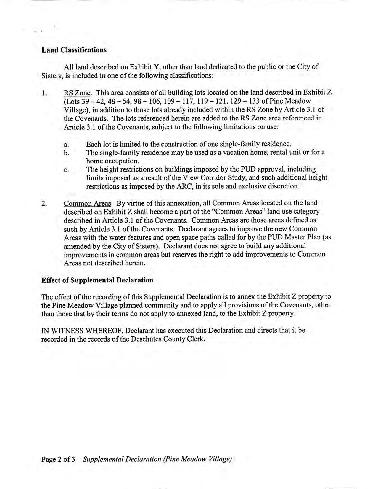
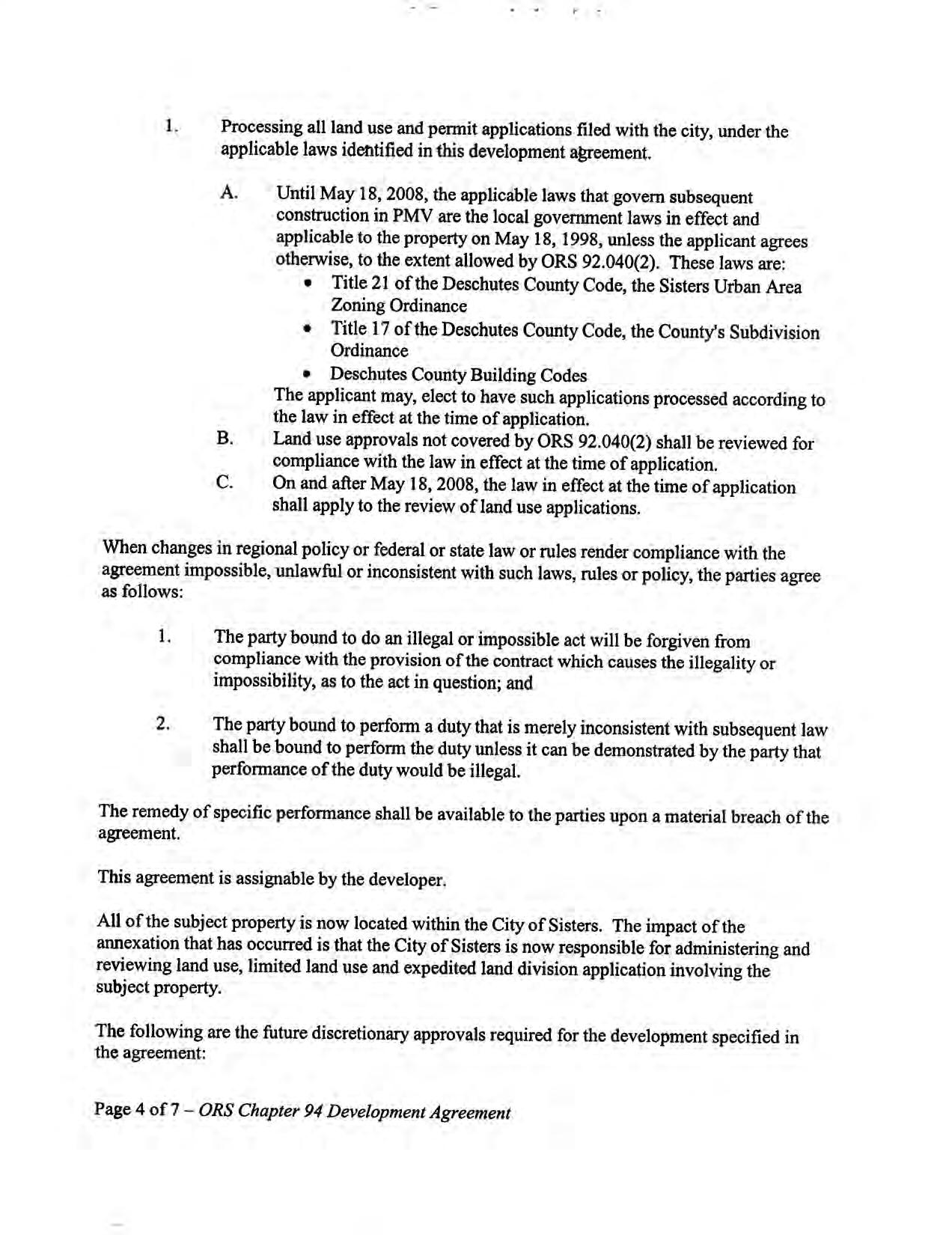
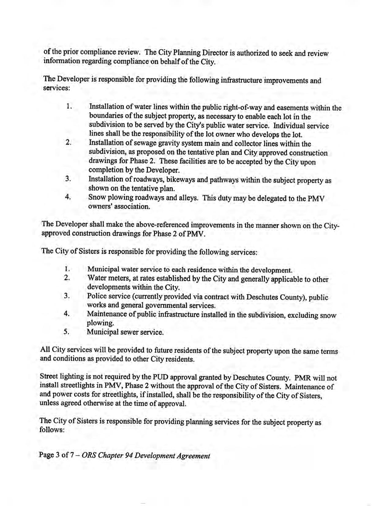
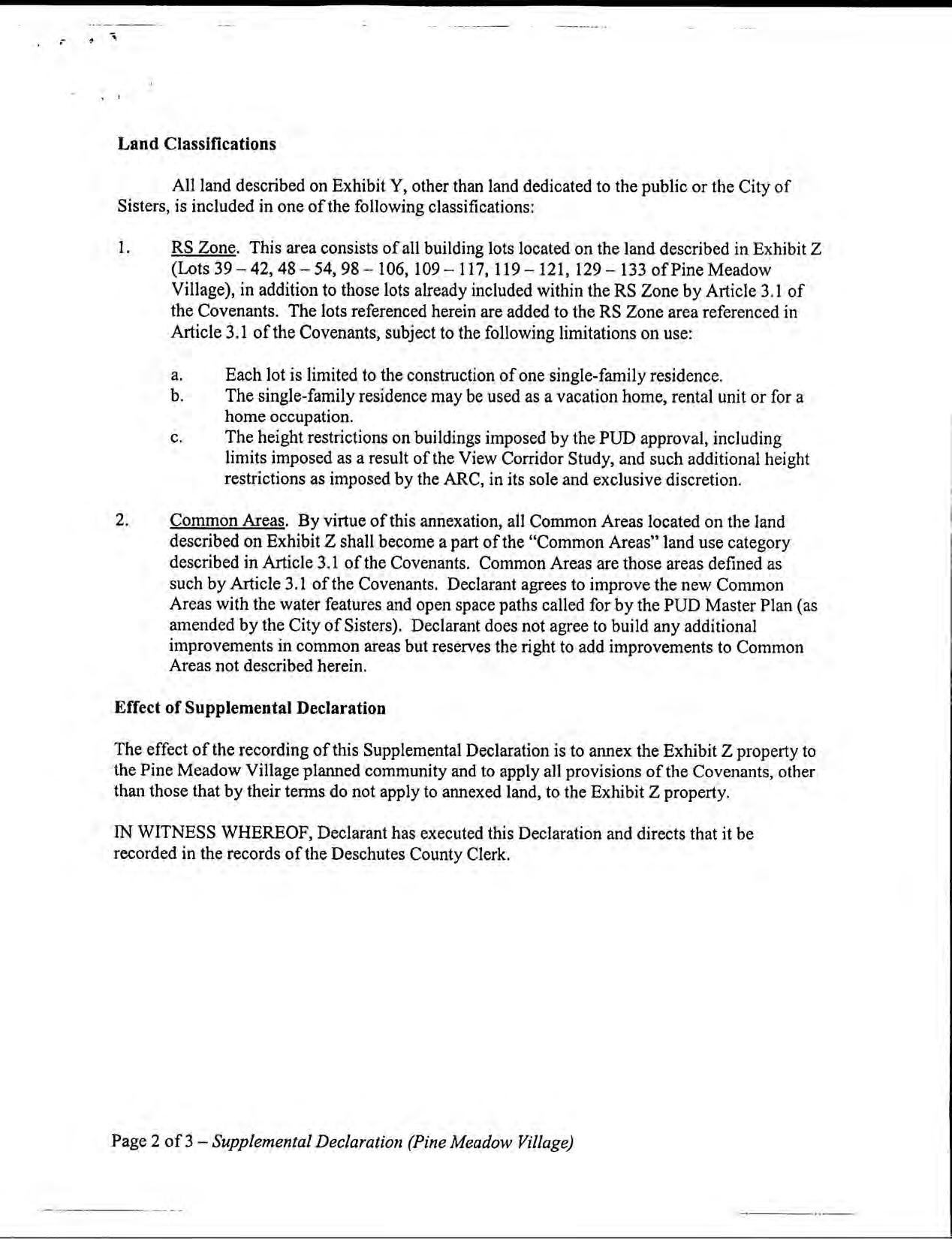
Skip to main content

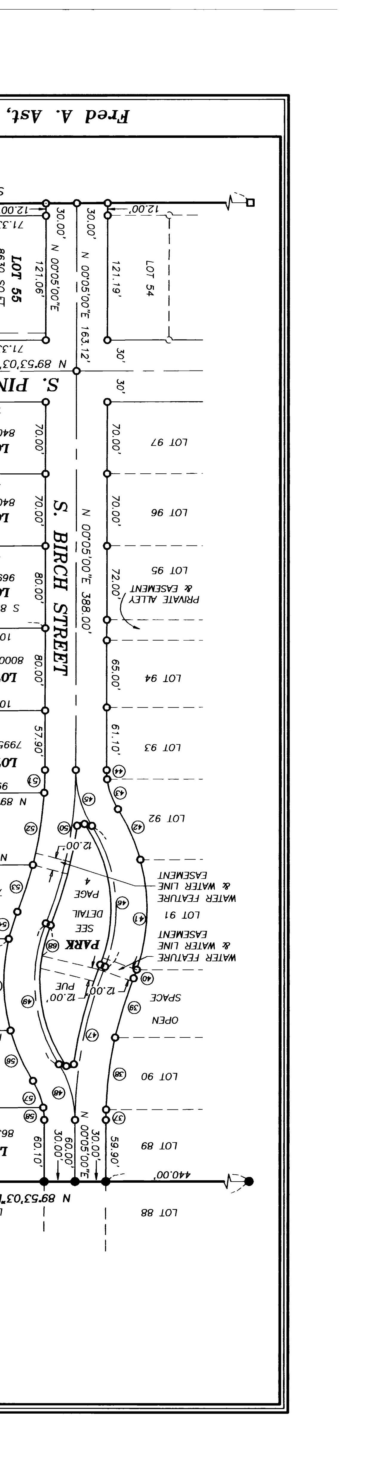
Pine Meadow Village, Phase 2 - CC&R's

Page 1


Turn static files into dynamic content formats.

Create a flipbook
Pine Meadow Village, Phase 2 - CC&R's by info-deschutestitle - Issuu