RIDGE AT EAGLE CREST 27
FKA
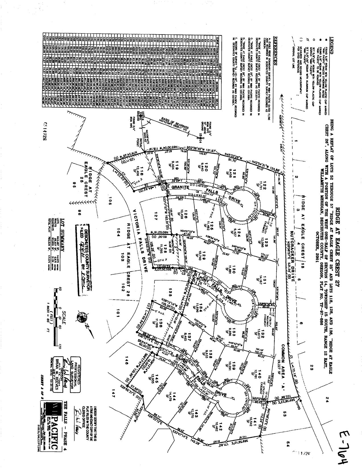
BEING A REPLAT OF LOTS_52 THROUGH 57 "RIDGE AT EAGLE CREST 25" AND LOTS 118. 1268. AND 136, "RIDGE AT EAGLE CREST 26", ALONGWITHA PORTION OF THE WEST ONE-HALF OF SECTION 14, TOWNSHIP 15 SOUTH, RANGE 12 EAST, WILLAMETTE MERIDIAN, DESCHUTES COUNTY, OREGON, PLAT NO. TP MERIDIAN. DESCHUTES COUNTY. OREGON, PLAT NO. TP-97-886 OCTOBER, 2001
DECLARATION

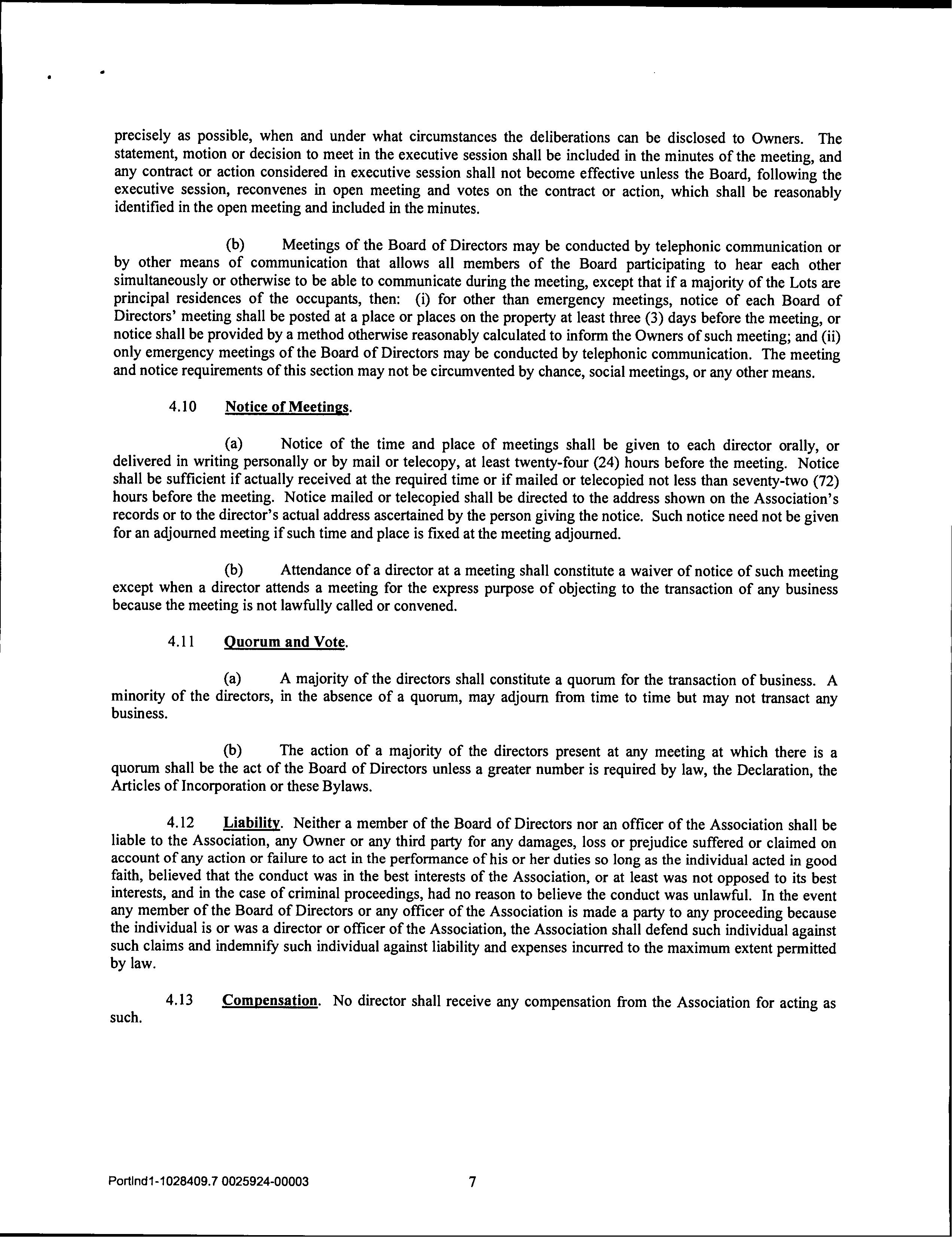
SURVEYED AND MARKED ATH PROPANDARD OF CARE OF PROFESSIONAL MONUMENTS, THE LAND SHOWN LAND SURVEYORS PRACTICING IN OREGON, SAID LAND BEING MORE PAR'TICULARLY DESCRIBED AS FOLLOWS:
BEGINNING AT THE INITIAL POINT, A 5/8 RON ROD WITH A YELLOW PLASTIC CAP MARKED "WWtH PACIFIC AT THE SOUTHWEST CORNER OF LOT 118. "RIDGE AT EAGLE CREST 26", AS RECORDED IN THE DESCHUTES 523045 WcST, 121.97 PEET: THENGE NORTH 403328 WT. 1.70 RET:, THENCE NORTH 42043 WEST, 124.88 FEET TO THE EASTERLY BOUNDARY OF "RIDGE AT EAGLE CREST 18, AS RECORDED IN OLLOMING DESCHUTES COUNTY SURVEYOR'S OFFICE AS CS 13214; THENCE ALONG SAID BOUNDARY THE FOULNG FOUR (4) COLURSEso 2CH A CENTRALANCLE OF 200750, AN ARC LEIGTH OF 172.16 FEET, RADIUS CURVE TO THE LEFT, THROUGMA CEMTRAL ANG2O POWT OF NON-TANGENCY (THE CHORD OF 2.86 FEET: THENCE NORTH 4158'33 EAST, 112.24 FEET; THENCE OUNDARY SOUTH 695910 EAST, 171.82 FEET: THONCE SOUTH 354714 EAST, 142.28 FEET; THENCE SOUTH 263312 EAST, B8.11 FEET: THENCE SOUTH 20'21'50" WEST, 44.50 FEET TO THE NORTHEST CORNER OF LOT 147, OF SAD "ROCE AT EAGLE CREST 25"; THENCE ALONG THE BOUNDARY OF SAID "RIDGE AT EAGLE CREST 28 THE FOLLOWING FOUR (4) COURSES: SOUTH 2856 37" EAST, 57.98 FEET; THENCE SOUTTI 661747" WEST 130.99 FEET; THENCE NORTH 384214"WEST, 18.00 FEET; THENCE SOUTH 534746 WEST, 40.00 FEET TO THE NORTHEASTERLY CORNER OF LOT 136, "RIDGE AT EAGLE CREST 26: THENCE LEAVING SAIO "RIDGE AT EAGLE CREST 28 BOUNDARY AND ALONG THE BOUNDARY OF SAID LOT 138 THE FOLLOWING THREE (3) COURSES SOUTH 367214" EAST, 88.28 FET: THENCE ALONG THE ARC OF A NON-TANGENT 245.00 RADIUS CURVE TO THE LEFT, THROUGH A CENTRAL ANGLE OF 254115", AN ARC LENCTH OF 109.84 FEET (THE CHORD OF WHICH BEARS SOUTH 56 31'36" WEST, 108.92 PEET), THENCE NORTH 3672'14 WEST, 83.06 FEET TO THE BOUNDARY OF SAID "RIDGE AT EAGLE CREST 20; THENCE LEAVING SAID LOT 136 BOUNDARY AND ALONG SAD "RUDGE AT EAGLE CREST BUNDY est. FOLLOWING THREE(3) COURSES: NORTH 367214"WEST, 2216 FEET: DENCE 144 PERL ANCLE OF 121. AN ARC LENGTH OF 52.40 PEET (THE CHORD OF WHICH BEARS THROUGHA CENTRAL ANEOF THENORTHERLY MOST CORNER OF LOT 128, "RIDGE AT EAGLE SOUTH 401446" EAST, 52.30 PEET) TO TH ORTERLYST CBOLNDARY AND ALONG THE SCUNDARY OF ORST 2 RENCEOLLOWNG FOUR (4) COURSES ALONG THE ARC OF A 245.00 RADNUS OURVE TO THE NTRAL ANGLE OF OS0756, AN ARC LENGTH OF 21.95 FEET(THE CHORD OF WHICH BEARS SOUTH 573625" EAST, 21.94 FEET): THENCE SOUTH 603023" EAST, 82.60 FEIT: THENCE SOUTH 1845.30 WEST 108.28FEET; THENCENORTH BOTDS'IS WEST, 80.00 FEET TO THE BOUNDARY OF SAID "RIDGE AT EAGLE CREST 25: THONCE LEAVING SAID LOT 128 AND ALONG THE BOUNDARY OF SAID "RIDGE AT EAGLE CREST 28 THE FOLLOWING TWO (2) COURSES: SOUTH 251737 WEST. 162.91 REET: THENCE ALONG THE ARC OF A NON-TANGENT 420.00 FOOT RADIUS CURVE TO THE LEFT, THROUGH A CEN TRALST ANGLE OF 0259 06S", AN ARC LENGTH OF 21.88 FEET (THE CHORD OF WHICH BEARS SOUTH 68713 EAST 21.88 FEET) TO THE NORTHWEST CORNER OF SAID LOT 118 THONCE LEAVING SADWDDE AT EAGLE OREST BOUNDARY AND ALONG SAD LOT 118 BOUNDARY THE FOLLOWINO THREE (3) COURSES,ALONG THE ARO OF A 420.00 FOOT RADHUS CURVE TO THE LEFT, THROUGH A CENTRALANE OF 119 NCE ALONG THE DFB.63 FEET-TANGENT 245.0O FOOT RADRUS CURETO E LE THROUGH CENTRAL ANGLE O 28:3214°, AN ARC LENGTH OF 122.03 PEET, (THE CHORD OF WHICH BEARS SOUTH 152814" EAST, 120.77 FEET): THENCE NORTH 7624°28" WEST, 125.11 FEET TO THE POINT OF BEGNNING. TOGETHER W THE A PARCEL OF LAND BN A PARCEL OF LAND BEING MORE PARTICULARLY DESCRIBED AS FOLLOWS: BECINNING AT A 5/8 IRON ROD WIH YELLOW PLASTIC CAP MARKED "WH PACIFIC", AT THE SOUTHERLY MOST CORNER OF LOT 93, "RDCE AT EACLE CREST 20" (P.0.8. 2) AS RECORDED IN THE DESCHUTES COUNTY SURVEYOR'S OFFICE AS CS 13999, THENCE ALONG SAID "IDGE AT EAGLE CREST 26 BOUNDARY OF SAID PLAT THE FOLLOWING FOURTEEN (14) COURSES: NORTH 3809 14 EAST, 27.72 FDET: THENCE NORTH 18/52'52" EAST, 244.96 FEET; THENCE NORTH 2806'47" EAST, 80.00 FEET: THENCE NORTH 3731'46 EAST, 107.51 FEET: THENCE NORTH 06 36'05" EAST, 128.52 FEET: THENCE NORIH 205750 WEST, 15.58 FEET: THENCE NORTH 690210" EAST, 145.49 FEET: THENCE NORTH 205750 WEST, 32.92 FEET: THENCE NORTH 8808 38 EAST, 104.52 FEET: THENCE NORTH 252019 WEST, 31.55 FEET: THENCE NORTH 5943'55 EAST, 108.84 FEET: THENCE NORTH 690210" EAST, 40.00 FEET; THENCE ALONG THE ARC OF A NOH-TANGENT 295.00 FOOT RADIUS CURVE TO THE LET, THROUGH A CENTRAL ANGLE OF 06:30'5e", AN ARC LENGTH OF 33.55 FEET (THE CHORD OF WICH BEARS HORTH 241319 WEST, FEET); THENCE NORTH 5252'45" EAST, 11.30 FEET; THENCE LEAVING SAD BOUNDARY SOUTH 204334- EAST, 409.55 FEET: THENCE SOUTH 10'2448" EAST, 193.32 FEET: TO THE NORTH BOUNDARY OF T ADJUSTED COMMON AREA "A, PER LL 01-18, AS RECORDED IN THE DESCHUTES COUNTREY OFFICE AS CS 14087: THENCE ALONG DNOR20:30 ST 0.33 FUET MEICE NOTI HE SOUDREARTERLY RIONT-OF-WAY OFYHADSURVE O THE LEFT THROUGH A CENTRAL ANGLE OF 1753'42. AN ARC LENGTH OF 124.93 FEET. (THE CHORD OF WHICH BEARS NORTH 124240" EAST, 124.42 FEET) TO THE ARG LENGTH F TAE AT EAGLE CREST 25", AS RECORDED IN THE DESCHITES COUNTY SURVEYOR'S OFFICE ALONG THE ARC OF A ANGALE OF 24912,AN ARC LENGTH OF 156.19 FEET. (THE CHORD OF WHCH BCARS SOUTH 1527 MEST. 134.97FEET) THENCE LEAVINGSAD "ROGE AT EACLE CREST 25" BOUNDARYAND ALON WESTERLY RIGHT-OF-WAY OF SAD NIAGARA FALLS DRIVE THE FOLLOWNG FIVE (5) OF154740 A ARC ARC OF A 380.00 FOOT RADUS CURVE TO THE ROHT. THROUCHA CENTIAL ANGLE OF E LENGTH OF 9&.72 FDET (THE CHORD OF WHICH BEARS SOUTH 3539 18" WEST. 96.41 FEET THENCE SOUTH 4330'36 WEST, 52.14 PEET: THENCE ALONG THE ARC OF A CHORD OF WSCH BEARS THROUGH A CENTRAL ANGLE OF 250445:AM AC 244.3S FECT: THENCE ALONG THE SOUTH 30'3814" WEST, 108.30 FEET): THENE SOUT A CENTRALANGLE OF 004 A8, AN ARC ARC OF A 258.00 FOOT RADIUS CURVE TO THEPHT.THRH 184818 EST,£,32FEET)TO THE SOUTH LENGTH OF 32 FEOT S2 ROCE AT EACLE CREST 25: THENCE NORTH 70710J EST. 106.83 FEET EAST CORNER OF 2 BOUNDARY TO HE BOUNDARY OF SAID "TIDGE AT EAGLE CREST 25 THENCE LEAVING DLOY S2 BOKNDARY AND ALOND SAID "RIDGE AT EAGLE CREST 25 BOUNDARY THE FOLLOWING SIX (6) COURSES SOUTH 3125/33 WEST, 80.00 FEET: THENCE SOUTH 5402'20" WEST, 64,32 FEET: THENCE NORTH 4428'52"WEST, 105.70 FEET; THENCE NORTH 3752'08" WEST,
LEGEND
FOUND 5/8" REBAR CAP MARKED "WAH PAOFIC ULLLOW PLASTIC CAP
FOUNO 5/8 REBAR WTH YELLOW PLASTIC CAP MARCED "WaHPACFIC TO DE D PLASTIC CAP MARKED MARKIED "WIH H YETLOWPLASTICCAP
T0 REBAR WTH ALLAMNUM CAP MARKED
P D AD RECORD MEASURTMENT
ORIGINAL LOT LINE
REFERENCES ANDRECORDED IN DESCHUTES DOUNTY SURVEYRECDRES T11/0
B. "RIDGE AT EAGLI FIC RECORDED DESCHUTES COUNTY SURVEY RECORDS AS CS13214.R DESCHUTES COUNTYSURVEY RECORDWH PAE RECORDED IN "RIDGE AT EA DESCHUTES COUNTY SURVEY RECORDS AS CST309CORDED N NDESOWIES

RIDGE AT LE CREST 27
BEING A REPLAT OF LOTS 52 THROUGH 57 " 57""RIDGE AT EAGLE CREST 25" AND LOTS 118, 126, AND 136, "RIDGE AT EAGLE CREST 26", ALONG ONG WITH WITH A A PORTION OF THITHE WEST ONE-HALF OF SECTION 14. TOWNSHIP 15 SO SOUTH, RANGE 12 BAST, WILLAMETTE MERIDIANAN, DESCHUTES COUNTY, OREGON, PLAT NO. TP-97-886 BER, 2001
RIDGE AT EAGLE CREST 18
RIDGE AT EAGLE CREST 27
BEING A REPLAT OF LOTS 52 THROUGH 57 "RIDGE AT EAGLE CREST 25" AND LOTS 118, 128, AND 136, "RIDGE AT BAGLE CREST 26", ALONG WITH WITH H A PORTION
14,

15 SOUTH, RANGE 12 EAST,
Will pick up
After Recording, Return-to:
Howard M. Feuerstein
Stoel Rives LLP
900-SW Fifth, Suite 2300
Portland, OR 97204

DECLARATION OF PROTECTIVE COVENANTS, CONDITIONS, RESTRICTIONS AND EASEMENTS FOR THE RIDGE AT EAGLE CREST (A Planned Unit Development at EagleCrest)
DECLARANT: EAGLE RIDGE PARTNERS, LTD. an Oregon limited partnership







DECLARATION OF PROTECTIVE COVENANTS, CONDITIONS, RESTRICTIONS AND EASEMENTS FOR THE RIDGE AT EAGLE CREST
THIS DECLARATION is made this 5 M day of June ,1996, by EAGLE RIDGE PARTNERS, LTD., an Oregon limited partnership ("Declarant").
RECITALS:
A. Declarant owns approximately 710 acres within Deschutes County, Oregon, located across Cline Falls Road fromthe existing Eagle Crest development ("Eagle Crest"). Declarant proposes to develop portions of such property, together with other property that may subsequently be acquired by Declarant, as a planned development to beknown as "The Ridge at Eagle Crest" pursuant to a Master Plan approved by Deschutes County, Oregon. Declarant reserves the right to amend such Master Plan, subject to any approvals required by Deschutes County, Oregon.
B. Purchasers of property within The Ridge at Eagle Crest hereby consenttothe Master Plan for The Ridge at Eagle Crest, as the same may hereafter be amended. By adoption of such Master Plan and this Declaration, Declarant is not committing itself to take any action for which definite provision is not made below. One who acquires property in The Ridge at Eagle Crest will have the advantage ofany further development ofThe Ridge at Eagle Crest, but shall not have any legal right to insist that therebe development except as provided in this instrument or inthe instruments which hereafter may be recorded annexing areas to The Ridge at Eagle Crest and subjecting areas to this Declaration.
of
C. Declarant anticipates that The Ridge at Eagle Crest may include a variety different types of development parcels. For example, residential parcels within The Ridge at Eagle Crest may include single-family lots, townhouses, zero lot line or other common wall ty structures, condominiums, fractional ownership dwellings, or timeshare interests. Recreation facilities may include facilities that are common areas for The Ridge at Eagle Crest and available onlyfor use by The Ridge at Eagle Crest owners and, in the event of a cross-use agreement, for use by owners within Eagle Crest. Other recreation facilities, including one or more golf courses, may be privately owned by Declarant or third parties and available for use by the public. Finally, The Ridge at Eagle Crestmay include one or more commercial developments, all in accordance with the Master Plan, as the samemay hereafter be amended.
D. Declarant anticipates that joint use agreements may be entered into between the various owners associations at Eagle Crest and The Ridge at Eagle Crest that would permit the joint use of facilities uponcertainterms and conditions. PDX1A-28232.3 20083-0001
E. Declarant has recorded the plat of Eagle Crest II, Phase I in the Plat Records of Deschutes County, Oregon. Declarant proposes to subject the property described in such plat, except Lots 65-73, Red Wing Loop road, the parcel marked "Common Area D" and the parcel marked "DeveloperArea," as shown thereon, to the conditions,restrictions,charges and easements set forth inthis Declaration for the benefitofsuch property and its present and subsequent owners,and to establish such property as the first phase of The Ridge at Eagle Crest and as a separate Project within The Ridge at Eagle Crest to be known as "Eagle Ridge Homesites." Additional areas and Projects may be annexed to The Ridge at Eagle Crest in accordance with the provisions set forth in this Declaration.
NOW, THEREFORE, Declarant hereby declares that the property described in the Plat of Eagle Crest II, except Lots 65-73, Red Wing Loop road, the parcel marked "Common Area D" and the parcel marked "DeveloperArea," as shown thereon, shall be held, sold and conveyed subject to the following easements, covenants, restrictions and charges, which will run withsuch property and shallbe binding upon all parties having or acquiring any right, title or interestinsuchproperty or any part thereof and shall inure to the benefit of each owner thereof.
ARTICLE 1.
DEFINITIONS
As used inthis Declaration, thetermsset forth below shall have the following

meanings:
1.1 "Additional Property" means any land, whether or not owned by Declarant, which ismade subject to this Declaration as provided in Section2.2 below.
1.2 "Assessments" means all assessments and other charges, fines and fees imposed bytheAssociation on an Ownerinaccordancewith this Declaration, including, without limitation, Annual Assessments, Special Assessments, Emergency Assessments, Limited Common Area Assessments and Individual Assessments as described in Article 11.3 below.
1.3 "Assessment Unit" means a factor assigned to each Lot in accordance with Section 11.3 below for purposes of determining such Lot's pro rata share of Annual Assessments, Special Assessments, Limited Common AreaAssessments and Emergency Assessments.
1.4 "Association" means the nonprofitcorporation to be formed to serve as the owners association as provided in Article 9 below, and its successors and assigns.
1.5 "Architectural Review Committee" or the "Committee" means the committee appointed pursuant to Article 8 hereof.

1.6 "Commercial Lot" and "Commercial Living Unit" mean, respectively, any Lot or Living Unit used for nonresidential, commercial purposes, including, without limitation, rental apartment and hotel, motel or lodge-type projects and retail, restaurant, lounge, recreational, service or utility uses, and designated as suchintheDeclaration annexing such Lot to The Ridge at Eagle Crest.
1.7 "Commercial Project" means any Project consisting of one or more Commercial Lots or Commercial Living Units.
1.8 "Common Areas" means those private ways, lots or tracts designated as such on any plat of the Property, or in this Declaration or any declaration annexing Additional Property to The Ridge at Eagle Crest, including any Improvements thereon, and shall also include Common Easement Areas, Limited CommonAreasand any LotsconvertedtoCommon Areas as provided in Section 3.3 below.
1.9 "Common Easement Areas" means those easements established for the benefit of all property within The Ridge at Eagle Crest pursuant to any plat or declaration annexing additional property to The Ridge at Eagle Crest.
1.10 "Condominium" means anyproperty submitted to theOregonCondominium Act in the manner provided by ORS Chapter 100 or its successors.
1.11 "Declarant" means EagleRidge Partners, Ltd., an Oregon limited partnership, and its successors and assigns if such successor or assignee should acquire Declarant's interest in the remainder of the proposed development, or lessthanallofsuch property if a recordedinstrument executed by Declarant assigns to the transferee all of Declarant's rights under this Declaration.
1.12 "Golf Course" means any golf course or courses within or adjacent to the Property.
1.13 "Golf Course Owner" means the person or entity operating or owning any Golf Course. In the event there is more than one operator or owner, the term shall mean all such operators and owners.
1.14 "Improvement" means every structure or improvement of any kind, including but not limited to a fence, wall, driveway, swimming pool, storage shelter or other product of construction efforts onor in respect to the Property.
1.15 "Initial Development" means thereal property referred to inSection2.1 below.
1.16 "Limited Common Areas" means those Common Areasfortheexclusive use of certainLots as designated in this Declaration or the declaration annexing property to The Ridge

at Eagle Crest, and shall include Project Common Areas in Projects that do not have an Association.
1.17 "Living Unit" means a building or a portion of a building located upon a Lot within the Property and designated for separate residential occupancy, including a house, apartment or dwelling unit within a multiple occupancy building and a Condominium unit.
1.18 "Lot" means a platted or partitioned lot, tract or Condominium unit within the Property, with the exception of any tract or lot marked on a plat of the Property as being common, a private way or open space or so designated in this Declaration or the declaration annexing such property toThe Ridge at Eagle Crest. Lot does not include Common Areas, Project CommonAreas or Public Areas.
1.19 "Master Plan" means the Master Plan of The Ridge at Eagle Crest approved by Deschutes County, Oregon, as the same may hereafter be amended.
1.20 "Mortgage" means a mortgage or a trust deed; "mortgagee" means a mortgagee or a beneficiary of a trust deed; and "mortgagor" means a mortgagor or a grantor of atrust deed.
1.21 "Owner" means the person or persons, including Declarant, owning any Lot in the Property, but does not include a tenant or holder of a leasehold interest or a person holding only a security interest in a Lot. The rights, obligations and other status of being an Owner commence upon acquisition of the ownership of a Lot and terminate upon disposition of such ownership, but termination of ownership shall not discharge an Owner from obligations incurred prior to termination.
1.22 "Policies and Procedures" means those policies, procedures, rules and regulations adopted by the Association pursuant to the authority granted in this Declaration, as the same may be amended from time to time.
1.23 "Project" means any separately designated and developed area constructed upon a portion of the Property and comprised of discrete types of development or use, including, without limitation, the following types of uses:
(a) A Condominium project;
(b) A timeshare or fractional interest project;
(c) A hotel, motel, lodge or similar building or group of buildings;
(d) An apartment or residential rental building or group of buildings;
(e)

(f) Residential development of multi-plex, townhomes or zero lotline homes;
(g) A commercial development of any kind, includingretail, restaurant, lounge or recreational uses; or
(h) Any other separately designated area within The Ridge at Eagle Crest devoted to a discrete purpose.
Any such Project shallbe designated as a Project in the Project Declaration, this Declaration or the declaration annexing such portion of the Property to The Ridge at Eagle Crest.
1.24 "Project Assessments" means assessments levied pursuant to a specific Project Declaration.
1.25 "Project Association" means any association established for a specific Project pursuant to a Project Declaration.
1.26 "Project Committee" means a committee appointed or elected for a Project pursuant to Section 9.13 below.
1.27 "Project Common Area" means the area within a Project restricted in whole or in part to common use primarily by or for the benefit of the Owners within the Project and their families, tenants, employees, guests and invitees.
1.28 "Project Declaration" means a declaration of easements, covenants,conditions and restrictions establishing a plan of Condominium ownership or townhouse ownership, fractional ownership, timeshare ownership or otherwise imposing a unified development scheme on a particular Project.
1.29 "Project Parcel" means the portion of the Property upon which a Project is located, as indicated, if appropriate, on the plat relating to the Project and as designated in the Project Declaration.
1.30 "Property" means The Ridge at Eagle Crest.
1.31 "Public Areas" means areas dedicated to the public or established for public use inany plat of the Property, or so designated inthis Declaration or the Declaration annexing such property to The Ridge at Eagle Crest.
1.32 "RecreationalFacilities" means recreational facilities or amenities owned by Declarant or any third party and located on the Property from time to time, including, but not limited to one or more Golf Courses and clubhouse, and parking for any such facilities.
PDX1A-28232.3 20083-0001

1.33 "Residential Lots" and "ResidentialLiving Units" mean, respectively, thoseLots or Living Units to be used for residential purposes, exclusive of rental apartment and hotel, motel and lodge-type projects, and designated as such in this Declaration or in the declaration annexing such Lots to The Ridge at Eagle Crest.
1.34 "Sold" means that legal title hasbeen conveyed or that a contract of sale hasbeen executed and recorded under which the purchaser has obtained the right to possession.
1.35 "The Ridge at Eagle Crest" means theInitial Development and any Additional Property annexedtothis Declaration.
1.36 "This Declaration" means all of the easements, covenants, restrictions and charges set forth in this Declaration, together with any Policies and Procedures promulgated hereunder, as the same may be amended or supplemented from time to time in accordance with the provisions hereof, including the provisions of any supplemental declaration annexing property to The Ridge at Eagle Crest.
1.37 "Voting Unit" means any one or more of the interests in the Property designated in Section 9.3 below, to which a right to vote in Association matters is allocated.
ARTICLE 2.
PROPERTY SUBJECT TO THIS DECLARATION
2.1 Initial Development. Declarant hereby declares that all of the real property described below is owned and shall be owned, conveyed, hypothecated, encumbered, used, occupied and improved subject to this Declaration:
All that certain real property located in Deschutes County, Oregon, in that certain plat entitled "Eagle Crest II, Phase I" filed in the plat records of Deschutes County, Oregon, on the 28th day of March, 1996, in Drawer 204, except Lots 65 through 73, Red Wing Loop road, the parcel marked "Common Area D" and the parcel marked "Developer Area," as shown on such plat.
The Initial Development contains 64 single-family Lots and will contain not more than 64Living Units.
2.2 Annexation of Additional Property. Declarant may from time to time and in its sole discretion annex to The Ridge at Eagle Crest as Additional Property any real property now or hereafter acquired by it, and may also from time to time and in its sole discretion permit other holders of real property to annex the real property owned by them to The Ridge at Eagle Crest. The annexation of such real property shall be accomplished as follows:

(a) The owner or owners of such real property shall record a declaration which shall be executed by or bear the approval of Declarant and shall, among other things, describe the real property to be annexed, designate the Project of which such property is a part, establish land classifications for the Additional Property, establish any additional limitations, uses, restrictions, covenants and conditions which are intended tobe applicable to such property, and declare that such property is held and shall be held, conveyed, hypothecated, encumbered, used, occupied and improved subject to this Declaration.
(b) The property included in any such annexation shall thereby become a part of The Ridge at Eagle Crest and this Declaration, and Declarant and the Association shall have and shall accept and exercise administration of this Declaration with respect tosuch Additional Property.
(c) Notwithstanding anyprovision apparently to the contrary, a declaration with respect to any Additional Property may:
(i) establish such new land classifications and such limitations, uses, restrictions, covenants and conditions with respect to such property as Declarant may deem tobe appropriate forthe development of the Additional Property.
(ii) with respect to existing land classifications, establish additional or different limitations, uses, restrictions, covenants and conditions with respect to such property as Declarant maydeem to be appropriate for the development ofsuch Additional Property.
(d) There is no limitation on the number of Lots or Living Units which Declarant may create or annex to The Ridge at Eagle Crest, except as may be established by applicable ordinances of the Deschutes County, Oregon. Similarly, there is no limitation on the right of Declarant to annex common property, except as maybe established by Deschutes County, Oregon.
(e) Upon annexation, additional Lots so annexed shall be entitled to voting rights as set forth in Section 9.3 below.
(f) The formula to be used for reallocating the common expenses if additional Lots are annexed and the manner of reapportioning the common expenses if additional Lots are annexed during a fiscal year are set forth in Section 11.9 below.
2.3 Improvements. Declarant does not agree to build any Improvements other than as specified in any Property Report issued pursuant to the Interstate Land Sales Full Disclosure Act, but may elect, at its option, to build additional Improvements.

2.4 Withdrawal of Property. Declarant may withdraw property from The Ridge at Eagle Crest by an amendment to this Declaration executed by Declarant and recorded in the Deed Records of Deschutes County, Oregon. All voting rights otherwise allocated to Lots being withdrawn shall be eliminated, and the common expenses shall be reallocated to the remaining Lots as provided in Section 11.9 below. Such withdrawal may be accomplished without prior noticeandwithoutthe consent ofany Owner if such withdrawal (a) is of all or a portion of the Initial Development or Additional Property annexed pursuant to a declaration described in Section 2.2 at anytimepriorto the sale of the firstLotinthe plat ofthe Initial Development, or in the case of Additional Property, prior to the sale of the first Lot in the property annexed by a supplemental declaration, or (b) if the property to be withdrawn was originally included in error or if the withdrawal is forthe purpose of making minor adjustments to boundary lines which do not reduce the total number of Living Units. In addition, Declarant may withdraw any property then owned by Declarant or the Association if such withdrawal is a result of any changes in Declarant's plans forthe Property, provided that such withdrawal is not unequivocally contrary to theoverall, uniform schemeof development forthe Property and is approvedby a majority of the voting rights of the Association.
ARTICLE 3.
PROJECT DESIGNATION AND LAND CLASSTR CATIONS
3.1 Project Designation. Eagle Ridge Homesites, consisting ofLots1through 64 of the Initial Development, together with such Additional Property declared to be part ofsuch Project in any supplemental declaration annexing Additional Property to The Ridge at Eagle Crest, is hereby designated as a Project within The Ridge at Eagle Crest.
3.2 LandClassifications Within Initial Development. All landwithin the Initial Development is included in one or another of the following classifications: Development.
(a) Residential Lots, which shall consist of all Lots included within the Initial
(b) Common Areas, which shall be Common Lots B, Cand E, andthe private ways shown as Cooper's Hawk Drive, Merlin Drive, Gray Flycatcher Court, Harrier Court, Killdeer Court and Cinnamon Teal Drive on the plat ofthe Initial Development.
(c) There are no Common Easement Areas, Limited Common Areas, Project Common Areas or Public Areas in the Initial Development.
3.3 Conversion of Residential or Commercial Lots to Common Areas. Declarant may elect to build common facilities on one or more Residential or Commercial Lots and designate such Lots as Common Areas by a declarationrecordedinthe deed records of Deschutes County. Such declaration shall be executed by Declarant, as owner of the Lots.

3.4 Consolidation of Lots. The Ownerof two adjoining Lots, with the approvalof Declarant and the Architectural Review Committee, may elect to consolidate suchLotsinto one Lot. The consolidation shall be effected by the Owner's recording in the deed records of Deschutes County a declaration stating thatthe two Lots are consolidated, whichdeclaration shall include a written consent executed on behalf of the Architectural Review Committee by at least one member the Committee. Thereafter, theconsolidated Lots shall constitute one Lotforall purposes ofthis Declaration, including voting rights and assessments. Once so consolidated, the consolidated Lot may not thereafter be partitioned nor may the consolidation be revoked without the prior approval of the Architectural Review Committee.
ARTICLE 4.
PROPERTY RIGHTS IN COMMON AREAS
4.1 Owners' Easements of Enjoyment. Subject to provisions of this Article, every Ownerandhis or her invitees shall have a rightand easement of enjoyment inand to theCommon Areas, which easement shall be appurtenant to and shall pass with the title to every Lot. The use of Limited Common Areas, however, shall be limited to theOwnersand invitees ofthe Lots designated in the supplemental declaration establishing the Limited CommonArea.
4.2 Title to Common Areas. Title to theCommon Areas, except CommonEasement Areas, shall be conveyed tothe Association by Declarant freeand clear ofmonetaryliens prior tothedate on which Class B membership intheAssociation ceases andis converted to Class A membership as described in Section 9.3(b). Title to Common Easement Areas, subject to the easements set forth in this Declaration, shall pass to the Owners of the respective Lotswithin which such areas are located, or to the public if part of dedicated street right-of-ways.
4.3 CommonEasement Areas. CommonEasement Areas shall bereserved as signage and visual landscape features, or as otherwise provided in the supplemental declaration establishing theCommon Easement Area. Such areas are to be maintained by the Association and no changes in landscaping will be permitted without written authorization by the Architectural Review Committee. No building, wall, fence,paving,landscaping or construction of any ty shall be erected or maintained by any Owner so as to trespass or encroach upon the Common Easement Areas. In the event any Common Easement Area is conveyed to the Association, such Common Easement Area shall then become a Common Area.
4.4 Extent of Owners' Rights. The rights and easements of enjoyment intheCommon Areas created hereby shall be subject to the following and all other provisions of this Declaration:
(a) Easements. Declarant grants to the Association for the benefit of the Association and all Owners of Lotswithin the Property the following easements over, under and upon the Common Areas, including the Common Easement Areas:

(i) Aneasement on all Common Areasfor underground installation and maintenance of power,gas, electric, waterand other utility and communicationlinesand services installed by or withthe consent ofDeclarant or with the approval ofthe Board of Directors of the Association and any such easement shown on any plat of the Property.
(ii) An easementfor construction, maintenance, repair and use of Common Areas, including common facilities thereon.
(iii) Aneasementforthe purpose of making repairs to any Improvements on Common Areas.
Declarant or theAssociationmay (and, to the extent requiredby law, shall) grant or assign such easements to governmental entities or other utilities performing utility services (including, without limitation, Cline Butte Utility Company) and to communication companies, and the Association may grant free access thereon to police, fire and other public officials and to employees of utility companies and communications companies serving the Property.
(b) Use of the Common Areas. The Common Areas shall not be partitioned or otherwise divided into parcels for residential use,and no privatestructureof any type shall be constructed on the Common Areas. Except as otherwise provided in this Declaration, the Common Areas shall be reserved forthe use and enjoyment of all Owners and no private use may be madeoftheCommon Areas,including CommonEasement Areas. Nothing inthis Declaration shall prevent the placing of a sign or signs upon the Common Areas identifying the Property or any Project or identifying trails or identifying items of interest, including directional signs, provided such signs are approved by the Architectural Review Committee and comply with any applicable sign ordinances. The Board of Directors of the Association shall have authority to abate any trespass or encroachment upon the Common Area at any time, by any reasonable means and with or without having to bring legal proceedings. A declaration annexing Additional Property may provide that the Owners of such Additional Property do not have the right to use a particular Common Area or facility located on such Common Area. In such case, those Owners will not be required to share in the costs of maintaining the facility, as is more particularly described in Section 11.9.
(c) Semi-Public Recreational or Service Areas. The Board of Directors of the Association may elect to designate certain portions of the Common Areas as semi-public recreational or service areas whichmaybeused by members of the public on a fee-payingbasis. In such event, Owners shall be permitted to use such facilities or services either on a free basis or for feesthat are no higher thanthose charged to members ofthe public for an equivalent use or service. Any net proceeds from such facilities or services shall be paid to the Operations Fund.
(d) Alienation of the Common Areas. The Association may not encumber, sell or transfer the Common Areas owned directly or indirectlyby the Association forthe benefit oftheLots unless such encumbrance, sale or transfer hasbeen approved by a majority ofthe

voting rights in the Association. This requirement shall not apply to the easements described in Section 4.4(a) above.
(e) Limitations on Use. Use of the Common Areas by the Owners, their familymembers,guests, tenants and contract purchasers, shallbe subject to the provisions of this Declaration and to the following:
(i) The right of the Association to suspend such use rights of an Owner and the Owner's members, guests, tenants and contract purchasers to the extent provided in Article 12 below.
(ii) The right of the Association to adopt, amendand repeal Policies and Proceduresin accordance with this Declaration.
4.5 Easements Reserved byDeclarant. So long as Declarant owns any Lot, Declarant reserves an easement over, under and across the Common Areasinorder to carry out sales and rentalactivitiesnecessary or convenientfor the sale or rental of Lots. In addition, Declarant hereby reserves to itself and for the owners of Lots in all future phases of The Ridge at Eagle Crest a perpetual easement and right-of-way for access over,upon,and across the Common Areas for construction, utilities, communication lines, drainage, irrigation systems, signs and ingress and egress for the benefit ofother property owned by Declarant, the Recreational Facilities and future phases ofthe Property. Declarant, for itself and its successors and assigns,hereby retains a right and easement of ingress and egress over, in, upon, under and across the Common Areas and the right to store materials thereon and to make such other use thereof as may be reasonably necessary or incident to the construction of the Improvements on the Property or other real property owned by Declarant; provided, however, that no such rights shall be exercised by Declarantinsuch a way as to unreasonably interferewiththeoccupancy,use, enjoyment or access to an Owner's Lot by thatOwner or the Owner's family, tenants, employees, guests or invitees.
4.6 Delegation of Use. Any Owner may delegate, in accordance with the Bylaws of the Association, the Owner's right of enjoyment of the Common Areas to the members of the Owner's family and tenants or contract purchasers who reside on the Property, whose use of the Common Areas shall be subject to this Declaration and the Policies and Procedures adopted under thisDeclaration.
ARTICLE 5.
PROPERTY RIGHTS IN LOTS
5.1 UseandOccupancy. The Ownerof a Lot in the Property shall be entitled tothe exclusive use and benefit of such Lot, except as otherwise expresslyprovided inthis Declaration, but the Lot shall be bound by and the Owner shall comply withthe restrictions made applicable
to such Lot by this Declaration or by any supplement to this Declaration or any applicable Project Declaration.
5.2 Easements Reserved. In addition to any easements shown on the recorded plats and as set forth in Section 4.5, Declarant hereby reserves the following easements for the benefit of Declarant and the Association:
(a) Adjacent Common Area. The Owner of any Lot which blends together visually with any CommonArea shall, if the Association elects from time to time to so require, permit the Association to enter upontheLot to perform the maintenance ofsuch Common Area.
(b) Right of Entry. Declarant, the Architectural Review Committeeand any representative of the Association authorized by it may at any reasonable time, and from time to time at reasonable intervals, enter upon any Lot for the purpose of determining whether or not the use and/or improvements of such Lot are then in compliance with this Declaration. In addition, the utility service provider and its agents or employees shall have authority to access all parts of the Owner's Lotandthe Common Areas on which sewerage or water facilities may be located, for the purpose of operating, maintaining or constructing such facilities, inspecting the condition of pipes and facilities, and completing repairs. The Owner will be given advance notice if possible. In the case of an emergency, as determined solely by the utility service provider, no prior notice will be required. No such entry shall be deemed to constitute a trespass or otherwise create any right of action in the Owner of such Lot.
(c) Utility Easements. Easements for installation and maintenance of utilities and drainage facilities may be reserved over portions of certain Lots, as shown on the recorded plat. Within the easements, no structure, planting or other materialshall be placed or permitted to remain which may damage or interfere with the installation or maintenance of utilities, or which may change thedirectionof flow of drainage channelsinthe easements, or which may obstruct or retard the flow of water through drainage channels in the easements. The easement area of each Lot and all improvements in it shall be maintained continuously by the Owner of the Lot, except for those improvements for which a public authority or utility company is responsible. Notwithstanding the provisions of this paragraph, no such easements shall exist along adjoining side lotlines on which a party wall exists.
5.3 Subsurface Sewage Disposal Systems. No septic tank shall be installed on any Lot except with approval ofthe Architectural Review Committee and the utility service provider. Any such system shall be maintained by the utility service provider at the expense of the Owners ofthe Lots served by such system, which expenses shall be paid to the utility service provider. Such utilityprovider shall have an easement upon each Lot for purposes of operating, maintaining and repairing such system.

PDX1A-28232.3 20083-0001








































































































































































