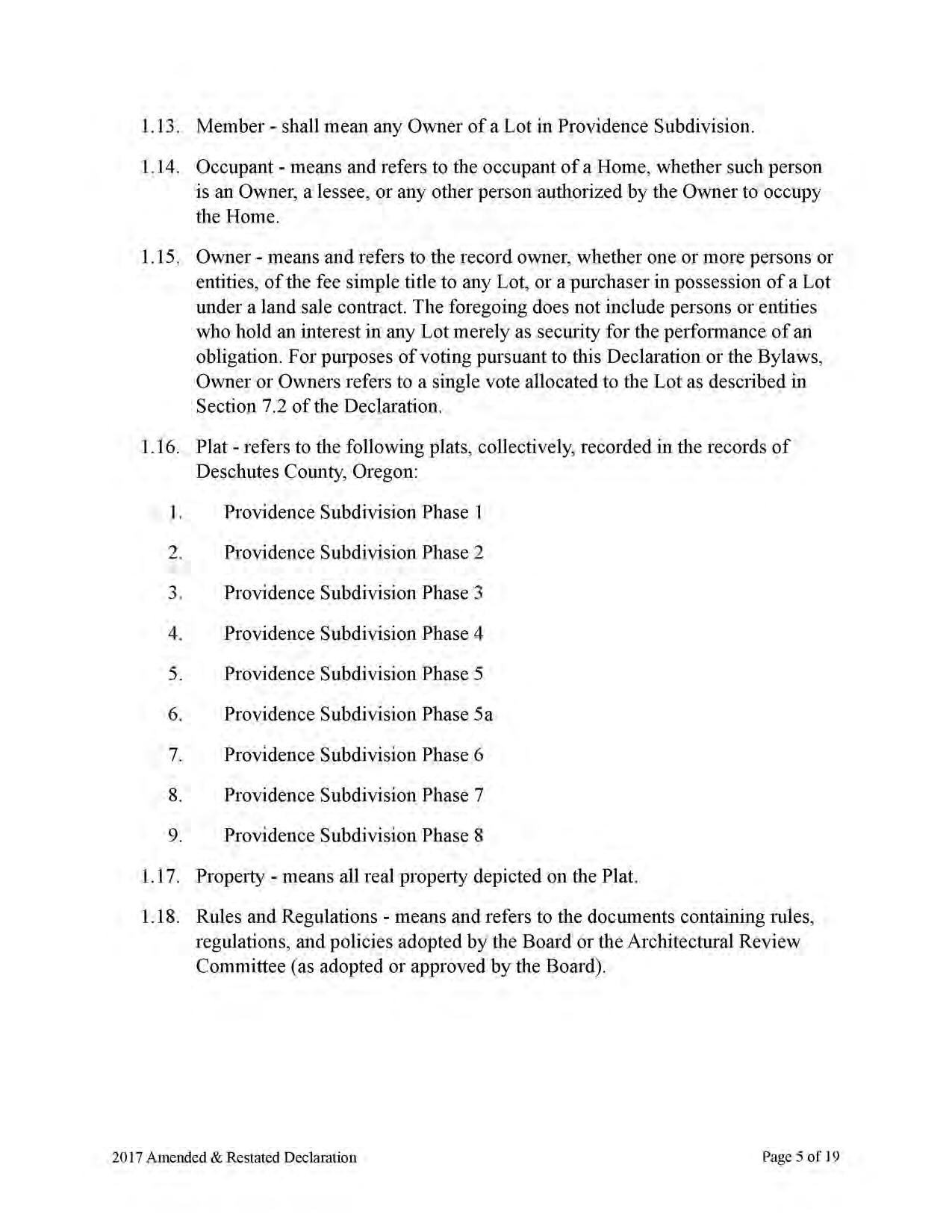
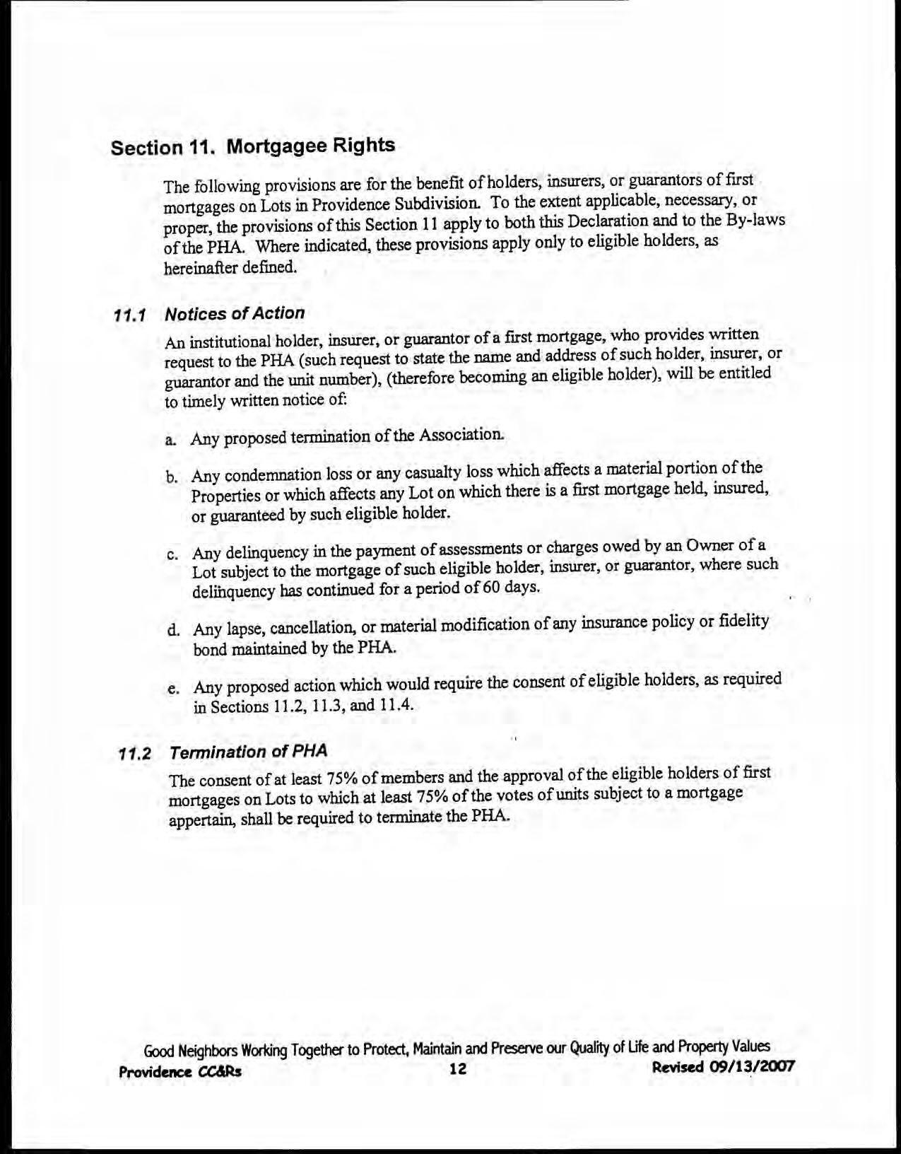
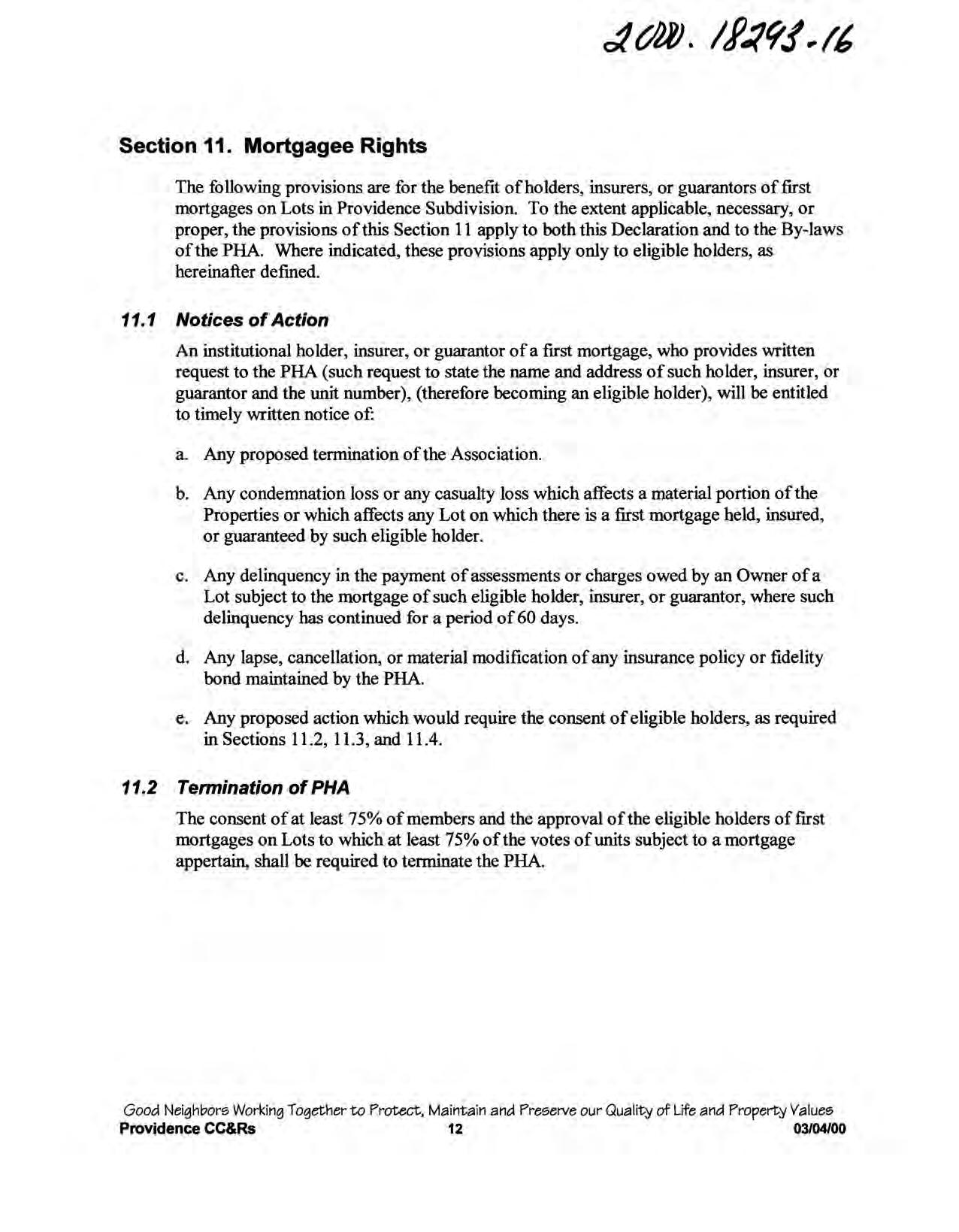
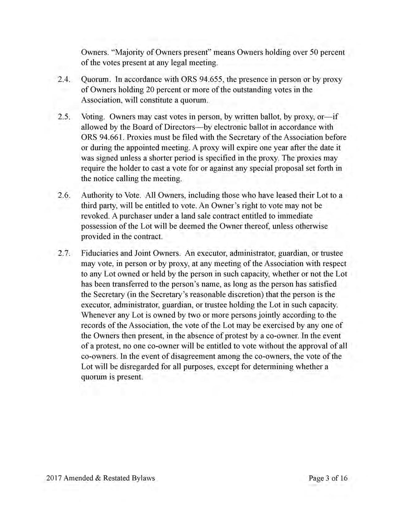
Skip to main content

Providence, Phase 8 - CC&R's

Page 1


Turn static files into dynamic content formats.

Create a flipbook