérico del log2FC correspondiente a cada gen, que es una ratio entre los TPM (transcritos por millón de secuencias mapeadas) de las MSC estimuladas y los de las MSC basales.

• La función de cada gen dentro de la célula, así como, el tipo de proteínas que codifican, las funciones ejercidas por dichas proteínas y su mecanismo de acción.

• Las vías de señalización para cada uno de los genes analizados.

• La ontología génica, una representación formal de un conjunto de conocimientos sobre un dominio determinado, en este caso el biológico.

• Los artículos o “papers”, representados con un número de 8 dígitos, que corresponde al PMID de cada uno de los artículos buscados en la base de datos “PubMed”. Se encontraron 152 artículos relacionados con las MSC lo que supone un promedio de 1,52 (152/100) artículos para cada uno de los genes estudiados.

Para analizar los resultados obtenidos, se insertó la tabla con los datos de

Tabla 1

Tabla obtenida a partir de las bases de datos GeneCards y PubMed para los 100 genesn diferencialmente expresados. Se muestran, a modo de ejemplo, dos de los 100 genes analizados con mayor or valor log2 FC (elaboración propia)

32º
316 

RESULTADOS

Las citocinas proinflamatorias aumentaron la expresión de los genes relacionados con la respuesta inmune de las células estromales mesenquimales estimuladas.

Los 100 genes con una expresión diferencial más significativa estaban implicados en 39 vías de señalización.

Para conocer las vías de señalización en las que estos genes estaban implicados se introdujeron los datos obtenidos, en el programa “GeneAnalytics” y se obtuvo la Tabla II. Las 39 vías de señalización aparecen descritas en la segunda columna de la tabla bajo el nombre “name”.

La importancia de una vía de señalización venía determinada por el número de genes que la activaba o estaba involucrado en ella.

El número de genes involucrados en cada una de las vías de señalización está representado en la tercera columna de la Tabla II bajo el título “matched genes” y en ella aparecen dos valores; el primero corresponde al número de genes implicados en la vía de entre los 100 seleccionados y el segundo corresponde al número total de genes que participan en dicha vía.

Las vías de señalización más relevantes en las que están involucrados un mayor número de genes son:

• “cytokine signalling in immune system” que presenta 29 genes del total analizados (CCL5, ISG15, IFI6, MT2A , GBP2, PSME2, GBP5, IRF9, HCK , PSMA2, IL32, OAS3, IL15RA , IFIT3, CXCL10, GBP1, IL18BP, OAS1, PML , IFNAR2, IL7R , SP100, NFKB2, VCAM1, B2M, IFI35, PSMB10, GBP4, OAS2)

• “innate immune system” con 39 genes (CCL5, ISG15, IFI6, CD274, MT2A , GBP2, PSME2, GBP5, DTX3L , IRF9, CFB, TAP1, HCK , TRIM69, PSMA2, IL32, OAS3, IL15RA , IFIT3, CXCL10, GBP1, IL18BP, OAS1, PML , IFNAR2, IL7, CYLD, SP100, CD74, CFH, NFKB2, VCAM1, TAP2, B2M, IFI35, PSMB10, GBP4, OAS2, CTSS)

• “allograft rejection” con 10 genes ( PSME2, CXCL11, TAP1, IL15RA , CXCL9, IFNAR2, CD74, TAP2, B2M, CTSS).

317 
Análisis bioinformático de los genes diferencialmente expresados en células mesenquimales estimuladas con citocinas proinflamatorias

Tabla 2

Tabla obtenida a partir de la base de datos Gene Analytics. Las flechas señalan las vías de de señalización: “cytokine signalling in immune system, “innate immune system”, “allograft rejection”. (elaboración propia)

Las principales vías de señalización en las que participaban los genes diferencialmente expresados de las MSC estimuladas, correspondían a las vías que estaban implicadas en procesos inflamatorios e inmunitarios.

Para conocer las vías de señalización más importantes modificadas por los genes estudiados se comparó el valor del “score” que aparece en la primera columna de la Tabla II. Se pudo observar que las tres vías con un “score” más alto correspondían a la vía “cytokinesignallinginimmunesystem” con un resultado del 60,5%, la vía “innate immune system” con un 46,85% y “allograft rejection” con un 21,85%. Además, estas vías eran las más relevantes por tener una mayor participación de nuestros genes de estudio y todas ellas estaban implicadas en procesos inflamatorios e inmunitarios.

Destaca “cytokine signalling in immune system” que es la vía con el “score” más alto. La importancia de esta vía, radica en el hecho de que el sistema inmune depende de la señalización de citoquinas para mantener la homeostasis en el cuerpo humano.

Otra vía a destacar, es “innate immune system” y su importancia radica en el hecho de que los receptores implicados en la inmunidad innata o también denominados receptores tipo Toll son capaces de reconocer patrones moleculares de patógenos que atacan al organismo denominados PAMPs y moléculas endógenas, producidas por células dañadas en situaciones de trauma, hipoxia o células infectadas. (Tabla 2). Las 39 vías de señalización aparecen descritas en la segunda columna de la tabla bajo el nombre “name”.

32º
318 
CERTAMEN JÓVENES INVESTIGADORES / Ciencias de la Tierra y de la Vida

Análisis bioinformático de los genes diferencialmente expresados en células mesenquimales estimuladas con citocinas proinflamatorias

RESULTADOS Y DISCUSIÓN

La estimulación de las células mesenquimales (MSC) con citocinas proinflamatorias (IFN-γ, TNF-α e IL-1ß) induce profundos cambios en su transcriptoma, aumentando la expresión de genes relacionados con la respuesta inmune e inflamatoria.

Para aumentar la eficacia de las MSC, es necesario realizar un profundo análisis de las modificaciones inducidas en este tipo de células tras su estimulación con citocinas proinflamatorias; no sólo acerca de los cambios que se producen en su capacidad inmunomoduladora, sino también sobre el transcriptoma completo y los genes que se modifican tras dicha estimulación. Esto permitirá una manipulación más efectiva y dirigida de la función de las células y la posibilidad de seleccionar aquellas con las características más adecuadas para cada situación clínica, mejorando así su eficacia.

En relación a nuestro objetivo de identificar los genes con una expresión diferencial más significativa tras la estimulación de las MSC con las citocinas proinflamatorias; el análisis realizado por J.D. Martín Rufino, desvela que son aquellos genes con menor valor de p ajustada (todos los valores p < 0,001), ordenados por log2FC de mayor a menor, situándose por encima aquellos genes que habían incrementado sus niveles de expresión en un nivel suficientemente grande tras la estimulación.

La información obtenida en las bases de datos “PubMed” y “GeneCards” acerca de los genes diferencialmente expresados quedó recogida en una tabla (Figura 2). En la primera columna de dicha tabla, aparece el símbolo del gen y en la segunda los valores de log2FC, por ser esta la metodología más eficaz y sencilla para seleccionar los genes expresados de forma diferencial. En las siguientes columnas, se describe exhaustivamente la función, vías de señalización y ontología génica (GO) de cada uno de los 100 genes diferencialmente expresados en las MSC estimuladas. Esta información servirá de apoyo a futuras investigaciones sobre el papel del entorno inflamatorio y las moléculas clave expresadas por las MSC, con el fin de optimizar su uso en la terapia celular.

Entre las funciones que realizan los genes estudiados, se encuentra la de codificar proteínas y nuestros resultados ponen de manifiesto, que dichas proteínas van a participar en una serie de procesos fisiopatológicos relacionados con: la defensa antimicrobiana y antitumoral, la inmunorregulación y la inflamación. De entre estas proteínas, destacamos las citocinas por su función reguladora de la respuesta inmune e inflamatoria y por su importante papel en la vía de transducción de señales JAK- STAT.

En efecto, nuestros resultados recogen la inmunomodulación como una de las funciones con mayor representación entre los 100 genes diferencialmente expresados en las MSC estimuladas. Ha sido el análisis de las principales categorías funcionales a las que pertenecen los genes (“Gene Ontology”), el que ha

319 

CERTAMEN JÓVENES INVESTIGADORES

/ Ciencias de la Tierra y de la Vida

desvelado funciones de particular interés en relación con la patogenia de las enfermedades inmunes; como son: la quimiotaxis de macrófagos, la regulación negativa de la permeabilidad vascular, la regulación positiva de la sintetasa de óxido nítrico y la protección de la citotoxicidad mediada por células NK.

Las MSC presentan potentes propiedades inmunomoduladoras que hacen de ellas una terapia celular prometedora para el tratamiento de múltiples enfermedades con base inmune. Debido a que estas propiedades pueden ser inducidas por estímulos inflamatorios, el acondicionamiento previo de las MSC para aprovechar su capacidad inmunomoduladora está emergiendo como una estrategia viable y prometedora para optimizar el tratamiento con MSC de las enfermedades de base inmune/inflamatoria.

Conocer aquellos genes con una expresión diferencial más significativa en las MSC estimuladas frente a las basales y estudiar sus vías de señalización contribuirá a la generación de nuevas hipótesis acerca de la posible mejora de la eficacia de las MSC en procesos inflamatorios e inmunológicos.

CONCLUSIONES

1. Las IFN-γ, TNF-α e IL-1ß inducen profundos cambios en el transcriptoma de las MSC aumentando la expresión de numerosos genes involucrados en inmunomodulación, quimiotaxis y otras funciones inmunitarias.

2. Los genes con una expresión diferencial más significativa en las MSC estimuladas con citocinas proinflamatorias están implicados en 39 vías de señalización.

3. Las principales vías de señalización para estos genes serían: “cytokine signalling in immune system” “innate immune system” “allograft rejection” implicadas todas ellas en procesos inflamatorios e inmunitarios.

32º
320 

REFERENCIAS

Friedenstein, A. J. et al. (1968). Heterotopic of bone marrow. Analysis of precursor cells for osteogenic and hematopoietic tissues. Transplantation, 6(2). Available at: http://www.ncbi.nlm.nih.gov/pubmed/5654088 [Accessed: 26 January 2020]

Galipeau, J. et al. (2015). International Society for Cellular Therapy perspective on immune functional assays for mesenchymal stromal cells as potency release criterion for advanced phase clinical trials. Cytotherapy. Elsevier B.V. 18(2). pp.151-159. https:// doi: 10.1016/j.jcyt.2015.11.008.

Hashmi, S. et al. (2016).Survival after mesenchymal stromal cell therapy in steroid-refractory acute graft-versus-host disease: systematic review and meta-analysis. The Lancet Haematology. Elsevier Ltd, 3(1). pp.45-52 DOI: https://doi: 10.1016/S2352-3026(15)00224-0

Martin-Rufino, J. D. et al. (2018). Sequential intravenous allogeneic mesenchymal stromal cells as a potential treatment for thromboangiitis obliterans (Buerger’s disease). Stem Cell Research and Therapy. BioMed Central Ltd., 9(1). DOI: https:// doi: 10.1186/s13287-018-0901-6.

Najar, M. et al. (2016). Mesenchymal stromal cells and immunomodulation: A gathering of regulatory immune cells. Cytotherapy. Elsevier B.V. pp.160171. DOI: https:// doi: 10.1016/j.jcyt.2015.10.011

Pittenger, M. F. et al. (1999). Multilineage potential of adult human mesenchymal stem cells. Science, 284(5411). pp. 143–147. DOI: https:// doi: 10.1126/ science.284.5411.143

Samsonraj, R. M. et al. (2017). Concise Review: Multifaceted Characterization of Human Mesenchymal Stem Cells for Use in Regenerative Medicine. Stem Cells Translational Medicine. John Wiley and Sons Ltd. pp. 2173–2185. DOI: https://doi: 10.1002/sctm.17-0129

Squillaro, T., Peluso, G. and Galderisi, U. (2016). Clinical trials with mesenchymal stem cells: An update. Cell Transplantation. Cognizant Communication Corporation. pp. 829–848. DOI: https:// doi: 10.3727/096368915X689622

321 
Análisis bioinformático de los genes diferencialmente expresados en células mesenquimales estimuladas con citocinas proinflamatorias

/ ACCÉSIT

|

COORDINADORA | ESTILITA JIMÉNEZ GONZÁLEZ

CENTRO | COLEGIO ASUNCIÓN DE NUESTRA SEÑORA

CIUDAD | ÁVILA

RESUMEN |

Este proyecto de investigación se centra en conocer si hubo alguna posibilidad de que, en 2014, año en que se produjo un positivo por ébola en España, hubiéramos vivido una epidemia de la magnitud del coronavirus. A partir de modelos matemáticos, descubriremos si los números apuntan a la vivencia de un escenario con millones de infectados, unos pocos, o un escenario como el que sí vivimos. Obtendremos gráficas para ambos virus y, en el caso de la COVID-19, lo contrastaremos con la realidad para observar el número de casos que se han evitado con las medidas de contención y así hacer una comparación más realista de una posible situación epidemiológica más grave con respecto al ébola, conociendo así las cifras que se habrían obtenido al imponer las mismas medidas – siempre teniendo en cuenta que ambas infecciones son diferentes tanto en el modo de propagarse, como otros aspectos externos como la diferencia de mutación entre ambos virus–.

Finalmente, calcularemos cuál es el porcentaje de población que debe ser vacunada para evitar más colapsos hospitalarios y descontroles como vivimos especialmente entre marzo y abril de 2020 con la COVID-19, mostrando de este modo la importancia de estos preparados para la lucha contra cualquier epidemia.

¿Qué hubiera pasado si el virus del ébola se hubiera expandido en España? El papel de las vacunas en las epidemias
 CIENCIAS DE LA TIERRA Y DE LA VIDA 322

ABSTRACT |

This investigation project studies if it could be any possibility that, in 2014, year that a positive case of ebola happened in Spain, we would have lived an epidemic of the size of COVID-19. From some mathematic models, we will discover if the numbers shows the experiencing of a scene with millions of infected people, some cases, or a scene like we really lived. We will obtain graphics for both virus and, in the COVID-19 case, we will contrast it with the reality in order to view the number of cases that we have avoided with the containment measures and so do a more realistic comparison of a possible more serious epidemiologic situation with regard to ebola, thereby knowing the digits that it would be obtained imposing the same measures – always keeping in mind that both infections are different in the way they spread, as well as other external aspects such as the difference of mutation between both virus–.

Finally, we will calculate which is the percentage of population that should be vaccinated to avoid more hospital blockades and uncontrolled situations as we lived especially between March and April of 2020 with the COVID-19, showing in this way the importance of this chemicals for the struggle against any epidemic.

CIENCIAS DE LA TIERRA Y DE LA VIDA 323 

32º CERTAMEN JÓVENES

INVESTIGADORES / Ciencias de la Tierra y de la Vida

INTRODUCCIÓN

En 2014, la auxiliar de enfermería María Teresa Romero contrajo el virus del ébola en España y entró en contacto con más de 80 personas. Afortunadamente, pasó la enfermedad a pesar de su alta letalidad y nadie más se contagió.

Más tarde, en 2020, apareció el coronavirus, el cual empezó contagiando poco a poco en Europa, de forma análoga a como lo hizo ébola. Es por eso por lo que estudiaremos si pudo pasar algo parecido a la pandemia por COVID-19 con este virus procedente de África.

Datos históricos del virus del ébola (información obtenida de la página web de la OMS)

OBJETIVOS

Los objetivos de esta investigación son descubrir si se pudiera haber alcanzado con el ébola el elevado número de casos que se están produciendo con el coronavirus y mostrar la importancia que tienen las vacunas para frenar estas epidemias.

METODOLOGÍA Y RESULTADOS

Para poder llevar a cabo este estudio, se empleó el modelo epidemiológico SIR que permite calcular el número de susceptibles (S), infectados (I) y recuperados

324 
Virus del Ébola Casos Defunciones Imágenes de los virus del ébola y del SARSCov-2, respectivamente.

¿Qué hubiera pasado si el virus del ébola se hubiera expandido en España? El papel de las vacunas en las epidemias

Gráficas obtenidas a partir de los cálculos realizados en relación con el virus del ébola en España.

325 

Gráficas obtenidas a partir de los cálculos realizados en relación con el coronavirus en España

Como observamos en las gráficas, los datos del coronavirus son muy superiores a los que se han producido realmente. Esto implica que las medidas de distanciamiento y aislamiento social, uso de gel hidroalcohólico y mascarillas han evitado un gran número de casos. Por ello, calcularemos el porcentaje de casos que se han reducido gracias a estas medidas y lo aplicaremos al caso del ébola para reflejar de forma más cercana a lo que hubiera ocurrido de haberse propagado. Sin embargo, este porcentaje no es exacto pues habría que tener en cuenta factores externos como la diferencia en la transmisión y la capacidad de mutación de ambos virus.

326 
32º CERTAMEN
JÓVENES INVESTIGADORES / Ciencias de la Tierra y de la Vida

¿Qué hubiera pasado si el virus del ébola se hubiera expandido en España? El papel de las vacunas en las epidemias

Por otro lado, este uso generalizado de las mascarillas y el gel hidroalcohólico y, especialmente; el confinamiento, permitieron reducir significativamente el número de contagiados con respecto al esperado en los cálculos realizados pues, en el caso del coronavirus se habrían notificado 7 millones de contagiados el día del pico de la primera curva cuando realmente la RENAVE (EL sistema usado por el ISCII para el recuento de los casos) ese día registró 10856 casos.

En el caso del ébola, el pico de la curva se habría alcanzado 700.000 casos de no haberse impuesto ninguna medida de contención.

Finalmente, los últimos cálculos que realizaremos son los referidos a la fracción de la población que debe ser vacunado para el control de las epidemias.

Siendo p la fracción mínima de la población que debe ser vacunada, γ la tasa de recuperación, β la tasa de transmisión y R0SIR el ritmo de reproducción básico del virus. (Fórmulas proporcionadas por Laura Gutiérrez, estadista)

Para el coronavirus:

Para el virus del ébola:

327 

Código R en el que se inicializan las variables “beta” y “gamma”, explicadas en el apartado de ”materiales y métodos” en la sección “experimentación”, y ejecuta la función ode (incluida en el paquete deSolve) el número de veces indicado en “times” y devuelve una tabla con los valores obtenidos

Código R que dibuja la gráfica correspondiente a los valores de la tabla obtenida con el código anterior.

CONCLUSIONES

Podemos concluir que sí hubo la posibilidad de que en España se expandiera el ébola si bien es cierto que no habría alcanzado a tanta población como lo está haciendo actualmente el coronavirus.

Será necesario vacunar del coronavirus, al menos, a la mitad de la población española para poder establecer un control sobre el mismo. De este modo, cabe reseñar la importancia que tienen las vacunas para evitar estas epidemias pues cada dosis aportará inmunidad a este virus. Es por eso por lo que creo necesario que se debe concienciar a la población sobre las ventajas que suponen su administración pues, han aparecido grupos de personas escépticas a estos preparados químicos y cuyas críticas no están basadas en cuestionamientos científicos y carecen de sentido lógico.

328 
32º
CERTAMEN JÓVENES INVESTIGADORES / Ciencias de la Tierra y de la Vida

¿Qué hubiera pasado si el virus del ébola se hubiera expandido en España?

El papel de las vacunas en las epidemias

Para el control del ébola sería necesario un menor porcentaje de vacunación, un 16,67% de la población, para que se pudiera evitar el colapso sanitario.

Esta hipotética situación que provocaría en España, aproximadamente, 1.014.000 infectados por el virus del ébola, deja a la reflexión el si se hubieran tomado medidas con anterioridad respecto al COVID-19 si hubiera ocurrido esta previa propagación.

AGRADECIMIENTOS

Quiero empezar agradeciendo a mi profesora Estilita Jiménez González quien, a pesar de la complicada vuelta a las aulas estuvo supervisando mi trabajo.

También quiero agradecer a Carlos Blanco Santero, estudiante del doble grado en matemáticas e ingeniería informática, por haberme enseñado programar en R para poder realizar las gráficas adjuntas en este proyecto, así como la resolución de ecuaciones diferenciales ordinarias en variables separables para, más tarde, poder llevar a cabo cálculos con el modelo epidemiológico SIR.

Agradecer a Marina Pollán, directora del Centro Nacional de Epidemiología del Instituto de Salud Carlos III, por su contestación a mis preguntas en referencia al tema.

Dar las gracias por sus valiosas aportaciones a Laura Gutiérrez García, graduada en Estadística y estudiante del máster en Bioestadística por la Universidad Complutense de Madrid, quien comprobó la corrección de mis gráficas y aportó la idea sobre el porcentaje de vacunación de los virus.

Y a la UIMP (Universidad Internacional Menéndez Pelayo) por los cursos que han llevado a cabo este verano, especialmente, el que he seguido con gran interés (COVID-19: la epidemiología, la microbiología y la investigación en las estrategias de vigilancia y control de la pandemia) y que me han servido de inspiración para la realización de este proyecto.

329 

INVESTIGADORES

BIBLIOGRAFÍA (Álvarez y Sevillano, 2014) “La enfermera de ébola empeora tras superar un fallo respiratorio” El país, 9 de octubre. Disponible en:

https://elpais.com/politica/2014/10/09/actualidad/1412854597_481226.html

Centro Nacional de Información Biotecnológica (2018): El número reproductivo básico (R0): consideraciones para su aplicación en salud pública. Disponible en:

https://www.ncbi.nlm.nih.gov/pmc/articles/PMC6291769/ Dohmen, P. (2014): “Ébola…Evidencias y biomatemáticas”. Alumni pro AIHy, 5 de noviembre. Disponible en:

https://www.aihy.org/index.php/menu-biblio/16-formations/58-art55ebola.html

Europa Press/ Servimedia (2014) “Aumentan a 17 los ingresados por el virus del ébola” El mundo, 10 de noviembre. Disponible en:

https://www.elmundo.es/madrid/2014/10/08/54346995268e3e83468b456e.html

Expansión (n.d.): España – Población. Disponible en:

https://datosmacro.expansion.com/demografia/poblacion/espana (Garcia y López, 2014) “Una auxiliar de enfermería que atendió al misionero fallecido García Viejo, contagiada de ébola” El mundo, 6 de octubre. Disponible en:

https://www.elmundo.es/madrid/2014/10/06/5432bb62e2704e347a8b4577.html

Instituto de Salud Carlos III (2020): Evolución pandemia. Disponible en:

https://cnecovid.isciii.es/covid19/#ccaa (Consulta: 2 de septiembre de 2020)

J.Álvarez, R. (2014) “El médico de familia dijo a la paciente que era gripe y el Carlos III no valoró el ébola” El mundo, 9 de octubre. Disponible en:

https:/ /www.elmundo.es/espana/2014/10/08/54346b1fe2704e41578b456d.

html?a=bc89383a855e50e27ed774e3cd7850ed&t=1412786769

J.Álvarez, R. (2014) “Denuncian que la enfermera de ébola fue atendida en Alcorcón sin medidas de seguridad” El mundo, 7 de octubre. Disponible en:

htt ps://www.elmundo.es/espana/2014/10/07/5433e58222601dd5798b4587.html

Longás, H. (2020): Las mejores infografías científicas y visualizaciones de datos sobre el coronavirus. Fundamentium,13 de julio. Disponible en:

https://fundamentium.com/articulo/las-mejores-infografias-cientificas-y-visualizaciones-de-datos-sobre-el-coronavirus/

López Urbano, A. (2014) “La auxiliar de enfermería se contagió de ébola al tocarse la cara con los guantes” El mundo, 9 de octubre. Disponible en:

https://www.elmundo.es/espana/2014/10/08/5434ea62ca4741bb258b456e.html

32º
330 
CERTAMEN
JÓVENES / Ciencias de la Tierra y de la Vida

López Urbano, A. (2014) “No sabemos muy bien qué nos podemos esperar” El mundo, 15 de octubre. Disponible en:

https://www.elmundo.es/salud/2014/10/15/543d797e268e3e6a478b456c.html

OMS (2020): Enfermedad por el virus del Ebola. Disponible en:

https://www.who.int/es/news-room/fact-sheets/detail/ebola-virus-disease

OMS (2014): Enfermedad por el virus del Ebola – España. Disponible en:

https://www.who.int/csr/don/09-october-2014-ebola/es/

OMS (2020): Preguntas y respuestas sobre la enfermedad por coronavirus (COVID-19). Disponible en:

https://www.who.int/es/emergencies/diseases/novel-coronavirus-2019/advice-for-public/q-a-coronaviruses

Rextester (n.d.): SIR básico. Disponible en:

https://rextester.com/JHM78452

Rpubs (2018): Modelos Mecanísticos Determinísticos con Ecuaciones Diferenciales. Disponible en:

https://rpubs.com/dsfernandez/422937

RTVE (2020): ¿Qué se sabe del coronavirus? Disponible en:

https://www.rtve.es/noticias/20200911/se-sabe-del-nuevo-coronavirus-china/1996067.shtml

UIMP (2020): COVID-19: la epidemiología, la microbiología y la investigación en las estrategias de vigilancia y control de la pandemia XXII (Vídeo online). Disponible en:

https://www.uimptv.es/video-3457_covid-19-la-epidemiologia-la-microbiologia-y-la-investigacion-en-las-estrategias-de-vigilancia-y-control-de-la-pandemia-xxii.html

Wikipedia (n.d.): Ritmo de reproducción básico. Disponible en:

https://es.wikipedia.org/wiki/Ritmo_reproductivo_b%C3%A1sico

Wikipedia (2020): Covid-19. Disponible en:

https://es.wikipedia.org/wiki/COVID-19

Wikipedia (2014): File: Ebola Virus (3).jpg. Disponible en:

https://commons.wikimedia.org/wiki/File:Ebola_Virus_(3).jpg

Wikipedia (2020): Pandemia de enfermedad por coronavirus de 2020 en España. Disponible en:

https://es.wikipedia.org/wiki/Pandemia_de_enfermedad_por_coronavirus_de_2020_en_Espa%C3%B1a (Consulta: 28 de agosto de 2020)

Wikipedia (2020): Cuarentena en España de 2020. Disponible en:

https://es.wikipedia.org/wiki/Cuarentena_en_Espa%C3%B1a_de_2020 (Consulta: 28 de agosto de 2020)

331 
¿Qué hubiera pasado si el virus del ébola se hubiera expandido en España? El papel de las vacunas en las epidemias

/ PREMIO FUNDACIÓN VENCER EL CÁNCER

COORDINADOR | JORDI MILIAN PÉREZ

CENTRO | INSTITUT MONTSERRAT ROIG

CIUDAD | BARCELONA

RESUMEN |

En este trabajo propongo un diseño hipotético de un nanorobot que tiene la capacidad de detectar y destruir las células cancerígenas del cerebro. Las bases de su mecanismo de actuación incluyen la posibilidad de efectuar la endocitosis, con su consecuente entrada y administración quimioterapéutica, dirigida hacia el interior nuclear de la célula. El dispositivo ejecutará la exocitosis y será eliminado por medio de un mecanismo biomimético. Dada la complejidad del problema en cuestión, he evaluado los procedimientos que permiten la ruptura de la membrana hematoencefálica para facilitar el acceso del nanorobot al cerebro.

Por otra parte, en la sección práctica he propuesto la posibilidad de ampliar las bases biológicas del dispositivo, por lo que este podría ser propulsado por la catálisis de las enzimas y las interacciones anticuerpo-antígeno. Esta idea significa un avance importante para la fase motora del diseño

ABSTRACT |

The aim of my work is to propose a hypothetical design of a nanorobot that has the ability to detect and fix onto the surface of brain cancer cells. The bases of its mechanism of action include the possibility of carrying out endocytosis, with its consequent entry and chemotherapeutic administration directed to the nuclear interior of the cell. As a result, this device may perform exocytosis and would be eliminated by a biomimetic mechanism. Given the complexity of the problem in question, I evaluated the procedures that allow the rupture of the blood-brain barrier (BBB) to facilitate the access of nanorobots into the brain.

On the other hand, in the practical section I have proposed to improve the biological bases of the device, so that it could be propelled by the catalysis of enzymes and antibody-antigen interactions. This idea is a breakthrough for the motor phase of design.

CIENCIAS DE LA TIERRA Y DE LA VIDA 333 
AUTORA | FILOTEA CRASOVAN NEACSU
Un enfoque novedoso para el tratamiento de cáncer de cerebro: la nanorobótica

JÓVENES INVESTIGADORES / Ciencias de la Tierra y de la Vida

1. INTRODUCCIÓN

El objetivo de mi proyecto científico es proponer un diseño hipotético de nanorobots que puedan detectar, adherirse y unirse a la superficie[1-9] de las células del astrocitoma. Estas funcionalidades se crean con el objetivo de cambiar el microambiente[3-7, 9-11] del tumor. Además, permiten que la endocitosis ingrese al núcleo de la célula, la destruya y, finalmente, ejecute la exocitosis y encuentre un sistema biomimético[2, 4, 6, 7, 10] para ser excretado de forma natural. Asimismo, los nanorobots muestran una amplia gama de aplicaciones tales como: modificaciones de genes[7, 10] dentro del código de ADN, administración de fármacos en las células e introducción de nanopartículas (NPs)[1-9, 11] estimuladas por radiofrecuencia o calor.[5, 8-9, 12] Es importante tener en cuenta que los nanobots podrían funcionar de forma descentralizada[3, 13]. Sin embargo, tratar el cáncer de cerebro añade más complejidad al problema, porque los nanorobots tienen que atravesar la barrera hematoencefálica (BBB)[5, 11] para que puedan acceder al cerebro.

2. ANTECEDENTES

En el caso de la neurocirugía, Cavalcanti et al. proponen un nanorobot intravascular con la capacidad de detectar la formación de aneurismas mediante la detección de altos niveles de proteína de óxido nítrico sintasa en el vaso afectado[14-17].

3. HIPÓTESIS DE TRABAJO Y OBJETIVOS DE LA INVESTIGACIÓN

La nanorobótica puede ser el método más eficiente, eficaz y mínimamente invasivo para curar cánceres de cerebro, como el llamado astrocitoma (astrocitoma de primer y segundo grado). El objetivo principal de este trabajo es elaborar el diseño hipotético de un nanorobot, que se convierta en el protagonista de la nanoterapia, tratamiento a través del cual se podría erradicar el cáncer de cerebro. El marco teórico se fundamenta en las investigaciones de varios estudios de caso, que han contribuido a la hora de aportar soluciones a los retos claves que el proyecto propone. A lo largo de la sección práctica he puntualizado la posibilidad de ampliar las bases biológicas del dispositivo, proponiendo la propulsión por la catálisis de las enzimas y las interacciones anticuerpo-antígeno.

4. MATERIALES Y MÉTODOS

Para la realización de este proyecto se han consultado múltiples fuentes: Nature biotechnology, Elsevier, Science, Scientific Reports, Accounts of Chemical Research y National Geographic, PubMed, GOOGLE y ResearchGate.

32º
334 
CERTAMEN

Un enfoque novedoso para el tratamiento de cáncer de cerebro: la nanorobótica

5. RESULTADOS

5.1. PARTE TEÓRICA

Nuestro diseño hipotético propone un nuevo concepto de nanorobot. El punto clave de nuestro diseño es la combinación de las características más biocompatibles de los nanorobots. Los avances en la ciencia de los nanomateriales nos permiten imaginar composiciones que no eran posibles en el pasado. Por eso, cuando el campo de la nanotecnología amplió su experiencia en nanorobótica, nos alejamos un paso más de las nanopartículas y discutimos si podríamos implementarlo dentro de los nanorobots biocompatibles y biomiméticos. ¿Por qué nanorobots y aún no mejorar las nanopartículas? Este campo no deja de lado las nanopartículas, pero cuestiona la viabilidad de algunas partículas de ingeniería química frente a algunas nanomáquinas que podrían controlarse de forma remota y dar lugar a una mayor precisión. Por esta razón, hemos investigado teóricamente qué características serían más confiables al tratar el cáncer de cerebro y cómo podríamos alterar la BHE para administrar el fármaco a las células objetivo. La idea principal es usar interacciones de antígenos incrustados en la superficie del nanorobot para reconocer sitios específicos de tumores que expresan principalmente una proteína, pero con una particularidad agregada: los antígenos que recubren la superficie del nanorobot son sus guías, es decir, existe una equivalencia entre las indicaciones e interacciones del antígeno y los estímulos microambientales, y el movimiento cinético del nanorobot. Imagínese un bagre de cola roja (Phractocephalus hemioliopterus). Es un animal único porque lo podemos distinguir de los demás por su actividad nocturna. Sus movimientos se producen porque tiene unos bigotes en su parte frontal, que actúan como sensores táctiles. Entonces, ¿qué pasaría si pudiéramos lograr la misma eficiencia que el bagre en nuestro nanorobot diseñando dos partes diferentes? El corresponsal del cuerpo del pez sería nuestra estructura de tamaño nanométrico. El equivalente de sus bigotes son los antígenos.

Para concebir todo el diseño del nanorobot es importante tener en cuenta 5 fases que se presentarán a continuación. La finalidad del robot es apuntar y destruir las células cancerosas ubicadas más allá de la barrera hematoencefálica (astrocitoma). La barrera endotelial es nuestro sistema inmune innato, lo que hace que la destrucción de las masas cancerosas sea más desafiante. Este es el argumento para crear robots a nanoescala. Así, el primer grado que debemos establecer es la forma del nanorobot, que tiene que ser dinámicamente efectivo con el microambiente en el que navega. De ahí la forma esférica. Como segundo paso, necesitamos discutir los materiales con los que debe estar hecho para mantener su biocompatibilidad dentro del cuerpo. El mejor candidato son las estructuras de nanodiamante (gracias a técnicas como el DMS) que pueden transformarse en superficies inertes. Otro factor clave es la cooperación entre nanorobots, que actúan como un enjambre coordinado para combatir el cáncer.

La principal razón de esto es el acortamiento del tiempo que necesita la intervención, aunque a medida que aumenta el número de robots, la complejidad

335 

INVESTIGADORES / Ciencias de la Tierra y de la Vida

del control y la dinámica aumenta considerablemente. La comunicación es un ingrediente básico para equilibrar y mantener en equilibrio las interacciones dentro de la red de nanorobots. Las señales acústicas son las mejores candidatas para las comunicaciones dentro de estos sistemas, aunque la velocidad de transmisión es más rápida a través de la comunicación por ondas ópticas. Un análisis del sistema de alimentación del nanorobot revela que los componentes magnéticos incrustados en el núcleo del nanorobot compondrían el motor óptimo del robot. Como fuente de excitación energética (hipertermia, liberación de fármacos), los gradientes magnéticos son los más prometedores, por ello el uso de la técnica de resonancia magnética. Finalmente, cada robot tiene un propósito. En este caso, la función de nuestro nanorobot hipotético es detectar, apuntar y unirse a la superficie del tumor (astrocitoma grado I, II) y, lo más importante, cruzar la barrera de sangre cerebral formada por uniones estrechas entre células endoteliales.

Una vez que se ha analizado el prototipo, la programación específica en simulaciones ayudará a tomar la decisión de la viabilidad del nanorobot.

La decisión de implementar el nanorobot vendrá después de evaluar las diferentes fases que comprenden la funcionalidad y eficiencia de los nanorobots: en primer lugar, la detección de células cancerosas cerebrales; luego, la fase de orientación del dispositivo a la masa anormal; luego, la fuerza producida por la unión del nanorobot a la célula cancerígena; en cuarto lugar, el período de tiempo necesario para liberar el fármaco dentro de la célula; posteriormente, efectividad relacionada con las órdenes programables desde el teléfono de control del médico; asimismo, el grado de reversibilidad al interrumpir la BHE utilizando como técnica principal el fenómeno de la hipertermia y, finalmente, cómo afectan las interacciones vía señales acústicas al comportamiento de la colonia de nanorobots. Estadísticamente hablando, puede ser interesante agregar durante este proceso réplicas, para llegar a una serie de conclusiones. Éstas tienen como objetivo definir los mismos parámetros, variables y condiciones, variando el número de nanorobots. De esta manera, los resultados se pueden analizar para determinar cuál es el número perfecto de nanorobots para crear un equilibrio entre velocidad y efectividad. Además, las simulaciones siempre podrían ser más avanzadas y desarrolladas desde un entorno simple a otro mucho más similar al modelo real del cerebro que conocemos hoy en día.

5.2. PARTE PRÁCTICA

Superar las fuerzas viscosas y el movimiento browniano es una necesidad actual que presenta un desafío: la autopropulsión a nanoescala. Asimismo, se han desarrollado micro y nanomáquinas artificiales impulsadas por reacciones catalíticas. Como los combustibles más utilizados generan una gran cantidad de toxicidad dentro de las células del cuerpo humano, ha surgido la catálisis enzimática acompañada de una alternativa versátil y biocompatible para conseguir que la propia máquina genere la denominada autopropulsión. Se han explora-

32º
336 
CERTAMEN JÓVENES

Un enfoque novedoso para el tratamiento de cáncer de cerebro: la nanorobótica

do diferentes tamaños y geometrías de nadadores. Sin embargo, en este dominio todavía es tangible la falta de comprensión de los mecanismos subyacentes a la propulsión mediada por enzimas. En consecuencia, la forma, el tamaño, la distribución y la cantidad, así como las propiedades enzimáticas intrínsecas, pueden desempeñar un papel crucial en la dinámica del movimiento. Se deben realizar más esfuerzos para estudiar su estabilidad a largo plazo, su vida útil y su capacidad para navegar en entornos complejos[19-20].

Inspirados en motores biológicos, las NPs pueden autopropulsarse aprovechando la energía química libre de las reacciones químicas in situ. La incorporación de enzimas como motores catalíticos es una fuente de energía alternativa, porque ofrece ventajas únicas: biocompatibilidad, biodisponibilidad y versatilidad del combustible, mejorando la administración de fármacos y una mayor penetración de la BHE[21]

En la sección práctica, he podido observar que los nanomotores alimentados por la adición de enzimas en su superficie funcionalizada demuestran una mayor penetración a través de la BHE[21]. Partículas más pequeñas, lo suficientemente capaces de resistir los efectos secundarios provenientes de las posibles respuestas inmunes y de no ser atrapadas por los filtros corporales, podrían demostrar la oportunidad de ingresar al interior del núcleo celular, aniquilando las células tumorales. Las perspectivas futuras deberían cristalizar las relaciones entre la diferencia de la internalización citosólica e internalización de núcleos, porque se dice que generar apoptosis desde el área de más composición interna es más eficaz[19-20]

5.2.1. ESTUDIO DE CASO 1: VISUALIZACIÓN Y ANÁLISIS DE IMÁGENES DE NPS ESFÉRICAS DE JANUS MEDIANTE EL MICROSCOPIO ELECTRÓNICO DE TRANSMISIÓN (TEM)

El objetivo de este estudio es la asimilación de los diferentes tipos de caracterización en el espacio nanométrico. Más concretamente, dado que las NPs esféricas son los candidatos más relevantes para los nano-robots administradores de fármacos, decidí centrar los procedimientos experimentales en ellas.[18]

Concretamente, en el TEM estudié NPs de Sílica Mesoporosa de 200 nm de tamaño. Su preparación de la muestra biológica consistió en una dispersión diluida de las partículas en etanol. Luego, se colocaron 10 μL de la solución obtenida en una rejilla especial para TEM. Cuando se evaporó el disolvente, se colocó la rejilla en el TEM y se efectuó la visualización posterior. Las cuatro micrografías que se muestran a continuación (Figura 1) ilustran perfectamente la estructura núcleo-capa de las nanopartículas de sílice mesoporosa (MSNPs). Además, he podido observar las características de porosidad de las mismas NPs bioquímicas, en las que las cavidades porosas cristalizan la posibilidad de modificaciones adicionales, como el atrapamiento superficial eficaz de la doxorrubicina (fármaco contra el cáncer).

337 

Figura 1

Visualización y análisis posterior de nanopartículas de sílice mesoporosa (MSNP), relevantes por su capacidad de encapsulamiento del fármaco Dox en sus cavidades superficiales, usando la técnica del TEM. Imagen de microscopía TEM de MSNP que enfatiza las características de porosidad de las nanopartículas, además de su forma esférica y disposición simétrica. Microfotografía de realización propia.

En primer lugar, la dispersión de luz dinámica (DLS), a veces denominada espectroscopia de correlación de fotones o dispersión de luz cuasi-elástica, es una técnica que se usa clásicamente para medir el tamaño de partículas típicamente en la región submicrónica, dispersas en un líquido. La sensibilidad de algunos sistemas modernos es tal que ahora también se puede utilizar para medir el tamaño de macromoléculas en solución.

En este estudio de caso he efectuado la caracterización de los perfiles de movimiento y comportamientos mediante Dynamic Light Scattering de las NPs. En cuanto a la función de tiempo de autocorrelación de la intensidad de la luz dispersa, las tres réplicas presentan el tiempo de decaimiento cercano a mil microsegundos (Fig. 2). La preparación de estas NPs tuvo como objetivo componer nanobots de tamaño inferior a 100 nm, que es una de las conclusiones extraídas (véase Fig. 3). Los datos muestran que el radio ha variado (por tratarse de materia orgánica y viva), aunque las diversas mediciones realizadas corroboran su consistencia, oscilando entre 100 y 78,5 nm. Globalmente, las seis imágenes están correlacionadas consecutivamente por números, nombrando tres grupos, el número de los cuales manifiesta el orden en el que se han ideado las medidas de la muestra.

32º
338 
CERTAMEN JÓVENES INVESTIGADORES / Ciencias de la Tierra y de la Vida
5.2.2. ESTUDIO DE CASO 2: ANÁLISIS DEL TAMAÑO Y CARGA DE PARTÍCULAS CON DYNAMIC LIGHT SCATTERING (DLS)

El conjunto compuesto por los tres gráficos anteriores describe la función de tiempo de autocorrelación de la intensidad de la luz dispersa. En concreto, conforma tres réplicas referentes a una misma muestra, las cuales presentan el tiempo de decaimiento cercano a mil microsegundos. Para efectuar el experimento se usaron los aparatos DLS del Instituto de Bioingeniería de Cataluña [IBEC]. Mediciones de realización propia.

Las tres mediciones consecutivas denotan el tamaño de los nanobots de que disponíamos en el laboratorio. Gracias a las aproximaciones efectuadas mediante la distribución del tamaño del radio de las nanopartículas, pude comprobar que se trataba de nanomotores cuyo radio oscilaba entre 100 y 78,5 nm. Los gráficos muestran que el radio puede haber variado (por tratarse de materia orgánica y viva). Datos de realización propia.

339 
Figura 2 Figura 3
Un enfoque novedoso para el tratamiento de cáncer de cerebro: la nanorobótica

CERTAMEN JÓVENES INVESTIGADORES / Ciencias de la Tierra y de la Vida

5.2.3. ESTUDIO DE CASO 3: DESCRIPCIÓN Y ANÁLISIS DEL MOVIMIENTO DE LAS PARTÍCULAS CON MICROSCOPÍA ÓPTICA Y SEGUIMIENTO DEL MOVIMIENTO DEL COMPORTAMIENTO POSTERIOR

Desde la perspectiva física[20], se puede analizar la dinámica de las partículas autopropulsadas calculando el desplazamiento cuadrático medio (MSD) de sus posiciones en el tiempo. Por lo tanto, podemos asumir una velocidad constante en el tiempo y aleatorizar la posición y orientación de la partícula debido a las fluctuaciones brownianas.

Las NPs observadas por el microscopio óptico tienen un diámetro de ∼1μm La caracterización realizada se centró en tres grupos principales: el control, es decir, el grupo en el que no se añadió combustible de peróxido; el segundo grupo, preparado con 2% de peróxido con respecto a la fuente de alimentación necesaria para catalizar los nanorobots de catalasa y, finalmente, el tercer grupo de muestras con 2,6% de peróxido. Se registró el movimiento efectuado por las NPs de sílice de Janus, porque posteriormente a esa fase, los regímenes sufridos por las NPs serían estudiados, analizados y rastreados con un código de software Python. Para comprender los resultados legibles y el análisis de seguimiento de los nanorobots de catalasa, debemos recordar la reacción química de la enzima mencionada anteriormente.

En el grupo de control, las NPs no experimentan otros movimientos aparte del movimiento browniano intrínseco y se puede notar la presencia de direccionalidad (ver Fig 4). Aumentar la cantidad de combustible disuelto en agua significa que, correlativamente, la velocidad de las NPs de Janus también se verá afectada por las reacciones catalíticas. Esto demuestra la existencia de NPs biocatalíticas capaces de interactuar con sitios moleculares de partes de nuestro cuerpo.

Figura 4

Esquema comparativo, entre los tres grupos debajo de análisis experimental, de las trayectorias que han efectuado los nanomotores de catalasa. En dirección de izquierda a derecha: en primer lugar, observamos las trayectorias del grupo control; en segundo lugar, el grupo de nanomotores con un 2% de peróxido como combustible y, por último, las trayectorias del grupo en que se utilizó un 2,6% de peróxido. Capturas de realización propia.

LAS CANCEROSAS

El propósito de este experimento es analizar la internalización de los nanomotores por células HeLa mediante el uso de imágenes en 3D obtenidas con inmunocitoquímica. Los nanomotores impulsados por enzimas tienen un gran potencial para las aplicaciones biomédicas debido a sus propiedades únicas: biocompatibilidad, versatilidad y biodisponibilidad de combustible.[19] Se ha demostrado recientemente que los nanomotores impulsados por ureasa pueden mejorar sus funcionalidades (Fig. 5a)[22-24]. Se etiquetó fluorescentemente

32º
340 

Un enfoque novedoso para el tratamiento de cáncer de cerebro: la nanorobótica

la membrana plasmática y el núcleo celular para estudiar la ubicación intracelular de los nanomotores. Las células HeLa se sembraron en una placa con fondo de vidrio de 35 mm (Fig. 5b). Después de 24 horas, se expusieron a nanomotores de ureasa durante 6 horas. Luego, lavamos la solución compuesta por nanomotores, fijamos las células en paraformaldehído al 4% y las preparamos para una tinción adicional (véase el paso 4 en Fig. 5b) y posterior análisis.

Figura 5

a) Debido a su difusión mejorada, que da como resultado una mayor eficiencia de administración de fármacos en las células HeLa, los nanomotores impulsados por enzimas exhiben, definitivamente, una mayor liberación de fármacos. Las cifras en sí están adaptadas de: Hortelao et al., 2018 [23]. b) Protocolo experimental gráfico de preparación para las muestras con células HeLa que se usarían para internalizar las nanopartículas.

Las imágenes 3D muestran la internalización de los nanobots dentro de las células mediante el proceso de endocitosis (Fig. 6). Las NPs (NPs) se encuentran dentro de las células cancerosas del cuello uterino, preferiblemente al lado de los núcleos. La internalización de nanodispositivos llevada a cabo por células cancerosas es demostrada.

341 

Figura 6

Visualizaciones de células HeLa sin internalización de nanomotores, b) Internalización de nanopartículas esféricas con células HeLa (izquierda). Imágenes en 3D que muestran el estudio inmunocitoquímica. Se puede distinguir cómo las membranas celulares se marcaron con aglutinina de germen de trigo (WGA, verde),

6. CONCLUSIONES

Proponemos el diseño de un nanorobot con forma esférica, biocompatible y completamente inerte (cubierto con diamante) que esconde nanopartículas magnéticas dentro del núcleo, para controlar la cinética a través de gradientes de resonancia magnética. La dimensión de estos nanorobots debería ser de decenas de nanómetros. Además, los contrastes de agentes magnéticos también se utilizarán para excitar la colonia de nanorobots cuando se recluten en el target final y administrar medicamentos quimioterapéuticos. La comunicación con los nanorobots se hará mediante señales acústicas con varias ventajas: el bajo consumo de energía, alta sensibilidad, la propiedad de autocalentamiento y, por ende, acoplamiento térmico. Con tal de atravesar la BHE hemos estudiado cómo se induce la hipertermia, que es provocada principalmente por la conducción térmica de un campo electromagnético. Pero, de hecho, la parte que destaca más en este nanorobot es la funcionalización activa a través de interacciones de anticuerpos-antígenos, que permiten el reconocimiento de sitios tumorales específicos, que expresan principalmente una proteína.

32º
342 
CERTAMEN JÓVENES INVESTIGADORES / Ciencias de la Tierra y de la Vida

7. BIBLIOGRAFÍA Y WEBGRAFÍA

1. Kanapathipillai, M.; Brock, A.; Ingber, D. E. (2014). Nanoparticle targeting of anti-cancer drugs that alter intracellular signaling or influence the tumor microenvironment. Advanced drug delivery reviews, 79-80, 107–118.

2. Tian, Y.; Song, C. (2018). Article in Nature Biotechnology.

3. Gajanan, S.; Sachin, L.; Tarannum, S.; Dattatray, G.; Gajanan, ...; Sanap, S. (2011). NANOROBOTS IN BRAIN TUMOR. IRJP (Vol. 2).

4. Diller, E. D.; Sitti, M.; Diller, E.; Sitti, M.; Diller, E. (2011). Micro-scale mobile robotics Mobile micro robotics View project Bacteria-based microswimmers for cargo delivery View project Micro-Scale Mobile Robotics, 2(3), 143–259.

5. Nasrollah Tabatabaei, S.; Duchemin, S.; Girouard, H.; Martel, S. (2012). Towards MR-navigable Nanorobotic Carriers for Drug Delivery into the Brain. IEEE Int Conf Robot Autom, 727–732.

6. Diller, E. (2011). Micro-Scale Mobile Robotics. Foundations and Trends in Robotics.

7. Freitas, R. A. (2006). Pharmacytes: An Ideal Vehicle for Targeted Drug Delivery. Journal of Nanoscience and Nanotechnology, 6(9), 2769–2775.

8. Gannon, C. J., Patra, C. R., Bhattacharya, R., Mukherjee, P., & Curley, S. A. (2008). Intracellular gold nanoparticles enhance non-invasive radiofrequency thermal destruction of human gastrointestinal cancer cells. Journal of Nanobiotechnology, 6, 1–9.

9. Saadeh, Y.; Vyas, D. (n.d.). Nanorobotic Applications in Medicine: Current Proposals and Designs.

https://doi.org/10.1166/ajrs.2014.1010

10. Kanapathipillai, M.; Brock, A.; Ingber, D. E. (2014). Nanoparticle targeting of anti-cancer drugs that alter intracellular signaling or influence the tumor microenvironment. Advanced drug delivery reviews, 79-80, 107–118.

https://doi.org/10.1016/j.addr.2014.05.005

11. Hamdi, M.; Ferreira, A. (2014). Guidelines for the Design of Magnetic Nanorobots to Cross the Blood-Brain Barrier. IEEE TRANSACTIONS ON ROBOTICS, 30(1).

12. Curley, S. A.; Cherukuri, P.; Briggs, K.; Patra, C. R.; Upton, M.; Dolson, E.; Mukherjee, P. (2008). Noninvasive radiofrequency field-induced hyperthermic cytotoxicity in human cancer cells using cetuximab-targeted gold nanoparticles. Journal of Experimental Therapeutics & Oncology.

13. Loscri, V.; Natalizio, E.; Mannara, V.; Aloi, G.; Loscrí, V. (2012). A novel CommunicationTechniqueforNanobotsbasedonacousticsignalsBIONETICS.

343 
Un enfoque novedoso para el tratamiento de cáncer de cerebro: la nanorobótica

CERTAMEN JÓVENES INVESTIGADORES / Ciencias de la Tierra y de la Vida

14. Cavalcanti, A.; Shirinzadeh, B.; Fukuda, T.; Ikeda, S. (2004). Nanorobot for brain aneurysm. The International Journal of Robotics Research. 28(4)

15. Cavalcanti, A.; Shirinzadeh, B.; Murphy, D.; Smith, JA. (2007). Nanorobots for Laparoscopic Cancer Surgery, Institute of Electrical and Electronics Engineers.

16. Cavalcanti, A.; Rosen, L.; Shirinzadeh, B.; Rosenfeld, M. (2006). Nanorobot for treatment of patients with artery occlusion. Proceedingsof VirtualConcept

17. Cavalcanti, A.; Shirinzadeh, B.; Fukuda,T.; Ikeda, S. (2007) Hardware architecture for nanorobot application in cerebral aneurysm. 7th IEEE Conference on Nanotechnology.

18. http://www.ccit.ub.edu/ES/home.html

19. Patino, T.; Arqué, X.; Mestre, R.; Palacios, L.; Sánchez, S. (2018). Fundamental Aspects of Enzyme-Powered Micro- and Nanoswimmers. Accounts of Chemical Research, 51(11), 2662–2671.

20. Katuri, J.; Ma, X.; Stanton, M. M.; Sánchez, S. (2017). Designing micro-and nanoswimmers for specific applications. Accounts of Chemical Research, 50(1), 2–11.

21. Contini, C.; Nyberg, S.; Azizi, J.; Battaglia, G.; Tian, X.; Fullstone, G.; ... Cecchin, D. (2017). Chemotactic synthetic vesicles: Design and applications in blood-brain barrier crossing. Science Advances, 3(8), e1700362.

22. Patiño, T.; Feiner-Gracia, N.; Arqué, X.; Miguel-López, A.; Jannasch, A.; Stumpp, T.; … Sánchez, S. (2018). Influence of Enzyme Quantity and Distribution on the Self-Propulsion of Non-Janus Urease-Powered Micromotors. Journal of the American Chemical Society, 140(25), 7896–7903.

23. Hortelão, A. C.; Patiño, T.; Perez-Jiménez, A.; Blanco, À.; Sánchez, S. (2018). Enzyme-Powered Nanobots Enhance Anticancer Drug Delivery. Advanced Functional Materials, 28(25), 1–10.

24. Ma, X.; Hortelao, A. C.; Miguel-Lópezlópez, A.; Sánchezsánchez, S. (2016). Bubble-Free Propulsion of Ultrasmall Tubular Nanojets Powered by Biocatalytic Reactions.

32º
344 

título artículo / elemento cambiante

345 

TECNOLOGÍA E INGENIERÍA

PREMIO ESPECIAL DEL CERTAMEN

¿En qué medida superan los ordenadores de "quantum annealing" a los ordenadores clásicos?

CARLA CARO VILLANOVA

PRIMER PREMIO |

HandVision - Desarrollo de un prototipo tiflotecnológico de sustitución sensorial CLARA FUERTES NOVILLO

SEGUNDO PREMIO |

Energía, arquitectura y ciencia en el primer biolaboratorio lunar NOLAN PRIEGO ROT, ISMAEL BARROSO CLARÓS Y WENWEN HU

Machine learning y huella dactilar para el diagnóstico de la enfermedad celíaca HÉCTOR VAQUERO DEL PINO

TERCER PREMIO |

Salud y (bio)mecánica en el ciclismo: Desarrollo de dos sistemas para mejorar la posición de la espalda y la seguridad de los ciclistas en las ciudades ARIADNA GONZÁLEZ NAVARRO

Vicius. Un bot capaz de detectar y corregir ciberadicciones GONZALO CARRETERO HERNÁNDEZ Y CARLOS DELGADO ORDIALES

ACCÉSIT |

Toma de decisión para mejorar el tráfico en una sección del plano de Tudela IVÁN AZCONA MAGAÑA Y JAVIER GÓMEZ CALVO

347
348 -
362- 374- 386- 396- 410 -
422 -
-
-
-

/ PREMIO ESPECIAL DEL CERTAMEN

AUTORA | CARLA CARO VILLANOVA

COORDINADOR | JORDI MAZÓN BUESO

CENTRO | AULA ESCOLA EUROPEA

CIUDAD | BARCELONA

RESUMEN |

La pregunta de investigación de mi trabajo es “¿En qué medida superan los ordenadores de “quantum annealing” a los ordenadores clásicos?”. El “quantum annealing” es una tecnología emergente que promete progresos importantes en el sector de la computación cuántica. Las posibles aplicaciones que tiene son problemas en los que se requieren estados de baja energía, como problemas de optimización y problemas de muestreo probabilístico. El tema principal de esta investigación es la implementación del algoritmo “support vector machine” (SVM) en el ordenador cuántico de D-Wave. El primer paso fue formular el problema usando una codificación concreta. Se tuvieron que hacer varias adaptaciones para sobrepasar limitaciones de conexiones físicas que involucran técnicas de muestreo complementarias al proceso de optimización. Finalmente, los resultados de clasificación de este enfoque cuántico son extremadamente satisfactorios. Adicionalmente, para ilustrar el proceso de formulación de problemas para ser resueltos con “quantum annealing”, he resuelto dos problemas originales de ajedrez con “quantum annealing”, además del problema del vendedor ambulante, que deja entrever el potencial de la computación cuántica en la vida real. Tras esta investigación, creo que este campo de información cuántica abre una perspectiva a los problemas computacionales que podría exceder el rendimiento de los ordenadores clásicos.

¿En qué medida superan los ordenadores de “quantum annealing” a los ordenadores clásicos?
TECNOLOGÍA E INGENIERÍA REPRESENTANTE 32 CERTAMEN EUROPEO DE JÓVENES INVESTIGADORES  348

ABSTRACT |

The research question of my investigation is “To what extent do current quantum annealers outperform classical computers?”. Quantum annealing is an emerging technology that promises important progress in the quantum computing sector. The possible applications it has are problems where lowenergy states are required, like optimisation problems and probabilistic sampling problems. The main focus of my investigation is the implementation of a support vector machine algorithm in D-Wave Systems' quantum annealer. The first step was to formulate the problem using a specific encoding. Several adaptations had to be made in order to overcome issues of embedding which involved sampling techniques along with the optimisation process. Finally, the classification performance of this quantum approach was extremely successful. In addition, to illustrate the process of problem formulation to be solved with quantum annealing, I have solved two originals problems of chess with quantum annealing, and a common travelling salesman problem, that gives some insight into the potential of quantum computing in real life. After this investigation, I genuinely believe that this upcoming field of quantum information opens another perspective to the computational problems that may exceed the classical computer’s performance.

TECNOLOGÍA E INGENIERÍA 349 

CERTAMEN JÓVENES INVESTIGADORES / Tecnología e Ingeniería

INTRODUCCIÓN

El “quantum annealing” es un método computacional en el que se aprovechan propiedades fundamentales de la mecánica cuántica. Los problemas aplicables para este método son problemas de muestreo y de optimización. El objetivo central de mi investigación fue implementar el algoritmo “support vector machine” en el ordenador de quantum annealing de D-Wave, una empresa pionera en este campo, y comparar sus resultados con los de un ordenador clásico.

MÉTODO

El método que he seguido en esta investigación consiste en un proceso previo de estudio sobre la física detrás del funcionamiento de los ordenadores cuánticos de “annealing”, la formulación general de problemas para resolverlos mediante estos ordenadores y la teoría matemática de los “support vector machines” necesaria para una formulación compatible con “quantum annealing”.

MECÁNICA CUÁNTICA SUBYACENTE

QUBITS

Un bit cuántico, llamado “qubit”, es un objeto cuántico que puede estar en estado 0 o 1, como un bit clásico, y también en una superposición de ambos estados. Tiene una probabilidad de colapsar en cualquiera de los dos estados cuando es medido. Esta probabilidad se puede cambiar con un sesgo, que corresponde a los coeficientes lineales en la función objetivo explicada más adelante. Otra propiedad cuántica llamada entrelazamiento aparece cuando hay una interacción entre dos qubits, formando un sistema compuesto. Los qubits se influencian entre ellos y forman un objeto único en superposición de cuatro estados (00, 01, 10, 11). La fuerza de acoplamiento entre los qubits corresponde a los coeficientes cuadráticos en la función objetivo.

HAMILTONIANO

Un Hamiltoniano (H) es un operador asociado al observable de energía, por lo que indica la energía de un sistema cuántico en un estado particular. El objetivo del “quantum annealing” es encontrar el estado Ψ que tiene la energía más baja del sistema definido por H. El mismo sistema tiende a la menor energía, por lo que acaba colapsando en ese estado Ψ. El Hamiltoniano tiene dos términos: el término inicial o Hamiltoniano túnel y el final o Hamiltoniano problema.

QUANTUM ANNEALING

El proceso de “quantum annealing” consiste en la evolución del Hamiltoniano, en el que las influencias del Hamiltoniano inicial y final se cambian durante el proceso. Al principio del proceso de “annealing”, el sistema está en el estado de mínima energía del Hamiltoniano inicial, donde todos los qubits están en una

32º
350 

¿En qué medida superan los ordenadores de “quantum annealing” a los ordenadores clásicos?

superposición de sus estados. Entonces, avanza el proceso de “annealing” progresivamente hasta el punto donde el Hamiltoniano sólo contiene el término final. Esto significa que el sistema ha llegado al estado de mínima energía del Hamiltoniano final, donde todos los qubits se encuentran en un estado determinístico, o bien 0 o 1, que representan la solución al problema que se quería resolver.

FORMULACIÓN DE PROBLEMAS

FUNCIÓN OBJETIVO

La función objetivo es una expresión matemática en función de variables binarias, que representan los qubits, describiendo la energía de un sistema que se debe minimizar. De las posibles formulaciones de esta función, en esta investigación, solo me centro en la formulación QUBO.

QUBO

En problemas de optimización cuadráticos de variables binarias y sin restricciones, problemas QUBO (del acrónimo en inglés Quadratic Unconstrained Binary Optimisation), las variables (q) pueden ser 0 o 1, ya que son booleanas. La función objetivo de un QUBO se expresa generalmente en forma de una matriz triangular superior Q y un vector de variables binarias x. También, se puede expresar en forma escalar como

donde ai y bi,j son los coeficientes lineales y cuadráticos, respectivamente.

He programado dos problemas propios de ajedrez como ejemplos de formulación QUBO. Se trata del problema de las n reinas y el problema de la ruta del caballo.

Para ejecutarlos, puede ir a mi github https://github.com/carlacarov/d-wave-projects o probar la versión interactiva del problema de las n reinas que he desarrollado en https://n-queens-dwave.herokuapp.com/. Finalmente, también finalidad didáctica, he resuelto el problema del viajero ambulante en “quantum annealing”, usando una formulación de grafos, en https://travelling-salesman-dwave.herokuapp.com/.

“SUPPORT VECTOR MACHINE” CLÁSICO

Un “support vector machine” es un algoritmo de “machine learning” supervisado usado principalmente para clasificación binaria. El clasificador separa los datos de cada clase con un hiperplano óptimo.

El entrenamiento de un SVM se expresa como un problema de minimización sin restricciones como

351 
(1)

sujeto a

donde la solución define el hiperplano óptimo que separa las dos clases en el problema de clasificación con la expresión

En consecuencia, la función de decisión para clasificar nuevos datos es

donde el signo de f(x) determina la clase del nuevo punto x. En estas ecuaciones, α i son los multiplicadores de Lagrange para cada una de las N muestras, yi son sus clases respectivas, que pueden ser ±1, xi son los datos en sí y b es un sesgo.

Además, en la Eq. (2), k(xi,xj) es el kernel Gaussiano, que es la siguiente función definida a trozos, donde γ es un hiperparámetro

“SUPPORT VECTOR MACHINE” CUÁNTICO

Para entrenar un SVM en un “quantum annealer”, el problema de minimización expresado en la Eq. (2) tiene que ser formulado como un QUBO o otra formulación compatible para un proceso adiabático. La que yo usaré es la más común en computación, la formulación de QUBO. Dado que los multiplicadores de Lagrange de la Eq. (2) son números reales mientras que el ordenador de “annealing” usa variables binarias, cada multiplicador se debe representar con un cifrado binario, usando base 2, como

donde α p (i) son variables binarias y K es el número de variables usado para cifrar un solo multiplicador de Lagrange αi. Ergo, el problema de optimización cuadrático de variables reales y sin restricciones de la Eq. (2) se puede convertir en un problema de optimización cuadrático de variables binarias y sin restricciones, un QUBO, usando el cifrado expresado en la Eq. (8), obteniendo

32º
352 
CERTAMEN JÓVENES INVESTIGADORES / Tecnología e Ingeniería
(2) (4) (5) (6) (8) (7)

Además, el cifrado implica que la condición expresada en la Eq. (4) se cumpla automáticamente.

Por lo que respecta la otra condición, expresada por la Eq. (3), en mi formulación no he añadido ninguna penalización que actúe como restricción, como se hace en [5], sino que he usado el problema QUBO de la Eq. (9) directamente y después he recorrido las muestras obtenidas por el ordenador de “annealing” comprobando si la Eq. (3) se cumplía. Una vez se encuentra una muestra que cumple la condición, se escoge esa solución como la mejor. En el caso donde no se encuentra ninguna muestra que cumpla la condición, he decidido calcular la media de las muestras distintas en todo el conjunto de muestras encontradas por el ordenador cuántico. Esta solución propia que he dado al problema de cumplir la condición de la Eq. (3) da buenos resultados.

Referente a la topología física del ordenador, dado que el “quantum annealer” de D-Wave tiene número limitado de qubits así como una conectividad parcial entre ellos, el número de datos que pueden ser usados para entrenar el SVM es mucho menor al de la versión clásica. Para sobrepasar estas limitaciones he decidido dividir los datos de entrenamiento en distintos trozos más pequeños, llevar a cabo el entrenamiento para n de estas partes y la función de decisión final usada para hacer nuevas predicciones la obtengo del promedio de los resultados.

RESULTADOS

En esta sección comparo los resultados de clasificación del algoritmo sobre el ordenador de Dwave, contra el algoritmo SVM clásico y un simulador de “quantum annealing”. Este último simula en el ordenador clásico un anneling ideal, sin limitaciones físicas ni ruido, pero requiere mucho más tiempo de ejecución que el annealer real al carecer del paralelismo cuántico. La evaluación de los modelos es la habitual en algoritmos de “machine learning”.

HIPERPARÁMETROS

En cuanto a los hiperparámetros, para la versión cuántica tenía que escoger el valor de K, que es el número de qubits usado para codificar cada multiplicador de Lagrange, y el valor de γ para el kernel Gaussiano. He igualado K a 2 y γ a 16, que son valores cogidos de [5]. En el modelo clásico, se usa el mismo hiperparámetro para el kernel y hay otro hiperparámetro C, llamado el parámetro de regularización, que se debe de ajustar. Este parámetro afecta la tolerancia de errores y se tiene que ajustar de manera que no haya ni “underfitting” (infraajuste) ni “overfitting”.

353 
(9)
¿En qué medida superan los ordenadores de “quantum annealing” a los ordenadores clásicos?

CERTAMEN JÓVENES INVESTIGADORES / Tecnología e Ingeniería

El parámetro de regularización lo definimos como por lo que en este caso, como K=2, C es 3.

MÉTRICAS DE CLASIFICACIÓN

Por lo que concierne las métricas de clasificación, hay distintas medidas que tienen en cuenta el número de verdaderos positivos (VP), verdaderos negativos (VN), falsos positivos (FP) y falsos negativos (FN) que predice el modelo. En primer lugar, la precisión de las predicciones se define como Precisión = VP/(VP+FP). La sensibilidad, también conocida como tasa positiva verdadera (TPV), se define como TPV = VP/(VP+FN). Otra medida es la puntuación f1, que es una media ponderada de la precisión y la sensibilidad: Puntuación f1 = 2*Precisión*Sensibilidad/(Precisión+Sensibilidad). Además, la exactitud de clasificación es otra métrica muy usada que se define como Exactitud = (VP+VN)/ (VP+VN+FP+FN). Finalmente, hay otra métrica que he usado que se llama la curva característica operativa del receptor (COR), aunque normalmente se usa el acrónimo en inglés ROC, que es la curva que se obtiene al trazar un gráfico de la tasa positiva verdadera (TPV) respecto la tasa positiva falsa (TPF). La TPF se define como TPF = FP/(FP+VN). El área debajo de la curva ROC (AUC del inglés “Area Under the Curve”) es una medida robusta y fiable para medir la calidad del SVM, donde un modelo que hace predicciones perfectas tiene un AUC de 1. El AUC se puede entender como la probabilidad de que un ejemplo de la clase positiva se clasifique en esa clase.

COMPARACIÓN DE LOS RESULTADOS DE CLASIFICACIÓN CON DATOS REALES

Para comparar los resultados de clasificación de los distintos modelos usando las métricas explicadas en el apartado anterior, he ejecutado los algoritmos con dos conjuntos de datos reales distintos.

BREAST CANCER WISCONSIN DATA SET

El primer conjunto de datos es el “Breast Cancer Wisconsin Data Set” [8], que tiene 699 muestras con 10 atributos. Las dos clases son tumores benignos, +1, y tumores malignos, -1. El único preprocesamiento que se hace a los datos es escalarlos entre -1 y 1 y usar el 70% de los datos para el entrenamiento y el 30% restante para las predicciones.

En el caso del ordenador cuántico de “annealing”, como se ha mencionado en una sección anterior, debe ejecutar el entrenamiento con varios trozos más pequeños de los datos de entrenamiento, que en este caso es un total de 5 trozos de 9 datos cada uno. Para entender mejor las limitaciones físicas del ordenador cuántico, en la Figura 1, se puede ver cómo se representa uno de los trozos

32º
354 
(10)

¿En qué medida superan los ordenadores de “quantum annealing” a los ordenadores clásicos?

con 9 datos en el ordenador de D-Wave. La pantalla izquierda muestra un total de 18 qubits, 2 qubits representando cada multiplicador de Lagrange, donde hay algunos en color naranja, que significa que han colapsado en el estado 1, y otros de color blanco, que significa que han colapsado en un 0. En la pantalla derecha, se puede ver cómo es la arquitectura real del ordenador, llamada grafos Chimera, donde los qubits en estado 1 son de color azul y los de estado 0 son blancos.

En la Figura 2, se muestra seleccionado un solo qubit, dándonos información sobre su coeficiente linear, su estado y la longitud de la cadena. Este último término significa que hay varios qubits reales que representan un solo qubit teórico. Lo que quiere decir, en este caso, es que los 6 qubits marcados en los grafos Chimera representan un mismo qubit, a54(q1). Esto se hace porque la conectividad en los grafos Chimera es limitada, y para que un qubit se pueda conectar a otros 17, como en este caso, se deben usar varios qubits reales para hacer todas las conexiones.

Conectividad del ordenador de D-Wave, generada con dwave. inspector

Representación de un qubit en el ordenador de D-Wave, generada con dwave.inspector

El algoritmo ejecutado en el ordenador cuántico repite el entrenamiento para 5 trozos y con el algoritmo clásico se ejecuta un total de 3 veces y se promedian sus métricas. Las métricas de los tres clasificadores, el clásico, el simulador de “quantum anneling” y el “quantum annealing” real en el ordenador, son extremadamente satisfactorias, como se puede ver en la Tabla 1, ya que todos los valores están por encima de 0.900.

355 
Figura 1 Figura 2

Como se puede ver, no sólo las métricas son realmente buenas en los tres algoritmos sino que también se puede ver como el enfoque cuántico supera ligeramente al clásico. Además, comparando las métricas del simulador y las del ordenador cuántico real de D-Wave, se puede ver que el simulador de “annealing” obtiene mejores resultados aunque ambos usen la misma formulación de QUBO. La razón por lo que esto pasa es porque el simulador no tiene las limitaciones de conectividad por lo que se puede entrenar con muchos más datos, aunque el tiempo de ejecución fue mucho mayor. Por lo que respecta a la curva ROC y el AUC, son casi perfectos en el algoritmo clásico, en las tres ejecuciones el AUC es el mismo y la curva ROC varía ligeramente, como se puede ver en la Figura 3. En el caso del enfoque cuántico, tanto en el simulador como en el ordenador real, la curva ROC y el AUC son perfectos, como se puede ver en las Figuras 4 y 5. Hay que darse cuenta de que el área debajo de las curvas ROC para los modelos cuánticos no puede ser exactamente 1 porque entonces la curva ROC tendría que pasar por los márgenes de la imagen pero sigue habiendo un cierto espacio. Esto quiere decir que si el cálculo del AUC fuese más preciso y tuviese más cifras significativas, se vería como no es exactamente 1 pero la diferencia es tan pequeña que es negligible a efectos prácticos.

32º CERTAMEN
356 
JÓVENES INVESTIGADORES / Tecnología e Ingeniería
MÉTRICAS CLÁSICO ORDENADOR D-WAVE “ANNEALING” SIMULADO Precisión 0.930 0.943 0.944 Sensibilidad 0.935 0.957 0.971 Puntuación F1 0.933 0.950 0.957 Exactitud 0.953 0.966 0.971
Tabla 1 Métricas de clasificación de los tres modelos Figura 3 ROC y AUC del modelo clásico

¿En qué medida superan los ordenadores de “quantum annealing” a los ordenadores clásicos?

HTRU2 DATA SET

El segundo conjunto de datos usado es el “HTRU2 Data Set” [9] [10], que tiene 17898 muestras con 8 atributos cada una. Las dos clases son pulsar, +1, y no-pulsar, -1. Este conjunto de datos es imbalanceado y para remediarlo he llevado a cabo la técnica de “undersampling” (inframuestreo). De nuevo, los datos se escalan entre -1 y 1 y se dividen los datos en un subconjunto de entrenamiento, esta vez del 10%, y otro de predicciones, el 90% restante. El algoritmo clásico se ejecuta 3 veces y se calcula el promedio de las métricas

En esta ocasión, los resultados de los tres clasificadores son también extraordinarios, como se puede ver en las métricas en la Tabla 2, que están todas por encima de 0.800, valor a partir del cual un modelo de “machine learning” se considera excelente.

357 
Figura 4 ROC y AUC del modelo del ordenador cuántico Figura 5 ROC y AUC del modelo del simulador

32º CERTAMEN JÓVENES INVESTIGADORES / Tecnología e Ingeniería

Los resultados de las versiones cuánticas de SVM siguen siendo realmente satisfactorios. En cuanto a las curvas ROC y el AUC, son casi perfectos en los tres clasificadores, con solo una diferencia de 0.1 entre el modelo clásico y los modelos cuánticos, como se ve en las Figuras 6 y 7.

358 
MÉTRICAS CLÁSICO ORDENADOR D-WAVE “ANNEALING” SIMULADO Precisión 0.970 0.821 0.852 Sensibilidad 0.863 0.896 0.876 Puntuación F1 0.913 0.857 0.864 Exactitud 0.945 0.900 0.907
Tabla 2 Métricas de clasificación de los tres modelos Figura 6 ROC y AUC del modelo clásico Figura 7 ROC y AUC del modelo del ordenador cuántico Figura 8 ROC y AUC del modelo del simulador

Todo el código fuente para ejecutar los algoritmos QSMV puede obtenerse en mi github https://github.com/carlacarov/d-wave-projects/blob/master/quantum-svm.py.

CONCLUSIONES

En esta investigación, he podido formular y resolver dos problemas propios de optimización de ajedrez en “quantum annealing”, para proporcionar una idea clara de la formulación de problemas como QUBO. Además, a través de la propuesta de un algoritmo de “support vector machine” cuántico, no sólo he demostrado que es posible realizar este algoritmo de “machine learning” en un ordenador de “quantum annealing”, sino que también he probado que sus resultados de clasificación son realmente buenos. Teniendo en cuenta que la computación cuántica es un campo emergente que tiene mucho margen de mejora, no es poco realista pensar que superará a los ordenadores clásicos en muchos aspectos. En ese sentido, estas conclusiones responden a mi pregunta de investigación. Como se ha visto, el rendimiento de clasificación del algoritmo de “support vector machine” cuántico es absolutamente satisfactorio para los dos conjuntos de datos probados, pero todavía hay margen para mejorar el enfoque y sería necesario probarlo con más conjuntos de datos. Por ejemplo, dadas las limitaciones físicas de conectividad de los qubits en el ordenador de D-Wave, tuve que dar una solución que implicaba usar menos datos de entrenamiento y considerar varias muestras de baja energía. Este aspecto podría mejorarse con un aumento del número de qubits y conexiones o una mejor comprensión de la arquitectura del ordenador para optimizar la conectividad. Este último punto podría ser un área de futura investigación. Finalmente, llevar a cabo el proceso de validación cruzada y optimización de hiperparámetros podría mejorar el SVM.

359 
¿En qué medida superan los ordenadores de “quantum annealing” a los ordenadores clásicos?

REFERENCIAS

[1] D-Wave Systems. n.d. D-Wave System Documentation. <https://docs.dwavesys.com/docs/latest/index.html>

[2] Nielsen, M A, & Chuang, I. 2000. Quantum computation and quantum information. Cambridge: Cambridge University Press.

[3] Glover, F, Kochenberger, G, & Du, Y. 2019. Quantum Bridge Analytics I: a tutorial on formulating and using QUBO models. 17(4):335-371.

[4] Lucas, A. 2014. Ising formulations of many NP problems. Frontiers in Physics. 2:5.

[5] Willsch, D, Willsch, M, De Raedt, H, & Michielsen, K. 2020. Support vector machines on the D-Wave quantum annealer. Computer Physics Communications. 248:107006.

[6] James, G, Witten, D, Hastie, T, & Tibshirani, R, 2013. An introduction to statistical learning. New York (NY): Springer. Vol. 112. p. 18.

[7] Patrick H. Winston. Fall 2010. 6.034 Artificial intelligence. Lecture 16: Learning: Support Vector Machines. Massachusetts Institute of Technology: MIT OpenCouseWare, https://ocw.mit.edu/. License: Creative Commons BY-NC-SA.

[8] O. L. Mangasarian & W. H. Wolberg. September 1990. Cancer diagnosis via linear programming. SIAM News. Vol. 23. Number 5. p. 1 & 18.

[9] Lyon, R J, Stappers, B W, Cooper, S, Brooke, J M, Knowles, J D, Fifty Years of Pulsar Candidate Selection: From simple filters to a new principled real-time classification approach. Monthly Notices of the Royal Astronomical Society. 459 (1). 1104-1123. DOI: 10.1093/mnras/stw656

[10] Lyon, R J. HTRU2. DOI: 10.6084/m9.figshare.3080389.v1

32º CERTAMEN
360 
JÓVENES INVESTIGADORES / Tecnología e Ingeniería

HandVision – Desarrollo de un prototipo tiflotecnológico de sustitución sensorial

/ PRIMER PREMIO

AUTORA | CLARA FUERTES NOVILLO

COORDINADOR | RAÚL MARTÍN GÓMEZ

CENTRO | IES PINTOR ANTONIO LÓPEZ

CIUDAD | TRES CANTOS-MADRID

RESUMEN |

Setenta y dos mil españoles sufren una pérdida de visión significativa. A nivel mundial, hay 36 millones de personas ciegas; sin embargo, menos de la mitad de ellos se valen del bastón o de otros sustitutos sensoriales más costosos para la realización de sus actividades diarias.

La calidad de vida de esta parte de la población se ve consecuentemente afectada por la falta de independencia, y por los desafíos que ello conlleva. Con objeto de mitigar esto, este estudio analiza el desarrollo íntegro de un prototipo para un Dispositivo de Sustitución Sensorial, orientado a personas invidentes o con discapacidad visual, económico y de código abierto. Este prototipo tratará de traducir la información visual en una respuesta háptica y auditiva, permitiendo al usuario desde la movilidad autónoma hasta el reconocimiento de formas y colores básicos. El dispositivo ha sido diseñado, construido y programado partiendo de cero, y de una idea original. Además de su construcción, se ha desarrollado el software de control que lleva cargado el microprocesador y una aplicación móvil de Android para el manejo accesible del mismo. Para ello, se han empleado técnicas tales como el diseño e impresión 3D, la programación en Arduino, y el desarrollo app para Android; todo ello sin perder de vista el objetivo de conseguir un producto de bajo coste, asequible para todos.

TECNOLOGÍA E INGENIERÍA  362
REPRESENTANTE CERTAMEN COMPETITIVO INTERNACIONAL DE INVESTIGACIÓN EXPORECERCA JOVE EN BARCELONA

ABSTRACT |

Seventy-two thousand Spanish have significant vision loss. Globally, there are 36 million blind people, but less than half of this population do use white canes or more costly commercial sensory substitutions on a daily basis.

The quality of life for visually impaired people is hampered by the resultant lack of independence and the challenges this implies. To help alleviate this, this study reports on the complete development of a low-cost, open-source Sensory Substitution System intended for blind or visually-impaired people. This prototype will intend to transform visual information into tactile or audible feedback; therefore, it will permit the user both, a safe mobility and the recognition of basic colors and forms. The device has been largely designed, programmed and built from scratch. In addition to its physical making, both the control software of the microcontroller and the Android app used for its handling have been developed. In order to accomplish this goal, techniques such as 3D design and printing, Arduino programming or Android app development have been used. Yet, the objective of obtaining a low-cost, affordable product, has been kept in mind.

TECNOLOGÍA E INGENIERÍA 363 

1. INTRODUCCIÓN. TECNOLOGÍAS DE ASISTENCIA (AT)

El término tecnologías de asistencia (AT) engloba todos aquellos productos tecnológicos diseñados para incrementar, mantener o mejorar las capacidades funcionales de las personas con discapacidad.

La investigación e inversión en el campo de las AT es poco atractiva para la mayoría de sectores en comparación con otras aplicaciones de la tecnología. En un estudio reciente [2], el desarrollo de tecnologías para la discapacidad aparece presente únicamente en proyectos de universidades, y sólo representa un 3% en las fuentes gubernamentales. Cabe destacar además que, de entre todos los proyectos enfocados a la discapacidad analizados en este estudio, únicamente el 11,1% de ellos estaban relacionados con la discapacidad visual.

1.1. TIFLOTECNOLOGÍA

Dentro del campo de las AT, la tiflotecnología comprende aquellos productos tecnológicos diseñados exclusivamente para personas con impedimentos de visión. En general, estos productos presentan un coste muy elevado (del orden de 10.000€); por lo que la mayoría de personas con discapacidad visual recurren únicamente al uso de tecnologías más rudimentarias, como el bastón tradicional, para la realización de sus actividades diarias [3,4].

1.2. SISTEMAS DE SUSTITUCIÓN SENSORIAL

Muchos de los productos tiflotecnológicos constituyen Dispositivos de Sustitución Sensorial o SSD: dispositivos que constan de sensores encargados de recopilar información del entorno, interpretarla, y traducirla en estimulaciones de uno de los sentidos humanos. Con ello se pretende ayudar o sustituir por completo un sentido defectuoso, como puede ser la vista, por otro sentido.

Los más popularizados (y lo utilizado en este proyecto) son los SSD vibrotáctiles, los cuales traducen la información visual en estimulaciones del sentido del tacto empleando estimuladores vibrotáctiles.

2. DESARROLLO DEL PROTOTIPO

2.1. OBJETIVOS

La motivación de este proyecto recae en la perspectiva de poder aportar ayuda a un campo donde el desarrollo de nuevas tecnologías es de gran interés e importancia, y sin embargo se realiza en muy pequeña medida. De la misma manera, la posibilidad de contribuir a democratizar el uso de la tecnología, y de idear y crear un instrumento capaz de realmente ayudar a las personas ha supuesto un gran estímulo.

32º
364 
CERTAMEN JÓVENES INVESTIGADORES / Tecnología e Ingeniería

HandVision – Desarrollo de un prototipo tiflotecnológico de sustitución sensorial

El objetivo global de este proyecto es estudiar si es posible idear y desarrollar un prototipo para un dispositivo de sustitución sensorial, orientado a mejorar la calidad de vida de las personas invidentes, o con discapacidad visual.

Como objetivos parciales, se estableció lo siguiente:

• En primer lugar, obtener un prototipo funcional capaz de traducir la información visual tanto en una respuesta háptica (táctil) como auditiva.

• En segundo lugar, obtener un prototipo de bajo coste. Para ello se determinó que se utilizarían archivos de código abierto e impresión 3D.

• En tercer lugar, obtener un dispositivo accesible para personas con visión reducida. Para ello se determinó implementar una app móvil mediante la cual el prototipo se controlaría íntegramente por comandos de voz.

A continuación, se procedió a determinar las funciones que el prototipo sería capaz de realizar. Para ello se contó con la gran ayuda de una persona invidente, gracias a quien se pudieron adaptar las decisiones en función de sus necesidades y limitaciones en el día a día. Así, se propuso que el dispositivo fuera capaz de lo siguiente:

• Detectar obstáculos para permitir una movilidad segura. El usuario podría detectar la distancia a obstáculos de dos formas diferentes: mediante la app móvil, que proporcionaría una respuesta auditiva; y mediante el sentido táctil, ya que dispondría de pequeños motores vibradores, que cambiarían su intensidad en función de la cercanía o lejanía de los objetos.

• Reconocer colores. El usuario podría reconocer diferentes colores al tocarlos gracias a la respuesta auditiva proporcionada por la app móvil.

• Reconocer formas básicas dibujadas en una superficie. El usuario podría “sentir” la claridad u oscuridad de la superficie mediante vibraciones de diferente intensidad, las cuales transformarían las líneas de las formas en una sensación de “relieve”.

2.2. PLANIFICACIÓN

El plan de trabajo para el desarrollo del prototipo constó de cuatro áreas de trabajo principales, las cuales se desarrollaron de forma coetánea:

365 

2.3. MATERIALES Y MÉTODOS

2.3.1. ELECTRÓNICA

En primer lugar, se estableció que el prototipo se diseñaría utilizando el hardware y software libre de Arduino, plataforma de creación de electrónica de código abierto. A continuación, se analizaron y determinaron los componentes electrónicos necesarios para que el prototipo acometiese las distintas funciones. Estos son:

• Placa controladora bq ZUM CORE. Basada en el microcontrolador ATMega328, incorpora el IDE de Arduino y la tecnología de Bluetooth integrada, lo que será importante para el desarrollo app.

• Sensor ultrasónico HC-SR04. Mediante este sensor se pueden determinar distancias en un rango de 2 cm a 1000 cm.

• Sensor de color Adafruit TCS34725, específicamente diseñado para el reconocimiento de colores. Integra sensores RGB6 y de luz blanca.

• Sensor infrarrojo QRE1113 Funciona determinando la claridad de las superficies en función de la reflexión que la luz experimenta en ellas.

• Motor de vibración ROB-08449. De 3mm de grosor y con intensidad modulada, constituye los actuadores vibrotáctiles del proyecto.

Por un lado, los sensores se conectan a los pines de entrada. Se han utilizado cuatro sensores IR conectados a pines analógicos (A0, A1, A2, A3) con objeto de obtener valores continuos de intensidad lumínica para así poder determinar tonos grises en vez de únicamente blanco/negro. Por otra parte, encontramos un sensor de color conectado a los pines analógicos A4 y A5; y un sensor ultrasónico conectado a los pines digitales D6 y D7.

32º
366 
CERTAMEN JÓVENES INVESTIGADORES / Tecnología e Ingeniería
Figura 1 Esquemático del circuito

HandVision – Desarrollo de un prototipo tiflotecnológico de sustitución sensorial

En cuanto a los actuadores, se han utilizado cuatro motores conectados a los pines de salida D3, D9, D10 y D11. Estos son pines modulados, lo que permite modular la intensidad de la vibración de cada motor en función del valor analógico que se reciba, midiéndose este en una escala del 0 al 255. Se observó empíricamente que los valores enviados no correspondían exactamente con la actividad de los motores: ninguno se activaba en valores por debajo de 100. Por lo tanto, hubo que experimentar con ellos para obtener, en cada caso, cuál era el valor en el que se producía la activación y ajustar el código en función de ello. Por lo tanto, hubo que experimentar con ellos para obtener, en cada caso, cuál era el valor en el que se producía la activación y ajustar el código en función de ello.

La alimentación del circuito se realiza mediante una batería externa, que permite la movilidad del prototipo.

Para la integración de todos los componentes en el circuito fue necesario un largo y minucioso proceso de soldado y cableado. El esquemático puede consultarse en la Figura 1.

2.3.2. DISEÑO E IMPRESIÓN 3D

El diseño del prototipo es de creación propia y está íntegramente formado por piezas producidas mediante impresión 3D, usando el modelado por deposición fundida (FDM). La modelización de los archivos tridimensionales (STL) se realizó utilizando el software gratuito de Tinkercad,y Clara.io

Se determinó el uso de dos materiales diferentes: el ácido poliláctico (PLA), polímero biodegradable derivado del ácido láctico que ofrece una apariencia rígida; y el material flexible Filaflex, fabricado de TPE.

En cuanto a la apariencia del diseño, se determinó lo siguiente:

• Para permitir la respuesta háptica en los dedos, el prototipo debería ir obligatoriamente colocado en la mano del usuario y adaptado a ella.

• Para permitir que el usuario lo pudiera utilizar tanto en la mano izquierda como en la derecha tendría un diseño versátil. Del mismo modo, debía ser sencillo de personalizar a diferentes medidas de mano.

• Integraría los diferentes componentes y cableado, en el mínimo espacio y ofreciendo un diseño atractivo que permitiese la movilidad de la mano.

• El componente ultrasónico debería ir colocado en el dorso de la mano para su correcto funcionamiento.

Se diseñaron, por un lado, las piezas que irían impresas en PLA, y que constituirían los soportes para los sensores infrarrojos, de color y ultrasónico; y para los motores de vibración. Por otro lado, se diseñaron los brazaletes, piezas que

367 

CERTAMEN JÓVENES INVESTIGADORES / Tecnología e Ingeniería

se han imprimieron en FilaFlex para permitir que el diseño sea fácilmente personalizable a la anatomía de cada usuario.

Para su impresión, los archivos se procesaron mediante el programa Ultimaker Cura y se imprimieron con la impresora Witbox 2 utilizando filamentos de 1,75 mm de diámetro. Finalmente, se lijaron y pulieron para su correcto ensamblaje, y se integraron con el circuito electrónico.

2.3.3. SOFTWARE Y PROGRAMA OPERATIVO

Para programar en Arduino se pueden usar varios lenguajes de programación. En este proyecto se han combinado dos variantes de ello: el IDE Arduino, basado en el lenguaje Processing (C/C++); y Bitbloq 2, basado en la programación por acoplamiento de bloques.

El programa operativo desarrollado sigue la estructura general del lenguaje Arduino, y se explica en líneas generales a continuación. Se debe tener en cuenta que está diseñado para funcionar conjuntamente con la app móvil. El código completo se encuentra disponible en el Anexo 1.

En la primera parte del programa:

• Se incluyen librerías específicas.

• Se definen los pines usados por sensores y motores.

• Se declaran las variables en las que se guardará la información obtenida por los sensores.

• Se incluyen algunas funciones que serán utilizadas más adelante, como la de “apagado”.

La segunda parte comprende la función setup, la cual se ejecuta únicamente al iniciar la placa. En esta parte:

• Se inicializan los modos de los pines (INPUT para los sensores y OUTPUT para los motores) y el sensor de color.

La tercera parte es la principal y más extensa, y comprende la función loop. El dispositivo ejecuta esta función infinitamente y de forma cíclica.

• En primer lugar, recibe los datos enviados por la app móvil vía bluetooth, y los guarda en una variable. Estos datos tendrán distintos valores, ya que indican aquello que hemos seleccionado en la app (la actividad que queremos que el dispositivo realice). En función del valor de estos datos, el prototipo entrará en un modo u otro.

32º
368 

HandVision – Desarrollo de un prototipo tiflotecnológico de sustitución sensorial

• En el caso de que estos datos indiquen que deseamos apagar el prototipo, éste entra en el modo apagado ejecutando la función “apagado”.

• En el caso de que indiquemos que deseamos que el prototipo detecte distancias, el prototipo entrará en el modo de detección de distancias. Al inicializar este modo, se comienzan a recibir continuamente los valores de distancia obtenidos por el sensor ultrasónico, los cuales se procesan de forma que en cada segundo se obtiene la media de las distancias medidas en el mismo. La obtención de la media es necesaria, ya que en ocasiones el sensor ultrasónico realiza medidas erróneas que se deben descartar. Por lo tanto, esta media representa la medida correcta de la distancia, y será la que utilicemos y guardemos en una variable.

Una vez obtenido este número, la variable es enviada a la app móvil vía bluetooth para que aparezca en la pantalla.

Por otra parte, en función de la distancia se activa la vibración en los motores, de forma que el usuario pueda ser capaz de determinar si tiene un obstáculo delante mediante el sentido del tacto. La vibración de los motores se modula según la lejanía o cercanía mediante una función de mapeo ( map() ), que nos permite establecer una equivalencia entre el valor de la distancia ( de 0 a 1000 cm ) y la intensidad de vibración de los motores.

• En el caso de que los datos indiquen que se ha seleccionado la opción de detección de colores, éste entrará en el modo de detección de colores. Se comienzan a obtener los valores de RGB recopilados por el sensor de color, los cuales se transforman mediante una librería específica en valores de matiz y saturación. Dependiendo del valor de este matiz, el color se identifica como uno u otro, y se envía vía bluetooth para ser procesado en la app.

• En el caso de que se desee identificar formas, el prototipo entra en el modo de identificación de formas. En este modo se obtienen continuamente las mediciones analógicas de los cuatro sensores infrarrojos, y se guardan en cuatro variables diferentes que corresponden a cada sensor. Por un lado, estas variables son enviadas a la app móvil vía bluetooth. Por otro lado, en función de cada variable se modula la vibración de cada motor; de forma que a cada sensor infrarrojo le corresponde un motor que vibrará según su medición.

369 

2.3.4. DESARROLLO DE LA APLICACIÓN MÓVIL

El objetivo del desarrollo de esta app es conseguir un manejo sencillo e intuitivo del prototipo para las personas invidentes. Tanto la programación del código como el diseño de la interfaz han sido desarrollados en la web MIT App Inventor, la cual permite la programación por bloques y el diseño de las pantallas. La app está destinada a funcionar en dispositivos Android.

La conexión placa-app es bidireccional y se realiza por Bluetooth. Por una parte, la app envía información a la placa, la cual se traduce en la activación de una función u otra. Por otra parte, una vez activado el dispositivo este envía a la app las diferentes lecturas de los sensores, las cuales son guardadas en diferentes variables y procesadas en función de su tipo, de forma que puedan ser visualizadas.

La app consta de un menú y tres pantallas que se corresponden con los tres modos del prototipo, y que cuentan con su propia programación independiente:

• Desde la pantalla de reconocimiento de colores se activa el sensor de color, el cual manda al móvil datos en forma de letras que la app hace corresponder con un color específico que se muestra en la pantalla a tiempo real y se reproduce por voz.

• Desde la pantalla de medición de distancias se activa el señor ultrasónico, el cual envía datos numéricos que la app procesa para mostrar o reproducir por voz. Asimismo, se alerta al usuario si hay un objeto demasiado cerca mediante una alarma programada

• En la pantalla de identificación de formas la recepción de datos es más compleja, ya que obtenemos datos de cuatro sensores diferentes. Estos se envían en una cadena de información, la cual la app descompone en partes y ordena en cuatro variables diferentes que se corresponden con los cuatro dedos. Una

32º CERTAMEN JÓVENES INVESTIGADORES / Tecnología e Ingeniería 370 
Figura 2 Diagrama de flujo del programa operativo

Turn static files into dynamic content formats.

Create a flipbook
Issuu converts static files into: digital portfolios, online yearbooks, online catalogs, digital photo albums and more. Sign up and create your flipbook.
Actas del 32º Congreso de Jóvenes Investigadores - (parte 1) by Instituto de la Juventud de España - Issuu