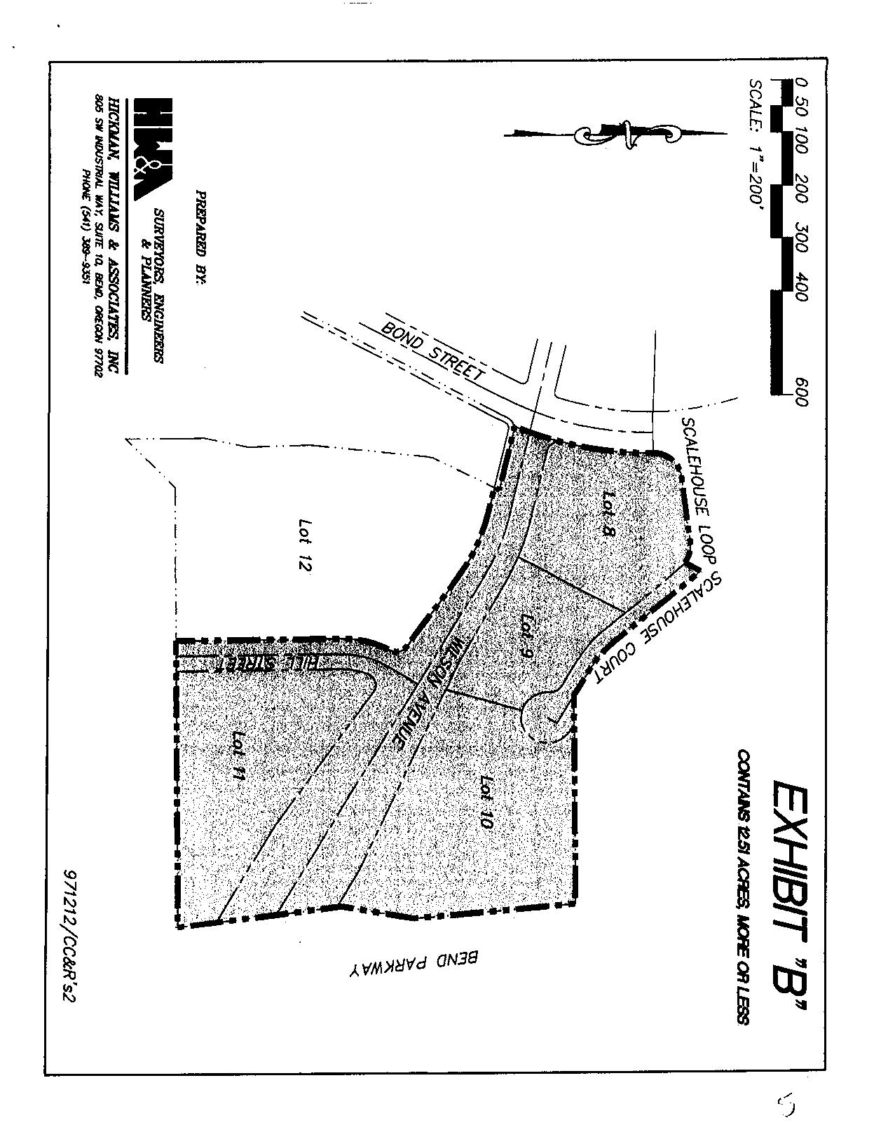
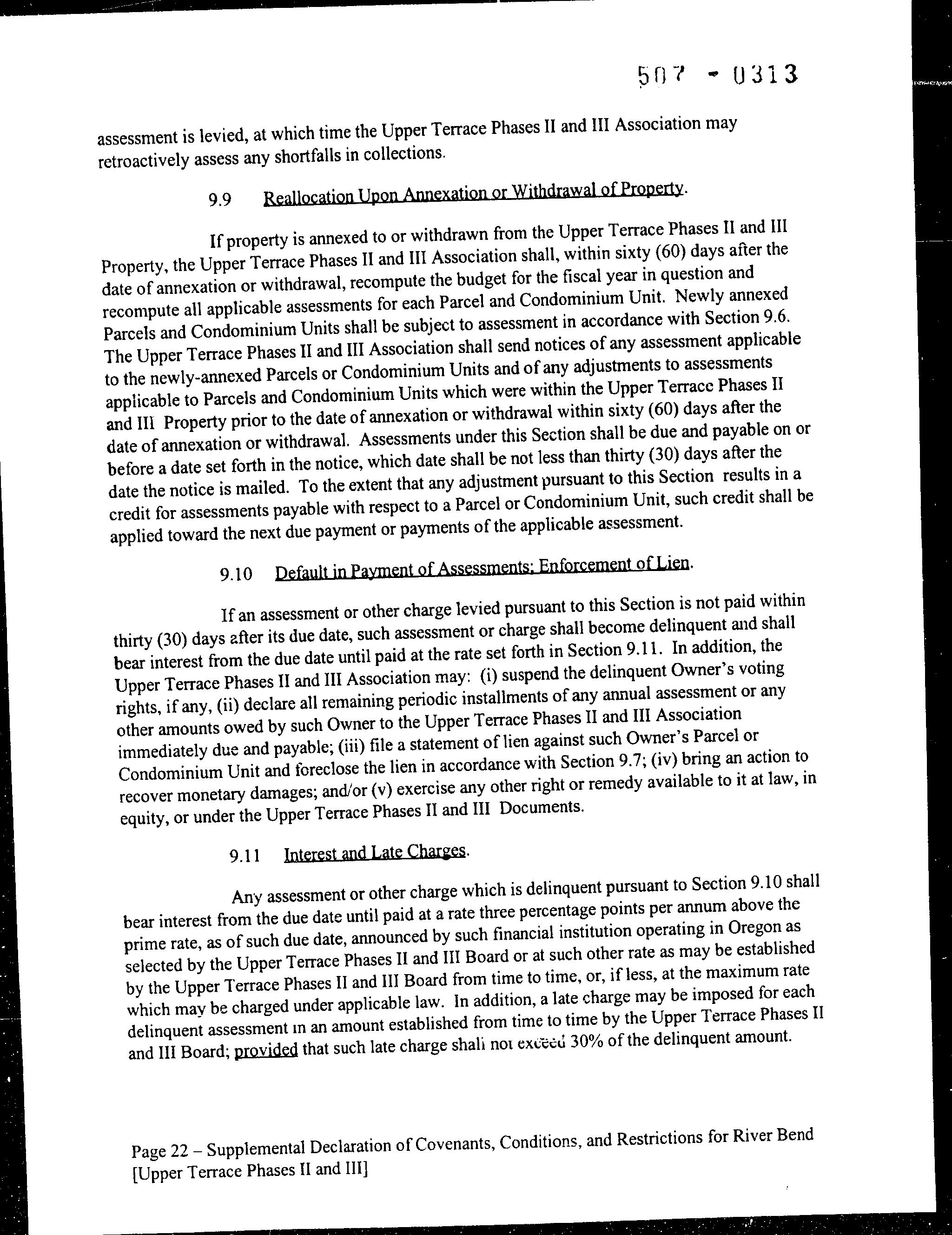
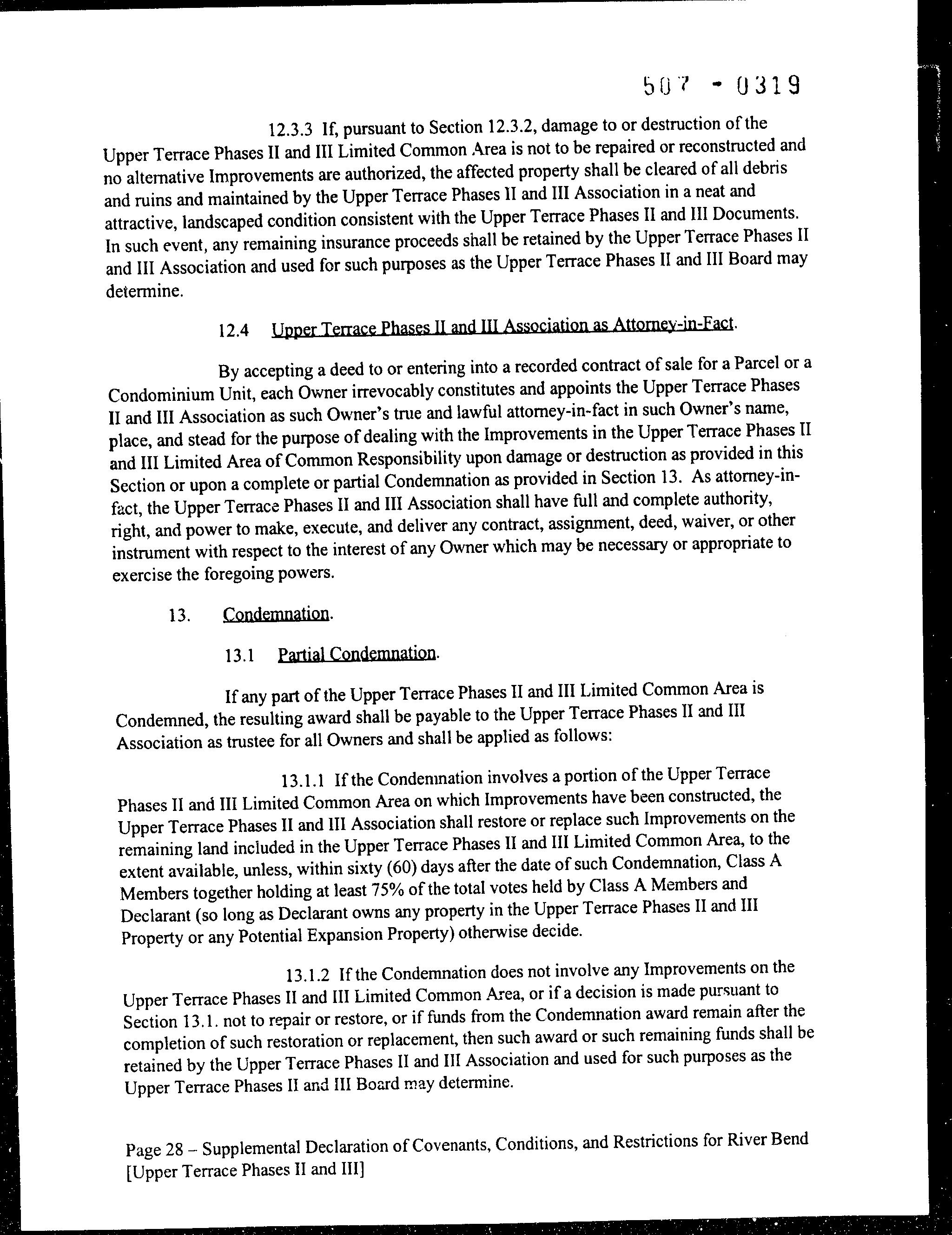
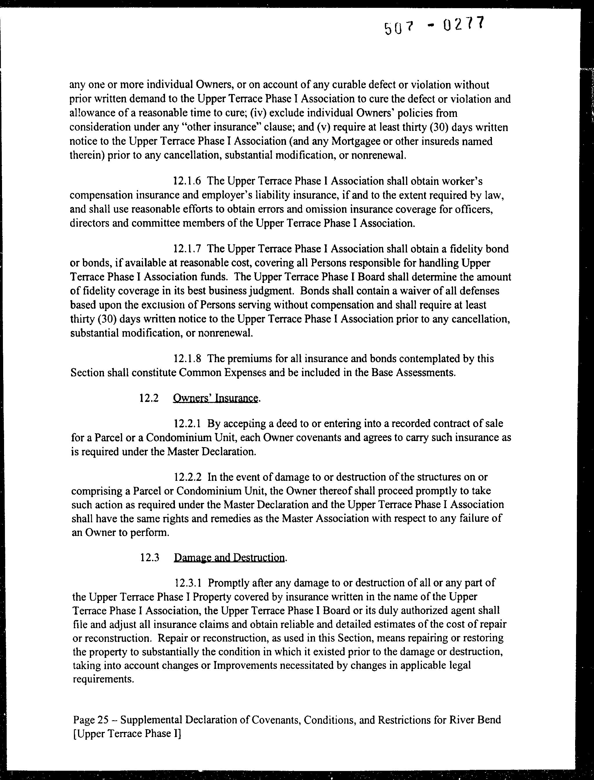
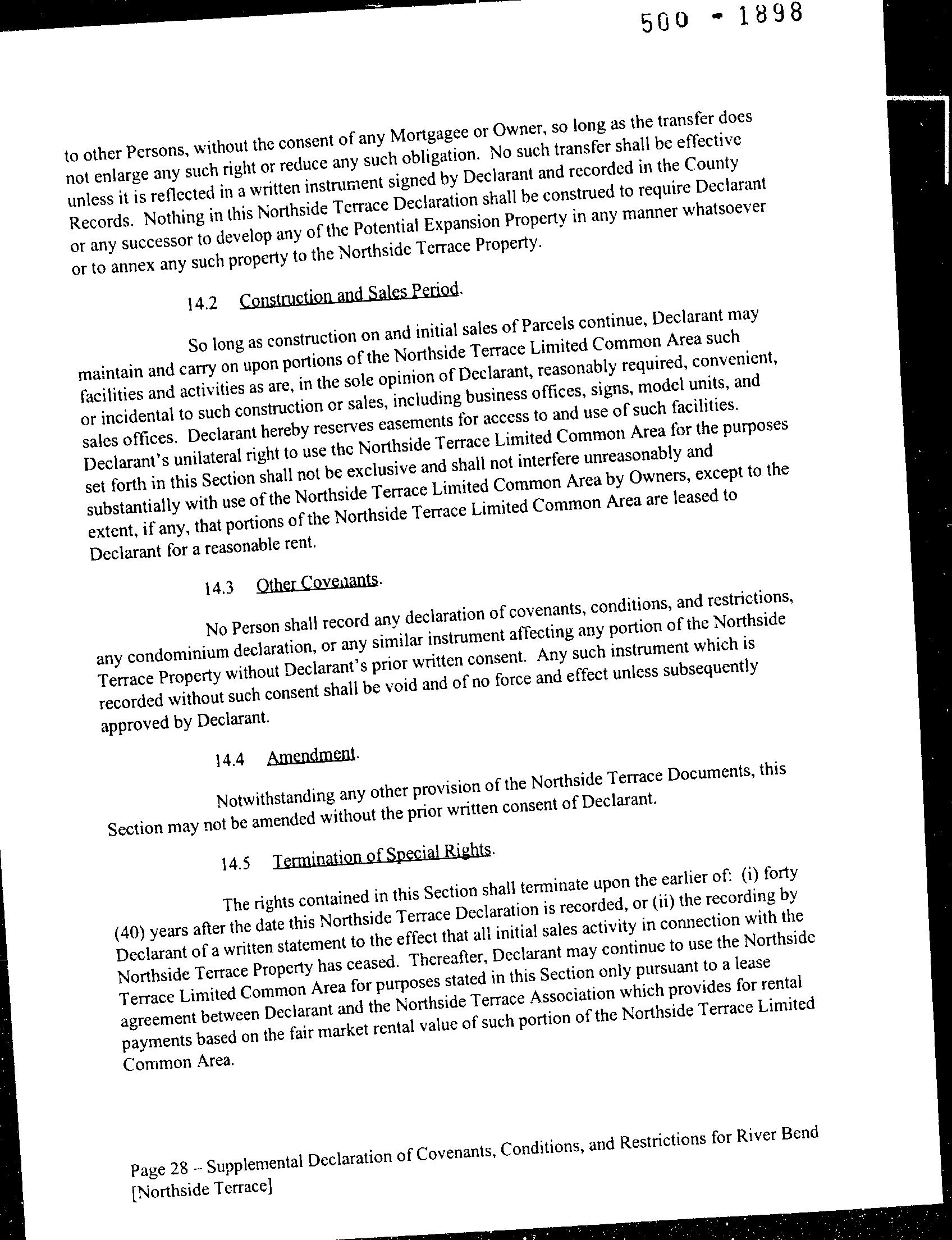
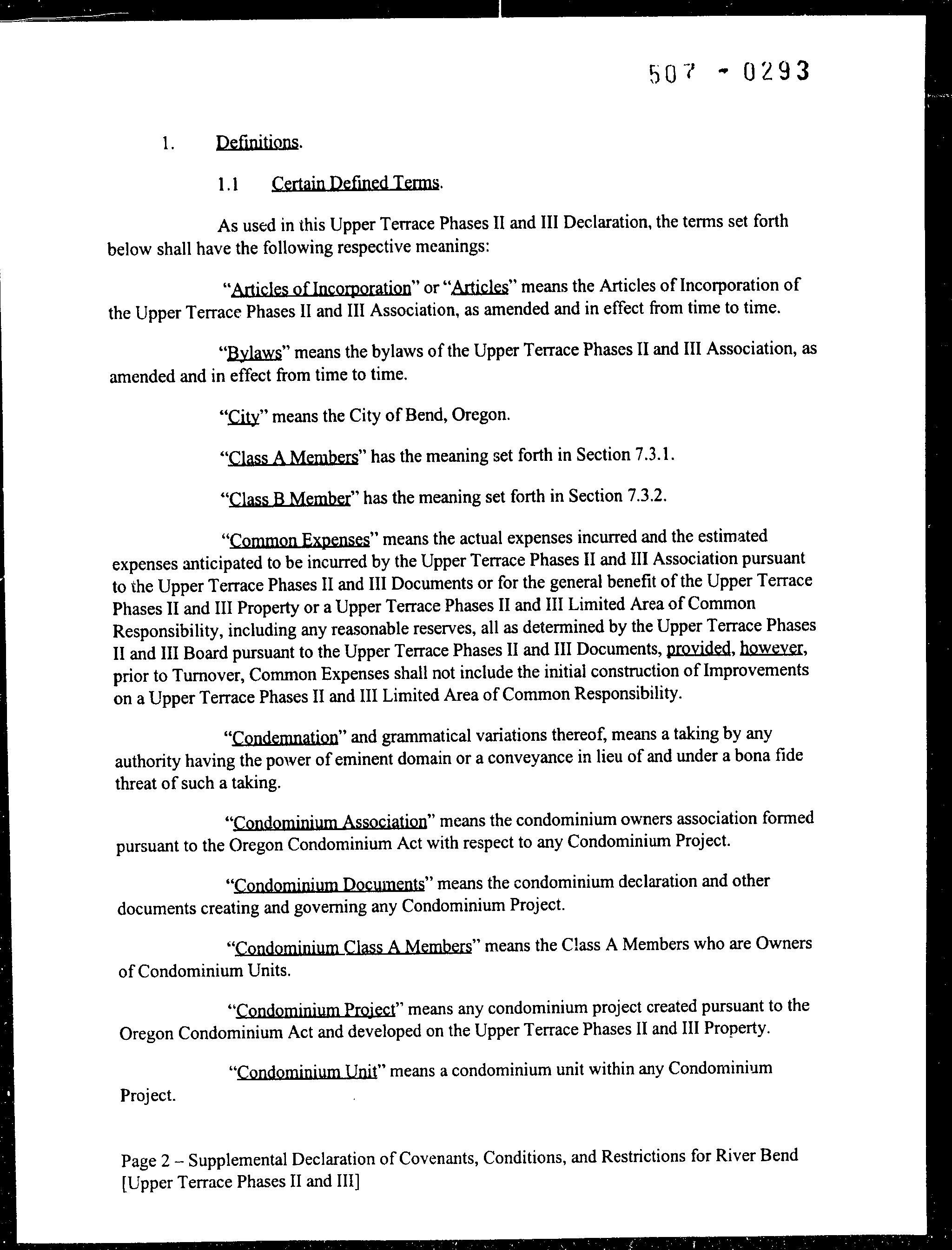
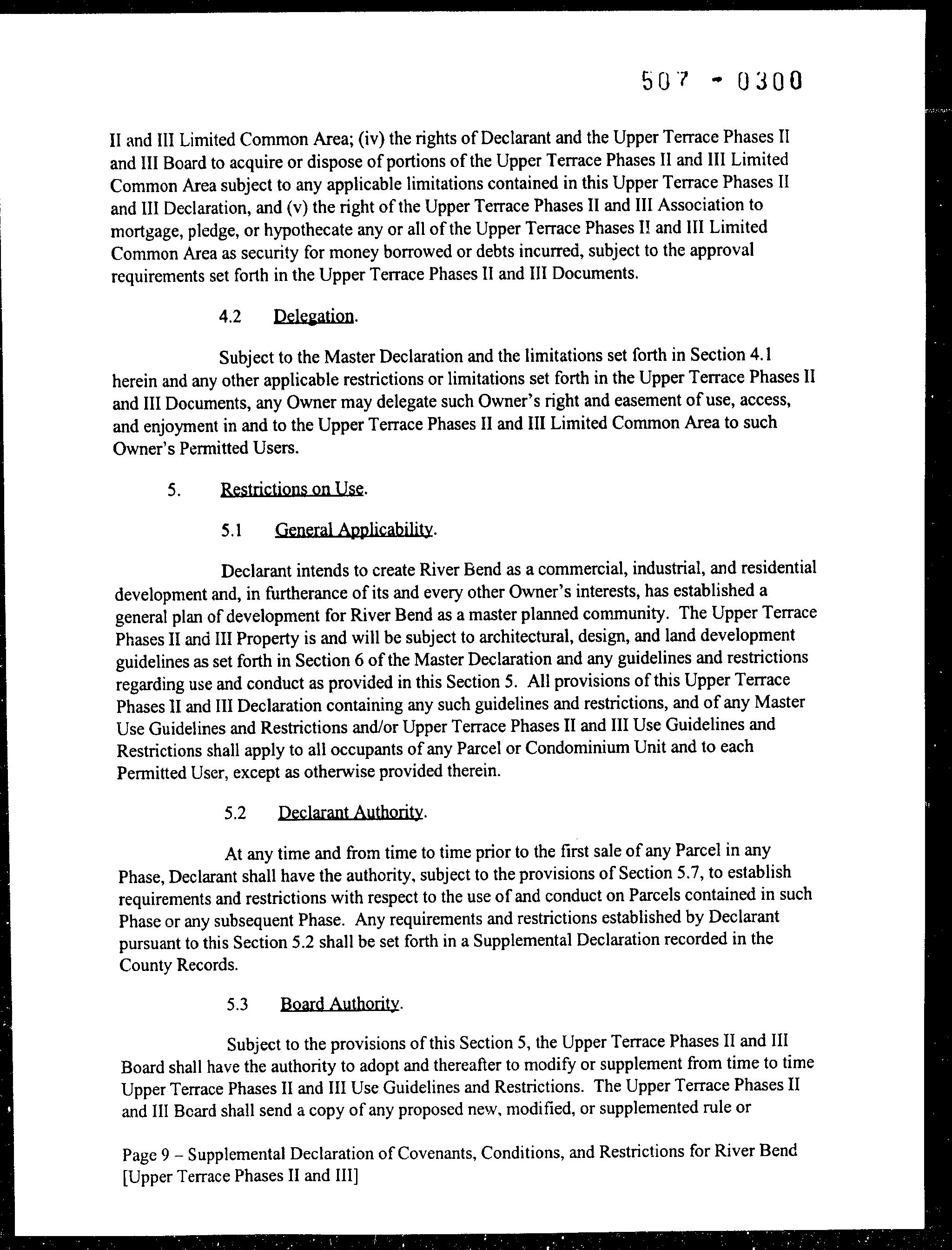
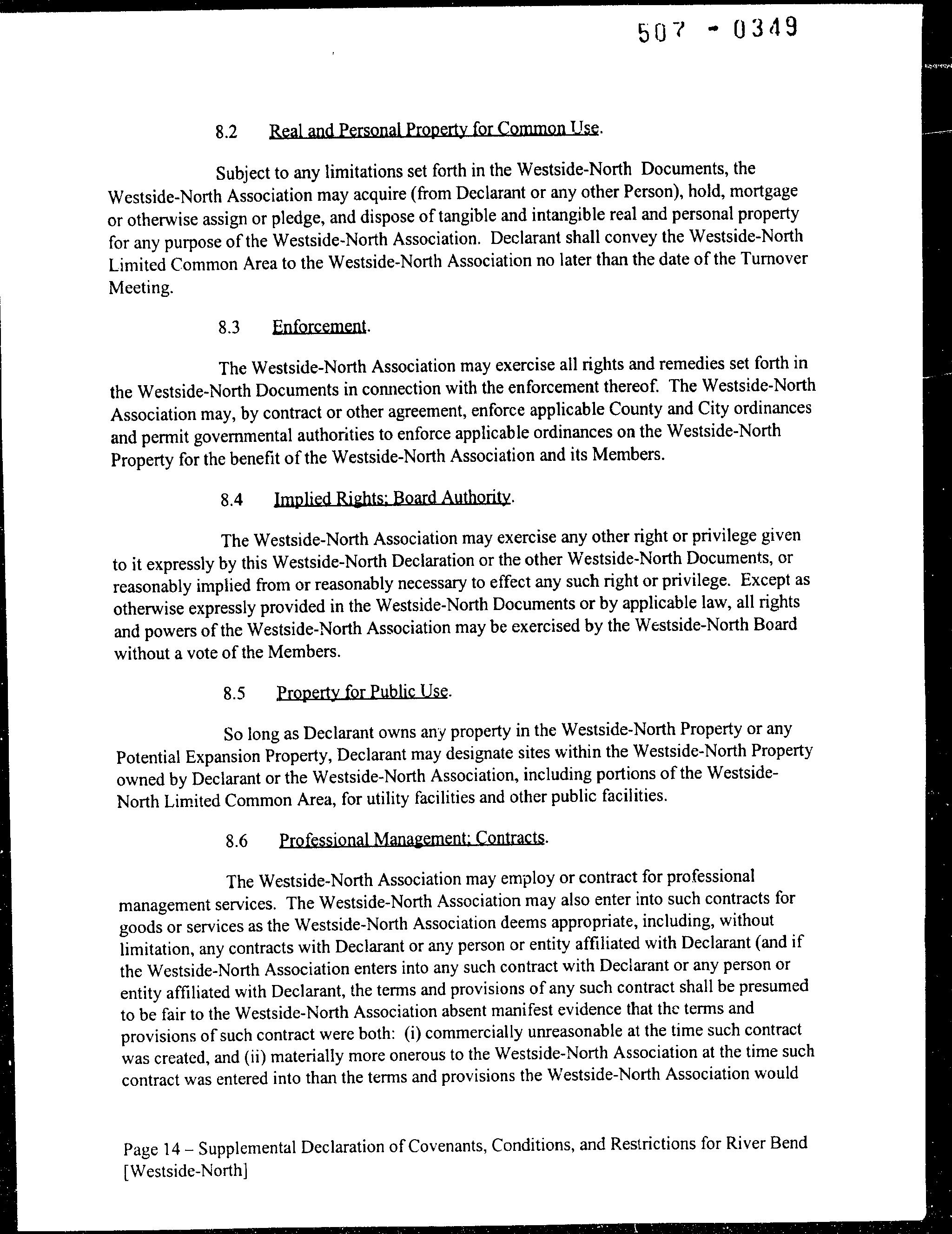
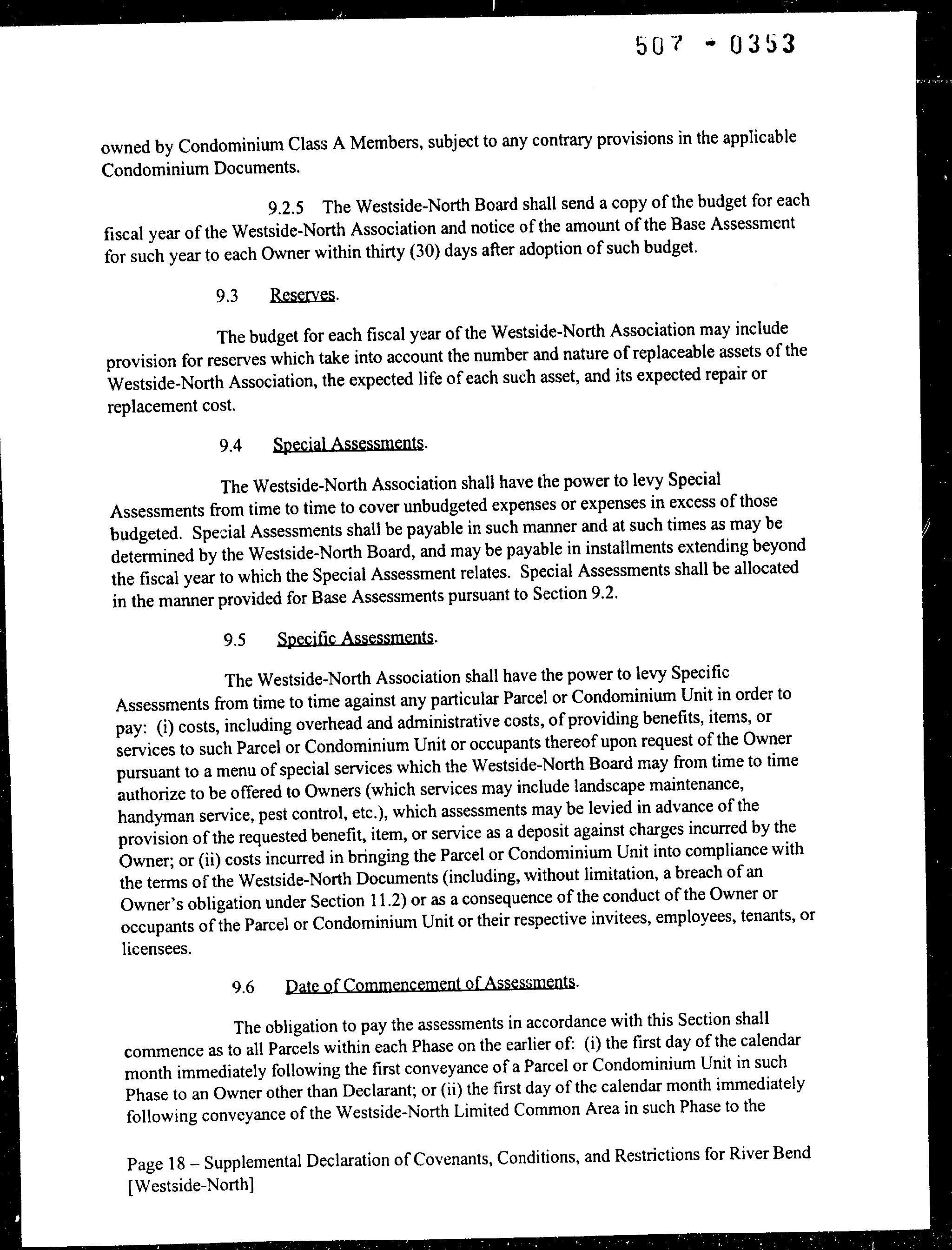
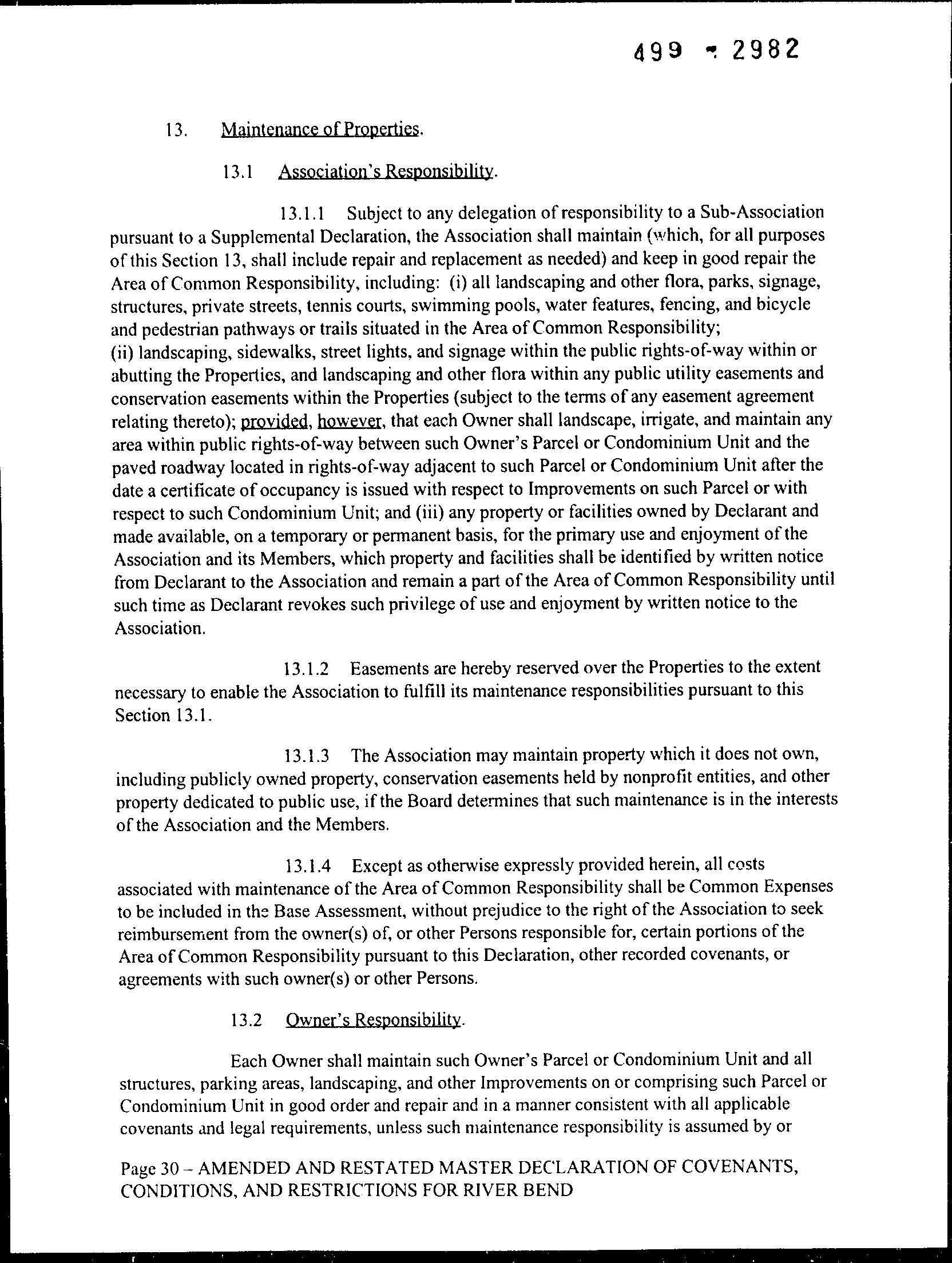
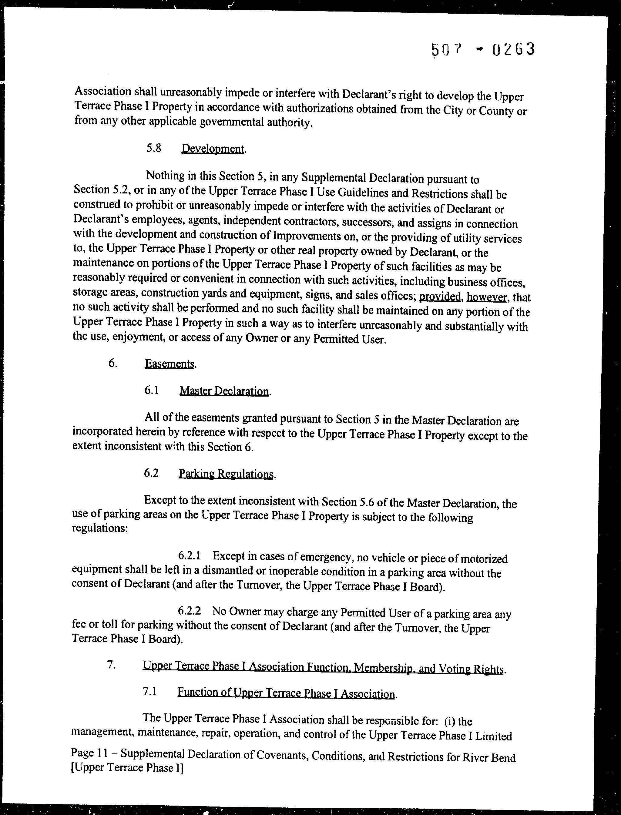
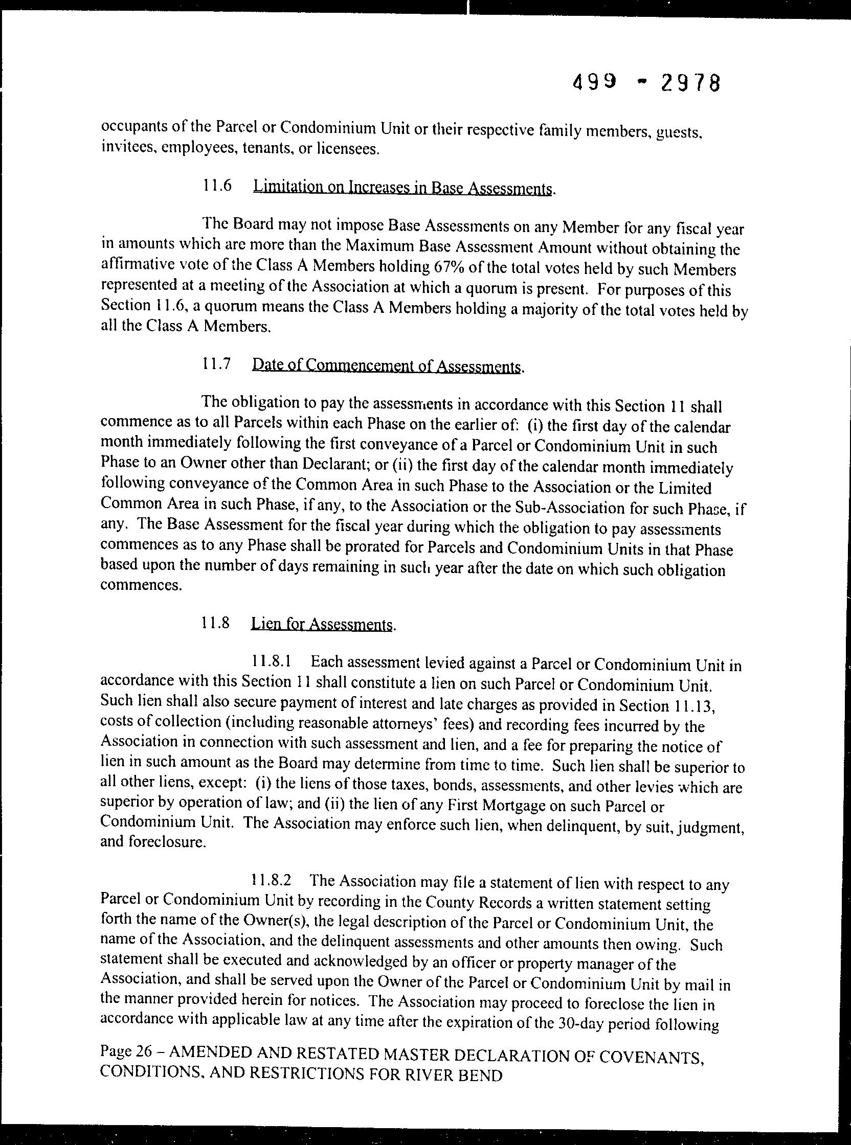
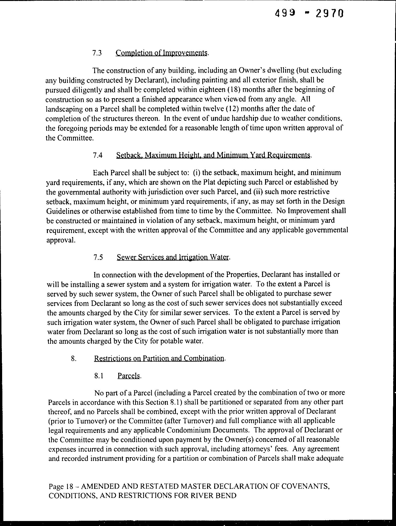
Upper Terrace Phase II CCR's

Page 1

Turn static files into dynamic content formats.

Create a flipbook
Issuu converts static files into: digital portfolios, online yearbooks, online catalogs, digital photo albums and more. Sign up and create your flipbook.
Upper Terrace Phase II CCR's by info-deschutestitle - Issuu